Главная // Актуальные документы // ГОСТ Р (Государственный стандарт)СПРАВКА
Источник публикации
М.: Стандартинформ, 2014
Примечание к документу
Документ
введен в действие с 1 декабря 2014 года.
Название документа
"ГОСТ Р ИСО 3747-2013. Национальный стандарт Российской Федерации. Акустика. Определение уровней звуковой мощности и звуковой энергии источников шума по звуковому давлению. Технический/ориентировочный метод в реверберационном звуковом поле на месте установки"
(утв. и введен в действие Приказом Росстандарта от 05.12.2013 N 2178-ст)
"ГОСТ Р ИСО 3747-2013. Национальный стандарт Российской Федерации. Акустика. Определение уровней звуковой мощности и звуковой энергии источников шума по звуковому давлению. Технический/ориентировочный метод в реверберационном звуковом поле на месте установки"
(утв. и введен в действие Приказом Росстандарта от 05.12.2013 N 2178-ст)
Утвержден и введен в действие
по техническому регулированию
и метрологии
от 5 декабря 2013 г. N 2178-ст
НАЦИОНАЛЬНЫЙ СТАНДАРТ РОССИЙСКОЙ ФЕДЕРАЦИИ
АКУСТИКА
ОПРЕДЕЛЕНИЕ УРОВНЕЙ ЗВУКОВОЙ МОЩНОСТИ И ЗВУКОВОЙ ЭНЕРГИИ
ИСТОЧНИКОВ ШУМА ПО ЗВУКОВОМУ ДАВЛЕНИЮ
ТЕХНИЧЕСКИЙ/ОРИЕНТИРОВОЧНЫЙ МЕТОД В РЕВЕРБЕРАЦИОННОМ
ЗВУКОВОМ ПОЛЕ НА МЕСТЕ УСТАНОВКИ
Acoustics. Determination of sound power levels
and sound energy levels of noise sources using sound
pressure. Engineering/survey methods for use in situ
in a reverberant environment
ISO 3747:2010
Acoustics - Determination of sound power levels
and sound energy levels of noise sources using sound
pressure - Engineering/survey methods for use in situ
in a reverberant environment
(IDT)
ГОСТ Р ИСО 3747-2013
Дата введения
1 декабря 2014 года
1. Подготовлен Автономной некоммерческой организацией "Научно-исследовательский центр контроля и диагностики технических систем" (АНО "НИЦ КД") на основе собственного аутентичного перевода стандарта, указанного в
пункте 4.
2. Внесен Техническим комитетом по стандартизации ТК 358 "Акустика".
3. Утвержден и введен в действие
Приказом Федерального агентства по техническому регулированию и метрологии от 05 декабря 2013 г. N 2178-ст.
4. Настоящий стандарт является идентичным по отношению к международному стандарту ИСО 3747:2010 "Акустика. Определение уровней звуковой мощности и звуковой энергии источников шума по звуковому давлению. Технический/ориентировочный метод в реверберационном звуковом поле на месте установки" (ISO 3747:2010, Acoustics - Determination of sound power levels and sound energy levels of noise sources using sound pressure - Engineering/survey methods for use in situ in a reverberant environment).
При применении настоящего стандарта рекомендуется использовать вместо ссылочных международных стандартов соответствующие им национальные и действующие в этом качестве межгосударственные стандарты, сведения о которых приведены в дополнительном
Приложении ДА.
5. Введен впервые.
Правила применения настоящего стандарта установлены в ГОСТ Р 1.0-2012
(раздел 8). Информация об изменениях к настоящему стандарту публикуется в ежегодном (по состоянию на 1 января текущего года) информационном указателе "Национальные стандарты", а официальный текст изменений и поправок - в ежемесячном информационном указателе "Национальные стандарты". В случае пересмотра (замены) или отмены настоящего стандарта соответствующее уведомление будет опубликовано в ближайшем выпуске информационного указателя "Национальные стандарты". Соответствующая информация, уведомление и тексты размещаются также в информационной системе общего пользования - на официальном сайте Федерального агентства по техническому регулированию и метрологии в сети Интернет (gost.ru).
Настоящий стандарт входит в серию стандартов (см.
[2] -
[7]), устанавливающих методы определения уровней звуковой мощности и звуковой энергии источников шума, таких как машины, оборудование и их узлы. Выбор конкретного метода зависит от целей испытаний по определению уровня звуковой мощности (звуковой энергии) и от имеющегося в распоряжении испытательного оборудования. Общее руководство по выбору метода испытаний установлено в
[1]. Стандарты
[2] -
[7] и настоящий стандарт дают только общие рекомендации по установке машин и условиям их работы при испытаниях. Подробные требования об этом должны быть установлены в испытательных кодах по шуму для машин разных видов.
Метод, установленный настоящим стандартом, основан на сравнении уровней звукового давления в октавных полосах частот, создаваемого испытуемым источником шума и образцовым источником шума. Результаты измерений могут быть использованы для расчета корректированных по A уровней звуковой мощности или звуковой энергии. Метод предназначен для использования в условиях применения испытуемого источника шума. Он может быть использован для большей части стационарно устанавливаемого оборудования, которое в силу особенностей своей конструкции и применения не может быть перемещено для испытаний в других условиях.
Метод позволяет получать результаты измерений с точностью, соответствующей техническому или ориентировочному методу по классификации ИСО 12001 в зависимости от того, в какой степени соблюдены требования к испытательному пространству. Если определение уровня звуковой мощности или звуковой энергии источника шума требуется с более высокой точностью, то следует применять точные методы измерений, установленные в
[2],
[5] или
[17] -
[19]. К другим стандартам серий
[2] -
[7] или
[17] -
[19] следует обращаться при невозможности обеспечения условий измерений в соответствии с требованиями настоящего стандарта.
1.1. Общие положения
Настоящий стандарт устанавливает метод измерения уровней звуковой мощности источников шума (машин и оборудования) или, в случае если шум источника имеет импульсный характер или форму переходного процесса, то уровней звуковой энергии в октавных полосах частот по результатам сравнительных измерений уровней звукового давления, создаваемого испытуемым источником шума, установленным на месте его применения, и образцовым источником шума в этом же месте. Уровни звуковой мощности или звуковой энергии с коррекцией по частотной характеристике A (далее - корректированные по A) рассчитывают по результатам измерений в октавных полосах частот.
1.2. Вид шума и источники шума
Настоящий стандарт распространяется на все виды шума (постоянный, непостоянный, флуктуирующий, единичные импульсы и др.) по классификации ИСО 12001. Установленный метод измерений применим преимущественно к источникам широкополосного шума. Однако его можно использовать и в случае источников, излучающих шум в узких полосах частот или в виде отдельных тонов, хотя при этом возможно ухудшение воспроизводимости результатов измерений.
Испытуемые источники шума могут представлять собой устройства, машины и их узлы, в особенности такие, которые не предполагается перемещать из места их применения.
1.3. Испытательное пространство
Испытательное пространство, соответствующее требованиям настоящего стандарта, представляет собой помещение, в котором уровни звукового давления в точках установки микрофонов определяются преимущественно отражениями звуковых волн от внутренних поверхностей помещения (см.
4.1). Если измерения проводят с точностью технического метода по ИСО 12001, то фоновый шум в испытательном пространстве должен быть мал по сравнению с создаваемым испытуемым источником шума или образцовым источником шума (см.
4.2).
1.4. Неопределенность измерения
В настоящем стандарте приведены сведения о неопределенности измерений уровней звуковой мощности (звуковой энергии) в октавных полосах частот, а также рассчитанных по результатам этих измерений уровней звуковой мощности (звуковой энергии) в широкой полосе частот с применением коррекции по частотной характеристике A. Неопределенность измерения соответствует той, что установлена ИСО 12001 для технического или ориентировочного метода измерений, в зависимости от того, в какой степени соблюдены требования к испытательному пространству.
В настоящем стандарте использованы нормативные ссылки на следующие стандарты:
ИСО 5725 (все части) Точность (правильность и прецизионность) методов и результатов измерений [ISO 5725, Accuracy (trueness and precision) of measurement methods and results]
ИСО 6926 Акустика. Требования к рабочим характеристикам и калибровке образцовых источников шума, используемых для определения уровней звуковой мощности (ISO 6926, Acoustics - Requirements for the performance and calibration of reference sound sources for the determination of sound power levels)
ИСО 12001:1996 Акустика. Шум, излучаемый машинами и оборудованием. Правила составления испытательных кодов по шуму (ISO 12001:1996, Acoustics - Noise emitted by machinery and equipment - Rules for the drafting and presentation of a noise test code)
Руководство ИСО/МЭК 98-3 Неопределенность измерения. Часть 3. Руководство по выражению неопределенности измерения (GUM) [ISO/IEC Guide 98-3, Uncertainty in measurement - Part 3: Guide to the expression of uncertainty in measurement (GUM:1995)]
МЭК 60942:2003 Электроакустика. Калибраторы акустические (IEC 60942:2003, Electroacoustics - Sound calibrators)
МЭК 61260:1995 Электроакустика. Фильтры полосовые октавные и на доли октавы (IEC 61260:1995, Electroacoustics - Octave-band and fractional-octave-band filters)
МЭК 61672-1:2002 Электроакустика, Шумомеры. Часть 1. Технические требования (IEC 61672-1:2002, Electroacoustics - Sound level meters - Part 1: Specifications)
Примечание. При пользовании настоящим стандартом целесообразно проверить действие ссылочных стандартов в информационной системе общего пользования - на официальном сайте Федерального агентства по техническому регулированию и метрологии в сети Интернет или по ежегодному информационному указателю "Национальные стандарты", который опубликован по состоянию на 1 января текущего года, и по выпускам ежемесячного информационного указателя "Национальные стандарты" за текущий год. Если заменен ссылочный стандарт, на который дана недатированная ссылка, то рекомендуется использовать действующую версию этого стандарта с учетом всех внесенных в данную версию изменений. Если заменен ссылочный стандарт, на который дана датированная ссылка, то рекомендуется использовать версию этого стандарта с указанным выше годом утверждения (принятия). Если после утверждения настоящего стандарта в ссылочный стандарт, на который дана датированная ссылка, внесено изменение, затрагивающее положение, на которое дана ссылка, то это положение рекомендуется применять без учета данного изменения. Если ссылочный стандарт отменен без замены, то положение, в котором дана ссылка на него, рекомендуется применять в части, не затрагивающей эту ссылку.
В настоящем стандарте применены следующие термины с соответствующими определениями.
3.1. звуковое давление (sound pressure) p: Разность между мгновенным и статическим давлениями воздушной среды.
Примечание 1. Определение термина модифицировано по отношению к [
22, статья 8 - 9.2].
Примечание 2. Звуковое давление выражают в паскалях (Па).
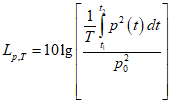
3.2. уровень звукового давления (sound pressure level)

