Главная // Актуальные документы // ГОСТ (Государственный стандарт)СПРАВКА
Источник публикации
М.: Стандартинформ, 2016
Примечание к документу
Документ утратил силу с 01.09.2022 в связи с изданием
Приказа Росстандарта от 21.12.2021 N 1826-ст. Взамен введен в действие
ГОСТ 32494-2021.
Документ
введен в действие с 01.01.2015.
Название документа
"ГОСТ 32494-2013. Межгосударственный стандарт. Здания и сооружения. Метод математического моделирования температурно-влажностного режима ограждающих конструкций"
(введен в действие Приказом Росстандарта от 30.12.2013 N 2393-ст)
"ГОСТ 32494-2013. Межгосударственный стандарт. Здания и сооружения. Метод математического моделирования температурно-влажностного режима ограждающих конструкций"
(введен в действие Приказом Росстандарта от 30.12.2013 N 2393-ст)
агентства по техническому
регулированию и метрологии
от 30 декабря 2013 г. N 2393-ст
МЕЖГОСУДАРСТВЕННЫЙ СТАНДАРТ
ЗДАНИЯ И СООРУЖЕНИЯ
МЕТОД МАТЕМАТИЧЕСКОГО МОДЕЛИРОВАНИЯ
ТЕМПЕРАТУРНО-ВЛАЖНОСТНОГО РЕЖИМА ОГРАЖДАЮЩИХ КОНСТРУКЦИЙ
Buildings and constructions. The method
of mathematic simulation for temperature
and humidity of protecting constructions
(EN 15026:2007, NEQ)
ГОСТ 32494-2013
Дата введения
1 января 2015 года
Цели, основные принципы и основной порядок работ по межгосударственной стандартизации установлены
ГОСТ 1.0-2015 "Межгосударственная система стандартизации. Основные положения" и
ГОСТ 1.2-2015 "Межгосударственная система стандартизации. Стандарты межгосударственные, правила и рекомендации по межгосударственной стандартизации. Правила разработки, принятия, обновления и отмены"
1 ПОДГОТОВЛЕН Федеральным государственным бюджетным учреждением "Научно-исследовательский институт строительной физики Российской академии архитектуры и строительных наук" (НИИСФ РААСН)
2 ВНЕСЕН Техническим комитетом по стандартизации ТК 465 "Строительство"
3 ПРИНЯТ Межгосударственным советом по стандартизации, метрологии и сертификации (протокол от 14 ноября 2013 г. N 44-П)
За принятие проголосовали:
Краткое наименование страны по МК (ИСО 3166) 004-97 | Код страны по МК (ИСО 3166) 004-97 | Сокращенное наименование национального органа по стандартизации |
Азербайджан | AZ | Азстандарт |
Армения | AM | Минэкономики Республики Армения |
Беларусь | BY | Госстандарт Республики Беларусь |
Казахстан | KZ | Госстандарт Республики Казахстан |
Киргизия | KG | Кыргызстандарт |
Молдова | MD | Молдова-Стандарт |
Россия | RU | Росстандарт |
Таджикистан | TJ | Таджикстандарт |
Узбекистан | UZ | Узстандарт |
4
Приказом Федерального агентства по техническому регулированию и метрологии от 30 декабря 2013 г. N 2393-ст межгосударственный стандарт ГОСТ 32494-2013 введен в действие в качестве национального стандарта Российской Федерации с 1 января 2015 г.
5 В настоящем стандарте учтены положения европейского регионального стандарта EN 15026:2007 "Hygrothermal performance of building components and building elements - Assessment of moisture transfer by numerical simulation" ("Тепловлажностные характеристики строительных конструкций и их элементов - Оценка влагопереноса методом числового моделирования") в части условий и ограничений для математической модели тепло-влагопереноса, а также некоторых граничных условий для основных уравнений
6 ВВЕДЕН ВПЕРВЫЕ
7 ПЕРЕИЗДАНИЕ. Ноябрь 2016 г.
