Главная // Актуальные документы // ГОСТ Р (Государственный стандарт)СПРАВКА
Источник публикации
М.: Стандартинформ, 2006
Примечание к документу
Документ
введен в действие с 01.07.2007.
Название документа
"ГОСТ Р 52536-2006. Национальный стандарт Российской Федерации. Оборудование станций радиоконтроля автоматизированное. Технические требования и методы испытаний"
(утв. Приказом Ростехрегулирования от 21.04.2006 N 72-ст)
"ГОСТ Р 52536-2006. Национальный стандарт Российской Федерации. Оборудование станций радиоконтроля автоматизированное. Технические требования и методы испытаний"
(утв. Приказом Ростехрегулирования от 21.04.2006 N 72-ст)
Утвержден и введен в действие
агентства по техническому
регулированию и метрологии
от 21 апреля 2006 г. N 72-ст
НАЦИОНАЛЬНЫЙ СТАНДАРТ РОССИЙСКОЙ ФЕДЕРАЦИИ
ОБОРУДОВАНИЕ СТАНЦИЙ РАДИОКОНТРОЛЯ АВТОМАТИЗИРОВАННОЕ
ТЕХНИЧЕСКИЕ ТРЕБОВАНИЯ И МЕТОДЫ ИСПЫТАНИЙ
Automatic equipment for spectrum monitoring stations.
Technical requirements and test methods
ГОСТ Р 52536-2006
Группа Э02
Дата введения
1 июля 2007 года
Цели и принципы стандартизации в Российской Федерации установлены Федеральным
законом от 27 декабря 2002 г. N 184-ФЗ "О техническом регулировании", а правила применения национальных стандартов Российской Федерации -
ГОСТ Р 1.0-2004 "Стандартизация в Российской Федерации. Основные положения"
1 РАЗРАБОТАН Федеральным государственным унитарным предприятием Научно-исследовательский институт радио (ФГУП НИИР)
2 ВНЕСЕН Техническим комитетом по стандартизации ТК 30 "Электромагнитная совместимость технических средств"
3 УТВЕРЖДЕН И ВВЕДЕН В ДЕЙСТВИЕ
Приказом Федерального агентства по техническому регулированию и метрологии от 21 апреля 2006 г. N 72-ст
4 Настоящий стандарт разработан с учетом требований и положений, установленных в "Справочнике по радиоконтролю. Бюро радиосвязи Международного Союза электросвязи, 2002 г." ("Handbook Spectrum Monitoring, Radiocommunication Bureau, International telecommunication Union, 2002") и
РД 45.193-2001 "Оборудование станций радиоконтроля. Общие технические требования"
5 ВВЕДЕН ВПЕРВЫЕ
Информация об изменениях к настоящему стандарту публикуется в ежегодно издаваемом информационном указателе "Национальные стандарты", а текст изменений и поправок - в ежемесечно издаваемых информационных указателях "Национальные стандарты". В случае пересмотра (замены) или отмены настоящего стандарта соответствующее уведомление будет опубликовано в ежемесячно издаваемом информационном указателе "Национальные стандарты". Соответствующая информация, уведомление и тексты размещаются также в информационной системе общего пользования - на официальном сайте Федерального агенства по техническому регулированию и метрологии в сети Интернет
Настоящий стандарт распространяется на автоматизированное оборудование подвижных и стационарных (обслуживаемых и необслуживаемых) станций, осуществляющих контроль за излучениями радиоэлектронных средств и высокочастотных устройств, работающих в диапазонах частот НЧ, СЧ, ВЧ, ОВЧ, УВЧ, использующее в своем составе приемники с параметрами в соответствии с
4.2 (далее - оборудование), и устанавливает технические требования к оборудованию и соответствующие методы испытаний.
В настоящем стандарте использованы нормативные ссылки на следующие стандарты:
ГОСТ Р 51317.4.2-99 (МЭК 61000-4-2-95) Совместимость технических средств электромагнитная. Устойчивость к электростатическим разрядам. Требования и методы испытаний
ГОСТ Р 51317.4.3-99 (МЭК 61000-4-3-95) Совместимость технических средств электромагнитная. Устойчивость к радиочастотному электромагнитному полю. Требования и методы испытаний
ГОСТ Р 51317.4.4-99 (МЭК 61000-4-4-95) Совместимость технических средств электромагнитная. Устойчивость к наносекундным импульсным помехам. Требования и методы испытаний
ГОСТ Р 51317.4.5-99 (МЭК 61000-4-5-95) Совместимость технических средств электромагнитная. Устойчивость к микросекундным импульсным помехам большой энергии. Требования и методы испытаний
ГОСТ Р 51317.4.6-99 (МЭК 61000-4-6-96) Совместимость технических средств электромагнитная. Устойчивость к кондуктивным помехам, наведенным радиочастотными электромагнитными полями. Требования и методы испытаний
ГОСТ Р 51317.4.11-99 (МЭК 61000-4-11-94) Совместимость технических средств электромагнитная. Устойчивость к динамическим изменениям напряжения электропитания. Требования и методы испытаний
ГОСТ Р 51318.11-99 (СИСПР 11-97) Совместимость технических средств электромагнитная. Радиопомехи индустриальные от промышленных, научных, медицинских и бытовых (ПНМБ) высокочастотных устройств. Нормы и методы испытаний
ГОСТ Р 51319-99 Совместимость технических средств электромагнитная. Приборы для измерения индустриальных радиопомех. Технические требования и методы испытаний
ГОСТ Р 51320-99 Совместимость технических средств электромагнитная. Радиопомехи индустриальные. Методы испытаний технических средств - источников индустриальных радиопомех
ГОСТ Р 51350-99 (МЭК 61010-1-90) Безопасность электрических контрольно-измерительных приборов и лабораторного оборудования. Часть 1. Общие требования
ГОСТ 13109-97 Электрическая энергия. Совместимость технических средств электромагнитная. Нормы качества электрической энергии в системах электроснабжения общего назначения
| | ИС МЕГАНОРМ: примечание. ГОСТ 14777-76 утратил силу с 1 июля 2013 года в связи с введением в действие ГОСТ Р 55055-2012 (Приказ Росстандарта от 12.11.2012 N 719-ст). | |
ГОСТ 14777-76 Радиопомехи индустриальные. Термины и определения
ГОСТ 22261-94 Средства измерений электрических и магнитных величин. Общие технические условия
Примечание - При пользовании настоящим стандартом целесообразно проверить действие ссылочных стандартов и классификаторов в информационной системе общего пользования - на официальном сайте Федерального агентства по техническому регулированию и метрологии в сети Интернет или по ежегодно издаваемому информационному указателю "Национальные стандарты", который опубликован по состоянию на 1 января текущего года, и по соответствующим ежемесячно издаваемым информационным указателям, опубликованным в текущем году. Если ссылочный документ заменен (изменен), то при пользовании настоящим стандартом следует руководствоваться замененным (измененным) документом. Если ссылочный документ отменен без замены, то положение, в котором дана ссылка на него, применяется в части, не затрагивающей эту ссылку.
3 Термины, определения и сокращения
3.1 Термины и определения
В настоящем стандарте применены термины по ГОСТ 14777,
ГОСТ 24375,
ГОСТ 30372, а также следующие термины с соответствующими определениями:
3.1.1 радиоконтроль: Контроль за излучениями РЭС и (или) высокочастотных устройств, осуществляемый в целях: обнаружения источников радиопомех, не разрешенных для использования РЭС, нарушений порядка и правил использования радиочастотного спектра его пользователями, требований стандартов, требований к параметрам излучения (приема) радиоэлектронных средств и (или) высокочастотных устройств; обеспечения электромагнитной совместимости РЭС и эксплуатационной готовности радиочастотного спектра.
3.1.2 станция радиоконтроля: Станция, предназначенная для осуществления радиоконтроля и содержащая автоматизированное оборудование радиоконтроля и, в зависимости от выполняемых задач, радиопеленгатор, антенно-фидерную систему, а также вспомогательное оборудование.
3.1.3 подвижная станция радиоконтроля: Станция радиоконтроля, устанавливаемая на подвижных средствах.
3.1.4 стационарная станция радиоконтроля: Станция радиоконтроля, предназначенная для установки на постоянном месте.
3.1.5 автоматизированное оборудование радиоконтроля: Оборудование, предназначенное для выполнения в автоматическом режиме задач радиоконтроля совместно с другими техническими средствами, входящими в состав станции.
3.1.6 уровень порога сигнала: Уровень сигнала контролируемой частоты на входе приемника, используемый для установления занятости данной частоты и (или) выделенных полос частот.
3.1.7 занятость радиочастотного спектра: Продолжительность наличия радиоизлучения на одной радиочастоте, в одном радиочастотном канале или в полосе радиочастот в течение определенного интервала времени.
В настоящем стандарте применены следующие сокращения:
АМ - амплитудная модуляция;
ИРП - индустриальные радиопомехи;
ИЭ - инструкция по эксплуатации;
ЛВС - локальная вычислительная сеть;
НГ - непрерывная генерация;
ПЧ - промежуточная частота;
РЧС - радиочастотный спектр;
РЭС - радиоэлектронное средство;
ЧМ - частотная модуляция;
ЭСР - электростатический разряд;

