Главная // Актуальные документы // ГОСТ Р (Государственный стандарт)СПРАВКА
Источник публикации
М.: ФГБУ "РСТ", 2022
Примечание к документу
Документ
введен в действие с 01.01.2023.
Взамен ГОСТ Р 54237-2010.
Название документа
"ГОСТ Р 54237-2022. Национальный стандарт Российской Федерации. Топливо твердое минеральное. Определение химического состава золы методом атомно-эмиссионной спектрометрии с индуктивно связанной плазмой"
(утв. и введен в действие Приказом Росстандарта от 05.08.2022 N 741-ст)
"ГОСТ Р 54237-2022. Национальный стандарт Российской Федерации. Топливо твердое минеральное. Определение химического состава золы методом атомно-эмиссионной спектрометрии с индуктивно связанной плазмой"
(утв. и введен в действие Приказом Росстандарта от 05.08.2022 N 741-ст)
Утвержден и введен в действие
по техническому регулированию
и метрологии
от 5 августа 2022 г. N 741-ст
НАЦИОНАЛЬНЫЙ СТАНДАРТ РОССИЙСКОЙ ФЕДЕРАЦИИ
ТОПЛИВО ТВЕРДОЕ МИНЕРАЛЬНОЕ
ОПРЕДЕЛЕНИЕ ХИМИЧЕСКОГО СОСТАВА ЗОЛЫ МЕТОДОМ
АТОМНО-ЭМИССИОННОЙ СПЕКТРОМЕТРИИ
С ИНДУКТИВНО СВЯЗАННОЙ ПЛАЗМОЙ
Solid mineral fuel. Determination of chemical composition
of ash by method of atomic emission spectrometry
with inductively coupled plasma
ГОСТ Р 54237-2022
Дата введения
1 января 2023 года
1 РАЗРАБОТАН Федеральным государственным автономным образовательным учреждением высшего образования "Национальный исследовательский технологический университет "МИСиС" (НИТУ "МИСиС")
2 ВНЕСЕН Техническим комитетом по стандартизации ТК 179 "Топливо твердое минеральное"
3 УТВЕРЖДЕН И ВВЕДЕН В ДЕЙСТВИЕ
Приказом Федерального агентства по техническому регулированию и метрологии от 5 августа 2022 г. N 741-ст
4 Настоящий стандарт разработан с учетом основных нормативных положений стандарта АСТМ Д6349-13 "Стандартный метод определения макро- и микроэлементов в угле, коксе и твердых остатках от сжигания угля и кокса методом атомно-эмиссионной спектрометрии с индуктивно связанной плазмой" (ASTM D6349-13 "Standard test method for determination of major and minor elements in coal, coke and solid residues from combustion of coal and coke by inductively coupled plasma - atomic emission spectrometry", NEQ)
5 ВЗАМЕН ГОСТ Р 54237-2010
Правила применения настоящего стандарта установлены в статье 26 Федерального закона от 29 июня 2015 г. N 162-ФЗ "О стандартизации в Российской Федерации". Информация об изменениях к настоящему стандарту публикуется в ежегодном (по состоянию на 1 января текущего года) информационном указателе "Национальные стандарты", а официальный текст изменений и поправок - в ежемесячном информационном указателе "Национальные стандарты". В случае пересмотра (замены) или отмены настоящего стандарта соответствующее уведомление будет опубликовано в ближайшем выпуске ежемесячного информационного указателя "Национальные стандарты". Соответствующая информация, уведомление и тексты размещаются также в информационной системе общего пользования - на официальном сайте Федерального агентства по техническому регулированию и метрологии в сети Интернет (www.rst.gov.ru)
Настоящий стандарт распространяется на каменные и бурые угли, лигниты, антрациты, горючие сланцы, кокс, торф, брикеты, продукты обогащения, переработки, а также твердые остатки сжигания угля и материалы на их основе (далее - топливо, твердое минеральное топливо) и устанавливает метод определения химического состава золы топлива с использованием атомно-эмиссионной спектрометрии с индуктивно связанной плазмой.
Под химическим составом золы твердого минерального топлива понимают содержание в золе основных 11 элементов в пересчете на оксиды кремния, алюминия, железа, кальция, магния, титана, фосфора, марганца, калия, натрия и серы. В настоящем стандарте в составе золы дополнительно определяют два микроэлемента - барий и стронций.
При определении химического состава золы арбитражными являются методы химического анализа, установленные в
ГОСТ Р 59592.
Примечание - Химический состав золы, полученной в стандартных условиях по
ГОСТ Р 55661, отличается от состава минеральной массы топлива и состава твердых остатков сжигания топлива в промышленных условиях.