: Десятикратный десятичный логарифм отношения квадрата звукового давления p к квадрату опорного звукового давления

, выраженный в децибелах (дБ) по формуле

. (1)
Примечание 1. В случае применения коррекций по частотным или временным характеристикам, а также в случае измерений в заданной полосе частот это отражают применением соответствующего подстрочного индекса, например,

- уровень звука.
Примечание 2. Определение содержательно совпадает с [
19, статья 8 - 22].
3.3. эквивалентный уровень звукового давления (time-averaged sound pressure level)

: Десятикратный десятичный логарифм отношения усредненного на заданном временном интервале T (с началом

и окончанием

) квадрата звукового давления p к квадрату опорного звукового давления

, выраженный в децибелах (дБ) по формуле

. (2)
Примечание 1. Обычно подстрочный индекс "T" опускают, поскольку из названия термина следует, что величину определяют на заданном временном интервале.
Примечание 2. В большинстве применений интегрирование на временном интервале T сопровождается использованием коррекции по частотной характеристике A. Соответствующую величину обозначают

или сокращенно

.
Примечание 3. Определение термина модифицировано по отношению к
[21] (статья 2.3).
3.4. уровень экспозиции однократного шумового процесса (single event time-integrated sound pressure level)

: Десятикратный десятичный логарифм отношения интегрированного на заданном временном интервале T (с началом

и окончанием

) квадрата звукового давления p отдельного шумового события (звукового импульса или переходного процесса) к опорному значению дозы шума

, выраженный в децибелах (дБ) по формуле

. (3)
Примечание 1. Данная величина может быть выражена через эквивалентный уровень звукового давления по формуле

, где

.
Примечание 2. В случае описания звуковой иммиссии данную величину обычно называют "уровень звукового воздействия" (см.
[18]).
3.5. продолжительность измерений (measurement time interval) T: Период, включающий в себя часть операционного цикла или несколько операционных циклов источника шума, в течение которого проводят измерения эквивалентного уровня звукового давления.
Примечание. T выражают в секундах (с).
3.6. метод сравнения (comparison method): Метод измерения уровней звуковой мощности или звуковой энергии с использованием сравнения результатов измерений уровней звукового давления, создаваемого испытуемым источником шума и образцовым источником шума с известным уровнем звуковой мощности, которые получены при работе обоих источников в одном и том же испытательном пространстве.
3.7. реверберационное (звуковое) поле (reverberant sound field): Звуковое поле в той части испытательного помещения, в которой вклад в общее поле звуковой волны, пришедшей непосредственно от испытуемого источника, пренебрежимо мал.
3.8. образцовый источник шума (reference sound source): Источник шума, отвечающий установленным требованиям.
Примечание. Требования к образцовому источнику шума, применяемому в соответствии с настоящим стандартом, установлены в ИСО 6926:1999 (раздел 5).
3.9. калибровочное положение (calibration position): Точно заданное относительно звукоотражающих поверхностей положение образцового источника шума, при котором проводят его калибровку.
3.10. показатель реверберационности поля (excess of sound pressure level at a given distance)

: Разность (в децибелах) между уровнями звукового давления, создаваемого источником шума на заданном расстоянии от него в условиях заданного испытательного пространства и в условиях свободного звукового поля.
Примечание. Данный термин и его определение отличаются от приведенных в [
20, терминологическая статья 3.6], где показатель реверберационного поля определяется как средняя разность в заданном диапазоне расстояний от источника шума.
3.11. диапазон частот измерений (frequency range of interest): В общем случае диапазон частот, включающий в себя октавные полосы со среднегеометрическими частотами (номинальными) от 125 до 8000 Гц.
Примечание. В отдельных случаях диапазон частот измерений может быть расширен или сокращен, если при этом условия испытаний, образцовый источник шума и применяемые средства измерений будут удовлетворять требованиям настоящего стандарта. Любое расширение или сокращение диапазона частот измерений отражают в протоколе испытаний. Результаты измерений корректированных по A уровней звуковой мощности (звукового давления) не являются достоверными, если измеряемая величина в значительной степени определяется шумом в полосах частот, расположенных ниже и/или выше диапазона частот измерений.
3.12. огибающий параллелепипед (reference box): Воображаемая поверхность в виде прямоугольного параллелепипеда наименьшего объема, опирающегося одной гранью на пол испытательного помещения и заключающего в себе все элементы испытуемого источника шума, излучение которых дает существенный вклад в общий шум источника, вместе с испытательным столом (стендом), на который источник шума установлен (при его наличии).
3.13. измерительное расстояние (measurement distance)

: Расстояние от огибающего параллелепипеда до точки измерений (установки микрофона).
Примечание.

выражают в метрах (м).
3.14. фоновый шум (background noise): Шум от всех источников, кроме испытуемого.
Примечание. Фоновый шум может включать в себя воздушный шум, шум излучения вибрирующих поверхностей, электрический шум средств измерений.
3.15. коррекция на фоновый шум (background noise correction)

: Поправка к полученному значению уровня звукового давления в октавной полосе частот в данной точке измерений, вносимая для учета влияния фонового шума.
Примечание 1.

выражают в децибелах (дБ).
Примечание 2. Коррекция на фоновый шум зависит от частоты. При измерениях в полосе частот коррекцию на фоновый шум обозначают

, где f - среднегеометрическая частота полосы.
3.16. звуковая мощность (через поверхность) (sound power) P: Интеграл по поверхности от произведения звукового давления p и составляющей скорости колебаний точки поверхности, нормальной к этой поверхности,

.
Примечание 1. P выражают в ваттах (Вт).
Примечание 2. Данная величина характеризует скорость излучения звуковой энергии источником в воздушную среду.
3.17. уровень звуковой мощности (sound power level)

: Десятикратный десятичный логарифм отношения звуковой мощности P к опорной звуковой мощности

, выраженный в децибелах по формуле

. (4)
Примечание 1. При измерениях с применением коррекции по одной из частотных характеристик, установленных МЭК 61672-1, или в заданной полосе частот в обозначение уровня звуковой мощности добавляют соответствующий подстрочный индекс, например,

обозначает корректированный по A уровень звуковой мощности.
Примечание 2. Определение содержательно совпадает с
[22] (статья 8 - 23).
3.18. звуковая энергия (sound power) J: Интеграл от звуковой мощности P на заданном временном интервале T (с началом

и окончанием

)

. (5)
Примечание 1. J выражают в джоулях (Дж).
Примечание 2. Данную величину обычно используют для описания нестационарных процессов и перемежающихся звуковых событий.
3.19. уровень звуковой энергии (sound energy level)

: Десятикратный десятичный логарифм отношения звуковой энергии J к опорной звуковой энергии

, выраженный в децибелах,

. (6)
Примечание. При измерениях с применением коррекции по одной из частотных характеристик, установленных МЭК 61672-1, или в заданной полосе частот в обозначение уровня звуковой энергии добавляют соответствующий подстрочный индекс, например,

обозначает корректированный по A уровень звуковой энергии.
4. Испытательное пространство
4.1. Требования к акустическим свойствам испытательного пространства
Испытательным пространством является место, где испытуемый источник шума построен или на котором находится в соответствии с нормальными условиями его применения. Метод измерения, установленный настоящим стандартом, требует, чтобы звуковое поле в испытательном пространстве было существенно реверберационным. Это означает, что направленность излучения испытуемого источника не должна оказывать существенного влияния на результаты измерений, выполненных в соответствии с
7.5 и
7.6. Требования к акустическим свойствам испытательного пространства считают выполненными, если показатель реверберационности поля

, определяемый в соответствии с
Приложением A, равен или превышает 7 дБ. Значение данного показателя учитывают при расчете неопределенности измерения (см.
раздел 9).
4.2. Требования к уровню фонового шума
Требования настоящего стандарта к фоновому шуму считают выполненными, если в каждой точке измерений уровни звукового давления фонового шума в октавных полосах частот ниже соответствующего уровня звукового давления испытуемого источника шума (образцового источника шума), измеренного при наличии фонового шума, на величину

, не менее 6 дБ (предпочтительно на 15 дБ). При измерениях в полосах частот указанное требование должно соблюдаться для каждой полосы в пределах диапазона частот измерений.
Примечание. При необходимости провести измерения в условиях, где

