Главная // Актуальные документы // ГОСТ (Государственный стандарт)СПРАВКА
Источник публикации
М.: Стандартинформ, 2015
Примечание к документу
Документ включен в
Перечень международных и региональных (межгосударственных) стандартов, а в случае их отсутствия - национальных (государственных) стандартов, в результате применения которых на добровольной основе обеспечивается соблюдение требований технического
регламента Таможенного союза "О безопасности машин и оборудования" (ТР ТС 010/2011) (
Решение Коллегии Евразийской экономической комиссии от 09.03.2021 N 28).
Документ
введен в действие с 1 июня 2015 года.
Название документа
"ГОСТ 32578-2013. Межгосударственный стандарт. Краны грузоподъемные. Металлические конструкции. Требования к материалам"
(введен в действие Приказом Росстандарта от 22.08.2014 N 935-ст)
"ГОСТ 32578-2013. Межгосударственный стандарт. Краны грузоподъемные. Металлические конструкции. Требования к материалам"
(введен в действие Приказом Росстандарта от 22.08.2014 N 935-ст)
агентства по техническому
регулированию и метрологии
от 22 августа 2014 г. N 935-ст
МЕЖГОСУДАРСТВЕННЫЙ СТАНДАРТ
КРАНЫ ГРУЗОПОДЪЕМНЫЕ
МЕТАЛЛИЧЕСКИЕ КОНСТРУКЦИИ
ТРЕБОВАНИЯ К МАТЕРИАЛАМ
Cranes. Metal structures. Requirements for materials
ГОСТ 32578-2013
Дата введения
1 июня 2015 года
Цели, основные принципы и основной порядок проведения работ по межгосударственной стандартизации установлены в
ГОСТ 1.0-92 "Межгосударственная система стандартизации. Основные положения" и
ГОСТ 1.2-2009 "Межгосударственная система стандартизации. Стандарты межгосударственные, правила, рекомендации по межгосударственной стандартизации. Правила разработки, принятия, обновления и отмены"
1 РАЗРАБОТАН Закрытым акционерным обществом "РАТТЕ" (ЗАО "РАТТЕ")
2 ВНЕСЕН Федеральным агентством по техническому регулированию и метрологии
3 ПРИНЯТ Межгосударственным советом по стандартизации, метрологии и сертификации по переписке (протокол N 62-П от 03.12.2013)
За принятие проголосовали:
Краткое наименование страны по МК (ИСО 3166) 004-97 | Код страны по МК (ИСО 3166) 004-97 | Сокращенное наименование национального органа по стандартизации |
Армения | AM | Минэкономики Республики Армения |
Беларусь | BY | Госстандарт Республики Беларусь |
Киргизия | KG | Кыргызстандарт |
Молдова | MD | Молдова-Стандарт |
Россия | RU | Росстандарт |
Таджикистан | TJ | Таджикстандарт |
Узбекистан | UZ | Узстандарт |
4
Приказом Федерального агентства по техническому регулированию и метрологии от 22 августа 2014 г. N 935-ст межгосударственный стандарт ГОСТ 32578-2013 введен в действие в качестве национального стандарта Российской Федерации с 01 июня 2015 г.
5 ВВЕДЕН ВПЕРВЫЕ
Информация об изменениях к настоящему стандарту публикуется в ежегодном информационном указателе "Национальные стандарты", а текст изменений и поправок - в ежемесячном информационном указателе "Национальные стандарты". В случае пересмотра (замены) или отмены настоящего стандарта соответствующее уведомление будет опубликовано в ежемесячном информационном указателе "Национальные стандарты". Соответствующая информация, уведомление и тексты размещаются также в информационной системе общего пользования - на официальном сайте Федерального агентства по техническому регулированию и метрологии в сети Интернет
Целью разработки стандарта является совершенствование и унификация методов выбора и оценки пригодности материала для металлических конструкций кранов с учетом их конструктивно-технологических особенностей и условий эксплуатации. Стандарт базируется на принципах и методах, заложенных в международные нормативные документы FEM 1.001 (10.1998) "Правила проектирования подъемных устройств" (FEM 1.001 (10.1998) "Rules for the design of hoisting appliances") и ИСО 20332:2008 "Краны. Подтверждение несущей способности металлоконструкций" (ISO 20332:2008 "Cranes - Proof of competence of steel structures"). Применение положений данного стандарта на добровольной основе может быть использовано при подтверждении соответствия грузоподъемных кранов требованиям Технического регламента Таможенного союза "О безопасности машин и оборудования"
(ТР ТС 010/2011).
Настоящий стандарт устанавливает минимальные требования, предъявляемые на стадии проектирования к материалам металлических конструкций грузоподъемных кранов всех типов для предотвращения их хрупкого разрушения в условиях эксплуатации. Требования настоящего стандарта распространяются на стальной прокат, стальные поковки и отливки, применяемые в металлических конструкциях. Положения данного стандарта могут быть использованы при подтверждении соответствия грузоподъемных кранов и других типов подъемно-транспортных машин требованиям технических регламентов.
Стандарт применим к конструкциям, изготавливаемым после введения данного стандарта.
В настоящем стандарте использованы ссылки на следующие межгосударственные стандарты:
ГОСТ 977-88 Отливки стальные. Общие технические условия.