В настоящем стандарте использованы нормативные ссылки на следующие стандарты:
ГОСТ 1770 (ИСО 1042-83, ИСО 4788-80) Посуда мерная лабораторная стеклянная. Цилиндры, мензурки, колбы, пробирки. Общие технические условия
ГОСТ 6563 Изделия технические из благородных металлов и сплавов. Технические условия
ГОСТ 9147 Посуда и оборудование лабораторные фарфоровые. Технические условия
ГОСТ 9656 Реактивы. Кислота борная. Технические условия
ГОСТ 10157 Аргон газообразный и жидкий. Технические условия
ГОСТ 10929 Реактивы. Водорода пероксид. Технические условия
ГОСТ 11125 Кислота азотная особой чистоты. Технические условия
ГОСТ 11303 Торф и продукты его переработки. Метод приготовления аналитических проб
ГОСТ 11304 Торф и продукты его переработки. Методы приготовления сборных проб
ГОСТ 11305 Торф и продукты его переработки. Методы определения влаги
ГОСТ 11306 Торф и продукты его переработки. Методы определения зольности
ГОСТ 14261 Кислота соляная особой чистоты. Технические условия
ГОСТ 19908 Тигли, чаши, стаканы, колбы, воронки, пробирки и наконечники из прозрачного кварцевого стекла. Общие технические условия
ГОСТ 23083 Кокс каменноугольный, пековый и термоантрацит. Методы отбора и подготовки проб для испытаний
ГОСТ 25336 Посуда и оборудование лабораторные стеклянные. Типы, основные параметры и размеры
ГОСТ 27313 Топливо твердое минеральное. Обозначение показателей качества и формулы пересчета результатов анализа на различные состояния топлива
ГОСТ 27589 (ISO 687:2010) Кокс. Метод определения влаги в аналитической пробе
ГОСТ 29169 (ИСО 648-77) Посуда лабораторная стеклянная. Пипетки с одной отметкой
ГОСТ 29227 (ИСО 835-1-81) Посуда лабораторная стеклянная. Пипетки градуированные. Часть 1. Общие требования
ГОСТ 33503 (ISO 11722:2013, ISO 5068-2:2007) Топливо твердое минеральное. Методы определения влаги в аналитической пробе
ГОСТ 33654-2022 Угли бурые, каменные и антрацит. Общие требования к методам анализа
ГОСТ 33756 Упаковка потребительская полимерная. Общие технические условия
ГОСТ 33814 Угли и продукты их переработки. Отбор проб со склада
ГОСТ ISO 13909-2 Уголь каменный и кокс. Механический отбор проб. Часть 2. Уголь. Отбор проб из движущихся потоков
ГОСТ ISO 13909-3 Уголь каменный и кокс. Механический отбор проб. Часть 3. Уголь. Отбор проб от стационарных партий
ГОСТ OIML R 76-1 Государственная система обеспечения единства измерений. Весы неавтоматического действия. Часть 1. Метрологические и технические требования. Испытания
ГОСТ Р 51568 (ИСО 3310-1-90) Сита лабораторные из металлической проволочной сетки. Технические условия
ГОСТ Р 52501 (ИСО 3696:1987) Вода для лабораторного анализа. Технические условия
ГОСТ Р 55661 (ИСО 1171:2010) Топливо твердое минеральное. Определение зольности
ГОСТ Р 59248 Угли бурые, каменные, антрацит, горючие сланцы и угольные брикеты. Методы отбора и подготовки проб для лабораторных испытаний
ГОСТ Р 59252 Угли бурые, каменные, антрацит и горючие сланцы. Метод отбора пластовых проб
ГОСТ Р 59253 Угли бурые, каменные, антрацит и горючие сланцы. Метод отбора эксплуатационных проб
ГОСТ Р 59254 Угли бурые и каменные. Метод отбора проб бурением скважин
ГОСТ Р 59257 Угли бурые, каменные антрацит, горючие сланцы и брикеты. Метод приготовления сборных проб
ГОСТ Р 59592 Топливо твердое минеральное. Методы определения химического состава золы
ГОСТ Р ИСО 5725-6-2002 Точность (правильность и прецизионность) методов и результатов измерений. Часть 6. Использование значений точности на практике
ГОСТ Р ИСО 13909-5 Уголь каменный и кокс. Механический отбор проб. Часть 5. Кокс. Отбор проб из движущихся потоков
ГОСТ Р ИСО 13909-6 Уголь каменный и кокс. Механический отбор проб. Часть 6. Кокс. Подготовка проб для испытаний
Примечание - При пользовании настоящим стандартом целесообразно проверить действие ссылочных стандартов в информационной системе общего пользования - на официальном сайте Федерального агентства по техническому регулированию и метрологии в сети Интернет или по ежегодному информационному указателю "Национальные стандарты", который опубликован по состоянию на 1 января текущего года, и по выпускам ежемесячного информационного указателя "Национальные стандарты" за текущий год. Если заменен ссылочный стандарт, на который дана недатированная ссылка, то рекомендуется использовать действующую версию этого стандарта с учетом всех внесенных в данную версию изменений. Если заменен ссылочный стандарт, на который дана датированная ссылка, то рекомендуется использовать версию этого стандарта с указанным выше годом утверждения (принятия). Если после утверждения настоящего стандарта в ссылочный стандарт, на который дана датированная ссылка, внесено изменение, затрагивающее положение, на которое дана ссылка, то это положение рекомендуется применять без учета данного изменения. Если ссылочный стандарт отменен без замены, то положение, в котором дана ссылка на него, рекомендуется применять в части, не затрагивающей эту ссылку.
В настоящем стандарте применены термины по
ГОСТ 17070.
Сущность метода заключается в озолении испытуемой пробы топлива при температуре (815 +/- 10) °C, сплавлении золы с реагентом для сплавления и обработке сплава разбавленным раствором азотной кислоты.
Альтернативно полученную золу переводят в раствор обработкой смесью фтористоводородной, азотной и соляной кислот. В растворе, полученном одним из указанных способов, определяют концентрацию элементов методом атомно-эмиссионной спектрометрии с индуктивно связанной плазмой (метод ICP-AES).
В
таблице 1 приведены рекомендуемые длины волн аналитических спектральных линий элементов, определяемых настоящим методом.
Таблица 1
Рекомендуемые длины волн аналитических линий
определяемых элементов для метода ICP-AES
Элемент | Длина волны, нм |
Кремний | 212,412; 288,16; 251,611 |
Алюминий | 396,152; 256,80; 308,215; 309,271 |
Железо | 259,940; 271,44; 238,204 |
Кальций | 317,93; 315,887; 364,44; 422,67 |
Магний | 279,553; 279,08; 285,21; 277,983 |
Титан | 337,280; 350,50; 334,941 |
Фосфор | 178,287; 214,900 |
Калий | 766,491; 769,896 |
Натрий | 588,995; 589,592 |
Сера | 182,04 |
Марганец | 257,610; 294,92; 293,31; 293,93 |
Барий | 455,403; 493,41; 233,53 |
Стронций | 421,55 |
5.2 Кислота соляная (HCl) особой чистоты по
ГОСТ 14261.
5.3 Кислота фтористоводородная (HF) особой чистоты по
[1].
Примечание - Для хранения фтористоводородной кислоты и работы с ней и ее растворами следует использовать только посуду из полиэтилена или полипропилена.
