Главная // Актуальные документы // ГОСТ Р (Государственный стандарт)СПРАВКА
Источник публикации
М.: Стандартинформ, 2014
Примечание к документу
Документ
введен в действие с 1 декабря 2013 года.
Название документа
"ГОСТ Р ЕН 12354-5-2012. Национальный стандарт Российской Федерации. Акустика зданий. Методы расчета акустических характеристик зданий по характеристикам их элементов. Часть 5. Шум инженерного оборудования"
(утв. и введен в действие Приказом Росстандарта от 29.11.2012 N 1385-ст)
"ГОСТ Р ЕН 12354-5-2012. Национальный стандарт Российской Федерации. Акустика зданий. Методы расчета акустических характеристик зданий по характеристикам их элементов. Часть 5. Шум инженерного оборудования"
(утв. и введен в действие Приказом Росстандарта от 29.11.2012 N 1385-ст)
Утвержден и введен в действие
агентства по техническому
регулированию и метрологии
от 29 ноября 2012 г. N 1385-ст
НАЦИОНАЛЬНЫЙ СТАНДАРТ РОССИЙСКОЙ ФЕДЕРАЦИИ
АКУСТИКА ЗДАНИЙ
МЕТОДЫ РАСЧЕТА АКУСТИЧЕСКИХ ХАРАКТЕРИСТИК ЗДАНИЙ
ПО ХАРАКТЕРИСТИКАМ ИХ ЭЛЕМЕНТОВ
ЧАСТЬ 5
ШУМ ИНЖЕНЕРНОГО ОБОРУДОВАНИЯ
Building acoustics. Estimation of acoustic performance
of buildings from the performance of elements.
Part 5. Sound due to the service equipment
EN 12354-5:2009
Building acoustics - Estimation of acoustic performance
of buildings from the performance of elements -
Part 5: Sounds levels due to the service equipment
(IDT)
ГОСТ Р ЕН 12354-5-2012
ОКС 91.12.20
Дата введения
1 декабря 2013 года
1 ПОДГОТОВЛЕН Автономной некоммерческой организацией "Научно-исследовательский центр контроля и диагностики технических систем" (АНО "НИЦ КД") на основе собственного аутентичного перевода на русский язык европейского регионального стандарта, указанного в пункте 4
2 ВНЕСЕН Техническим комитетом по стандартизации ТК 358 "Акустика"
3 УТВЕРЖДЕН И ВВЕДЕН В ДЕЙСТВИЕ
Приказом Федерального агентства по техническому регулированию и метрологии от 29 ноября 2012 г. N 1385-ст
4 Настоящий стандарт идентичен европейскому региональному стандарту ЕН 12354-5:2009 "Акустика зданий. Оценка акустических характеристик зданий по характеристикам элементов. Часть 5. Уровни шума инженерного оборудования" (EN 12354-5:2009 "Building acoustics - Estimation of acoustic performance of buildings from the performance of elements - Part 5: Sounds levels due to the service equipment").
При применении настоящего стандарта рекомендуется использовать вместо ссылочных международных стандартов соответствующие им национальные стандарты Российской Федерации и межгосударственные стандарты, сведения о которых приведены в дополнительном
приложении ДА
5 ВВЕДЕН ВПЕРВЫЕ
Правила применения настоящего стандарта установлены в ГОСТ Р 1.0-2012
(раздел 8). Информация об изменениях к настоящему стандарту публикуется в ежегодном (по состоянию на 1 января текущего года) информационном указателе "Национальные стандарты", а официальный текст изменений и поправок - в ежемесячном информационном указателе "Национальные стандарты". В случае пересмотра (замены) или отмены настоящего стандарта соответствующее уведомление будет опубликовано в ближайшем выпуске информационного указателя "Национальные стандарты". Соответствующая информация, уведомление и тексты размещаются также в информационной системе общего пользования - на официальном сайте Федерального агентства по техническому регулированию и метрологии в сети Интернет (gost.ru)
Настоящий стандарт устанавливает методы расчета уровня звукового давления шума в здании, вызванного работой инженерного оборудования. Как и стандарт для натурных измерений
[41], настоящий стандарт распространяется на санитарно-техническое оборудование, вентиляционные системы, системы отопления и охлаждения, на вспомогательное инженерное оборудование, лифты, мусоропроводы, котлы, вентиляторы, насосы, автоматически открываемые ворота автостоянок, а также может применяться для другого оборудования, присоединяемого к зданию или установленного в нем. Оценка основана на результатах измерений, характеризующих как источники шума, так и строительные конструкции. Расчеты выполняют в полосах частот.
Настоящий стандарт устанавливает основные принципы построения расчетных схем, определяет область их применения и ограничения, устанавливает перечень соответствующих величин. Стандарт предназначен для экспертов в области акустики и служит основой для разработки документов и программных средств для других специалистов в строительстве с учетом региональных требований.
В расчетных моделях используются связи расчетных значений с измеряемыми величинами, определяющими акустические характеристики строительных элементов. В настоящем стандарте указаны ограничения рассматриваемых расчетных моделей. Пользователям, однако, следует знать о существовании других моделей расчета, имеющих свою область применения и ограничения.
Расчетные модели основаны на опыте прогнозирования акустических характеристик жилых помещений. Они могут использоваться также для других типов зданий, при условии, что размеры их элементов не слишком отличаются от применяемых в жилых зданиях.
В настоящем стандарте использованы нормативные ссылки на следующие стандарты. Недатированную ссылку относят к последней редакции ссылочного стандарта, включая его изменения.
ЕН 12354-1:2000 Акустика зданий. Оценка акустических характеристик зданий по характеристикам их элементов. Часть 1. Звукоизоляция воздушного шума между помещениями (EN 12354-1:2000, Building acoustics - Estimation of acoustic performance in buildings from the performance of elements - Part 1: Airborne sound insulation between rooms)
ЕН 12354-2 Акустика зданий. Оценка акустических характеристик зданий по характеристикам их элементов. Часть 2. Звукоизоляция ударного шума между помещениями (EN 12354-2, Building acoustics - Estimation of acoustic performance in buildings from the performance of elements - Part 2: Impact sound insulation between rooms)
ЕН 13141-1 Системы вентиляции зданий. Испытание по определению рабочих характеристик компонентов/изделий систем вентиляции жилых зданий. Часть 1. Наружные и внутренние установки подачи воздуха (EN 13141-1, Ventilation for buildings - Performance testing of components/products for residential ventilation - Part 1: Externally and internally mounted air transfer devices)
ЕН 13141-2 Системы вентиляции зданий. Испытание по определению рабочих характеристик компонентов/изделий систем вентиляции жилых зданий. Часть 2. Вытяжные и нагнетающие конечные устройства (EN 13141-2, Ventilation for buildings - Performance testing of components/products for residential ventilation - Part 2: Exhaust and supply air terminal devices)
ЕН ИСО 3740 Акустика. Определение уровней звуковой мощности источников шума. Руководство по выбору метода определения уровней звуковой мощности (EN ISO 3740, Acoustics - Determination of sound power levels of noise sources - Guidelines for the use of basic standards)
ЕН ИСО 3741 Акустика. Определение уровней звуковой мощности источников шума. Точные методы для реверберационных камер (EN ISO 3741, Acoustics - Determination of sound power levels of noise sources using sound pressure - Precision methods for reverberation rooms)
ЕН ИСО 3743 (все части) Акустика. Определение уровней звуковой мощности источников шума. Технические методы для малых переносных источников шума в реверберационных полях [EN ISO 3743 (all parts), Acoustics - Determination of sound power levels and sound energy levels of noise sources using sound pressure - Engineering methods for small movable sources in reverberant fields]
ЕН ИСО 3744 Акустика. Определение уровней звуковой мощности источников шума. Технический метод в существенно свободном звуковом поле над звукоотражающей плоскостью (EN ISO 3744, Acoustics - Determination of sound power levels of noise sources using sound pressure - Engineering method in an essentially free field over a reflecting plane)
ЕН ИСО 3745 Акустика. Определение уровней звуковой мощности источников шума. Точные методы для заглушенных и полузаглушенных камер (EN ISO 3745, Acoustics - Determination of sound power levels and sound energy levels of noise sources using sound pressure - Precision methods for anechoic rooms and hemi-anechoic rooms)
ЕН ИСО 3746 Акустика. Определение уровней звуковой мощности источников шума. Ориентировочный метод с использованием измерительной поверхности над звукоотражающей плоскостью (EN ISO 3746, Acoustics - Determination of sound power levels of noise sources using sound pressure - Survey method using an enveloping measurement surface over a reflecting plane)
ЕН ИСО 3747 Акустика. Определение уровней звуковой мощности источников шума. Метод сравнения на месте установки (EN ISO 3747, Acoustics. Determination of sound power levels of noise sources using sound pressure - Comparison method in situ)
ЕН ИСО 3822-1 Акустика. Лабораторные испытания по определению шума приборов и оборудования, используемых в системах водоснабжения. Часть 1. Метод измерений (EN ISO 3822-1, Acoustics - Laboratory tests on noise emission from appliances and equipment used in water supply installations - Part 1: Method of measurement)
ЕН ИСО 3822-2 Акустика. Лабораторные испытания по определению шума приборов и оборудования, используемых в системах водоснабжения. Часть 2. Условия установки и режим работы сливных кранов и смесительных вентилей (EN ISO 3822-2, Laboratory tests on noise emission from appliances and equipment used in water supply installations - Part 2: Mounting and operating conditions for draw-off taps and mixing valves)
ЕН ИСО 3822-3 Акустика. Лабораторные испытания по определению шума приборов и оборудования, используемых в системах водоснабжения. Часть 3. Условия монтажа и эксплуатации совместно работающих вентилей и гидравлического оборудования (EN ISO 3822-3, Acoustics. Laboratory tests on noise emission from appliances and equipment used in water supply installations - Part 3: Mounting and operating conditions for in-line valves and appliances)
ЕН ИСО 3822-4 Акустика. Лабораторные испытания по определению шума приборов и оборудования, используемых в системах водоснабжения. Часть 4. Условия монтажа и работы для специальных приборов (EN ISO 3822-4, Acoustics - Laboratory tests on noise emission from appliances and equipment used in water supply installations - Part 4: Mounting and operating conditions for special appliances)
ЕН ИСО 7235 Акустика. Измерения лабораторные для заглушающих устройств, устанавливаемых в воздуховодах, и воздухораспределительного оборудования. Вносимые потери, потоковый шум и падение полного давления (EN ISO 7235, Acoustics - Laboratory measurement procedures for ducted silencers and air-terminal units. Insertion loss, flow noise and total pressure loss)
ЕН ИСО 10846-1 Вибрация. Измерения виброакустических передаточных характеристик упругих элементов конструкций в лабораторных условиях. Часть 1. Общие принципы измерений (EN ISO 10846-1, Acoustics and vibration - Laboratory measurement of vibro-acoustic transfer properties of resilient elements - Part 1: Principles and guidelines)
ЕН ИСО 10846-2 Вибрация. Измерения виброакустических передаточных характеристик упругих элементов конструкций в лабораторных условиях. Часть 2. Прямой метод определения динамической жесткости упругих опор для поступательной вибрации (EN ISO 10846-2, Acoustics and vibration - Laboratory measurement of vibro-acoustic transfer properties of resilient elements - Part 2: Direct method for determination of the dynamic stiffness of resilient supports for translatory motion)
ЕН ИСО 10846-3 Вибрация. Измерение виброакустических передаточных характеристик упругих элементов конструкций в лабораторных условиях. Часть 3. Косвенный метод определения динамической жесткости упругих опор для поступательной вибрации (EN ISO 10846-3, Acoustics and vibration - Laboratory measurement of vibro-acoustic transfer properties of resilient elements - Part 3: Indirect method for determination of the dynamic stiffness of resilient supports for translatory)
ЕН ИСО 10846-4 Вибрация. Измерение виброакустических передаточных характеристик упругих элементов конструкций в лабораторных условиях. Часть 4. Динамическая жесткость неопорных упругих элементов конструкции для поступательной вибрации (EN ISO 10846-4, Acoustics and vibration - Laboratory measurement of vibro-acoustic transfer properties of resilient elements - Part 4: Dynamic stiffness of elements other than resilient supports for translatory motion)
ЕН ИСО 11691 Акустика. Измерение вносимых потерь канальных глушителей при отсутствии потока. Ориентировочный метод в лабораторных условиях (EN ISO 11691, Acoustics - Measurement of insertion loss of ducted silencers without flow - Laboratory survey method)
В настоящем стандарте применены следующие термины с соответствующими определениями.
3.1 Акустические характеристики зданий
Эффективность защиты от шума машин и оборудования согласно
[41] характеризуют различными уровнями звукового давления. Это могут быть уровни в октавных полосах, максимальные уровни звукового давления при временных характеристиках
S или
F или эквивалентные уровни звукового давления. Для указанных величин обычно применяют поправки, зависящие от эквивалентной площади звукопоглощения или времени реверберации.
Акустические характеристики здания выражают, как правило, уровнями звука A или C давления, которые определяют по уровням в октавных полосах <*>.
Примечание - Уровни в октавных полосах применяют также для определения так называемых NC-, NR- или RC-уровней шума (допустимых или оценочных), как описано во многих руководствах, в частности, для офисов, административных зданий, школ и зрелищных комплексов.
--------------------------------
<*> Данные уровни можно измерять непосредственно (без использования значений в частотных полосах) с помощью шумомера, обладающего соответствующим видом частотной коррекции.
3.1.1 максимальный уровень звука A (A-weighted maximum sound pressure level) LA max, дБA: Максимальный уровень звука A в помещении при работе инженерного оборудования здания.
Примечание - Максимальный уровень звука A определяют по максимальному уровню звукового давления в октавных полосах от 63 до 8000 Гц при временных характеристиках S или F (LAS max или LAF max соответственно). Уровень звукового давления в октавных полосах может быть приведенным (LAS max,n, LAF max,n) или стандартизованным (LAS max,nT, LAF max,nT).
3.1.2 эквивалентный непрерывный уровень звука A (A-weighted equivalent continuous sound pressure level) LAeq, дБA: Эквивалентный уровень звука A в помещении при работе инженерного оборудования здания.
Примечание - Данный уровень звукового давления определяют по эквивалентному уровню звукового давления в октавных полосах от 63 до 8000 Гц. Уровень звукового давления в октавных полосах также может быть приведенным LAeq,n или стандартизованным LAeq,nT.
3.1.3 максимальный уровень звука C (C-weighted maximum sound pressure level) LC max, дБC: Максимальный уровень звука C в помещении при работе инженерного оборудования здания.
Примечание - Данный уровень звукового давления определяют по максимальному уровню звукового давления в октавных полосах от 31,5 до 8000 Гц с использованием временной характеристики S или F (LCS max или LCF max соответственно). Уровень звукового давления в октавных полосах может быть приведенным (LCS max,n, LCF max,n) или стандартизованным (LCS max,nT, LCF max,nT).
3.1.4 эквивалентный уровень звука C (C-weighted equivalent sound pressure level) LCeq, дБC: Эквивалентный уровень звука C в помещении при работе инженерного оборудования здания.
Примечание - Данный уровень звукового давления определяют по эквивалентному уровню звукового давления в октавных полосах от 31,5 до 8000 Гц. Уровень звукового давления в октавных полосах может быть приведенным LCeq,n или стандартизованным LCeq,nT.
3.1.5 Связь между величинами
Уровни звука A и C определяют по уровням звукового давления в октавных полосах.
Уровни звукового давления
L зависят от примененной временной характеристики, т.е. от
S,
F, или от интервала интегрирования по времени (эквивалентные уровни). Уровни с указанными временными характеристиками зависят от вида шума и не могут в общем случае быть определены один через другой. Таким образом, оценку уровня в октавной полосе выполняют при той же

характеристике, что и уровень во всем рассматриваемом диапазоне частот.
Во всех случаях имеет место непосредственная связь между уровнем звукового давления L, приведенным уровнем звукового давления Ln и стандартизованным уровнем звукового давления LnT в октавных полосах. Данная связь определяется следующими формулами:

(1а)

(1б)
где A - эквивалентная площадь звукопоглощения приемного помещения, м2;
Aref - стандартная эквивалентная площадь звукопоглощения <*>, равная 10 м2;
Tref - стандартное время реверберации, равное 0,5 с;
V - объем помещения, м3.
--------------------------------
<*> В других частях ЕН 12354 стандартная эквивалентная площадь звукопоглощения обозначена A0.
В настоящем стандарте суммарный приведенный уровень звукового давления Ln в октавных полосах в помещении от всех источников с соответствующими временными характеристиками и усреднением является основной величиной, подлежащей определению. Другие величины определяют по данной величине.
3.2 Акустические характеристики элементов
Акустические характеристики элементов зданий отражают их способность передавать шум источников различного вида. В общем случае акустические характеристики элементов относятся как к структурному, так и к воздушному шуму.
Для оборудования и установок различного вида источники шума различны, и их характеристики рассмотрены в соответствующих разделах. Величины, относящиеся к источникам шума, имеют те же временные характеристики, что и подлежащие оценке характеристики здания.
В ЕН 12354-1 и ЕН 12354-2 частично рассмотрены элементы, звукопередача которых имеет некоторые особенности для инженерного оборудования здания. Поэтому соответствующие величины также рассматриваются в настоящем стандарте.
Распространение звуковых колебаний как по воздуху, так и по элементам конструкции здания создает в помещении шум при работе инженерного оборудования. Преобладание определенного вида звукопередачи зависит от типа оборудования и установок, а также от конструкции здания. Кроме того, инженерное оборудование и установки часто содержат несколько источников шума и имеют несколько точек соприкосновения со строительными конструкциями. Это существенно усложняет метод расчета.
Примечание - Дополнительные трудности возникают из-за малого числа надежных методов измерения звуковой мощности оборудования. Особенно остро отсутствие данных методов проявляется для структурных шумов. В настоящее время рабочая группа CEN/TC126/WG7 <*> работает в указанном направлении. Руководства по применению данных методов приведены в
приложениях B,
C и
D.
--------------------------------
<*> Рабочая группа WG7 "Лабораторные методы измерения воздушного и структурного шума инженерного оборудования зданий" Технического комитета по стандартизации TC126 "Акустические характеристики зданий и их элементов" Организации по стандартизации Европейского союза CEN (далее везде - Рабочая группа WG7).
Предполагается, что вся инженерно-техническая система может быть разделена на несколько источников воздушного и структурного шума, которые можно считать независимыми друг от друга. Такими источниками могут быть физический объект, отдельный источник или сочетание различных источников или отдельных точек присоединения в зависимости от типа оборудования или системы. Методы расчета основаны на рассмотрении каждого из источников шума с помощью зависящей от времени наиболее подходящей для данного типа источника одномерной модели. Суммарный уровень звукового давления в помещении определяется суммированием вкладов каждого из рассматриваемых источников.
Рассматривают три различных вида звукопередачи:
- воздушная звукопередача по воздуховодам и/или трубопроводам;
- воздушная звукопередача через строительные конструкции;
- структурная звукопередача по строительным конструкциям.
В настоящем разделе для каждой из этих ситуаций описан общий подход. Примеры применения общих моделей к некоторым типам инженерного оборудования и установок приведены в
разделе 5.
Суммарный приведенный уровень звукового давления в помещении в октавных полосах Ln определяют путем суммирования вкладов соответствующих источников и учета звукопередачи от рассматриваемого инженерного или вспомогательного оборудования по формуле