, применяют
[7],
[17] или
[18].
5.1. Общие положения
Измерительная система, включая микрофоны и соединительные кабели, должна соответствовать требованиям к средствам измерений класса 1 по МЭК 61672-1, а электронные фильтры - класса 1 по МЭК 61260. Образцовый источник шума должен удовлетворять требованиям ИСО 6926.
До и после каждой серии измерений проверяют калибровку каждой измерительной цепи на одной или нескольких частотах в пределах диапазона частот измерений с использованием акустического калибратора, удовлетворяющего требованиям МЭК 60942:2003, без выполнения регулировок измерительной цепи. Разность показаний до и после проведения измерений не должна превышать 0,5 дБ. Если данное требование не соблюдено, то результаты измерений считают недостоверными.
Для каждого средства измерений значение интервала между калибровками указывается в технической документации изготовителя.
6. Расположение, установка и работа
испытуемого источника шума
6.1. Общие положения
Поскольку в соответствии с настоящим стандартом испытания проводят на месте установки испытуемого источника шума, расположение и установка источника шума считаются известными и изменены быть не могут. Вместе с тем звуковая мощность или звуковая энергия, излучаемая источником, может зависеть от того, каким образом и в каком месте (например, относительно стен помещения и других отражающих поверхностей) источник установлен.
Часто малошумные источники шума малых размеров в низкочастотной области могут при неудачном способе крепления передавать значительную низкочастотную вибрацию в опорную конструкцию, обладающую хорошей акустической излучательной способностью в области низких частот. В этом случае рекомендуется использовать виброизолирующие прокладки между испытуемым источником и опорной конструкцией. При этом опорная конструкция должна быть жесткой (т.е. иметь значительный входной механический импеданс), чтобы предотвратить возбуждение в ней чрезмерных колебаний, являющихся причиной ее звукового излучения. Виброизолирующие прокладки не применяют, если типовые способы установки источника шума не предусматривают их использование.
На шумовое излучение испытуемого источника могут также оказывать влияние условия сопряжения механизмов (например, привода и машины). Для исключения этого влияния может быть применена гибкая муфта. Применение гибкой муфты аналогично применению виброизолирующих прокладок.
6.2. Вспомогательное оборудование
По возможности вспомогательное оборудование (кабели, трубопроводы, воздуховоды и т.п.), соединенное с испытуемым источником и необходимое для его работы, но не составляющее его неотъемлемую часть, следует размещать за пределами испытательного пространства. Если это трудновыполнимо, то принимают меры, чтобы максимально снизить шум, излучаемый в испытательное пространство этим оборудованием. При невозможности удалить вспомогательное оборудование или существенно снизить его шум вспомогательное оборудование считают составной частью испытуемого источника и с его учетом определяют размеры огибающего параллелепипеда (см.
7.2).
6.3. Работа источника шума во время испытаний
На излучаемую источником шума звуковую мощность или звуковую энергию могут влиять приложенная нагрузка, рабочая скорость и режим работы. По возможности источник испытывают в условиях, когда его шум максимален при его типичном применении и, с другой стороны, обеспечивающих воспроизводимость результатов измерений. При наличии испытательного кода по шуму руководствуются установленными в нем требованиями к условиям работы источника, а при его отсутствии испытания проводят в одном или нескольких из следующих режимов:
a) в заданном режиме работы при заданной нагрузке;
b) при максимальной нагрузке, если она отличается от указанной в перечислении a);
c) на холостом ходу;
d) на максимальной рабочей скорости в заданном режиме;
e) в типовом режиме работы, когда шум источника максимален;
f) в заданном режиме работы с моделируемой нагрузкой;
g) с воспроизведением типового рабочего цикла.
До проведения измерений уровня звуковой мощности или звуковой энергии, источник шума должен быть стабилизирован в заданном режиме, включая температурную стабилизацию источника питания и системы привода. Нагрузку, скорость и другие эксплуатационные характеристики в процессе испытаний либо поддерживают постоянными, либо циклически изменяют установленным образом.
Если излучение источника зависит от других факторов, таких как обрабатываемый материал или применяемый вставной инструмент, то их выбирают таким образом, чтобы они соответствовали, насколько это возможно, типичным условиям применения источника и при этом обеспечивали наименьший разброс результатов измерений. Если испытания проводят с моделированием нагрузки, то ее выбирают так, чтобы шум источника был представителен с точки зрения нормальных условий применения источника.
7.1. Общие положения
Для определения как уровня звуковой мощности источника, излучающего стационарный шум, так и уровня звуковой энергии источника однократных шумовых процессов проводят две серии измерений уровней звукового давления. Первую серию - при работающем испытуемом источнике шума, вторую - при работающем образцовом источнике. Иногда (см.
7.3.1) измерения шума образцового источника шума повторяют несколько раз для разных его положений. При наличии испытательного кода по шуму необходимо следовать установленным в нем процедурам, а при его отсутствии - требованиям настоящего раздела.
7.2. Предварительное обследование испытуемого источника шума
В ходе предварительного обследования работающего испытуемого источника шума определяют, можно ли выделить элемент источника, излучение которого является доминирующим в общем шуме. Если такой элемент обнаружен, то его геометрический центр принимают за акустический центр испытуемого источника (см.
7.3.2) и с учетом этого строят огибающий параллелепипед таким образом, чтобы тот охватывал указанный элемент и при этом нижняя грань параллелепипеда лежала в плоскости пола, на котором испытуемый источник установлен. Если такой элемент не обнаружен, то выявляют все части испытуемого источника, которые очевидным образом не вносят вклад в излучение, и исключают эти части из дальнейшего рассмотрения. После этого определяют геометрический центр оставшихся (излучающих) частей, принимают его за акустический центр испытуемого источника и соответствующим образом строят огибающий параллелепипед.
Кроме того, выполняют предварительные измерения с целью определить, не является ли излучение испытуемого источника направленным, что могло бы воспрепятствовать применению настоящего стандарта. Направленность источника оценивают по измерениям уровней звукового давления в плоскостях, параллельных боковым граням огибающего параллелепипеда и отстоящих от них на 1 м. Измерения проводят обычно на высоте 1,5 м над полом с шагом не более 2 м. Если источник излучает преимущественно вверх, то микрофон устанавливают на такой высоте, чтобы обеспечить прямую видимость акустического центра источника. В каждой точке измерений определяют уровень звука. Если разброс результатов измерений в разных точках не превышает +/- 2 дБ, то излучение испытуемого источника считают ненаправленным. В противном случае излучение считают направленным. Если разброс результатов измерений превышает +/- 7 дБ, то направленность излучения испытуемого источника является чрезмерно большой для технического метода измерений. В этом случае следует указывать, что измерения проведены ориентировочным методом согласно классификации ИСО 12001 (см.
раздел 9).
7.3. Расположение образцового источника шума
В большинстве измерительных задач достаточно устанавливать образцовый источник шума в одном положении. Несколько мест расположения образцового источника шума используют в случае испытуемого источника больших размеров или когда на испытуемом источнике шум излучают два или более элементов, расположенных далеко друг от друга (см.
7.3.3).
7.3.2. Установка образцового источника шума в одном положении
Образцовый источник шума устанавливают как можно ближе к акустическому центру испытуемого источника. Если излучение последнего является направленным, то рекомендуется устанавливать образцовый источник шума так, чтобы его излучение имитировало излучение (диаграмму направленности) испытуемого источника. Если это невозможно или нецелесообразно из практических соображений, то образцовый источник шума устанавливают сверху испытуемого источника. Если и такое расположение невозможно, то образцовый источник шума устанавливают рядом с испытуемым источником в той точке и на такой высоте, чтобы обеспечить наилучшую имитацию излучения (диаграммы направленности) испытуемого источника. При этом образцовый источник шума должен быть расположен не ближе 0,5 м от поверхности огибающего параллелепипеда. В случае если излучение испытуемого источника шума является ненаправленным, то образцовый источник шума должен быть установлен так, чтобы излучать одинаково во всех направлениях.
Примечание 1. Чем более реверберационным является звуковое поле, создаваемое испытуемым источником шума, т.е. чем больше значение

, тем менее критичным является выбор мест расположения образцового источника шума. Однако если положение, выбранное для установки образцового источника шума, не будет совпадать с калибровочным, то это может привести к ухудшению точности измерений уровня звуковой мощности или звуковой энергии (см.
раздел 9).
Примечание 2. Любая звукоотражающая поверхность, находящаяся на расстоянии менее половины длины волны

от образцового источника шума, может увеличить результат измерений его звуковой мощности, что приведет, в свою очередь, к занижению оценки уровня звуковой мощности испытуемого источника, причем смещение может достигать 3 дБ. И, наоборот, если образцовый источник шума установлен на расстоянии менее 0,5 м от границы (границ) звукоотражающей плоскости пола, то это может привести к занижению оценки его уровня звуковой мощности на частотах свыше 400 Гц и, соответственно, к завышению оценки уровня звуковой мощности испытуемого источника вплоть до 3 дБ.
Примечание 3. Дополнительные рекомендации по выбору места расположения образцового источника шума приведены в
Приложении B.
7.3.3. Установка образцового источника шума в нескольких положениях
Число местоположений, которые необходимо использовать для установки образцового источника шума, зависит от отношения

, где a - наибольший размер огибающего параллелепипеда;

- измерительное расстояние (см.
7.4.1), и определяется следующим образом:
a) если

и испытуемый источник ненаправленный, то образцовый источник шума устанавливают по боковым сторонам испытуемого источника с шагом

;
b) если

и для испытуемого источника ясно определены области повышенного излучения, то каждой такой области будет соответствовать одно место расположения образцового источника шума;
c) если

, испытуемый источник ненаправленный и при этом невозможно установить образцовый источник шума сверху испытуемого источника, то используют четыре местоположения образцового источника шума - по одному рядом с каждой боковой гранью огибающего параллелепипеда.
7.4. Расположение микрофонов (точек измерений)
Микрофоны следует располагать со всех сторон от испытуемого источника шума таким образом, чтобы все излучающие звук элементы источника находились в равных условиях в отношении к конкретной точке измерений: в области прямой видимости из этой точки или были от нее экранированы. Микрофоны не следует устанавливать в тех точках, из которых видна только часть излучающих звук элементов испытуемого источника.
Всего используют три или четыре точки измерений (см.
7.4.3), расположенных по возможности равномерно вокруг испытуемого источника. Точки измерений и направления измерительных осей микрофонов должны оставаться неизменными при измерениях шума испытуемого и образцового источника шума и фонового шума. Измерительное расстояние

для каждой точки измерений выбирают таким образом, чтобы точка измерений находилась в области реверберационного поля испытательного пространства, т.е. чтобы в ней выполнялось условие