5.4 Кислота азотная (HNO
3) особой чистоты по
ГОСТ 11125.
5.6 Водорода пероксид (H
2O
2) по
ГОСТ 10929, раствор с объемной долей 30%.
5.7 Аргон газообразный сжатый, высший сорт по
ГОСТ 10157.
5.8 Лития тетраборат (Li
2B
4O
7) по
[2], реагент для сплавления.
5.9 Лития метаборат 2-водный (литий борнокислый) (LiBO
2·2H
2O) чистый по
[3].
Примечание - Реагентом для сплавления может служить тетраборат лития
(5.8) или смесь тетрабората лития
(5.8) с метаборатом лития (5.9) в соотношении 1:4. Используют имеющуюся в продаже смесь для сплавления или приготовленную в лаборатории.
5.10 Литий йодистый (LiI) по
[4].
5.11 Государственные стандартные образцы (ГСО) состава растворов ионов определяемых элементов, используемые для приготовления основных градуировочных растворов
(7.2.5).
Примечания
1 Применяют как одно-, так и многоэлементные ГСО, имеющиеся в продаже. Альтернативно используют стандартные образцы, выпускаемые промышленностью для метода ICP-AES.
2 Растворы можно приготовить из металлов и их солей, содержащих не менее 99,999% основного вещества.
3 Для серы, фосфора и кремния допускается использовать стандартные образцы состава раствора сульфат-, фосфат- и силикат-ионов соответственно. Такие стандартные образцы содержат или могут содержать другие элементы (калий, натрий), что необходимо учитывать при приготовлении смешанных растворов определяемых элементов.
5.12 Внутренний стандартный раствор (внутренний стандарт) - раствор элемента (например, скандия, иттрия, индия или других металлов), содержание которого в топливе ниже предела определения, установленного для конкретного спектрометра.
Наибольшее влияние на результаты анализа оказывает химический состав матрицы анализируемого раствора. Для компенсации нестабильности аналитического сигнала из-за колебаний в составе матрицы используют добавление в анализируемый раствор внутреннего стандарта. Рекомендованная концентрация раствора внутреннего стандарта - от 1 до 10 мкг/см3 в зависимости от чувствительности конкретного спектрометра. Концентрация внутреннего стандарта должна быть одинаковой в градуировочных и анализируемых растворах. Если точность результатов анализа, полученных без использования внутреннего стандартного раствора, соответствует требованиям настоящего стандарта, то допускается проведение анализа без его применения.
Примечание - Растворы готовят из оксидов или солей металлов, содержащих не менее 99,999% основного вещества, или используют готовые стандартные растворы.
5.13 Государственные стандартные образцы состава зол твердых топлив или смеси стандартных образцов отдельных оксидов металлов с аттестованными содержаниями основных компонентов. Например, стандартный образец состава золы каменного угля (CO-1), ГСО 7460-98.
Используемые ГСО должны быть по возможности близкими по составу к анализируемым пробам.
Примечания
1 Допускается применять реактивы по соответствующим нормативным документам и технической документации, в том числе импортные, технические характеристики которых не хуже указанных в данном разделе.
2 При работе с реактивами необходимо соблюдать требования безопасности в соответствии с
[5].
6 Средства измерения, аппаратура и вспомогательное оборудование
6.2 Шкаф сушильный с электронагревом, терморегулятором и регулируемой вентиляцией, с максимальной температурой нагрева 350 °C, обеспечивающий устойчивость температуры нагрева в диапазоне от 100 °C до 130 °C.
6.3 Печь муфельная с максимальной температурой нагрева 1250 °C, снабженная вентиляцией, обеспечивающей воздухообмен в камере не менее одного объема камеры в минуту, терморегулятором с программируемым режимом нагрева, поддерживающим устойчивую температуру нагрева (815 +/- 10) °C и в диапазоне от 1000 °C до 1200 °C.
6.4 Спектрометр атомно-эмиссионный с индуктивно-связанной плазмой.
Работа на спектрометре и обработка аналитических данных осуществляются с использованием соответствующего программного обеспечения согласно прилагаемой инструкции по эксплуатации.
6.5 Система разложения проб, предназначенная для пробирок
(6.6), с регулируемым обогревом, обеспечивающая устойчивую температуру нагрева от 100 °C до 130 °C.
6.6 Пробирки для разложения проб, герметично закрывающиеся, из полипропилена или другого термически и химически стойкого полимера, вместимостью 250 см
3. Пробирки должны иметь кольцевые метки, обозначающие номинальный объем 100 см
3. После неоднократного использования пробирки становятся хрупкими и трескаются, трещины можно обнаружить при их сдавливании. Пробирки следует проверять перед каждым использованием.
6.7 Тигли или лодочки подходящего размера для озоления навески топлива из прозрачного кварцевого стекла по
ГОСТ 19908, фарфора по
ГОСТ 9147 или платины по
ГОСТ 6563.
6.8 Чашки или тигли платиновые для сплавления вместимостью 90 - 100 см
3 по
ГОСТ 6563.
Примечание - Вместо платиновой посуды для сплавления допускается использовать графитовые тигли или тигли из другого инертного материала, выдерживающего операции по сплавлению золы с реагентом и приготовлению из полученного плава раствора.
6.9 Мешалка магнитная лабораторная с подогревом
6.10 Брусочки металлические (якорь) в политетрафторэтиленовой оболочке для перемешивания растворов на магнитной мешалке.
6.11 Сита лабораторные из сеток с размером стороны ячейки 212, 200 и 75 мкм по
ГОСТ Р 51568.
6.12 Цилиндры мерные исполнения 1 (с носиком) разной вместимости по
ГОСТ 1770 или из полипропилена с аналогичными параметрами.
6.13 Колбы мерные с одной отметкой, с пришлифованной или пластмассовой пробкой различной вместимости по
ГОСТ 1770.
6.14 Пипетки с одной отметкой 2-го класса точности различной вместимости по
ГОСТ 29169.