(2)
где Ln - суммарный приведенный уровень звукового давления в помещении, создаваемый источниками шума i, j и k, дБ;
Ln,d,i - приведенный уровень звукового давления источника i, обусловленный звукопередачей по воздуховоду или трубопроводу, дБ;
Ln,a,j - приведенный уровень звукового давления источника j, обусловленный звукопередачей воздушного шума через строительную конструкцию, дБ;
| | ИС МЕГАНОРМ: примечание. Текст дан в соответствии с официальным текстом документа. | |
Ln,s,k - приведенный уровень звукового давления источника k, обусловленный звукопередачей структурного шума через строительную конструкцию для, дБ;
m - число источников шума, связанных со звукопередачей по воздуховодам;
n - число источников воздушного шума;
o - число источников структурного шума.
Когда акустические характеристики здания необходимо выразить через максимальный уровень, в частности, при временной характеристике
F, результаты, полученные с помощью
формулы 2, можно рассматривать как оценку верхнего предельного значения. Оценкой нижнего предельного значения будет максимальное значение одного из всех источников, рассматриваемых по отдельности.
Рассматриваемые расчетные модели могут быть использованы для расчета акустических характеристик зданий в октавных полосах на основе акустических октавных характеристик источников шума и строительных элементов. Расчеты следует выполнять в октавных полосах от 63 до 4000 Гц, если более узкий диапазон недостаточен для рассматриваемого типа оборудования. По полученным результатам может быть определена оценка одним числом акустических характеристик здания (корректированная по
A или
C) в соответствии с
[41].
Примечание - Данные расчеты могут быть выполнены для частот вне указанного диапазона при наличии соответствующих данных об элементах. Однако в настоящее время отсутствуют сведения о точности расчетов для расширенного, особенно в низкочастотную область, диапазона частот (см. также
приложение G).
Рассматриваемая расчетная модель предполагает диффузность звукового поля в приемном помещении. Существенные отклонения от диффузности возможны на низких частотах. Так как шум от некоторых видов инженерного оборудования на низких частотах является преобладающим, то нарушение диффузности звукового поля следует учитывать. Следует учитывать указанные особенности при применении расчетных моделей к конкретному инженерному оборудованию и установкам. Общие сведения об этом приведены в
приложении G.
4.2. Звукопередача воздушного шума по воздуховодам и трубопроводам
4.2.1 Общие положения
Каждый элемент воздуховодной системы может быть как передающим шум элементом, так и источником шума. При расчетах каждый источник шума рассматривают отдельно, а источники и элементы считают независимыми друг от друга. Таким образом, взаимодействие элементов, резонансные и модальные эффекты между элементами полагают пренебрежимо малыми.
Обычно величиной, характеризующей интенсивность источника, является уровень его звуковой мощности
LW, излучаемой в воздуховод. Звукопередачу через воздуховод описывают снижением уровня звуковой мощности

каждым отдельным элементом воздуховода. Суммарное звуковое давление в приемном помещении образуется либо звуковым излучением открытого конца воздуховода (см. помещение
a на рисунке 1), либо звуковым излучением стенок воздуховода (помещение
b). Суммарный уровень звукового давления зависит от эквивалентной площади звукопоглощения помещения, которую приводят (нормируют) к стандартной эквивалентной площади звукопоглощения, равной 10 м
2.
Рисунок 1 - Звукопередача от источника воздушного шума
по зданию через систему воздуховодов
в приемные помещения (a и b)
Суммарный приведенный уровень звукового давления в помещении Ln,d от источника шума в воздуховоде рассчитывают по формуле

(3а)
где LW - уровень звуковой мощности источника, дБ;

- снижение уровня звуковой мощности элементом
i, дБ;
e - число элементов между помещением источника и приемным помещением;
Aref - стандартная эквивалентная площадь звукопоглощения, равная 10 м2.
Примечание 1 - Данная формула предполагает диффузность звукового поля в помещении. Однако на практике предположение о диффузности часто не выполняется. В
[30] отмечено влияние нарушения условия диффузности звукового поля в пространстве на суммарные уровни шума. Приведенные сведения могут быть использованы для корректной оценки уровня звукового давления в помещении.
Примечание 2 - Если интересуются уровнем звукового давления в определенной точке помещения, то на него может оказывать влияние или даже преобладать прямой звук от элемента, излучающего шум в помещение. Для контрольной точки, расположенной на расстоянии
r от элемента, имеющего коэффициент направленности излучения
Q, последнее слагаемое в
формуле (3а) должно быть заменено на

(3б)
Излучаемая в помещение звуковая мощность зависит от положения излучающего элемента (последний элемент в цепи
i =
e) относительно ограждающих конструкций помещения. Это следует учитывать при определении снижения уровня звуковой мощности последним элементом воздуховода. Для некоторых элементов влияние ограждающих конструкций учитывают, применяя соответствующие методы измерения. В противном случае снижение уровня звуковой мощности излучения элемента следует корректировать (см.
приложение E).
Если источником шума в воздуховоде является звуковое поле в другом помещении, то акустическая характеристика воздуховодной системы может быть выражена приведенной разностью уровней звукового давления Dn,s системы воздухораспределения, как описано в ЕН 12354-1. Разность уровней рассчитывают по формуле

(4)
где Dn,s - приведенная разность уровней при косвенной воздушной звукопередаче через систему s, дБ;
S1 - площадь первого элемента (i = 1) системы звукопередачи в помещении источника (например, отверстия, секции воздуховода или воздухораспределительного устройства), м2.
Примечание - Для устройств подачи воздуха или пары оконечных воздухораспределителей в простых системах вентиляции жилых помещений данная величина непосредственно измеряется и обозначается как
Dn,e (см. ЕН 13141-1 и ЕН 13141-2).
Формулу (4) также можно использовать для определения снижения уровня звуковой мощности для таких (комбинированных) элементов.
4.2.2 Источники
Источниками шума являются элементы системы, такие как вентиляторы или горелки, которые генерируют шум вблизи элементов системы или посредством них, например потоковый шум решеток, поворотов и глушителей, или шум, поступающий в воздуховод извне.
Во всех случаях интенсивность указанных источников воздушного шума будет определяться уровнем звуковой мощности LW как распространяющейся по воздуховоду, так и непосредственно излучаемой в окружающее пространство. Уровень звуковой мощности связан с режимом работы рассматриваемой системы. Уровень звуковой мощности источников шума определяют стандартными методами измерений.
4.2.2.1 Воздухораспределительные устройства
Для канальных воздухораспределительных устройств различают уровень звуковой мощности на входе воздуховода
LW,in, уровень звуковой мощности на выходе воздуховода
LW,out и уровень звуковой мощности модуля
LW,unit. Входной и выходной уровни определяются по отношению к направлению потока, а уровень звуковой мощности модуля относят к структурному шуму воздухораспределительного устройства. Уровень звуковой мощности рассматриваемых источников шума определяют стандартными методами измерений (см. также
приложение B).
4.2.2.2 Потоковый шум
Для источников потокового шума, таких как решетки, отводы, измерители расхода воздуха, противопожарные клапаны, пластинчатые глушители и др., уровень звуковой мощности может быть определен прямыми измерениями. Оценки производят в соответствии с эмпирическими зависимостями (см.
приложение B).
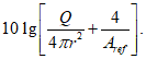
4.2.2.3 Шум, проникающий через отверстия и устройства
Для источников шума, образующихся за счет внешнего шума на окончаниях воздуховода, входных и выходных отверстиях устройств, уровень звуковой мощности можно определить косвенными измерениями потерь при звукопередаче отверстиями или устройствами. Уровень поступающей в воздуховод звуковой мощности
LW определяют потерями звуковой мощности
Dt,oi (см.
4.2.3) по формуле

(5)
где Dt,oi - потери звуковой мощности при звукопередаче отверстием воздуховода или устройства шума снаружи внутрь, дБ;
L0 - уровень звукового давления в помещении источника, дБ;
Sco - площадь открытого конца воздуховода, м2.
Примечание - Определение потерь при звукопередаче отверстием устройства может быть основано на прямых измерениях. По определению потери при звукопередаче воздухораспределительным устройством, т.е. отверстием, снаружи внутрь воздуховода, можно определить через потери при звукопередаче изнутри наружу, и наоборот (см.
приложение E).
Так как звукопередача шума зависит от положения отверстия или устройства по отношению к ограждающим поверхностям помещения, то данную зависимость следует учитывать в потерях при передаче звуковой мощности рассматриваемым элементом. Для некоторых элементов влияние ограждающих конструкций учитывают, применяя соответствующие методы измерения. В противном случае потери при передаче звуковой мощности рассматриваемым элементом следует корректировать (см.
приложение E).
4.2.2.4 Шум, проникающий через стенки воздуховода
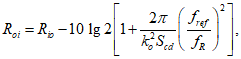
Уровень звуковой мощности шума, проникающего в воздуховод снаружи (через уплотнения), можно определить косвенно по измеренным потерям при звукопередаче воздуховода. Уровень звуковой мощности LW для звукопередачи по направлению или против направления потока в воздуховоде определяют по звукоизоляции Roi воздуховода (потери при звукопередаче снаружи внутрь) по формулам:

(6)
где L0 - уровень звукового давления в помещении снаружи воздуховода, дБ;
Roi - звукоизоляция воздуховода при звукопередаче снаружи внутрь, дБ;
Sd - площадь воздуховода, находящаяся под воздействием шума в помещении, м2;
Scd,d - площадь выходного поперечного сечения части воздуховода, находящейся под воздействием шума в помещении, м2;
Scd,u - площадь входного поперечного сечения части воздуховода, находящейся под воздействием шума в помещении, м2.
Примечание 1 - Звуковое поле вне воздуховода считается диффузным, а внутри рассматривается как плоская звуковая волна.
Примечание 2 - Определение звукоизоляции
Roi может быть основано на прямых измерениях, а также на измерениях
Roi при определении звукопередачи в противоположных направлениях, т.е. изнутри наружу (см.
приложение E).
Для некоторых источников могут быть применимы общие методы оценки уровня звуковой мощности (см.
приложение B).
Снижение уровня звуковой мощности происходит при распространении шума в системе с различными элементами, например на прямых участках воздуховода, на внутренней звукопоглощающей облицовке, в отводах, дросселях, стыках, глушителях, при звукопередаче через отверстия, решетки, стенки воздуховода. Снижение уровня выражают либо снижением уровня звуковой мощности

единицей оборудования (модулем) или единицей длины элемента, либо связанными с ним величинами, такими как звукоизоляция воздуховода при звукопередаче изнутри наружу
Roi, вносимыми потерями глушителя шума
Di или потерями при звукопередаче устройства
Dt.
Для снижения уровня звуковой мощности

различными элементами при расчетах по
формуле (3а) могут быть использованы приведенные ниже соотношения с учетом ограничений, установленных соответствующими стандартами на методы измерений.
4.2.3.1 Для модуля

(7)
где

- снижение уровня звуковой мощности модулем, дБ.
4.2.3.2 В случае элементов с известным снижением уровня на единицу длины

(8)
где

- снижение уровня звуковой мощности единицей длины элемента, дБ/м;
l - фактическая длина элемента, измеренная вдоль осевой линии воздуховода, м.
4.2.3.3 В случае элементов воздуховода с заданными вносимыми потерями

(9)
где Di - вносимые потери элементов воздуховода, определенные для глушителей шума в соответствии с ЕН ИСО 7235 или ЕН ИСО 11691, для воздухораспределительных устройств - по ЕН 13141-1, для других элементов - сопоставимым способом, дБ.
Примечание - Для глушителей вносимые потери, определенные указанным методом, могут служить хорошей оценкой потерь при звукопередаче элемента.
4.2.3.4 В случае оконечных элементов воздуховода с заданными вносимыми потерями

(10)
где Di - вносимые потери, определенные для воздухораспределительных устройств в соответствии с ЕН 13141-2, дБ;
Di,io - потери при звукопередаче открытых концов испытуемого объекта в соответствии с ЕН ИСО 7235 (см.
приложение E), дБ.
4.2.3.5 В случае элементов с заданными потерями при звукопередаче

(11)
где Dt - потери звуковой мощности при звукопередаче, определенные для воздухораспределительного устройства в соответствии с ЕН ИСО 7235 или сопоставимым способом для других подобных элементов, дБ.
Примечание - Потери при звукопередаче воздухораспределительных устройств, включающие в себя в соответствии с настоящим стандартом потери при звукопередаче открытых концов воздуховода, зависят от их расположения относительно ограждающих поверхностей помещения, т.е. в середине помещения, у стены или вблизи угла.
4.2.3.6 В случае элементов с заданной звукоизоляцией

(12)
где Rio - звукоизоляция воздуховода при звукопередаче изнутри наружу, дБ;

- угол вокруг воздуховода, в который происходит излучение, рад (по центру помещения

, у стены

, вблизи угла

).
Примечание 1 - В данной формуле предполагается, что только половина звуковой мощности внутри воздуховода участвует в ее звукопередаче наружу.
Примечание 2 - Звукоизоляция
Rio может быть непосредственно измерена или определена по звукоизоляции
Rio, измеренной в противоположном направлении звукопередачи, т.е. снаружи внутрь (см.
приложение E).
4.2.3.7 Излучающий элемент внутри помещения
Для элемента, излучающего звуковую мощность в помещение, при определении снижения уровня звуковой мощности необходимо учитывать влияние положения элемента относительно границ помещения, рассматривая его как конечный элемент, и использовать формулу

(13)
где

- снижение уровня звуковой мощности излучающего элемента без учета его расположения в помещении, дБ;

- индекс направленности излучающего элемента, дБ.
Для некоторых элементов могут быть применены общие правила по оценке снижения уровня звуковой мощности при звукопередаче (см.
приложение E).
4.3. Звукопередача воздушного шума через конструкции здания
4.3.1 Общие положения
Основной величиной, характеризующей интенсивность источника, является уровень звуковой мощности LW. Суммарный уровень звукового давления в помещении источника зависит главным образом от эффективной площади звукопоглощения Asource данного помещения. На фактическое возбуждение конструкции здания влияет также форма помещения, расстояние между источником и конструкцией и характеристика направленности излучения источника. Звукопередача от помещения источника в приемное помещение обычно включает в себя распространение шума по различным путям между элементами i помещения источника и элементами j приемного помещения. Такую звукопередачу характеризуют звукоизоляцией побочного шума Rij.
Рисунок 2 - Звукопередача воздушного шума
от источника по пути ij
Суммарный приведенный уровень звукового давления в помещении Ln,a для одного источника шума определяют по формуле

(14)
где Ln,a,ij - приведенный уровень звукового давления в приемном помещении, обусловленный возбуждением элемента i в помещении источника и переданный излучающему элементу j в приемном помещении, дБ;
m - число элементов i в помещении источника, участвующих в звукопередаче;
n - число элементов j в приемном помещении, участвующих в звукопередаче.
Приведенный уровень звукового давления в приемном помещении
Ln,a,ij для каждого пути звукопередачи
ij рассчитывают по уровню звуковой мощности источника
LW, звукопередаче элементу
i в помещении источника (
Ds,i) и звукоизоляции при звукопередаче через конструкции здания в приемное помещение по пути
ij (
Rij,ref) (см.
рисунок 2):

(15)
где LW - уровень звуковой мощности источника, дБ;
Ds,i - звукопередача элементу i в помещении источника, дБ;
Rij,ref - звукоизоляция побочного шума для звукопередачи через элемент i в помещении источника к элементу j в приемном помещении с опорным значением площади Sref = 10 м2, дБ;
Si - площадь возбужденного элемента i в помещении источника, м2;
Aref - стандартная эквивалентная площадь звукопоглощения, м2, Aref = 10 м2.
Примечание 1 - Предполагается, что опорные значения для давления и мощности удовлетворяют соотношению

, что соответствует эталонным величинам в ИСО и

.
Примечание 2 - Приведенный уровень звукового давления в помещении источника на достаточном расстоянии от источника оценивают по формуле Ln,a = LW - 4.
Посредством Ds,i учитывают влияние:
- формы помещения и распределения звукового поля;
- особенностей излучения источника (направленность);
- прямого и ближнего поля источника.
Последний пункт следует принимать во внимание при условии, что звукопередача в диффузном поле удовлетворительно описывается звукоизоляцией побочного шума. В других случаях передача прямого звука и влияние ближнего поля источника должна рассматриваться отдельно (см. также
4.3.3).
4.3.2 Источники
Интенсивность каждого источника или частичного источника характеризуется уровнем звуковой мощности
LW, определение которой производят одним из методов в соответствии с серией стандартов ЕН ИСО 3740. Для некоторых типов источников имеются данные о звуковой мощности, приведенные в
приложении C.
Если реальные источники ограждены полностью или частично, то такая комбинация может рассматриваться как источник, для которого уровень звуковой мощности определяют по снижению уровня звуковой мощности
DW ограждением и уровню звуковой мощности изолируемого источника по формуле
LW =
LW,source -
DW. Эффективность снижения уровня звуковой мощности может быть измерена в соответствии с
[37].
Конструкция здания может возбуждаться как прямым, так и отраженным (реверберационным) звуковым полем источника. Часто источники или их части расположены близко к ограждающим поверхностям помещения. В таких случаях наряду с прямым звуком важно влияние ближнего поля. Подобные эффекты следует учитывать при распространении шума в помещении источника (см. 4.3.3).
4.3.3 Звукопередача в помещении источника
Звукопередача в помещении источника выражается величиной Ds,i, которая по определению равна десятикратному логарифму отношения звуковой мощности Winc,i, падающей на рассматриваемый элемент i, к полной звуковой мощности источника

(16a)
Данная формула учитывает эффекты распространения звукового поля в помещении, характеристику направленности источника и по возможности прямой звук и влияние ближнего поля источника.
С учетом направленности источника и диффузности звукового поля формула (16a) преобразуется к виду

(16b)
где Q' - эффективный коэффициент направленности источника с учетом влияния ближнего звукового поля;
ri - среднее расстояние от поверхности источника до элемента i, м;
As - эквивалентная площадь звукопоглощения помещения источника, м2;
St - суммарная площадь ограждающих поверхностей помещения источника, м2;
Si - площадь возбужденного элемента i в помещении источника, м2.
Примечание - Член
e-A/S является обобщением более известного выражения

, где

- средний коэффициент звукопоглощения в помещении.
При большом расстоянии от источника до элемента в помещении с существенно диффузным звуковым полем данная формула может быть аппроксимирована формулой

(16c)
As и

можно оценить по данным об элементе с использованием
[30]. В более сложных ситуациях (несоразмерное или составное помещение, большое число объектов) следует использовать более точные модели звукового поля, а также применять методы
[30] (приложение D) для оценки
As = 0,1
V/
Testimate или
As для каждого подпространства помещения источника.
4.3.4 Звукопередача через конструкции здания
Звукопередачу через конструкции здания в соответствии с ЕН 12354-1 характеризуют звукоизоляцией побочного шума Rif,ref. Следуя ЕН 12354-1, предполагают, что стена, отделяющая помещение источника от приемного помещения (разделительный элемент), как правило, участвует в косвенной звукопередаче, поэтому ее площадь принимают в качестве опорного значения площади. В ситуациях, рассматриваемых в настоящем стандарте, косвенная звукопередача часто происходит помимо разделительного элемента. Поэтому в таких случаях опорное значение площади принимают равным стандартному значению Sref = 10 м2.
| | ИС МЕГАНОРМ: примечание. В официальном тексте документа, видимо, допущена опечатка: имеется в виду ЕН 12354-1, а не ЕН 2354-1. | |
Звукоизоляцию побочного шума
Rij,ref рассчитывают в соответствии с ЕН 2354-1 на основе характеристик элементов и соединений, образующих пути звукопередачи. Дополнительные сведения относительно применения данных методов расчетов приведены в
приложении F.
При близком расположении источника шума к строительному элементу звукоизоляция данного элемента по ЕН 12354-1 может оказаться неприменимой. Следует учесть влияние прямого и ближнего звуковых полей путем соответствующего подбора звукоизоляции и применением эффективного коэффициента направленности в выражении для звукопередачи Ds,i. В качестве альтернативы можно рассмотреть звукопередачу прямого или ближнего поля источника как отдельный путь звукопередачи.
4.4. Структурная звукопередача через конструкции здания
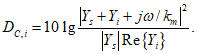
Звуковая мощность, излучаемая в конструкцию здания источником шума, зависит от характеристик источника, условий монтажа и несущего элемента, служащего основанием для источника шума. В общем случае уровень звуковой мощности структурного шума LWs,inst, переданной несущему элементу, определяется уровнем звуковой мощности LWs,c источника структурного шума и коэффициентом связи DC,i несущего элемента i. Звуковая мощность структурного шума несколько меньше максимальной мощности источника, которую он способен передать несущему элементу. Следовательно, коэффициент связи является положительной величиной.
Звукопередача из помещения источника в приемное помещение обычно включает в себя звукопередачу по пути, образованному несущими конструкциями здания помещения источника (i) и приемного помещения (j). Такая звукопередача может быть охарактеризована звукоизоляцией побочного шума Rij по заданному пути с учетом различных механизмов возбуждения для воздушного и структурного шума посредством коэффициента преобразования структурного шума в воздушный Dsa.
Рисунок 3 - Звукопередача структурного шума
от источника через конструкции здания
Суммарный приведенный уровень звукового давления в приемном помещении Ln,s для одного источника шума рассчитывают по формуле

