Главная // Актуальные документы // ГОСТ Р (Государственный стандарт)СПРАВКА
Источник публикации
М.: ФГБУ "РСТ", 2022
Примечание к документу
Документ
введен в действие с 01.10.2022.
Название документа
"ГОСТ Р 8.1010-2022. Национальный стандарт Российской Федерации. Государственная система обеспечения единства измерений. Массовая доля воды в нефтегазоводяной смеси. Требования к методикам (методам) измерений"
(утв. и введен в действие Приказом Росстандарта от 14.09.2022 N 923-ст)
"ГОСТ Р 8.1010-2022. Национальный стандарт Российской Федерации. Государственная система обеспечения единства измерений. Массовая доля воды в нефтегазоводяной смеси. Требования к методикам (методам) измерений"
(утв. и введен в действие Приказом Росстандарта от 14.09.2022 N 923-ст)
Утвержден и введен в действие
по техническому регулированию
и метрологии
от 14 сентября 2022 г. N 923-ст
НАЦИОНАЛЬНЫЙ СТАНДАРТ РОССИЙСКОЙ ФЕДЕРАЦИИ
ГОСУДАРСТВЕННАЯ СИСТЕМА ОБЕСПЕЧЕНИЯ ЕДИНСТВА ИЗМЕРЕНИЙ
МАССОВАЯ ДОЛЯ ВОДЫ В НЕФТЕГАЗОВОДЯНОЙ СМЕСИ
ТРЕБОВАНИЯ К МЕТОДИКАМ (МЕТОДАМ) ИЗМЕРЕНИЙ
State system for ensuring the uniformity of measurements.
Mass fraction of water in oil-gas-water mixture.
Requirements to procedures (methods) of measurements
ГОСТ Р 8.1010-2022
Дата введения
1 октября 2022 года
1 РАЗРАБОТАН Всероссийским научно-исследовательским институтом расходометрии - филиалом Федерального государственного унитарного предприятия "Всероссийский научно-исследовательский институт метрологии им. Д.И. Менделеева" (далее - ВНИИР - филиал ФГУП "ВНИИМ им. Д.И. Менделеева")
2 ВНЕСЕН Управлением метрологии Федерального агентства по техническому регулированию и метрологии
3 УТВЕРЖДЕН И ВВЕДЕН В ДЕЙСТВИЕ
Приказом Федерального агентства по техническому регулированию и метрологии от 14 сентября 2022 г. N 923-ст
4 ВВЕДЕН ВПЕРВЫЕ
Правила применения настоящего стандарта установлены в статье 26 Федерального закона от 29 июня 2015 г. N 162-ФЗ "О стандартизации в Российской Федерации". Информация об изменениях к настоящему стандарту публикуется в ежегодном (по состоянию на 1 января текущего года) информационном указателе "Национальные стандарты", а официальный текст изменений и поправок - в ежемесячном информационном указателе "Национальные стандарты". В случае пересмотра (замены) или отмены настоящего стандарта соответствующее уведомление будет опубликовано в ближайшем выпуске ежемесячного информационного указателя "Национальные стандарты". Соответствующая информация, уведомление и тексты размещаются также в информационной системе общего пользования - на официальном сайте Федерального агентства по техническому регулированию и метрологии в сети Интернет (www.rst.gov.ru)
Настоящий стандарт устанавливает требования к методикам (методам) измерений массовой доли воды в нефтегазоводяной смеси, реализующих лабораторные методы количественного определения содержания воды в дегазированной нефти, а также порядок и объем метрологических исследований при их аттестации.
Настоящий стандарт распространяется на методики (методы) измерений массовой доли воды в нефтегазоводяной смеси, применяемые в сфере государственного регулирования обеспечения единства измерений.
В настоящем стандарте использованы нормативные ссылки на следующие стандарты:
ГОСТ 12.1.005 Система стандартов безопасности труда. Общие санитарно-гигиенические требования к воздуху рабочей зоны
ГОСТ 1770 Посуда мерная лабораторная стеклянная. Цилиндры, мензурки, колбы, пробирки. Общие технические условия
ГОСТ 2477 Нефть и нефтепродукты. Метод определения содержания воды
ГОСТ 2517 Нефть и нефтепродукты. Методы отбора проб
ГОСТ 2603 Реактивы. Ацетон. Технические условия
ГОСТ 2768 Ацетон технический. Технические условия
ГОСТ 4517 Реактивы. Методы приготовления вспомогательных реактивов и растворов, применяемых при анализе
ГОСТ 5789 Реактивы. Толуол. Технические условия
ГОСТ 6709 <1> Вода дистиллированная. Технические условия
--------------------------------
ГОСТ 8505 Нефрас-С 50/170. Технические условия
ГОСТ 25336 Посуда и оборудование лабораторные стеклянные. Типы, основные параметры и размеры
ГОСТ OIML R 76-1 Государственная система обеспечения единства измерений. Весы неавтоматического действия. Часть 1. Метрологические и технические требования. Испытания
ГОСТ Р 8.563 Государственная система обеспечения единства измерений. Методики (методы) измерений
ГОСТ Р 8.615 Государственная система обеспечения единства измерений. Измерения количества извлекаемых из недр нефти и нефтяного газа. Общие метрологические и технические требования
ГОСТ Р 8.880 Государственная система обеспечения единства измерений. Нефть сырая. Отбор проб из трубопровода
ГОСТ Р 54284 Нефти сырые. Определение воды кулонометрическим титрованием по Карлу Фишеру
Примечание - При пользовании настоящим стандартом целесообразно проверить действие ссылочных стандартов в информационной системе общего пользования - на официальном сайте Федерального агентства по техническому регулированию и метрологии в сети Интернет или по ежегодному информационному указателю "Национальные стандарты", который опубликован по состоянию на 1 января текущего года, и по выпускам ежемесячного информационного указателя "Национальные стандарты" за текущий год. Если заменен ссылочный стандарт, на который дана недатированная ссылка, то рекомендуется использовать действующую версию этого стандарта с учетом всех внесенных в данную версию изменений. Если заменен ссылочный стандарт, на который дана датированная ссылка, то рекомендуется использовать версию этого документа с указанным выше годом утверждения (принятия). Если после утверждения настоящего стандарта в ссылочный стандарт, на который дана датированная ссылка, внесено изменение, затрагивающее положение, на которое дана ссылка, то это положение рекомендуется применять без учета данного изменения. Если ссылочный стандарт отменен без замены, то положение, в котором дана ссылка на него, рекомендуется применять в части, не затрагивающей эту ссылку.
В настоящем стандарте применены следующие термины с соответствующими определениями:
3.1 водонефтяная эмульсия: Система "вода - нефть", в которой одна из жидкостей диспергирована в другую.
3.2 нефтегазоводяная смесь: Смесь, извлеченная из недр, содержащая углеводороды широкого физико-химического состава, попутный нефтяной газ, воду, минеральные соли, механические примеси и другие химические соединения.