6.15 Пипетки градуированные 2-го класса точности различной вместимости по
ГОСТ 29227.
6.16 Стаканы из термически и химически стойкого стекла, исполнения 1 (с носиком) различной вместимости по
ГОСТ 25336.
6.17 Эксикатор по
ГОСТ 25336 без осушающего вещества.
6.18 Упаковка полимерная для хранения растворов по
ГОСТ 33756, герметично закрывающаяся завинчивающимися крышками.
6.19 Ступка с пестиком яшмовая или агатовая.
Примечание - Все приборы и оборудование, перечисленные в данном разделе, следует эксплуатировать с соблюдением требований безопасности и в условиях, указанных в паспортах к ним или руководствах по эксплуатации, а также в соответствии с
[5].
Все применяемые средства измерений должны быть поверены, испытательное оборудование - аттестовано.
7 Подготовка к проведению испытаний
Перед использованием всю посуду тщательно моют, ополаскивают сначала водопроводной водой, а затем 2 - 3 раза водой по
5.1.
Пронумерованные тигли или лодочки из кварца или фарфора
(6.7) прокаливают в муфельной печи
(6.3) при температуре не ниже 800 °C в течение 2 - 3 ч, охлаждают на воздухе 5 - 7 мин и помещают в эксикатор
(6.17) для хранения.
Платиновые чашки
(6.8) и тигли
(6.7) после использования кипятят в разбавленном растворе соляной кислоты, после чего тщательно моют, ополаскивают водой
(5.1) и прокаливают при температуре 900 °C - 950 °C. Хранят в эксикаторе. После такой очистки платиновую посуду следует брать только чистыми щипцами и предохранять ее от загрязнений с поверхности стола.
7.2 Приготовление растворов
Для приготовления растворов используют воду по
5.1.
7.2.1 Раствор азотной кислоты 5%-ный
В стакан вместимостью 1000 см
3 (6.16) помещают 300 - 400 см
3 воды и осторожно из цилиндра
(6.12) приливают 50 см
3 концентрированной азотной кислоты
(5.4). Содержимое стакана разбавляют водой до объема 1000 см
3 и перемешивают. Раствор хранят в герметично закрытой таре
(6.18) при комнатной температуре.
7.2.2 Раствор для разбавления
Навеску реагента для сплавления (
5.8,
5.9) массой (4,00 +/- 0,05) г, взвешенную с точностью до 0,0001 г, помещают в стакан
(6.16) вместимостью 1000 см
3, в котором находится якорь магнитной мешалки
(6.10). Наливают в стакан 500 см
3 раствора азотной кислоты
(7.2.1), устанавливают стакан на магнитную мешалку
(6.9) и включают нагрев. Нагревают смесь при перемешивании до температуры, близкой к температуре кипения, и выдерживают при этой температуре до растворения реагента. Процесс растворения должен продолжаться не более 30 мин. Снимают стакан с магнитной мешалки и охлаждают на воздухе. После охлаждения содержимое стакана количественно переносят в мерную колбу
(6.13) вместимостью 1000 см
3, промывая стакан несколькими порциями воды, доводят водой до метки и тщательно перемешивают. Раствор можно хранить в колбе или в герметично закрытой таре
(6.18) при комнатной температуре.
7.2.3 Раствор борной кислоты 1,5%-ный
Помещают в стакан вместимостью 1000 см
3 (6.16) 15 г борной кислоты
(5.5) и растворяют в 500 см
3 горячей воды, тщательно перемешивают до полного растворения борной кислоты. После охлаждения содержимое стакана доводят водой до 1000 см
3. Раствор хранят в герметично закрытой таре
(6.18) при комнатной температуре.
7.2.4 Смесь соляной и фтористоводородной кислот в соотношении 7:3
Смешивают по объему семь частей соляной кислоты
(5.2) и три части фтористоводородной кислоты
(5.3). Раствор можно готовить заранее и хранить до использования в герметично закрытой полимерной таре
(6.18).
7.2.5 Основные градуировочные растворы определяемых элементов
Для приготовления основных градуировочных растворов используют государственные стандартные образцы состава раствора ионов определяемых элементов
(5.11). Объем раствора стандартного образца
VГСО, см
3, необходимый для приготовления основного градуировочного раствора заданной концентрации элемента, вычисляют по формуле

, (1)
где C - заданная концентрация элемента в основном градуировочном растворе, мкг/см3;
Vк - объем мерной колбы, используемой для приготовления основного градуировочного раствора, см3;
CГСО - аттестованное значение концентрации элемента в растворе ГСО, мкг/см3.
При приготовлении градуировочных растворов используют пипетки (
6.14,
6.15) необходимой вместимости и мерные колбы
(6.13) вместимостью 100 см
3. В каждую колбу наливают 10 - 15 см
3 воды, добавляют 2 см
3 азотной кислоты
(5.4) и объем стандартного образца состава раствора
VГСО, см
3, вычисленный по
формуле (1). Содержимое колбы доводят водой до метки и тщательно перемешивают. Основной раствор из колбы можно переносить в полимерную тару подходящей вместимости с плотно закрывающейся крышкой
(6.18).
7.2.6 Разбавленные градуировочные растворы определяемых элементов
Разбавленные градуировочные растворы с концентрациями элементов в диапазоне от 1 до 400 мкг/см
3 готовят последовательным разбавлением, но не более чем в 100 раз, основного градуировочного раствора
(7.2.5).
При приготовлении разбавленного градуировочного раствора с заданной концентрацией элемента необходимый объем аликвоты основного градуировочного раствора Vо, см3, вычисляют по формуле

, (2)
где C - заданная концентрация элемента в разбавленном градуировочном растворе, мкг/см3;
Vк - объем мерной колбы, используемой для приготовления разбавленного градуировочного раствора, см3;
Cо - концентрация элемента в основном градуировочном растворе, мкг/см3.