(17)
где Ln,s,ij - приведенный уровень звукового давления в приемном помещении, созданный источником структурного шума, установленным на несущем элементе здания i в помещении источника, и переданный от возбужденного элемента i к излучающему элементу j, расположенному в приемном помещении, дБ;
n - число элементов j в приемном помещении, участвующих в звукопередаче.
Приведенный уровень звукового давления в приемном помещении
Ln,s,ij для каждого пути звукопередачи
ij рассчитывают по формуле (см.
рисунок 3)

(18a)
где LWs,inst,i - уровень звуковой мощности структурного шума, переданного несущему элементу i, на котором он установлен, дБ;
Dsa,i - коэффициент преобразования структурного шума в воздушный для несущего элемента i здания, дБ;
Rij,ref - звукоизоляция побочного шума по пути звукопередачи от элемента i из помещения источника к элементу j в приемном помещении с опорным значением площади Sref = 10 м2, дБ;
Si - площадь несущего элемента здания i в помещении источника, м2;
Aref - стандартная эквивалентная площадь звукопоглощения, Aref = 10 м2.
Примечание 1 - Предполагается, что опорные значения для давления и мощности удовлетворяют соотношению

, что соответствует эталонным величинам в ИСО и

.
Уровень переданной несущему элементу звуковой мощности структурного шума рассчитывают по характеристикам источника и коэффициенту связи по формуле
LWs,inst,i =
LWs,c -
DC,i, (18)
где LWs,c - уровень звуковой мощности структурного шума источника, дБ;
DC,i - коэффициент связи источника, установленного на несущем элементе здания i, дБ.
Примечание 2 - В относительно простых случаях переданная мощность может быть непосредственно определена по значениям измеряемых величин. В случае, когда возбуждение структурного шума производится источником силового возбуждения с уровнем силы
LF, уровень переданной мощности равен
LF + 10 lgRe{
Yi}. В случае источника кинематического возбуждения структурного шума с уровнем скорости вибрации
LV уровень переданной мощности равен
LV + 10 lgRe{
Zi} - 60. В других приближениях могут быть применены другие передаточные функции (см.
приложение D).
4.4.2 Источники
В качестве характеристики мощности источника или его отдельных частей обычно используют уровень звуковой мощности источника структурного шума
LWs,c. Данную величину следует измерять стандартными методами, которые, однако, в настоящее время недостаточно разработаны. Тем не менее, при применении модели общего вида данную величину следует выбирать в качестве характеристики источника, чтобы способствовать дальнейшей разработке и усовершенствованию методов измерений. В
приложении D приведены следующие дополнительные сведения о данной величине:
- указания на возможные подходы к измерениям;
- возможности определения данной величины по другим связанным величинам, таким как скорость вибрации в точке опоры (при нулевой жесткости опор), эквивалентная сила или уровень звукового давления оборудования;
- обобщенные оценки на основе результатов более ранних исследований.
4.4.3 Звукопередача через элементы монтажа
Мощность шума, возбуждаемого в несущем элементе здания, зависит от звуковой мощности источника структурного шума, характеристик источника, способа монтажа и вида несущего элемента здания. Указанная мощность характеризуется коэффициентом связи DC,i для элемента i

(19a)
где Wsc - звуковая мощность источника структурного шума, Вт;
Winj,i - звуковая мощность структурного шума, возбуждаемого источником в несущем элементе здания i, Вт.
Если возбуждение несущего элемента происходит через единственную точку возбуждения перпендикулярно несущему элементу здания с механической подвижностью источника Ys, то

(19b)
где Yi - механическая подвижность несущего элемента здания в вертикальном направлении в точке возбуждения, м/Н·с.
Примечание - Если источник является источником силового возбуждения и имеет высокую входную подвижность, то

(19c)
Для источника кинематического возбуждения с малой входной подвижностью справедлива приближенная формула

(19d)
Влияние упругих опор (упругих элементов, виброизоляторов) учитывается коэффициентом связи.
Для возбуждения в одной точке перпендикулярно несущему элементу здания через упругую опору с переходной подвижностью Yk,m

(19e)
Для некоторых общих ситуаций методы оценки коэффициента связи представлены в
приложении D.
4.4.4 Звукопередача через конструкции здания
Звукопередача через конструкции здания определяется звукоизоляцией побочного шума
Rij в соответствии с ЕН 12354-1 и коэффициентом преобразования структурного шума в воздушный
Dsa. Оценку звукоизоляции побочного шума выполняют в соответствии с
4.3.4. Коэффициент преобразования структурного шума в воздушный связывает мощность структурного шума, возбужденного в конструкции, со звуковой мощностью падающего на конструкцию воздушного шума, создающего такой же уровень энергии свободных колебаний в несущем элементе здания
i. Его рассчитывают по формуле

(20a)
где Winj,i - звуковая мощность структурного шума, возбужденного источником в несущем элементе здания i, Вт;
Ei,s - энергия колебаний элемента i, возбужденная структурным шумом, Дж;
Winc,i - звуковая мощность воздушного шума, падающего на элемент i, Вт;
Ei,a - энергия колебаний элемента i, возбужденная воздушным шумом, Дж.
При этом вынужденные колебания несущего элемента, возбужденные воздушным шумом, должны быть незначительными, в противном случае результаты корректируют с учетом их вклада. В случае возбуждения в несущем элементе здания изгибных волн, характеризуемых коэффициентом звукопроницаемости воздушного шума

и коэффициентом излучения

свободных изгибных волн элемента
i,

(20b)
где mi - поверхностная плотность элемента i, кг/м2;

- коэффициент звукопроницаемости несущего элемента
i для воздушного шума с учетом только свободных изгибных волн

;

