Главная // Актуальные документы // ГОСТ Р (Государственный стандарт)СПРАВКА
Источник публикации
М.: ФГБУ "Институт стандартизации", 2023
Примечание к документу
Документ
введен в действие с 01.08.2023.
Название документа
"ГОСТ Р 8.1026-2023. Национальный стандарт Российской Федерации. Государственная система обеспечения единства измерений. Преобразователи расхода турбинные, расходомеры турбинные, счетчики жидкости турбинные. Методика поверки"
(утв. и введен в действие Приказом Росстандарта от 27.04.2023 N 277-ст)
"ГОСТ Р 8.1026-2023. Национальный стандарт Российской Федерации. Государственная система обеспечения единства измерений. Преобразователи расхода турбинные, расходомеры турбинные, счетчики жидкости турбинные. Методика поверки"
(утв. и введен в действие Приказом Росстандарта от 27.04.2023 N 277-ст)
Утвержден и введен в действие
агентства по техническому
регулированию и метрологии
от 27 апреля 2023 г. N 277-ст
НАЦИОНАЛЬНЫЙ СТАНДАРТ РОССИЙСКОЙ ФЕДЕРАЦИИ
ГОСУДАРСТВЕННАЯ СИСТЕМА ОБЕСПЕЧЕНИЯ ЕДИНСТВА ИЗМЕРЕНИЙ
ПРЕОБРАЗОВАТЕЛИ РАСХОДА ТУРБИННЫЕ, РАСХОДОМЕРЫ ТУРБИННЫЕ,
СЧЕТЧИКИ ЖИДКОСТИ ТУРБИННЫЕ
МЕТОДИКА ПОВЕРКИ
State system for ensuring the uniformity of measurements.
Turbine flow transducers, turbine flowmeters, turbine
meters. Verification procedure
ГОСТ Р 8.1026-2023
Дата введения
1 августа 2023 года
1 РАЗРАБОТАН Федеральным государственным унитарным предприятием "Всероссийский научно-исследовательский институт метрологии им. Д.И. Менделеева" (ФГУП "ВНИИМ им. Д.И. Менделеева") в лице обособленного подразделения Всероссийского научно-исследовательского института расходометрии - филиала Федерального государственного унитарного предприятия "Всероссийский научно-исследовательский институт метрологии им. Д.И. Менделеева" (ВНИИР - филиал ФГУП "ВНИИМ им. Д.И. Менделеева")
2 ВНЕСЕН Техническим комитетом по стандартизации ТК 024 "Метрологическое обеспечение добычи и учета энергоресурсов (жидкостей и газов)"
3 УТВЕРЖДЕН И ВВЕДЕН В ДЕЙСТВИЕ
Приказом Федерального агентства по техническому регулированию и метрологии от 27 апреля 2023 г. N 277-ст
4 ВВЕДЕН ВПЕРВЫЕ
Правила применения настоящего стандарта установлены в статье 26 Федерального закона от 29 июня 2015 г. N 162-ФЗ "О стандартизации в Российской Федерации". Информация об изменениях к настоящему стандарту публикуется в ежегодном (по состоянию на 1 января текущего года) информационном указателе "Национальные стандарты", а официальный текст изменений и поправок - в ежемесячном информационном указателе "Национальные стандарты". В случае пересмотра (замены) или отмены настоящего стандарта соответствующее уведомление будет опубликовано в ближайшем выпуске ежемесячного информационного указателя "Национальные стандарты". Соответствующая информация, уведомление и тексты размещаются также в информационной системе общего пользования - на официальном сайте Федерального агентства по техническому регулированию и метрологии в сети Интернет (www.rst.gov.ru)
Настоящий стандарт распространяется на турбинные преобразователи расхода, турбинные расходомеры и турбинные счетчики жидкости с частотно-импульсным выходом, применяемые для измерений нефти, нефтепродуктов и стабильного газового конденсата в составе систем измерений количества и показателей качества нефти, нефтепродуктов, стабильного газового конденсата, измерительных систем, измерительных установок, измерительных комплексов.
Настоящий стандарт устанавливает методику первичной и периодической поверок турбинных преобразователей расхода, турбинных расходомеров и турбинных счетчиков жидкости.
В настоящем стандарте использованы нормативные ссылки на следующие стандарты:
ГОСТ 33 Нефть и нефтепродукты. Прозрачные и непрозрачные жидкости. Определение кинематической и динамической вязкости
ГОСТ 1756 (ИСО 3007-99) Нефтепродукты. Определение давления насыщенных паров
ГОСТ 2517 Нефть и нефтепродукты. Методы отбора проб
ГОСТ 3900 Нефть и нефтепродукты. Методы определения плотности
ГОСТ 31610.0 (IEC 60079-0:2017) Взрывоопасные среды. Часть 0. Оборудование. Общие требования
ГОСТ Р 51069 Нефть и нефтепродукты. Метод определения плотности, относительной плотности и плотности в градусах API ареометром
ГОСТ Р 52340 Нефть. Определение давления паров методом расширения
Примечание - При пользовании настоящим стандартом целесообразно проверить действие ссылочных стандартов в информационной системе общего пользования - на официальном сайте Федерального агентства по техническому регулированию и метрологии в сети Интернет или по ежегодному информационному указателю "Национальные стандарты", который опубликован по состоянию на 1 января текущего года, и по выпускам ежемесячного информационного указателя "Национальные стандарты" за текущий год. Если заменен ссылочный стандарт, на который дана недатированная ссылка, то рекомендуется использовать действующую версию этого стандарта с учетом всех внесенных в данную версию изменений. Если заменен ссылочный стандарт, на который дана датированная ссылка, то рекомендуется использовать версию этого стандарта с указанным выше годом утверждения (принятия). Если после утверждения настоящего стандарта в ссылочный стандарт, на который дана датированная ссылка, внесено изменение, затрагивающее положение, на которое дана ссылка, то это положение рекомендуется применять без учета данного изменения. Если ссылочный стандарт отменен без замены, то положение, в котором дана ссылка на него, рекомендуется применять в части, не затрагивающей эту ссылку.
В настоящем стандарте применены следующие термины с соответствующими определениями:
3.1 средство измерений: Техническое средство, предназначенное для измерений.
3.2 турбинный преобразователь расхода: Тахометрический преобразователь расхода, в котором преобразовательным элементом является аксиально или тангенциально расположенная турбина.
3.3 тахометрический преобразователь расхода: Преобразователь расхода жидкости, в котором скорость движения преобразовательного элемента, взаимодействующего с потоком жидкости, зависит от расхода жидкости.
3.4 турбинный расходомер: Тахометрический расходомер, в котором преобразовательным элементом является турбина.
3.5 тахометрический расходомер: расходомер жидкости, принцип действия которого основан на зависимости скорости движения преобразовательного элемента, установленного в трубопроводе или в специальной камере, от расхода жидкости.
3.6 турбинный счетчик жидкости: Счетчик жидкости, в котором турбина расположена аксиально или тангенциально.
3.7 расход жидкости: Физическая величина, равная пределу отношения приращения массы, или объема, или количества жидкости, протекающей в трубопроводе через сечение, перпендикулярное направлению скорости потока, к интервалу времени, за который это приращение произошло, при неограниченном уменьшении интервала времени.
3.8 объемный расход жидкости: Расход жидкости, выражаемый через ее объем и время.
3.9 рабочий диапазон измерений расхода: Диапазон измерений расхода рабочей жидкости, в котором эксплуатируется средство измерений и нормируются его метрологические характеристики.
3.10 рабочая жидкость: Жидкость, значения расхода и/или объема которой измеряются в рабочих условиях.
3.11 поверочная жидкость: Жидкость, с применением которой осуществляют поверку средства измерений.
3.12 трубопоршневая установка: Средство измерений объема или объемного расхода жидкости, состоящее из трубопровода с калиброванным участком, на котором расположены детекторы прохождения поршня, перемещающегося в трубе под действием потока или принудительно и вытесняющего объем жидкости, эквивалентный вместимости калиброванного участка средства измерений, за интервалы времени между срабатываниями детекторов.
3.13 компакт-прувер: Трубопоршневая установка, состоящая из цилиндрического калиброванного участка, внутри которого установлен поршень с тарельчатым клапаном, оптических детекторов положения поршня.
3.14 стандартные условия: Условия, соответствующие температуре жидкости 15 °C или 20 °C и избыточному давлению 0 МПа.
3.15 измерительная система: Совокупность средств измерений и других средств измерительной техники, размещенных в разных точках объекта измерения, функционально объединенных с целью измерений одной или нескольких величин, свойственных этому объекту.
3.16
эксплуатационный документ: Конструкторский документ, который в отдельности или в совокупности с другими документами определяет правила эксплуатации изделия и/или отражает сведения, удостоверяющие гарантированные изготовителем значения основных параметров и характеристик (свойств) изделия, гарантии и сведения по его эксплуатации в течение установленного срока службы. |
В настоящем стандарте использованы следующие сокращения:
ГХ - градуировочная характеристика;
ИЛ - измерительная линия;
КП - компакт-прувер;
МХ - метрологические характеристики;
ПВ - поточный преобразователь вязкости;
ПП - поточный преобразователь плотности;
ПР - преобразователь объемного расхода;
ПУ - поверочная установка;
СИ - средство измерений;
СИКГК - система измерений количества и показателей качества газового конденсата;
СИКН - система измерений количества и показателей качества нефти;
СИКНП - система измерений количества и показателей качества нефтепродуктов;
СКО - среднее квадратическое отклонение;
СОИ - система обработки информации;
ТПУ - трубопоршневая установка.
5.1 Поверку осуществляют методом непосредственного сличения в соответствии с требованиями части 2 Государственной поверочной схемы, утвержденной
[1], обеспечивающим передачу единицы объемного расхода и объема жидкости в потоке от рабочих эталонов 1-го разряда (ТПУ, КП или ПУ с ПР) и 2-го разряда (ТПУ, КП) и прослеживаемость к Государственному первичному эталону единицы объема жидкости в диапазоне от 1,0·10
-9 м
3 до 1,0 м
3 ГЭТ 216-2018 и к Государственному первичному эталону единицы массы (килограмма) ГЭТ 3-2020.
5.2 Способы поверки
5.2.1 Поверка с применением ТПУ или КП
При поверке определяют соответствие числа импульсов, поступивших от поверяемого ПР, величине вытесненного из ТПУ или КП объема жидкости. Срабатывание детекторов ТПУ или КП приводит к запуску и остановке счета времени и количества импульсов, поступивших от поверяемого СИ, в СОИ. Через известные вместимость калиброванного участка ТПУ или КП и количество импульсов вычисляют коэффициент преобразования или коэффициент коррекции поверяемого СИ.
5.2.2 Поверка с применением ПУ с ПР
При поверке определяют соответствие числа импульсов, поступивших от поверяемого ПР, величине объема жидкости, измеренного ПУ с ПР. Через объем, измеренный ПУ с ПР, и количество импульсов вычисляют коэффициент преобразования или коэффициент коррекции поверяемого СИ.
6.1 При проведении поверки СИ объемного расхода и объема жидкости выполняют операции, приведенные в
таблице 1.
Таблица 1
Перечень операций поверки
Наименование операции | Номер раздела стандарта на методику поверки | Проведение операции при |
первичной поверке | периодической поверке |
Внешний осмотр СИ | | Да | Да |
Подготовка к поверке и опробование СИ | | Да | Да |
Проверка программного обеспечения СИ | | Да | Да |
Определение МХ СИ | | Да | Да |
Подтверждение соответствия СИ метрологическим требованиям | | Да | Да |
Примечание - Проверка программного обеспечения выполняется только при наличии программного обеспечения у поверяемого СИ. |
6.2 Если при проведении какой-либо операции поверки получен отрицательный результат, поверку прекращают.
7 Требования к условиям проведения поверки
7.1 Поверку проводят на рабочих жидкостях на месте эксплуатации в комплекте с элементами ИЛ.
7.2 Поверку проводят в рабочем диапазоне измерений расхода на основании письменного заявления владельца СИ или лица, представившего СИ на поверку. Рабочий диапазон измерений расхода поверяемого СИ устанавливает владелец СИ или лицо, представившее СИ на поверку, исходя из условий эксплуатации СИ. Рабочий диапазон измерений расхода не должен выходить за границы диапазона измерений расхода, указанного в описании типа СИ.
7.3 Отклонение объемного расхода поверочной жидкости от установленного значения за время измерений в каждой точке рабочего диапазона измерений расхода по абсолютной величине не должно превышать 2,5%.
7.4 Изменение температуры поверочной жидкости за время одного измерения по абсолютной величине не должно превышать 0,2 °C.
7.5 Температура, влажность окружающей среды и параметры поверочной жидкости должны соответствовать условиям эксплуатации поверяемого СИ и средств поверки.
7.6 Вязкость поверочной жидкости должна находиться в пределах диапазона, указанного в описании типа и/или в эксплуатационных документах на поверяемое СИ.
7.7 Содержание свободного газа (воздуха) в поверочной жидкости не допускается.
7.8 Значение избыточного давления в трубопроводе, Pизб, МПа, после поверяемого СИ должно быть не менее значения, рассчитанного в соответствии с эксплуатационными документами на поверяемое СИ.
Примечание - При отсутствии в эксплуатационных документах на поверяемое СИ указаний по расчету избыточного давления Pизб вычисляют по формуле