3.3 (дегазированная) нефть: Нефть, содержащая воду во взвешенном и/или в свободном состоянии, освобожденная от растворенного и свободного газа при атмосферном давлении.
3.4 представительная проба нефтегазоводяной смеси: Объединенная проба нефтегазоводяной смеси, извлеченная из потока нефтегазоводяной смеси (движущейся в трубопроводе) и содержащая компоненты нефтегазоводяной смеси в той же самой пропорции, в которой они присутствуют в общем объеме нефтегазоводяной смеси, перекачанной через трубопровод за установленное время.
3.5 проба для измерений: Часть отобранной пробы, взятая для проведения измерений содержания воды в нефти, содержащая компоненты в тех же пропорциях, в которой они присутствуют в общем объеме пробы.
4 Метод определения массовой доли воды в нефтегазоводяной смеси
Массовую долю воды в нефтегазоводяной смеси определяют косвенным методом с учетом результатов определения массовой доли свободного и растворенного газа в нефтегазовой смеси и определения содержания воды в нефти. Содержание воды в нефти устанавливают в лаборатории по методам, указанным в данном разделе. Массовую долю свободного и растворенного газа в нефтегазовой смеси определяют по методикам измерений, аттестованным и утвержденным в соответствии с Порядком аттестации методик измерений
[1] и
ГОСТ Р 8.563.
5 Лабораторные методы измерений количественного определения содержания воды в нефти, реализуемые в методиках измерений массовой доли воды в нефтегазоводяной смеси
5.1 Метод термохимического отстоя
Метод термохимического отстоя применяют для нефти с содержанием воды от 10% до 95%.
Сущность метода заключается в отстаивании подогретой нефти с добавлением деэмульгатора до образования границы раздела фаз "нефть - вода" и последующего измерения соотношения объемов воды и нефти.
Примечание - Метод применяют только в случае нестойких водонефтяных эмульсий.
5.2 Комбинированный метод
Комбинированный метод применяют для нефти с содержанием воды от 10% до 95%.
Сущность метода заключается в отстаивании подогретой нефти с добавлением деэмульгатора до образования границы раздела фаз "нефть - вода" с последующим отделением воды от нефти, с установлением количества отделенной воды и отделившейся нефти и с определением остаточного содержания воды, содержащейся во взвешенном состоянии в отделившейся нефти, методом дистилляции по
ГОСТ 2477 либо методом титрования по Карлу Фишеру (для кулонометрического титрования по
ГОСТ Р 54284).
5.3 Метод титрования Карла Фишера (кулонометрический и волюмометрический методы титрования)
Кулонометрический метод титрования Карла Фишера применяют для нефти с содержанием воды от 0,02% до 5,00%, волюмометрический метод титрования Карла Фишера - для нефти с содержанием воды от 0,01% до 10,00%.
Сущность метода определения количества воды в нефти состоит в титровании пробы нефти титрантом, представляющим собой раствор йода и диоксид серы в присутствии основания и спирта (в присутствии воды происходит окисление йода до йодида). При применении волюметрического метода определения количества воды в нефти йодсодержащий титрант постепенно добавляется в пробу нефти, а при использовании кулонометрического метода по
ГОСТ Р 54284 йод электролитически генерируется в растворе. После вступления в химическую реакцию с йодом всей воды, содержащейся в пробе нефти, титрование прекращается. Количество воды в пробе нефти в волюметрическом методе определяют по объему йодсодержащего реактива, необходимого для завершения химической реакции, а в кулонометрическом методе - по количеству тока, потребленного для генерации йода в количестве, необходимом для завершения химической реакции.
6 Требования к методикам измерений
6.1 Требования к погрешности измерений массовой доли воды в нефтегазоводяной смеси
Пределы допускаемой погрешности результата измерений содержания воды в нефтегазоводяной смеси не должны превышать:
- (0,04·W + 1,0)% - при проведении измерений методом термохимического отстоя и комбинированным методом в диапазоне измерений от 10,0% до 40,0%;
- (- 0,035·W + 4,0)% - при проведении измерений методом термохимического отстоя и комбинированным методом в диапазоне измерений свыше 40,0% до 60,0%;
- (- 0,02·W + 3,1)% - при проведении измерений методом термохимического отстоя и комбинированным методом в диапазоне измерений свыше 60,0% до 90,0%;
- (- 0,126·W + 12,64)% - при проведении измерений методом термохимического отстоя и комбинированным методом в диапазоне измерений свыше 90,0% до 95,0%;
- (0,12·W)% - при проведении измерений методом титрования Карла Фишера в диапазоне измерений от 0,01% до 10,0%,
где W - значение массовой доли воды в нефти, %.
Примечания
1 При содержании воды в нефти свыше 95% погрешность измерений массовой доли воды в нефти не нормирована.
2 В настоящем стандарте диапазоны измерений методов сужены исходя из целесообразности применения этих методов для тех или иных диапазонов содержания воды в нефти.
6.2 Требования к документам на методики измерений массовой доли воды в нефтегазоводяной смеси
6.2.1 Методики измерений массовой доли воды в нефтегазоводяной смеси оформляют в виде отдельного документа в соответствии с требованиями
ГОСТ Р 8.563.
6.2.2 В документе, регламентирующем методику измерений массовой доли воды в нефтегазоводяной смеси, указывают приведенные в
6.2.2.1,
6.2.2.2 характеристики погрешности измерений.
6.2.2.1 Погрешность измерений массовой доли воды в нефти для лабораторного метода:
- систематическая погрешность измерений массовой доли воды в нефти, представленная в виде линейной или квадратичной функциональной зависимости погрешности от значения массовой доли воды в нефти;
- доверительные границы погрешности результата измерений массовой доли воды в нефти (для уровня доверительной вероятности 0,95), представленные в виде линейной или квадратичной функциональной зависимости погрешности от значения массовой доли воды в нефти.
6.2.2.2 В методике измерений должны быть приведены следующие условия измерений, влияющие на характеристики точности измерений:
- диапазон измерений массовой доли воды в нефтегазоводяной смеси;
- средства измерений и вспомогательные устройства, применяемые при отборе, подготовке и проведении измерений;
- процедура и условия подготовки пробы к проведению измерений;
- процедура и условия проведения измерений.
6.2.3 Методики измерений, предназначенные для применения в сфере государственного регулирования обеспечения единства измерений, подлежат аттестации в обязательном порядке. Аттестацию методик измерений проводят в соответствии с