- девиация частоты (пиковое значение) при частотной модуляции;
AF - модулирующая частота;
SINAD - метод измерения чувствительности приемника, основанный на определении отношения сигнал/шум + искажения.
4.1.1 Диапазон рабочих частот оборудования должен включать в себя полностью или частично следующие диапазоны:
- до 30 МГц (диапазоны НЧ, СЧ и ВЧ);
- от 30 до 3000 МГц (диапазоны ОВЧ и УВЧ).
Диапазон рабочих частот оборудования конкретного типа определяется назначением станции радиоконтроля и указывается в технических документах на оборудование конкретного типа.
4.1.2 Оборудование должно обеспечивать измерение несущей частоты принимаемых сигналов. Погрешность измерения частоты немодулированных сигналов в различных диапазонах должна быть не хуже указанной в таблице 1 при уровне сигнала на входе приемника не более 20 дБ·мкВ (10 мкВ).
Таблица 1
Погрешность измерения частоты немодулированных сигналов
Полоса частот (исключая нижний и включая верхний пределы), МГц | Относительная погрешность измерения частоты |
0,535 - 29,7 | 2 x 10-6 |
29,7 - 3000 | 2 x 10-8 |
Примечание - Погрешность измерения частоты для остальной части диапазона рабочих частот должна быть указана в технических документах на оборудование конкретного типа. |
4.1.3 Оборудование должно обеспечивать измерение уровня принимаемых сигналов в пределах от 0 до 110 дБ·мкВ. Погрешность измерения уровня немодулированного сигнала не должна быть более +/- 1,5 дБ.
4.1.4 Оборудование должно совместно с измерительной антенно-фидерной системой, входящей в состав станции радиоконтроля, обеспечивать измерение напряженности поля в диапазоне частот от 0,1 до 300 МГц с погрешностью не более +/- 4 дБ и в диапазоне частот от 300 до 3000 МГц с погрешностью не более +/- 3 дБ.
4.1.5 Оборудование должно обеспечивать измерение ширины полосы частот принимаемых сигналов до 300 кГц с погрешностью не более +/- 5% и до 30 МГц с погрешностью не более +/- 10% на уровнях: минус 3, минус 6, минус 26, минус 30, минус 40, минус 50, минус 60 и минус 80 дБ относительно заданного (исходного) уровня 0 дБ.
4.1.6 Оборудование должно обеспечивать измерение коэффициента амплитудной модуляции сигналов с амплитудной модуляцией в пределах от 10% до 90% с погрешностью не более +/- 10% при уровне сигнала на входе испытуемого оборудования не более 20 дБ·мкВ (10 мкВ).
4.1.7 Оборудование должно обеспечивать измерение девиации частоты сигналов с частотной модуляцией в пределах от 0,5 до 130 кГц. Погрешность измерения девиации частоты в пределах от 0,5 до 130 кГц должна быть не более +/- 10% при уровне сигнала на входе испытуемого оборудования не более 20 дБ·мкВ (10 мкВ).
4.1.8 Минимальный разрешаемый интервал (разрешающая способность оборудования) по частоте должен быть от 1 до 3000 Гц в зависимости от полосы обзора. Значение интервала указывают в технических документах на оборудование конкретного типа.
4.1.9 Оборудование должно обеспечивать возможность ввода и оперативного изменения данных, необходимых для решения задач радиоконтроля, как с клавиатуры управляющего компьютера, так и из файлов заданий, в том числе получаемых по каналам связи. Оборудование должно обеспечивать возможность вывода результатов радиоконтроля на дисплей управляющего компьютера и сохранения в файле результатов радиоконтроля, в том числе и для передачи по каналам связи. Измененные данные должны сохраняться в файле задания.
4.1.10 Оборудование должно обеспечивать построение, наблюдение и запись в память управляющего компьютера панорамы спектра как в координатах "уровень-частота", так и в координатах "уровень-частота-время" для заданных полос частот и списков частот в реальном масштабе времени.
Должна быть обеспечена возможность многократного сканирования полосы частот по времени и частоте. Число сканирований (время наблюдения) контролируемых полос частот и/или списков частот должно быть регулируемым (устанавливаемым оператором).
4.1.11 Оборудование должно обеспечивать:
- возможность опознавания оператором сигналов на слух и наблюдением панорамы спектра. В технических документах на оборудование конкретного типа должен быть указан полный перечень возможностей оборудования для опознавания сигналов;
- запись сигналов контролируемых источников излучений. В технических документах на оборудование конкретного типа должны быть указаны технические параметры для подключения внешней записывающей аппаратуры;
- определение направления на источник излучения совместно с радиопеленгатором из состава станции радиоконтроля;
- управление (коммутация, разворот) антеннами антенно-фидерного устройства, входящего в состав станции радиоконтроля. В технических документах на оборудование конкретного типа должны быть указаны параметры оборудования при работе с направленной антенной;
- возможность подключения и использования в качестве опорного генератора внешнего источника частотой 5 и 10 МГц и уровнем 1 В на нагрузке 50 Ом.
4.1.12 Оборудование должно определять занятость полос радиочастот, а также радиочастот и радиочастотных каналов.
4.1.13 Уровень порога сигнала на входе приемника, превышение которого регистрируется как занятость канала, должен быть регулируемым с шагом не более 1 дБ.
4.1.14. При решении задачи контроля занятости радиочастотного спектра минимальное число сканируемых каналов в секунду (для радиочастотных каналов шириной полосы частот 25 кГц) должно быть не менее 120.
4.1.15 Оборудование в режиме контроля параметров радиоизлучений должно обеспечивать:
- возможность определения вида модуляции и параметров радиосигналов: частоты, уровня на входе приемника, напряженности поля, ширины полосы спектра излучения, параметров модуляции (коэффициента модуляции для амплитудно-модулированных сигналов, девиации частоты для частотно-модулированных сигналов);
- возможность определения параметров радиосигналов в автоматическом (программируемом) и ручном режимах.
4.1.16 Время установления рабочего режима оборудования стационарных станций радиоконтроля не должно превышать 1 ч.
Для оборудования подвижных станций радиоконтроля время установления рабочего режима должно быть указано в технических документах на оборудование конкретного типа.
4.1.17 Оборудование стационарных станций радиоконтроля должно обеспечивать время непрерывной работы не менее 24 ч.
4.1.18 Оборудование должно обеспечивать возможность дистанционного (удаленного) включения и выключения, а также автоматическую перезагрузку управляющего компьютера при сбоях в сети электропитания.
4.1.19 В программном обеспечении должны использоваться установленные форматы данных в соответствии с
[3] и
[4].
4.2 Технические требования к приемникам
Технические требования к приемникам, входящим в состав оборудования, - в соответствии с таблицей 2.
Таблица 2
Технические требования к приемникам
Наименование параметра | Значение параметра |
Дискретность настройки по частоте, кГц, не более | 0,01 - для диапазона частот до 30 МГц; |
0,1 - для диапазона частот свыше 30 МГц |
Погрешность по частоте опорного генератора за год, не более | 2 x 10-8 |
Полоса пропускания, ряд значений, кГц | От 0,1 до 300 в последовательности 1, 3, 10 |
Ослабление помехи промежуточной частоты, сигналов зеркальных частот и помех по побочным каналам приема, дБ, не менее | 60 |
Чувствительность, мкВ, не менее <1> | 1,0 (в режимах АМ и ЧМ) |
Точка пересечения по интермодуляции второго порядка IP2, дБ·мВт, не менее | 8 |
Точка пересечения по интермодуляции третьего порядка IP3, дБ·мВт, не менее | -1 |
Дистанционное управление, протокол | RS 232C и (или) Ethernet 10/100 + и (или) GPIB и (или) USB |
Антенный вход: КСВН; входное сопротивление, Ом | 2,5; 50 |
Выход сигнала ПЧ, вид | Аналоговый |
<1> Режим измерений при частотной модуляции: SINAD >= 20 дБ;  = 10 кГц; AF = 1 кГц. |
Режим измерений при амплитудной модуляции: SINAD >= 10 дБ; коэффициент АМ = 50%; AF = 1 кГц. |
4.3 Требования к конструкции
4.3.1 Требования к конструкции устанавливают в технических условиях на оборудование конкретного типа.
4.3.2 В конструкции оборудования должны быть предусмотрены устройства, обеспечивающие самопроверку и контроль работоспособности, а также возможность подключения внешней поверочной (калибровочной) аппаратуры без демонтажа оборудования.
4.3.3 На электрические соединители блоков и устройств оборудования должны быть нанесены обозначения, позволяющие определить разъемы, подлежащие соединению, либо особенности конструкции разъемов должны исключать возможность неправильного их соединения между собой.
4.3.4 Масса отдельных блоков оборудования, подлежащих переноске, не должна превышать 20 кг.
4.3.5 Оборудование подвижных станций радиоконтроля должно быть легкосъемным.
4.4 Требования устойчивости к воздействиям климатических и механических факторов внешней среды
4.4.1 Оборудование должно соответствовать требованиям
4.1.2 и
4.1.3 при климатических воздействиях в соответствии с таблицей 3.
Таблица 3
Климатические воздействия
Тип воздействия | Величина воздействия для оборудования |
стационарных обслуживаемых станций | подвижных станций | стационарных необслуживаемых станций |