(см.
таблицу 2).
Микрофон должен находиться не ближе 0,5 м от внутренних поверхностей помещения. Если помещение достаточно большое и испытуемый источник расположен далеко от его внутренних поверхностей, то микрофоны устанавливают на всех четырех боковых гранях огибающего параллелепипеда. Расстояние между микрофонами должно быть не менее 2 м. Если потолок помещения расположен высоко и обладает хорошим звукопоглощением и при этом существенная часть излучаемой испытуемым источником звуковой мощности (звуковой энергии) находится в области частот выше 2000 Гц, то следует по возможности дополнительно выбрать по крайней мере две точки измерений над испытуемым источником.
7.4.2. Зоны испытательного пространства
Чтобы выбрать места установки микрофонов и расположения образцового источника шума, испытательное пространство разбивают на зоны. Зоны, устанавливаемые для каждого возможного расположения образцового источника шума, различают по разнице в них звукового поля испытуемого и образцового источников шума. Классификация зон и их обозначение приведены в таблице 1.
Таблица 1
Зоны испытательного пространства
Наличие прямой видимости из зоны излучающего элемента | Соотношение измерительных расстояний  и <a> | Влияние на оценку звуковой мощности испытуемого источника | Обозначение зоны |
испытуемого источника шума | образцового источника шума |
Есть | Нет | - | Сильно завышена | ++ |
Нет | Есть | - | Сильно занижена | -- |
Есть | Есть | | Завышена | + |
Есть | Есть | | Занижена | - |
Есть | Есть |  (в пределах 10%) | Несколько завышена или занижена | +/- |
Нет | Нет | - | Сильно завышена или занижена | ++/-- |
<a>  - измерительное расстояние для испытуемого источника шума;  - измерительное расстояние для образцового источника шума. |
7.4.3. Выбор точек установки микрофонов
Если испытуемый источник шума ненаправленный, а образцовый источник шума установлен сверху испытуемого источника, то все зоны испытательного пространства относятся либо к обозначенным "+", либо к "+/-". В этом случае устанавливают по одному микрофону с каждой свободной стороны испытуемого источника шума в соответствии с требованиями
7.4.1.
Во всех других случаях микрофоны устанавливают в зоне "+/-". Если это невозможно, то один микрофон устанавливают в зоне "+", один - в зоне "+/-" и один или два в зоне "-".
Если звуковое поле в испытательном пространстве не является существенно реверберационным, не следует устанавливать микрофоны в зоне "++/-".
Примечание. Не все микрофоны устанавливают в области прямой видимости образцового источника шума (см.
разделы B.2 и
B.4).
7.5. Измерение уровней звукового давления источников стационарного или нестационарного шума
В каждой точке измерений (установки микрофона) i, i = 1, 2, ..., n, в каждой октавной полосе диапазона частот измерений определяют эквивалентные уровни звукового давления

при работающем испытуемом источнике шума и при работающем образцовом источнике шума

. Продолжительность измерений для образцового источника шума равна 30 с. Если шум испытуемого источника является таким же постоянным, как у образцового источника шума, то продолжительность измерений при определении

может быть выбрана такой же. В противном случае, в том числе когда шум источника подвержен циклическим изменениям, продолжительность измерений при определении

должна быть большей.
Кроме того, непосредственно до или сразу после измерений уровней звукового давления испытуемого источника в каждой точке измерений и в каждой октавной полосе диапазона частот измерений при той же продолжительности измерений, что использована при определении

, проводят измерения эквивалентного уровня звукового давления фонового шума

.
7.6. Измерение уровней звукового давления источников импульсного шума
В каждой точке измерений (установки микрофона) i, i = 1, 2, ..., n, в каждой октавной полосе диапазона частот измерений определяют уровни экспозиции однократного шумового процесса при работающем испытуемом источнике

. Измерения проводят либо один раз на интервале времени, когда однократный шумовой процесс повторяется

раз, либо

раз для отдельных шумовых процессов

. Продолжительность измерений должна быть достаточной, чтобы включить в себя все части однократного шумового процесса, включая его затухание, которое может давать существенный вклад в

. Также в каждой точке измерений в каждой октавной полосе диапазона частот измерений определяют эквивалентный уровень звукового давления образцового источника шума

при продолжительности измерений 30 с.
Кроме того, непосредственно до или сразу после измерений уровней звукового давления испытуемого источника шума в каждой точке измерений и в каждой октавной полосе диапазона частот измерений при той же продолжительности измерений определяют эквивалентный уровень звукового давления фонового шума

.
8. Определение уровней звуковой мощности и звуковой энергии
8.1. Коррекция на фоновый шум
Коррекцию на фоновый шум

, дБ, в каждой октавной полосе для каждой i-й точки установки микрофона рассчитывают значение по формуле

, (7)
где

;

- рассчитанный по результатам измерений эквивалентный уровень звукового давления в октавной полосе частот в i-й точке измерений при работающем испытуемом источнике, дБ;

- измеренный эквивалентный уровень звукового давления фонового шума в октавной полосе частот в i-й точке измерений, дБ.
Если в каждой точке измерений

, то считают, что измерения удовлетворяют требованиям настоящего стандарта по критерию фонового шума.
Если в каждой точке измерений

, то

полагают равным нулю. Коррекцию

, рассчитанную по
формуле (7), используют, если

.
Если в какой-то точке измерений

, то это приводит к снижению точности измерений. Максимальное значение коррекции

, которое может быть применено, равно 1,3 дБ (соответствует

). Однако и в случае, когда

, результат измерений может быть полезен и включен в протокол испытаний, но с обязательным указанием, что полученный уровень звуковой мощности испытуемого источника шума является верхней оценкой. В этих случаях в тексте протокола испытаний, в табличном или графическом представлении результатов измерений указывают, что требования к фоновому шуму настоящего стандарта не соблюдены.
8.2. Определение эквивалентного уровня звукового давления источников стационарного и нестационарного шума
Средний по точкам измерений эквивалентный уровень звукового давления в октавной полосе частот для испытуемого источника, работающего в заданном режиме, после коррекции на фоновый шум

, дБ, вычисляют по формуле

, (8)
где

;

- измеренный эквивалентный уровень звукового давления в октавной полосе частот в i-й точке установки микрофона при работающем испытуемом источнике, дБ;

- коррекция на фоновый шум в октавной полосе частот в i-й точке установки микрофона, дБ;
n - число точек установки микрофонов.
Средний по точкам измерений эквивалентный уровень звукового давления в октавной полосе частот образцового источника шума после коррекции на фоновый шум

, дБ, вычисляют по формуле

, (9)
где

;

- измеренный эквивалентный уровень звукового давления в октавной полосе частот в i-й точке установки микрофона при работающем образцовом источнике шума, дБ;

- коррекция на фоновый шум в октавной полосе частот для образцового источника шума в i-й точке установки микрофона, дБ, рассчитанная по
формуле (7) с заменой

на

;
n - число точек установки микрофонов.
Если образцовый источник шума устанавливают в нескольких местах испытательного пространства, то вычисляют среднее по точкам измерений значение эквивалентного уровня звукового давления в октавной полосе частот для каждого j-го места установки образцового источника шума, j = 1, 2, ..., m, после внесения поправки на фоновый шум

, дБ, по формуле

, (10)
где

;

- полученное в результате измерения при j-м местоположении образцового источника шума значение эквивалентного уровня звукового давления в октавной полосе частот в i-й точке установки микрофона при работающем образцовом источнике шума, дБ;

- коррекция на фоновый шум в октавной полосе частот для образцового источника звука в i-й точке установки микрофона, дБ, полученная по
формуле (7) с заменой

на

;
n - число точек установки микрофонов.
8.3. Расчет уровня звуковой мощности
8.3.1. Установка образцового источника шума в одном положении
Уровень звуковой мощности

, дБ, испытуемого источника в октавной полосе частот для атмосферных условий во время испытаний рассчитывают по формуле

, (11)
где

- уровень звуковой мощности в октавной полосе частот образцового источника шума, дБ;

- средний по точкам измерений эквивалентный уровень звукового давления испытуемого источника в октавной полосе частот после коррекции на фоновый шум, дБ;

- средний по точкам измерений эквивалентный уровень звукового давления образцового источника шума в октавной полосе частот после внесения поправки на фоновый шум, дБ.
При необходимости в соответствии с
Приложением C может быть рассчитан уровень звуковой мощности

, приведенный к нормальным атмосферным условиям (статическое давление 101,325 кПа, температура воздуха 23,0 °C).
8.3.2. Установка образцового источника шума в нескольких положениях
Уровень звуковой мощности

, дБ, испытуемого источника в октавной полосе частот для атмосферных условий во время испытаний, полученный с использованием m разных местоположений образцового источника шума, рассчитывают по формуле

, (12)
где

- уровень звуковой мощности в октавной полосе частот образцового источника шума, полученный при его калибровке в калибровочном положении, аналогичном j-му местоположению образцового источника шума во время испытаний, дБ;

- средний по точкам измерений эквивалентный уровень звукового давления испытуемого источника шума в октавной полосе частот после коррекции на фоновый шум, дБ;

- средний по точкам измерений эквивалентный уровень звукового давления образцового источника шума в октавной полосе частот после коррекции на фоновый шум при j-м местоположении образцового источника шума во время испытаний, дБ.
При необходимости в соответствии с
Приложением C может быть рассчитан уровень звуковой мощности

, приведенный к нормальным атмосферным условиям (статическое давление 101,325 кПа, температура воздуха 23,0 °C).
8.4. Определение эквивалентного уровня звукового давления источников импульсного шума
Если уровни экспозиции однократного шумового процесса измеряют N раз для каждого одиночного процесса в i-й точке установки микрофона, то следует корректировать результат измерения на фоновый шум по формуле

, (13)
где

- корректированный на фоновый шум уровень экспозиции однократного шумового процесса в октавной полосе частот в i-й точке установки микрофона для q-го одиночного процесса, q = 1, 2, ..., N, при работающем испытуемом источнике, дБ;

- измеренный уровень экспозиции однократного шумового процесса в октавной полосе частот в i-й точке установки микрофона для q-го одиночного процесса, q = 1, 2, ..., N, при работающем испытуемом источнике, дБ;

- коррекция на фоновый шум в октавной полосе частот в i-й точке установки микрофона, дБ.
Коррекцию на фоновый шум

, дБ, в каждой октавной полосе и для каждого положения микрофона вычисляют таким же образом, как в
8.1, по формуле

, (14)
где

;

- измеренный уровень экспозиции однократного шумового процесса в октавной полосе частот в i-й точке измерений для q-го одиночного процесса, q = 1, 2, ..., N, при работающем испытуемом источнике, дБ;