Порядком аттестации методик измерений
[1],
ГОСТ Р 8.563 и настоящим стандартом. Аттестация методик измерений включает в себя метрологическую экспертизу, а также теоретические и (или) экспериментальные исследования, подтверждающие соответствие аттестуемой методики измерений установленным метрологическим требованиям к измерениям.
6.3 Требования к оцениванию погрешности измерений
6.3.2 С целью оценки характеристик погрешности измерений проводят экспериментальные исследования. Экспериментальные исследования по оценке погрешности измерений проводят разработчик методики измерений и (или) аккредитованное(ый) в соответствии с законодательством Российской Федерации об аккредитации в национальной системе аккредитации на проведение аттестации методик (методов) измерений юридическое лицо или индивидуальный предприниматель.
6.3.3 Оценку характеристик погрешности измерений массовой доли воды в нефти проводят для каждой лаборатории отдельно. Оценку погрешности измерений осуществляют для нефти каждого месторождения, пробы с которого поступают в данную лабораторию для определения содержания воды.
6.3.4 Экспериментальное оценивание погрешности измерений основано на проведении серии измерений массовой доли воды в нефти, выполняемых согласно требованиям проекта документа, регламентирующего методику измерений, и на сравнении полученных результатов измерений с соответствующими принятыми опорными значениями. За опорные значения принимают расчетные значения массовой доли воды в эталонных искусственных водонефтяных смесях. Эталонные смеси готовят в соответствии с
приложением А.
6.3.5 По результатам экспериментальных исследований по оценке погрешности измерений массовой доли воды в нефти в лаборатории определяют следующие составляющие погрешности методики измерений:
- систематическую погрешность измерений;
- доверительные границы погрешности результата измерений.
6.4 Средства измерений и вспомогательные устройства, реактивы и материалы, применяемые при выполнении измерений массовой доли воды в нефтегазоводяной смеси
При выполнении измерений массовой доли воды в нефтегазоводяной смеси применяют приведенные в
6.4.1 -
6.4.5 средства измерений, вспомогательные устройства, реактивы и материалы.
6.4.1 По методу термохимического отстоя:
- баня водяная или термостат с высотой слоя воды не менее 18 см и температурой нагрева от 40 °C до 80 °C;
- цилиндры номинальной вместимостью 500 см
3 по
ГОСТ 1770 (далее - мерные цилиндры);
- секундомер;
- деэмульгатор, подобранный для нефти конкретного месторождения (в количестве согласно инструкции), 2%-ный раствор [водный или с использованием органического растворителя (толуола нефтяного по
ГОСТ 5789 или
ГОСТ 14710 либо ацетона технического по
ГОСТ 2768) в зависимости от преимущественной растворимости деэмульгатора];
- бутылки стеклянные прозрачные с пробками номинальной вместимостью 500 см3;
- плотномер лабораторный с пределами абсолютной погрешности +/- 1,0 кг/м3;
- смесь хромовая, приготовленная по
ГОСТ 4517.
6.4.2 По комбинированному методу:
- весы лабораторные с пределами допускаемой абсолютной погрешности +/- 0,01 г;
- баня водяная или термостат с высотой слоя воды не менее 18 см и температурой нагрева от 40 °C до 80 °C;
- секундомер,
- деэмульгатор, подобранный для нефти конкретного месторождения (в количестве согласно инструкции), 2%-ный раствор [водный или с использованием органического растворителя (толуола по
ГОСТ 5789 или
ГОСТ 14710 либо ацетона по
ГОСТ 2768) в зависимости от преимущественной растворимости деэмульгатора];
- плотномер лабораторный с пределами абсолютной погрешности +/- 1,0 кг/м3;
- воронки делительные номинальной вместимостью 1000 и 2000 см
3 по
ГОСТ 25336;
- бутылки стеклянные прозрачные с пробками номинальной вместимостью 500 см3;
- смесь хромовая, приготовленная по
ГОСТ 4517;
- стаканы стеклянные вместимостью 250, 400 см
3 по
ГОСТ 25336;
- средства измерений, вспомогательные устройства, реактивы и материалы, применяемые по методу дистилляции по
ГОСТ 2477 либо по методу титрования Карла Фишера.
6.4.3 По методу титрования Карла Фишера
6.4.3.1 Кулонометрическое титрование:
- средства измерений, устройства вспомогательные, реактивы и материалы в соответствии с требованиями
ГОСТ Р 54284;
6.4.3.2 Волюмометрическое титрование:
- титраторы влаги автоматические, реализующие волюмометрический метод титрования по Карлу Фишеру (далее - титраторы), с пределами допускаемой относительной погрешности содержания воды в нефти не более +/- 6%;
- весы лабораторные с дискретностью отсчета 0,0001 г и пределами допускаемой абсолютной погрешности для весов специального класса точности по
ГОСТ OIML R 76-1;
- реактивы для волюметрического титрования по Карлу Фишеру, применяемые для определения воды в углеводородах;
- шприцы инъекционные с иглами длиной не менее 38 мм, диаметром отверстия иглы от 0,8 до 1,0 мм, вместимостью от 1 до 10 см3 (далее - шприцы).
- средства измерений, вспомогательные устройства, реактивы и материалы в соответствии с требованиями
ГОСТ 2477.
6.4.5 Допускается применять другие средства измерений, вспомогательные устройства и материалы, имеющие аналогичные характеристики и обеспечивающие выполнение измерений с установленными в настоящем стандарте требованиями. Применяемые средства измерений должны быть внесены в Федеральный информационный фонд по обеспечению единства измерений и надлежащим образом поверены.
6.5 Требования безопасности, охраны окружающей среды
6.5.1 Помещение той лаборатории, в которой проводят измерения содержания воды в нефти, должно соответствовать требованиям промышленной безопасности, охраны труда, взрывобезопасности, пожарной безопасности и санитарно-гигиенических правил, определяемым действующими на предприятии техническими и нормативными документами, соответствующими действующим на территории России законодательным актам и иным нормативным правовым документам.
6.5.2 Помещение лаборатории содержат в чистоте, без следов нефти, и оборудуют первичными средствами пожаротушения. Не допускают выбросов и выделений нефти в окружающую среду.
6.5.3 Содержание вредных веществ в воздухе рабочей зоны не должно превышать уровня предельно допустимых концентраций, установленных в
ГОСТ 12.1.005. Помещение для проведения измерений содержания воды в нефти должно быть оборудовано устройствами приточно-вытяжной вентиляции и вытяжными шкафами. Лица, выполняющие измерения, должны быть обеспечены средствами индивидуальной защиты.