Температура окружающего воздуха, °C: | | | |
- нижнее значение | 10 | 5 | -10 |
- верхнее значение | 35 | 40 | 40 |
Атмосферное давление, кПа (мм рт. ст.) | От 84,0 до 106,7 (630 - 800) |
4.4.2 Оборудование должно соответствовать требованиям
4.1.2 и
4.1.3 после механических воздействий в соответствии с таблицей 4.
Таблица 4
Механические воздействия
Тип воздействия | Величина воздействия для оборудования |
стационарных обслуживаемых станций | подвижных станций | стационарных необслуживаемых станций |
Вибрация: | | | |
- частота, Гц | - | 10 - 55 | - |
- максимальное ускорение, м/с2 | - | 2 | - |
Механические удары многократного действия: | | | |
- число ударов в минуту | - | 10 - 50 | - |
- максимальное ускорение, м/с2 | - | 30 | - |
- длительность импульса, мс | - | 16 | - |
- число ударов | - | 1000 | - |
Транспортная тряска: | | | |
- число ударов в минуту | 80 - 120 | - | 80 - 120 |
- максимальное ускорение, м/с2 | 30 | - | 30 |
- продолжительность воздействия, ч | 1 | - | 1 |
4.4.3 Оборудование должно соответствовать требованиям
4.1.2 и
4.1.3 после воздействия предельных температурных условий транспортирования в соответствии с таблицей 5.
Таблица 5
Предельные условия транспортирования
Температурные воздействия | Величина воздействия для оборудования |
стационарных обслуживаемых станций | подвижных станций | стационарных необслуживаемых станций |
Температура окружающего воздуха, °C: | | | |
- минимальное значение | -50 | -25 | -50 |
- максимальное значение | +50 | +50 | +50 |
4.5 Требования к надежности
4.5.1 Требования к надежности должны быть установлены в технических документах на оборудование конкретного типа.
4.5.2 Гарантийный срок службы должен быть не менее 18 мес с момента поставки оборудования или 12 мес - с момента ввода оборудования в эксплуатацию. Конкретные значения показателей надежности указывают в технических документах на оборудование конкретного типа.
4.5.3 Срок службы оборудования - не менее 10 лет.
4.5.4 Оборудование должно храниться в отапливаемых помещениях. Срок хранения оборудования - не менее 5 лет.
4.6 Требования к электропитанию
4.6.1 Оборудование стационарных станций радиоконтроля должно быть рассчитано на работу от сети переменного тока номинальным напряжением 220 В. Качество электрической энергии - в соответствии с
ГОСТ 13109. В цепи электропитания оборудования устанавливают плавкие предохранители, доступ к которым обеспечивается без вскрытия оборудования.
4.6.2. Оборудование подвижных станций радиоконтроля должно быть рассчитано на работу как от однофазного источника переменного тока номинальным напряжением 220 В +/- 10% частотой (50 +/- 1) Гц (при использовании внешнего преобразователя), так и от источников постоянного тока напряжением от 11 до 15 В.
Для оборудования, рассчитанного на работу от источника постоянного тока, напряжение, ток и допускаемые пульсации должны быть указаны в технических документах на оборудование конкретного типа в случае, если преобразователь не входит в комплект поставки.
4.7 Требования безопасности
4.7.1 Конструкция устройств оборудования должна обеспечивать выполнение правил техники безопасности в соответствии с
ГОСТ Р 51350 и соответствовать требованиям по обеспечению удобств (условий) безопасности эксплуатации оборудования.
4.7.2 В оборудовании с электропитанием от сети переменного тока (непосредственно или через адаптер) должно быть предусмотрено защитное заземление. Рядом с клеммой заземления должен быть нанесен знак заземления. Переходное сопротивление между клеммой защитного заземления и любой токопроводящей частью каждого устройства, доступной для прикосновения, не должно превышать 0,5 Ом.
4.7.3 Электрическая изоляция между цепью сетевого питания переменного тока и корпусом устройства в нормальных условиях должна выдерживать без пробоя и поверхностного перекрытия в течение 1 мин воздействие испытательным напряжением 1500 В частотой 50 Гц.
4.7.4 Электрическое сопротивление изоляции между цепью сетевого питания и корпусом устройства должно быть не менее:
2 МОм - для оборудования стационарных станций радиоконтроля в нормальных климатических условиях;
1 МОм - для оборудования подвижных станций радиоконтроля в нормальных климатических условиях.
4.8 Требования электромагнитной совместимости
4.8.1 Уровень напряженности поля излучаемых ИРП от оборудования станций радиоконтроля при измерении на расстоянии 10 м в соответствии с методами, установленными в
5.5.1, не должен превышать значений, указанных в таблице 6.
Таблица 6
Допустимые значения уровней напряженности поля
излучаемых радиопомех
Полоса частот, МГц | Уровень напряженности поля, дБ (квазипиковое значение) |
От 30 до 230 включ. | 30 |
Св. 230 до 1000 | 37 |
Примечание - Уровень напряженности поля E, дБ, относительно 1 мкВ/м вычисляют по формуле  , где Eизм - измеренное значение напряженности поля ИРП, мкВ/м. |
4.8.2 Уровень напряжения кондуктивных ИРП на входных и выходных портах электропитания постоянного и переменного тока оборудования стационарных станций радиоконтроля при измерении в соответствии с методами, установленными в
5.7.2, не должен превышать значений, указанных в таблице 7 для квазипиковых и средних значений напряжения ИРП.
Таблица 7
Допустимые уровни напряжения ИРП
Полоса частот, МГц | Уровень напряжения, дБ |
Квазипиковое значение | Среднее значение |
От 0,15 до 0,5 включ. | 66 - 56 | 56 - 46 |
Св. 0,5 до 5 включ. | 56 | 46 |
Св. 5 до 30 | 60 | 50 |
Примечания 1 Уровень напряжения U, дБ, относительно 1 мкВ вычисляют по формуле  , где Uизм - измеренное значение напряжения ИРП, мкВ. 2 В полосе частот от 0,15 до 0,5 МГц допустимые значения уровней напряжения ИРП, дБ, вычисляют по формулам: U = 66 - 19,1·lg f/0,15 - для квазипиковых значений; U = 56 - 19,1·lg f/0,15 - для средних значений, где f - частота измерений, МГц. |
4.8.3 Оборудование станций радиоконтроля должно быть устойчивым к воздействию по
ГОСТ Р 51317.4.2 воздушных и контактных электростатических разрядов напряжением 4 кВ. Во время воздействия помехи допускается кратковременное нарушение функционирования оборудования с последующим восстановлением нормального функционирования без участия оператора.
4.8.4 Оборудование должно быть устойчивым к воздействию наносекундных импульсных помех по
ГОСТ Р 51317.4.4:
- на входные порты электропитания переменного тока испытательным напряжением 1 кВ;
- на входные порты электропитания постоянного тока, сигнальные и контрольные порты испытательным напряжением 0,5 кВ.
Во время воздействия помехи допускается кратковременное нарушение функционирования оборудования с последующим восстановлением нормального функционирования без участия оператора. Требования по устойчивости к воздействию наносекундных импульсных помех не устанавливают для оборудования, размещаемого на подвижных станциях радиоконтроля и работающего в автономном режиме (без подключения к электрическим и информационным сетям общего пользования), а также для портов, длина подключаемых кабельных соединений к которым в соответствии с техническими документами на оборудование конкретного типа не превышает 3 м.
4.8.5 Оборудование, подключаемое к электрическим сетям переменного тока, должно быть устойчивым к воздействию микросекундных импульсных помех большой энергии по
ГОСТ Р 51317.4.5 при подаче на входные порты электропитания испытательного напряжения 1 кВ по схеме "провод-земля" и 0,5 кВ - при подаче испытательного напряжения по схеме "провод-провод". Во время воздействия помехи допускается кратковременное нарушение функционирования оборудования с последующим восстановлением нормального функционирования без участия оператора.
4.8.6 Оборудование, подключаемое к электрическим сетям переменного тока, должно быть устойчивым к воздействию динамических изменений напряжения сети электропитания. Параметры испытательного воздействия и рекомендуемые критерии оценки качества функционирования оборудования при испытаниях представлены в таблице 8.
Таблица 8
Параметры испытательного воздействия, критерии качества
функционирования оборудования при испытаниях на устойчивость
к динамическим изменениям напряжения сети электропитания
Вид помехи | Значение и длительность испытательного напряжения | Критерии функционирования оборудования при испытаниях |
Провал напряжения | 0,7 Uн +/- 5%, В, 10 периодов/200 мс | Во время и после прекращения воздействия установленные режимы работы оборудования, контролируемые по показаниям индикаторных устройств, не изменяются |
0,7 Uн +/- 5%, В, 25 периодов/500 мс | Во время воздействия помехи допускается кратковременное нарушение функционирования оборудования с последующим восстановлением функционирования без участия оператора |
Прерывание напряжения | 1 период/20 мс | Во время и после прекращения воздействия установленные режимы работы оборудования, контролируемые по показаниям индикаторных устройств, не изменяются |
Выброс напряжения | 1,2 Uн +/- 5%, В, 10 периодов/200 мс | Во время и после прекращения воздействия установленные режимы работы оборудования, контролируемые по показаниям индикаторных устройств, не изменяются |