(1)
где
Pн.п - давление насыщенных паров, определенное в соответствии с
ГОСТ 1756 или
ГОСТ Р 52340 при максимально возможной температуре поверочной жидкости, МПа;

- перепад давления на поверяемом СИ, указанный в эксплуатационных документах, МПа.
7.9 Регулирование расхода проводят при помощи регуляторов расхода, расположенных на выходе ТПУ, КП, ПУ с ПР и/или ИЛ. Допускается вместо регуляторов расхода использовать запорную арматуру.
8 Метрологические и технические требования к средствам поверки
8.1 При проведении поверки применяют средства поверки, приведенные в
таблице 2.
Таблица 2
Средства поверки | Метрологические и технические требования к средствам поверки |
ТПУ или КП | Соответствующие уровню рабочего эталона 1-го или 2-го разряда по части 2 Государственной поверочной схемы, утвержденной [1], с пределами допускаемой относительной погрешности (доверительными границами суммарной погрешности) +/- 0,05% и +/- (0,09 - 0,10)% соответственно и диапазоном расхода, обеспечивающим возможность определения МХ поверяемого СИ во всем рабочем диапазоне измерений расхода |
ПУ с ПР | Соответствующая уровню рабочего эталона 1-го или 2-го разряда по части 2 Государственной поверочной схемы, утвержденной [1], с пределами допускаемой относительной погрешности (доверительными границами суммарной погрешности) +/- (0,055 - 0,10 включ.)% и диапазоном расхода, обеспечивающим возможность определения МХ поверяемого СИ во всем рабочем диапазоне измерений расхода |
Преобразователи давления | Пределы допускаемой приведенной погрешности +/- 0,5% |
Преобразователи температуры | Пределы допускаемой абсолютной погрешности +/- 0,2 °C - для преобразователей, установленных на ТПУ, КП или ПУ с ПР, и +/- 0,3 °C - для преобразователей, установленных на ИЛ с поверяемым СИ и рядом с ПП |
СОИ | Пределы допускаемой относительной погрешности при преобразовании сигналов от первичных преобразователей и вычислении коэффициента преобразования +/- 0,025% |
ПП | Пределы допускаемой абсолютной погрешности +/- 0,36 кг/м3 |
ПВ | Пределы допускаемой приведенной погрешности +/- 1,0% |
Примечания 1 Допускается применять манометры с классом точности 0,6 и термометры с ценой деления 0,1 °C и пределами допускаемой абсолютной погрешности +/- 0,2 °C. 2 При отсутствии ПП допускается применять автоматические лабораторные СИ плотности с пределами допускаемой абсолютной погрешности +/- 0,3 кг/м 3 или СИ по ГОСТ 3900 или по ГОСТ Р 51069. 3 При отсутствии ПВ допускается применять автоматические лабораторные СИ вязкости с пределами допускаемой приведенной погрешности +/- 1,0% или СИ по ГОСТ 33. |
8.2 Допускается применять аналогичные средства поверки или средства поверки с лучшими МХ, обеспечивающие определение МХ поверяемых СИ с требуемой точностью.
8.3 Средства поверки должны быть поверены или аттестованы в качестве эталонов в соответствии с действующим законодательством.
9 Требования (условия) по обеспечению безопасности проведения поверки
9.1 При проведении работ соблюдают требования, определяемые документами:
- в области охраны труда;
- в области промышленной безопасности;
- в области пожарной безопасности;
- в области соблюдения правильной и безопасной эксплуатации электроустановок;
- в области охраны окружающей среды.
9.2 СИ и электрооборудование, установленное на технологической части СИКН (СИКНП, СИКГК и т.д.) и на ТПУ, КП или ПУ с ПР, должны иметь взрывозащищенное исполнение в соответствии с требованиями
ГОСТ 31610.0.
9.3 Поверяемое СИ, средства поверки и вспомогательное оборудование должны применяться в соответствии с эксплуатационными документами.
9.4 Поверяемое СИ, средства поверки и вспомогательное оборудование не эксплуатируют при давлении поверочной жидкости, превышающем рабочее давление, указанное в их эксплуатационных документах. Применение элементов монтажа или шлангов, не прошедших гидравлические испытания, запрещается.
9.5 К средствам поверки и вспомогательному оборудованию, применяемому при поверке, обеспечивают свободный доступ. При необходимости предусматривают лестницы, площадки и переходы с ограничениями, соответствующие требованиям безопасности.
9.6 При появлении течи поверочной жидкости, загазованности и других ситуаций, препятствующих проведению поверки, поверку прекращают.
10 Внешний осмотр средства измерений
При внешнем осмотре устанавливают соответствие поверяемого СИ следующим требованиям:
а) комплектность должна соответствовать указанной в эксплуатационных документах;
б) должны отсутствовать механические повреждения и дефекты, препятствующие применению, а также нарушения герметичности кабельных вводов и видимые повреждения кабеля (кабелей);
в) надписи и обозначения на поверяемом СИ должны быть четкие и соответствовать требованиям эксплуатационных документов.
11 Подготовка к поверке и опробование средства измерений
11.1 Подготовка к поверке
11.1.1 Проверяют правильность монтажа средств поверки и поверяемого СИ.
11.1.2 Подготавливают средства поверки согласно указаниям эксплуатационных документов.
11.1.3 Вводят в память СОИ или проверяют введенные ранее данные (в зависимости от применяемых средств поверки: вместимость калиброванного участка ТПУ или КП при стандартных условиях, коэффициент линейного расширения материала стенок калиброванного участка ТПУ, квадратичный коэффициент расширения материала стенок калиброванного участка КП, коэффициент линейного расширения материала планки крепления детекторов КП или инварового стержня, внутренний диаметр и толщину стенок калиброванного участка ТПУ или КП, модуль упругости материала стенок калиброванного участка ТПУ или КП, границу неисключенной систематической погрешности ТПУ или КП, границу случайной составляющей погрешности определения среднего значения вместимости ТПУ или КП, пределы допускаемой относительной погрешности ТПУ или КП, или ПУ с ПР, пределы допускаемой абсолютной погрешности преобразователей температуры, пределы допускаемой относительной погрешности СОИ при преобразовании сигналов от первичных преобразователей и вычислении коэффициента преобразования, базовый коэффициент преобразования поверяемого СИ), необходимые для обработки результатов поверки.
11.1.4 Проверяют отсутствие свободного газа (воздуха) в ИЛ с поверяемым СИ, ТПУ или КП, или ПУ с ПР, а также в верхних точках трубопроводов, соединяющих поверяемое СИ и средства поверки. Для этого устанавливают расход поверочной жидкости в пределах рабочего диапазона измерений и открывают краны, расположенные в высших точках ИЛ и ТПУ или КП, или ПУ с ПР. Проводят один - три раза запуск поршня ТПУ или КП, удаляя после каждого запуска газ (воздух). Считают, что газ (воздух) отсутствует полностью, если из кранов вытекает струя поверочной жидкости без газовых пузырьков.
11.1.5 При рабочем давлении проверяют герметичность системы, состоящей из поверяемого СИ и средств поверки. При этом не допускается появление капель или утечек поверочной жидкости через сальники, фланцевые, резьбовые или сварные соединения при наблюдении в течение 10 мин.
11.1.6 Проверяют герметичность запорной арматуры, через которую возможны утечки поверочной жидкости, влияющие на результаты измерений при поверке.
11.1.7 Проверяют герметичность устройства пуска и приема поршня ТПУ или КП в соответствии с эксплуатационными документами.
11.1.8 Проверяют стабильность температуры поверочной жидкости. Температуру поверочной жидкости считают стабильной, если ее изменение в ТПУ, КП или ПУ с ПР не превышает по абсолютной величине 0,2 °C за время измерения.
11.2 Опробование
11.2.1 Опробование поверяемого СИ проводят совместно со средствами поверки.
11.2.2 Устанавливают объемный расход поверочной жидкости в пределах рабочего диапазона измерений расхода поверяемого СИ.
11.2.3 Наблюдают на дисплее СОИ значения следующих параметров:
- объемного расхода поверочной жидкости в поверяемом СИ;
- частоты выходного сигнала поверяемого СИ;
- температуры и давления поверочной жидкости в поверяемом СИ;
- температуры и давления поверочной жидкости в ТПУ, КП или ПУ с ПР;
- температуры планки крепления детекторов или инварового стержня КП (при наличии преобразователя температуры);
- плотности, температуры и давления поверочной жидкости в ПП (в случае применения ПП);
- кинематической вязкости поверочной жидкости, измеренной ПВ (в случае применения ПВ).
Примечание - При отсутствии ПП и ПВ для определения в лаборатории плотности и вязкости в начале поверки, вязкости в конце поверки отбирают точечные пробы в соответствии с требованиями