- измеренный эквивалентный уровень звукового давления в октавной полосе частот в i-й точке измерений фонового шума, дБ.
При измерениях

и

продолжительность измерений

и другие характеристики измерений должны быть одинаковыми.
Средний уровень экспозиции однократного шумового процесса в октавной полосе частот в i-й точке установки микрофона

, дБ, рассчитывают по формуле

. (15)
Если уровень экспозиции однократного шумового процесса измерен в i-й точке установки микрофона один раз для последовательности N одиночных процессов, то корректированный на фоновый шум уровень экспозиции однократного шумового процесса

, дБ, рассчитывают по формуле

, (16)
и средний уровень экспозиции однократного шумового процесса в октавной полосе частот в i-й точке установки микрофона

, дБ, рассчитывают по формуле

. (17)
Средний по точкам измерений уровень экспозиции однократного шумового процесса в октавной полосе частот для испытуемого источника шума, работающего в заданном режиме, после коррекции на фоновый шум

, дБ, рассчитывают по формуле

. (18)
Средний по точкам измерений эквивалентный уровень звукового давления в октавной полосе частот для образцового источника шума после коррекции на фоновый шум

, дБ, или при установке образцового источника шума в нескольких местах испытательного пространства значение этой величины для j-го места установки, j = 1, 2, ..., m,

, дБ, рассчитывают по
формулам (9) и
(10) соответственно.
8.5. Расчет уровня звуковой энергии
8.5.1. Установка образцового источника шума в одном положении
Уровень звуковой энергии

, дБ, испытуемого источника в октавной полосе частот при атмосферных условиях во время испытаний рассчитывают по формуле

, (19)
где

- уровень звуковой мощности в октавной полосе частот образцового источника шума, дБ;

- средний по точкам измерений уровень экспозиции однократного шумового процесса в октавной полосе частот для испытуемого источника после коррекции на фоновый шум, дБ;

- средний по точкам измерений эквивалентный уровень звукового давления образцового источника шума в октавной полосе частот после внесения поправки на фоновый шум, дБ.
При необходимости в соответствии с
Приложением C может быть рассчитан уровень звуковой мощности

, приведенный к нормальным атмосферным условиям (статическое давление 101,325 кПа, температура воздуха 23,0 °C).
8.5.2. Установка образцового источника шума в нескольких положениях
Уровень звуковой энергии

, дБ, испытуемого источника в октавной полосе частот при атмосферных условиях испытаний и полученный с использованием m разных местоположений образцового источника шума рассчитывают по формуле

, (20)
где

- уровень звуковой мощности в октавной полосе частот образцового источника шума, полученный при его калибровке в калибровочном положении, аналогичном j-му местоположению образцового источника шума во время испытаний, дБ;

- средний по точкам измерений уровень экспозиции однократного шумового процесса в октавной полосе частот испытуемого источника после коррекции на фоновый шум, дБ;

- средний по точкам измерений эквивалентный уровень звукового давления образцового источника шума в октавной полосе частот после коррекции на фоновый шум при j-м местоположении образцового источника шума во время испытаний, дБ.
При необходимости в соответствии с
Приложением C может быть рассчитан уровень звуковой мощности

, приведенный к нормальным атмосферным условиям (статическое давление 101,325 кПа, температура воздуха 23,0 °C).
8.6. Определение корректированных по A уровней звуковой мощности и звуковой энергии
При необходимости рассчитывают корректированные по A уровни звуковой мощности и звуковой энергии испытуемого источника по результатам измерений в октавных полосах частот в соответствии с
Приложением D.
9. Неопределенность измерения
9.1. Методология
Стандартные неопределенности уровня звуковой мощности

, дБ, и уровня звуковой энергии

, дБ, определяют в соответствии с настоящим стандартом как общее стандартное отклонение

. (21)
Общее стандартное отклонение рассчитывают на основании модели измерений в соответствии с Руководством ИСО/МЭК 98-3. При отсутствии необходимых сведений, позволяющих построить такую модель, прибегают к результатам сопоставительных измерений, выполненных в условиях воспроизводимости.
Тогда общее стандартное отклонение

определяют через стандартное отклонение воспроизводимости

и стандартное отклонение

, характеризующее нестабильность условий работы и установки испытуемого источника по формуле:

. (22)
Из формулы (22) видно, что, прежде чем выбрать метод измерения заданного класса точности, характеризуемой значением

для данного семейства машин, необходимо учесть возможный разброс результатов, обусловленный изменениями условий работы и установки машин (см.
9.5 и
раздел E.3).
Примечание. Результаты измерений разными методами, установленными стандартами серии, введенной
[1], могут быть смещены друг относительно друга.
Расширенную неопределенность измерения U рассчитывают по общему стандартному отклонению

по формуле

, (23)
где k - коэффициент охвата. В предположении, что результат измерений может быть описан нормально распределенной случайной величиной, коэффициент охвата k принимают равным двум, что приблизительно соответствует вероятности охвата 95%. Это означает, что интервалу охвата от

до

для уровня звуковой мощности или от

до

для уровня звуковой энергии будет соответствовать 95% площади под кривой плотности распределения случайной величины.
Если измеренный уровень звуковой мощности (звуковой энергии) предполагается сопоставлять с неким предельным значением, то иногда более уместно может быть определять односторонний интервал охвата для указанной случайной величины. В этом случае при том же уровне доверия 95% k = 1,6.
9.2. Определение

Стандартное отклонение

[см.
формулу (E.1) в Приложении E], характеризующее неопределенность, связанную с нестабильностью воспроизведения условий работы и установки источника шума во время испытаний, может давать существенный вклад в неопределенность измерения уровня звуковой мощности (звуковой энергии). Для получения оценки

можно провести отдельную серию повторных измерений для одного и того же источника шума в одном и том же месте расположения одним и тем же испытателем, используя одну и ту же измерительную систему и одну и ту же точку (или точки) измерений. Повторные измерения

или

проводят в точке измерений, где значения этих величин максимальны. Результаты измерений корректируют на фоновый шум. Перед каждым повторным измерением испытуемый источник устанавливают заново и заново устанавливают необходимый режим работы. Если испытания проводят для единственного экземпляра источника шума, то полученное по повторным измерениям выборочное стандартное отклонение обозначают

. В соответствующем испытательном коде по шуму может быть приведена оценка

для семейства машин. Можно ожидать, что такая оценка была получена с учетом всех возможных источников вариативности в установке и условиях работы, на которые распространяется данный испытательный код.
Примечание. Если звуковая мощность мало изменяется в процессе повторных измерений, а сами измерения проведены правильно, то величине

можно приписать значение 0,5 дБ. В других случаях, например, когда на шум испытуемого источника существенное влияние оказывает обрабатываемый или производимый материал, а также при непредсказуемых изменениях в потреблении или производстве материала, подходящей оценкой

можно считать 2 дБ. Но в особых случаях очень сильной зависимости шума от свойств обрабатываемого материала (когда испытуемым источником являются такие машины, как камнедробилки, металлорежущие станки или прессы, работающие под нагрузкой) эта величина может достигать 4 дБ.
9.3. Определение

9.3.1. Общие положения
Стандартное отклонение

характеризует все источники неопределенности, которые могут оказать влияние на результаты измерений, проводимых в соответствии с настоящим стандартом (различия в характеристиках излучения источников шума, в применяемых средствах измерений, в методе измерения), за исключением нестабильности звуковой мощности источника шума (последний фактор характеризуется значением

).
Обобщение накопленного к данному времени опыта испытаний позволило установить оценки

, которые приведены в
таблице 2. Эти оценки можно считать верхними для большинства машин и оборудования, на которое распространяется настоящий стандарт. Для машин конкретного вида могут быть получены уточненные оценки путем проведения межлабораторных сравнительных испытаний (см. 9.3.2) или с помощью математического моделирования (см.
9.3.3). Такие оценки приводят в испытательных кодах по шуму для машин конкретных видов (см.
9.2 и
Приложение E).
9.3.2 Межлабораторные сравнительные испытания
Межлабораторные сравнительные испытания для определения

проводят в соответствии с ИСО 5725, когда уровни звуковой мощности источника шума определяют в условиях воспроизводимости, т.е. с участием разных специалистов, проводящих измерения в разных местах расположения источника шума разными средствами измерений. Такой эксперимент позволяет получить оценку

общего стандартного отклонения для источника шума, рассылаемого лабораториям-участникам эксперимента. Предполагается, что в межлабораторных сравнительных испытаниях будет обеспечена вариативность всех существенных факторов, которые могут оказать влияние на результат измерений звуковой мощности данного источника шума.
Полученная в результате межлабораторных сравнительных испытаний оценка

, дБ, включает в себя оценку

, дБ, что позволяет получить оценку

по формуле

. (24)
Если оценки

, полученные в результате испытаний разных экземпляров источника шума данного вида, незначительно отличаются, то их среднее можно рассматривать как оценку

для всех источников шума данного вида в измерениях, проводимых в соответствии с настоящим стандартом. Такую оценку (вместе с оценкой

) следует по возможности указывать в испытательном коде по шуму и использовать для заявления значения шумовой характеристики машин.
Если межлабораторные испытания не проводились, то для реалистической оценки

используют накопленные знания об измерениях шума машин данного вида.
Иногда затраты на проведение межлабораторных испытаний можно сократить, исключив требование проведения измерений в разных местах расположения источника шума. Это можно сделать, например, если источник шума обычно устанавливают в условиях, когда коррекция на фоновый шум

и влияние свойств испытательного пространства невелики или если целью испытаний является подтверждение значения шумовой характеристики машины при ее работе в заданном месте расположения. Оценку, полученную в этих условиях ограниченной вариативности, обозначают

И используют в испытаниях крупногабаритных стационарно устанавливаемых машин. Следует ожидать, что полученные значения

будут ниже указанных в
таблице 2.
Оценки

, полученные по
формуле (24), малодостоверны, если

лишь незначительно превышает

. Достаточно надежные оценки

будут только в том случае, если

не превышает

.
9.3.3. Расчет

на основе математической модели
Обычно

зависит от нескольких факторов, дающих вклады

(i = 1, 2, ..., n) в общую неопределенность измерения уровня звуковой мощности (звуковой энергии). Такими факторами, в частности, являются применяемые средства измерений, коррекция на условия окружающей среды и местоположения микрофонов. Если предположить, что данные факторы влияют на общую неопределенность независимо друг от друга, то оценку