- коэффициент излучения свободных изгибных волн;
Ts,i - время структурной реверберации элемента i, с.
Сведения по определению коэффициента преобразования для некоторых распространенных случаев приведены в
приложении F.
5. Применение расчетных моделей
5.1. Расчет шума систем вентиляции
5.1.1 Общие положения
Системы вентиляции в зданиях включают в себя большое разнообразие оборудования и элементов с источниками шума и путями звукопередачи. Первичные источники шума в системах вентиляции, как правило, находятся внутри воздухораспределительных модулей, расположенных в помещениях инженерного оборудования или в верхней части здания (на крыше). Воздухораспределительные системы обычно включают в себя вентиляторы, электродвигатели, линии передачи механической мощности, охлаждающие компрессоры, водяные насосы, увлажнители воздуха, нагревательные или охладительные установки, фильтры и автоматические заслонки.
Другие источники шума могут быть внутри воздуховодов и воздухораспределителей, где шум вызван турбулентностью воздуха и воздушным потоком на острых краях. Потоковый шум обычно возрастает при увеличении скорости потока. Следует также принимать во внимание шум, возникающий при вибрации стенок воздуховодов. Шум также может проникать в воздуховод через стену, отверстия на входе и/или выходе, если воздуховод подвергается воздействию шума с высоким уровнем звукового давления, проходя через шахту или помещение с оборудованием.
Источниками шума и/или звукопередающими элементами являются следующие типичные элементы вентиляционных систем:
- воздуховоды;
- глушители шума;
- соединения воздуховодов;
- отводы и повороты;
- места изменения поперечного сечения;
- противопожарные заслонки (регенерированный шум);
- аппараты высокого давления (регенерированный и излученный шум, вносимые потери);
- регуляторы и клапаны (регенерированный и излученный шум);
- патрубки и нагнетательные и выпускные отверстия (потери при отражении).
Шум системы вентиляции распространяется по зданию в основном по воздуховодам (см.
4.2), в виде структурного шума вентиляторов и двигателей (см.
4.4) и иногда через помещения здания (см.
4.3). Звукопередача через воздуховод является косвенной воздушной звукопередачей между помещениями, которая характеризуется приведенной разностью уровней
Dn,s и определяется в соответствии с ЕН 12354-1.
Для модели звукопередачи в соответствии с ЕН 12354-1 и ЕН 12354-2 важной является звукоизоляция строительных элементов.
Для расчета уровней звукового давления шума вентиляционных систем в помещениях применяют различные руководства, хотя каждое из них, как и настоящий стандарт, не является достаточно полным. Для более подробного рассмотрения следует обратиться к
[1] -
[3].
В
приложении H в качестве примера приведены некоторые рекомендации по проектированию оборудования помещений для систем вентиляции.
5.1.2 Руководство по применению
5.1.2.1 Источники воздушного шума
Полагают, что воздушный шум вентилятора, непосредственно излучаемый в замкнутое пространство, где находится вентилятор, характеризуется уровнем звуковой мощности
LW,unit. Данный уровень может служить исходным параметром для расчетов по
4.2 для других источников воздушного шума.
Если расстояние до ограждающих поверхностей помещения велико по сравнению с типичными размерами рассматриваемых источников, таких как воздухораспределительные установки, насосы, холодильники и т.п., то при определении уровня звукового давления в помещении с оборудованием отдельно для каждого источника шума может быть внесена поправка на звукопоглощение помещения и на расстояние от источника до строительных конструкций (см.
4.3). Если поверхности расположены близко к источнику шума, то уровень звукового давления в помещении с оборудованием может быть принят приблизительно равным уровню звуковой мощности
LW,unit модуля, указанному изготовителем, без внесения поправки на звукопоглощение помещения.
Если большие прямоугольные воздуховоды присоединяют к воздухораспределительной системе с первичным глушителем шума, то следует также учитывать шум, излучаемый воздуховодом. В качестве надежной оценки уровня звуковой мощности, излучаемой воздуховодом, может быть взят уровень звуковой мощности воздушного шума установки на входе или выходе воздуховода LW,in и/или LW,out, так как звукоизоляция панелей прямоугольного воздуховода с малой поверхностной плотностью пренебрежимо мала. Не допускаются малые просветы между несущим элементом (полом) и вентиляционной установкой, так как уровень звукового давления в просвете может быть значительно выше, чем в диффузном звуковом поле. Минеральная вата, заполняющая просвет, лишь незначительно уменьшает воздействие звукового давления на несущий элемент.
5.1.2.2 Источники воздушного шума воздуховода
Воздушный шум вентилятора, непосредственно излученный в воздуховод, характеризуют уровнями звуковой мощности LW,in и LW,out в реальных режимах работы. Другие элементы вентиляционной системы также могут быть источниками шума, характеристики которых определяют по суммарным уровням звуковой мощности на входе или выходе системы. Уровень звуковой мощности других элементов (регуляторов расхода, задвижек, выходных отверстий) зависит от скорости потока в воздуховоде (и падения давления). Изготовители элементов систем вентиляции должны указывать значения соответствующих параметров.
5.1.2.3 Источники переизлученного шума
Уровни звуковой мощности воздушного шума вентилятора и других элементов в системе вентиляции могут быть настолько высоки, что воздуховод (и/или его элементы) может переизлучать значительную часть этой энергии в помещения. Уровень звукового давления такого шума можно оценить с учетом потерь при звукопередаче и размеров излучающих поверхностей воздуховода. Значения шумовых характеристик (см.
4.2) элементов системы вентиляции предоставляют их изготовители.
5.1.2.4 Источники структурного шума
Предполагают, что основным источником структурного шума в системе вентиляции является вентилятор. В некоторых случаях источниками структурного шума являются электродвигатель, механический привод либо охлаждающий компрессор. Интенсивность такого источника характеризуется уровнем звуковой мощности структурного шума, который может быть оценен по результатам измерений либо эквивалентного уровня силы, либо эквивалентного уровня скорости вибрации в опорных точках (на опорах или на лапах агрегата). Данные уровни должны быть указаны для конкретных условий эксплуатации и режимов работы в технической документации на оборудование.
Вентиляционное оборудование на легких стальных рамах или опорах можно рассматривать как источник, обладающий высокой механической подвижностью. Такой источник производит силовое возбуждение конструкций здания. В
приложении D представлен упрощенный способ расчета уровня силы такого возбуждения на основе результатов измерений уровня скорости вибрации приемной плиты.
Крупные охлаждающие компрессоры или другие тяжелые механические устройства, жестко закрепленные или смонтированные на виброизоляторах, могут рассматриваться как источники кинематического возбуждения (с низкой механической подвижностью), для определения уровня звуковой мощности структурного шума которых можно использовать измеренный уровень скорости вибрации.
Примечание 1 - В таких случаях входная мощность может быть определена непосредственно по измеренному уровню силы или уровню скорости вибрации с использованием механической подвижности несущего элемента, как указано в
примечании 2 в 4.4.1.
Примечание 2 - Эффективность внутренних виброизоляторов не всегда соответствует расчетным данным. Вентиляционное оборудование желательно устанавливать на устойчивом основании, которое при необходимости испытаний при введении оборудования в эксплуатацию может быть заменено внешними виброизоляторами (упругая подвеска). Следует учитывать при этом возможность увеличения уровня вибрации оборудования. Производители рекомендуют необходимые в данном случае меры.
5.1.2.5 Источники перекрестного шума (перекрестные помехи)
Шум может передаваться из одного помещения в другое (смежное или удаленное). Это может быть структурный шум, однако воздушный шум из помещения источника передается в приемное помещение в основном по воздуховоду. Уровни звукового давления в приемном помещении могут быть рассчитаны с учетом "мостового" расположения воздуховода и оценки потерь на входе и в вентиляционной системе. Данный уровень звукового давления следует сопоставить с результатом действия звукоизоляции между теми же помещениями (см. ЕН 12354-1). Шум может проникать в воздуховод и излучаться его стенками или входным и выходным отверстиями воздуховода.
5.2. Расчет шума отопительных установок
5.2.1 Общие положения
Основными видами отопления являются:
- системы водяного отопления с радиаторами или конвекторами;
- системы воздушного отопления;
- теплые полы;
- потолочные системы.
Система водяного отопления является наиболее распространенной. Однако некоторые источники шума систем водяного отопления, например водонагреватели, насосы и клапаны, могут быть и в других типах систем.
Типичная система водяного отопления состоит из генератора тепла, тепловой сети, циркуляционного насоса, клапанов и радиаторов. Описание всех возможных составных частей систем с водой в качестве теплоносителя имеется в
[4]. Генератором тепла может быть водонагреватель (котельная установка), или, в случае центрального теплоснабжения, теплообменник с необходимыми клапанами.
Источником шума в котельной установке является процесс горения топлива и/или вентилятор системы подачи воздуха. Шум от помещения котельной распространяется как воздушным путем через здание (см.
4.3), так и через его конструкцию (см.
4.4). Другие элементы системы, такие как трубопроводы, радиаторы, система понижения давления вызывают главным образом шум, распространяющийся по теплоносителю (воде) и/или через конструкцию здания (см.
4.4). Дополнительными источниками воздушного шума могут быть выхлопные отверстия или отверстия воздухозаборников. Шум от указанных источников может распространяться по помещениям здания или наружу (в другие здания). Такие ситуации могут быть рассмотрены в соответствии с ЕН 12354-4 <*>.
--------------------------------
<*> ЕН 12354-4 "Акустика зданий. Оценка акустических характеристик зданий по характеристикам их элементов. Часть 4. Звукопередача из помещения наружу".
Важными исходными данными для модели звукопередачи в соответствии с ЕН 12354-1 и ЕН 12354-2 являются значения звукоизоляции элементов здания и индексы снижения вибрации соединений элементов здания.
5.2.2 Указания по применению
Характеристики воздушного шума системы "горелка/водонагреватель" приведены в результатах последних исследований (см.
приложение B). О структурном шуме имеется меньше информации, хотя известно, что им нельзя пренебрегать в системах отопления большой мощности.
Системы понижения давления состоят из трубопроводов, соединяющих водонагреватель с расширительным баком (расширителем), установленным в самой высокой точке системы отопления. По соображениям безопасности используют трубы системы понижения давления большего диаметра, чем другие трубы системы. Такие трубы обычно жестко закрепляют в полу верхних этажей здания, в силу чего основное излучение шума исходит от пола. В многоквартирных зданиях шум от котельных является распространенным явлением. Размеры труб таковы, что структурный шум является преобладающим.
Циркуляционные насосы, ранее известные как источники сильного шума, в настоящее время производят с хорошей звукоизоляцией. Их уровни звуковой мощности должны быть известны для сравнения и использования в качестве исходных данных. Передаваемый шум может распространяться как по воде, так и по радиаторам в местах излучения структурного шума. В зданиях средней высоты основная часть шума передается по воде. В высотных зданиях (10 этажей и более) может использоваться более одного циркуляционного насоса.
Теплообменники не являются источниками шума, но они управляются при помощи клапанов. Старые или долго эксплуатируемые клапаны также могут вызывать шум (звукопередача по теплоносителю и косвенная структурная звукопередача через радиаторы и элементы здания).
Одним из наиболее значимых источников шума является клапан, соединенный с радиатором. Шум, генерируемый в клапане, передается на радиатор, который эффективно излучает шум. До тех пор, пока нет возможности отделить шум теплоносителя от структурного шума, нельзя разработать и эффективно применить соответствующие методы испытаний
[5].
Горячая вода в радиаторе сама может быть источником шума, в частности, когда в трубах системы имеется нерастворенный воздух.
5.3.1 Общие положения
Лифты, в частности, для пассажиров, как правило, подвешенные на тросах или гидравлические, состоят из подъемного механизма, блока управления, кабины лифта, противовесов, подвесных тросов, направляющих и дверей лифта. Подъемный механизм размещен либо в машинном помещении, либо в колодце шахты лифта.
Подъемный механизм со вспомогательным оборудованием и дверьми лифта является основным источником воздушного (см.
4.3) и структурного шума (см.
4.4). Направляющие лифта также могут быть источниками структурного шума.
5.3.2 Указания по применению
Звукопередачу воздушного шума от подъемного механизма можно оценить по 4.2, используя уровень звуковой мощности оборудования. Так как машинные помещения лифтов, как правило, малы, представляя собой замкнутое некубическое пространство, звуковые поля в них будут отличаться от диффузного поля. В таких случаях уровень звукового давления в помещении источника может быть принят численно равным уровню звуковой мощности (см. также
[6]).
Упругие опоры (виброизоляторы) подъемного механизма необходимы для снижения структурного шума
[4]. Поэтому в качестве несущего элемента целесообразно использовать массивную конструкцию. В случае, когда имеются соседние с машинным помещением или зданием жилые помещения и структурные связи между ними отсутствуют, можно повысить эффективность виброизоляции подъемного механизма с помощью массивной (бетонной) рамы поверх виброизоляторов. Для определения размеров упругих опор необходимо учитывать, что подъемный механизм и тросы противовесов (балансировочных грузов) являются частью общей нагрузки, не включающей в себя динамическую рабочую нагрузку.
Направляющие должны быть установлены на тяжелых конструкциях здания и крепиться только в местах конструкции с большим импедансом. Для снижения звукопередачи бывает необходимо применять упругие опоры. Направляющие должны быть установлены так, чтобы обеспечить плавное движение кабины лифта.
Автоматические и ручные двери лифта могут быть источниками структурного шума. В некоторых случаях структурный шум, вызванный работой дверей на лифтовой площадке, является источником воздушного шума в соседних помещениях.
5.4. Расчет шума установок водоснабжения
5.4.1 Общие положения
Шум системы водоснабжения включает в себя все шумы кранов, клапанов, насосов и т.д. при подаче воды, заполнении ванн, раковин или бассейнов с пресной водой. Также рассматривают шум от брызг воды. Шум слива воды из бачков и раковин рассмотрен далее отдельно как шум систем канализации.
Типичные источники шума установок водоснабжения и виды звукопередачи приведены в таблице 1.
Таблица 1
Перечень источников и видов звукопередачи
в системах водоснабжения
Элементы системы водоснабжения | Среда звукопередачи | Средство звукопередачи в здании |
Воздух | Строительные конструкции | Жидкость | Смонтированный объект | Элементы крепления | Трубы |
Клапаны и краны | Водоразборные краны | | x | x | x | x | x |
Шланговые краны | | x | x | x | x | x |
Продувочные клапаны | | x | x | x | x | x |
Задвижки, фитинги: - запорные краны; - угловые запорные краны; - обратные клапаны | | x | x | (x) | (x) | x |
Дроссельные клапаны | | x | x | x | x | x |
Редукционные клапаны: - регуляторы выпускных клапанов; - душевые смесители; - регуляторы расхода; - антивакуумные клапаны; - обратные клапаны | | x | x | | | x |
Иные редукционные клапаны | | x | x | (x) | (x) | x |
Трубы | | x | x | x | x | x |
Сливные бачки | x | x | x | x | x | x |
(Циркуляционные) водонагреватели, котлы | (x) | x | x | x | x | (x) |
Резервуары | Ванны | x | x | x | x | | |
Душевые поддоны |
Сливные бачки |
Раковины |
Умывальники |
Водонапорные насосы | x | x | x | x | x | x |
Другие источники | | | | | | |
Пути звукопередачи от установок водоснабжения показаны на рисунке 4.
Рисунок 4 - Пути звукопередачи от источников шума
в системах водоснабжения
Далее рассмотрены некоторые типичные ситуации, в которых необходимо учитывать частные источники и пути звукопередачи.
На рисунке 5 показаны источники шума и пути звукопередачи от крана над раковиной.
┌───────────────────────────────────┐ ┌──────────────────────────────┐
│ Кран над раковиной │ │ Струя воды из крана │
└───────┬──────────────────────┬────┘ └─────┬────────────────────────┘
│ │ │
\/ \/ \/
┌───────────────────────┐ ┌─────────┐ ┌───────────┐
│Шум, распространяющийся│ │Воздушный│ │Структурный│
│ по жидкости │ │ шум │ │ шум │
└───────┬───────────────┘ └─┬──────┬┘ └─────┬─────┘
│ │ │ │
\/ \/ \/ \/
┌────────────────────────────┐ ┌─────────────────────────────────────┐
│ Трубопроводная система │ │ Раковина │
└──────────────┬─────────────┘ └─────────┬─────────────────────┬─────┘
│ │ │
\/ \/ \/
┌────────────────────────────┐ ┌──────────────────────┐ ┌───────────┐
│ Элементы крепления │ │ Элементы крепления │ │ Воздушный │
│ труб │ │ раковины │ │ шум │
└──────────────┬─────────────┘ └─────────┬────────────┘ └───────────┘
│ │
\/ \/
┌────────────────────────────┐ ┌───────────────────────────┐
│ Элементы здания │ │ Элементы здания │
└────────────────────────────┘ └───────────────────────────┘
Рисунок 5 - Пути звукопередачи от крана над раковиной
На рисунке 6 изображена схема распространения шума для настенного крана.
┌────────────────────────────────────────────┐┌─────────────────────────────┐
│ Кран над раковиной ││ Струя воды из крана │
└────────┬───────────────────────┬───────────┘└───────┬─────────────────────┘
│ │ │
\/ \/ \/
┌──────────────────┐ ┌───────────────────────┐┌──────────────┐
│ Шум, │ │ ││ Структурный │
│распространяющийся│ │ Структурный шум ││ шум │
│ по жидкости │ │ ││ │
└────────┬─────────┘ └─┬───────────┬─────────┘└───────┬──────┘
│ │ │ │
\/ \/ │ \/
┌────────────────────────┐ │ ┌─────────────────────────────┐
│ Трубопроводная система │ │ │ Раковина или ванна │
└────────────┬───────────┘ │ └───────┬────────────────┬────┘
│ │ │ │
\/ \/ \/ \/
┌────────────────────────┐┌──────────────────┐┌──────────────────┐┌─────────┐
│ Элементы крепления ││Элементы крепления││Элементы крепления││Воздушный│
│ труб ││ настенного крана ││раковины или ванны││ шум │
└────────────┬───────────┘└────────┬─────────┘└───────┬──────────┘└─────────┘
│ │ │
\/ \/ \/
┌────────────────────────┐┌──────────────────────────────────────┐
│ Элементы здания ││ Элементы здания │
└────────────────────────┘└──────────────────────────────────────┘
Рисунок 6 - Пути звукопередачи шума для настенного крана
На рисунке 7 приведен пример гидромассажной ванны.
Рисунок 7 - Звукопередача шума от гидромассажной ванны
5.4.2 Руководство по применению
Источники в системах водоснабжения обычно создают структурный шум, который непосредственно передается на строительную конструкцию или на монтажную оснастку. Исходные данные (
LWs,c,
LF) могут быть получены при помощи методов измерений, разработанных Рабочей группой WG7 (см.
[38],
[39]). Во многих случаях источники структурного шума рассматривают как точечные источники. В случае клапанов и кранов следует учитывать шум воды и его звукопередачу. В некоторых случаях (раковины, продувочные клапаны) создается значительный воздушный шум, который может быть охарактеризован уровнем звуковой мощности
LW.
При расчетах звукопередачи по путям, показанным на
рисунках 4,
5,
6 и
7, вклады воздушного и структурного шумов, а также вклад шума воды в суммарный приведенный уровень звукового давления в помещении
Ln должны рассматриваться отдельно. Согласно
формуле (2) Ln рассчитывают как сумму вкладов. В зависимости от вида источника и условий звукопередачи различают следующие случаи:
- воздушный шум, излученный источником;
- структурный шум, переданный через конструкцию здания или соединительные элементы;
- структурный шум и шум, распространяющийся по воде, переданные по трубопроводной системе.
При рассмотрении
таблицы 1 следует принимать следующие указания относительно элементов системы водоснабжения:
a) краны и клапаны:
1) краны и клапаны обычно являются источниками косвенной структурой звукопередачи по трубам и шума воды, передающимся элементам здания через элементы крепления (хомуты, зажимы и т.д.) (пути 1 и 2 на
рисунке 4). Встроенные клапаны сами являются путями звукопередачи. В настоящее время нет стандартного метода для адекватного описания излучения структурного шума и шума воды, а также метода расчета эффективной звуковой мощности или сил в точках соединения трубопроводной системы. Некоторая информация по расчету звуковой мощности структурного шума и шума воды представлена в
[7]. В случае встроенных фитингов для определения звуковой мощности структурного шума и шума воды может быть применен метод измерений по
[29].
В качестве приближения можно рассматривать не отдельные вклады структурного шума и шума воды, а передачу суммарной звуковой мощности структурного шума от элементов крепления к элементам здания. Для элементов крепления такое приближение допустимо при их расположении на определенном расстоянии от источника. Экспериментальные результаты показывают, что как минимум трех поворотов трубопровода, считая от источника шума, достаточно для выполнения данного критерия. В настоящее время системы, включающие в себя краны, трубопроводы и оснастку, могут быть исследованы с помощью методов измерений шума внутренней канализации (см.
[38] и
5.5). Ограничения, связанные с применением данного метода, заключаются в том, что источник должен обеспечивать силовое возбуждение. Как правило, это имеет место в распространенных массивных однородных конструкциях с эффективной поверхностной плотностью
m' > 150 кг/м
2. Это не означает неприменимость модели для легких конструкций. Возможность применения метода должна рассматриваться в каждом реальном случае отдельно.
| | ИС МЕГАНОРМ: примечание. В официальном тексте документа, видимо, допущена опечатка: формула (D.6a) отсутствует. Возможно, имеется в виду формула (D.6) | |
Часть шума, передаваемого по трубопроводной системе (пути 1 и 2 на
рисунке 4), приближенно можно оценить по
формуле (D.6a). Данная формула основана на методах измерений по ЕН ИСО 3822 и может применяться для грубой оценки шума, создаваемого кранами, в случаях, когда:
- шум не передается краном зданию. Имеется в виду встроенный кран или кран, установленный на отдаленном расстоянии от помещения источника так, что создаваемая им часть структурного шума (путь 3 на
рисунке 4) не является преобладающим излучением в приемном помещении;
- трубопроводная система состоит из тяжелых металлических труб;
- трубы стянуты жесткими хомутами;
- расстояние между краном и первой точкой крепления к стене находится на достаточном расстоянии от приемного помещения;
- возбуждаемая стена является массивной однородной конструкцией;
2) краны, установленные непосредственно на элементах здания или раковинах, также передают шум присоединенным конструкциям (путь 3 на
рисунке 4, см. также
рисунки 5 и
6). В большинстве случаев данный шум является доминирующим по сравнению с шумом, передаваемым по трубопроводной системе (пути 1 и 2 на
рисунке 4). Этот шум должен рассматриваться отдельно. В сочетании с жесткими массивными стенами (
m' > 150 кг/м
2) такой кран приближенно можно рассматривать как источник силового возбуждения. Для легких конструкций такое предположение требует доказательства;
3) для кранов, установленных в резервуарах (ванна или умывальник) без непосредственного контакта со структурой здания, особенности распространения шума представлены на
рисунке 4. Комбинацию крана и резервуара упрощенно можно рассматривать как единый источник шума, характеризуемый общей эквивалентной силой. При этом могут быть применены методы измерений по
[39]. В настоящее время произвольная комбинация кранов и резервуаров не может быть определена путем математического объединения характеристик каждой части системы. Необходимо построить адекватную модель (см.
[8]).
В каждой конкретной ситуации необходимо установить, какой из вышеупомянутых случаев или их сочетание является подходящим. Характеристики частей системы должны быть определены заранее. Примеры учета характеристик каждой части показаны на
рисунках 5 и
6.
Примечание - Шумовые характеристики кранов и вентилей существенно зависят от условий эксплуатации (давление, скорость потока, выпускное и дроссельные устройства). Необходимо использовать реальные исходные данные, имеющие отношение к условиям эксплуатации;
b) насосы в установках водоснабжения являются источниками структурного шума и шума, распространяющегося по воде. В случае встроенных насосов (без присоединения к элементам здания) следует учитывать структурный шум и шум, распространяющийся по воде, соответствующий путям 1 и 2 на
рисунке 4. Разработанные для встроенных насосов систем отопления методы измерений структурного шума
[29], распространяющегося по трубопроводной системе, могут быть применены для насосов в системе водоснабжения.
Если насос подключен к элементу здания, то учитывают дополнительный шум, передаваемый через конструкцию непосредственно от насоса к данному элементу (путь 3 на
рисунке 4). Экспериментально данную часть можно измерить методами, разработанными Рабочей группой WG7;
c) в случае малогабаритных цистерн, баков, котлов и т.п. структурный шум описывают эквивалентной силой или звуковой мощностью в соответствии с методами, разработанными Рабочей группой WG7 (см.
[39]). Шум при косвенной воздушной звукопередаче в некоторых случаях также может играть определенную роль. Для оценки воздушного шума определяют
LW в соответствии с методами, разработанными Рабочей группой WG7 (см.
[39]);
d) источники шума вытянутой формы (ванны, гидромассажные установки и т.д.) закрепляют в более чем одной плоскости (например, угловое положение ванны, прикрепленной к полу и двум стенам). Пример приведен на
рисунке 7. В данном случае источники должны рассматриваться как трехмерные и вклад каждого направления следует рассматривать отдельно (см.
[9]). Исходные данные для таких источников могут быть определены методами измерений, разработанными Рабочей группой WG7.
При воздушной звукопередаче (см.
4.3) звуковая мощность источника воздушного шума
LWa, измеренная лабораторными методами (см.
приложение C), используется в
формуле (15). С помощью приближенной
формулы (16b) можно оценить звукопередачу при диффузном поле в помещении источника. Подобные лабораторные характеристики не содержат информации о прямом и ближнем звуковом поле вблизи оборудования, и, следовательно, в данном случае отсутствует способ определения звукопередачи к элементу (стена или пол), близко расположенному к оборудованию. Тем не менее, следует отметить, что при измерении структурного шума при трехплоскостной установке косвенная воздушная звукопередача должна учитываться.
При структурной звукопередаче (см.
4.4) сумма первых двух слагаемых
LWs,c +
DC,i в
формуле (18a) представляет собой уровень мощности структурного шума, падающего на строительный элемент
i в помещении источника. Данный уровень мощности, называемый переданным уровнем мощности элемента
i, может быть оценен по уровню переданной мощности
LWs,n,i соответствующей несущей приемной плите, измеренному в лаборатории (см.
D.1.2);
e) во многих случаях струя воды (например, на выходе из душа или крана), брызги на стенках бассейна, ванны или на поверхности воды могут вызывать преобладающий структурный или воздушный шум. По возможности, вклад шума от каждого из указанных источников следует рассматривать отдельно (см.
рисунки 5,
6 и
7).
5.5. Расчет шума внутренней канализации
5.5.1 Общие положения
Канализационные системы состоят из комбинации труб с тройниками, отводами, соединениями, установленными на строительных конструкциях посредством крепления (часто с помощью хомутов). Вибрация, вызываемая движением потока или падением воды в трубах, порождает либо воздушный шум, либо передается на конструкции (стены, полы). Для снижения структурного шума необходимо использовать специальные устройства крепления (см.
[9] и
[10]).
При косвенной звукопередаче воздушный и структурный шум измеряют в соответствии с
[38] с помощью специальной установки (см.
приложение D). Определяют две величины: приведенный уровень звукового давления воздушного шума
Lan и характеристический уровень звукового давления структурного шума
Lsc, применимые для указанной части канализационной системы и конкретного метода крепления. Канализационные трубы, как правило, связаны с несущей стеной через две точки крепления, расположенные друг от друга на значительном расстоянии и рассматриваемые как невзаимодействующие. При этом предположении источник считают одноточечным. Такие исходные данные могут быть использованы для расчета структурного и воздушного шума (см.
5.5.2).
Стандарт
[38] не распространяется на следующие составные части канализационных систем: раковины, унитазы, ванны, водоотводы или активные установки (насосы).
5.5.2 Руководство по применению
Уровень мощности воздушного шума
LW и характеристический уровень звуковой мощности структурного шума
LWs,c могут быть рассчитаны по двум величинам, определенным по
[38], с помощью
формул (C.1) и
(D.8) в
приложениях C и
D настоящего стандарта.
Метод расчета звукопередачи воздушного шума изложен в
4.3. С помощью приближенной
формулы (16b) оценивают звукопередачу при диффузном звуковом поле в помещении источника (см. также
приложение C).
Метод расчета звукопередачи структурного шума изложен в
4.4. Опорным элементом, как правило, является однородная плита, механическая подвижность которой может быть определена по механической подвижности бесконечной пластины (см.
F.3.1). Предполагая силовой характер источника, его механическую подвижность принимают в качестве (высокого) опорного значения
Ys,ref = 10
-3 м/Н·с, устанавливая тем самым связь величин
приложения D с подвижностью
Yi в соответствии с
приложением F.
Если известен уровень структурной чувствительности от монтажной стены к помещению
LSS,situ (измеренный, например, по
[38]), то суммарный приведенный уровень звукового давления может быть рассчитан по формуле
Lp,n,s = LWs,c + LSS,situ - 34,7 + 10 lgf2. (21)
5.6. Расчет шума других видов инженерного оборудования
5.6.1 Общие положения
К другим видам инженерного оборудования относятся мусоропроводы, котлы, насосы, автоматически открываемые ворота (шлагбаумы) автостоянок и другое бытовое оборудование. Во многих случаях расчет шума такого рода оборудования может быть аналогичен расчету для рассмотренного выше оборудования. Хотя, как правило, для бытовой техники нет нормативных требований по шуму внутри квартир, некоторые из видов бытовой техники, например посудомоечные и автоматические стиральные машины, рассмотрены в настоящем разделе.
Шум посудомоечных машин рассматривают в помещениях, где они установлены, т.к. интерес представляет лишь прямое излучение воздушного шума. Косвенная воздушная звукопередача в другие помещения незначительна. Уровень шума стиральных машин в помещении, где они установлены, обусловлен в основном воздушным шумом. Однако следует учесть, что значительный уровень шума в смежных помещениях может быть обусловлен звукопередачей структурного шума.
5.6.2 Руководящие указания
Уровень звуковой мощности LW посудомоечных и стиральных машин может быть определен в соответствии с международными стандартами (соответствующие части МЭК 60335-2 <*>).
--------------------------------
<*> МЭК 60335-2 "Приборы электрические бытового и аналогичного назначения. Безопасность".
Стандартных методов расчета структурного шума не существует. Имеются предложения по использованию метода приемной пластины для определения эквивалентного уровня силы. Исследования показали, что сопротивление источника на низких частотах (наиболее важная область частотного диапазона) подобно импедансу сосредоточенной массы обычно от 5 до 10 кг
[11]. Как указано в
приложении F, данной информации достаточно для оценки уровня звуковой мощности структурного шума источника
LWs,c и соответствующих величин для коэффициентов связи.
Как правило, какой-либо промежуточный звукопередающий элемент при работе бытовой техники отсутствует, но иногда применяют звукоизолирующие кожухи или упругие опоры.
Воздушный шум бытовой техники создается главным образом в помещении, где непосредственно установлено данное оборудование. На достаточном расстоянии от источника (в случае реверберационного поля) в качестве оценки приведенного уровня звукового давления можно принять уровень звуковой мощности источника, уменьшенный на 4 дБ.
Уровень структурного шума определяют по
4.4.1 с коэффициентом преобразования структурного шума в воздушный, определяемым в соответствии с
приложением F.
6. Неопределенность расчета
Неопределенность расчета уровней шума инженерного оборудования в зданиях зависит от входных данных об источниках и структурах, сложности моделируемой ситуации, преобладающих механизмов звукопередачи и соответствующего диапазона частот. Следует отличать неопределенность исходных данных об источнике шума и неопределенность расчета звукопередачи. Значения указанных неопределенностей будут отличаться в зависимости от вида оборудования, но количественной информации об этом пока еще недостаточно.
Обобщенным показателем неопределенности является расширенная неопределенность оценки одним числом (корректированных по A или по C уровней шума), которая при коэффициенте покрытия 2 может быть равна до 5 дБ для исходных данных об источнике шума и 5 дБ для расчетных значений звукопередачи. При предполагаемой независимости этих составляющих суммарная неопределенность, таким образом, будет достигать 7 дБ. Основываясь на опыте применения сопоставимых расчетных моделей, в таблице 2 представлена оценка неопределенности для разных типов источников шума. Для уточнения и детализации приведенных в таблице неопределенностей необходимы дополнительные исследования и сравнения.
Таблица 2
Общая оценка расширенной неопределенности
для различных видов инженерного оборудования здания
Тип источника | Неопределенность исходных данных об источнике, дБ | Неопределенность звукопередачи, дБ | Примечание |
Все типы | 5 | 5 | Более низкие значения могут быть при массивных строительных конструкциях |
Системы вентиляции | 2 | 2 | |
Системы отопления | 3 | 4 | |
Лифты | 4 | 3 | |
Установки водоснабжения | 3 | 5 | |
Бытовые приборы и оборудование | 3 | 3 | |
(обязательное)
ПЕРЕЧЕНЬ ОСНОВНЫХ ОБОЗНАЧЕНИЙ
Таблица A.1
Перечень обозначений
Обозначение | Величина | Ед. изм. |
A | Эквивалентная площадь звукопоглощения приемного помещения | м2 |
Aref | Стандартная эквивалентная площадь звукопоглощения, равная 10 м2 | м2 |
As | Эквивалентная площадь звукопоглощения помещения источника | м2 |
c0 | Скорость звука в воздухе | м/с |
d | Расстояние между элементом, излучающим шум, и контрольной точкой в помещении; диаметр воздуховода | м |
Dn,s | Приведенная разность уровней при косвенной воздушной звукопередаче через систему s | дБ |
Dt,i | Потери при звукопередаче элементом i системы | дБ |
Dt,oi | Потери звуковой мощности для отверстий воздуховода или устройства при звукопередаче снаружи внутрь | дБ |
Dt,io | Потери звуковой мощности для отверстий воздуховода или устройства при звукопередаче изнутри наружу | дБ |
Ds,i | Звукопередача элементу i в помещении источника | дБ |
Di | Вносимые потери глушителя шума или других элементов воздуховода | дБ |
DW | Коэффициент звукоизоляции звуковой мощности кожухом (ограждением) | дБ |
DC,i | Коэффициент связи источника, установленного на несущем элементе здания i | дБ |
Dsa,i | Коэффициент преобразования структурного шума в воздушный для несущего элемента i | дБ |
| Индекс направленности излучающего элемента или источника в помещении | дБ |
e | Число элементов между помещением источника и приемным помещением | - |
Ei,a | Энергия колебаний элемента i, возбужденная воздушным шумом | Дж |
Ei,s | Энергия колебаний элемента i, возбужденная структурным шумом | Дж |
f | Среднегеометрическая частота полосы частот | Гц |
km | Средняя по частоте переходная динамическая жесткость упругой опоры m | Н/м |
l | Длина элемента, измеренная вдоль осевой линии воздуховода | м |
lref | Опорная длина, lref = 1 м | м |
Ln | Суммарный приведенный уровень звукового давления в помещении от всех источников | дБ относительно 20 мкПа |
LnT | Суммарный стандартизованный уровень звукового давления в помещении от всех источников | дБ относительно 20 мкПа |
Ln,d,i | Приведенный уровень звукового давления шума, переданный через трубу или воздуховод от источника i | дБ относительно 20 мкПа |
Ln,a,j | Приведенный уровень звукового давления воздушного шума, переданный через конструкцию здания от источника j | дБ относительно 20 мкПа |
Ln,s,k | Приведенный уровень звукового давления структурного шума, переданный через конструкцию здания от источника k | дБ относительно 20 мкПа |
L0 | Уровень звукового давления в помещении источника и/или снаружи воздуховода | дБ относительно 20 мкПа |
Ln,a,ij | Приведенный уровень звукового давления в приемном помещении, обусловленный возбуждением элемента i в помещении источника и переданный излучающему элементу j в приемном помещении | дБ относительно 20 мкПа |
Ln,s,ij | Приведенный уровень звукового давления структурного шума в приемном помещении, созданный источником, установленным на несущем элементе здания i в помещении источника, и переданный от возбужденного элемента i в помещении источника излучающему элементу j в приемном помещении | дБ относительно 20 мкПа |
LW, LWa | Уровень звуковой мощности источника воздушного шума | дБ относительно 1 м·Вт |
LW,in | Уровень звуковой мощности на входе воздуховода | дБ относительно 1 м·Вт |
LW,out | Уровень звуковой мощности на выходе воздуховода | дБ относительно 1 м·Вт |
LW,unit | Уровень звуковой мощности модуля | дБ относительно 1 м·Вт |
LWs,c | Уровень звуковой мощности источника структурного шума | дБ относительно 1 м·Вт |
LWs,inst | Уровень звуковой мощности структурного шума, переданного несущему элементу, на котором он установлен (переданная мощность) | дБ относительно 1 м·Вт |
mi | Поверхностная плотность элемента i | кг/м2 |
m | Число элементов i в помещении источника, участвующих в звукопередаче; число источников шума, связанных с передачей шума по воздуховоду, число упругих опор | - |
n | Число элементов j в приемном помещении, участвующих в звукопередаче; число источников воздушного шума; число ответвлений воздуховода | - |
o | Число источников структурного шума | - |
Q | Коэффициент направленности излучения элемента | - |
Q' | Эффективный коэффициент направленности источника с учетом ближнего звукового поля | - |
ri | Среднее расстояние от поверхности источника до элемента i | - |
Ri | Звукоизоляция элемента здания i | - |
Rij,ref | Звукоизоляция побочного шума от элемента i из помещения источника к элементу j в приемном помещении с опорным значением площади Sref = 10 м2 | дБ |
Roi | Звукоизоляция воздуховода при звукопередаче снаружи внутрь | дБ |
Rio | Звукоизоляция воздуховода при звукопередаче изнутри наружу | дБ |
S1 | Площадь первого элемента (i = 1) системы звукопередачи в помещении источника | м2 |
Sco | Площадь открытого конца воздуховода | м2 |
Si | Площадь возбужденного элемента i или несущего элемента i в помещении источника | м2 |
Sd | Площадь воздуховода, находящаяся под воздействием шума в помещении | м2 |
Scd,d | Площадь выходного поперечного сечения части, находящаяся под воздействием шума в помещении | м2 |
Scd,u | Площадь поперечного сечения воздуховода на входе части воздуховода, находящаяся под воздействием шума в помещении | м2 |
St | Суммарная площадь ограждающих поверхностей помещения | м2 |
T | Время реверберации; символ транспонирования вектора | с |
Tref | Стандартное время реверберации; Tref = 0,5 | с |
Ts,i | Время структурной реверберации элемента i | с |
V | Объем помещения | м3 |
Winj,i | Звуковая мощность структурного шума, переданная источником в опорный элемент здания i | Вт |
Winc,i | Звуковая мощность воздушного шума, падающего на элемент i | Вт |
Wsc | Звуковая мощность источника структурного шума | Вт |
Y | Механическая подвижность (= 1/Z) (комплексная величина) | м/Н·с |
Re{Yi} | Реальная часть подвижности элемента i в точке возбуждения | м/Н·с |
Z | Механический импеданс (комплексная величина) | Н·с/м |
| Снижение уровня звуковой мощности единицей оборудования или единицей длины элемента | дБ |
| Снижение уровня звуковой мощности элементом i | дБ |
| Телесный угол, в который происходит излучение | рад |
| Коэффициент звукопроницаемости элемента i для воздушного шума;  | - |
| Коэффициент излучения свободных изгибных волн элемента i | - |
(справочное)
ИСТОЧНИКИ ВОЗДУШНОГО ШУМА В СИСТЕМАХ ВЕНТИЛЯЦИИ
B.1 Уровень звуковой мощности вентиляторов
Уровень звуковой мощности вентиляторов должен указываться производителями в технической документации на вентилятор в соответствии с
[40],
[42]. Справочники и руководства предоставляют различные методы оценки уровня звуковой мощности вентиляторов, полученные на основе экспериментальных и теоретических исследований (см., например,
[1]).
B.2 Уровень звуковой мощности потокового шума
Уровень звуковой мощности шума, генерируемого потоком воздуха на клапанах, решетках, демпферах, глушителях, различных частях воздуховодов, может быть измерен в соответствии с ЕН ИСО 7235. В справочниках и руководствах содержится множество методов расчета уровня звуковой мощности потокового шума, генерируемого различными элементами вентиляционных систем (см., например,
[1]). Однако звуковая мощность потокового шума зачастую больше зависит от положения элемента в системе (взаимодействия между элементами), чем от свойств самого элемента.
(справочное)
ИСТОЧНИКИ ВОЗДУШНОГО ШУМА
C.1.1 Инженерное оборудование гидромассажных ванн
Структурный и воздушный шум инженерного оборудования гидромассажных ванн измеряют в соответствии с
[39] в специальной установке (см.
приложение D). Воздушный шум характеризуется уровнем звуковой мощности
LWA и может быть рассчитан по
4.3.
C.1.2 Системы канализации
Структурный и воздушный шум приборов систем канализации измеряют в соответствии с
[38] в специальной установке (см.
приложение D). Воздушный шум выражают приведенным уровнем звукового давления
Lan. Такой метод определения шума применим к участкам систем канализации, как правило, длиной около 3 м.
Уровень звуковой мощности воздушного шума для указанного участка рассчитывают по формуле