При выборе способа разложения золы сплавлением с реагентом разбавленные градуировочные растворы готовят следующим образом. В мерную колбу вместимостью 100 см
3 (6.13) наливают 10 - 15 см
3 раствора для разбавления
(7.2.2) и с помощью пипетки (
6.14,
6.15) добавляют объем основного градуировочного раствора
(7.2.5), вычисленный по
формуле (2). Затем в мерную колбу добавляют раствор внутреннего стандарта
(5.12), необходимое количество которого для каждого определяемого элемента устанавливают в ходе предварительных испытаний (см.
7.3), доводят содержимое раствором для разбавления до метки и тщательно перемешивают.
При выборе способа разложения золы растворением в смеси кислот в мерную колбу вместимостью 100 см
3 наливают 10 - 15 см
3 раствора борной кислоты
(7.2.3) и с помощью пипетки добавляют объем основного градуировочного раствора, вычисленный по
формуле (2). Затем добавляют в мерную колбу необходимое количество раствора внутреннего стандарта
(5.12), 5 см
3 смеси кислот HCl и HF
(7.2.4) и 2 см
3 азотной кислоты
(5.4). Содержимое колбы доводят до метки раствором борной кислоты
(7.2.3) и тщательно перемешивают.
Примечание - В связи с большим разнообразием состава зол твердого минерального топлива с одной стороны и характеристик применяемых спектрометров с другой стороны для градуировки приборов могут потребоваться растворы определяемых элементов разной концентрации. Исполнитель должен самостоятельно оценить чувствительность используемого прибора, линейную область градуировочной кривой, подобрать концентрации градуировочных растворов, соответствующие характеристикам прибора и близкие к содержанию элементов в анализируемых пробах.
7.2.7 Нулевой раствор для градуировки
Этот раствор используют при построении градуировочных графиков как раствор с концентрацией определяемого элемента, равной нулю.
При выборе способа разложения золы путем ее сплавления с реагентом нулевой раствор для градуировки, приготовленный в мерной колбе вместимостью 100 см
3, представляет собой раствор разбавления
(7.2.2), в который добавляют необходимое количество внутреннего стандарта
(5.12).
При выборе способа разложения золы растворением в смеси кислот нулевой раствор готовят следующим образом. В мерную колбу вместимостью 100 см
3 наливают 10 - 15 см
3 раствора борной кислоты
(7.2.3), добавляют необходимое количество раствора внутреннего стандарта
(5.12), 5 см
3 смеси кислот HCl и HF
(7.2.4) и 2 см
3 азотной кислоты
(5.4). Содержимое колбы доводят до метки раствором борной кислоты
(7.2.3) и тщательно перемешивают.
7.3 Подготовка атомно-эмиссионного спектрометра с индуктивно-связанной плазмой к измерению
Спектрометр
(6.4) готовят к работе в соответствии с инструкцией по эксплуатации прибора.
Примечание - Исполнитель должен путем предварительных испытаний самостоятельно подобрать для измерений аналитическую линию определяемых элементов, учитывая при этом спектральные помехи, уровень фона, а также действие корректирующих факторов, например такого как необходимость добавления и требуемый объем внутреннего стандарта
(5.12).
Готовность спектрометра к работе контролируют анализом стандартных образцов.
8 Отбор и приготовление проб
Отбор проб и приготовление аналитических проб топлива проводят по
ГОСТ 11303,
ГОСТ 11304, ГОСТ 23083,
ГОСТ 33814,
ГОСТ ISO 13909-2,
ГОСТ ISO 13909-3,
ГОСТ Р 54332,
ГОСТ Р 59248,
ГОСТ Р 59252,
ГОСТ Р 59253,
ГОСТ Р 59254,
ГОСТ Р 59257, ГОСТ Р ИСО 13909-5, ГОСТ Р ИСО 13909-6,
ГОСТ Р ИСО 18283 и
[6]. Аналитическую пробу измельчают до прохождения через сито с размером стороны ячейки 212 мкм. Допускается использовать пробу, проходящую через сито с размером стороны ячейки 200 мкм. Оборудование, используемое для измельчения, не должно загрязнять пробу металлом. Измельченная проба должна находиться в воздушно-сухом состоянии, для чего ее раскладывают тонким слоем и выдерживают на воздухе при комнатной температуре в течение минимального времени, необходимого для достижения равновесия между влажностью пробы и влажностью окружающей атмосферы. Приготовление аналитических проб твердых остатков сжигания и материалов на их основе проводят аналогично приготовлению аналитических проб топлива.
Перед взятием навески пробу тщательно перемешивают не менее 1 мин, предпочтительно механическим способом.
Определение содержания влаги воздушно-сухой пробы продуктов обогащения, переработки, а также твердых остатков сжигания угля и материалов на их основе проводят высушиванием навески пробы в сушильном шкафу
(6.2) на воздухе при температуре от 105 °C до 110 °C до постоянной массы.
Массовую долю влаги в пробе вычисляют по потере массы навески при ее высушивании и выражают в процентах по отношению к массе исходной навески.
Отбор и подготовку проб остатков сжигания твердого топлива и материалов на их основе допускается проводить в соответствии с нормативными и/или техническими документами, действующими на предприятии.
Определяемые элементы переводят в раствор, используя один из способов разложения золы:
- сплавление с реагентом и последующее растворение плава в разбавленной азотной кислоте;
- обработка смесью фтористоводородной, азотной и соляной кислот.
Выбирают способ разложения, исходя из технических возможностей лаборатории. При этом следует учитывать, что в процессе сплавления с тетра- и метаборатом лития возможны потери серы.
Примечание - Допускается использовать другие методы разложения золы пробы при условии достижения полноты извлечения определяемых элементов. Для проверки метода разложения предварительно проводят анализ стандартного образца
(5.13) с использованием этого метода разложения и сравнивают полученные результаты с аттестованными значениями содержаний определяемых элементов в стандартном образце. Погрешности полученных результатов должны удовлетворять требованиям
13.2.