6.5.4 В лаборатории разрешено хранить запас легковоспламеняющихся жидкостей, не превышающий суточной потребности. Хранение установленного запаса легковоспламеняющихся жидкостей разрешено в специальном помещении (кладовой) или в специальных металлических ящиках, находящихся в помещении лаборатории. Емкости, содержащие легковоспламеняющиеся жидкости, должны быть плотно закупорены.
6.5.5 Особые условия по требованиям безопасности при эксплуатации конкретных видов используемого оборудования соблюдают в соответствии с требованиями эксплуатационных документов на данное оборудование.
6.6 Требования к квалификации лаборантов
К выполнению измерений и обработке их результатов допускают лиц старше 18 лет, имеющих соответствующее техническое образование, прошедших обучение и получивших квалификацию лаборанта, прошедших курс обучения по охране труда и пожарной безопасности и сдавших экзамен, прошедших инструктаж по технике безопасности, изучивших эксплуатационные документы на применяемые средства измерений и вспомогательные устройства, изучивших методику измерений, имеющих допуск к самостоятельной работе и аттестованных в порядке, установленном руководством предприятия.
6.7 Требования к условиям измерений
При выполнении измерений соблюдают нижеприведенные условия.
Параметры окружающего воздуха в помещении лаборатории, в котором проводят измерения содержания воды в нефти, следующие:
- температура окружающего воздуха - (25 +/- 10) °C;
- атмосферное давление - от 95 до 106 кПа;
- относительная влажность воздуха - не выше 80%.
6.8 Требования к отбору пробы
Для получения представительной пробы нефтегазоводяной смеси отбор пробы проводят из трубопровода в соответствии с требованиями
ГОСТ Р 8.880 или
ГОСТ 2517. Пробоотборник (пробосборник), применяемый для отбора пробы из трубопровода, должен быть достаточных размеров (с учетом заполнения не более чем на 90% вместимости), а объем пробы достаточным для проведения перемешивания пробы и выполнения измерений.
6.9 Требования к подготовке измерений
При подготовке к выполнению измерений проводят указанные в
6.9.1 -
6.9.7 работы.
6.9.1 Отобранную пробу в пробоотборнике (в пробосборнике) переносят в лабораторию.
6.9.2 Подготавливают необходимое количество чистой сухой лабораторной посуды, а также нижеприведенные средства измерений и вспомогательные устройства.
6.9.3 По методу термохимического отстоя:
- плотномер лабораторный в соответствии с руководством по его эксплуатации;
- цилиндры мерные и стеклянные бутылки, которые промывают последовательно нефрасом, водопроводной водой, дистиллированной водой, затем ополаскивают ацетоном и сушат (при загрязнении посуды используют хромовую смесь);
- баню водяную или термостат в соответствии с руководством по эксплуатации.
6.9.4 По комбинированному методу:
- весы в соответствии с руководствами по их эксплуатации;
- воронки делительные, бутылки стеклянные и стаканы лабораторные, которые промывают последовательно нефрасом, водопроводной водой, дистиллированной водой, ополаскивают ацетоном и сушат (при загрязнении посуды используют хромовую смесь);
- воронки делительные, которые проверены на герметичность;
- средства измерений, технические средства, применяемые по методу дистилляции по
ГОСТ 2477 либо по методу титрования Карла Фишера;
- баню водяную или термостат в соответствии с руководством по эксплуатации.
6.9.5 По методу титрования Карла Фишера:
- весы и титратор в соответствии с руководствами по их эксплуатации;
- реактив в титраторе, который при необходимости заменяют или добавляют.
Примечание - Замену проводят в следующих случаях:
- при постоянном нестабильном токе с большим дрейфом;
- если титратор выдает сообщения об ошибках;
- при проведении контроля точности получены неудовлетворительные результаты;
- при истечении сроков годности реактивов.
Проверяют уплотнение всех соединений, через которые возможно попадание атмосферной влаги в титровальную ячейку титратора. В соответствии с инструкцией по эксплуатации включают режим предварительного титрования (режим предтитрования) для того, чтобы вся вода в системе была оттитрована. Необходимо следить за тем, чтобы на стенках ячейки для титрования и внутренней поверхности крышки ячейки не конденсировалась вода. Дожидаются окончания режима предварительного титрования.
6.9.6 Перемешивают весь объем отобранной пробы в течение 15 - 20 мин непосредственно перед отбором пробы для измерений для того, чтобы обеспечить полную однородность.
Примечание - Время и скорость перемешивания зависят от типа перемешивающего устройства и нефти и количества отобранной пробы. Время перемешивания может быть изменено в зависимости от степени однородности пробы.
6.9.7 Из общего объема перемешанной пробы отбирают пробу для измерений в количестве, необходимом и достаточном для проведения измерения содержания воды в нефти. Отбор пробы для измерений проводят в зависимости от выбранного метода измерений: для метода термохимического отстоя по
6.10.1, для комбинированного метода по
6.10.2, для метода титрования Карла Фишера по
6.10.3. Процедуру отбора пробы для измерений выполняют оперативно, в течение минимального промежутка времени, непосредственно после окончания перемешивания.
6.10 Требования к выполнению измерений
При выполнении измерений массовой доли воды нефти выполняют операции, перечисленные в
6.10.1 -
6.10.3.
6.10.1 По методу термохимического отстоя:
6.10.1.1 наливают в стеклянную прозрачную бутылку вместимостью 500 см
3 пробу для измерений (заполнение примерно на 90% вместимости);
6.10.1.2 повторяют процесс перемешивания пробы по
6.9.6 и отбирают пробу для измерений во вторую бутылку по
6.10.1.1;
6.10.1.3 вносят в стеклянные бутылки с пробами несколько капель деэмульгатора, закрывают пробками, перемешивают встряхиванием в течение 1 - 2 мин, помещают в водяную баню вертикально и выдерживают при температуре от 60 °C до 70 °C в течение не менее 1 ч для отстаивания до образования границы раздела фаз "отделившаяся нефть - отделившаяся вода", периодически открывая пробку для выхода газа.
Примечания
1 Уровень пробы в стеклянных бутылках, погруженных в водяную баню, должен быть не менее чем на 20 мм ниже уровня термостатирующей жидкости водяной бани.
2 Если температура начала кипения нефти ниже 60 °C, то пробу выдерживают в бане при температуре ниже температуры начала кипения нефти на 2 °C - 3 °C, время выдержки увеличивают до 2 ч;
