Главная // Актуальные документы // ГОСТ (Государственный стандарт)СПРАВКА
Источник публикации
М.: ФГБУ "РСТ", 2022
Примечание к документу
Документ включен в
Перечень документов в области стандартизации, в результате применения которых на добровольной основе обеспечивается соблюдение требований Федерального
закона от 30.12.2009 N 384-ФЗ "Технический регламент о безопасности зданий и сооружений" (
Приказ Росстандарта от 02.04.2020 N 687).
Текст данного документа приведен с учетом
поправки, опубликованной в "ИУС", N 4, 2022.
Документ
введен в действие с 01.09.2022.
Название документа
"ГОСТ 32494-2021. Межгосударственный стандарт. Здания и сооружения. Метод математического моделирования температурно-влажностного режима ограждающих конструкций"
(введен в действие Приказом Росстандарта от 21.12.2021 N 1826-ст)
"ГОСТ 32494-2021. Межгосударственный стандарт. Здания и сооружения. Метод математического моделирования температурно-влажностного режима ограждающих конструкций"
(введен в действие Приказом Росстандарта от 21.12.2021 N 1826-ст)
агентства по техническому
регулированию и метрологии
от 21 декабря 2021 г. N 1826-ст
МЕЖГОСУДАРСТВЕННЫЙ СТАНДАРТ
ЗДАНИЯ И СООРУЖЕНИЯ
МЕТОД МАТЕМАТИЧЕСКОГО МОДЕЛИРОВАНИЯ
ТЕМПЕРАТУРНО-ВЛАЖНОСТНОГО РЕЖИМА ОГРАЖДАЮЩИХ КОНСТРУКЦИЙ
Buildings and constructions. The method of mathematic
simulation of temperature and humidity conditions
of protecting designs
(EN 15026:2007, NEQ)
ГОСТ 32494-2021
Дата введения
1 сентября 2022 года
Цели, основные принципы и общие правила проведения работ по межгосударственной стандартизации установлены
ГОСТ 1.0 "Межгосударственная система стандартизации. Основные положения" и
ГОСТ 1.2 "Межгосударственная система стандартизации. Стандарты межгосударственные, правила и рекомендации по межгосударственной стандартизации. Правила разработки, принятия, обновления и отмены"
1 РАЗРАБОТАН Федеральным государственным бюджетным учреждением "Научно-исследовательский институт строительной физики Российской академии архитектуры и строительных наук" (ФГБУ "НИИСФ РААСН")
2 ВНЕСЕН Техническим комитетом по стандартизации ТК 465 "Строительство"
3 ПРИНЯТ Межгосударственным советом по стандартизации, метрологии и сертификации (протокол от 9 декабря 2021 г. N 60)
За принятие проголосовали:
Краткое наименование страны по МК (ИСО 3166) 004-97 | Код страны по МК (ИСО 3166) 004-97 | Сокращенное наименование национального органа по стандартизации |
Армения | AM | ЗАО "Национальный орган по стандартизации и метрологии" Республики Армения |
Беларусь | BY | Госстандарт Республики Беларусь |
Казахстан | KZ | Госстандарт Республики Казахстан |
Киргизия | KG | Кыргызстандарт |
Россия | RU | Росстандарт |
Узбекистан | UZ | Узстандарт |
4
Приказом Федерального агентства по техническому регулированию и метрологии от 21 декабря 2021 г. N 1826-ст межгосударственный стандарт ГОСТ 32494-2021 введен в действие в качестве национального стандарта Российской Федерации с 1 сентября 2022 г.
5 Настоящий стандарт разработан с учетом основных нормативных положений европейского стандарта EN 15026:2007 "Тепловлажностные характеристики строительных конструкций и их элементов. Оценка влагопереноса методом числового моделирования" ("Hygrothermal performance of building components and building elements - Assessment of moisture transfer by numerical simulation", NEQ)
Информация о введении в действие (прекращении действия) настоящего стандарта и изменений к нему на территории указанных выше государств публикуется в указателях национальных стандартов, издаваемых в этих государствах, а также в сети Интернет на сайтах соответствующих национальных органов по стандартизации.