(C.1)
Формулу (C.1) применяют при расчетах по
5.5.2.
C.1.3 Отопительные системы
Для котлов с горелками и принудительной подачей воздуха, используемых в отопительных установках, соотношение между номинальной мощностью
P, кВт, и корректированным по
A уровнем звуковой мощности
LWA, дБ
A, выражается формулой
[12]
LWA = 57 + 12 lgP. (C.2)
Погрешность расчета по формуле (C.2) составляет +/- 5 дБA при значительной величине низкочастотных составляющих.
У котлов, оборудованных системой вытяжки, возможно снизить корректированный по A уровень звуковой мощности до 20 дБA.
C.2 Звукопередача в помещении источника
Если источники шума расположены вблизи элементов здания, то оценка уровня звукового давления может быть принята равной численному значению уровня звуковой мощности.
Для воздушного шума точечного источника теоретически показано
[13]:
- при близком расположении точечного источника к стене прямое излучение является преобладающим, и звукоизоляция стены при диффузном поле не дает достоверной оценки звукопередачи шума через стену;
- в случае сильной направленности источника локальное возбуждение стены схоже с механическим возбуждением, и следует соблюдать осмотрительность, особенно на частотах ниже критической частоты стены.
Это показывает, что при значительной интенсивности прямого и ближнего полей источников звукопередача не может быть корректно оценена величинами, полученными для диффузного поля (Rij, Ds,i). В этом случае требуется проводить оценку звукоизоляции, разрабатывая соответствующие практические методы.
Звуковое поле в пространстве между относительно большим источником шума и близко расположенным элементом здания можно рассматривать как диффузное звуковое поле с малым затуханием, что приводит к высокому уровню звукового давления. По известному или рассчитанному уровню звуковой мощности

соответствующей площадью (
l x
b) м
2 источника на расстояния
h от элемента здания уровень звукового давления может быть рассчитан по формуле
[14]

(C.3)
(справочное)
ИСТОЧНИКИ СТРУКТУРНОГО ШУМА
D.1 Измерение уровня звуковой мощности источника структурного шума
D.1.1 Общие положения
Измерение уровня звуковой мощности структурного шума включает в себя измерение скорости вибрации источника в точках его контакта с опорной поверхностью (в условиях, когда движение этих точек не ограничено механическими и иными связями) и измерение элементов матрицы входных подвижностей источника для всех шести степеней свободы. Для источника или его частей с несколькими точками контакта уровень звуковой мощности рассчитывают по формуле

(D.1a)
где

- комплексный вектор скорости вибрации для точек источника со многими степенями свободы, м·с;

- комплексная матрица входных подвижностей источника, м/Н·с;
* - символ комплексного сопряжения;
T - символ транспонирования вектора;
Wref - опорная звуковая мощность, Вт; Wref = 1 пВт.
Для единственной точки контакта и одной степени свободы данное выражение принимает вид

(D.1b)
где vsf - среднеквадратичное значение скорости вибрации источника в точке контакта, м/с;
Ys - входная механическая подвижность источника в точке контакта, м/Н·с.
Методы измерений должны быть основаны на применении данных формул или на аналогичных формулах, полученных в условиях тех или иных приближений, применимых к конкретным видам или группам оборудования (см. также
[15]). Некоторые примеры приведены в следующих разделах настоящего приложения.
D.1.2 Инженерное оборудование с высокой механической подвижностью источника
Машины и оборудование с относительно легким основанием и/или монтажными опорами могут рассматриваться как источники чисто силового возбуждения, прилагаемого перпендикулярно несущему элементу здания. Такое приближение допустимо, когда опорный элемент здания обладает очень большой жесткостью. Оно оправдано и в случае источника с несколькими точками контакта при наличии нескольких степеней свободы, если источник можно охарактеризовать одной силой или звуковой мощностью структурного шума. Для таких источников их входная механическая подвижность очень высока по сравнению с подвижностями несущих элементов здания и может быть принята равной опорному значению Ys,ref = 10-3 м/Н·с.
D.1.2.1 Гидромассажные ванны как пример инженерного оборудования с высокой подвижностью источника
В стандарте
[39] определены методы лабораторных измерений воздушного и структурного шума инженерного оборудования здания. В нем рассматривается оборудование, связанное с конструкциями, обладающими низкой механической подвижностью (массивные полы или стены, с поверхностной плотностью не менее 220 кг/м
2). Для структурных шумов лабораторный метод измерения заключается в следующем.
Испытуемое оборудование устанавливают на плиты трехплоскостного стенда, как показано на
рисунке D.1 (ванну устанавливают в углу помещения и прикрепляют к полу и двум стенам). На каждой из трех плит измеряют среднюю (по плоскости) скорость вибрации и время структурной реверберации. На основе полученных результатов измерений рассчитывают структурную мощность, возбужденную в каждой из плит. В полученное значение структурной мощности вносят поправки на разность между входными механическими подвижностями плит и входной подвижностью образцовой плиты, определяя при этом три корректированные компоненты мощности
LWs,n,i (
i = 1 до 3).
1 - упругий слой
Рисунок D.1 - Схематичное изображение
испытательного стенда с тремя плитами
По результатам лабораторных измерений определяют четыре величины: мощность воздушного шума
LWa источника (см.
C.1) и три корректированные компоненты мощности
LWs,n,i (
i = 1, 2, 3).
Для рассматриваемого типа источника его механическая подвижность очень высока и может быть приравнена опорному значению Ys,ref = 10-3 м/Н·с. Поэтому уровень звуковой мощности источника структурного шума и коэффициент связи рассчитывают по формулам:

(D.2a)
DC,i = -10 lgRe{Yup,i} - 30, (D.2b)
где

- механическая подвижность образцовой плиты, принятая равной

;
Yup,i - верхний предел механической подвижности плиты i после установки источника, м/Н·с.
Поскольку разность
LWs,c -
DC,i представляет собой уровень мощности структурного шума, возбужденного в элементе здания
i, называемый уровнем переданной мощности
i и обозначаемый
LWs,inst,i [см.
формулу (18)], верхний предел ее компонент можно определить непосредственно, используя
LWs,n,i, по формуле

(D.3)
D.1.2.2 Эквивалентная сила источника для приемной плиты
Вибрация механизмов и оборудования с несколькими степенями свободы и с высокой входной механической подвижностью нескольких точек контакта может быть описана через одну силу, репрезентативную всему возбуждению. Данная сила, называемая эквивалентной силой
Feq, перпендикулярна несущей строительной конструкции. Такое упрощенное описание обеспечивает отклик, эквивалентный отклику реального источника при некоторых ограничениях, связанных как с источником, так и с несущей конструкцией. Такой подход эквивалентен методу по
D.1.2.1, но отличается формой представления результатов.
В данном методе измерений упруго установленную плиту применяют в качестве приемной конструкции, аналогичной приемному реверберационному помещению. Эквивалентный уровень силы рассчитывают по измеренной при работающем источнике скорости вибрации плиты v2 и следующим ее характеристикам: входная механическая подвижность в точке возбуждения Y, масса M и время структурной реверберации Ts по формуле

(D.4)
Примечание - Подобные методы измерений представлены в литературе для таких источников шума, как стиральные машины и вентиляторы (см.
5.1 и
5.6).
Для таких источников их входная механическая подвижность высока по сравнению с подвижностями несущих элементов здания и может быть принята равной опорной подвижности Ys,ref = 10-3 м/Н·с. Уровень звуковой мощности источника структурного шума рассчитывают по формуле
LWs,c =
LF,eq + 10 lg|
Ys| =
LF,eq - 30, (D.5a)
где LF,eq - (эквивалентный) уровень силы источника, дБ;
Ys - механическая подвижность источника, м/Н·с; Ys,ref = 10-3 м/Н·с.
Соответствующий коэффициент связи источника, установленного на несущем элементе здания i, в данном случае может быть выражен формулой
DC,i = -10 lgRe{Yi} - 30. (D.5b)
Для большинства несущих элементов здания данный коэффициент имеет отрицательное значение, указывающее, что фактическая мощность возбужденного в конструкции шума ниже мощности структурного шума источника.
В
приложении F приведены рекомендации по оценке механической подвижности
Yi несущих элементов.
D.1.2.3 Метод замещения для определения эквивалентной силы источника
Для источников с высокой входной механической подвижностью можно разработать методы измерения
Feq на основе принципа замещения (см.
[11],
[16]). Для этого измеряют выходную характеристику (уровень звукового давления излучения или уровень скорости вибрации) рассматриваемого источника и замещающего источника с известным (измеренным) уровнем силы. Эквивалентный уровень силы рассчитывают по формуле
LF,eq =
LF,sub.source + (
Lsource -
Lsub.source). (D.6)
На практике в качестве источника замещения можно использовать стандартную ударную машину. В
приложении F приведены сведения об уровне силы для данного источника относительно приемной конструкции с малой механической подвижностью.
Уровень звуковой мощности источника структурного шума и коэффициент связи определяют по
формулам (D.5).
D.1.2.4 Оборудование установок водоснабжения
Структурный шум, вызванный работой оборудования установок водоснабжения, устанавливается и измеряется в соответствии с ЕН ИСО 3822 в специальной испытательной установке и выражается уровнем звукового давления оборудования Lap. Исходя из данной величины определяют уровень звуковой мощности источника структурного шума и коэффициент связи (при механической подвижности источника, равной опорному значению Ys,ref = 10-3 м/Н·с) по формулам:

(D.7a)
DC,i = -10 lgRe{Yi} - 30. (D.7b)
В
приложении F приведены рекомендации по оценке механической подвижности
Yi несущих элементов.
D.1.2.5 Оборудование системы канализации
Структурный и воздушный шум систем канализации определяют в условиях стандартной лаборатории для рассматриваемой части систем канализации и конкретного способа монтажа в соответствии с
[38] (см. рисунок D.2).
1 - входное отверстие; 2 - крепление к разделительной
стене; 3 - помещение источника; 4 - приемное помещение
Рисунок D.2 - Стандартная испытательная установка
для оборудования системы канализации по
[38]
Канализационные трубы монтируют в помещении источника и присоединяют к испытательной стене. Измеряют излучаемый ими шум, а также структурный шум, излучаемый стеной. Вклад структурного шума затем вычитают, и результат выражают приведенным уровнем звукового давления
Lan воздушного шума. Дальнейшее использование результатов см. в
приложении C.
Для измерения структурного шума оборудование системы канализации монтируют вне приемного помещения и присоединяют трубы к разделительной стене. Измеряют (с учетом косвенной структурной звукопередачи) структурный шум, вызванный вибрацией, переданной стене через крепления, и излученный в приемное помещение. Измеряют также воздушный шум, передаваемый через стену в приемное помещение (когда трубы отсоединены от разделительной стены), который при необходимости вычитают из излученного структурного шума. Предложенный метод применим только для труб, являющихся источниками силового возбуждения (что имеет место в распространенном случае пластиковых труб, установленных на массивной конструкции). Для проверки применимости метода используют следующую процедуру. Измеряют акустические характеристики разделительной стены и выражают их через коэффициент отклика конструкции. Уровень структурного шума измеряют с поправкой на разность коэффициентов отклика между испытуемой разделительной и образцовой стенами. Результат называют характеристическим уровнем звукового давления источника структурного шума и обозначают Ln,sc.
С большой вероятностью можно предположить, что силовое возбуждение от источника направлено перпендикулярно несущей стене, поскольку рассматриваемым диапазоном возбуждения является только область низких и средних частот (на более высоких частотах нельзя пренебрегать влиянием моментов силы) и точки крепления труб к стенам обычно расположены далеко от краев стены (в противном случае влиянием моментов силы нельзя будет пренебречь даже в области низких частот). В этом случае можно рассматривать только одну степень свободы движения источника (перпендикулярно к стене). Кроме того, механическая подвижность трубы, как правило, намного выше, чем входная механическая подвижность несущей стены, что позволяет считать трубу источником силового возбуждения. Тогда подвижность источника можно считать равной Ys,ref = 10-3 м/Н·с.
Таким образом, характеристический уровень звуковой мощности источника структурного шума и коэффициент связи могут быть рассчитаны по формулам:
LWs,c =
Lsc -
LSSR + 34,7 - 10 lg
f2 =
Lsc + 8 lg
f + 23,5; (D.8a)
DC,i = -10 lgRe{Yi} - 30, (D.8b)
где
Lsc - характеристический уровень структурного шума в соответствии с
[38];
LSSR - структурная чувствительность образцовой стены в соответствии с
[38].
В
приложении F приведены рекомендации по оценке механической подвижности
Yi несущих элементов.
D.1.3 Инженерное оборудование с известной механической подвижностью источника
При известной механической подвижности источника на основе измеренных данных могут быть определены другие оценки характеристической мощности и коэффициента связи.
Как пример рассмотрим в качестве источника силового возбуждения стандартную ударную машину, входная механическая подвижность которой может быть определена как подвижность сосредоточенной массы (
M = 0,5 кг;

), которая прилагает возбуждение перпендикулярно плоскости несущего элемента
i, имеющего действительную механическую подвижность
Ys = 1/
Zi. В данном случае характеристическая мощность и коэффициент связи рассчитываются по формулам:
LWs,c =
LF - 5 - 10 lg
f ~= 115 дБ относительно 1 пВт,
на треть октавы; (D.9a)