ГОСТ 7268-82 Сталь. Метод определения склонности к механическому старению по испытанию на ударный изгиб.
ГОСТ 7564-97 Прокат. Общие правила отбора проб, заготовок и образцов для механических и технологических испытаний.
ГОСТ 8479-70 Поковки из конструкционной углеродистой и легированной стали. Общие технические условия.
ГОСТ 9454-78 Металлы. Метод испытания на ударный изгиб при пониженных, комнатной и повышенных температурах.
ГОСТ 15150-69 Машины, приборы и другие технические изделия. Исполнения для различных климатических районов. Категории, условия эксплуатации, хранения и транспортирования в части воздействия климатических факторов внешней среды.
ГОСТ 19281-89 Прокат из стали повышенной прочности. Общие технические условия.
ГОСТ 27772-88 Прокат для строительных стальных конструкций. Общие технические условия.
Примечание - При пользовании настоящим стандартом целесообразно проверить действие ссылочных стандартов в информационной системе общего пользования - на официальном сайте Федерального агентства по техническому регулированию и метрологии в сети Интернет или по ежегодному информационному указателю "Национальные стандарты", который опубликован по состоянию на 1 января текущего года, и по выпускам ежемесячного информационного указателя "Национальные стандарты" за текущий год. Если ссылочный стандарт заменен (изменен), то при пользовании настоящим стандартом следует руководствоваться заменяющим (измененным) стандартом. Если ссылочный стандарт отменен без замены, то положение, в котором дана ссылка на него, применяется в части, не затрагивающей эту ссылку.
В настоящем стандарте применены следующие термины с соответствующими определениями:
3.1 хладостойкость (cold resistance): Способность материалов, элементов, конструкций и их соединений сопротивляться хрупким разрушениям при низких температурах окружающей среды.
3.2 хрупкое разрушение (brittle failure): Разрушение (нарушение целостности материала), которое происходит без видимых пластических деформаций.
4.1 Для изготовления стальных металлических конструкций используют прокат, поковки и отливки. Пригодность этих материалов и изделий для конкретной металлической конструкции обусловлена возможностью получения сварных соединений с качеством уровня
B по нормам
[1] (если при изготовлении или монтаже конструкции используется сварка) и сохранением пластичности в условиях эксплуатации. Настоящий стандарт устанавливает минимальные обязательные требования к этим материалам и изделиям, выполнение которых обеспечит защиту металлоконструкции от хрупкого разрушения, если она предназначена для эксплуатации в условиях допустимых минимальных климатических температур по
ГОСТ 15150.
4.2 Требования, указанные в настоящем стандарте, распространяются на материалы и изделия, используемые для элементов основных (несущих) металлических конструкций, а также для вспомогательных элементов, приваренных непосредственно к основным конструкциям. Выбор материалов для вспомогательных слабо нагруженных элементов (перила, площадки, лестницы, кронштейны для приборов и пр.) производится без учета требований настоящего стандарта.
4.3 Обоснование выбора (пригодности) материалов для элементов металлической конструкции крана может быть выполнено иными способами, если они подтверждены опытом проектирования и эксплуатации.
4.4 Использование материалов, допущенных к применению национальными, ведомственными и отраслевыми нормативными документами, действовавшими до введения в действие настоящего стандарта, допускается без ограничений.
5. Уровни хладостойкости материалов
5.1 Качество проката, поковок и отливок с позиции сохранения пластичности при отрицательных температурах характеризуется уровнем хладостойкости. Уровень хладостойкости определяется температурой испытаний, при которой обеспечивается нормативное значение ударной вязкости стали
(таблица 1). Установлены четыре уровня хладостойкости (I, II, III и IV).
Таблица 1
Условия испытаний на ударный изгиб
Уровень хладостойкости стали | Сумма баллов  | Обеспечение KCV >= 33,7 Дж/см 2 при температуре испытания, °C (5.1) |
I | Св. 2 до 4 вкл. | +20 |
II | " 4 " 8 " | 0 |
III | " 8 " 14 " | -20 |
IV | " 14 " 15 " | -40 |
Нормативным является значение ударной вязкости KCV >= 33,7 Дж/см
2 на образцах, вырезанных вдоль направления прокатки. Для проката толщиной 12 мм и более испытания проводятся на образцах типа 11, в остальных случаях используются образцы типа 12 или 13 по
ГОСТ 9454. Образцы изготавливаются из проката в состоянии поставки.
5.2 Требуемый уровень хладостойкости стали для конкретной конструкции устанавливается в зависимости от совокупности негативных факторов, способствующих возникновению хрупкого разрушения данной конструкции. Такими факторами являются минимальная допустимая температура эксплуатации, толщины элементов, уровень концентрации напряжений и степень нагружения конструкции. Обобщенной характеристикой этих факторов является комплексный показатель