В случае пересмотра, изменения или отмены настоящего стандарта соответствующая информация будет опубликована на официальном интернет-сайте Межгосударственного совета по стандартизации, метрологии и сертификации в каталоге "Межгосударственные стандарты"
Температурно-влажностный режим определяет эксплуатационные свойства ограждающих конструкций здания и непосредственно влияет на теплозащитные свойства, коррозию металлических деталей, прочностные свойства, напряженно-деформированное состояние, долговечность и эстетику конструкций.
В настоящем стандарте приведено описание математической модели тепло-, влагопереноса в целях прогнозирования нестационарных процессов переноса влаги в многослойных ограждающих конструкциях, подвергаемых климатическим воздействиям. По сравнению с оценкой влажностного состояния ограждающих конструкций по стационарным условиям эксплуатации моделирование нестационарного влажностного режима обеспечивает более точные сведения о влажности материалов конструкций и о риске, связанном с проблемами конденсации пара на поверхности.
Настоящий стандарт является результатом обобщения многочисленных работ лаборатории строительной теплофизики НИИСФ РААСН в области прогнозирования температурно-влажностного режима ограждающих конструкций зданий, в том числе проведенной в 2019 г. научно-исследовательской и опытно-конструкторской работы по теме "Исследования влияния эксплуатационных теплофизических показателей теплоизоляционных материалов на температурно-влажностный режим ограждающих конструкций зданий" под руководством д-ра техн. наук, профессора В.Г. Гагарина и канд. техн. наук П.П. Пастушкова.
Математическое моделирование температурно-влажностного режима ограждающих конструкций по методике настоящего стандарта позволит значительно повысить точность проводимых теплотехнических расчетов, что, в свою очередь, окажет положительное влияние на комфортность проживания людей, а также на улучшение показателей долговечности и энергетической эффективности строящихся зданий.
Настоящий стандарт распространяется на ограждающие конструкции зданий и сооружений и устанавливает метод математического моделирования температурно-влажностного режима ограждающих конструкций при нестационарных условиях эксплуатации.
В настоящем стандарте приведены нормативные ссылки на следующие межгосударственные стандарты:
ГОСТ 7076 Материалы и изделия строительные. Метод определения теплопроводности и термического сопротивления при стационарном тепловом режиме
ГОСТ 23250 Материалы строительные. Метод определения удельной теплоемкости
ГОСТ 24816 Материалы строительные. Метод определения равновесной сорбционной влажности
ГОСТ 25898 Материалы и изделия строительные. Методы определения паропроницаемости и сопротивления паропроницанию
Примечание - При пользовании настоящим стандартом целесообразно проверить действие ссылочных стандартов и классификаторов на официальном интернет-сайте Межгосударственного совета по стандартизации, метрологии и сертификации (www.easc.by) или по указателям национальных стандартов, издаваемых в государствах, указанных в предисловии, или на официальных сайтах соответствующих национальных органов по стандартизации. Если на документ дана недатированная ссылка, то следует использовать документ, действующий на текущий момент, с учетом всех внесенных в него изменений. Если заменен ссылочный документ, на который дана датированная ссылка, то следует использовать указанную версию этого документа. Если после принятия настоящего стандарта в ссылочный документ, на который дана датированная ссылка, внесено изменение, затрагивающее положение, на которое дана ссылка, то это положение применяется без учета данного изменения. Если ссылочный документ отменен без замены, то положение, в котором дана ссылка на него, применяется в части, не затрагивающей эту ссылку.
3 Обозначения и единицы измерения характеристик тепло-, влагопереноса