Взвешивают подготовленный по
7.1 тигель/лодочку
(6.7) и помещают в него навеску аналитической пробы топлива, равномерно распределяя ее по дну тигля/лодочки. Тигель/лодочку с навеской пробы снова взвешивают. Все взвешивания проводят на весах
(6.1) с точностью до 0,0001 г.
Примечание - Масса навески золы для приготовления одного анализируемого раствора определяемых элементов должна быть не менее 0,1 г. В соответствии с количеством необходимых параллельных определений рассчитывают массу навески каждой пробы твердого минерального топлива для озоления.
Помещают тигель/лодочку с навеской пробы в холодную муфельную печь
(6.3), нагревают печь в течение 2 ч до температуры (815 +/- 10) °C и выдерживают при данной температуре тигель/лодочку с пробой не менее 2 ч. Извлекают тигель/лодочку из муфельной печи и охлаждают сначала на воздухе, затем в эксикаторе
(6.17) без осушающего вещества. Взвешивают тигель/лодочку с золой с точностью до 0,0001 г, а затем проводят контрольные прокаливания продолжительностью 1 ч каждое при температуре (815 +/- 10) °C, каждый раз охлаждая и взвешивая тигель/лодочку с золой, как описано выше. Озоление продолжают до получения постоянной массы тигля/лодочки с золой, когда разность результатов взвешиваний после двух последовательных контрольных прокаливаний составит не более 0,001 г, после чего вычисляют зольность каждой пробы. Общее время озоления не должно превышать 18 ч.
Примечание - Данная процедура озоления пригодна для большинства продуктов, входящих в область распространения настоящего стандарта. При озолении проб кокса и торфа следует также учитывать требования
ГОСТ Р 55661 и
ГОСТ 11306 соответственно.
Полученную золу растирают в ступке
(6.19) до прохождения через сито из сетки со стороной ячейки 75 мкм
(6.11) и переносят в герметичный контейнер для хранения.
9.3 Приготовление анализируемого раствора при сплавлении золы с реагентом
Навеску золы (0,100 +/- 0,001) г, приготовленной по
9.2, взвешивают с точностью до 0,0001 г и переносят в платиновую чашку
(6.8). Туда же помещают (0,400 +/- 0,005) г реагента для сплавления (
5.8,
5.9). Тщательно перемешивают реагент с золой. Для лучшего сплавления золы с реагентом и образования из полученного сплава легкоудаляемой таблетки в платиновую чашку с золой и реагентом также можно добавить приблизительно 0,1 г йодида лития
(5.10).
Помещают платиновую чашку в муфельную печь
(6.3) предварительно нагретую до температуры 1000 °C - 1200 °C. Выдерживают чашку при данной температуре не менее 7 мин до получения прозрачного плава. По окончании сплавления удаляют платиновую чашку из муфельной печи и охлаждают до комнатной температуры.
Помещают в платиновую чашку якорь магнитной мешалки
(6.10) и приливают 50 см
3 раствора азотной кислоты
(7.2.1). Устанавливают чашку на магнитную мешалку
(6.9) и включают нагрев. Нагревают чашку с раствором при постоянном перемешивании до температуры, близкой к температуре кипения, и выдерживают в этих условиях до растворения плава, но не более 30 мин.
Примечание - Допускается нагревать чашку на электрической плитке при перемешивании содержимого стеклянной палочкой вместо использования магнитной мешалки с якорем. Если перемешивание не поддерживать постоянно, некоторые соединения могут образовать осадки. Прежде всего это относится к кремниевой кислоте, выпадающей в осадок при нагревании в кислой среде. В этом случае анализ следует повторить заново.
Охлаждают чашку с раствором на воздухе до комнатной температуры. Затем раствор из чашки количественно переносят в мерную колбу вместимостью 100 см
3 (6.13), обмывают внутреннюю поверхность чашки небольшими порциями воды и сливают промывные воды
(5.1) в ту же мерную колбу. Добавляют в колбу необходимое количество внутреннего стандартного раствора
(5.12) и доводят раствор в колбе до метки водой.
9.4 Приготовление анализируемого раствора при растворении золы в смеси кислот
Взвешивают (0,100 +/- 0,001) г золы, приготовленной по
9.1, в сухой пробирке
(6.6) на аналитических весах
(6.1) с точностью до 0,0001 г. Отбирают не менее двух навесок золы каждой пробы топлива для проведения параллельных испытаний.
Примечание - Если конструкция весов не позволяет взвесить навеску золы непосредственно в пробирке, то навеску взвешивают в отдельной емкости, после чего переносят в пробирку. Точную массу взятой навески определяют по разности между массой емкости с навеской и массой емкости после переноса навески в пробирку.
Используя цилиндры
(6.12), добавляют в пробирки с золой 5 см
3 смеси кислот HCl и HF
(7.2.4) и 2 см
3 азотной кислоты
(5.4), тщательно перемешивают содержимое пробирок. Закрывают пробирки и помещают в предварительно нагретую до температуры 100 °C - 130 °C систему разложения проб
(6.5) или сушильный шкаф
(6.2), где выдерживают при данной температуре не менее 2 ч.
Примечание - Некоторые остатки от сжигания могут содержать сульфитную серу. Если известно, что проба содержит сульфиты или их присутствие предполагается, в сосуд для разложения пробы добавляют 1 см
3 раствора H
2O
2 (5.6). Пероксид водорода окисляет сульфиты до сульфатов, которые количественно разлагаются в процессе приготовления раствора пробы.
Пробирки вынимают и охлаждают на воздухе до комнатной температуры. Открывают пробирки, добавляют необходимое количество внутреннего стандарта
(5.12) и доводят содержимое в пробирке до метки 100 см
3 раствором борной кислоты
(7.2.3). Закрывают пробирки и снова помещают в систему разложения проб или сушильный шкаф, нагретые до температуры 100 °C - 130 °C, продолжая нагревание еще в течение 1 ч. Пробирки вынимают и охлаждают на воздухе до комнатной температуры.