ГОСТ 2517.
11.2.4 Запускают поршень ТПУ или КП. При прохождении поршня через первый детектор СОИ начинает отсчет импульсов выходного сигнала поверяемого СИ, при прохождении второго детектора - заканчивает.
11.2.5 Если ТПУ двунаправленная, то выполняют те же операции при обратном направлении движения поршня.
11.2.6 При применении КП за одно измерение принимают серию проходов поршня (от 5 до 20) от одного детектора до другого.
11.2.7 Результаты измерений количества импульсов, времени измерения, температуры и давления, плотности (при применении ПП), вязкости поверочной жидкости (при применении ПВ) индицируются на дисплее СОИ.
12 Проверка программного обеспечения средства измерений
При проверке программного обеспечения поверяемого СИ проверяют соответствие идентификационных данных программного обеспечения поверяемого СИ идентификационным данным, указанным в описании типа поверяемого СИ.
13 Определение метрологических характеристик средства измерений
13.1 При поверке определяют следующие МХ:
- коэффициент преобразования или коэффициент коррекции поверяемого СИ в рабочем диапазоне измерений объемного расхода или коэффициенты преобразования или коэффициенты коррекции поверяемого СИ в поддиапазонах измерений объемного расхода или в точках рабочего диапазона измерений объемного расхода;
- границу относительной погрешности СИ в рабочем диапазоне измерений объемного расхода или в поддиапазонах измерений объемного расхода;
- границу относительной погрешности СИ, применяемого для контроля МХ, в точках рабочего диапазона измерений объемного расхода.
Примечание - Определение МХ СИ, применяемого для контроля МХ, проводят с применением ТПУ или КП, соответствующих уровню рабочего эталона 1-го разряда по части 2 Государственной поверочной схемы, утвержденной
[1].
13.2 Определение МХ поверяемого СИ проводят не менее чем в трех точках рабочего диапазона измерений объемного расхода. Значения объемного расхода (точки рабочего диапазона измерений) рекомендуется выбирать с интервалом не более 20% от максимального значения объемного расхода поверяемого СИ. В каждой точке рабочего диапазона измерений объемного расхода для рабочего СИ проводят не менее пяти измерений, для СИ, применяемого для контроля МХ, проводят не менее семи измерений. Последовательность выбора точек расхода может быть произвольной. При выборе количества точек рабочего диапазона измерений объемного расхода и размаха (величины) каждого поддиапазона измерений объемного расхода учитывают:
- технические возможности СОИ;
- крутизну ГХ поверяемого СИ;
- вид реализации ГХ поверяемого СИ в СОИ.
13.3 Поверка с применением ТПУ или КП
Для определения коэффициента преобразования или коэффициента коррекции поверяемого СИ устанавливают выбранное значение объемного расхода по показаниям поверяемого СИ и проводят предварительное измерение для уточнения значения установленного объемного расхода.
Запускают поршень ТПУ или КП. При срабатывании второго детектора регистрируют время между срабатываниями первого и второго детекторов, количество импульсов выходного сигнала поверяемого СИ.
Объемный расход поверочной жидкости через поверяемое СИ вычисляют по
формуле (7).
При необходимости проводят корректировку значения объемного расхода регулятором расхода или запорной арматурой.
После стабилизации объемного расхода и температуры поверочной жидкости проводят необходимое количество измерений.
Запускают поршень ТПУ или КП. При срабатывании первого детектора СОИ начинает отсчет импульсов выходного сигнала поверяемого СИ и времени, при срабатывании второго детектора - заканчивает.
Если количество импульсов выходного сигнала поверяемого СИ за время между срабатываниями детекторов ТПУ или КП меньше 10 000, то СОИ должна определять количество импульсов с долями.
Для определения средних значений за время измерения СОИ фиксирует значения следующих параметров:
- температуры поверочной жидкости на входе и выходе ТПУ или в КП;
- давления поверочной жидкости на входе и выходе ТПУ или в КП;
- температуры планки крепления детекторов или инварового стержня КП (при наличии СИ температуры в составе КП);
- температуры поверочной жидкости в поверяемом СИ;
- давления поверочной жидкости в поверяемом СИ;
- плотности поверочной жидкости, измеренной ПП (при применении ПП);
- температуры поверочной жидкости в ПП;
- давления поверочной жидкости в ПП;
- кинематической вязкости поверочной жидкости, измеренной ПВ (при применении ПВ).
При использовании термометров и манометров с визуальным отсчетом температуру и давление фиксируют в начале и конце измерения.
Для однонаправленной ТПУ прохождение поршня от одного детектора до другого принимают за одно измерение.
Если для двунаправленной ТПУ определена вместимость калиброванного участка как сумма вместимостей в обоих направлениях, то за одно измерение принимают движение поршня в прямом и обратном направлениях, количество импульсов и время прохождения поршня в прямом и обратном направлениях суммируют.
Если для двунаправленной ТПУ определена вместимость калиброванного участка для каждого направления, то за одно измерение принимают движение поршня в каждом направлении.
При наличии у ТПУ более одной пары детекторов допускается использовать одновременно не более двух пар детекторов.
При использовании КП допускается за результат измерения считать среднее значение результатов измерений для нескольких проходов поршня (от 5 до 20).
Результаты измерений заносят в протокол поверки. Рекомендуемая форма протокола поверки приведена в
приложении А.
При заполнении протокола полученные результаты измерений и вычислений округляют в соответствии с
таблицей 3.
Таблица 3
Точность представления результатов измерений и вычислений
Наименование показателя | Количество цифр после запятой | Количество значащих цифр, не менее |
Объемный расход, м3/ч | 1 | - |
Объем, м3 | - | 6 |
Температура, °C | 1 | - |
Давление, МПа | 2 | - |
Плотность, кг/м3 | 1 | - |
Вязкость кинематическая, мм2/с | 1 | - |
Количество импульсов, имп. | - | 5 |
Интервал времени, с | 2 | - |
Коэффициент преобразования, имп./м3 | - | 5 |
Коэффициент коррекции | 5 | - |
Коэффициент объемного расширения, 1/°C | 6 | - |
Частота выходного сигнала, Гц | 1 | - |
Примечание - При количестве цифр в целой части числа больше рекомендованного количества значащих цифр число округляют до целого. |
13.4 Поверка с применением ПУ с ПР
Для определения коэффициента преобразования или коэффициента коррекции поверяемого СИ устанавливают выбранное значение объемного расхода по показаниям ПУ с ПР.
После стабилизации объемного расхода и температуры поверочной жидкости проводят необходимое количество измерений.
Начинают измерение. СОИ одновременно начинает отсчет импульсов выходных сигналов ПР (или нескольких ПР), входящих в состав ПУ, и поверяемого СИ. При достижении заданного количества импульсов выходного сигнала поверяемого СИ или истечении заданного времени измерения СОИ одновременно заканчивает отсчет импульсов выходных сигналов ПР и поверяемого СИ.
Если количество импульсов выходного сигнала ПР (или нескольких ПР) или поверяемого СИ за время измерения меньше 10 000, то СОИ должна определять количество импульсов с долями.
Для определения средних значений за время измерения СОИ фиксирует значения следующих параметров:
- температуры поверочной жидкости в поверяемом СИ;
- давления поверочной жидкости в поверяемом СИ;
- температуры поверочной жидкости в ПР;
- давления поверочной жидкости в ПР;
- плотности поверочной жидкости, измеренной ПП (при применении ПП);
- температуры поверочной жидкости в ПП;
- давления поверочной жидкости в ПП;
- кинематической вязкости поверочной жидкости, измеренной ПВ (при применении ПВ).
При использовании термометров и манометров с визуальным отсчетом температуру и давление фиксируют в начале и конце измерения.
Результаты измерений заносят в протокол поверки. Рекомендуемая форма протокола поверки приведена в
приложении Б.
При заполнении протокола полученные результаты измерений и вычислений округляют в соответствии с таблицей 3.
14 Подтверждение соответствия средства измерений метрологическим требованиям
14.1 Объем поверочной жидкости, прошедшей через поверяемое СИ за время i-го измерения в j-й точке рабочего диапазона измерений объемного расхода, Vji, м3, вычисляют по формуле