1,2 Uн +/- 5%, В, 25 периодов/500 мс | Во время воздействия помехи допускается кратковременное нарушение функционирования оборудования с последующим восстановлением функционирования без участия оператора |
Примечания 1 Uн - номинальное напряжение электропитания. 2 Испытательное напряжение от 0% до 20% Uн рассматривают как прерывание напряжения. |
4.8.7 Оборудование должно быть устойчивым к воздействию радиочастотного электромагнитного поля в соответствии с
ГОСТ Р 51317.4.3. Напряженность испытательного поля должна быть 3 В/м, полоса частот воздействующего испытательного поля - от 80 до 1000 МГц и от 1400 до 2000 МГц.
Во время воздействия помехи допускается кратковременное нарушение функционирования оборудования с последующим восстановлением нормального функционирования без участия оператора.
4.8.8 Оборудование, подключаемое к сети переменного тока, должно быть устойчивым к воздействию кондуктивных электромагнитных помех, наведенных радиочастотными электромагнитными полями на входной порт электропитания в соответствии с
ГОСТ Р 51317.4.6. Испытания проводят в полосе частот от 0,15 до 80 МГц. Испытательное напряжение должно быть 3 В.
Во время воздействия помехи допускается кратковременное нарушение функционирования оборудования с последующим восстановлением нормального функционирования без участия оператора.
Параметры оборудования, проверяемые при испытаниях, приведены в таблице 9.
Таблица 9
Параметры оборудования, проверяемые при испытаниях
Наименование параметра | Номер пункта |
требований | методов испытаний |
Диапазон рабочих частот | | |
Погрешность измерения частоты немодулированного сигнала | | |
Пределы и погрешность измерения уровня немодулированного сигнала | | |
Погрешность измерения напряженности поля | | |
Пределы и погрешность измерения ширины полосы частот | | |
Пределы и погрешность измерения коэффициента АМ | | |
Пределы и погрешность измерения девиации частоты | | |
Разрешающая способность по частоте | | |
Возможность ввода, изменения и сохранения измененных данных для радиоконтроля | | |
Возможность построения панорамы спектра | | |
Возможность опознавания сигналов | | |
Занятость полос радиочастот, радиочастот и радиочастотных каналов | | |
Уровень порога сигнала | | |
Скорость сканирования каналов | | |
Вид модуляции и параметры радиосигналов | | |
Время установления рабочего режима | | |
Время непрерывной работы | | - |
Возможность дистанционного (удаленного) включения | | |
Форматы данных обмена | | - |
Дискретность настройки по частоте приемника | | |
Погрешность по частоте опорного генератора | | |
Полоса пропускания | | |
Ослабление помехи промежуточной частоты, сигналов зеркальных частот и помех по побочным каналам приема | | |
Чувствительность приемника | | |
Точка пересечения по интермодуляции второго порядка IP2 | | |
Точка пересечения по интермодуляции третьего порядка IP3 | | |
Возможность работы в режиме дистанционного управления | | |
Устойчивость к климатическим воздействиям | | |
Устойчивость к механическим воздействиям | | |
Устойчивость к предельным условиям транспортирования | | |
Надежность | | - |
Допустимый уровень излучаемых ИРП | | |
Допустимый уровень кондуктивных ИРП | | |
Устойчивость к ЭСР | | |
Устойчивость к наносекундным импульсным помехам | | |
Устойчивость к микросекундным импульсным помехам большой энергии | | |
Устойчивость к динамическим изменениям напряжения электропитания | | |
Устойчивость к радиочастотному электромагнитному полю | | |
Устойчивость к кондуктивным помехам, наведенным радиочастотными электромагнитными полями | | |
Переходное сопротивление | | |
Сопротивление и прочность изоляции | | |
5.1.1 Испытания на соответствие требованиям настоящего стандарта проводят при нормальных климатических условиях:
- температуре окружающей среды (25 +/- 10) °C;
- относительной влажности 45% - 80%;
- атмосферном давлении 84,0 - 106,7 кПа (630 - 800 мм рт. ст.).
Примечание - Дополнительные испытания могут быть проведены при климатических условиях, заданных в технических документах на испытуемое оборудование.
Электромагнитная обстановка при измерениях не должна влиять на результаты испытаний.
5.1.2 Электропитание испытуемого оборудования должно осуществляться от регулируемых источников номинальным напряжением 220 или 12 В.
Отклонения напряжения и частоты от номинальных значений должны быть не более +/- 2% и +/- 0,4 Гц соответственно (если иные условия испытаний не оговорены особо).
5.1.3 Перед проверкой выполнения требований к техническим параметрам оборудования проводят следующие операции:
- включают тумблеры питания всех составных частей (блоков) оборудования;
- настраивают оборудование и проверяют его настройку в соответствии с ИЭ.
5.1.4 Определение параметров проводят после истечения времени установления рабочего режима оборудования, установленного в
4.1.16.
5.1.5 Для параметров, требующих применения режимов накопления отсчетов, снятие показаний и измерения проводят после завершения цикла накопления. Характеристики цикла накопления должны быть указаны в технических документах на оборудование конкретного типа.
5.1.6 При проверке выполнения требований к техническим параметрам испытуемого оборудования следует использовать измерительную аппаратуру, погрешность которой не превышает одной трети допустимой погрешности контролируемого параметра.
Основные характеристики средств испытаний должны соответствовать указанным в таблице 10.
Таблица 10
Средства испытаний
Наименование | Основные характеристики |
1 Генератор сигналов высокочастотный | Диапазон частот 0,1 - 3000 МГц, диапазон установки уровней от минус 10 до плюс 120 дБ·мкВ, погрешность установки частоты - +/- 1 x 10-6 |
2 Генератор стандартных сигналов | Диапазон частот 0,1 - 3000 МГц, диапазон установки уровней - от минус 10 до плюс 120 дБ·мкВ |
3 Генератор сигналов низкочастотный | Диапазон частот 10 - 106 Гц, погрешность установки частоты - не более +/- 1 x 10-4 |
4 Анализатор спектра | Диапазон частот 0,1 - 3000 МГц, полоса обзора - до 30 МГц, динамический диапазон - не менее 70 дБ, погрешность измерения уровня - не более +/- 1 дБ |
5 Частотомер электронно-счетный | Диапазон частот 0,1 - 3000 МГц, погрешность измерения частоты - не более +/- 1,5 x 10-7 |
6 Измеритель уровня | Диапазон измерения уровней - от минус 5 до плюс 110 дБ·мкВ, диапазон рабочих частот 0,1 - 3000 МГц, погрешность измерения - не более +/- 0,5 дБ |
7 Измеритель модуляции | Измерение коэффициента АМ 0,1 - 100%, погрешность измерения - не более +/- 2%, измерение девиации частоты 1 - 106 Гц, погрешность измерения - не более +/- 2% |
8 Стандарт частоты | Пределы относительной погрешности частоты - не более +/- 2 x 10-11 |
9 Измеритель нелинейных искажений | Диапазон частот 20 - 20 x 104 Гц, погрешность измерения - не более 1,5% |
10 Тераомметр | Пределы измерений 10 - 3 x 109 Ом, погрешность измерений - не более +/- 2,5% |
11 Миллиомметр | Пределы измерений 0,001 - 100 Ом, погрешность измерений - не более +/- 1,5% |
12 Вольтметр универсальный | Диапазон частот 0,03 - 20 кГц, пределы измерения напряжений 0,1 - 100 В, погрешность измерений - не более +/- 1% |
13 Измеритель радиопомех | |
14 Измерительная антенна | Диапазон частот 0,1 - 30 МГц, погрешность коэффициента калибровки - не более +/- 2,5 дБ, диапазон частот 30 - 3000 МГц, погрешность коэффициента калибровки - не более +/- 2,0 дБ |
15 Аттенюатор | Диапазон частот 0,1 - 3000 МГц, величина ослабления - до 50 дБ, погрешность величины ослабления +/- 0,5 дБ |
16 Установка универсальная пробойная | Напряжение 0 - 2500 В +/- 10% |
17 Термокамера | Температура - от минус 50 °C до плюс 100 °C +/- 5%, влажность 10% - 100% |
18 Ударный стенд | Ускорение - до 30 м/с2 +/- 20% |
19 Имитатор пачек помех | |
20 Имитатор провалов напряжения и перенапряжения | |
21 Имитатор электростатических разрядов | |
Примечания 1 Допускается для перекрытия указанных в настоящей таблице диапазонов использовать несколько приборов. 2 Измерительные приборы, используемые при испытаниях оборудования, должны иметь сертификаты об утверждении типа и быть поверены. 3 Допускается замена средств испытаний на аналогичные, обеспечивающие требуемые параметры и значения погрешности измерений. |
5.3 Определение параметров оборудования станций радиоконтроля
5.3.1 Определение диапазона рабочих частот допускается совмещать с определением чувствительности приемника по
5.4.5.
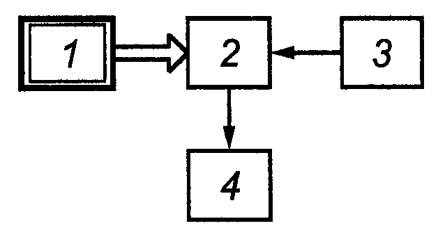
5.3.2 Определение погрешности измерения частоты немодулированных сигналов проводят по схеме подключения оборудования, представленной на рисунке 1.
1 - испытуемое оборудование станции радиоконтроля;
2 - аттенюатор; 3 - высокочастотный генератор сигналов;
4 - частотомер
Рисунок 1 - Схема подключения оборудования
при определении погрешности измерения частоты
Генератор подключают ко входу испытуемого оборудования. При необходимости генератор и частотомер синхронизируют стандартом частоты. Измерения проводят в 10 точках на частотах