(D.9b)
В
приложении F приведены рекомендации по оценке механической подвижности
Yi несущих элементов.
Оценку механической подвижности конкретного источника можно получить исходя из его конструкции. Такой подход основан на общих выражениях для подвижности основных частей машин, таких как сосредоточенная масса, балки, плиты, трубы и т.д. Для небольших источников хорошую оценку подвижности источника можно получить, представив его в виде сосредоточенной массы. Для источников с нежесткими опорами основой для расчета подвижности являются масса источника и жесткость его опор. В таблице D.1 приведены некоторые соотношения для подвижности типичных элементов зданий.
Таблица D.1
Оценки механической подвижности типичных
конструктивных элементов
Тип конструкции | Известные величины | Подвижность (|Y| м/Н·с) |
Сосредоточенная масса | M [кг] | |
Конец стержня |  [кг/м 3], cL [м/с], S [м 2] | |
Балка |  [кг/м 3], cL [м/с], t [м] | |
Плита |  [кг/м 3], cL [м/с], t [м] | |
Труба |  [кг/м 3], cL [м/с], t [м], радиус r [м] | |
Массово-пружинная система | M [кг], s [Н/м],  [-] | |
Мощность источника и переданная мощность для двух типов несущих элементов, рассчитанные по данным формулам, показаны на
рисунке D.3.
LWs,c,A = 124 дБА
LWs,c,A = 119 дБА
LWs,c,A = 102 дБА
Примечание - Все зависимости приведены для корректированных по A уровней звуковой мощности.
Рисунок D.3 - Мощность структурного шума ударной машины:
характеристическая мощность источника, переданная мощность
для деревянного и бетонного пола
D.1.4 Инженерное оборудование с малой механической подвижностью источника
Машины с массивными жесткими рамами и/или опорами наилучшим образом описываются как источники кинематического возбуждения, для которых скорость вибрации в точках контакта перпендикулярна несущему элементу здания. Однако такое приближение применимо только при условии упругого закрепления источника на несущем элементе здания. Это приближение может быть использовано и в случае источника с несколькими точками контакта при наличии нескольких степеней свободы, если источник можно охарактеризовать эквивалентной скоростью вибрации veq, перпендикулярной опорным элементам здания. Такое упрощенное описание обеспечивает отклик, эквивалентный отклику реального источника при некоторых ограничениях, связанных как с источником, так и с несущим элементом.
Примечание - Методы измерений, реализующие данный подход, находятся в стадии разработки. Кроме этого, можно применять
[36] <*>.
--------------------------------
<*>
[36] соответствует
ГОСТ Р 53573-2009 "Вибрация. Измерения вибрации, передаваемой машиной через упругие изоляторы. Общие требования".
Входной импеданс таких источников высок по сравнению с импедансами несущих элементов здания. В качестве образцового значения импеданса такого источника может быть принято Zs,ref = 106 м/Н·с. Уровень звуковой мощности источника структурного шума рассчитывают по формуле

(D.10a)
Соответствующий коэффициент связи включает в себя свойства упругих опор m, характеризующиеся их (средней по частоте) динамической переходной жесткостью km, измеренными в соответствии с ЕН ИСО 10846-1, и определяется по формуле

(D.10b)
В
приложение F приведены рекомендации по оценке механической подвижности
Yi несущих элементов.
D.2 Крепление на упругих опорах
Характеристики упругих опор (упругих элементов, виброизоляторов) в соответствии с ЕН ИСО 10846-1 полностью описываются матрицей переходных динамических жесткостей (для шести степеней свободы). Однако для наиболее распространенных применений в строительстве достаточно знать переходную динамическую жесткость в направлении, перпендикулярном несущему элементу конструкции. Методы измерений переходной динамической жесткости k2,1 или усредненной по частоте переходной динамической жесткости kav приведены в ЕН ИСО 10846-2. Последняя величина может быть выражена уровнем усредненной по частоте переходной динамической жесткости Lkav (дБ относительно 1 Н/м). Используя переходную динамическую жесткость km опоры, переходную подвижность упругой опоры можно рассчитать по формуле

(D.11)
Таким образом, коэффициент связи в
формуле (19e) преобразуется к виду

(D.12)
Разность между коэффициентом связи при наличии
[формула (19e)] и при отсутствии
[формула (19b)] упругой опоры характеризует влияние упругой опоры, т.е. изменение входной мощности (или разность уровня силы, приложенной к несущему элементу), и выражается формулой

(D.13)
Данное приближение справедливо для массивного несущего элемента источника, подобного сосредоточенной массе (для которого резонансная частота определяется формулой

), и идеальной упругой опоры. Для реальных опор на средних и высоких частотах данное приближение зачастую недействительно (из-за внутренних резонансов).
В
приложение F приведены рекомендации по оценке подвижности
Yi несущих элементов.
D.3 Оценка данных о мощности источника, упругих опорах и подвижности источника
В настоящее время систематических данных о структурном шуме от источников и элементов системы собрано недостаточно. Эти данные будут получены с помощью методов измерения, которые в настоящее время находятся в стадии разработки. В качестве примера на
рисунке D.4 приведены уровни звуковой мощности некоторых источников структурного шума, полученные по результатам измерений силы или скорости вибрации
[11],
[17],
[18]. Данные были преобразованы с помощью
формул (D.5),
(D.9) и
(D.10).
Рисунок D.4 - Зависимости от частоты уровня
характеристической мощности некоторых источников
(справочное)
ПЕРЕДАЧА ШУМА ПО ЭЛЕМЕНТАМ ВОЗДУХОВОДОВ
И ТРУБОПРОВОДНЫХ СИСТЕМ
E.1 Общие положения
Акустические характеристики элементов системы при звукопередаче наружу и распространении шума вдоль воздуховода в зависимости от типа элемента выражаются несколькими величинами. Данные характеристики могут быть измерены стандартными методами.
На основе многочисленных экспериментальных и теоретических работ, справочников и руководств разработаны методы оценки потерь при передаче шума через элементы воздуховодов (см., например,
[1], справочник
[2] и
[3]). Для некоторых видов элементов в настоящем приложении изложены подходы на основе руководства
[1] и справочника
[2].
E.2 Стенка воздуховода
Звукоизоляцию Rio воздуховода при звукопередаче изнутри наружу рассчитывают по формуле

(E.1)
где Li - уровень звукового давления внутри воздуховода, дБ;
Lo - уровень звукового давления в диффузном поле снаружи воздуховода, дБ;
Sd - общая площадь воздуховода, видимая из ограниченного пространства помещения, м2;
A - эквивалентная площадь звукопоглощения приемного помещения за пределами воздуховода, м2.
Звукоизоляцию Roi воздуховода при звукопередаче снаружи внутрь рассчитывают по формуле

(E.2)
где Scd - площадь поперечного сечения воздуховода, м2.
Примечание - Определение звукоизоляции для двух направлений звукопередачи по
формулам (E.1) и
(E.2) выполняют по
[1]. В справочнике
[2] формула для передачи изнутри определена несколько по-другому (ошибочно), хотя соотношение между двумя направлениями такое же, как в
[1]. Обычно звукопередача для двух направлений на высоких частотах отличается на 3 дБ, т.е.
Rio =
Roi + 3 дБ.
В зависимости от материала (скорость звука в металле
cL ~= 5000 м/с) и диаметра воздуховода
d (

- для волновода круглого, овального и прямоугольного сечения) значения звукоизоляции в двух направлениях звукопередачи связаны зависимостью, выражаемой формулой

(E.3)
где
ko - волновое число в воздухе, м
-1,

;
fR - круговая частота, Гц,

;
fref - опорная частота, Гц, fref = 8000 Гц.
На низких частотах разность между этими величинами меньше, чем по
формуле (E.3), стремясь к нулю в случае прямоугольных и овальных воздуховодов.
Значения данных величин для некоторых типов воздуховодов можно найти в
[19] и справочнике
[2].
E.3 Прямой воздуховод без облицовки
Снижение звуковой мощности при распространении шума по прямому необлицованному воздуховоду происходит в основном из-за звукопередачи через стенки воздуховода наружу, которую характеризуют звукоизоляцией Rio. Снижение уровня звуковой мощности на единицу длины воздуховода может быть рассчитано по формуле

(E.4)
где a - постоянная затухания, зависящая от типа воздуховода и среды, перемещаемой в трубе.
Для гладких труб с жесткой заделкой в стене затухание определяется свойствами жидкости (см.
[19]). Для газа под давлением
p0, Па, и температуры
T, К, постоянную затухания рассчитывают по формуле

(E.5)
Для воздуховодов в системе вентиляции значение a стремится к нулю (a ~= 0). Для легких металлических воздуховодов постоянная затухания варьируется от a = 0,08 для круглых до a = 0,02 для прямоугольных воздуховодов.
Если по трубе, жестко заделанной в стене, течет жидкость, то по эмпирической оценке a = 0,06.
E.4 Прямой облицованный воздуховод/глушитель
Снижение звуковой мощности шума, распространяющегося по прямому облицованному воздуховоду, происходит за счет поглощения шума облицовкой, хотя передача шума наружу может иметь место на низких частотах. Снижение шума тонкой звукопоглощающей облицовкой можно оценить с помощью
формулы (E.4) при

. Сведения о коэффициенте звукопоглощения приведены в
[30].
E.5 Воздуховод с переменной площадью поперечного сечения
Снижение звуковой мощности распространяющегося по воздуховоду шума с переменной площадью поперечного сечения зависит от отношения площадей r и от частоты (для расширяющегося воздуховода). При увеличении площади сечения принимается r < 1, при уменьшении - r > 1. Таким образом, снижение звуковой мощности рассчитывают по формуле

(E.6)
где r - отношение площадей поперечного сечения до и после изменения (Sbefor/Safter) по направлению распространения шума;
| | ИС МЕГАНОРМ: примечание. Обозначение дано в соответствии с официальным текстом документа. | |
fp - верхняя частота плоской звуковой волны до изменения сечения воздуховода, Гц; fp = co/2b или fp = 0,586·co/d.
Если воздуховод расширяется и
f >
fp, то

.
E.6 Ответвления воздуховода
Снижение звуковой мощности при распространении шума по воздуховоду в несколько его ответвлений происходит в соответствии с отношением их площадей согласно формуле

(E.7)
где Sj - площадь поперечного сечения ответвления j, м2;
n - число ответвлений воздуховода.
Формула (E.7) справедлива в низкочастотной области. На более высоких частотах снижение шума в ответвлениях может отличаться.
E.7 Воздухораспределительные устройства и отверстия
Звукопередача через воздухораспределительные устройства или отверстия в замкнутом пространстве определяется потерями звуковой мощности Dt,io и может быть измерена стандартными методами, которые учитывают так называемые отражения от конца воздуховода. Если измеряют вносимые потери Di устройства, то к ним добавляют отражения от конца. Для отверстий такие отражения могут быть учтены расчетом по формуле

(E.8)
где
ko - волновое число

в воздухе, м;

- угол излучения, рад.
Если отверстие воздуховода расположено:
- в центре помещения, то

;
- на ограждающей плоскости помещения, то

;
- у примыкания двух плоскостей помещения, то

;
- в углу помещения, то

;
Sco - площадь отверстия воздуховода, м2.
Звукопередача в обратном направлении (из замкнутого пространства в воздуховод) определяется потерями при передаче
Dt,oi, которые рассчитывают непосредственно по
Dt,io при известном угле


(E.9)
E.8 Излучение отверстий
На уровень звукового давления в прямом и отраженном звуковом поле оказывает влияние отражение от границ помещения. На низких частотах это определяется индексом направленности излучения

(см. ЕН 12354-4), а на высоких частотах влияние отражений снижается до 0 дБ. Индекс направленности рассчитывают по формуле

(E.10a)
Примечание - Данная величина может быть определена более точно, если учесть частоту. Для отверстий на некотором расстоянии
x от плоскости

рассчитывают по формуле

(E.10b)
Эта величина может изменяться от 3 дБ на низких частотах до 0 дБ на высоких частотах. Возможны сопоставимые оценки для других позиций [см. также ЕН 12354-3 <*> (приложение D)].
--------------------------------
<*> ЕН 12354-3:2000 "Акустика зданий. Оценка акустических характеристик зданий по характеристикам элементов. Часть 3. Звукоизоляция внешнего шума".
Уровень звукового давления прямого звука отверстия воздуховода зависит от коэффициента направленности излучения отверстия, что существенно на высоких частотах, особенно выше

, и значение коэффициента направленности
Q может изменяться от 4 до 8 для углов от 0° до 45°.
Часто оба эффекта характеризуют одним эффективным коэффициентом направленности, хотя представляется более верным, если прямой звук преобладает, и звукоизоляцию отверстия измеряют с отражением от свободного конца воздуховода. В качестве примера приведена иллюстрация из
[1] для излучения под углом 45°.

- по центру;

- на плоскости;

- около края;

- в углу
Рисунок E.1 - Коэффициент направленности излучения Q
отверстий в различных местах помещения для излучения
под углом 45° как функция их площади и частоты
(комбинированный эффект влияния направленности излучения
отверстий вблизи отражающих поверхностей по
[1])
Согласно
[41] средний уровень звукового давления в помещении определяется главным образом отраженным полем и, таким образом, справедлива
формула (10).
(справочное)
РАСПРОСТРАНЕНИЕ ШУМА В ЗДАНИИ
F.1 Звукопередача через соединения
Определение Rij на основе характеристик элементов и соединений рассмотрено в ЕН 12354-1. Звукопередачу через соединения определяют индексом снижения вибрации Kij. В ЕН 12354-1 описана звукопередача между смежными помещениями. Однако в случаях звукопередачи инженерного оборудования приемное помещение может иметь несколько соединений элементов, не связанных с помещением источника. Тем не менее, в таких ситуациях для каждого пути звукопередачи могут быть использованы те же формулы, при условиях:
- Kij не является инвариантной величиной для соединения, но должен быть определен для звукопередачи через каждое из соединений на рассматриваемом пути;
- необходимо учитывать звукопередачу не только посредством свободных изгибных волн, но и дополнительно волнами других типов, что можно сделать с помощью коэффициента коррекции

.
Следует иметь в виду, что в случае нескольких путей звукопередачи между элементами i и j все они должны быть приняты во внимание как по отдельности, так и объединенные в Rij,ref. Эквивалентный индекс снижения вибрации между элементом i и j на нескольких соединениях на одном конкретном пути может быть оценен по формуле

(F.1)
где li,j - длина соединения элементов i и j, м;
ai, aj, ak - эквивалентные длины поглощения элементов i, j и k, м;

- коэффициент коррекции индекса снижения вибрации, учитывающий небольшое уменьшение его значения в связи с наличием других типов волн, отличных от свободных изгибных волн, дБ.
В качестве первого приближения, применимого для хорошо демпфированных или не слишком малых элементов, эквивалентная длина их поглощения может быть принята численно равной площади этих элементов.
Согласно опубликованным данным значения

принимают равными 4 дБ для двух соединений и 6 дБ для трех и более соединений. Результирующее значение для
Kij, как правило, не бывает меньше минус 5 дБ, что соответствует суммарной звукопередаче структурного шума через конструкцию
[20].
При наличии большого числа путей звукопередачи может быть более подходящим использование модели SEA (Statistical Energy Analysis), если рассматриваемые элементы могут быть включены в расчетные модели
[21]. При использовании SEA-модели следует отметить, что существует прямая связь между индексами снижения вибрации и коэффициентами потерь, которые используются при оценке звукопередачи при SEA-моделировании. Для единичного соединения связь индекса снижения вибрации с коэффициентом потерь соединения

выражается формулой (F.2a), для комбинации нескольких соединений коэффициент потерь выражается формулой (F.2b):

(F.2a)

(F.2b)
где

- коэффициент потерь соединения элементов
i и
j;

- общий коэффициент потерь элемента
i (= 2,2/
fTs,i);
lij - длина соединения элементов i и j (одно соединение) или между элементами i и i + 1 (несколько соединений), м;
fc - критическая частота элемента, Гц.
F.2 Коэффициент преобразования структурного шума в воздушный
Для структурного шума важно учитывать в соответствии с
формулой (18a) коэффициент преобразования структурного шума в воздушный
Dsa. Он связывает звуковую мощность структурного шума, возбужденного в конструкции, с мощностью падающего на элемент воздушного шума, вызывающего в элементе свободные колебания той же энергии.
Для возбуждения, сила которого перпендикулярна однородному несущему элементу здания, коэффициент преобразования структурного шума в воздушный для несущего элемента i здания согласно ЕН 12354-1 (приложение B) можно рассчитать по формуле

(F.3)
где fc,i - критическая частота элемента i, Гц;

- коэффициент излучения свободных изгибных волн элемента
i;
mi - поверхностная плотность элемента i, м2;
f - среднегеометрическая частота полосы частот, Гц.
Данная формула является точной для частот выше критической
fc 
и обеспечивает хорошее приближение на всем диапазоне частот. Коэффициент излучения элемента можно оценить по ЕН 12354-1 (приложение B).
F.3 Подвижность несущих элементов здания
F.3.1 Однородные элементы
В области частот, превышающих наиболее низкую резонансную частоту
f11, механическая подвижность является действительной величиной и определяется поверхностной плотностью
mi и изгибным моментом
B' [22]. Для элемента
i больших размеров (в центральной области элемента) подвижность определяют по формуле

(F.4)
где fc - критическая частота элемента, Гц;
mi - поверхностная плотность элемента, кг/м2;

- (эффективная) плотность элемента, кг/м
3;
cL - скорость продольных волн элемента, м/с;
t - толщина элемента, м.
Резонансную частоту свободно опертой несущей пластины рассчитывают по формуле

(F.5)
где l1, l2 - длина и ширина пластины, м.
Эффективное опирание пластины не может быть обеспечено при свободном опирании на нежесткие опоры, т.е. на легкие балки, что определяет нижнюю резонансную частоту.
Ниже резонансной частоты механическая подвижность становится комплексной величиной и определяется жесткостью несущего элемента.
В случае многослойных пластин подвижность определяется по той же
формуле (F.4) с использованием эффективной поверхностной плотности и крутящего момента.
F.3.2 Элементы с балками
Элементы с балками в разных частотных диапазонах имеют различные характеристики в зависимости от резонансной частоты части пластины между балками [см.
формулу (F.5)]
[23]:
- при
f <
f11 применяют
формулу (F.4) с эффективной общей жесткостью изгиба

и погонной массой
m;
- при f > f11 для возбуждения между балками:
b) для возбуждения балок применяют
B' и
m таврового профиля или определяют по формуле

.
F.3.3 Возбуждение у границ и углов
В соответствии с
[24] механическая подвижность при возбуждении вблизи границ определяется по формулам:
- для жестких краев на расстоянии a от источника

(F.6a)
- для жесткого угла с гранями на расстоянии a, b от источника

(F.6b)
F.4 Измерения суммарной звукопередачи
F.4.1 Воздушная звукопередача
Суммарную воздушную звукопередачу через здание можно определить по результатам измерений по ЕН ИСО 140-4
<*>, выражая ее, например, приведенной разностью уровней
Dn между помещением источника и приемным помещением. Данная величина может быть использована для оценки суммарного приведенного уровня звукового давления от источника воздушного шума в случаях, когда все поверхности в помещении источника возбуждены только диффузным звуковым полем. В таком случае
Ds,i = 10 lg
Si/
As для каждой поверхности
i и
формулы (12) и
(13) могут быть объединены в формулу

(F.7)
где Ln,a - приведенный уровень звукового давления воздушного шума, дБ;
LW - уровень звуковой мощности источника, дБ;
As - эквивалентная площадь звукопоглощения помещения источника, м2;
Rij - звукоизоляция для косвенного пути звукопередачи ij, дБ;
Dn - приведенная разность уровней между помещением источника и приемным помещением, дБ.
--------------------------------
<*> ЕН ИСО 140-4 "Акустика. Измерение звукоизоляции в зданиях и строительных элементах. Часть 4. Измерение звукоизоляции воздушного шума между помещениями в натурных условиях".
В некоторых ситуациях может быть необходимо измерение звукопередачи в обратном направлении, т.е. из приемного помещения в помещение источника. Приведенную разность уровней в таком случае рассчитывают по формуле

(F.8)
где

- приведенная разность уровней звукового давления при звукопередаче из приемного помещения в помещение источника, дБ;
Lr - уровень звукового давления в приемном помещении, созданный источником шума в этом помещении, дБ;
Ls - уровень звукового давления в помещении источника, рассматриваемого в качестве приемного помещения, дБ;
Asource - эквивалентная площадь звукопоглощения помещения источника, м2.
F.4.2 Звукопередача структурного шума
Суммарная звукопередача структурного шума через конструкцию здания определяется измерениями с применением ударной машины в соответствии с ЕН ИСО 140-7
<**>. Звукопередачу можно также выразить приведенной разностью уровня возбуждающей силы и уровня звукового давления
DFp,n по формуле