6.10.1.4 вынимают после отстаивания пробы бутылки из водяной бани и по отдельности переливают их содержимое в мерные цилиндры, где отстаивают в течение 1 - 2 ч до видимого разделения на отделившуюся нефть и отделенную воду;
6.10.1.5 измеряют и записывают в рабочий журнал объем отделившейся воды и общий объем пробы в каждом мерном цилиндре с точностью до одного верхнего деления шкалы мерного цилиндра;
6.10.1.6 помещают в один из мерных цилиндров трубку подачи образца лабораторного плотномера в слой отделившейся нефти в мерном цилиндре и с помощью системы автоматической подачи (смены) проб проводят заполнение измерительной ячейки лабораторного плотномера отделившейся нефтью.
Примечание - При невозможности заполнения измерительной ячейки лабораторного плотномера пробой с помощью системы автоматической подачи (смены) проб заполнение производят с помощью шприца. При необходимости на шприц надевают силиконовую трубку необходимой длины;
6.10.1.7 визуально убеждаются в отсутствии воздушных пузырьков в пробе нефти, находящейся в измерительной ячейке.
Примечание - При наличии в измерительной ячейке воздушных пузырьков пробу в измерительной ячейке обновляют (прокачивают), добиваясь отсутствия воздушных пузырьков;
6.10.1.8 выполняют измерение плотности нефти;
6.10.1.9 считывают по окончании измерений с дисплея лабораторного плотномера и записывают в рабочий журнал плотность отделившейся нефти;
6.10.1.10 промывают и сушат измерительную ячейку плотномера и вспомогательные устройства, применяемые для измерения плотности;
6.10.1.11 помещают трубку подачи образца лабораторного плотномера в слой отделившейся воды в мерном цилиндре и с помощью системы автоматической подачи (смены) проб проводят заполнение измерительной ячейки лабораторного плотномера отделившейся водой.
Примечание - При невозможности заполнения измерительной ячейки лабораторного плотномера пробой с помощью системы автоматической подачи (смены) проб заполнение проводят с помощью шприца. При необходимости на шприц надевают силиконовую трубку требуемой длины;
6.10.1.12 визуально убеждаются в отсутствии воздушных пузырьков в пробе воды, находящейся в измерительной ячейке.
Примечание - При наличии в измерительной ячейке воздушных пузырьков пробу в измерительной ячейке обновляют (прокачивают), добиваясь отсутствия воздушных пузырьков;
6.10.1.13 выполняют измерение плотности воды;
6.10.1.14 считывают по окончании измерений с дисплея лабораторного плотномера и записывают в рабочий журнал плотность отделившейся воды;
6.10.1.15 повторяют операции, указанные в
6.10.1.6 -
6.10.1.14, для второго цилиндра.
6.10.2 По комбинированному методу:
6.10.2.1 наливают в стеклянную прозрачную бутылку вместимостью 500 см
3 пробу для измерений (заполнение примерно на 90% вместимости);
6.10.2.2 повторяют процесс перемешивания пробы по
6.9.6 и отбирают пробу для измерений во вторую бутылку по
6.10.2.1;
6.10.2.3 вносят в стеклянные бутылки с пробами несколько капель деэмульгатора, закрывают пробками, перемешивают встряхиванием в течение 1 - 2 мин, помещают в водяную баню и выдерживают при температуре от 60 °C до 70 °C не менее 1 ч для отстаивания до образования границы раздела фаз "отделившаяся нефть - отделенная вода", периодически открывая пробку для выхода газа.
Примечания
1 Уровень пробы в стеклянных бутылках, погруженных в водяную баню, должен быть не менее чем на 20 мм ниже уровня термостатирующей жидкости водяной бани.
2 Если температура начала кипения нефти ниже 60 °C, то пробу выдерживают в бане при температуре ниже температуры начала кипения нефти на 2 °C - 3 °C, время выдержки увеличивают до 2 ч;
6.10.2.4 вынимают после отстаивания пробы бутылки из водяной бани и по отдельности переливают их содержимое в делительные воронки, в которых отстаивают до видимого разделения на отделившуюся нефть и отделенную воду;
6.10.2.5 поочередно сливают отстоявшиеся в делительной воронке воду и нефть отдельно в два лабораторных стакана, предварительно измерив массы пустых стаканов;
6.10.2.6 поочередно измеряют на весах массу отделенной воды и отделившейся нефти;
6.10.2.7 записывают в рабочий журнал результаты взвешиваний с точностью до 0,01 г;
6.10.2.8 тщательно перемешивают отделившуюся нефть в стакане стеклянной палочкой и отбирают пробу для определения остаточного содержания воды в нефти;
6.10.2.9 проводят определение остаточного содержания воды, содержащейся во взвешенном состоянии в отделившейся нефти по методу дистилляции в соответствии с
ГОСТ 2477 или по методу титрования Карла Фишера в соответствии с
6.10.3.
6.10.3 По методу титрования Карла Фишера:
6.10.3.1 при кулонометрическом титровании - в соответствии с требованиями
ГОСТ Р 54284;
6.10.3.2 при волюмометрическом титровании:
6.10.3.2.1 отбирают пробу для измерений в два шприца.
Примечание - Процедуру отбора пробы в шприцы после перемешивания проводят оперативно, в течение минимального промежутка времени. Количество отбираемой пробы определяют в соответствии с руководством по эксплуатации титратора;
6.10.3.2.2 вытирают при помощи бумажной салфетки иглу каждого шприца;
6.10.3.2.3 взвешивают поочередно на весах шприцы с отобранной пробой;
6.10.3.2.4 записывают в рабочий журнал результаты взвешиваний с точностью до 0,0001 г;
6.10.3.2.5 в ячейку для титрования титратора, не нарушая ее герметичности, при помощи шприца переносят пробу, следя за тем, чтобы капли пробы не попали на стенки ячейки для титрования и внутреннюю поверхность крышки ячейки;
6.10.3.2.6 взвешивают шприц на весах и по разности масс заполненного и пустого шприца определяют массу пробы, введенной в ячейку для титрования;
6.10.3.2.7 вводят значение массы пробы в титратор с клавиатуры;
6.10.3.2.8 запускают процесс титрования;
6.10.3.2.9 после окончания титрования считывают с дисплея титратора и записывают в рабочий журнал массу оттитрованной воды, мкг;
6.10.3.2.10 после установления стабильного тока с дрейфом, не превышающим максимальное значение, рекомендованное в руководстве по эксплуатации титратора, повторяют операции по
6.10.3.2.5 -
6.10.3.2.9 со второй частью пробы нефти (со вторым шприцом).
6.11 Требования к обработке и оформлению результатов измерений
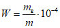
6.11.1 Рассчитывают массовую долю воды в нефти w, %:
6.11.1.1 по методу термохимического отстоя массовую долю воды в нефти w, %, рассчитывают по формуле