Информация об изменениях к настоящему стандарту публикуется в ежегодном информационном указателе "Национальные стандарты", а текст изменений и поправок - в ежемесячном информационном указателе "Национальные стандарты". В случае пересмотра (замены) или отмены настоящего стандарта соответствующее уведомление будет опубликовано в ежемесячном информационном указателе "Национальные стандарты". Соответствующая информация, уведомление и тексты размещаются также в информационной системе общего пользования - на официальном сайте Федерального агентства по техническому регулированию и метрологии в сети Интернет (www.gost.ru)
В настоящем стандарте приведено описание математической модели тепло- и влагопереноса в ограждающих конструкциях зданий в целях прогнозирования нестационарных процессов переноса влаги в многослойных ограждающих конструкциях, подвергаемых климатическим воздействиям.
По сравнению с оценкой влажностного состояния ограждающих конструкций по стационарным условиям эксплуатации моделирование нестационарного влажностного режима обеспечивает более точные сведения о влажности материалов конструкций и о риске, связанном с проблемами конденсации пара на поверхности.
Модели, рассматриваемые в настоящем стандарте, учитывают накопление влаги, эффекты конденсации и перенос жидкости в материалах конструкций, а также конвективно-лучистый перенос теплоты в граничных условиях. В процессе эксплуатации зданий влажностное состояние материалов ограждающих конструкций изменяется в зависимости от конструктивных особенностей, свойств материалов, температурно-влажностных условий в помещениях, климатических условий района строительства. Влажностный режим определяет эксплуатационные свойства ограждающих конструкций здания и непосредственно влияет на теплозащитные свойства, коррозию металлических деталей, прочностные свойства, напряженно-деформированное состояние, долговечность и эстетику конструкций.
Настоящий стандарт распространяется на ограждающие конструкции зданий и сооружений и устанавливает метод математического моделирования температурно-влажностного режима ограждающих конструкций при нестационарных условиях эксплуатации.
Математическая модель, приведенная в настоящем стандарте, описывает следующие явления нестационарного одномерного переноса теплоты и влаги в конструкциях:
- удаление строительной влаги;
- накопление влаги за счет конденсации в порах и капиллярах вследствие диффузии в переходный и зимний периоды времени;
- увлажнение косыми дождями;
- увлажнение, обусловленное миграцией влаги из наружной части конструкции во внутреннюю в летний период эксплуатации.
Результаты расчета по предложенной математической модели могут быть использованы в следующих целях:
- для повышения энергоэффективности зданий;
- повышения комфортности зданий для проживания;
- повышения долговечности конструкций и сохранения их эксплуатационных свойств.
В настоящем стандарте приведены нормативные ссылки на следующие межгосударственные стандарты:
ГОСТ 166-89 (ИСО 3599-76) Штангенциркули. Технические условия
ГОСТ 427-75 Линейки измерительные металлические. Технические условия
ГОСТ 7076-99 Материалы и изделия строительные. Метод определения теплопроводности и термического сопротивления при стационарном тепловом режиме
ГОСТ 23250-78 Материалы строительные. Метод определения удельной теплоемкости
--------------------------------
ГОСТ 24816-81 Материалы строительные. Метод определения сорбционной влажности
ГОСТ 25898-2012 Материалы и изделия строительные. Методы определения паропроницаемости и сопротивления паропроницанию
ГОСТ 31166-2003 Конструкции ограждающие зданий и сооружений. Метод калориметрического определения коэффициента теплопередачи.