можно представить в виде (см. Руководство ИСО/МЭК 98-3)

. (25)
В формулу (25) не входят неопределенности, связанные с нестабильностью излучения источника (поскольку они учтены в

). Источники неопределенности, дающие вклад в общую неопределенность измерения уровня звуковой мощности (звуковой энергии), рассматриваются в
Приложении E.
Примечание. Если источники неопределенности, входящие в модель измерений, коррелированны, то
формулу (25) применять нельзя. Кроме того, расчет на основе математической модели требует дополнительной информации, чтобы определить вклады

всех составляющих в
формуле (25).
В противоположность этому оценки

, получаемые в результате межлабораторных испытаний, не требуют каких-либо дополнительных предположений о возможной корреляции источников неопределенности, входящих в
формулу (25). Оценки по результатам межлабораторных испытаний в общем случае являются более устойчивыми, чем полученные на основе математических моделей. Однако проведение межлабораторных испытаний не всегда осуществимо, и зачастую их приходится заменять обобщением опыта прошлых измерений.
9.4. Типичные оценки

В
таблице 2 приведены типичные верхние оценки стандартного отклонения

для методов измерения шума, которые могут применяться для большинства измерений, проводимых в соответствии с настоящим стандартом. В особых случаях, а также когда требования настоящего стандарта не могут быть в полном объеме соблюдены для машин определенного вида или когда ожидается, что для машин данного вида

должно быть меньше значений, указанных в
таблице 2, для уточнения оценки

рекомендуется проведение межлабораторных испытаний.
9.5. Общее стандартное отклонение

и расширенная неопределенность U
Общее стандартное отклонение

и расширенную неопределенность U рассчитывают по
формулам (22) и
(23) соответственно.
Пример. Технический метод измерений;

; k = 2; в результате измерения получено

. Определение

для машин данного вида выполнено не было, поэтому использовано значение

из таблицы 2

. По
формулам (25) и (26) получаем

.
Таблица 2
Типичные верхние оценки

для измерений
корректированных по A уровней звуковой мощности
или звуковой энергии, проводимых в соответствии
с настоящим стандартом
Класс точности метода | Показатели реверберационности поля и направленности излучения источника | Стандартное отклонение воспроизводимости <a>  , дБ |
Технический |  для всех точек измерений; диапазон направленности излучения не более +/- 7 дБ | 1,5 |
Ориентировочный |  или не определен; диапазон направленности излучения не более +/- 7 дБ | 4,0 |
 для всех точек измерений; диапазон направленности излучения более +/- 7 дБ |
<a> Применительно к источникам, излучающим шум со сравнительно плоским спектром в диапазоне частот от 100 до 10000 Гц, когда наибольший вклад в корректированные по A уровни звуковой мощности или звуковой энергии вносят частотные составляющие октавных полос со среднегеометрическими частотами от 250 до 4000 Гц. Однако в случае, когда основной вклад вносят частотные составляющие ниже 500 Гц, воспроизводимость результатов измерений может быть хуже указанной в настоящей таблице. Если значительная часть излучаемой энергии источника лежит в диапазоне частот свыше 2000 Гц, то такое излучение может быть узконаправленным. Если при этом испытательное пространство содержит поверхности с высоким звукопоглощением (например, звукопоглощающий потолок) и близкие к испытуемому источнику шума, то это также может ухудшить воспроизводимость результатов измерений. |
Примечание. Расширенная неопределенность, определяемая по
формуле (23), не включает в себя стандартное отклонение производства, использованного в
[8] в целях определения и заявления значения шумовой характеристики для партии машин.
10. Регистрируемая информация
10.1. Общие положения
Для всех измерений, выполненных в соответствии с настоящим стандартом, должна быть получена и зарегистрирована информация, указанная 10.2 -
10.5.
10.2. Испытуемый источник шума
Приводят следующие сведения:
a) общие данные об испытуемом источнике шума (изготовитель, наименование и вид, тип, технические данные, габаритные размеры, порядковый номер по системе нумерации изготовителя, год выпуска);
b) вспомогательное оборудование и способ его использования при испытаниях;
c) режимы работы при испытаниях, продолжительность измерений в каждом режиме и дополнительные характеристики условий работы (см.
6.3);
d) условия установки испытуемого источника шума;
e) место расположения (расположений) источника шума в испытательном пространстве;
10.3. Акустические условия
Приводят следующие сведения:
a) описание испытательного пространства, включающее указание типа здания, описание конструкции и покрытия стен, пола и потолка; схему с указанием места расположения испытуемого источника и других предметов в помещении;
b) результаты проверки пригодности испытательного пространства целям испытаний в соответствии с
4.1 с указанием значения (значений)

;
c) атмосферные условия, включая температуру воздуха в градусах Цельсия и статическое атмосферное в килопаскалях вблизи источника шума во время испытаний.
10.4. Средства измерений
Приводят следующие сведения:
a) данные об измерительной аппаратуре (изготовитель, наименование, тип, порядковый номер по системе нумерации изготовителя);
b) дату, место и методы калибровки акустического калибратора и образцового источника шума, результаты проверки калибровки до и после проведения измерений в соответствии с
5.2;
c) уровни звуковой мощности образцового источника шума при различных калибровочных положениях.
10.5. Результаты измерений
Приводят следующие общие сведения:
a) размеры огибающего параллелепипеда и измерительное расстояние;
b) расположение точек измерений (установки микрофонов) с приложением, при необходимости, соответствующих схем;
c) место расположения образцового источника шума.
Приводят следующие сведения для каждого режима работы испытуемого источника в условиях измерений:
d) результаты предварительного обследования испытуемого источника и полученные субъективные оценки степени направленности излучения, наличие дискретных тонов или узкополосных шумов, временные характеристики и т.п.;
e) все результаты измерений эквивалентных уровней звукового давления (эквивалентных уровней звукового давления однократного шумового процесса) в октавных полосах частот в каждой точке измерений;
f) уровни звукового давления фонового шума;
g) уровни звуковой мощности (звуковой энергии), в децибелах, в октавных полосах частот и, при необходимости, в широкой полосе с применением коррекции по частотной характеристике A, округленные с точностью до 0,1 дБ. Дополнительно возможно представление данных характеристик в графическом виде.
Примечание. Согласно
[15] заявляемые значения корректированного по A уровня звуковой мощности

компьютеров и офисной техники выражают в белах (1 Б = 10 дБ);
h) расширенную неопределенность измерения, использованное значение коэффициента охвата и соответствующую вероятность охвата;
i) дату и время проведения измерений.
В протоколе испытаний указывают зарегистрированную в соответствии с
разделом 10 информацию, которая необходима в целях измерений. В протокол включают также все особенности, необходимость учета которых указана в разделах настоящего стандарта.
Поскольку методы, установленные настоящим стандартом, имеют неодинаковую точность, в протоколе всегда должна быть указана неопределенность измерения и указан примененный метод измерения (технический или ориентировочный). Дополнительная информация о точности измерений может быть приведена в соответствии с
Приложением E.
Если значения уровней звуковой мощности или звуковой энергии были получены в полном соответствии с требованиями настоящего стандарта, то соответствующая запись должна быть сделана в протоколе испытаний. Если при проверке соблюдения условий настоящего стандарта одна или несколько проверяемых акустических характеристик выходят за установленные предельные значения, то в протокол вносят запись о том, что измерения были проведены в соответствии с требованиями настоящего стандарта за исключением указанных в протоколе. При этом в протоколе не допускается прямо или неявно указывать на то, что испытания проведены в полном соответствии с настоящим стандартом.
(обязательное)
ОЦЕНКА ПОКАЗАТЕЛЯ РЕВЕРБЕРАЦИОННОСТИ ПОЛЯ
Для выбранного места расположения образцового источника шума (см.
7.3.2 и
7.3.3) измеряют уровень звукового давления

, создаваемого этим источником в области его прямой видимости на варьируемом расстоянии r. Показатель реверберационности поля для данного расстояния

, дБ, рассчитывают по формуле

, (A.1)
где

- измеренный уровень звукового давления при работающем образцовом источнике шума на расстоянии r от него, дБ;

- уровень звуковой мощности образцового источника шума в калибровочном положении, аналогичном месту расположения, что использовано при измерении, дБ;
r - расстояние от образцового источника шума до точки установки микрофона, м;