(2)
где V0 - вместимость калиброванного участка ТПУ или КП при стандартных условиях, м3;
CTSji - коэффициент, учитывающий влияние температуры на вместимость ТПУ или КП, для i-го измерения в j-й точке объемного расхода и вычисляемый по формуле

(3)
где

- коэффициент линейного расширения материала стенок калиброванного участка ТПУ (берут из эксплуатационных документов на ТПУ или определяют по
таблице В.2 приложения В), 1/°C;

- квадратичный коэффициент расширения материала стенок калиброванного участка КП (берут из эксплуатационных документов на КП или определяют по
таблице В.2 приложения В), 1/°C;

- коэффициент линейного расширения материала планки крепления детекторов КП или инварового стержня (берут из эксплуатационных документов на КП или определяют по
таблице В.2 приложения В), 1/°C;
tПУji - температура поверочной жидкости в ТПУ или КП за время i-го измерения в j-й точке объемного расхода, °C, которую для ТПУ вычисляют по формуле

(4)
где tвхПУji, tвыхПУji - температура поверочной жидкости на входе и выходе ТПУ за время i-го измерения в j-й точке объемного расхода, °C;
tдji - температура планки крепления детекторов КП или инварового стержня за время i-го измерения в j-й точке объемного расхода; при отсутствии датчика температуру принимают равной температуре окружающей среды, °C;
t0 - температура при стандартных условиях, °C;
CPSji - коэффициент, учитывающий влияние давления на вместимость ТПУ или КП, для i-го измерения в j-й точке объемного расхода и вычисляемый по формуле

(5)
где PПУji - давление поверочной жидкости в ТПУ или КП за время i-го измерения в j-й точке объемного расхода, МПа, для ТПУ вычисляемое по формуле