Примечание - При пользовании настоящим стандартом целесообразно проверить действие ссылочных стандартов в информационной сети общего пользования - на официальном сайте Федерального агентства по техническому регулированию и метрологии в сети Интернет или по ежегодному информационному указателю "Национальные стандарты", который опубликован по состоянию на 1 января текущего года, и по выпускам ежемесячного информационного указателя "Национальные стандарты" за текущий год. Если ссылочный стандарт заменен (изменен), то при пользовании настоящим стандартом следует руководствоваться заменяющим (измененным) стандартом. Если ссылочный стандарт отменен без замены, то положение, в котором дана ссылка на него, применяется в части, не затрагивающей эту ссылку.
3. Обозначения и единицы измерения
характеристик тепло- и влагопереноса
В настоящем стандарте применены обозначения и единицы измерения характеристик тепло- и влагопереноса, приведенные в таблице 1.
Таблица 1
Обозначения и единицы измерения
Характеристика | Обозначение | Единица измерения |
Мгновенная скорость капиллярного всасывания | C | кг/(м2·с) |
Удельная теплоемкость материала | c | Дж/(кг·°C) |
Парциальное давление водяного пара | e | Па |
Парциальное давление насыщенного водяного пара | E | Па |
Плотность потока влаги | g | кг/(м2·с) |
Энтальпия | h | Дж |
Интенсивность солнечной радиации | I | Вт/м2 |
Поток влаги | j | кг/м2 |
Поток влаги через наружную поверхность | jн | кг/м2 |
Коэффициент капиллярного всасывания | K | кг/(м2·с1/2) |
Показатель степени в уравнении капиллярного всасывания | n | - |
Атмосферное давление | pа | Па |
Сопротивление паропроницанию слоя | Rп | (м2·ч·Па)/мг |
Плотность теплового потока | q | Вт/м2 |
Температура | t | °C |
Эквивалентная температура воздуха окружающей среды | tн,усл | °C |
Температура поверхности конструкции | tпов | °C |
Влажность по массе | w | кг/кг |
Пространственная координата | x | м |
Время | z | с |
Продолжительность выпадения жидких осадков в месяц | | ч |
Количество осадков, выпадающих на вертикальную поверхность | Hв | мм |
Коэффициент теплоотдачи | | Вт/(м2·°C) |
Коэффициент теплоотдачи наружной поверхности | | Вт/(м2·°C) |
Коэффициент теплоотдачи внутренней поверхности | | Вт/(м2·°C) |
Коэффициент статической влагопроводности | | кг/(м·с) |
Коэффициент динамической влагопроводности | | кг/(м·с) |
Потенциал влажности | | °В |
Коэффициент потенциалопроводности | | кг/(м·с·°В) |
Теплопроводность материала | | Вт/(м·К) |
Коэффициент паропроницаемости материала | | кг/(м·с·Па) |
Плотность материала | | кг/м3 |
Плотность воды | | кг/м3 |
Коэффициент поглощения солнечной радиации материалом наружной поверхности ограждающей конструкции | | - |
Относительная влажность воздуха | | % |
4. Основные уравнения математической модели
Математическая модель, приведенная в настоящем стандарте, предполагает следующие условия и ограничения:
- рассматривается одномерный перенос теплоты и влаги;
- постоянная геометрия конструкции, отсутствие деформаций материалов;
- отсутствие изменений свойств материалов в результате повреждения или старения;
- отсутствие химических реакций;
- все материалы ограждающей конструкции являются изотропными;
- пренебрегают теплотой, выделяемой при фазовых переходах, в том числе при сорбции-десорбции водяного пара;
- пренебрегают зависимостью влагоемкости от температуры;
- пренебрегают термоградиентными механизмами влагопереноса;
- пренебрегают фильтрационными механизмами влагопереноса.
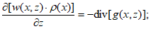
4.2 Основные уравнения тепло- и влагопереноса в ограждающих конструкциях
В качестве основных уравнений тепло- и влагопереноса в ограждающих конструкциях используют дифференциальные уравнения влагопереноса (1) и теплопереноса (2):