.
Если предварительные измерения показывают, что шум испытуемого источника является широкополосным и по своему характеру похож на шум образцового источника, то при оценке показателя реверберационности поля допускается измерять уровни звукового давления с непосредственной коррекцией по частотной характеристике A. Если спектральный состав шумов испытуемого и образцового источников различен, то измерения проводят в октавных полосах частот.
(рекомендуемое)
ПО РАЗМЕЩЕНИЮ МИКРОФОНОВ И УСТАНАВЛИВАЕМОГО
В ОДНОМ ПОЛОЖЕНИИ ОБРАЗЦОВОГО ИСТОЧНИКА ШУМА
B.1. Общие положения
Выбор наилучшего места расположения образцового источника шума и микрофонов относительно испытуемого источника зависит от диаграммы направленности последнего. В ходе предварительного обследования определяют, является ли излучение испытуемого источника ненаправленным или же существует одно или несколько направлений в горизонтальной плоскости, в которых излучение доминирует. Для этого совершают обход испытуемого источника по периметру на расстоянии приблизительно 1 м от него и во время обхода выполняют измерения уровней звукового давления, располагая шумомер на высоте примерно 1,2 м над полом. Если результаты измерений варьируются в диапазоне +/- 2 дБ, то излучение испытуемого источника считают ненаправленным. В противном случае определяют направления, в которых излучение шума является доминирующим.
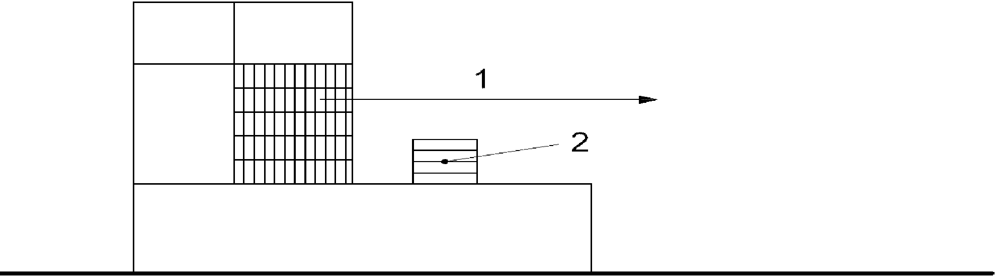
Образцовый источник шума рекомендуется располагать таким образом, чтобы диаграмма направленности его излучения в присутствии испытуемого источника шума была подобна диаграмме направленности последнего.
Если излучение испытуемого источника ненаправленно, то наиболее предпочтительным является установка образцового источника шума сверху испытуемого источника, как показано на
рисунке B.1.
Если испытуемый источник излучает звук преимущественно в одном горизонтальном направлении, то образцовый источник шума рекомендуется устанавливать рядом с испытуемым источником со стороны доминирующего направления излучения (см.
рисунок B.2).
1 - предпочтительное место расположения образцового
источника шума; 2 - место установки микрофона;
3 - испытуемый источник шума; 4 - нежелательное место
расположения образцового источника шума
Рисунок B.1. Места расположения образцового источника шума
в случае испытуемого источника шума
с ненаправленным излучением
1 - доминирующее направление излучения
испытуемого источника; 2 - место установки микрофона;
3 - предпочтительное место расположения
образцового источника шума
Рисунок B.2. Место расположения
образцового источника шума в случае испытуемого источника
с доминирующим направлением излучения
B.3. Рекомендация 2
Если испытуемый источник содержит элемент, излучение которого является доминирующим в общем шуме источника, и местоположение этого элемента известно, то рекомендуется устанавливать образцовый источник шума как можно ближе к этому элементу, и если излучение испытуемого источника является ненаправленным, то сверху испытуемого источника (см. рисунок B.3). Если по практическим соображениям установить образцовый источник шума на испытуемом источнике не представляется возможным, то его устанавливают сбоку от испытуемого источника со стороны указанного элемента (см.
рисунок B.4).
1 - предпочтительное место установки
образцового источника шума; 2 - элемент испытуемого
источника шума с доминирующим излучением
Рисунок B.3. Место расположения
образцового источника шума при наличии у испытуемого
источника шума элемента с доминирующим
ненаправленным излучением
1 - направление доминирующего излучения;
2 - предпочтительное место установки
образцового источника шума
Рисунок B.4. Место расположения
образцового источника шума при наличии у испытуемого
источника шума элемента с доминирующим
направленным излучением
При заданном месте установки образцового источника шума сбоку от испытуемого источника весьма вероятно наличие области испытательного пространства, экранируемой от образцового источника шума испытуемым источником. Если испытуемый источник излучает в эту область, то рекомендуется установить в ней один микрофон (см. рисунок B.5).
1 - испытуемый источник, экранирующий
образцовый источник шума; 2 - место установки образцового
источника шума; 3 - место установки микрофона
Рисунок B.5. Установка микрофона в экранируемой области
B.5. Рекомендация 4
Если образцовый источник шума устанавливают сбоку от испытуемого источника, то не рекомендуется размещать микрофон в вертикальной плоскости, проходящей через оба эти источника. Не рекомендуется также устанавливать микрофон вблизи элемента испытуемого источника, создающего доминирующее излучение.
Рекомендуется, чтобы место установки микрофона выбиралось с учетом соблюдения неравенства

, (B.1)
где r - расстояние от образцового источника шума до микрофона;
d - расстояние от микрофона до элемента испытуемого источника с доминирующим излучением (см. рисунок B.6);
1 - элемент испытуемого источника шума
с доминирующим излучением; 2 - место расположения
образцового источника шума; 3 - место установки
микрофона; d - расстояние от микрофона до элемента
испытуемого источника с доминирующим излучением;
r - расстояние от образцового источника шума
до микрофона
Рисунок B.6. Положение микрофона относительно
источников шума (вид сверху)
(обязательное)
ПРИВЕДЕНИЕ УРОВНЕЙ ЗВУКОВОЙ МОЩНОСТИ И ЗВУКОВОЙ ЭНЕРГИИ
К НОРМАЛЬНЫМ АТМОСФЕРНЫМ УСЛОВИЯМ
Уровень звуковой мощности

, дБ, приведенный к нормальным атмосферным условиям (статическое давление 101,325 кПа, температура воздуха 23,0 °C), рассчитывают по формуле (см.
[24])

, (C.1)
где

- измеренный уровень звуковой мощности [см.
формулу (11)], дБ;

- поправка на импеданс излучения, используемая для приведения к нормальным атмосферным условиям, дБ. Эта величина должна быть определена в соответствующем испытательном коде по шуму. Если такой документ отсутствует, то используют следующую формулу, полученную для источника шума в виде монополя и рассматриваемую как результат усреднения для источников другого вида (см.
[25])

;

- статическое давление в испытательном пространстве во время испытаний, кПа;

- нормальное атмосферное давление,

;

- температура воздуха в испытательном пространстве во время испытаний, °C;

.
Температура воздуха во время испытаний может быть измерена, а для оценки статического давления

, кПа, используют формулу

, (C.2)
где

;
b = 5,2553;

- высота места проведения испытаний над уровнем моря, м.
Уровень звуковой энергии,

, дБ, приведенный к нормальным атмосферным условиям рассчитывают по формуле

, (C.3)
где

- измеренный уровень звуковой энергии [см.
формулу (19)], дБ;
Если уровни звуковой мощности или звуковой энергии приведены к нормальным атмосферным условиям, то это должно быть отражено в протоколе испытаний.
(обязательное)
РАСЧЕТ КОРРЕКТИРОВАННЫХ ПО A УРОВНЕЙ ЗВУКОВОЙ МОЩНОСТИ
И ЗВУКОВОЙ ЭНЕРГИИ НА ОСНОВЕ РЕЗУЛЬТАТОВ ИЗМЕРЕНИЙ
В ОКТАВНЫХ ПОЛОСАХ ЧАСТОТ
D.1. Корректированные по A уровни звуковой мощности
Корректированный по A уровень звуковой мощности

, дБ, рассчитывают по формуле

, (D.1)
где

- уровень звуковой мощности в k-й октавной полосе частот, дБ;

- поправка для k-й октавной полосы частот по
таблице D.1;

,

- значения k для, соответственно, низшей и высшей полосы диапазона частот измерений.
D.2. Корректированные по A уровни звуковой энергии
Корректированный по A уровень звуковой энергии

, дБ, рассчитывают по формуле

, (D.2)
где

- уровень звуковой энергии в k-й октавной полосе частот, дБ;
k - номер октавной полосы частот (см. таблицу D.1);

- поправка для k-й октавной полосы частот по таблице D.1;

,

- значения k для низшей и высшей полосы диапазона частот измерений соответственно.
D.3. Значения k и

Для расчетов с использованием результатов измерений в октавных полосах частот используют значения k и

, приведенные в таблице D.1.
Таблица D.1
Значения k и

, соответствующие
среднегеометрическим частотам октавных полос
k | Среднегеометрическая частота октавной полосы, Гц | |
1 | 63 | |
2 | 125 | -16,1 |
3 | 250 | -8,6 |
4 | 500 | -3,2 |
5 | 1000 | 0,0 |
6 | 2000 | 1,2 |
7 | 4000 | 1,0 |
8 | 8000 | -1,1 |
<a> Значения поправки  используют только в случае, если для данной октавной полосы частот выполнены требования к испытательному пространству и средствам измерений. |
(рекомендуемое)
РУКОВОДСТВО ПО ПРИМЕНЕНИЮ ИНФОРМАЦИИ
ДЛЯ РАСЧЕТА НЕОПРЕДЕЛЕННОСТИ ИЗМЕРЕНИЯ
E.1. Общие положения
Общий формат представления неопределенности измерения установлен Руководством ИСО/МЭК 98-3. Он предполагает составление бюджета неопределенности, в котором идентифицированы основные источники неопределенности и их вклад в суммарную стандартную неопределенность.
Целесообразно разделить все источники неопределенности на две группы:
a) присущие методу измерения;
b) обусловленные нестабильностью излучаемого шума.
В настоящем Приложении приведены основанные на современном уровне знаний рекомендации по применению подхода Руководства ИСО/МЭК 98-3 к измерениям, проводимым в соответствии с настоящим стандартом.
E.2. Определение общего стандартного отклонения

Характеристикой неопределенности измерения является расширенная неопределенность U, непосредственно получаемая из общего стандартного отклонения

[см.
формулу (23)], которое рассматривается как аппроксимация стандартной неопределенности

.
В свою очередь,

определяется двумя разными по своей природе составляющими,

и

[см.
формулу (22)].
Оценки

И

предполагаются статистически независимыми и определяются по отдельности.
Стандартное отклонение

, характеризующее излучение конкретной машины, не может быть рассчитано теоретически и поэтому определяется экспериментально (см.
раздел E.3). Составляющая,

, рассматривается в
разделе E.4.
Примечание. Неопределенность измерения может увеличиться, если шум, излучаемый испытуемым источником, содержит узкополосные составляющие или дискретные тоны. Еще одним источником дополнительной неопределенности является установка образцового источника шума в местах, отличных от калибровочного положения. Влияние данных факторов особенно сильно проявляется на низких частотах.
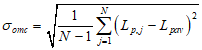
E.3. Определение стандартного отклонения

Стандартное отклонение

, дБ, (см.
9.2) рассчитывают по формуле

, (E.1)
где

- корректированный на фоновый шум уровень звукового давления, полученный в j-м повторном измерении в заданной точке при заданных условиях установки и работы источника шума, дБ;

- среднее арифметическое

по всем повторным измерениям.
Измерения для определения

проводят в точке установки микрофона, где уровень звукового давления максимален. Если используют усреднение по всем точкам измерений, то в
формуле (E.1) 
и