, равномерно распределенных по диапазону рабочих частот испытуемого устройства.
Устанавливают следующий режим работы генератора:
- частота -

;
- уровень - 60 дБ·мкВ;
- модуляция - НГ.
На аттенюаторе устанавливают ослабление, равное 40 дБ.
В соответствии с ИЭ проводят измерение частоты сигнала.
Определяют относительную погрешность измерения частоты

по формуле

, (1)
где

- значение частоты, измеренное испытуемым оборудованием;

- значение частоты, измеренное частотомером.
Повторяют измерения на частотах

рабочего диапазона. Частота

должна соответствовать верхнему значению диапазона рабочих частот оборудования.
Результат испытаний считают положительным, если максимальное из вычисленных по формуле (1) значений погрешности

не превышает значения, указанного в
таблице 2 для соответствующей полосы частот.
5.3.3 Проверку пределов и определение погрешности измерения уровней немодулированных сигналов проводят по схеме подключения оборудования, представленной на рисунке 2.
1 - испытуемое оборудование станции радиоконтроля;
2 - высокочастотный генератор сигналов;
3 - измеритель уровня
Рисунок 2 - Схема подключения оборудования
при проверке пределов и определении погрешности
измерения уровней немодулированных сигналов
Генератор подключают ко входу испытуемого оборудования.
Определение погрешности измерения уровня сигнала проводят на трех частотах, равномерно распределенных по рабочему диапазону частот испытуемого оборудования, при следующих значениях уровня сигнала: 0, 10, 20, 40, 60, 80, 100, 110 дБ·мкВ. Допускается проведение измерения на большем числе частот рабочего диапазона, если это предусмотрено в технических документах на оборудование конкретного типа.
Устанавливают следующий режим работы генератора:
- частота - первая частота испытания;
- режим модуляции - НГ.
Устанавливают уровень сигнала генератора 0 дБ, проводят измерения и определяют абсолютную погрешность измерения уровня сигнала

, дБ, по формуле

, (2)
где

- уровень, измеренный испытуемым оборудованием, дБ·мкВ;

- уровень, измеренный измерителем уровня сигнала, дБ·мкВ.
Проводят определение погрешности для оставшихся значений уровня сигнала.
Перестраивают частоту генератора и повторяют определение погрешности измерения уровня сигнала в оставшихся точках испытания.
5.3.4 Определение погрешности измерения напряженности поля проводят в условиях площадки, свободной от посторонних отражающих предметов в соответствии с
ГОСТ Р 51320, или в безэховой камере по схеме подключения оборудования, представленной на рисунке 3.
1 - испытуемое оборудование;
2 - высокочастотный генератор сигналов
Рисунок 3 - Схема подключения оборудования при определении
погрешности измерения напряженности поля
В соответствии с ИЭ проводят измерения напряженности поля с измерительной антенно-фидерной системой в рабочем диапазоне частот испытуемого оборудования с интервалом не более 5 МГц в диапазоне частот до 300 МГц и не более 10 МГц - в диапазоне частот до 3000 МГц.
Заменяют измерительную антенну эталонной, оставив остальные условия проведения измерений прежними, и измеряют напряженность поля в тех же точках.
Для каждой точки измерения определяют погрешность антенного коэффициента

, мкВ/м, по формуле

, (3)
где

- напряженность поля, измеренная с измерительной антенной испытуемого оборудования, мкВ/м;

- напряженность поля, измеренная с эталонной антенной, мкВ/м.
Погрешность измерения напряженности поля

, мкВ/м, рассчитывают по формуле

, (4)
где

- погрешность измерения напряжения на ВЧ-входе испытуемого оборудования, определенная по
формуле (2) и приведенная к мкВ/м;

- погрешность определения антенного коэффициента, мкВ/м;

- погрешность измерения напряженности поля эталонной антенной (паспортная величина), приведенная к мкВ/м.
Результаты расчета по формуле (4) указывают в децибелах.
5.3.5 Проверку пределов и определение погрешности измерения ширины полосы частот проводят по схеме подключения оборудования, представленной на рисунке 4.
1 - испытуемое оборудование станции радиоконтроля;
2 - разветвитель сигналов; 3 - высокочастотный генератор
сигналов; 4 - анализатор спектра
Рисунок 4 - Схема подключения оборудования при проверке
пределов и определении погрешности измерения
ширины полосы частот
Режим работы генератора устанавливают в соответствии с
4.1.5. Измерения проводят не менее чем для трех значений ширины полосы до 300 кГц, равномерно распределенных по диапазону, на уровнях: минус 3, минус 6, минус 26, минус 30, минус 40, минус 50, минус 60 и минус 80 дБ.
Те же измерения проводят в диапазоне от 300 кГц до 30 МГц. Допускается проведение измерений для большего числа значений ширины полосы частот, если это предусмотрено в технических документах на оборудование конкретного типа.
Относительную погрешность измерения ширины полосы

, %, определяют по формуле

, (5)
где

- ширина полосы частот, измеренная испытуемым оборудованием;

- ширина полосы частот, измеренная анализатором спектра.
Примечание - При измерениях используют согласованный разветвитель сигналов с диапазоном рабочих частот, соответствующим диапазону частот, на которых проводят измерения, и небалансом амплитуд не более 0,5 дБ.
5.3.6 Определение погрешности измерения коэффициента АМ проводят по схеме подключения оборудования, представленной на рисунке 5.
1 - испытуемое оборудование станции радиоконтроля;
2 - аттенюатор; 3 - высокочастотный генератор сигналов;
4 - измеритель модуляции
Рисунок 5 - Схема подключения оборудования при определении
погрешности измерения коэффициента АМ и девиации частоты
Режим работы генератора устанавливают в соответствии с
4.1.6.
Параметры модуляции измеряют в соответствии с ИЭ.
Погрешность измерения коэффициента амплитудной модуляции

, %, определяют по формуле

, (6)
где

- значение коэффициента амплитудной модуляции, измеренное испытуемым оборудованием;

- значение коэффициента амплитудной модуляции, измеренное измерителем модуляции.
Измерения проводят в диапазоне значений коэффициента АМ от 10% до 90% с шагом 10%.
5.3.7 Определение погрешности измерения девиации частоты проводят по схеме подключения оборудования, представленной на
рисунке 5.
Режим работы генератора устанавливают в соответствии с
4.1.7.
Параметры модуляции измеряют в соответствии с ИЭ.
Погрешность измерения девиации частоты

, %, определяют по формуле

, (7)
где

- значение девиации частоты, измеренное испытуемым оборудованием;

- значение девиации частоты, измеренное измерителем модуляции.
Измерения проводят не менее чем в 10 точках, равномерно распределенных по всему диапазону значений девиации.
5.3.8 Определение минимального разрешающего интервала (разрешающей способности оборудования) по частоте проводят по схеме подключения оборудования, представленной на рисунке 6.
1 - испытуемое оборудование станции радиоконтроля;
2 - генератор стандартных сигналов А; 3 - сумматор сигналов;
4 - генератор стандартных сигналов Б
Рисунок 6 - Схема подключения оборудования при определении
минимального разрешающего интервала по частоте
Измерения проводят в трех точках на частотах f1, f2 и f3, равномерно распределенных по диапазону рабочих частот испытуемого оборудования.
Устанавливают следующий режим работы генератора А:
- режим модуляции - НГ;
- частота - f1;
- уровень - 0 дБ·мВт.
Устанавливают режим работы генератора Б таким же, как и режим генератора А.
Плавно увеличивают частоту генератора Б до появления на панораме испытуемого оборудования провала между двумя сигналами, равного 0,7 амплитуды каждого из сигналов.
Разрешающую способность по частоте определяют как разность частот