(1)

(2)
Потоки влаги и теплоты, проходящие через конструкцию, определяют через потенциалы:

(3)

(4)

(5)

(6)
Примечание - В качестве градиента потенциала влажности используют сумму градиентов частных потенциалов: парциального давления водяного пара в порах материала, влажности материала по массе, температуры в материале, общего давления в материале и др.
| | ИС МЕГАНОРМ: примечание. Формула дана в соответствии с официальным текстом документа. | |
В качестве частных потенциалов математической модели, представленной в настоящем стандарте, используют парциальное давление водяного пара в порах материала

и влажность материала по массе
w:

(7)
где

- относительная влажность воздуха (функция сорбционного влагосодержания материала).
Примечание - Уравнение (7) является наиболее применяемым в практике расчетов.
Более точный расчет относительной влажности воздуха в порах материала может быть проведен, если при непрерывном изменении влажности в материале при известной изотерме сорбции материала, определяемой функцией

, известна изотерма десорбции материала, определяемая функцией

.
Относительную влажность воздуха в порах материала рассчитывают по формуле

(8)
где
Примечание - Приведенная формула означает, что относительная влажность воздуха в порах материала определяется по изотерме сорбции, когда влажность материала возрастает, и по изотерме десорбции, когда влажность убывает.
4.3 Граничные условия теплообмена
4.3.1 Граничные условия теплообмена на поверхностях конструкции
Граничные условия теплообмена на поверхностях конструкции задаются зависимостью между тепловым потоком за счет теплопроводности твердой стенки и тепловым потоком от окружающей среды за счет температурного напора [формулы (9) -
(11)]:
- на внутренней поверхности:

(9)
на наружной поверхности:

(10)

(11)
где L - толщина конструкции, м.
Допускается в качестве граничных условий теплообмена задавать известное значение температуры.
4.3.2 Граничные условия теплообмена на стыке материалов
Граничными условиями теплообмена на стыке материалов являются:
- непрерывность температуры на границе раздела двух материалов внутри ограждающей конструкции:

; (12)
- отсутствие источников и стоков теплоты (тепловой поток непрерывен):

(13)
4.4 Граничные условия влагообмена
4.4.1 Граничные условия влагообмена на поверхностях конструкций
Граничные условия влагообмена на поверхностях конструкций задаются формулами (14) -
(18).
Поток влаги, выходящий из конструкции, определяется уравнениями:
- через внутреннюю поверхность

(14)
- через наружную поверхность

(15)
где Rвп, Rнп - сопротивление паропроницанию внутреннего и наружного слоев, (м2·ч·Па)/мг;
gв, gн - плотность потока жидкой влаги через внутреннюю и наружную поверхности, кг/(м2·с).
Плотность потока влаги (количество жидкой влаги), поглощаемой ограждающей конструкцией, должно определяться в каждом конкретном случае.
Плотность потока жидкой влаги через наружную поверхность gн внутрь ограждающей конструкции при ее нестационарном увлажнении определяют по формуле

(16)
Плотность потока жидкой влаги в наружный слой ограждающей конструкции, вызванной косым дождем, определяют как мгновенную скорость капиллярного всасывания C. При этом плотность потока жидкой влаги не должна превосходить интенсивность выпадения осадков на вертикальную поверхность:

(17)
4.4.2 Граничные условия влагообмена на стыке материалов
При наличии в конструкции пароизоляционного слоя принимают, что жидкая влага не проходит через слой пароизоляции, при этом плотность потока водяного пара определяют по формуле

(18)
где

- сопротивление паропроницанию пароизоляционного слоя.
На стыке двух слоев ограждающей конструкции, выполненных из разных материалов, при отсутствии пароизоляции принимают, что влажности материалов слоев являются равновесными (функционально зависимыми):
В зоне сорбционного увлажнения равновесные влажности материалов принимают по изотермам сорбции (десорбции). При этом парциальное давление водяного пара в порах материалов непрерывно:

. (20)
Для сверхсорбционной зоны
зависимость (19) определяют экспериментально. При условии, что влажность на стыке слоев материалов распределяется пропорционально скоростям капиллярного всасывания,
зависимость (19) описывается соотношением:

(21)
где w1м и w2м - максимальные сорбционные влажности материалов.
Перед расчетом температурно-влажностного режима ограждающей конструкции должны быть известны следующие необходимые исходные данные:
- характеристики граничных условий;
- характеристики материалов конструкции;
- характеристики конструкции;
- характеристики условий проведения расчетов.
5.2 Характеристики граничных условий
К характеристикам граничных условий относятся:
- температура наружного воздуха, переменная в течение года и принимаемая согласно данным натурных наблюдений или по данным, приведенным в
нормах и правилах по строительной климатологии
[1];
- температура внутреннего воздуха, переменная или постоянная в течение года и принимаемая в соответствии с условиями проектирования;
- относительная влажность наружного воздуха, переменная в течение года и принимаемая согласно данным натурных наблюдений или по
[1];
- относительная влажность внутреннего воздуха, переменная или постоянная в течение года и принимаемая в соответствии с условиями проектирования;
- коэффициенты теплоотдачи внутренней и наружной поверхностей конструкции, переменные или постоянные в течение года, вычисляемые для условий решаемой задачи или принимаемые по строительным
нормам и правилам по тепловой защите зданий
[2].
Значения перечисленных параметров необходимо иметь на начало каждого месяца. Изменение их в течение месяца принимают линейным.
5.3 Характеристики материалов конструкции
Перечень характеристик материалов и методы их определения, необходимые для расчетов по математической модели, приведены в таблице 2.
Таблица 2
Характеристики материалов
Наименование характеристики | Обозначение | Значения | Метод определения |
Плотность | | По действующим строительным нормам и правилам | По нормативному документу на материал конкретного вида |
Удельная теплоемкость | c | То же | |
Теплопроводность | | " | |
Изотерма сорбции | | - | |
Коэффициент паропроницаемости | | По действующим строительным нормам и правилам | |
Коэффициент капиллярного всасывания | K | - | |
Коэффициент статической влагопроводности | | - | |
Коэффициент динамической влагопроводности | | - | |
5.4 Характеристики конструкции
Для проведения расчетов должны быть известны следующие данные о конструкции:
- толщина и порядок расположения однородных слоев в конструкции;
- места расположения пароизоляционных слоев и значения их сопротивления паропроницаемости;
- начальная влажность материалов конструкции.
5.5 Характеристики условий проведения расчетов
Характеристики условий проведения расчетов включают в себя:
- месяц, начиная с которого следует проводить расчет;
- число лет, для которых следует проводить расчет;
- промежуток времени, через который следует фиксировать результаты расчета (рекомендуется один месяц).
Результатом расчета температурно-влажностного режима ограждающей конструкции должны быть распределения влажности и температуры по толщине конструкции для любого момента времени ее эксплуатации.
Пример расчета температурно-влажностного режима ограждающей конструкции по математической модели приведен в
приложении Г.
(рекомендуемое)
МЕТОД ОПРЕДЕЛЕНИЯ КОЭФФИЦИЕНТА И МГНОВЕННОЙ СКОРОСТИ
КАПИЛЛЯРНОГО ВСАСЫВАНИЯ ВОДЫ СТРОИТЕЛЬНЫМИ МАТЕРИАЛАМИ
А.1 Средства испытаний
Контейнер для воды.
Часы.
А.2 Подготовка образцов
Для определения коэффициента капиллярного всасывания воды строительным материалом изготовляют образцы материала в виде призм высотой от 100 до 250 мм, размерами поперечного сечения 50 x 50 мм. Боковые грани образцов влагоизолируют (например, парафином или силиконовым герметиком). Образцы взвешивают с точностью до 0,01 г, определяют площадь поперечного сечения. Число образцов должно быть не менее трех.
А.3 Проведение испытаний
Образцы устанавливают вертикально в контейнер с водой так, чтобы нижняя (невлагоизолированная) грань соприкасалась с поверхностью воды. Не допускается касание нижней грани образца дна контейнера.
Образцы взвешивают через следующие интервалы времени: 5 мин от момента соприкосновения образца с водой, далее через 10 мин; 15 мин; 30 мин; 1 ч; 1,5 ч; 3 ч; 6 ч; 24 ч; 48 ч.
Определяют массу воды, поглощенной поверхностью образца площадью 1 м2 Mi, кг/м2, по формуле