(F.9)
где DFp,n - приведенная разность уровней возбуждающей силы в помещении источника и уровня звукового давления в приемном помещении, дБ;
LF - уровень силы в помещении источника, дБ;
Lr - уровень звукового давления в приемном помещении, дБ;
A - эквивалентная площадь звукопоглощения приемного помещения, м2.
--------------------------------
<**> ЕН ИСО 140-7:1998 "Акустика. Измерение звукоизоляции в зданиях и строительных элементах. Часть 7. Измерение звукоизоляции ударного шума полом в натурных условиях".
Вместо электродинамического возбудителя в некоторых случаях может использоваться ударная машина. В этих случаях уровень силы в октавных полосах принимают согласно таблице F.1. Примерно до 1000 Гц он равен
LF = 10 lg2,5
f/10
-12 дБ или
LF = 10 lg0,8
f/10
-12 дБ для 1/3-октавных полос, что близко к теоретически ожидаемым значениям
[22].
Таблица F.1
Уровень силы LF относительно 1 пН
для ударной машины в октавных полосах
Среднегеометрическая частота октавной полосы, Гц | 31 | 63 | 125 | 250 | 500 | 1000 | 2000 | 4000 |
Уровень силы LF | 139 | 142 | 145 | 148 | 151 | 154 | 156 | 156 |
Когда источник структурного шума можно считать источником силы, зафиксированным в точке измерения на конструкции здания,
формулы (18) и
(19) могут быть объединены в формулу
Ln,s = LWs,c + 30 - DFp,n. (F.10)
Для структурного шума более практичным является измерение звукопередачи в противоположном направлении, т.е. создавая звуковую мощность в приемном помещении и измеряя уровень скорости в точке возбуждения или в точке в помещении источника. Разность уровней при этом рассчитывают по формуле

(F.11)
где

- приведенная разность уровня возбуждающей силы в помещении источника и уровня звукового давления в приемном помещении, дБ;
Lv,s - уровень скорости вибрации в помещении источника в точке, где приложена возбуждающая сила, дБ относительно 10-9 м/с;
Lr - уровень звукового давления в приемном помещении с источником воздушного шума в этом помещении, дБ относительно 20 мкПа;
f - среднегеометрическая частота полосы частот, Гц.
(справочное)
УРОВНИ ШУМА НА НИЗКИХ ЧАСТОТАХ
Созданные источниками шума или элементами здания уровни звукового давления в помещении на низких частотах и измеренные в соответствии с
[41] являются средними по помещению за исключением зоны на расстоянии 0,5 м от его границ.
Но реально они имеют разброс, изменяясь в широких пределах в зависимости от положения точки измерения. Стандартное отклонение обычно обратно пропорционально числу мод в единице объема (модальной плотности)
[25],
[26],
[27],
[28]. Стандартное отклонение уровней на низких частотах для октавных полос рассчитывают по формуле

с

(G.1)
где

- стандартное отклонение уровня звукового давления в октавной полосе, дБ;
n(f) - модальная плотность, Гц-1;
c0 - скорость звука в воздухе (c0 ~= 340 м/с), м/с;
V - объем помещения, м3;
St - площадь ограждающих поверхностей помещения, м2;
L - общая длина границ помещения, м;
f - среднегеометрическая частота октавной полосы, Гц.
Из-за различных типов форм колебаний в помещении данный разброс является следствием обычно низкого уровня звукового давления в центре помещения по сравнению со средним по помещению. Такое различие может быть обусловлено так называемой поправкой Уотерхауса (Waterhouse correction), учитывающей особенности помещения [см. формулу (G.2) и рисунок G.1]. Тем не менее, опыт показывает, что разность уровней в октавных полосах, как правило, меньше, и для середины помещения на расстоянии не менее 2 м от стены она стремится к половине от указанных на рисунке значений. Поправку Уотерхауса рассчитывают по формуле

(G.2)
Рисунок G.1 - Пример зависимости поправки Уотерхауса
от частоты для двух высоких прямоугольных помещений
нижнего этажа
При оценке уровней звукового давления в соответствии с настоящим стандартом даже на низких частотах применялась теория диффузного звукового поля. Некоторые исследования показывают, что при этом уровни шума завышены по сравнению с измеренными средними уровнями в помещении на низких частотах. Уровни звукового давления на низких частотах, определенные с учетом стандартного отклонения в соответствии с
формулой (G.1), позволяют определить доверительные границы для результатов измерений.
(справочное)
ПО ПРОЕКТИРОВАНИЮ СИСТЕМ ИНЖЕНЕРНОГО ОБОРУДОВАНИЯ
H.1 Общие положения
Проектирование помещений с инженерным оборудованием, их расположение в здании и на строительных конструкциях часто должно выполняться на ранней стадии планирования, когда еще нет подробных данных. На этом этапе детальные расчеты невыполнимы. В целях облегчения принятия некоторых конструктивных решений могут быть применены нижеследующие эмпирические правила. Они даны для систем вентиляции, но в общем случае могут быть применены и к другому сопоставимому оборудованию помещений (например, отопительному оборудованию, лифтам и т.д.).
H.2 Выбор оборудования
Важно, чтобы вентиляционная установка и система воздуховодов по параметрам давления и потоку воздуха были оптимизированы в отношении шума. В сложной системе воздуховодов с несколькими поворотами и изменяющимися размерами происходит большое падение давления, в силу чего вентилятор должен работать при повышенном полном давлении. Это в совокупности с неблагоприятными условиями для потока воздуха вызывает высокие уровни шума и вибрации в воздуховодах, а также шума, передаваемого через конструкции. Как правило, наилучший энергоэффективный режим работы является самым бесшумным. Бесшумная вентиляционная установка обычно включает в себя: воздуховоды с большим поперечным сечением, умеренными радиусами поворота, с рассекателями потока; камеры выравнивания давления до и после вентилятора; низкокомпрессионные активные шумоглушители. Разработка такой системы экономически более эффективна, чем последующие затраты на вибро- и звукоизоляцию конструкций здания с целью выполнения установленных требований по шуму и вибрации.
Необходимо планировать обслуживание и поддержание системы в исправном состоянии во избежание увеличения уровня шума системы при работе в неоптимальном режиме. Необходима регулярная замена воздушных фильтров и балансировка линий электропередачи. Износ виброизоляторов, особенно под воздействием химических веществ или в коррозионной среде, может ухудшить их характеристики. Функционирование виброизоляторов необходимо регулярно проверять.
H.3 Расположение помещения инженерного оборудования и вентиляционной установки
Помещения с инженерным оборудованием по возможности отделяют от помещений, где шум нежелателен. Маленькие кладовки, туалеты и т.д. могут быть использованы для уменьшения звукопередачи.
Для размещения оборудования предпочтительны большие помещения. Необходимо располагать вентиляционную установку подальше от плит и стен. Желательно, чтобы имелся доступ к установке со всех сторон, а шумоглушители располагались вблизи от установки. Необходимо проектировать воздуховод таким образом, чтобы обеспечить в нем воздушный поток с минимальными потерями давления. Для этого следует избегать, если возможно, резких изгибов и поворотов основного воздуховода.
Воздуховоды прямоугольного сечения имеют гораздо меньшую звукоизоляцию, чем круглые. Не следует располагать прямоугольные воздуховоды вблизи легких стен или подвесных потолков. Рекомендуется использовать закрытые шахты с достаточной звукоизоляцией, чтобы предотвратить передачу шума в другие пространства.
Воздухозаборные и выпускные устройства не должны создавать избыточные уровни шума вблизи здания, измерить которые можно по ЕН 12354-4. Для защиты от воздействия шума могут быть использованы глушители и экраны.
H.4 Звукоизоляция помещений инженерного оборудования
Предпочтительными для стен и плит являются жесткие материалы, такие как кирпич, бетон и т.п.
При использовании легких двойных стен необходимо обеспечить основную частоту резонанса двойной стены значительно ниже собственных частот вентиляционной установки. Это может быть достигнуто за счет увеличения массы стены (например, наложением 3 - 5 слоев гипсокартона с каждой стороны), применением упругих упоров или каналов, созданием больших воздушных зазоров и использованием максимального количества звукопоглощающего материала.
H.5 Звукоизоляция структурного шума и виброизоляция
H.5.1 Массивная структура
Как правило, масса части установочной плиты, меньшей или почти равной площади вентиляционной установки (почти покрывающей площадь под установкой), должна превышать массу установки. Масса плиты может быть увеличена дополнительным слоем бетона, в противном случае следует использовать установку меньшей массы. Плиты толщиной 220 - 250 мм являются предпочтительными.
Резонансные частоты плиты
fstructure необходимо рассчитывать по отношению к суммарной массе вентиляционной установки и плиты, а жесткость плиты с учетом ширины пролетов между опорами. Первая резонансная частота должна быть выше любой частоты вращения вентиляционной установки
funjt, с учетом частоты вращения электродвигателя, вентилятора, охлаждающих компрессоров, насосов и др. Резонансная частота изоляторов
fisol должна быть еще ниже, удовлетворяя условию
fisol <
funit/4. Резонансные частоты не должны совпадать. Нагрузка опор установки может быть неодинакова. Нагрузка опор вызывает статическую осадку
b виброизолятора, равную

. Максимально допустимая осадка виброизоляторов 25 мм для стальных пружин и 12 мм для резиновых виброизоляторов, что соответствует минимальной частоте
fisol = 3,6 Гц для стальных пружин и 5,2 Гц для резиновых виброизоляторов.
H.5.2 Легкая структура
Вентиляционную установку не следует устанавливать непосредственно на плавающие полы, газобетонные плиты, деревянные конструкции или конструкции из стальных пластин. Рекомендуется применять устройство, в котором вентиляционная установка устанавливается на жестком профиле с большим моментом инерции. Упорами рам вентиляционной установки должны быть жесткие стены или жесткие колонны, не имеющие жесткого контакта с другими частями здания. Даже небольшие по площади контакты могут стать причиной звукопередачи через конструкции здания. В некоторых случаях целесообразно упруго подвешивать установку на крыше.
Виброизоляторы проектируются с основной резонансной частотой fisol по крайней мере в три раза меньшей, чем резонансная частота структуры fstructure. Виброизоляторы, а также конструкции должны проектироваться с максимально возможным коэффициентом потерь. Не рекомендуется применение балок как неотъемлемой части системы виброизоляции конструкции.
H.6 Трубы и воздуховоды
Вибрирующие части инженерного оборудования, которые устанавливают на внешние или внутренние виброизоляторы, т.е. двигатель, вентилятор, насосы и т.п., не должны подсоединяться к конструкциям здания, так как это значительно увеличит структурный шум.
Электрическая арматура, трубы водоснабжения, гидравлические шланги, воздуховоды и т.д. не должны быть прикреплены непосредственно к конструкции здания. Хомуты должны быть оснащены изоляционным материалом или быть жестко закрепленными на опорах (например, на бетонных блоках), которые опираются на упругие прокладки на плите. Упругие материалы, используемые для подкладок и хомутов, должны сохранять упругие свойства при физических и климатических нагрузках (т.е. быть стойкими к воздействию влаги, щелочи и органических соединений).
Воздухораспределительные устройства в помещении по-разному передают шум в зависимости от их местоположения. Воздухораспределители, расположенные в углах, увеличивают низкочастотный шум в помещении. Выбор воздухораспределителей должен приниматься с учетом их местоположения.
(справочное)
ПРИМЕРЫ РАСЧЕТА
I.1 Система вентиляции
Система вентиляции обслуживает небольшое офисное здание. На
рисунке I.1 изображены: система вентиляции с вентилятором и указаны его размеры; офисное помещение, которое вентилирует данная система; замкнутое пространство, через которое проходит воздуховод. В
таблице I.1 приведены этапы расчета и исходные данные (в основном из
[1] и
[2]). Пример включает расчет шума вентилятора в помещении h, потокового шума глушителя c в помещении h, потокового шума в воздухозаборниках в помещении и шума, излученного воздуховодом e в окружающее замкнутое пространство.
Рисунок I.1 - Пример вентиляционной системы
Таблица I.1
Пример расчета шума, излучаемого в помещение h
(рисунок I.1), и шума вентилятора через выходные
отверстия (решетки)
Обозначение элемента | Наименование элемента или его характеристик | Определяемая величина | Примечание или источник | Среднегеометрическая частота октавной полосы, Гц | Корректированное по A значение |
63 | 125 | 250 | 500 | 1000 | 2000 |
a | Вентилятор | LW | Указать изготовителя; центробежный вентилятор ( q = 0,44 м 3/с;  ) | 63,0 | 64,0 | 65,0 | 60,0 | 55,0 | 50,0 | 62 |
- | | + коррекция рабочей точки [1] | 6,0 | 6,0 | 6,0 | 6,0 | 6,0 | 6,0 | - |
b | Поворот воздуховода | | | 0,0 | 0,0 | 1,0 | 2,0 | 3,0 | 3,0 | - |
c | Глушитель | | s200/220; l1500; Указать изготовителя | 2,0 | 6,0 | 13,0 | 25,0 | 32,0 | 30,0 | - |
d | Ответвление | | [1]; S-отношение = 0,5 + затухание в изгибе | 3,0 | 3,0 | 3,0 | 3,0 | 4,0 | 5,0 | - |
e | Затухание в воздуховоде | | | 3,0 | 0,4 | 0,5 | 0,6 | 1,0 | 1,0 | - |
f | Ответвление | | S-отношение = 0,34 | 4,6 | 4,6 | 4,6 | 4,6 | 4,6 | 4,6 | - |
e' | Затухание в воздуховоде | | | 1,9 | 0,3 | 0,3 | 0,4 | 0,6 | 0,6 | - |
g | Решетка | | Приложение E (E.8); плоская, S = 350 см 2 | 15,3 | 9,7 | 4,9 | 1,8 | 0,5 | 0,1 | - |
h | Затухание в помещении | 10 lg4/A | A = Aref + 10 м2 | -4,0 | -4,0 | -4,0 | -4,0 | -4,0 | -4,0 | - |
Ln,d(g) | | 32,5 | 42,0 | 39,7 | 24,6 | 11,2 | 7,6 | 32 |
h | | Ln,d(f) | Как (g), меньше, чем затухание воздуховода f | 37,0 | 42,2 | 40,0 | 24,9 | 11,8 | 8,2 | 33 |
В результате приведенный уровень звука A в помещении h, излучаемого выходными отверстиями, будет равен 36 дБA, а уровень звука C в том же диапазоне частот равен 48 дБC.
Принимая во внимание также направленность поля на расстоянии 2 м
[формула (3б)], результат будет выше на 1 дБ.
Таблица I.2
и потокового шума глушителя через выходные
отверстия (решетки)
Обозначение элемента | Наименование элемента или его характеристик | Определяемая величина | Примечание или источник | Среднегеометрическая частота октавной полосы, Гц | Корректированное по A значение |
63 | 125 | 250 | 500 | 1000 | 2000 |
c | Источник шума | LW | [1];  , v = 5 м/с | 28,0 | 24,0 | 20,0 | 16,0 | 8,0 | | 17 |
d | | | 23,9 | 14,1 | 9,4 | 6,5 | 6,8 | 7,4 | - |
h | | 10 lg4/A Ln,d(g) | 4,1 | 9,9 | 10,6 | 9,5 | 1,2 | -7,4 | 9 |
Поскольку уровень звука A, излучаемый одним отверстием, равен 9 дБA, то его влиянием можно пренебречь.
Таблица I.3
и потокового шума, излученного выходными
отверстиями (решеткой)
Обозначение элемента | Наименование элемента или его характеристик | Определяемая величина | Примечание или источник | Среднегеометрическая частота октавной полосы, Гц | Корректированное по A значение |
63 | 125 | 250 | 500 | 1000 | 2000 |
f | Затухание в помещении | LW | Указать производителя; при v = 5 м/с | 33,0 | 34,0 | 30,0 | 31,0 | 31,0 | 22,0 | 34 |
10 lg4/A | A = Aref + 10 м2 | -4,0 | -4,0 | -4,0 | -4,0 | -4,0 | -4,0 | - |
h | Ln,d(g) | | 29,0 | 30,0 | 26,0 | 27,0 | 27,0 | 18,0 | 30 |
Ln,d(f) | То же, что для h | 29,0 | 30,0 | 26,0 | 27,0 | 27,0 | 18,0 | 30 |
В результате приведенный уровень звука A в помещении, излучаемого выходными отверстиями (двух решеток), равен 33 дБA, а уровень звука C в том же диапазоне частот равен 38 дБC. Данное значение меньше величины шума, обусловленного вентилятором, но его следует учитывать.
Таблица I.4
суммарный уровень, обусловленный вентилятором,
потоковый шум, обусловленный глушителем, и потоковый
шум, излучаемый выходными отверстиями (решетками)
Обозначение элемента | Наименование элемента или его характеристик | Определяемая величина | Примечание или источник | Среднегеометрическая частота октавной полосы, Гц | Уровень звука A |
63 | 125 | 250 | 500 | 1000 | 2000 |
| Помещение, суммарный уровень | Ln,d | | 40,0 | 45,4 | 43,0 | 32,1 | 30,2 | 21,4 | 37 |
| | Ld(fan) | A = 0,16 V/T = 0,16·90/0,7 | 36,8 | 42,3 | 39,9 | 28,9 | 27,0 | 18,3 | 34 |
Таким образом, суммарный уровень звука A в помещении равен 34 дБA, уровень звука C - 45 дБC.
Таблица I.5
Пример расчета шума, обусловленного элементом e
Обозначение элемента | Наименование элемента или его характеристик | Определяемая величина | Примечание или источник | Среднегеометрическая частота октавной полосы, Гц | Уровень звука A |
63 | 125 | 250 | 500 | 1000 | 2000 |
| Вентилятор | LW в элементе e | Как в предыдущей таблице для элементов a - d | 64,0 | 61,0 | 54,0 | 36,0 | 22,0 | 18,0 | 49 |
e | Воздуховод | Rio | | 50,0 | 55,0 | 55,0 | 52,0 | 44,0 | 35,0 | - |
e | | | около потолка;  ; l = 2 м | 34,0 | 39,0 | 39,0 | 36,0 | 28,0 | 19,0 | - |
| | Ln,d | | 30,0 | 22,0 | 15,0 | 0,0 | -6,0 | -1,0 | - |
| | Ld | A = 0,16 V/T = 0,16·30/1,2 | 34,0 | 26,0 | 19,0 | 4,0 | -2,0 | 3,0 | 16 |
Таким образом, суммарный уровень звука A в замкнутом пространстве равен 16 дБA, уровень звука C - 34 дБC.
I.2 Гидромассажная ванна
Рисунок I.2 представляет гидромассажную ванну (далее - ванна), установленную на пол ванной комнаты (помещение источника шума) и с одной стороны прикрепленную к стене. Косвенная структурная звукопередача происходит по полу и стене. Бетонный пол имеет толщину 200 мм, бетонная стена - 100 мм. В данном примере рассчитывается структурный шум, передающийся по диагонали в приемное помещение. Побочные пути звукопередачи указаны на
рисунке I.3.
Размеры:
- длина соединения пола со стеной 4 м;
- размеры помещения источника (3 x 4 x 2,5) м;
- размеры приемного помещения (5 x 4 x 2,5) м;
- толщина бетонного пола 200 мм;
- толщина бетонной стены 100 мм
Рисунок I.2 - Схема установки ванны
Рисунок I.3 - Побочные пути косвенной звукопередачи
Каждый уровень звукового давления побочного шума
Ln,s,ij рассчитывают по
формуле (18a) (см.
4.4.1) по соответствующим переданным мощностям, корректирующему коэффициенту и звукоизоляции побочного шума по формуле
Лабораторные измерения для ванны
[39]
В лаборатории ванну устанавливают на стенде с тремя плитами, по каждой из которых передается компонента мощности
LWs,n,i (мощность корректирована на толщину бетонной плиты 100 мм с характеристической подвижностью

). Результаты измерений приводят в 1/3-октавных полосах частот.
Звуковая мощность, передаваемая через конструкции
В рассматриваемом примере ванна прикреплена к полу (индекс 1) и к одной стене (индекс 2), поэтому рассматривают только две компоненты мощности.
Каждую компоненту переданной мощности LWs,inst,i рассчитывают по формуле
где

- характеристическая подвижность приемной плиты (пола или стены), рассчитываемая в соответствии с
[39].
В данном примере для стены