(6)
где PвхПУji, PвыхПУji - давление поверочной жидкости на входе и выходе ТПУ за время i-го измерения в j-й точке объемного расхода, МПа;
D - внутренний диаметр калиброванного участка ТПУ или КП (берут из эксплуатационных документов на ТПУ или КП), мм;
E - модуль упругости материала стенок калиброванного участка ТПУ или КП (берут из эксплуатационных документов на ТПУ или КП или определяют по
таблице В.2 приложения В), МПа;
S - толщина стенок калиброванного участка ТПУ или КП (берут из эксплуатационных документов на ТПУ или КП), мм;
CTLПУji - коэффициент, учитывающий влияние температуры на объем поверочной жидкости, определенный для температуры поверочной жидкости в ТПУ или КП для
i-го измерения в
j-й точке объемного расхода (вычисляют по
приложению Г);
CPLПУji - коэффициент, учитывающий влияние давления на объем поверочной жидкости, определенный для давления поверочной жидкости в ТПУ или КП для
i-го измерения в
j-й точке объемного расхода (вычисляют по
приложению Г);
CTLПРji - коэффициент, учитывающий влияние температуры на объем поверочной жидкости, определенный для температуры поверочной жидкости в поверяемом СИ для
i-го измерения в
j-й точке объемного расхода (вычисляют по
приложению Г);
CPLПРji - коэффициент, учитывающий влияние давления на объем поверочной жидкости, определенный для давления поверочной жидкости в поверяемом СИ для
i-го измерения в
j-й точке объемного расхода (вычисляют по
приложению Г);
VПУ ПРjik - объем поверочной жидкости, прошедший через k-й ПР, входящий в состав ПУ с ПР, за время i-го измерения в j-й точке объемного расхода, м3;
CTLПУ ПРjik - коэффициент, учитывающий влияние температуры на объем поверочной жидкости, определенный для температуры поверочной жидкости в
k-м ПР, входящем в состав ПУ с ПР, для
i-го измерения в
j-й точке объемного расхода (вычисляют по
приложению Г);
CPLПУ ПРjik - коэффициент, учитывающий влияние давления на объем поверочной жидкости, определенный для давления поверочной жидкости в
k-м ПР, входящем в состав ПУ с ПР для
i-го измерения в
j-й точке объемного расхода (вычисляют по
приложению Г).
Примечание - Если при поверке КП и определении вместимости его измерительного участка коэффициент, учитывающий влияние давления на вместимость КП, вычисляют по
формуле (5), вариант 1, то и при проведении поверки СИ коэффициент
CPSji вычисляют по
формуле (5), вариант 1. Если при поверке КП и определении вместимости его измерительного участка коэффициент, учитывающий влияние давления на вместимость КП, вычисляют по
формуле (5), вариант 2, то и при проведении поверки СИ коэффициент
CPSji вычисляют по
формуле (5), вариант 2.
14.2 Объемный расход поверочной жидкости через поверяемое СИ за время i-го измерения в j-й точке рабочего диапазона измерений объемного расхода Qji, м3/ч, вычисляют по формуле

(7)
где Tji - время i-го измерения в j-й точке рабочего диапазона измерений объемного расхода, с.
14.3 Объемный расход поверочной жидкости через поверяемое СИ в j-й точке рабочего диапазона измерений объемного расхода Qj, м3/ч, вычисляют по формуле

(8)
где nj - количество измерений в j-й точке рабочего диапазона измерений объемного расхода.
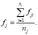
14.4 Частоту выходного сигнала поверяемого СИ для i-го измерения в j-й точке рабочего диапазона измерений объемного расхода fji, Гц, вычисляют по формуле

(9)
14.5 Частоту выходного сигнала поверяемого СИ в j-й точке рабочего диапазона измерений объемного расхода fj, Гц, вычисляют по формуле

(10)
14.6 Коэффициент преобразования поверяемого СИ для i-го измерения в j-й точке рабочего диапазона измерений объемного расхода Kji, имп./м3, вычисляют по формуле

(11)
14.7 Коэффициент преобразования поверяемого СИ в j-й точке рабочего диапазона измерений объемного расхода Kji, имп./м3, вычисляют по формуле

(12)
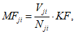
14.8 Коэффициент коррекции поверяемого СИ для i-го измерения в j-й точке рабочего диапазона измерений объемного расхода MFji вычисляют по формуле

(13)
где KF - базовый коэффициент преобразования поверяемого СИ (берут из эксплуатационных документов на поверяемое СИ), имп./м3.
14.9 Коэффициент коррекции поверяемого СИ в j-й точке рабочего диапазона измерений объемного расхода MFj вычисляют по формуле

(14)
14.10 СКО результатов измерений в j-й точке рабочего диапазона измерений объемного расхода Sj, %, вычисляют по формуле

(15)
14.11 Проверяют выполнение условия
где Sдоп - значение СКО, приведенное в описании типа или эксплуатационных документах на поверяемое СИ.
Примечание - При отсутствии информации о значениях Sдоп в описании типа или эксплуатационных документах на поверяемое СИ принимают Sдоп = 0,02%.
При выполнении данного условия продолжают обработку результатов измерений.
При невыполнении данного условия выявляют наличие промахов в полученных результатах измерений согласно
приложению Д. Выявленный промах исключают и проводят дополнительное измерение. При отсутствии промахов выясняют и устраняют причины, обуславливающие невыполнение данного условия, и повторно проводят измерения.
14.12 Определение параметров ГХ поверяемого СИ
14.12.1 При реализации ГХ в виде постоянного значения коэффициента преобразования поверяемого СИ в рабочем диапазоне измерений объемного расхода коэффициент преобразования
Kд, имп./м
3, вычисляют по формуле

(17)
где m - количество точек объемного расхода в рабочем диапазоне измерений объемного расхода.
14.12.2 При реализации ГХ в виде постоянного значения коэффициента коррекции поверяемого СИ в рабочем диапазоне измерений объемного расхода коэффициент коррекции
MFд вычисляют по формуле

(18)
14.12.3 При реализации ГХ в виде постоянных значений коэффициента преобразования поверяемого СИ в поддиапазоне измерений объемного расхода коэффициенты преобразования в каждом
k-м поддиапазоне
Kпдk, имп./м
3, вычисляют по формуле

(19)
14.12.4 При реализации ГХ в виде постоянных значений коэффициента коррекции поверяемого СИ в поддиапазоне измерений объемного расхода коэффициенты коррекции в каждом
k-м поддиапазоне
MFпдk вычисляют по формуле

(20)
14.12.5 При реализации ГХ в виде кусочно-линейной аппроксимации (ломаной линии) зависимость коэффициента преобразования или коэффициента коррекции в каждом поддиапазоне измерений объемного расхода от одной из величин
Q (м
3/ч),
f (Гц),

(Гц/сСт) имеет вид прямой линии, соединяющей значения коэффициентов преобразования или коэффициентов коррекции, вычисленных по
формулам (14) и
(16) соответственно, в граничных точках поддиапазона. По введенным в память СОИ значениям коэффициентов преобразования или коэффициентов коррекции и соответствующим значениям величин
Q (м
3/ч),
f (Гц),

(Гц/сСт) СОИ автоматически вычисляет текущее значение коэффициента преобразования или коэффициента коррекции в текущей точке расхода
k-го поддиапазона.
14.12.6 При реализации ГХ в виде полинома второй степени в память СОИ вводят значения коэффициентов преобразования или коэффициентов коррекции, вычисленных по
формулам (14) и
(16) соответственно, и соответствующие значения расхода в точках рабочего диапазона измерений объемного расхода. По введенным в память СОИ значениям коэффициентов преобразования или коэффициентов коррекции и измеренным текущим значениям расхода СОИ автоматически вычисляет коэффициенты полинома и текущее значение коэффициента преобразования или коэффициента коррекции в текущей точке расхода.
14.12.7 При реализации ГХ в виде кусочно-параболической аппроксимации зависимости коэффициента преобразования или коэффициента коррекции от отношения

, Гц/сСт, рабочий диапазон измерений объемного расхода разбивают на поддиапазоны. Зависимость коэффициента преобразования или коэффициента коррекции от отношения

, Гц/сСт, описывается полиномом второй степени вида

(21)
где Ak, Bk, Ck - коэффициенты параболы в k-м поддиапазоне измерений объемного расхода, определяемые методом наименьших квадратов.
14.13 Границу неисключенной систематической погрешности поверяемого СИ

, %, вычисляют:
а) для СИ, применяемого для контроля МХ, по формуле

(22)

(23)

(24)
где

- граница неисключенной систематической погрешности ТПУ или КП (берут из свидетельства о поверке или протокола поверки), %;

- граница случайной составляющей погрешности определения среднего значения вместимости ТПУ или КП (берут из свидетельства о поверке или протокола поверки, для ТПУ с двумя парами детекторов берут наибольшее значение), %.
Примечание - При отсутствии информации о значениях

и

для ТПУ или КП в
формулах (22) -
(24) сумму значений

и

заменяют значением

, где

- предел допускаемой относительной погрешности ТПУ или КП, %;

- граница неисключенной систематической погрешности определения объема поверочной жидкости с применением ПУ с ПР, %, принимают равной пределу допускаемой относительной погрешности ПУ с ПР:

(25)
где

- предел допускаемой относительной погрешности ПУ с ПР, %;

- граница неисключенной систематической погрешности, обусловленной погрешностью преобразователей температуры при измерениях температуры поверочной жидкости, %, вычисляемая по формуле

(26)
где

- максимальное значение коэффициента объемного расширения поверочной жидкости, 1/°C, вычисляемое по формуле