(А.1)
где mi - масса влажного образца в момент времени zi, кг;
m0 - масса образца перед испытанием, кг;
F0 - площадь поперечного сечения образца.
А.4 Обработка результатов испытаний
По результатам взвешиваний образца строят график зависимости массы образца
M от

(квадратный корень от времени).
Для определения коэффициента капиллярного всасывания испытуемого материала K и уточнения "закона квадратного корня из времени" для него уравнение, описывающее процесс капиллярного всасывания, записывают в виде
M = Kzn. (А.2)
Для определения значений K и n уравнение (А.2) логарифмируют:
ln M = ln K + n ln z. (А.3)
Строят график в координатах ln M и ln z.
Коэффициент капиллярного всасывания K определяют, исходя из равенства ln M = ln K при z = 1. Для определения показателя степени n в уравнении капиллярного всасывания экспериментальные точки на графике в логарифмических координатах аппроксимируют прямой линией. Угловой коэффициент функции линейной аппроксимации является значением показателя степени n.
Мгновенную скорость капиллярного всасывания воды строительным материалом C, кг/(м2·с), определяют по формуле

(А.4)
За результат испытания принимают среднеарифметические значения результатов испытаний всех образцов.
(рекомендуемое)
МЕТОД ОПРЕДЕЛЕНИЯ КОЭФФИЦИЕНТА СТАТИЧЕСКОЙ
ВЛАГОПРОВОДНОСТИ СТРОИТЕЛЬНЫХ МАТЕРИАЛОВ
Б.1 Средства испытаний
Контейнер для воды.
Часы.
Пила.
Сушильный электрошкаф.
Б.2 Подготовка образцов
Для определения коэффициента статической влагопроводности строительных материалов изготовляют образцы материала в виде призмы высотой от 100 до 250 мм, размерами поперечного сечения 50 x 50 мм или цилиндра диаметром 50 мм, высотой от 100 до 250 мм. Боковые грани образцов влагоизолируют (например, парафином или силиконовым герметиком). Число образцов должно быть не менее трех.
Б.3 Проведение испытаний
Образцы устанавливают вертикально в контейнер с водой так, чтобы нижняя невлагоизолированная грань соприкасалась с поверхностью воды. Не допускается касание нижней грани образца дна контейнера. Зазор между стенками сосуда и боковой поверхностью образца герметизируют (например, парафином или силиконовым герметиком).
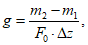
При проведении испытаний контейнер с образцом периодически взвешивают с точностью до 0,01 г и определяют плотность потока влаги через образец по формуле

(Б.1)
где m2 и m1 - массы образца при двух последовательных взвешиваниях, кг;
F0 - площадь поперечного сечения образца, м2;

- интервал времени между взвешиваниями, с.
После установления стационарного потока влаги образцы материала разрезают на несколько частей по высоте. Толщина каждой части должна быть не менее 20 мм. Каждую часть образца взвешивают с точностью до 0,01 г, затем высушивают до постоянной массы, взвешивают и определяют влажность каждой части. Массу каждой части образца считают постоянной, если разность между результатами двух последовательных взвешиваний не превышает 0,01 г.
Б.4 Обработка результатов испытаний
По результатам взвешиваний частей образцов до и после высушивания строят кривую распределения влажности по высоте образца, определяют градиенты влажности, а затем рассчитывают значения коэффициента статической влагопроводности