, (1)
где Vв - объем воды в мерном цилиндре, см3;

- плотность воды, кг/м
3;
Vп - объем пробы в мерном цилиндре, см3;

- плотность пробы, кг/м
3.
6.11.1.2 Плотность пробы рассчитывают по формуле

, (2)
где

- плотность воды, кг/м
3;
Vв - объем воды в мерном цилиндре, см3;
Vп - объем пробы в мерном цилиндре, см3;

- плотность нефти, кг/м
3.
6.11.1.3 По комбинированному методу массовую долю воды в нефти
W, %, рассчитывают по формуле

(3)
где mо.в - масса отделившейся воды, г;
mо.н - масса отделившейся нефти, г;
Wо - массовая доля воды, содержащейся во взвешенном состоянии в отделившейся нефти, измеренная методом дистилляции по
ГОСТ 2477 либо измеренная по методу титрования Карла Фишера, %.
6.11.1.4 По методу титрования Карла Фишера:
6.11.1.4.1 кулонометрическое титрование:
- массовую долю воды в нефти рассчитывают в соответствии с требованиями
ГОСТ Р 54284;
6.11.1.4.2 волюмометрическое титрование:
- массовую долю воды в нефти W, %, рассчитывают по формуле

, (4)
где mв - масса воды, измеренная титратором, мкг;
m - масса пробы, введенной в ячейку для титрования, г.
6.11.2 Рассчитывают среднее арифметическое значение результатов двух параллельных определений массовой доли воды в нефти.
6.11.3 Из среднего арифметического значения вычитают систематическую погрешность, указанную в свидетельстве об аттестации методики измерений массовой доли воды в нефти.
Примечание - Значение систематической погрешности измерений массовой доли воды в нефти рассчитывают по формуле, приведенной в свидетельстве об аттестации методики измерений массовой доли воды. Результат вычислений систематической погрешности округляют до 0,01%.
6.11.4 За результат измерения массовой доли воды в нефти
W, %, принимают значение, вычисленное по
6.11.3, результат измерения округляют до 0,01% при проведении измерений методом титрования Карла Фишера и до 0,1% при проведении измерений методом термохимического отстоя или комбинированным методом.
6.11.5 Результат измерений массовой доли воды в нефти записывают в рабочий журнал с указанием доверительных границ погрешности измерений.
Примечание - Значение доверительных границ погрешности измерений массовой доли воды в нефти рассчитывают по формуле, приведенной в свидетельстве об аттестации методики измерений массовой доли воды в нефти. Значение доверительных границ погрешности измерений массовой доли воды округляют до 0,01% при проведении измерений методом титрования Карла Фишера и до 0,1% при проведении измерений методом термохимического отстоя или комбинированным методом.
6.11.6 Рассчитывают массовую долю воды в нефтегазоводяной смеси Wсм, %, по формуле

(5)
где
Wн - массовая доля воды в нефти, вычисленная по
6.11.4, %;
Wс.г - массовая доля свободного газа в нефтегазоводяной смеси, %;
Wр.г - массовая доля растворенного газа в нефтегазоводяной смеси, %.
Результат вычисления массовой доли воды в нефтегазоводяной смеси записывают с точностью до 0,1%.
(обязательное)
ПРОГРАММА ОЦЕНИВАНИЯ ПОГРЕШНОСТИ ИЗМЕРЕНИЙ ПРИ ПРОВЕДЕНИИ
АТТЕСТАЦИИ МЕТОДИК ИЗМЕРЕНИЙ МАССОВОЙ ДОЛИ ВОДЫ В НЕФТИ
А.1 Проведение экспериментальных исследований по оценке погрешности измерений
А.1.1 Подготовительные работы к проведению исследований
А.1.1.1 Отбирают пробу для приготовления эталонных проб водонефтяной эмульсии. Отбор пробы проводят в соответствии с требованиями проекта документа, регламентирующего методику измерений. Пробу отбирают в количестве, необходимом для приготовления трех эталонных проб водонефтяной эмульсии, с содержанием воды, приближенно равным начальному, среднему и верхнему значениям аттестуемого диапазона измерений содержания воды. Объем каждой эталонной пробы должен быть достаточным для отбора из нее 24 проб для измерений.
А.1.1.2 Отстаивают отобранную пробу не менее суток для разделения на воду и нефть.
Примечание - При малом содержании воды в нефти либо в случаях стойких водонефтяных эмульсий разделение на воду и нефть может не наблюдаться. В таких случаях переходят к этапу по
А.1.1.6.
А.1.1.3 Отделяют нефть от воды, разливая в две разные емкости.
А.1.1.4 Отстаивают отделившуюся воду несколько часов, до образования на поверхности пленки (следов нефти). После чего сливают верхнюю часть воды до тех пор, пока поверхность воды не станет чистой от нефти.
А.1.1.5 Отделившуюся нефть отстаивают несколько часов. Затем нефть переливают в другую емкость, не допуская попадания в нее отделившейся воды.
А.1.1.6 Подготавливают стеклянные прозрачные бутылки с пробками в количестве 24 шт. вместимостью 500 см
3. Кроме того, в зависимости от выбранного метода измерений подготавливают лабораторную посуду, средства измерений и вспомогательные устройства в соответствии с
6.9.3.
А.1.1.7 Подготавливают перемешивающее устройство типа МУП-1 или другую аналогичную установку, применяемую для пробоподготовки нефти (далее - установка) в соответствии с руководством по эксплуатации.
А.1.1.8 Тщательно перемешивают весь объем подготовленной нефти в емкости в течение 5 мин путем энергичных встряхиваний.
А.1.1.9 Непосредственно после окончания перемешивания отбирают пробу нефти и измеряют остаточное содержание воды в нефти методом титрования по Карлу Фишеру в соответствии с
6.10.3.
А.1.1.10 Рассчитывают остаточное содержание воды в нефти в соответствии с
6.11.1.3. Результат измерения округляют до 0,01% и заносят в протокол аттестации N 1 по
форме, приведенной в приложении Б.
А.1.2 Приготовление эталонных проб водонефтяных эмульсий
На основе приготовленной нефти последовательно приготавливают три эталонные пробы водонефтяных эмульсий путем добавления известного количества воды к известному количеству нефти. Количество нефти и воды определяют путем взвешивания на весах.
Примечание - Если при подготовке нефти вода из отобранной пробы не отделилась, то в нефть добавляют дистиллированную воду.
А.1.2.1 Взвешивают на весах емкость с подготовленной нефтью.
А.1.2.2 Тщательно перемешивают весь объем приготовленной нефти в емкости в течение 5 мин путем энергичных встряхиваний и часть нефти заливают в установку.
А.1.2.3 Взвешивают на весах емкость с оставшейся нефтью.
А.1.2.4 Рассчитывают массу нефти, залитой в установку по разности масс емкости с подготовленной нефтью до и после заполнения установки.
А.1.2.5 Записывают в протокол аттестации N 1 с точностью до 0,01 г массу нефти, залитой в установку.
А.1.2.6 Включают перемешивание нефти в установке и после 2-минутной циркуляции в нефть добавляют воду в необходимом количестве. Для получения эталонной пробы с заданным содержанием воды массу добавляемой воды mв рассчитывают по формуле