(27)
где

- коэффициент объемного расширения поверочной жидкости при температуре
tПУji,
tПРji для
i-го измерения в
j-й точке рабочего диапазона измерений объемного расхода (вычисляют по
приложению Г), 1/°C;

- пределы допускаемой абсолютной погрешности преобразователей температуры, установленных в ТПУ, КП и ПУ с ПР, °C;

- пределы допускаемой абсолютной погрешности преобразователя температуры, установленного около поверяемого СИ, °C;

- граница неисключенной систематической погрешности, обусловленной погрешностью аппроксимации ГХ для рабочего диапазона измерений объемного расхода, %, вычисляемая по формуле

(28)

- граница неисключенной систематической погрешности, обусловленной погрешностью аппроксимации ГХ для
k-го поддиапазона измерений объемного расхода, %, вычисляемая:

(29)
где Kjk - коэффициент преобразования поверяемого СИ в j-й точке k-го поддиапазона измерений объемного расхода, %, имп./м3;
MFjk - коэффициент коррекции поверяемого СИ в j-й точке k-го поддиапазона измерений объемного расхода;

(30)
в) при реализации ГХ согласно
14.12.7 по формуле

(31)
где

- граница неисключенной систематической погрешности, обусловленная приближением вычисленных значений коэффициентов преобразования или коэффициентов коррекции методом наименьших квадратов в
k-м поддиапазоне измерений объемного расхода, %, вычисляемая по формуле

(32)
где

- граница неисключенной систематической погрешности, обусловленная приближением вычисленных значений коэффициентов преобразования или коэффициентов коррекции методом наименьших квадратов в
j-й точке
k-го поддиапазона измерений объемного расхода, %, вычисляемая по формуле

(33)
где
Kkj - коэффициент преобразования в
j-й точке
k-го поддиапазона измерений объемного расхода, имп./м
3, вычисленный по
формуле (21);
MFkj - коэффициент коррекции в
j-й точке
k-го поддиапазона измерений объемного расхода, вычисленный по
формуле (21);

- граница неисключенной систематической погрешности, обусловленной погрешностью СОИ, %, которую принимают равной пределу допускаемой относительной погрешности при преобразовании сигналов от первичных преобразователей и вычислении коэффициента преобразования

(34)
где

- предел допускаемой относительной погрешности при преобразовании сигналов от первичных преобразователей и вычислении коэффициента преобразования (берут из описания типа, свидетельства о поверке или протокола поверки СОИ), %.
14.14 СКО среднего значения результатов измерений в j-й точке рабочего диапазона измерений объемного расхода S0j, %, вычисляют по формуле

(35)
14.15 Границу случайной погрешности поверяемого СИ при доверительной вероятности

, %, вычисляют:
а) для каждой j-й точки расхода по формуле

(36)
где

- граница случайной погрешности в
j-й точке рабочего диапазона измерений объемного расхода, %;
t0,95j - квантиль распределения Стьюдента для количества измерений
nj в
j-й точке рабочего диапазона измерений объемного расхода (определяют по
таблице В.1 приложения В);

(37)
где

- граница случайной погрешности в рабочем диапазоне измерений объемного расхода, %;

(38)
где

- граница случайной погрешности в
k-м поддиапазоне измерений объемного расхода, %;

- границы случайной погрешности в точках
k-го поддиапазона измерений объемного расхода, %.
14.16 Границу относительной погрешности поверяемого СИ

, %, вычисляют:
а) для СИ, применяемого для контроля МХ, по формуле

(39)
где

- коэффициент, зависящий от соотношения случайной и неисключенной систематической погрешностей в
j-й точке рабочего диапазона измерений объемного расхода и вычисляемый по формуле

(40)
где

- СКО неисключенных систематических погрешностей, %, вычисляемое по формуле

(41)

- суммарное СКО результатов измерений в
j-й точке рабочего диапазона измерений объемного расхода, %, вычисляемое по формуле

(42)

(43)
где

- коэффициент, зависящий от соотношения случайной и неисключенной систематической погрешностей в рабочем диапазоне измерений объемного расхода и вычисляемый по формуле

(44)
где
S0д - СКО среднего значения результатов измерений в рабочем диапазоне измерений объемного расхода, %, принимают равным значению СКО среднего значения результатов измерений
S0j в точке рабочего диапазона измерений объемного расхода с максимальным значением границы случайной погрешности

;

- СКО суммы неисключенных систематических погрешностей, %, вычисляемое по формуле

(45)

- суммарное СКО результатов измерений в рабочем диапазоне измерений объемного расхода, %, вычисляемое по формуле

(46)

(47)
где

- коэффициент, зависящий от соотношения случайной и неисключенной систематической погрешностей, в
k-м поддиапазоне измерений объемного расхода и вычисляемый по формуле

(48)
где
S0пдk - СКО среднего значения результатов измерений в
k-м поддиапазоне измерений объемного расхода, %, принимают равным значению СКО среднего значения результатов измерений
S0j в точке рабочего диапазона измерений объемного расхода с максимальным значением границы случайной погрешности

;

- СКО суммы неисключенных систематических погрешностей, %, вычисляемое по формуле

(49)

- суммарное СКО результатов измерений в
k-м поддиапазоне измерений объемного расхода, %, вычисляемое по формуле

(50)
14.17 Оценивание границы относительной погрешности
Поверяемое СИ допускается к применению, если:
а) в рабочем диапазоне измерений объемного расхода при реализации ГХ согласно
14.12.1 и
14.12.2 выполняется условие

(51)
б) в каждом
k-м поддиапазоне измерений объемного расхода при реализации ГХ согласно
14.12.3 -
14.12.7 выполняется условие

(52)
в) для СИ, применяемого для контроля МХ, в каждой j-й точке рабочего диапазона измерений объемного расхода выполняется условие