, кг/(м·с), по формуле

(Б.2)
где g - плотность потока влаги через образец, кг/(м2·с);
grad w - градиент влажности по длине образца, (кг/кг)/м.
Для определения градиента влажности рассматривают участок кривой распределения влажности по высоте образца, где наблюдается изменение влажности. Экспериментальные точки на данном участке аппроксимируют многочленом необходимого порядка, являющимся функцией зависимости влажности w от координаты x. Производная данной функции при каждом значении x является значением градиента влажности в данной точке.
За результат испытания принимают среднеарифметическое значение результатов испытания трех образцов.
(рекомендуемое)
МЕТОД ОПРЕДЕЛЕНИЯ КОЭФФИЦИЕНТА ДИНАМИЧЕСКОЙ
ВЛАГОПРОВОДНОСТИ СТРОИТЕЛЬНЫХ МАТЕРИАЛОВ
В.1 Средства испытаний
Контейнер для воды.
Часы.
Пила.
Сушильный электрошкаф.
В.2 Подготовка образцов
Для определения коэффициента динамической влагопроводности строительных материалов изготовляют образцы материала в виде призм высотой от 100 до 250 мм, размерами поперечного сечения 50 x 50 мм. Боковые грани образцов влагоизолируют (например, парафином или силиконовым герметиком). Образцы взвешивают с точностью до 0,01 г, определяют площадь их поперечного сечения. Число образцов должно быть не менее трех.
В.3 Проведение испытаний
Образцы помещают в контейнер с водой так, чтобы нижняя невлагоизолированная грань соприкасалась с поверхностью воды. Не допускается касание нижней грани образца дна контейнера. Через время z образцы разрезают на части по высоте. Толщина каждой части должна быть не менее 20 мм. Момент времени z устанавливают по результатам анализа кривой капиллярного всасывания до момента первого перелома на ней (при отсутствии перелома - произвольно). Каждую часть образца взвешивают с точностью до 0,01 г, затем высушивают до постоянной массы, взвешивают и определяют влажность каждой части. Массу каждой части образца считают постоянной, если разность между результатами двух последовательных взвешиваний не превышает 0,01 г.
По результатам испытания строят график распределения влажности по высоте образцов.
В.4 Обработка результатов испытаний
По полученному распределению влажности по высоте образца рассчитывают параметры перемещения жидкой влаги в материале w0, k1, k2, a, по которым вычисляют значение коэффициента динамической влагопроводности.
Влажность материала при максимальном капиллярном увлажнении w0 определяют по графику распределения влажности. Рекомендуется при обработке результатов испытания пользоваться влажностью w, измеряемой в кг/кг или в процентах к массе сухого материала.
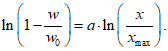
Для расчета параметра k1 рассматривают начальный участок графика распределения влажности по высоте образца. Выбирают точку с наибольшей координатой, в которой влажность материала отличается от влажности при максимальном увлажнении образца w0 не более чем на 5%. Координату указанной точки обозначают xmin. Параметр k1 рассчитывают по формуле

(В.1)
Для расчета параметра k2 рассматривают конечный участок кривой распределения влажности. Кривая на этом участке линейно экстраполируется по двум последним точкам, влажность в которых отличается от начальной, до пересечения с осью координат. Координата этой точки обозначается xmax. Параметр k2 рассчитывают по формуле

(В.2)
Параметр a определяют, исходя из уравнения

(В.3)
Экспериментальные точки наносят на плоскость в координатах

,

и аппроксимируют прямой, проходящей через начало координат. Угловой коэффициент указанной прямой является значением параметра
a.
Значение коэффициента динамической влагопроводности вычисляют с учетом всех параметров перемещения жидкой влаги в материале по формуле