, (А.1)
где mв - масса добавляемой воды, г;
W - заданное содержание воды, % (массовые доли);
Wо - массовая доля остаточного содержания воды в нефти, %;
mн - масса нефти, г.
Рассчитанную массу воды округляют до целых чисел, удобных для дозирования.
Действительное значение (аттестованное значение) массовой доли воды в эталонной водонефтяной эмульсии W, %, рассчитывают по формуле

(А.2)
где mв - масса добавленной воды, г.
А.1.2.7 Записывают в протокол аттестации N 1 с точностью до 0,01 г массу добавленной воды и действительное значение массовой доли воды в эталонной водонефтяной эмульсии с точностью до 0,01%.
А.1.2.8 Перемешивают водонефтяную эмульсию в течение 5 - 7 мин.
А.1.2.9 Затем, не прекращая процесс перемешивания, сливают водонефтяную эмульсию в емкость, применяемую для отбора пробы из трубопровода.
А.1.2.10 Операции по
А.1.2.1 -
А.1.2.9 повторяют для двух последующих эталонных проб.
А.1.3 Проведение исследований
А.1.3.1 Перемешивание пробы в пробоотборнике (в пробосборнике) и отбор пробы проводят для измерений; перемешивание и отбор проб - в соответствии с требованиями проекта документа, регламентирующего методику измерений.
Затем перемешивания повторяют и проводят отбор следующей пробы для измерений. В целом осуществляют отбор 12 пар проб для измерений.
Примечание - При аттестации методики измерений массовой доли воды в нефти, разработанной на основе метода титрования Карла Фишера, измерение содержания воды проводят непосредственно после отбора пробы для измерений.
А.1.3.2 Выполняют серию из 12 измерений массовой доли воды в нефти по два определения содержания воды в каждом измерении. Измерения проводят в соответствии с требованиями проекта документа, регламентирующего методику измерений.
А.1.3.3 Результаты измерений массовой доли воды в нефти заносят в протокол аттестации N 2 по
форме, приведенной в приложении В.
А.1.3.4 Операции по
А.1.3.1 -
А.1.3.3 повторяют для двух последующих эталонных проб водонефтяных эмульсий.
А.2 Статистическая обработка результатов измерений при проведении экспериментальных исследований по погрешности измерений и оценка погрешности измерений
А.2.1 Статистическая обработка результатов измерений экспериментальных исследований по оценке погрешности
При статистической обработке результатов измерений и оценивании погрешности измерений исходят из предположения, что выборка полученных экспериментальных данных подчиняется нормальному закону распределения, а характеристики погрешности измерений определяют с 95%-ной доверительной вероятностью. Результаты лабораторных измерений содержания воды исследуют на однородность, т.е. на отсутствие промахов (грубых погрешностей). Обнаруженные промахи исключают.
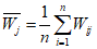
А.2.1.1 По результатам лабораторных измерений рассчитывают среднее значение массовой доли воды в каждой
j-й эталонной пробе водонефтяной эмульсии

, %, по формуле

, (А.3)
где n - число результатов измерений;
Wij - i-й результат измерения массовой доли воды в j-й эталонной пробе водонефтяной эмульсии, %.
А.2.1.2 Рассчитывают оценку стандартного отклонения промежуточной прецизионности (изменяющиеся факторы - лаборант, оборудование, время) для каждой эталонной пробы водонефтяной эмульсии Sj, %, по формуле

(А.4)
А.2.1.3 Исследуют ряд значений Wij на наличие промахов по критерию Граббса. Тестирование начинают со значения, наиболее отличающегося от среднего значения ряда.
Вычисляют статистику Граббса Uj по формуле

. (А.5)
Сравнивают полученное значение
Uj с критическим значением
h, приведенным в
таблице А.1
Таблица А.1
Критические значения для критерия Граббса
n | 5 | 6 | 7 | 8 | 9 | 10 | 11 | 12 |
h | 1,715 | 1,887 | 2,020 | 2,126 | 2,215 | 2,290 | 2,355 | 2,412 |
Если
Uj >
h, то результат исключают из выборки как промах. После исключения промаха рассчитывают значения

и S
j оставшегося ряда значений и тестируют следующее подозрительное на выброс значение. Процедуру повторяют до исключения всех выбросов. Каждый раз после исключения очередного промаха рассчитывают новые значения

и S
j и оставшегося ряда значений
Wij.
А.2.2 Оценка погрешности измерений
А.2.2.1 Рассчитывают оценку систематической погрешности измерений для каждой эталонной пробы водонефтяной эмульсии

, %, по формуле

, (А.6)
где

- среднее значение массовой доли воды в
j-й эталонной пробе водонефтяной эмульсии оставшегося ряда значений после исключения всех промахов, %;
Wj ат - действительное значение (аттестованное значение) массовой доли воды в j-й эталонной пробе водонефтяной эмульсии, %.
А.2.2.2 Рассчитанное значение систематической погрешности измерений округляют до 0,01%.
А.2.2.3 Оценивают значимость систематической погрешности по условию

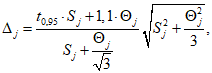
, (А.7)
где t0,95 - коэффициент Стьюдента при доверительной вероятности 0,95;
Sj - оценка стандартного отклонения оставшегося ряда значений Wij после исключения всех промахов, %.
Если выполнено
условие (А.7), то систематическая погрешность незначима и ее принимают равной нулю.
А.2.2.4 По значениям

и

методом наименьших квадратов рассчитывают функциональную зависимость значений систематической погрешности измерений от значений массовой доли воды в нефти,

, %, измеренной лабораторией:

, (А.8)
где c1, b1, a1 - коэффициенты зависимости;
W - массовая доля воды в нефти, измеренная лабораторией, %.
Коэффициент c1 округляют до шестого знака после запятой; коэффициент b1 - до четвертого знака после запятой; коэффициент a1 - до второго знака после запятой.
Систематическую погрешность измерений массовой доли воды записывают в протокол аттестации N 1 по
форме, приведенной в приложении Б.
А.2.2.5 Рассчитывают оценку доверительных границ погрешности результата измерений массовой доли воды в нефти для каждой эталонной пробы водонефтяной эмульсии