настройки генераторов А и Б.
Примечание - При измерениях используют согласованный сумматор сигналов с диапазоном рабочих частот, соответствующим диапазону частот, на которых проводят измерения, и небалансом амплитуд не более 0,5 дБ.
5.3.9 Проверку возможности ввода, изменения и сохранения измененных данных, необходимых для решения задач радиоконтроля, с клавиатуры управляющего компьютера и из файлов заданий, в том числе получаемых по каналам связи, вывода результатов радиоконтроля на дисплей управляющего компьютера и в файл результатов радиоконтроля, в том числе для передачи по каналам связи, совмещают с проверкой работы в режиме дистанционного управления и проводят по схеме подключения оборудования, представленной на рисунке 7.
1 - испытуемое оборудование станции радиоконтроля;
2 - генератор стандартных сигналов;
3 - внешний компьютер
Рисунок 7 - Схема подключения оборудования при проверке
возможности дистанционного включения/выключения,
приеме и отправке заданий по линиям связи
Внешний компьютер подключают к оборудованию с использованием выбранного протокола связи. На внешнем компьютере формируют файл задания, предусматривающий включение оборудования, выполнение сканирования в выбранном диапазоне частот, измерение частоты и уровня сигнала с генератора, формирование файла отчета и выключение. Запускают программу выполнения задания. В процессе выполнения задания на короткое время выключают электропитание управляющего компьютера оборудования, имитируя сбой в сети электропитания. После выполнения задания проверяют состояние оборудования и соответствие отчета о выполнении задания установленным на генераторе значениям.
5.3.10 Проверку возможности регулируемого многократного сканирования полосы частот, построения и наблюдения панорамы спектра в координатах "уровень-частота" и "уровень-частота-время" проводят по методикам, представленным в технических документах на оборудование конкретного типа.
5.3.11 Проверку возможностей оборудования в режиме опознавания радиосигналов, поиска и идентификации источников излучений проводят по методикам, представленным в технических документах на оборудование конкретного типа.
5.3.12 Проверку возможности определения занятости полос радиочастот, радиочастот и радиочастотных каналов проводят по методикам, представленным в технических документах на оборудование конкретного типа. При этом число выборок должно соответствовать таблице 11.
Таблица 11
Число зависимых и независимых выборок для достижения
+/- 10%-ной относительной точности и 95%-ного уровня
достоверности при изменяющейся занятости
Занятость, % | Число требуемых независимых выборок | Число требуемых зависимых выборок | Требуемое время зависимой выборки, ч (для интервалов 4 с) |
6,67 | 5850 | 18166 | 20,18 |
10 | 3900 | 12120 | 13,47 |
15 | 2600 | 8080 | 8,98 |
20 | 1950 | 6060 | 6,73 |
30 | 1300 | 4040 | 4,49 |
40 | 975 | 3030 | 3,37 |
50 | 780 | 2424 | 2,69 |
60 | 650 | 2020 | 2,24 |
70 | 557 | 1731 | 1,92 |
80 | 488 | 1515 | 1,68 |
90 | 433 | 1346 | 1,49 |
100 | 390 | 1212 | 1,35 |
5.3.13 Определение минимального шага установки уровня порога сигнала на входе приемника проводят по схеме подключения оборудования, представленной на
рисунке 2.
Устанавливают следующие режимы работы генератора:
- режим модуляции - НГ;
- частоту - в первой трети рабочего диапазона частот.
В соответствии с ИЭ устанавливают в испытуемом оборудовании режим просмотра занятости полос частот, задав диапазон просмотра, включающий установленную на генераторе частоту. Регулируют уровень порога обнаружения сигнала до появления занятости канала и фиксируют по показаниям измерителя уровня установленное значение порога

. Увеличивают порог на один шаг. Увеличивая уровень сигнала генератора до повторного появления занятости канала, фиксируют уровень сигнала генератора

в децибелах.
Шаг изменения (регулировки) уровня порога сигнала

, дБ, определяют по формуле

. (8)
5.3.14 Скорость сканирования каналов (минимальное число сканируемых каналов в секунду) в режиме определения занятости радиочастотного спектра определяют следующим образом.
Устанавливают на испытуемом оборудовании в соответствии с ИЭ следующий режим работы:
- шаг перестройки по частоте и диапазон просмотра "начало-конец" так, чтобы обеспечить время просмотра, исходя из предполагаемой скорости сканирования не менее 1 мин;
- полоса пропускания - не более значения шага перестройки.
По секундомеру определяют время одного цикла сканирования t.
Скорость сканирования каналов V, кан/с, определяют по формуле

, (9)
где D - диапазон просмотра, кГц;
h - шаг перестройки по частоте, кГц;
t - время одного цикла сканирования, с.
5.3.15 Проверку возможности работы оборудования в режиме контроля параметров радиоизлучений проводят по схеме подключения оборудования, представленной на
рисунке 2.
Устанавливают следующий режим работы генератора:
- режим модуляции - ЧМ;
- уровень - на 10 дБ выше чувствительности испытуемого оборудования.
В соответствии с ИЭ устанавливают в испытуемом оборудовании режим контроля параметров радиоизлучений.
Результат испытаний считают положительным, если на экране испытуемого устройства отображаются вид модуляции, параметры модуляции установленного сигнала и в управляющем компьютере зафиксированы данные радиоконтроля (частота, уровень, ширина полосы частот, измеренная девиация частоты, дата и время обнаружения).
Те же испытания проводят для режима работы АМ.
5.3.16 Проверку времени установления рабочего режима оборудования проводят по схеме подключения оборудования, представленной на
рисунке 1.
По истечении времени установления рабочего режима в соответствии с
4.1.16 проводят проверку выполнения требований
4.1.2.
5.4 Определение параметров приемников
5.4.1 Определение дискретности настройки приемника по частоте проводят по схеме подключения оборудования, представленной на
рисунке 1.
Определение проводят не менее чем в двух точках до 30 МГц рабочего диапазона частот оборудования и в двух точках свыше 30 МГц рабочего диапазона частот оборудования.
Устанавливают испытуемое оборудование в режим измерений на одной частоте при минимальной полосе пропускания приемника.
Устанавливают следующий режим работы генератора:
- вид модуляции - НГ;
- частота - первая точка проверки в диапазоне до 30 МГц (частота

);
- уровень - 60 дБ·мкВ.
Плавно перестраивая частоту генератора сначала в сторону повышения, а затем понижения частоты, определяют значения частот

и

, при которых уровень сигнала уменьшится на 6 дБ относительно уровня на частоте

.
Центральную частоту

, кГц, определяют по формуле

, (10)
где

- верхнее значение частоты, при которой выходной сигнал уменьшился на 6 дБ, кГц;

- нижнее значение частоты, при которой выходной сигнал уменьшился на 6 дБ, кГц.
Изменяют частоту настройки испытуемого приемника на одну минимальную ступень (минимальный шаг) и повторяют определение центральной частоты

по формуле (10).
Дискретность частоты настройки

, кГц, определяют по формуле

, (11)
где

- первое значение центральной частоты настройки, кГц;

- второе значение центральной частоты настройки, кГц.
Повторяют определение дискретности настройки приемника в остальных точках рабочего диапазона частот оборудования.
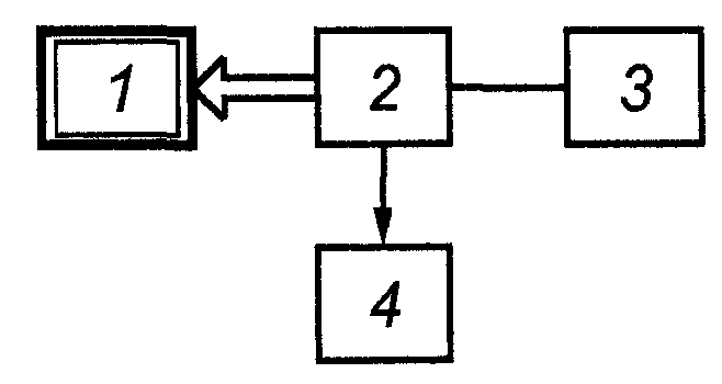
5.4.2 Определение погрешности по частоте опорного генератора приемника проводят по схеме подключения оборудования, представленной на рисунке 8.
1 - испытуемое оборудование станции радиоконтроля;
2 - частотный компаратор; 3 - стандарт частоты;
4 - частотомер
Рисунок 8 - Схема подключения оборудования при определении
погрешности по частоте опорного генератора
Частотомер подключают к выходу частотного компаратора, на входы которого подаются сигнал частоты опорного генератора испытуемого оборудования и сигнал стандарта частоты. Записывают последовательно 10 показаний частотомера и определяют среднеарифметическое значение частоты компаратора