и для пола

.
Коэффициент преобразования структурного шума в воздушный
Корректирующий коэффициент рассчитывают для каждой приемной плиты (пола и стены) по
формуле (20b) (см.
4.4.4), которая преобразуется к виду
где

- коэффициент потерь приемной плиты;
Ri - звукоизоляция.
Звукоизоляция побочного шума
Четыре значения звукоизоляции побочного шума Rij рассчитывают по ЕН 12354-1.
В
таблицах I.6 и
I.7 представлены результаты расчетов в октавных полосах уровня звукового давления, генерируемого в приемном помещении полом и стеной соответственно. В
таблице I.7 представлен суммарный уровень шума.
Таблица I.6а
Приведенный уровень звукового давления
Ln,s,1 в приемном
помещении, обусловленный звукопередачей через пол
Наименование элемента или его характеристик | Определяемая величина | Среднегеометрическая частота октавной полосы, Гц | Уровень звука A |
63 | 125 | 250 | 500 | 1000 | 2000 |
Источник (лабораторный) | LWsn,1 | 67,6 | 67,3 | 64,4 | 48,4 | 42,5 | 41,3 | |
Источник (установленный) | LWsn,inst,1 | 61,6 | 61,3 | 58,4 | 42,4 | 36,5 | 35,3 | |
Коэффициент потерь | | -11,5 | -12,5 | -13,5 | -14,5 | -15,5 | -16,5 | |
Звукоизоляция R | R | 42,2 | 41,4 | 49,3 | 57,7 | 63,9 | 71,7 | |
Эффективность излучения | | -1,0 | 0,5 | 0,0 | 0,0 | 0,0 | 0,0 | |
Корректирующий коэффициент | Ds,a | -26,1 | -24,8 | -30,3 | -36,6 | -40,8 | -46,6 | |
Звукоизоляция Rij (побочного шума), EN 12354-1 | R11 | 48,4 | 48,9 | 57,3 | 66,2 | 72,9 | 81,2 | |
R12 | 48,0 | 48,9 | 56,8 | 65,6 | 72,4 | 80,6 | |
Приведенный уровень звукового давления | Ln,s,11 | 35,4 | 33,3 | 27,4 | 8,8 | 0,4 | -3,3 | 22 |
Ln,s,12 | 35,8 | 33,2 | 27,8 | 9,4 | 0,9 | -2,7 | 22 |
Ln,s,13 | 38,6 | 36,3 | 30,6 | 12,2 | 3,7 | 0,0 | 25 |
Таблица I.6b
Приведенный уровень звукового давления в приемном
помещении, обусловленный звукопередачей через стену
Наименование элемента или его характеристик | Определяемая величина | Среднегеометрическая частота октавной полосы, Гц | Уровень звука A |
63 | 125 | 250 | 500 | 1000 | 2000 |
Источник (лабораторный) | LWsn,1 | 54,6 | 55,6 | 56,1 | 38,8 | 31,2 | 32,0 | |
Источник (установленный) | LWsn,inst,1 | 54,6 | 55,6 | 56,1 | 38,8 | 31,2 | 32,0 | |
Коэффициент потерь | | -11,5 | -12,5 | -13,5 | -14,5 | -15,5 | -16,5 | |
Звукоизоляция R | R | 37,9 | 36,6 | 44,2 | 52,2 | 58,2 | 66,2 | |
Эффективность излучения | | -8,0 | -3,0 | 0,0 | 0,0 | 0,0 | 0,0 | |
Корректирующий коэффициент | Ds,a | -17,9 | -19,5 | -28,1 | -34,1 | -38,1 | -44,1 | |
Rij (побочный), EN 12354-1 | R11 | 47,5 | 48,9 | 56,8 | 65,6 | 72,4 | 80,6 | |
R12 | 47,7 | 48,7 | 56,4 | 64,9 | 72,0 | 80,0 | |
Приведенный уровень звукового давления | Ln,s,11 | 21,0 | 22,2 | 23,4 | 3,4 | -7,1 | -8,5 | 16 |
Ln,s,12 | 20,8 | 22,5 | 23,8 | 4,0 | -6,7 | -7,9 | 16 |
Ln,s,13 | 23,9 | 25,4 | 26,6 | 6,7 | -3,9 | -5,2 | 19 |
Таблица I.7
Суммарный приведенный уровень звукового давления
Ln,s,1,
создаваемого ванной в приемном помещении
Приведенный уровень звукового давления | Среднегеометрическая частота октавной полосы, Гц | Уровень звука A |
63 | 125 | 250 | 500 | 1000 | 2000 |
Ln,s,1 | 39 | 36 | 31 | 12 | 4 | 0 | 25 |
Ln,s,2 | 24 | 25 | 27 | 7 | -4 | -5 | 19 |
Ln,s,total | 39 | 37 | 32 | 13 | 4 | 1 | 26 |
Таким образом, приведенный уровень звука A в приемном помещении, обусловленный шумом ванны, равен 26 дБA.
I.3 Санитарно-техническая система
На
рисунке I.4 представлен пример приемного помещения, расположенного по диагонали ниже ванной комнаты с унитазом и смывным бачком, установленным на стене и прикрепленным к стене и полу. Указаны также побочные пути структурной звукопередачи. Помещения имеют следующие характеристики:
- размеры помещения источника в плане (4,52 x 3,40) м, высота 3,0 м, размеры приемного помещения в плане - (4,52 x 4,50) м, высота 2,75 м;
- пол/потолок: армированный бетон толщиной 180 мм,

,
m = 414 кг/м
2;
- разделительная стена и стена в нижнем помещении: гипсовые блоки толщиной 100 мм,

; поверхностная плотность стен
m' = 92 кг/м
2; стены жестко связаны с окружающими конструкциями без упругих материалов;
- другие боковые стены: силикатные блоки толщиной 240 мм,

;
m' = 490 кг/м
2 с облицовкой.
Влиянием стен, не участвующих в звукопередаче, можно пренебречь.
Примечание - В помещении источника стена и пол возбуждаются смывным бачком через монтажные опоры.
Рисунок I.4 - Пример звукопередачи шума
санитарно-технической системы
Указанные данные об источнике получены по результатам измерений с методом приемных плит по
[39]. Использованный при расчетах спектр возбуждения является максимальным спектром мощности шума. Спектр получен путем записи всего процесса смыва (55 секунд) с определением на коротких интервалах времени эквивалентного уровня шума
Leq и максимальной звуковой мощности на этих интервалах для каждой 1/3-октавной полосы (наихудший случай для всех частотных полос и всех временных интервалов). Измеренные уровни мощности и связанные с ними характеристики источника шума представлены в таблице I.8.
Таблица I.8
Уровни звуковой мощности в октавных полосах
и корректированные по A, передаваемой от источника
через конструкции (измерены по
[39], характеристический
уровень - по ЕН 12354-5)
Наименование элемента или его характеристик | Определяемая величина | Примечание или источник | Среднегеометрическая частота октавной полосы, Гц | Корректированное по A значение |
63 | 125 | 250 | 500 | 1000 | 2000 |
LW,s; wall | измеренный | Yplate = 5,34·10-6 м/Н·с | 61,7 | 59,8 | 47,2 | 44,9 | 38,8 | 27,2 | 48 |
LW,installed | + 10 lgYwall/Yplate | Ywall = 24,1·10-6 м/Н·с | 68,2 | 66,3 | 53,7 | 51,5 | 45,4 | 33,7 | 54 |
LW,sc | + 10 lgYsource/Yplate | Ysource = 1,0·10-3 м/Н·с | 84,4 | 82,5 | 69,9 | 67,6 | 61,6 | 49,9 | 70 |
LW,s; floor | измеренный | Yplate = 5,34·10-6 м/Н·с | 57,4 | 56,2 | 44,0 | 42,4 | 34,9 | 28,9 | 44 |
LW,installed | + 10 lgYwall/Yplate | Yfloor = 1,65·10-6 м/Н·с | 52,3 | 51,1 | 38,9 | 37,3 | 29,8 | 23,8 | 39 |
LW,sc | + 10 lgYsource/Yplate | Ysource = 1,0·10-3 м/Н·с | 80,1 | 78,9 | 66,7 | 65,1 | 57,6 | 51,6 | 67 |
Суммарные уровни звукового давления рассчитываются отдельно для двух побочных путей звукопередачи для каждых из возбужденных стен и пола и представлены в таблице I.9.
Таблица I.9
Суммарные уровни звукового давления при звукопередаче
Окончание таблицы I.9
Таким образом, приведенный уровень звука A в приемном помещении, вызванный унитазом и смывным бачком, равен 29 дБA.
(справочное)
СВЕДЕНИЯ О СООТВЕТСТВИИ ССЫЛОЧНЫХ МЕЖДУНАРОДНЫХ
СТАНДАРТОВ ССЫЛОЧНЫМ НАЦИОНАЛЬНЫМ СТАНДАРТАМ
РОССИЙСКОЙ ФЕДЕРАЦИИ (И ДЕЙСТВУЮЩИМ В ЭТОМ КАЧЕСТВЕ
МЕЖГОСУДАРСТВЕННЫМ СТАНДАРТАМ)
Таблица ДА.1
Обозначение ссылочного международного стандарта | Степень соответствия | Обозначение и наименование соответствующего национального стандарта |
ЕН 12354-1 | IDT | ГОСТ Р ЕН 12354-1-2012 "Акустика зданий. Методы расчета акустических характеристик зданий по характеристикам их элементов. Часть 1. Звукоизоляция воздушного шума между помещениями" |
ЕН 12354-2 | IDT | ГОСТ Р ЕН 12354-2-2012 "Акустика зданий. Методы расчета акустических характеристик зданий по характеристикам их элементов. Часть 2. Звукоизоляция ударного шума между помещениями" |
ЕН 13141-1 | - | |
ЕН 13141-2 | - | |
ЕН ИСО 3740:2000 | MOD | ГОСТ 31252-2004 "Шум машин. Руководство по выбору метода определения уровней звуковой мощности" |
ЕН ИСО 3741:1999 | MOD | ГОСТ 31274-2004 "Шум машин. Определение уровней звуковой мощности по звуковому давлению. Точные методы для реверберационных камер" |
ЕН ИСО 3743 (все части) | MOD | ГОСТ Р 51400-99 "Шум машин. Определение уровней звуковой мощности источников шума по звуковому давлению. Технические методы для малых переносных источников шума в реверберационных полях в помещениях с жесткими стенами и в специальных реверберационных камерах" |
ЕН ИСО 3744 | MOD | ГОСТ Р 51401-99 "Шум машин. Определение уровней звуковой мощности источников шума по звуковому давлению. Технический метод в существенно свободном звуковом поле над звукоотражающей плоскостью" |
| | ИС МЕГАНОРМ: примечание. ГОСТ 31273-2003 утратил силу с 1 ноября 2015 года в связи с введением в действие ГОСТ ISO 3745-2014 (Приказ Росстандарта от 29.12.2014 N 2147-ст). | |
|
ЕН ИСО 3745 | MOD | ГОСТ 31273-2003 "Шум машин. Определение уровней звуковой мощности источников шума по звуковому давлению. Точные методы для заглушенных камер" |
ЕН ИСО 3746 | MOD | ГОСТ Р 51402-99 "Шум машин. Определение уровней звуковой мощности источников шума по звуковому давлению. Ориентировочный метод с использованием измерительной поверхности над звукоотражающей плоскостью" |
| | ИС МЕГАНОРМ: примечание. ГОСТ 27243-2005 утратил силу на территории Российской Федерации с 1 декабря 2014 года в связи с введением в действие ГОСТ Р ИСО 3747-2013 (Приказ Росстандарта от 05.12.2013 N 2178-ст). | |
|
ЕН ИСО 3747 | MOD | ГОСТ 27243-2005 "Шум машин. Определение уровней звуковой мощности источников шума по звуковому давлению. Метод сравнения на месте установки" |
ЕН ИСО 3822-1 | - | |
ЕН ИСО 3822-2 | - | |
ЕН ИСО 3822-3 | - | |
ЕН ИСО 3822-4 | - | |
ЕН ИСО 7235 | MOD | ГОСТ 28100-2007 "Акустика. Измерения лабораторные для заглушающих устройств, устанавливаемых в воздуховодах, и воздухораспределительного оборудования. Вносимые потери, потоковый шум и падение полного давления" |
ЕН ИСО 10846-1 | IDT | ГОСТ Р ИСО 10846-1-2010 "Вибрация. Измерения виброакустических передаточных характеристик упругих элементов конструкций в лабораторных условиях. Часть 1. Общие принципы измерений" |
ЕН ИСО 10846-2 | IDT | ГОСТ Р ИСО 10846-2-2010 "Вибрация. Измерения виброакустических передаточных характеристик упругих элементов конструкций в лабораторных условиях. Часть 2. Прямой метод определения динамической жесткости упругих опор для поступательной вибрации" |
ЕН ИСО 10846-3 | MOD | ГОСТ 31368.3-2008 (ИСО 10846-3:2002) "Вибрация. Измерение виброакустических передаточных характеристик упругих элементов конструкций в лабораторных условиях. Часть 3. Косвенный метод определения динамической жесткости упругих опор для поступательной вибрации" |
ЕН ИСО 10846-4 | MOD | ГОСТ 31368.4-2008 (ИСО 10846-4:2003) "Вибрация. Измерение виброакустических передаточных характеристик упругих элементов конструкций в лабораторных условиях. Часть 4. Динамическая жесткость неопорных упругих элементов конструкции для поступательной вибрации" |
ЕН ИСО 11691:1997 | MOD | ГОСТ Р 52799-2007 (ИСО 11691:1995) "Шум. Измерение вносимых потерь канальных глушителей при отсутствии потока. Ориентировочный метод в лабораторных условиях" |
<*> Соответствующий национальный стандарт отсутствует. До его утверждения рекомендуется использовать перевод на русский язык данного международного стандарта. Перевод данного международного стандарта находится в Федеральном информационном фонде технических регламентов и стандартов. Примечание - В настоящей таблице использованы следующие условные обозначения степени соответствия стандартов: - IDT - идентичные стандарты; - MOD - модифицированные стандарты. |
| VDI 2081, Sound production and reduction in ventilation systems (in German: Gerauscherzeugung und Larmminderung in Raumlufttechnischen Anlagen), VDI, 2000 |
| | ИС МЕГАНОРМ: примечание. Текст дан в соответствии с официальным текстом документа. | |
|
| 2003 ASHRAE Handbook - Heating, Ventilating and Air-conditioning Applications, chapter 47, Sound and vibration control, ASHREA, 2003 |
| ARI-standard 885, Procedures for estimating occupied space sound levels in the application of air terminals and air outlets, 1998 |
| EN 12828, Heating systems in building - Design for water-based heating systems |
| C Simmons, Measurement of Noise from Radiator Valves in the laboratory - A Proposal for a New Nordtest Method, SP Report 1996:31 |
| VDI 2566, Part 1: Acoustical design for lifts with a machine room; Part 2: Acoustical design for lifts without a machine room, VDI, 2001/2004 |
| T Alber, M Yankonis, HM Fischer and BM Gibbs, A new method to describe valve noise, CFA/DAGA Strasbourg, 2004 |
| M Spah, HM Fischer and BM Gibbs, Measurement of structure-borne sound power of mechanical installations, CFA/ DAGA Strasbourg, 2004 |
| M Villot, Structure-borne sound from waste water installations in buildings, Proceedings Int. Congress on Sound and Vibration Stockholm, 2003 |
| GS Jagt, van der, Modelling of structure-borne sound transmission in pipe systems to building structures - a Framework, Proceedings Internoise Nice, 2000 |
| PH Heringa, e.a., Structure-borne sound from domestic appliances - Characterisation of emission and transmission, Internoise Aignon, 1988 |
| VDI 2715, Noise reduction at domestic hot water and central heating systems, VDI, 2000 |
| M Villot and C Guigou-Carter, Airborne sound insulation; case of a small airborne sound source close to a wall, ICA Kyoto Japan, 2004, Proceedings |
| JW Verheij, Multi-path sound transfer from resiliently mounted shipboard machinery, PhD Thesis, TNOTPD Delft, 1982 |
| AT Moorhouse, On the characteristic power of structure-borne sound sources, J. of Sound and Vibration 248 (2001), 441 - 459 |
| T Hiramatsu, e.a., Studies on the reference vibration source to be used for the determination of vibromotive force of machinery by the reception plate method, Internoise Avignon, 1988 |
| E Gerretsen, Modelling structure-borne sound from equipment in buildings - current developments in EN 12354-5, Proc. ICA 2004, Kyoto, 2683 - 2686 |
| K-J, Buhlert, J Feldmann, A measuring procedure for determining structure-borne sound and its transmission, Acustica 42 (1979), 108 - 113 |
| VDI 3733, Noise at pipes, VDI, 1996 |
| WB Marx Wohle, Structural sound transmission in buildings - Comparison of experimentally observed values and theoretically evaluated values using the SEA method (in German), Acustica 72 (1990), 258 - 268 |
| Robert JM Craik, Sound transmission through Buildings using Statistical Energy Analysis, Gower Publishing Ltd, Hamshire, Vermont, 1996 |
| LM Cremer, EE Heckl, Ungar, Structure-borne sound, Springer-Verlag, Berlin, 1988 |
| E Gerretsen, Calculation of airborne and impact sound insulation between dwellings, Applied Acoustics 19 (1986), 245 - 264 |
| BAT. Petersson, Structural acoustic power transmission by point moment and force excitation, part II: plate-like structures, J. of Sound&Vibration 160 (1993), 67 - 91 |
| D Lubman, Precision of reverberant sound power measurements, JASA 56 (1974), 523 - 533 |
| C Simmons, Measurements of sound pressure levels at low frequencies in rooms - Comparison of available methods and standards with respect to microphone positions, Acta Acustica 85 (1999), 88 - 100 |
| M Vorlander, Revised relation between the sound power and the average sound pressure level in rooms and consequences for acoustic measurements, Acustica 81 (1995), 332 - 343 |
| RV Waterhouse, Interference patterns in reverberant sound fields, JASA 27 (1955), 247 - 258 |
| EN 1151-2, Pumps - Rotodynamic pumps - Circulation pumps having a rated power input not exceeding 200 W for heating installations and domestic hot water installations - Part 2: Noise test code (vibro-acoustics) for measuring structure- and fluid-borne noise |
| EN 12354-6:2003, Building acoustics - Estimation of acoustic performance of buildings from the performance of elements - Part 6: Sound absorption in enclosed spaces |
[31] | EN 13141-3, Ventilation for buildings - Performance testing of components/products for residential ventilation - Part 3: Range hoods for residential use |
[32] | EN 13141-5, Ventilation for buildings - Performance testing of components/products for residential ventilation - Part 5: Cowls and roof outlet terminal devices |
[33] | EN 13141-6, Ventilation for buildings - Performance testing of components/products for residential ventilation - Part 6: Exhaust ventilation system packages used in a single dwelling |
[34] | EN 13141-7, Ventilation for buildings - Performance testing of components/products for residential ventilation - Part 7: Performance testing of a mechanical supply and exhaust ventilation units (including heat recovery) for mechanical ventilation systems intended for single family dwellings |
[35] | ISO 5135, Acoustics - Determination of sound power levels of noise from air-terminal devices, air-terminal units, dampers and valves by measurements in a reverberation room |
| ISO 9611, Acoustics - Characterization of sources of structure-borne sound with respect to sound radiation from connected structures - Measurement of velocity at the contact points of machinery when resiliently mounted |
| EN ISO 11546-1, Acoustics - Determination of sound insulation performances of enclosures - Part 1: Measurements under laboratory conditions (for declaration purposes) (ISO 11546-1:1995) |
| EN 14366:2004, Laboratory measurement of noise from waste water installations |
| EN 15657-1:2009, Acoustic properties of building elements and of buildings - Laboratory measurement of airborne and structure-borne sound from service equipment - Part 1: Simplified cases where the equipment mobilities are much higher than the receiver mobilities, taking wirlpool baths as an example |
| EN 13141-4, Ventilation for buildings - Performance testing of components/products for residential ventilation - Part 4: Fans used in residential ventilation systems |
| EN ISO 16032, Acoustics - Measurement of sound pressure level from service equipment in buildings - Engineering method (ISO 16032:2004) |
| EN ISO 5136, Acoustics - Determination of sound power radiated into a duct by fans and other air-moving devices - In-duct method (ISO 5136:2003) |