(53)
Если
условия (51) и
(52) не выполняются, то в зависимости от способа реализации ГХ рекомендуется:
- увеличить количество точек в рабочем диапазоне измерений объемного расхода;
- увеличить количество измерений в точках рабочего диапазона измерений объемного расхода;
- уменьшить рабочий диапазон измерений объемного расхода;
- увеличить время измерения.
При повторном невыполнении данных условий поверку прекращают.
Если
условие (53) не выполняется, то поверяемое СИ не допускается к применению для контроля МХ. В этом случае СИ допускается к применению в качестве рабочего при выполнении
условия (51) или
(52) в зависимости от способа реализации ГХ.
15 Оформление результатов поверки
15.1 По результатам поверки оформляется протокол поверки, форма которого приведена в
приложении А или
Б.
15.2 Сведения о результатах поверки СИ передаются в Федеральный информационный фонд по обеспечению единства измерений лицом, проводившим поверку СИ.
15.3 Результаты поверки оформляются в соответствии с действующим порядком проведения поверки СИ на территории Российской Федерации.
15.4 При положительных результатах поверки в соответствии с требованиями описания типа в целях ограничения доступа к узлам настройки (регулировки) СИ в местах, предусмотренных их конструкцией, лицом, проводившим поверку, устанавливаются средства защиты (пломбы), наносится знак поверки.
(рекомендуемое)
ФОРМА ПРОТОКОЛА ПОВЕРКИ СРЕДСТВА ИЗМЕРЕНИЙ ПО ТРУБОПОРШНЕВОЙ
УСТАНОВКЕ ИЛИ КОМПАКТ-ПРУВЕРУ
Протокол поверки N ________
Место проведения поверки _____________________
Поверяемое СИ: Тип _________ Зав. N ________________
ТПУ (КП): Тип _________ Зав. N ________________
СОИ: Тип _________ Зав. N ________________
Поверочная жидкость ____________ Вязкость, мм2/с, ______
Таблица А.1
Исходные данные
Детекторы | V0, м3 | D, мм | S, мм | E, МПа |  , 1/°C |  , 1/°C |  , 1/°C |  , % |  , % |  , °C |  , °C |  , % |  , % | KF, имп./м3 |
1 | 2 | 3 | 4 | 5 | | | | 9 | 10 | 11 | 12 | | 14 | |
| | | | | | | | | | | | | | |
Таблица А.2
Результаты измерений и вычислений
N точки/N измерения | Qji, м3/ч | Детекторы | Tji, с | tПУji, °C | PПУji, МПа | tдji, °C |  , кг/м 3 | tППji, °C |
1 | 2 | 3 | 4 | 5 | 6 | | 8 | 9 |
1/1 | | | | | | | | |
... | | | | | | | | |
1/n1 | | | | | | | | |
... | | | | | | | | |
m/1 | | | | | | | | |
... | | | | | | | | |
m/nm | | | | | | | | |
Окончание таблицы А.2
N точки/N измерения | PППji, МПа |  , 1/°C |  , мм 2/с | tПРji, °C | PПРji, МПа | fji, Гц | Vji, м3 | Nji, имп. | Kji (MFji), имп./м3 |
1 | 10 | 11 | | 13 | 14 | 15 | 16 | 17 | |
1/1 | | | | | | | | | |
... | | | | | | | | | |
1/n1 | | | | | | | | | |
... | | | | | | | | | |
m/1 | | | | | | | | | |
... | | | | | | | | | |
m/nm | | | | | | | | | |
Таблица А.3
Qmin, м3/ч | Qmax, м3/ч | S0д, % | Kд (MFд), имп./м3 | t0,95j |  , % |  , % |  , % |  , % |  , % |
1 | 2 | 3 | | 5 | 6 | 7 | 8 | 9 | 10 |
| | | | | | | | | |
Таблица А.4
N поддиапазона (k) | Qmink, м3/ч | Qmaxk, м3/ч | S0пдk, % | Kпдk (MFпдk), имп./м3 | t0,95j |  , % |  , % |  , % |  , % |  , % |
1 | 2 | 3 | 4 | | 6 | 7 | 8 | 9 | 10 | 11 |
1 | | | | | | | | | | |
... | | | | | | | | | | |
m | | | | | | | | | | |
Таблица А.5
N точки (j) | Qj, м3/ч | fj, Гц (  , Гц/сСт) | Kj (MFj), имп./м3 | N поддиапазона (k) | Qmink, м3/ч | Qmaxk, м3/ч | S0пдk, % | t0,95j |
1 | 2 | 3 | | 5 | 6 | 7 | 8 | 9 |
1 | | | | | | | | |
... | | | | | | | | |
m | | | | | | | | |
Окончание таблицы А.5
N точки (j) |  , % |  , % |  , % |  , % |  , % |
1 | 10 | 11 | 12 | 13 | 14 |
1 | | | | | |
... | | | | | |
m | | | | | |
Таблица А.6
Результаты поверки в точках рабочего диапазона (для СИ,
применяемого для контроля МХ)
N точки (j) | Qj, м3/ч | fj, Гц | Sj, % | Kj (MFj), имп./м3 | t0,95j |  , % |  , % |  , % |  , % |
1 | 2 | 3 | 4 | | 6 | 7 | 8 | 9 | 10 |
1 | | | | | | | | | |
... | | | | | | | | | |
m | | | | | | | | | |
Заключение: ___________________ к дальнейшей эксплуатации _________________
наименование СИ (годен, не годен)
Поверитель: ________________________ _______________ ______________________
должность, организация подпись инициалы, фамилия
Дата поверки: "___" ______ 20___ г.
Примечания
(рекомендуемое)
ФОРМА ПРОТОКОЛА ПОВЕРКИ СРЕДСТВА ИЗМЕРЕНИЙ ПО ПОВЕРОЧНОЙ
УСТАНОВКЕ С ПРЕОБРАЗОВАТЕЛЯМИ ОБЪЕМНОГО РАСХОДА
Протокол поверки N ________
Место проведения поверки _____________________
Поверяемое СИ: Тип ______________ Зав. N ____________
ПУ: Тип ______________ Зав. N ____________
СОИ: Тип ______________ Зав. N ____________
Поверочная жидкость ___________ Вязкость, мм2/с, _____
Таблица Б.1
Исходные данные
 , % |  , °C |  , °C |  , % | KF, имп./м3 |
1 | 2 | 3 | 4 | |
| | | | |
Таблица Б.2
Результаты измерений и вычислений
N точки/N измерения | Qji, м3/ч | Tji, с | tПУji, °C | PПУji, МПа |  , кг/м 3 | tППji, °C | PППji, МПа |  , 1/°C |
1 | 2 | 3 | 4 | 5 | 6 | 7 | 8 | 9 |
1/1 | | | | | | | | |
... | | | | | | | | |
1/n1 | | | | | | | | |
... | | | | | | | | |
m/1 | | | | | | | | |
... | | | | | | | | |
m/nm | | | | | | | | |
Окончание таблицы Б.2
N точки/N измерения |  , мм 2/с | tПРji, °C | PПРji, МПа | fji, Гц | Vji, м3 | Nji, имп. | Kji (MFji), имп./м3 |
1 | | 11 | 12 | 13 | 14 | 15 | |
1/1 | | | | | | | |
... | | | | | | | |
1/n1 | | | | | | | |
... | | | | | | | |
m/1 | | | | | | | |
... | | | | | | | |
m/nm | | | | | | | |
Таблица Б.3
Qmin, м3/ч | Qmax, м3/ч | S0д, % | Kд (MFд), имп./м3 | t0,95j |  , % |  , % |  , % |  , % |  , % |
1 | 2 | 3 | | 5 | 6 | 7 | 8 | 9 | 10 |
| | | | | | | | | |
Таблица Б.4
N поддиапазона (k) | Qmink, м3/ч | Qmaxk, м3/ч | S0пдk, % | Kпдk (MFпдk), имп./м3 | t0,95j |  , % |  , % |  , % |  , % |  , % |
1 | 2 | 3 | 4 | | 6 | 7 | 8 | 9 | 10 | 11 |
1 | | | | | | | | | | |
... | | | | | | | | | | |
m | | | | | | | | | | |
Таблица Б.5
N точки (j) | Qj, м3/ч | fj, Гц (  , Гц/сСт) | Kj (MFj), имп./м3 | N поддиапазона (k) | Qmink, м3/ч | Qmaxk, м3/ч | S0пдk, % | t0,95j |
1 | 2 | 3 | | 5 | 6 | 7 | 8 | 9 |
1 | | | | | | | | |
... | | | | | | | | |
m | | | | | | | | |
Окончание таблицы Б.5
N точки (j) |  , % |  , % |  , % |  , % |  , % |
1 | 10 | 11 | 12 | 13 | 14 |
1 | | | | | |
... | | | | | |
m | | | | | |
Таблица Б.6
Результаты поверки в точках рабочего диапазона (для СИ,
применяемого для контроля МХ)
N точки (j) | Qj, м3/ч | fj, Гц | Sj, % | Kj (MFj), имп./м3 | t0,95j |  , % |  , % |  , % |  , % |
1 | 2 | 3 | 4 | | 6 | 7 | 8 | 9 | 10 |
1 | | | | | | | | | |
... | | | | | | | | | |
m | | | | | | | | | |
Заключение: ___________________ к дальнейшей эксплуатации _________________
наименование СИ (годен, не годен)
Поверитель: ________________________ _____________ ________________________
должность, организация подпись инициалы, фамилия
Дата поверки: "___" ___________ 20____ г.
Примечания
(справочное)
СПРАВОЧНЫЕ МАТЕРИАЛЫ
В.1 Квантиль распределения Стьюдента
Значения квантиля распределения Стьюдента
t0,95 при доверительной вероятности
P = 0,95 в зависимости от количества измерений приведены в
таблице В.1.
Таблица В.1
Значения квантиля распределения Стьюдента при доверительной
вероятности P = 0,95
n - 1 | 1 | 2 | 3 | 4 | 5 | 6 | 7 | 8 | 9 | 10 | 11 |
t0,95 | 12,706 | 4,303 | 3,182 | 2,776 | 2,571 | 2,447 | 2,365 | 2,306 | 2,262 | 2,228 | 2,201 |
В.2 Коэффициенты расширения и модули упругости
Значения коэффициентов линейного расширения и модули упругости материалов стенок калиброванного участка ТПУ и КП, материала планки крепления детекторов КП в зависимости от материала приведены в
таблице В.2.
Таблица В.2
Коэффициенты линейного расширения и модули упругости
материалов стенок калиброванного участка ТПУ и КП, материала
планки крепления детекторов КП
Материал |  , 1/°C |  , 1/°C |  , 1/°C | E, МПа |
Сталь углеродистая | 1,12·10-5 | 2,23·10-5 | 1,12·10-5 | 2,07·105 |
Сталь нержавеющая 304 | 1,73·10-5 | 3,46·10-5 | 1,73·10-5 | 1,93·105 |
Сталь нержавеющая 316 | 1,59·10-5 | 3,18·10-5 | 1,59·10-5 | 1,93·105 |
Сталь нержавеющая 17-4 | 1,08·10-5 | 2,16·10-5 | 1,08·10-5 | 1,97·105 |
Инвар | | | 1,44·10-6 | |
(справочное)
ОПРЕДЕЛЕНИЕ КОЭФФИЦИЕНТОВ CTL И CPL
Г.1 Определение коэффициента CTL
Значение коэффициента CTL, учитывающего влияние температуры на объем поверочной жидкости, вычисляют по формуле