.
Относительную погрешность по частоте опорного генератора

определяют по формуле

, (12)
где

- среднеарифметическое значение частоты на выходе частотного компаратора;

- значение частоты на выходе частотного компаратора, соответствующее номинальному значению частоты опорного генератора;

- значение частоты опорного генератора;
M - значение коэффициента умножения частотного компаратора.
5.4.3 Контроль ряда значений полосы пропускания приемника проводят по техническим документам на оборудование конкретного типа.
Проверку величины полосы пропускания проводят по схеме подключения оборудования, представленной на
рисунке 2.
Устанавливают испытуемое оборудование в режим измерения на одной частоте

в первой трети рабочего диапазона частот.
В испытуемом оборудовании устанавливают первое значение полосы пропускания.
Устанавливают следующий режим работы генератора:
- вид модуляции - НГ;
- частота -

в первой трети рабочего диапазона частот испытуемого оборудования;
- уровень - 60 дБ·мкВ.
Плавно перестраивая частоту генератора в сторону повышения, а затем понижения частоты, определяют значения частот

и

, при которых уровень сигнала уменьшится на 6 дБ относительно уровня на частоте

.
Полосу пропускания оборудования П, кГц, определяют по формуле

, (13)
где

- верхнее значение частоты, при которой выходной сигнал уменьшился на 6 дБ, кГц;

- нижнее значение частоты, при которой выходной сигнал уменьшился на 6 дБ, кГц.
Проверку проводят также для других значений полосы пропускания приемника.
5.4.4 Проверку ослабления помехи промежуточной частоты, сигналов зеркальных частот и помех по побочным каналам приема проводят по схеме подключения оборудования, представленной на рисунке 9.
1 - испытуемое оборудование станции радиоконтроля;
2 - генератор 1; 3 - генератор 2; 4 - эквивалент нагрузки;
5 - вольтметр; 6 - измеритель нелинейных искажений
Рисунок 9 - Схема подключения оборудования при проверке
ослабления помехи промежуточной частоты, сигналов
зеркальных частот и помех по побочным каналам приема
На вход приемника от одного генератора при отсутствии мешающего сигнала от второго генератора подают испытательный сигнал, уровень которого устанавливают равным значению

, при котором отношение сигнал/шум на выходе приемника, измеренное по методике определения чувствительности приемника в режиме ЧМ, равно 10 дБ. Затем увеличивают уровень входного сигнала на 3 дБ.
Затем от второго генератора подают мешающий сигнал с частотной модуляцией частотой 400 Гц и девиацией 0,6 максимально допустимой для оборудования. Увеличивают уровень сигнала второго генератора до значения, необходимого для обнаружения побочных каналов (на 15 - 20 дБ выше требуемой избирательности приемника). Непрерывно изменяют частоту второго генератора в диапазоне частот от наименьшей промежуточной частоты до утроенного значения номинальной частоты приемника и находят побочные каналы, в том числе:
- каналы на каждой промежуточной частоте

;
- зеркальные каналы на частотах

;
- каналы на частотах

;
- другие возможные побочные каналы на частотах

, (14)
где

- частота генератора каждого гетеродина приемника;
m = 0, 1, 2, 3,...; n = 1, 2, 3,...;

- частота полезного сигнала.
На побочном канале подстраивают частоту второго генератора так, чтобы побочный канал проявлялся в наибольшей степени. Определяют уровень мешающего сигнала

, при котором отношение сигнал/шум на выходе приемника равно прежнему значению.
Избирательность приемника по побочному каналу

, дБ, вычисляют по формуле

. (15)
5.4.5 Определение чувствительности приемника проводят по схеме подключения оборудования, представленной на рисунке 10.
1 - испытуемое оборудование станции радиоконтроля;
2 - генератор стандартных сигналов; 3 - измеритель уровня;
4 - эквивалент нагрузки; 5 - вольтметр; 6 - измеритель
нелинейных искажений
Рисунок 10 - Схема подключения оборудования при определении
чувствительности приемника
Чувствительность приемника определяют для режимов работы АМ и ЧМ на частотах, соответствующих крайним значениям рабочего диапазона частот, а также на средней частоте каждого из диапазонов частот, входящих в рабочий диапазон.
Устанавливают следующий режим работы генератора:
- уровень - 60 дБ·мкВ;
- модуляция - в соответствии с
4.2.
Регулятором усиления звуковой частоты приемника устанавливают такой уровень, при котором в эквиваленте нагрузки выделяется 0,5 номинальной мощности.
Не изменяя положения регулятора усиления звуковой частоты приемника, уменьшают уровень генератора, при котором отношение сигнал/шум равно 10 дБ (показания измерителя нелинейных искажений 32%) для режима работы приемника АМ и 20 дБ (показания измерителя нелинейных искажений 10%) - для режима работы приемника ЧМ.
Значение чувствительности определяют по показаниям измерителя уровня, подключенного к выходу генератора.
5.4.6 Определение значения точки пересечения по интермодуляции второго порядка

проводят по схеме подключения оборудования, представленной на рисунке 11.
1 - испытуемое оборудование; 2 - генератор стандартных
сигналов А; 3 - сумматор сигналов; 4 - генератор стандартных
сигналов Б; 5 - анализатор спектра
Рисунок 11 - Схема подключения оборудования при определении
значений точек пересечения по интермодуляции
второго

и третьего

порядков
Значения точки пересечения по интермодуляции определяют не менее чем для трех значений частоты, равномерно распределенных в рабочем диапазоне частот.
Устанавливают максимальную полосу пропускания в испытуемом оборудовании

и частоту настройки, равную первой частоте испытаний

.
Генератор Б выключают. На генераторе А устанавливают частоту

. Увеличивая уровень сигнала генератора, определяют точку компрессии

, т.е. когда увеличение сигнала не приводит к увеличению сигнала на выходе ПЧ.
Устанавливают следующий режим работы генератора А:
- вид модуляции - НГ;
- частота -

;
- уровень -

.
Устанавливают следующий режим работы генератора Б:
- вид модуляции - НГ;
- частота -

;
- уровень -

.
На выходе ПЧ анализатором спектра измеряют уровень интермодуляционной составляющей второго порядка

. Затем выключают генератор Б. Уменьшают уровень генератора А на 60 дБ и устанавливают частоту

. Изменяя уровень генератора А до

, получают на выходе ПЧ такое же значение

. Значение точки пересечения по интермодуляции второго порядка

, дБ·мВт, определяют по формуле

, (16)
где

- уровень генератора А на частоте

или генератора Б на частоте

, дБ·мВт;

- уровень генератора А на частоте

, дБ·мВт.
Определяют значения точки пересечения по интермодуляции второго порядка на других частотах. В качестве значения точки пересечения по интермодуляции второго порядка принимают среднеарифметическое полученных значений.
5.4.7 Определение значения точки пересечения по интермодуляции третьего порядка

проводят по схеме подключения оборудования, представленной на
рисунке 11.
Значения точки пересечения по интермодуляции определяют не менее чем для трех значений частоты, равномерно распределенных в рабочем диапазоне частот.
Устанавливают максимальную полосу пропускания

в испытуемом оборудовании и частоту настройки, равную первой частоте испытаний

.
Генератор Б выключают. На генераторе А устанавливают частоту

. Увеличивая уровень сигнала генератора, определяют точку компрессии

, т.е. когда увеличение сигнала не приводит к увеличению сигнала на выходе ПЧ.
Устанавливают следующий режим работы генератора А:
- вид модуляции - НГ;
- частота -

;
- уровень -

.
Устанавливают режим работы генератора Б:
- вид модуляции - НГ;
- частота -

;
- уровень -

.
На выходе ПЧ анализатором спектра измеряют уровень интермодуляционной составляющей третьего порядка

. Затем выключают генератор Б. Уменьшают уровень генератора А на 60 дБ и устанавливают частоту

. Изменяя уровень генератора А до

, получают на выходе ПЧ такое же значение

. Значение точки пересечения по интермодуляции третьего порядка

, дБ·мВт, определяют по формуле

, (17)
где

- уровень генератора А на частоте

или генератора Б на частоте

, дБ мВт;