В настоящем стандарте применены обозначения и единицы измерения характеристик тепло-, влагопереноса, приведенные в
таблице 1.
Таблица 1
Обозначения и единицы измерения
Характеристика | Обозначение | Единица измерения |
Мгновенная скорость капиллярного всасывания | C | кг/(м2·с) |
Удельная теплоемкость материала | c | Дж/(кг·°C) |
Парциальное давление водяного пара | e | Па |
Парциальное давление насыщенного водяного пара | E | Па |
Плотность потока влаги | g | кг/(м2·с) |
Плотность потока водяного пара | gп | кг/(м2·с) |
Плотность потока жидкой влаги | gж.в | кг/(м2·с) |
Энтальпия | h | Дж |
Интенсивность солнечной радиации | l | Вт/м2 |
Поток влаги | j | кг/м2 |
Поток влаги через наружную поверхность | jн.п | кг/м2 |
Коэффициент капиллярного всасывания | K | кг/(м2·с1/2) |
Показатель степени в уравнении капиллярного всасывания | n | - |
Атмосферное давление | pа | Па |
Сопротивление паропроницанию слоя | Rп | (м2·ч·Па)/мг |
Плотность теплового потока | q | Вт/м2 |
Температура | t | °C |
Эквивалентная температура воздуха окружающей среды | tн, усл | °C |
Температура поверхности конструкции | tпов | °C |
Влажность по массе | w | кг/кг |
Пространственная координата | X | м |
Время | z | с |
Продолжительность выпадения жидких осадков в месяц | | ч |
Количество осадков, выпадающих на вертикальную поверхность | Hв | мм |
Коэффициент теплоотдачи | | Вт/(м2·°C) |
Коэффициент теплоотдачи наружной поверхности | | Вт/(м2·°C) |
Коэффициент теплоотдачи внутренней поверхности | | Вт/(м2·°C) |
Коэффициент статической влагопроводности | | кг/(м·с) |
Коэффициент динамической влагопроводности | | кг/(м·с) |
Потенциал влажности | | °B |
Коэффициент потенциалопроводности | | кг/(м·с·°B) |
Теплопроводность материала | | Вт/(м·К) |
Паропроницаемость материала | | кг/(м·с·Па) |
Плотность материала | | кг/м3 |
Плотность воды | | кг/м3 |
Коэффициент поглощения солнечной радиации материалом наружной поверхности ограждающей конструкции | | - |
Относительная влажность воздуха | | % |
Математическая модель, приведенная в настоящем стандарте, описывает следующие явления нестационарного одномерного переноса теплоты и влаги в конструкциях:
- удаление строительной влаги;
- накопление влаги за счет конденсации в порах и капиллярах вследствие диффузии в переходный и зимний периоды времени;
- увлажнение косыми дождями;
- увлажнение, обусловленное миграцией влаги из наружной части конструкции во внутреннюю в летний период эксплуатации.
Результаты расчета по предложенной математической модели могут быть использованы в следующих целях:
- повышения показателей энергетической эффективности зданий;
- повышения комфортности зданий для проживания;
- повышения долговечности конструкций и сохранения их эксплуатационных свойств.
5 Основные уравнения математической модели
5.1 Ограничения
Математическая модель, приведенная в настоящем стандарте, предполагает следующие условия и ограничения:
- рассматривают одномерный перенос теплоты и влаги;
- постоянная геометрия конструкции, отсутствие деформаций материалов;
- отсутствие изменений свойств материалов в результате повреждения или старения;
- отсутствие химических реакций;
- все материалы ограждающей конструкции являются изотропными;
- пренебрегают теплотой, выделяемой при фазовых переходах, в том числе при сорбции (десорбции) водяного пара;
- пренебрегают зависимостью влагоемкости от температуры;
- пренебрегают термоградиентными механизмами влагопереноса;
- пренебрегают фильтрационными механизмами влагопереноса.
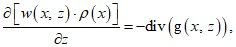
5.2 Основные уравнения тепло-, влагопереноса в ограждающих конструкциях
В качестве основных уравнений тепло-, влагопереноса в ограждающих конструкциях используют дифференциальные уравнения влагопереноса (1) и теплопереноса (2):