, %, по формуле

(А.9)
где Sj - оценка стандартного отклонения оставшегося ряда значений Wij после исключения всех промахов, %;

- суммарная неисключенная систематическая погрешность, источником которой являются погрешности применяемых средств измерений, вычисляемая для каждой эталонной пробы водонефтяной эмульсии по формуле

, (А.10)
где mн - масса нефти в j-й эталонной пробе водонефтяной эмульсии при ее приготовлении, г;
mв - масса добавленной в нефть воды при приготовлении j-й эталонной пробы водонефтяной эмульсии, г;
Wо - массовая доля остаточного содержания воды в нефти, подготовленной для приготовления эталонных проб, %;

- относительная погрешность определения массовой доли остаточного содержания воды в нефти, %.
Примечание - В
формуле (А.10) не учтено влияние погрешности весов при определении массовой доли воды из-за ее пренебрежительно малого вклада в суммарную неисключенную систематическую погрешность.
А.2.2.6 Рассчитанное значение доверительных границ погрешности результата измерений массовой доли воды в нефти округляют до 0,01% при проведении измерений методом титрования Карла Фишера и до 0,1% при проведении измерений методом термохимического отстоя или комбинированным методом. Значения доверительных границ погрешности результата измерений массовой доли воды в нефти для каждой эталонной пробы водонефтяной эмульсии не должно превышать значений пределов допускаемой погрешности измерений, приведенных в
6.1.
А.2.2.7 По значениям

и

методом наименьших квадратов рассчитывают функциональную зависимость значений доверительных границ погрешности результата измерений от значений массовой доли воды в нефти

, %, измеренной лабораторией:

, (А.11)
где c2, b2, a2 - коэффициенты зависимости;
W - массовая доля воды в нефти, измеренная лабораторией, %.
Коэффициент c2 округляют до шестого знака после запятой; коэффициент b2 - до четвертого знака после запятой; коэффициент a2 - до второго знака после запятой.
Доверительные границы погрешности результата измерений записывают в протокол аттестации N 1 по
форме, приведенной в приложении Б.
(обязательное)
Форма протокола аттестации N 1
Место проведения аттестации | _____________ | ______________________ |
Условия проведения аттестации: | - температура окружающего воздуха, °C | _____________ |
- относительная влажность, % | _____________ |
- атмосферное давление, кПа | _____________ |
Исходные данные |
N эталонной пробы водонефтяной эмульсии | Масса нефти mн, г | Масса добавляемой воды mв, г | Остаточное содержание воды в нефти  , % | Действительное значение (аттестованное значение) содержания воды в эталонной пробе Wj ат, % |
1 | | | | |
2 | | | | |
3 | | | | |
Погрешности методики измерений массовой доли воды в нефти в диапазоне измерений | от ___ до ___%. |
- систематическая погрешность измерений | ___________%; |
- доверительные границы погрешности результата измерений | ___________%. |
Вывод: методика измерений соответствует (не соответствует) установленным показателям точности. |
Исследования провели: |
_____________________ (должность) | _____________________ (подпись) | _____________________ (инициалы, фамилия) |
Дата _________________ |
(обязательное)
Форма протокола аттестации N 2
Место проведения аттестации | _____________ | ______________________ |
_____________ | ______________________ |
Условия проведения аттестации: | - температура окружающего воздуха, °C | _____________ |
- относительная влажность, % | _____________ |
- атмосферное давление, кПа | _____________ |
Результаты лабораторных измерений |
N эталонной пробы водонефтяной эмульсии | Номер пробы | Лаборант (инициалы, фамилия) | Параллельные определения содержания воды в пробе, % | i-й результат измерения массовой доли воды в эталонной пробе водонефтяной эмульсии (среднее двух параллельных определений) Wij, % |
1 | 2 | 3 | 4 | 5 |
1 | 01-1-1 | | | |
02-1-2 | |
03-1-1 | | | |
04-1-2 | |
05-1-1 | | | |
06-1-2 | |
07-1-1 | | | |
08-1-2 | |
09-1-1 | | | |
10-1-2 | |
11-1-1 | | | |
12-1-2 | |
13-1-1 | | | |
14-1-2 | |
15-1-1 | | | |
16-1-2 | |
17-1-1 | | | |
18-1-2 | |
19-1-1 | | | |
20-1-2 | |
21-1-1 | | | |
22-1-2 | |
23-1-1 | | | |
24-1-2 | |
2 | 01-2-1 | | | |
02-2-2 | |
03-2-1 | | | |
04-2-2 | |
05-2-1 | | | |
06-2-2 | |
07-2-1 | | | |
08-2-2 | |
09-2-1 | | | |
10-2-2 | |
11-2-1 | | | |
12-2-2 | |
13-2-1 | | | |
14-2-2 | |
15-2-1 | | | |
16-2-2 | |
17-2-1 | | | |
18-2-2 | |
19-2-1 | | | |
20-2-2 | |
21-2-1 | | | |
22-2-2 | |
23-2-1 | | | |
24-2-2 | |
3 | 01-3-1 | | | |
02-3-2 | |
03-3-1 | | | |
04-3-2 | |
05-3-1 | | | |
06-3-2 | |
07-3-1 | | | |
08-3-2 | |
09-3-1 | | | |
10-3-2 | |
11-3-1 | | | |
12-3-2 | |
13-3-1 | | | |
14-3-2 | |
15-3-1 | | | |
16-3-2 | |
17-3-1 | | | |
18-3-2 | |
19-3-1 | | | |
20-3-2 | |
21-3-1 | | | |
22-3-2 | |
23-3-1 | | | |
24-3-2 | |
Ответственное лицо в лаборатории по проведению аттестации и ведению протокола: |
_____________________ (должность) | _____________________ (подпись) | _____________________ (инициалы, фамилия) |
Дата _________________ |
| Порядок аттестации первичных референтных методик (методов) измерений, референтных методик (методов) измерений и методик (методов) измерений и их применения (утвержден Приказом Минпромторга России от 15 декабря 2015 г. N 4091) |
| Рекомендации по межгосударственной стандартизации РМГ 61-2010 | Государственная система обеспечения единства измерений. Показатели точности, правильности, прецизионности методик количественного химического анализа. Методы оценки |
УДК 665.61:543.613.2:542.49:006.034 | |
Ключевые слова: нефтегазоводяная смесь, массовая доля воды в нефтегазоводяной смеси, методы измерений, требования к методикам (методам) измерений |