9.5 Приготовление раствора холостого опыта
Готовят раствор холостого опыта одновременно с приготовлением анализируемых растворов по
9.3 или
9.4, но без навески пробы, выполняя все операции и используя те же количества реактивов и воды.
9.6 Градуировка спектрометра
9.6.1 Установление градуировочных характеристик
Проводят градуировку спектрометра для каждого определяемого элемента, используя нулевой раствор для градуировки
(7.2.7) и не менее трех разбавленных градуировочных растворов
(7.2.6) с разной концентрацией элемента, образующих линейную область на градуировочном графике. В
таблице 2 для примера приведены рекомендуемые концентрации градуировочных растворов двух элементов, выбор которых проведен с учетом следующих требований:
- раствор А - градуировочный раствор с максимальной концентрацией определяемого элемента;
- раствор Б - градуировочный раствор со средней концентрацией определяемого элемента, составляющей приблизительно половину концентрации раствора А;
- раствор В - градуировочный раствор с минимальной концентрацией определяемого элемента, составляющей приблизительно десятую часть концентрации раствора Б.
Таблица 2
Пример рекомендуемых концентраций градуировочных растворов
Определяемый элемент | Ожидаемая концентрация элемента в анализируемом растворе, мкг/см3 | Рекомендуемая концентрация элемента в градуировочном растворе, мкг/см3 |
Раствор А | Раствор Б | Раствор В |
Кальций | От 10 до 20 | 30 | 15 | 1,5 |
Кремний | От 180 до 230 | 400 | 200 | 20 |
Строят градуировочные графики в координатах: концентрация определяемого элемента в растворе (мкг/см
3) - отношение интенсивности аналитической линии определяемого элемента к интенсивности аналитической линии внутреннего стандартного раствора
(5.12).
Примечание - В связи с разнообразием моделей спектрометров невозможно указать приборные настройки и условия проведения измерений, пригодные для всех случаев. Допускается применять другие методы определения градуировочных характеристик, если это предусмотрено программным обеспечением прибора.
9.6.2 Контроль стабильности градуировочных характеристик
Контроль стабильности градуировочных характеристик осуществляют перед началом серии измерений и повторяют через каждые 15 - 20 мин в процессе измерений интенсивности аналитических линий элементов в растворе анализируемой пробы (
9.3,
9.4) и в растворе холостого опыта
(9.5). Для контроля предпочтительно использовать градуировочный раствор со средней концентрацией определяемого элемента.
Градуировочную характеристику признают стабильной, если отклонение измеренной концентрации определяемого элемента в градуировочном растворе от приписанной ему концентрации не превышает +/- 5%.
Если при проверке стабильности градуировки выявлено несоответствие приведенному выше критерию, проверку повторяют. При повторном получении неудовлетворительного результата, градуировку проводят заново. Измерения всех растворов, проведенные после последней удовлетворительной проверки градуировки, повторяют с новой градуировкой.
9.7 Проведение измерений
Измерения проводят в соответствии с инструкцией по эксплуатации конкретного ICP-спектрометра.
Измерение концентрации каждого элемента в каждом растворе, приготовленном по
9.3,
9.4 или
9.5, проводят не менее трех раз. Вычисляют среднее значение концентрации каждого элемента в анализируемом растворе и в растворе холостого опыта.
Все результаты измерений анализируемых растворов должны лежать в диапазоне концентраций градуировочных характеристик.
Если концентрация элемента в анализируемом растворе превышает верхнюю границу диапазона градуировочной характеристики, то анализируемый раствор разбавляют водой и записывают коэффициент разбавления D, при этом раствор холостого опыта разбавляют во столько же раз.
При разбавлении используют мерные колбы по
6.13 и пипетки по
6.14 или
6.15. При этом объем аликвоты анализируемого раствора и раствора холостого опыта, отбираемый для разбавления, должен быть не менее 1 см
3. Коэффициент однократного разбавления не должен превышать 100.
10.1 Массовую долю каждого элемента в золе ЭA, %, вычисляют по формуле

, (3)
где C - концентрация определяемого элемента в измеряемом анализируемом растворе, мкг/см3;
Cх.о - концентрация определяемого элемента в измеряемом растворе холостого опыта, мкг/см3;
V - объем измеряемого анализируемого раствора, см3;
D - коэффициент разбавления;
m - масса навески золы, взятой для анализа, г.
10.2 Массовую долю каждого элемента в воздушно-сухой аналитической пробе топлива Эа, %, вычисляют по формуле

, (4)
где
Aа - зольность воздушно-сухой аналитической пробы, определяемая по
9.2, %, вычисляемая по формуле

, (5)
где m3 - масса тигля/лодочки с золой, г;
m1 - масса пустого тигля/лодочки, г;
m2 - масса тигля/лодочки с навеской топлива, взятой для озоления, г.
Массовую долю каждого элемента в золе или топливе, выраженную в процентах, пересчитывают на массовую долю оксида этого элемента в золе или топливе, выраженную в процентах, по формулам, приведенным в
таблице 3.
Таблица 3
Формулы пересчета массовых долей элементов, выраженных
в процентах, на массовые доли оксидов элементов,
выраженные в процентах
Элемент | Формула пересчета |
Кремний | |
Алюминий | |
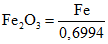
Железо | |
Кальций | |
Магний | |
Титан | |
Фосфор | |
Натрий | |
Калий | |
Марганец | |
Сера | |
Барий | |
Стронций | |
Пересчет результатов на другие состояния топлива, отличные от воздушно-сухого, проводят по
ГОСТ 27313.
Если абсолютное расхождение между результатами двух параллельных определений, полученных в условиях повторяемости, не превышает значения предела повторяемости r, то за окончательный результат определения принимают среднее арифметическое результатов двух параллельных определений.
При превышении пределов повторяемости используют методы проверки приемлемости результатов параллельных определений и установления окончательного результата определений по ГОСТ Р ИСО 5725-6-2002
(подраздел 5.2).
Прецизионность метода характеризуется повторяемостью и воспроизводимостью полученных результатов.