, который вычисляется как сумма частных показателей

, каждый из которых характеризует степень реализации соответствующего фактора, способствующего снижению пластичности, применительно к рассматриваемой конструкции.
5.2.1 Значения показателей
Z1,
Z2 и
Z3 вычисляются по указаниям
таблицы 2, в которой использованы следующие обозначения:
-
T - минимальная температура по
ГОСТ 15150, при которой разрешена эксплуатация машины;
-

- максимальное номинальное растягивающее напряжение в конструкции при расчете на прочность;
-

- допускаемое напряжение или расчетное сопротивление по условию прочности;
- t - наибольшая расчетная толщина элементов конструкции.
Таблица 2
Балльная оценка факторов, способствующих возникновению
хрупкого разрушения конструкции
Фактор влияния | Значения | Zi |
Температура T, °C | -30 <= T <= 0 | Z1 = 6T2/1600 |
-60 <= T < -30 | Z1 = -3,375 - 0,225T |
Уровень концентрации напряжений, группа узлов по таблице А.1 (приложение А) | узлы I группы | |
узлы II группы | |
узлы III группы | |
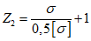
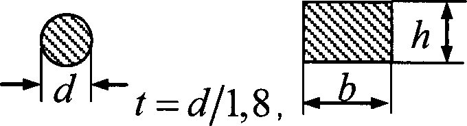
Толщина проката t, мм. Эквивалентная толщина элемента: | 5 < t <= 20 | Z3 = 0,0035t2 |
20 < t <= 100 | |
при b/h <= 1,8 при b/h > 1,8 | t = b/1,8; t = h. |
Деление узлов по группам концентрации напряжений производится следующим образом:
- к I группе относят узлы, изготовленные без применения сварки;
- к II группе относят узлы, содержащие стыковые сварные соединения, а также продольные сварные соединения с угловыми швами;
- к III группе относят все остальные узлы.
Для идентификации узлов по уровню концентрации напряжений следует использовать справочное
Приложение А.
5.2.2 Если в конструкции применяется несколько марок стали, видов проката, поковок и отливок, то расчет показателя

производится отдельно для каждой группы элементов, изготовленных из одного материала по одной технологии. При этом для каждой группы используются соответствующие значения параметров

и
t.
5.3 Вычисленное для конкретной конструкции или группы элементов значение показателя

определяет требуемый уровень хладостойкости используемого материала
(таблица 1).
5.3.1 Если получено значение

, то специального подтверждения хладостойкости материала не требуется. Если значение

, то должны быть выбраны материалы I - IV уровня по критерию KCV
(5.1, таблица 1). Для конструкций, характеризуемых

, требуются специальные методы проверки пригодности материала. Примеры выбора проката по этим правилам приведены в справочном
приложении Б.
5.3.2 Если после сварки предусмотрена термообработка конструкции, то для проката всех видов при

требуемый уровень хладостойкости понижается на единицу по сравнению с тем, что дает
таблица 1, т.е. значение температуры, при которой определяется ударная вязкость KCV, повышается на 20 C.
5.3.3 Для элементов конструкции, изготовленных из фасонного проката, и холоднодеформированных профилей для случаев