(Г.1)
где t - значение температуры поверочной жидкости, °C;

- значение коэффициента объемного расширения поверочной жидкости при температуре 15 °C и избыточном давлении 0 МПа, 1/°C, вычисляют по формуле

(Г.2)
где
K0,
K1,
K2 - коэффициенты, определяемые для нефти и нефтепродуктов по
таблице Г.1, для стабильного газового конденсата - по
таблице Г.2;

- значение плотности поверочной жидкости при температуре 15 °C и избыточном давлении 0 МПа, кг/м
3.
Таблица Г.1
Значения коэффициентов
K0,
K1,
K2 для нефти и нефтепродуктов
Наименование группы | Диапазон плотности при 15 °C, кг/м3 | K0 | K1 | K2 |
Нефть | | 613,9723 | 0,000 | 0,0000 |
Группы нефтепродуктов | Бензины | | 346,4228 | 0,43884 | 0,0000 |
Топлива, занимающие по плотности промежуточное место между бензинами и керосинами | | 2690,7440 | 0,00000 | -0,0033762 |
Топлива для реактивных двигателей, керосины для реактивных двигателей, авиационное реактивное топливо Джет А, керосины | | 594,5418 | 0,0000 | 0,0000 |
Дизельные топлива, печные топлива, мазуты | | 186,9696 | 0,4862 | 0,0000 |
Смазочные масла нефтяного происхождения, полученные из дистиллятных масляных фракций с температурой кипения выше 370 °C | | 0,0000 | 0,6278 | 0,0000 |
Примечания 1 Нефтепродукты разделены на группы, имеющие внутри подгруппы, в указанном в таблице диапазоне плотности, аналогичные характеристики зависимости между коэффициентом объемного расширения  и плотностью нефтепродукта  . Наименования групп носят условный характер. 2 Если значение плотности нефтепродукта  попадает в диапазон плотности, соответствующей другой группе нефтепродуктов, то при расчете плотности конкретного нефтепродукта в связи с условным наименованием групп следует применять значения коэффициентов K0, K1, K2, той подгруппы нефтепродуктов, которой соответствует его плотность  . Так, например, бензин, с плотностью  более 770,9 кг/м 3 следует относить к подгруппе "топлива, занимающие по плотности промежуточное место между бензинами и керосинами" и расчет плотности проводить по коэффициентам, соответствующим данной подгруппе. |
Таблица Г.2
Значения коэффициентов
K0,
K1,
K2 для стабильного
газового конденсата
Диапазон плотности, кг/м3 | Значения коэффициентов |
K0 | K1 | K2 |
Св. 838,3127 до 900 включ. | 186,9696 | 0,4862 | 0 |
Св. 787,5195 до 838,3127 включ. | 594,5418 | 0 | 0 |
Св. 770,3520 до 787,5195 включ. | 2680,3206 | 0 | -0,00336312 |
Св. 610 до 770,3520 включ. | 346,4228 | 0,4388 | 0 |
Г.2 Определение коэффициента CPL
Значение коэффициента CPL, учитывающего влияние давления на объем поверочной жидкости, вычисляют:
- для нефти и нефтепродуктов по формуле

(Г.3)
- для стабильного газового конденсата по формуле

(Г.4)
где
- коэффициент сжимаемости поверочной жидкости при температуре
t, 1/МПа, вычисляют:
- для нефти, нефтепродуктов по формуле

(Г.5)
| | ИС МЕГАНОРМ: примечание. В официальном тексте документа, видимо, допущена опечатка: формула (Ж.4) отсутствует. Возможно, имеется в виду формула (Г.4). | |
- для стабильного газового конденсата при значении

от 638 до 900 кг/м
3 по
формуле (Ж.4), при значении

менее 638 кг/м
3 - по формуле

(Г.6)
где A, B - вспомогательные коэффициенты, вычисляемые по формулам:

(Г.7)

(Г.8)
где tr - температура стабильного газового конденсата t, °C, переведенная в градусы Ранкина по формуле
tr = 1,8·t + 491,67, (Г.9)

- относительная плотность стабильного газового конденсата при температуре 60 F (15,56 °C), г/см
3, вычисляемая по формуле

(Г.10)
P - значение избыточного давления поверочной жидкости, МПа;
Pа - значение атмосферного давления, МПа.
Г.3 Определение коэффициента 
Значение коэффициента объемного расширения поверочной жидкости при температуре
t 
, 1/°C, вычисляют по формуле

(Г.11)
Г.4 Определение плотности 
Значение плотности поверочной жидкости при температуре 15 °C и избыточном давлении 0 МПа

, кг/м
3, вычисляют по формуле

(Г.12)
где

- значение плотности поверочной жидкости в ПП, кг/м
3;
CTLПП - коэффициент, учитывающий влияние температуры на объем поверочной жидкости, определенный для
tПП и

;
CPLПП - коэффициент, учитывающий влияние давления на объем поверочной жидкости, определенный для
tПП,
PПП и

.
Для определения

необходимо определить значения
CTLПП и
CPLПП, а для определения
CTLПП и
CPLПП, в свою очередь, необходимо определить значение плотности при стандартных условиях

. Поэтому значение

определяют методом последовательного приближения.
Вычисляют значения
CTLПП(1) и
CPLПП(1), принимая значение

равным значению

.
Вычисляют значение

, кг/м
3, по формуле

(Г.13)
Вычисляют значения
CTLПП(2) и
CPLПП(2), принимая значение

равным значению

.
Вычисляют значение

, кг/м
3, по формуле

(Г.14)
Аналогично вычисляют значения
CTLПП(i),
CPLПП(i) и

для
i-го цикла вычислений и проверяют выполнение условия

(Г.15)
где

,

- значения

, определенные, соответственно, за последний и предпоследний циклы вычислений, кг/м
3.
(справочное)
АНАЛИЗА РЕЗУЛЬТАТОВ ИЗМЕРЕНИЙ НА НАЛИЧИЕ ПРОМАХОВ
Проверка результатов измерений на один промах по критерию Граббса при определении коэффициента преобразования поверяемого СИ или коэффициента коррекции поверяемого СИ.
СКО результатов измерений в j-й точке рабочего диапазона измерений объемного расхода Sj, имп./м3, вычисляют по формуле

(Д.1)
где Kji - коэффициент преобразования поверяемого СИ для i-го измерения в j-й точке рабочего диапазона измерений объемного расхода, имп./м3;
Kj - коэффициент преобразования поверяемого СИ в j-й точке рабочего диапазона измерений объемного расхода, имп./м3;
MFji - коэффициент коррекции поверяемого СИ для i-го измерения в j-й точке рабочего диапазона измерений объемного расхода;
MFj - коэффициент коррекции поверяемого СИ в j-й точке рабочего диапазона измерений объемного расхода;
nj - количество измерений в j-й точке рабочего диапазона измерений объемного расхода.
Примечание - При Sj < 0,001 принимают Sj = 0,001.
Вычисляют наиболее выделяющееся соотношение U по формуле

(Д.2)
Если значение
U больше или равно значению
h, взятому из
таблицы Д.1, то результат измерения должен быть исключен как промах.
Таблица Д.1
Критические значения для критерия Граббса
n | 3 | 4 | 5 | 6 | 7 | 8 | 9 | 10 | 11 | 12 |
h | 1,155 | 1,481 | 1,715 | 1,887 | 2,020 | 2,126 | 2,215 | 2,290 | 2,355 | 2,412 |
| Приказ Федерального агентства по техническому регулированию и метрологии от 26 сентября 2022 г. N 2356 "Об утверждении Государственной поверочной схемы для средств измерений массы и объема жидкости в потоке, объема жидкости и вместимости при статических измерениях, массового и объемного расходов жидкости" |
УДК 681.121:006.354 | |
Ключевые слова: поверка, средство измерений, поверочная установка, градуировочная характеристика |