(1)

(2)
Потоки влаги и теплоты, проходящие через конструкцию, определяют через потенциалы:

(3)

(4)

(5)

(6)
Примечание - В качестве градиента потенциала влажности используют сумму градиентов частных потенциалов: парциального давления водяного пара в порах материала, влажности материала по массе, температуры в материале, общего давления в материале и др.
В качестве частных потенциалов математической модели, представленной в настоящем стандарте, используют парциальное давление водяного пара в порах материала

и влажность материала по массе
w:

(7)
где

- относительная влажность воздуха, являющаяся функцией сорбционного влагосодержания материала.
Примечание -
Уравнение (7) является наиболее применяемым в практике расчетов.

(8)
Более точный расчет относительной влажности воздуха в порах материала может быть проведен, если при непрерывном изменении влажности в материале при известной изотерме сорбции материала, определяемой функцией

, известна изотерма десорбции материала, определяемая функцией

.
Относительную влажность воздуха в порах материала рассчитывают по формуле

(9)
где

.
Примечание - Приведенная формула означает, что относительная влажность воздуха в порах материала определяется по изотерме сорбции, когда влажность материала возрастает, и по изотерме десорбции, когда влажность убывает.
5.3 Граничные условия теплообмена
5.3.1 Граничные условия теплообмена на поверхностях конструкции
Граничные условия теплообмена на поверхностях конструкции задаются зависимостью между тепловым потоком за счет теплопроводности от твердой стенки и тепловым потоком от окружающей среды за счет температурного напора [
формулы (9) -
(11)]:
- на внутренней поверхности:

(10)
- на наружной поверхности:

(11)

(12)
где L - толщина конструкции, м.
Допускается в качестве граничных условий теплообмена задавать известное значение температуры.
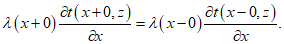
5.3.2 Граничные условия теплообмена на стыке материалов
Граничными условиями теплообмена на стыке материалов являются:
- непрерывность температуры на границе раздела двух материалов внутри ограждающей конструкции:
t(x + 0,z) = t(x - 0,z); (13)
- отсутствие источников и стоков теплоты (тепловой поток непрерывен):

(14)
5.4 Граничные условия влагообмена
5.4.1 Граничные условия влагообмена на поверхностях конструкции
Граничные условия влагообмена на поверхностях конструкции вычисляют по
формулам (14) -
(18).
Поток влаги, выходящий из конструкции через внутреннюю поверхность, определяется уравнением

(15)
или в упрощенном виде

(15а)
через наружную поверхность уравнением

(16)
или в упрощенном виде

(16а)
где Rв.п, Rн.п - сопротивление паропроницанию внутреннего и наружного слоя, (м2·ч·Па)/мг;
gв, gн - плотность потока влаги через внутреннюю и наружную поверхность, кг/(м2·с).
Количество жидкой влаги, поглощаемой ограждающей конструкцией, следует определять в каждом конкретном случае.
Плотность потока жидкой влаги через наружную поверхность внутрь ограждающей конструкции при ее нестационарном увлажнении определяют по формуле

(17)
Плотность потока жидкой влаги в наружный слой ограждающей конструкции, вызванной косым дождем, равна мгновенной скорости капиллярного всасывания C. При этом плотность потока жидкой влаги gж.в.н не должна превосходить интенсивность выпадения осадков на вертикальную поверхность и определяется по формуле

(18)
5.4.2 Граничные условия влагообмена на стыке материалов
При наличии в конструкции пароизоляционного слоя принимают, что жидкая влага не проходит через слой пароизоляции, при этом плотность потока водяного пара определяют по формуле

(19)
где Rп - сопротивление паропроницанию пароизоляционного слоя.
На стыке двух слоев ограждающей конструкции, выполненных из разных материалов, при отсутствии пароизоляции принимают, что влажности материалов слоев являются равновесными (функционально зависимыми):
w1 = f(w2). (20)
В зоне сорбционного увлажнения равновесные влажности материалов принимают по изотермам сорбции (десорбции). При этом парциальное давление водяного пара в порах материалов непрерывно:
e(x + 0,z) = e(x - 0,z). (21)
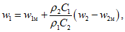
Для сверхсорбционной зоны зависимость по
формуле (19) определяют экспериментально. Если влажность на стыке слоев материалов распределяется пропорционально скоростям капиллярного всасывания, зависимость по
формуле (19) определяют соотношением