уровень хладостойкости повышается на единицу по сравнению с тем, что дает
таблица 1, т.е. значение температуры, при которой определяется ударная вязкость KCV, понижается на 20 C.
5.4 Если в качестве элементов сварных металлических конструкций используются поковки, то они должны удовлетворять требованиям
ГОСТ 8479 для поковок IV и V групп. Требуемый уровень хладостойкости поковок для конкретной конструкции определяется по указаниям
5.1 (таблица 1). При этом в качестве расчетной толщины
t принимается толщина свариваемой кромки поковки (без учета разделки под сварку).
5.5 Отливки для сварных металлических конструкций должны использоваться в состоянии после термообработки и удовлетворять требованиям
ГОСТ 977 для отливок III группы. Требуемый уровень хладостойкости отливок для конкретной конструкции определяется по указаниям
5.1 (таблица 1). В качестве расчетной толщины
t принимается толщина свариваемой кромки (без учета разделки под сварку).
6. Подтверждение уровня хладостойкости
6.1 Стальной прокат соответствует определенному уровню хладостойкости в том случае, если в стандарте или технических условиях, по которым он изготовлен, установлены требования к ударной вязкости не менее жесткие, чем это указано в
5.1. Соответствие материала требованиям стандарта или технических условий подтверждается сертификатом качества. В нем должны быть указаны нормативное значение KCV и температура, при которой оно обеспечивается, а также результаты испытаний образцов на ударную вязкость при соответствующей температуре.
6.2 При выполнении входного контроля стального проката проводятся испытания образцов в соответствии с требованиями
5.1, таблица 1. Отбор проб для изготовления образцов должен выполняться согласно требованиям
ГОСТ 7564. Температура испытаний определяется в соответствии с требуемым уровнем хладостойкости
(таблица 1). Число испытанных образцов должно быть не менее трех при наибольшей используемой в данной конструкции толщине. Критериальной оценкой является среднее полученное значение ударной вязкости, при условии, что ни один образец не показал значение KCV < 27 Дж/см
2.
6.3 Для подтверждения соответствия поковок определенному уровню хладостойкости проводятся испытания образцов на ударную вязкость согласно
5.4. Образцы изготавливаются в соответствии с указаниями
ГОСТ 8479. Число испытанных образцов для приемки партии поковок должно быть не менее трех. Критериальной оценкой является среднее полученное значение ударной вязкости, при условии, что ни один образец не показал значение KCV < 27 Дж/см
2.
6.4 Для подтверждения соответствия отливок определенному уровню хладостойкости проводятся испытания образцов на ударную вязкость согласно
5.5. Образцы изготавливаются по указаниям
ГОСТ 977. Число испытанных образцов для приемки партии отливок должно быть не менее трех. Критериальной оценкой является среднее полученное значение ударной вязкости, при условии, что ни один образец не показал значение KCV < 27 Дж/см
2.
6.5 Испытания образцов на ударную вязкость проводятся в лаборатории, аккредитованной на проведение данного вида испытаний. Результаты испытаний оформляются протоколом, копия которого входит в состав эксплуатационной документации крана (металлической конструкции).
6.6 Если результаты испытаний на ударную вязкость оказались неудовлетворительными, то партия проката, поковок или отливок не должна использоваться в соответствии с заявленным уровнем хладостойкости.
(справочное)
ПРИМЕРЫ УЗЛОВ ДЛЯ ВЫЧИСЛЕНИЯ ПОКАЗАТЕЛЯ
Z2
Примеры узлов I группы
Примеры узлов II группы
Примеры узлов III группы
(справочное)
ПРИМЕРЫ ВЫБОРА (ОЦЕНКИ ПРИГОДНОСТИ) СТАЛЕЙ ДЛЯ КОНСТРУКЦИЙ,
ЭКСПЛУАТИРУЕМЫХ В РАЗЛИЧНЫХ КЛИМАТИЧЕСКИХ УСЛОВИЯХ
Приведены примеры применения требований настоящего стандарта к сталям для различных конструкций и условий эксплуатации.
1. Для конструкции из листового проката с узлами III группы, толщинами элементов не более 16 мм и уровнем действующих номинальных напряжений