- уровень генератора А на частоте

, дБ·мВт.
Определяют значения точки пересечения по интермодуляции третьего порядка на других частотах. В качестве значения точки пересечения по интермодуляции третьего порядка принимают среднеарифметическое полученных значений.
5.5 Испытания при климатических воздействиях
5.5.1 Испытание на воздействие пониженной температуры
Оборудование в выключенном состоянии помещают в термокамеру с температурой в пределах нормальных климатических условий испытаний. Затем температуру понижают до предельного нижнего значения (см.
таблицу 5). После достижения теплового равновесия (см. таблицу 12) оборудование выдерживают в камере в течение 2 ч.
Таблица 12
Время достижения теплового равновесия
Масса оборудования, кг | Время достижения теплового равновесия, ч |
Менее 2 | 2 |
От 2 до 10 | 3 |
От 10 до 25 | 4 |
Св. 25 | 6 |
После окончания выдержки температуру в камере повышают до нижнего значения (см.
таблицу 3), оборудование включают и проверяют выполнение требований
4.1.2,
4.1.3. После измерения параметров оборудование выключают и температуру в камере повышают до значений нормальных климатических условий.
Примечание - При невозможности измерения параметров оборудования в термокамере допускается проводить их вне камеры.
5.5.2 Испытание на воздействие повышенной температуры
Оборудование помещают в термокамеру, включают, температуру в камере повышают до верхнего значения (см.
таблицу 3) и проверяют выполнение требований
4.1.2,
4.1.3. После измерений оборудование выключают, температуру в камере повышают до предельного верхнего значения (см.
таблицу 5) и выдерживают при этой температуре в течение 2 ч.
После выдержки температуру в камере понижают до температуры, соответствующей нормальным климатическим условиям, и выдерживают до достижения теплового равновесия (см.
таблицу 12), после чего проводят внешний осмотр оборудования и проверку на соответствие требованиям
4.1.2,
4.1.3.
Примечание - При невозможности измерения параметров оборудования в термокамере допускается проводить их вне камеры.
5.6 Испытания на устойчивость к механическим воздействиям
При проведении испытаний оборудование жестко крепят к столу испытательного стенда в положении, в котором его эксплуатируют.
Испытания на воздействие синусоидальной вибрации проводят на вибрационном стенде. Характеристики испытательного режима - в соответствии с
4.4.2.
Включают оборудование и проверяют на соответствие требованиям
4.1.2,
4.1.3. После измерений оборудование выключают и подвергают воздействию вибрации. Скорость прохождения диапазона частот должна обеспечивать общую продолжительность воздействия вибрационных нагрузок не менее 60 мин. По окончании испытаний стенд выключают, оборудование снимают со стенда и проверяют его на отсутствие механических повреждений и ослабление креплений. Оборудование включают и проверяют на соответствие требованиям
4.1.2,
4.1.3.
Испытание на устойчивость к ударам многократного воздействия проводят на ударном стенде с характеристиками по
4.4.2. Предварительно оборудование включают и проверяют на соответствие требованиям
4.1.2,
4.1.3. После измерений оборудование выключают и подвергают ударным воздействиям. По окончании испытаний стенд выключают, оборудование снимают со стенда и проверяют его на отсутствие механических повреждений и ослабление креплений. Оборудование включают и проверяют на соответствие требованиям
4.1.2,
4.1.3.
Испытание оборудования на влияние транспортной тряски проводят в той же последовательности. Оборудование испытывают в транспортной таре.
Допускается испытания на стенде заменять перевозкой оборудования автомобильным транспортом. Испытания проводят перевозкой оборудования по заранее определенному маршруту по дорогам различных категорий. Протяженность маршрута движения должна быть не менее 200 км.
Скорость движения по дорогам 2-й категории должна быть не менее 40 км/ч, по дорогам 1-й категории - не менее 60 км/ч.
5.7.1 Испытания оборудования на излучаемые ИРП проводят в соответствии с
ГОСТ Р 51318.11 при расстоянии 10 м использованием измерителя ИРП по
ГОСТ Р 51319. Испытания проводят при работе оборудования в режиме контроля занятости полос радиочастот в соответствии с ИЭ оборудования конкретного типа.
5.7.2 Испытания на кондуктивные ИРП на входных и выходных портах электропитания постоянного тока, длина подключаемых кабелей к которым в соответствии с техническими документами на оборудование конкретного типа может превышать 3 м, проводят в соответствии с
ГОСТ Р 51318.11.
Для оборудования с потребляемым током не более 16 А применяют эквивалент сети типа 4 (50 Ом/50 мкГн) по
ГОСТ Р 51319. Для оборудования с потребляемым током более 16 А применяют эквивалент сети типа 5 (50 Ом/5 мкГн) по
ГОСТ Р 51319. Если испытуемое оборудование имеет выходные порты электропитания постоянного тока, их подключают через эквивалент сети к нагрузке, обеспечивающей потребление номинального тока от источника питания. Кондуктивные ИРП измеряют между зажимами питающих проводов и зажимом "Земля" эквивалента сети. Оба измеренных значения должны соответствовать требованиям
4.8.2. При измерениях используют пластину заземления в соответствии с
ГОСТ Р 51318.11. Зажим "Земля" эквивалента сети подключают к пластине заземления через проводник возможно минимальной длины.
Если в технических документах на оборудование конкретного типа указано, что электропитание оборудования осуществляется постоянным током с применением блока питания и оборудование подключают к блоку питания с помощью кабеля длиной не более 3 м, испытания на кондуктивные ИРП проводят на входных зажимах переменного тока блока питания.
Метод проведения испытания на кондуктивные ИРП на входных и выходных портах электропитания переменного тока - в соответствии с
ГОСТ Р 51318.11. Испытание проводят при работе оборудования в режиме контроля занятости полос радиочастот в соответствии с ИЭ оборудования конкретного типа.
5.8 Испытания на помехоустойчивость
5.8.1 Результаты испытаний должны классифицироваться в соответствии с критериями качества функционирования, установленными в
4.8.
В технических документах на оборудование конкретного типа могут быть особо указаны нарушения функционирования при воздействии помехи, которые рассматриваются как незначительные и допустимые.
5.8.2 Испытания на устойчивость к ЭСР проводят в соответствии с
ГОСТ Р 51317.4.2. Проверку проводят при работе оборудования в режиме определения занятости полос радиочастот в соответствии с ИЭ оборудования конкретного типа.
5.8.3. Испытания на устойчивость к наносекундным импульсным помехам проводят в соответствии с
ГОСТ Р 51317.4.4 для стационарного оборудования.
Для входных портов электропитания переменного и постоянного тока наносекундные импульсные помехи подают параллельно на все жилы кабеля по отношению к заземленному корпусу оборудования. Выходное сопротивление испытательного генератора должно быть 50 Ом.
Испытания проводят при работе оборудования в режиме определения занятости полос радиочастот в соответствии с ИЭ оборудования конкретного типа.
5.8.4 Испытания на устойчивость к микросекундным импульсным помехам большой энергии проводят в соответствии с
ГОСТ Р 51317.4.5. Испытания проводят при работе оборудования в режиме определения занятости полос радиочастот в соответствии с ИЭ оборудования конкретного типа.
5.8.5 Проверку выполнения требований по устойчивости оборудования к динамическим изменениям напряжения сети электропитания проводят по
ГОСТ Р 51317.4.11. Проверку проводят при работе оборудования в режиме определения занятости полос радиочастот в соответствии с ИЭ оборудования конкретного типа.
Результаты проверки считают положительными, если качество функционирования оборудования соответствует критериям качества функционирования, представленным в
таблице 8.
5.8.6 Испытания на устойчивость к радиочастотному электромагнитному полю проводят по
ГОСТ Р 51317.4.3.
Испытания проводят при работе оборудования в режиме определения занятости полос радиочастот в соответствии с ИЭ оборудования конкретного типа.
5.8.7 Испытания на устойчивость к кондуктивным помехам, наведенным радиочастотными электромагнитными полями, проводят по
ГОСТ Р 51317.4.6 с использованием устройств связи/развязки.
Испытания проводят при работе оборудования в режиме определения занятости полос радиочастот в соответствии с ИЭ оборудования конкретного типа.
5.9 Испытания на безопасность
5.9.1 Проверку прочности электрической изоляции оборудования станции радиоконтроля проводят с помощью пробойной установки. Испытывают оборудование, рассчитанное на работу от источника переменного тока номинальным напряжением 220 В и частотой 50 Гц.
Испытательное напряжение прикладывают между цепями оборудования, изолированными от корпуса, и корпусом оборудования. Напряжение плавно повышают от нуля до заданного значения, выдерживают в течение 1 мин, а затем плавно понижают до нуля и отключают. Погрешность установки испытательного напряжения не должна превышать 5%.
5.9.2 Поверку электрического сопротивления изоляции проводят тераомметром. Испытательное напряжение прикладывают между корпусом и цепями электропитания оборудования. Проверку проводят в нормальных климатических условиях при выключенном оборудовании.
Результат проверки считают положительным, если измеренное значение сопротивления - не менее 2 МОм для цепей питания 220 В, и не менее 1 МОм - для цепей питания 12 В.
5.9.3 Проверку величины переходного сопротивления между клеммой защитного заземления и любой токоведущей частью каждого устройства проводят по
ГОСТ Р 51350.
[1] | Справочник по радиоконтролю. Бюро радиосвязи Международного Союза электросвязи, 2002 г. (Handbook Spectrum Monitoring), Radiocommunication Bureau, International Telecommunication Union, 2002 |
[2] | | Оборудование станций радиоконтроля. Общие технические требования |
| Rec. ITU-R SM. 1413 | Radiocommunication Data Dictionary for notification and coordination purposes. ITU-R Recommendations, SM Series, Geneva, 2004 |
| Rec. ITU-R SM. 1393 | Common formats for the exchange of information between monitoring stations. ITU-R Recommendations, SM Series, Geneva, 2004 |