(22)
где w1м и w2м - максимальные сорбционные влажности материалов.
6.1 Перед расчетом температурно-влажностного режима ограждающей конструкции должны быть известны следующие необходимые характеристики:
- граничных условий;
- материалов конструкции;
- конструкции;
- условий проведения расчетов.
6.2 Характеристики граничных условий
К характеристикам граничных условий относят:
- температуру наружного воздуха, переменную в течение года, принимаемую согласно данным натурных наблюдений или по данным, приведенным в нормах и правилах по строительной климатологии государств - участников Соглашения
<1>, принявших настоящий стандарт;
- температуру внутреннего воздуха, переменную или постоянную в течение года, принимаемую в соответствии с условиями проектирования;
- относительную влажность наружного воздуха, переменную в течение года, принимаемую согласно данным натурных наблюдений и данным, приведенным в нормах и правилах по строительной климатологии государств - участников Соглашения
<1>, принявших настоящий стандарт;
- относительную влажность внутреннего воздуха, переменную или постоянную в течение года, принимаемую в соответствии с условиями проектирования;
- коэффициенты теплоотдачи внутренней и наружной поверхностей конструкции, переменные или постоянные в течение года, вычисляемые для условий решаемой задачи или принимаемые по строительным нормам и правилам по тепловой защите зданий государств - участников Соглашения
<2>, принявших настоящий стандарт.
--------------------------------
<1> В Российской Федерации действует
СП 131.13330.2020 "СНиП 23-01-99* Строительная климатология".
<2> В Российской Федерации действует
СП 50.13330.2012 "СНиП 23-02-2003 Тепловая защита зданий".
Значения перечисленных параметров необходимо иметь на начало каждого месяца, их изменение в течение месяца принимают линейным.
6.3 Характеристики материалов конструкции
Перечень характеристик материалов и методы их определения, необходимые для расчетов по математической модели, приведены в
таблице 2.
Таблица 2
Характеристики материалов
Наименование характеристики | Обозначение | Значения | Метод определения |
Плотность | | По действующим строительным нормам и правилам | По нормативному документу на материал конкретного вида |
Удельная теплоемкость | c | По действующим строительным нормам и правилам | |
Теплопроводность | | По действующим строительным нормам и правилам | |
Изотерма сорбции | | - | |
Коэффициент паропроницаемости | | По действующим строительным нормам и правилам | |
Коэффициент капиллярного всасывания | K | - | По методикам государств - участников Соглашения <1>, принявших настоящий стандарт |
Коэффициент статической влагопроводности | | - | По методикам государств - участников Соглашения <2>, принявших настоящий стандарт |
Коэффициент динамической влагопроводности | | - | По методикам государств - участников Соглашения <1>, принявших настоящий стандарт |
--------------------------------
<1> В Российской Федерации действует
ГОСТ Р 56505-2015 "Материалы строительные. Методы определения показателей капиллярного всасывания воды".
<2> В Российской Федерации действует
ГОСТ Р 56504-2015 "Материалы строительные. Методы определения коэффициентов влагопроводности".
6.4 Характеристики конструкции
Для проведения расчетов должны быть известны следующие данные о конструкции:
- толщина и порядок расположения однородных слоев в конструкции;
- места расположения пароизоляционных слоев и значения их сопротивления паропроницаемости;
- начальная влажность материалов конструкции.
6.5 Характеристики условий проведения расчетов
Характеристики условий проведения расчетов включают в себя:
- месяц, начиная с которого следует проводить расчет;
- количество лет, для которых следует проводить расчет;
- промежуток времени, через который следует фиксировать результаты расчета (рекомендуется 1 мес).
Результатом расчета температурно-влажностного режима ограждающей конструкции должны быть распределения влажности и температуры по толщине конструкции для любого момента времени ее эксплуатации.
Пример расчета температурно-влажностного режима ограждающей конструкции по математической модели приведен в
приложении А.
(справочное)
ПРИМЕР РАСЧЕТА ТЕМПЕРАТУРНО-ВЛАЖНОСТНОГО РЕЖИМА
ОГРАЖДАЮЩЕЙ КОНСТРУКЦИИ ПО МАТЕМАТИЧЕСКОЙ МОДЕЛИ
В настоящем приложении приведен пример расчета температурно-влажностного режима ограждающей конструкции жилого здания по математической модели, приведенной в настоящем стандарте.
Пример приведен для климатических условий г. Москвы. Принято, что температура и относительная влажность воздуха внутри здания остаются постоянными в течение года и равны 20 °C и 55% соответственно.
Описание ограждающей конструкции и характеристик материалов, необходимых для расчета, приведено в
таблице А.1. Изотермы сорбции используемых материалов приведены в
таблице А.2.
Таблица А.1
Описание ограждающей конструкции и характеристики материалов
Состав стены изнутри наружу | Толщина слоя  , м | Плотность  , кг/м 3 | Теплопроводность  при условиях эксплуатации А и Б, Вт/(м·°C) | Паропроницаемость  , мг/(м·ч·Па) |
А | Б |
Штукатурка по газобетону | 0,02 | 1550 | 0,76 | 0,93 | 0,05 |
Газобетон D400 | 0,3 | 450 | 0,14 | 0,15 | 0,135 |
Пенополистирол | 0,1 | 40 | 0,041 | 0,05 | 0,05 |
Цементно-песчаная штукатурка | 0,01 | 1550 | 0,76 | 0,93 | 0,09 |
Таблица А.2
Изотермы сорбции строительных материалов конструкции
Наименование материала | Сорбционная влажность, % по массе, при температуре (20 +/- 2) °C и относительной влажности воздуха, % |
10 | 20 | 30 | 40 | 50 | 60 | 70 | 80 | 90 | 97 |
Штукатурка по газобетону | 0,1 | 0,2 | 0,3 | 0,32 | 0,47 | 0,62 | 1,01 | 1,41 | 2,46 | 4,38 |
Газобетон D400 | 0,1 | 0,2 | 0,25 | 0,33 | 0,4 | 0,43 | 0,805 | 1,18 | 2,19 | 5,34 |
Пенополистирол | 0,2 | 0,3 | 0,7 | 1,0 | 1,2 | 1,4 | 1,6 | 1,8 | 2,0 | 2,6 |
Цементно-песчаная штукатурка | 0,5 | 0,9 | 1,1 | 1,3 | 1,5 | 1,8 | 2,1 | 2,7 | 3,2 | 4,0 |
В
таблице А.3 приведены температура и относительная влажность воздуха на начало месяца, рассчитанные по данным, приведенным в строительных правилах по тепловой защите зданий, действующим в государствах - участниках Соглашения
<1>, принявших настоящий стандарт.
--------------------------------
<1> В Российской Федерации действует
СП 50.13330.2012 "СНиП 23-02-2003 Тепловая защита зданий".
Таблица А.3
Температура и относительная влажность воздуха
Месяц | I | II | III | IV | V | VI | VII | VIII | IX | X | XI | XII |
Температура, °C | -8,75 | -9,7 | -6,75 | 0,05 | 8,15 | 13,95 | 17,05 | 17,2 | 13,5 | 7,5 | 1,2 | -4,6 |
Относительная влажность воздуха, % | 84,5 | 82,5 | 79,5 | 72 | 62 | 58,5 | 61 | 65,5 | 70,5 | 75,5 | 80 | 83,5 |
Коэффициенты теплоотдачи внутренней и наружной поверхностей ограждающей конструкции постоянны в течение года и приняты равными 8,7 и 23 Вт/(м2·°C) соответственно.
Результаты расчета представлены на
рисунке А.1 в виде распределения влажности внутри конструкции после 3 лет эксплуатации здания, приведенные на начало февраля (месяца наибольшего влагонакопления).
Рисунок А.1 - Распределение влажности внутри конструкции
УДК 699.822:006.354 | |
Ключевые слова: здания и сооружения; ограждающие конструкции; тепло-, влагоперенос; числовое моделирование; пример расчета |