, эксплуатируемых в условиях У3.1 при температурах
T >= минус 10 °C значение показателя
Следовательно прокат должен соответствовать требованиям I уровня хладостойкости и иметь ударную вязкость KCV >= 33,7 Дж/см
2 при температуре испытаний плюс 20 °C
(5.1). Таким требованиям удовлетворяет, например, прокат из стали Ст3сп категории 5 по
ГОСТ 14637-89 или категории 6 по
ГОСТ 535-2005.
2. Для конструкций из листового проката толщиной не более 20 мм с узлами III группы и уровнем действующих номинальных напряжений

, эксплуатируемых в условиях У1 при
T >= минус 40 °C значение показателя
Следовательно прокат должен соответствовать требованиям III уровня хладостойкости по
таблице 1 и иметь ударную вязкость KCV >= 33,7 Дж/см
2 при температуре испытаний минус 20 °C. Таким требованиям удовлетворяют, например, стали класса прочности 345 (категория 9) по
ГОСТ 19281-89 или стали для судостроения, выпускаемые по
ГОСТ 5521-93.
3. Для конструкций из фасонного проката толщиной не более 14 мм с узлами III группы и уровнем действующих номинальных напряжений

, эксплуатируемых в условиях У1 при
T >= минус 40 °C значение показателя
Это значение соответствует требованиям III уровня хладостойкости по
таблице 1, однако согласно
5.3.3 для фасонного проката при

уровень хладостойкости повышается на единицу. Это значит, что фасонный прокат должен соответствовать IV уровню хладостойкости и обеспечивать ударную вязкость KCV >= 33,7 Дж/см
2 при температуре испытаний минус 40 °C.
4. Для конструкций из листового проката толщиной не более 20 мм с узлами III группы и уровнем действующих номинальных напряжений

, эксплуатируемых в условиях ХЛ1 при
T >= минус 60 °C значение показателя
Следовательно, стальной прокат должен соответствовать требованиям IV уровня хладостойкости по
таблице 1 и иметь ударную вязкость KCV >= 33,7 Дж/см
2 при температуре испытаний минус 40 °C.
Уровни хладостойкости листового проката, которые требуются для конструкций с элементами толщиной
t, эксплуатируемых при температурах не ниже
T при номинальных напряжениях

, показаны в таблице Б.1. Примеры марок и наименований сталей для листового и широкополосного проката, отвечающих различным уровням хладостойкости в соответствии с требованиями стандартов, по которым они выпускаются, приведены в
таблице Б.2.
Таблица Б.1
Уровни хладостойкости стали по
таблице 1, требуемые
для конструкций, содержащих узлы III группы с расчетной
толщиной t, эксплуатируемые при температуре
не ниже
T и

Температура эксплуатации, T, °C, не ниже | Расчетные толщины элементов t, мм |
До 10 вкл. | До 20 вкл. | До 30 вкл. | До 40 вкл. | До 50 вкл. |
0 | I уровень | | |
-20 | II уровень |
-40 | III уровень | |
-60 | | IV уровень |
Таблица Б.2
Примеры марок и обозначений марок сталей листового проката,
соответствующих требованиям, установленным для уровней
Уровень хладостойкости стали | Стандарт | Обозначение марки стали | Толщина t, мм не более |
I | | Ст3пс-5, Ст3сп-5, Ст3Гпс-5, Ст3Гсп-5 | 26 |
| Ст3пс-5, Ст3сп-5, Ст3Гпс-5, Ст3Гсп-5 | 20 |
| 16ГС-19, 09Г2С-19, 10Г2С1-19 | 80 |
II | | Ст3пс-6, Ст3сп-6, Ст3Гпс-6, Ст3Гсп-6 | 9 |
| 345 (категория 8) | 32 |
390 (категория 8) | 50 |
| 09Г2С-20 | 80 |
16ГС-20 | 80 |
17ГС-20, 17Г1С-20 | 50 |
III | | 345 (категория 9) | 32 |
390 (категория 9) | 50 |
| D27S | 30 |
D32 | 20 |
D36, D40, D40S | 15 |
IV | | E27S | 30 |
E32 | 20 |
E36, E40, E40S | 15 |
| ИСО 5817:2003 | Сварные соединения из стали, никеля, титана и их сплавов, полученные сваркой плавлением (исключая лучевые способы сварки). Уровни качества. (ISO 5817:2003 Welding - Fusion-welded joints in steel, nickel, titanium and their alloys (beam welding excluded) - Quality levels for imperfections). |