(В.4)
За результат испытания принимают среднеарифметическое значение результатов испытания трех образцов.
(справочное)
ПРИМЕР РАСЧЕТА ТЕМПЕРАТУРНО-ВЛАЖНОСТНОГО РЕЖИМА
ОГРАЖДАЮЩЕЙ КОНСТРУКЦИИ ПО МАТЕМАТИЧЕСКОЙ МОДЕЛИ
В настоящем приложении приведен пример расчета температурно-влажностного режима ограждающей конструкции жилого здания по математической модели, приведенной в настоящем стандарте.
Пример приведен для климатических условий г. Москвы. Принято, что температура и относительная влажность воздуха внутри здания остаются постоянными в течение года и равны 20 °C и 55% соответственно.
Описание ограждающей конструкции и характеристик материалов, необходимых для расчета, приведено в таблице Г.1. Изотермы сорбции используемых материалов приведены в
таблице Г.2.
Таблица Г.1
Описание ограждающей конструкции
и характеристики материалов
Состав стены изнутри наружу | Толщина слоя  , м | Плотность материала  , кг/м 3 | Коэффициент теплопроводности при условиях эксплуатации А и Б  , Вт/м·°C | Коэффициент паропроницаемости  , мг/(м·ч·Па) |
А | Б |
Штукатурка по газобетону | 0,02 | 1550 | 0,76 | 0,93 | 0,05 |
Газобетон марки по средней плотности D400 | 0,3 | 450 | 0,14 | 0,15 | 0,135 |
Пенополистирол | 0,1 | 40 | 0,041 | 0,05 | 0,05 |
Цементно-песчаная штукатурка | 0,01 | 1550 | 0,76 | 0,93 | 0,09 |
Таблица Г.2
Изотермы сорбции материалов конструкции
Наименование материала | Сорбционная влажность, % по массе, при температуре (20 +/- 2) °C и относительной влажности воздуха, % |
10 | 20 | 30 | 40 | 50 | 60 | 70 | 80 | 90 | 97 |
Штукатурка по газобетону | 0,1 | 0,2 | 0,3 | 0,32 | 0,47 | 0,62 | 1,01 | 1,41 | 2,46 | 4,38 |
Газобетон марки по средней плотности D400 | 0,1 | 0,2 | 0,25 | 0,33 | 0,4 | 0,43 | 0,805 | 1,18 | 2,19 | 5,34 |
Пенополистирол | 0,2 | 0,3 | 0,7 | 1,0 | 1,2 | 1,4 | 1,6 | 1,8 | 2,0 | 2,6 |
Цементно-песчаная штукатурка | 0,5 | 0,9 | 1,1 | 1,3 | 1,5 | 1,8 | 2,1 | 2,7 | 3,2 | 4,0 |
В таблице Г.3 приведены температура и относительная влажность воздуха на начало месяца, рассчитанные по данным, приведенным в
[2].
Таблица Г.3
Температура и относительная влажность воздуха
Месяц | I | II | III | IV | V | VI | VII | VIII | IX | X | XI | XII |
Температура, °C | -8,75 | -9,7 | -6,75 | 0,05 | 8,15 | 13,95 | 17,05 | 17,2 | 13,5 | 7,5 | 1,2 | -4,6 |
Относительная влажность воздуха, % | 84,5 | 82,5 | 79,5 | 72 | 62 | 58,5 | 61 | 65,5 | 70,5 | 75,5 | 80 | 83,5 |
Коэффициенты теплоотдачи внутренней и наружной поверхностей ограждающей конструкции постоянны в течение года и приняты равными 8,7 Вт/(м2·°C) и 23 Вт/(м2·°C) соответственно.
Результаты расчета представлены на рисунке Г.1 в виде распределения влажности внутри конструкции после трех лет эксплуатации здания, приведенные на начало февраля (месяца наибольшего влагонакопления).
Рисунок Г.1 - Распределение влажности внутри конструкции