11.1 Предел повторяемости
Расхождение результатов двух параллельных определений, проведенных в пределах короткого промежутка времени в одной лаборатории одним и тем же исполнителем, с использованием одной и той же аппаратуры на представительных навесках, отобранных от одной и той же пробы золы, подготовленной к анализу, не должно превышать предела повторяемости
r, указанного в
таблице 4.
Таблица 4
Область концентраций и максимально допустимые расхождения
между результатами определения оксидов элементов в золе
твердого минерального топлива при доверительной
вероятности P = 95%
Оксид элемента | Область концентраций | Предел повторяемости r | Предел воспроизводимости R |
SiO2 | 2,04% - 73,73% | | |
Al2O3 | 1,04% - 29,54% | | |
Fe2O3 | 0,39% - 47,94% | | |
MgO | 0,40% - 7,29% | | |
CaO | 1,04% - 44,03% | | |
TiO2 | 0,06% - 1,47% | | |
K2O | 0,09% - 2,53% | | |
P2O5 | 0,10% - 1,34% | | |
Na2O | 0,17% - 7,44% | | |
MnO2 | 198 - 834 мкг/г | | |
BaO | 266 - 950 мкг/г | | |
BaO | 0,13% - 3,00% | | |
SrO | 285 - 10 460 мкг/г | | |
SO3 | 0,14% - 10,0% | 0,03 + 0,06 | 0,08 + 0,06 |
Примечания 1  ,  - средние арифметические значения результатов определения оксида элемента, полученные в одной лаборатории и в разных лабораториях соответственно. 2 При обработке данных по SO3 учтены только результаты, полученные при разложении золы смесью соляной, фтористоводородной и азотной кислот. |
11.2 Предел воспроизводимости
Расхождение двух результатов, каждый из которых представляет собой среднеарифметическое значение результатов параллельных определений, полученных в двух разных лабораториях на дубликатах одной и той же пробы золы, подготовленной к анализу, не должно превышать предела воспроизводимости
R, указанного в
таблице 4.
Протокол испытаний должен содержать:
а) дату отбора пробы;
б) описание, идентификацию и при необходимости состояние пробы;
в) обозначение настоящего стандарта;
г) идентификацию применяемого метода; дополнения, отклонения или исключения из метода;
д) характеристики спектрометра, атомизатора и тип спектральной лампы, используемых при анализе;
е) результаты испытаний, методы их расчета с указанием, к какому состоянию топлива они относятся, единицы измерения;
ж) информацию об особых условиях испытаний, таких как условия окружающей среды;
и) содержание аналитической влаги в пробе топлива, если результаты представлены на воздушно-сухое состояние топлива;
к) дату проведения испытаний;
л) подпись лица, проводившего испытания;
м) идентификацию лиц(а), утвердивших(его) протокол.
13 Контроль качества измерений
13.1 Общие положения
Контроль качества измерений предусматривает следующие виды контроля:
- контроль погрешности результатов измерений по
13.2;
- контроль стабильности результатов измерений по
13.3.
13.2 Контроль погрешности результатов измерений
Контроль погрешности результатов измерений проводят с использованием стандартных образцов
(5.13). Желательно, чтобы матрица и состав образца максимально соответствовали составу анализируемых проб.
Стандартный образец для контроля анализируют в точном соответствии с процедурой, установленной в
разделе 9, а затем обрабатывают результаты измерений, проверяют их приемлемость и устанавливают окончательный результат измерений согласно
разделу 10. Результат контроля признают удовлетворительным при выполнении условия

, (6)

, (7)
где

- результат определения массовой доли оксида элемента в образце для контроля, % или мкг/г;
Cо - опорное (аттестованное) значение массовой доли оксида элемента в образце для контроля, % или мкг/г;
CD0,95 - критическая разность для P = 0,95, % или мкг/г;
R и
r - предел воспроизводимости и предел повторяемости, определяемые по
таблице 4, % или мкг/г.
При неудовлетворительных результатах контроля находят и устраняют их причины, после чего процедуру контроля повторяют.
При отсутствии стандартных образцов или их ограниченном количестве в качестве средств контроля могут быть использованы рабочие пробы стабильного состава или стандартный образец предприятия (СОП).
13.3 Контроль стабильности результатов измерений
Результаты измерений, полученные при контроле погрешности результатов измерений, могут быть использованы при реализации контроля стабильности результатов измерений массовой доли определяемых элементов.
Контроль стабильности результатов измерений рекомендуется проводить с использованием контрольных карт в соответствии с
[7],
ГОСТ Р ИСО 5725-6 или ГОСТ 33654-2022
(приложение Д).
Периодичность контроля стабильности результатов выполняемых измерений определяют по ГОСТ 33654-2022
(приложение Д) или регламентируют в руководстве по качеству лаборатории.
При неудовлетворительных результатах контроля выясняют причины этих отклонений и принимают меры по их устранению.
| ТУ 2612-028-69886968-2014 | Фтористоводородная кислота ОСЧ 27 |
| ТУ 6-09-04-253-86 | Литий тетраборнокислый хч (литий тетраборат безводный) |
| ТУ 6-09-4756-79 | Литий метаборат 2-водный (литий борнокислый) чистый |
| ТУ 6-09-3551-79 | Лития йодистый плавленый, 1-водный квалификации чистый, чистый для анализа |
| | Методические рекомендации. Техника безопасности при работе в аналитических лабораториях (общие положения) |
| Методические указания по отбору проб и расчету компонентного состава золошлаковых отходов тепловых электростанций и котельных. Разработаны ОАО "ВТИ". Приняты РАО энергетики и электрификации 14 апреля 2008 г. Опубликованы РАО "ЕЭС России" |
| | Государственная система обеспечения единства измерений. Внутренний контроль качества результатов количественного химического анализа |
УДК 662.6:543.812:006.354 | |
Ключевые слова: топливо твердое минеральное, определение химического состава золы методом атомно-эмиссионной спектрометрии с индуктивно-связанной плазмой |