заменяют на

и

соответственно.
В общем случае условия установки и работы испытуемого источника при измерениях значения его шумовой характеристики определяются испытательным кодом по шуму. При его отсутствии эти условия должны быть точно определены до проведения испытаний и зафиксированы в протоколе испытаний. Ниже приводятся некоторые рекомендации по определению таких условий и их возможному влиянию на

.
Условия работы при испытаниях должны соответствовать нормальному применению испытуемого источника согласно рекомендациям изготовителя и практике пользователя. Однако даже при заданных нормальных условиях возможны некоторые вариации в режимах работы, обрабатываемом, потребляемом или производимом материале, между различными циклами работы и пр. Стандартное отклонение

характеризует неопределенность, связанную как с изменчивостью долговременных условий работы (например, день ото дня), так и с изменением излучаемого шума после повторной установки и пуска испытуемого источника.
Если машину в любых условиях ее применения устанавливают на пружинах или на твердый массивный пол, то условия установки будут слабо влиять на результаты измерений. Однако если при испытаниях машину устанавливают на твердый массивный пол, а в условиях применения используют другую опору, то шум машины может различаться весьма сильно. Составляющая неопределенности, обусловленная установкой машины, будет наибольшей, если машина соединена со вспомогательным оборудованием. Также эта составляющая неопределенности будет велика в случае ручных машин. Необходимо исследовать, как перемещения машины или ее крепления влияют на ее шум. Если необходимо заявить значение шумовой характеристики машины для разных способов ее установки и крепления, то

оценивают по результатам измерений при всех возможных способах установки. Если влияние условий установки машины на ее шум известно, то в испытательном коде по шуму или в методике, применяемой пользователем, должен быть определен рекомендуемый способ установки машины при испытаниях.
С точки зрения важности вклада тех или иных источников неопределенности в

исследования для определения

имеют большее значение, чем связанные с определением

[см.
формулу (22)]. Это объясняется тем, что

может принимать существенно большие значения, чем, например, стандартное отклонение

, которое для технического метода измерения, как это следует из
таблицы 2, не превышает 1,5 дБ.
Если

, то проведение измерений с высокой точностью (т.е. с малым

) теряет практический смысл, поскольку это не способно привести к существенному снижению

. Примеры возможных соотношений между

и

приведены в таблице E.1.
Из этих примеров видно, что при нестабильных условиях установки и работы испытуемой машины излишне пытаться обеспечить условия точного метода измерения.
Кроме того, в ситуации, когда

, у пользователя стандарта возможно формирование неправильного представления об общей неопределенности измерения, если он ориентируется на класс точности измерений, который в настоящем стандарте определяется только значением

.
Таблица E.1
Примеры расчета

для разных соотношений
между

и

Стандартное отклонение воспроизводимости метода  , дБ | Общее стандартное отклонение  , дБ, для разных условий установки и работы испытуемого источника шума, характеризующихся разными значениями  , дБ |
Стабильные | Нестабильные | Очень нестабильные |
 , дБ |
0,5 | 2 | 4 |
0,5 (точный метод) | 0,7 | 2,1 | 4,0 |
1,5 (технический метод) | 1,6 | 2,5 | 4,3 |
3 (ориентировочный метод) | 3,0 | 3,6 | 5,0 |
E.4. Определение стандартного отклонения

E.4.1. Общие положения
Верхние оценки

приведены в
таблице 2. Кроме того, в
9.3 приведены рекомендации по проведению исследований для получения более реалистичных оценок

ДЛЯ отдельных машин или семейств машин. Такие исследования включают в себя либо проведение измерений в условиях воспроизводимости согласно ИСО 5725, либо расчеты на основании математической модели измерения [см.
формулу (25)], требующие привлечения дополнительной информации.
Если некоторые источники неопределенности несущественны для конкретных измерительных задач или трудны для исследования, то в испытательном коде по шуму приводят значение

, полученное либо в результате межлабораторных сравнительных испытаний, либо рассчитанное на основе модели, которое не учитывает вариативность этих источников.
Расчет на основе бюджета неопределенности предполагает статистическую независимость отдельных источников неопределенности и, главное, наличие уравнений измерения, используя которые можно было бы оценить вклад этих источников по результатам соответствующих измерений или на основе накопленного практического опыта. В настоящее время, однако, объема накопленной экспериментальной информации, которая могла бы быть использована в целях настоящего стандарта, недостаточно. Тем не менее ниже приводятся данные, которые нельзя рассматривать как окончательные, но которые могут быть использованы для приближенной оценки вкладов отдельных составляющих неопределенности.
E.4.2. Вклад разных источников в

E.4.2.1. Общие положения
Предварительные исследования показали, что приведенный к нормальным атмосферным условиям уровень звуковой мощности

, дБ, может быть представлен следующей зависимостью от влияющих факторов (входных величин)

(E.2)
где

- входная величина, описывающая влияние применяемого метода измерений, дБ;

- входная величина, описывающая влияние условий установки и работы машины, дБ (эта величина не включена в расчеты

);

- средний на измерительной поверхности корректированный на фоновый шум уровень звукового давления при работе испытуемого источника, дБ (см.
8.2);

- коррекция на фоновый шум, дБ (см.
8.1);

- поправка на импеданс излучения, используемая для приведения к стандартным атмосферным условиям, дБ (см.
Приложение C);

- входная величина, описывающая влияние выбора точек измерений, дБ;

- входная величина, описывающая влияние конечного числа точек измерений и мест расположения образцового источника шума, дБ;

- входная величина, описывающая влияние применяемых средств измерений, дБ;

- входная величина, описывающая флуктуации температуры воздуха в испытательном пространстве, дБ;

- уровень звуковой мощности образцового источника шума в октавной полосе частот (см.
8.3.1) (этот влияющий фактор учитывает также отклонения условий работы образцового источника шума от номинальных), дБ;

- средний по точкам измерений эквивалентный уровень звукового давления образцового источника шума в октавной полосе частот (см.
8.2), дБ;

- коррекция на фоновый шум для образцового источника шума, дБ (см.
8.1).
Примечание 1. Если измеряемой величиной является уровень звуковой энергии, то для нее модель измерения будет иметь вид, аналогичный
(E.2).
Примечание 2. Модель, описываемую
формулой (E.2), применяют при измерениях как в полосе частот, так и с коррекцией по частотной характеристике A.
Примечание 3. Входные величины в
формуле (E.2) отражают современное представление о факторах, способных оказать влияние на результат измерения уровня звуковой мощности при испытаниях по настоящему стандарту. Дальнейшие исследования могут показать необходимость модификации этой модели.
Каждой входной величине должно быть приписано соответствующее распределение вероятностей (нормальное, прямоугольное, Стьюдента и т.п.). Лучшей оценкой входной величины будет ее математическое ожидание. Стандартное отклонение распределения входной величины характеризует разброс ее возможных значений и принимается за ее стандартную неопределенность.
Составляющая неопределенности, связанная с условиями установки и работы источника шума, уже учтена в

. Остальные входные величины в совокупности характеризуются стандартным отклонением

.
Информация об ожидаемых значениях стандартных неопределенностей входных величин

и соответствующих им коэффициентов чувствительности

, необходимых для расчета

, дБ, по формуле

, приведена в таблице E.2 для условий технического метода измерений.
Таблица E.2
неопределенности для расчета

(для примера измерения уровня звуковой мощности
источника шума с относительно плоским спектром в октавных
полосах со среднегеометрическими частотами от 500 до 4000 Гц
или корректированного по A)
Входная величина (см. E.4.2) | Оценка входной величины <a>, дБ | Стандартное отклонение <a>  , дБ | Вид распределения | Коэффициент чувствительности <a>  |
| 0 | 0,5 | Нормальное | 1 |
| | | Нормальное | |
| | | Нормальное | |
| | 0,3 | Треугольное | 1 |
| 0 | | Прямоугольное | |
| 0 | | Нормальное | 0,5 |
| 0 | 0,5 | Нормальное | 0,5 |
| 0 | | Прямоугольное | |
| | 0,5 | Нормальное | 1 |
| | | Нормальное | |
| | | Нормальное | |
<b> Оценка, полученная в результате измерения данной входной величины. |
Расчет

выполнен в предположении, что все входные величины некоррелированны.
Для некоторых входных величин соответствующие стандартные неопределенности должны быть получены в результате дополнительных исследований.
Пример информации, необходимой для расчета суммарной стандартной неопределенности, приведен в
таблице E.2 и в E.4.2.2 -
E.4.2.11.
E.4.2.2. Влияние метода измерения

Неопределенность, связанная с применяемым методом измерения, характеризуется смещением метода и стандартной неопределенностью оценки этого смещения

. В предположении, что все необходимые поправки к измеренному уровню звуковой мощности внесены должным образом, смещение можно оценить только исходя из практического опыта измерений или по результатам межлабораторных испытаний. В случае детально проработанной модели измерения, в которой учтены все основные влияющие величины и для них получены количественные оценки этого влияния, неопределенность, связанная с методом измерения, будет мала. Если же знаний о возможных влияющих величинах недостаточно, имеются трудности в оценке пределов этого влияния или проводить такую оценку нецелесообразно из практических соображений, то данная составляющая неопределенности может стать доминирующей в оценке

. Примером может служить применение метода измерения недостаточно квалифицированным или неопытным испытателем.
В предположении, что анализ модели измерения был выполнен правильно и в полном объеме, а излучение источника характеризуется относительно плоским спектром в диапазоне частот от 100 до 10000 Гц, в качестве ориентировочной оценки можно принять

.
Смещение, обусловленное методом измерения, непосредственно входит в оценку измеряемой величины, поэтому коэффициент чувствительности

. В данном примере вклад

данного источника неопределенности в суммарную стандартную неопределенность будет составлять 0,5 дБ.
E.4.2.3. Изменения звукового поля во время испытаний

Неопределенность, обусловленная изменчивостью звукового поля, создаваемого испытуемым источником, характеризуется разбросом результатов повторных измерений, выполненных в одних и тех же условиях. Соответственно, стандартная неопределенность

, дБ, может быть выражена через выборочное стандартное отклонение

результатов измерений и рассчитана по формуле

,
где

- некорректированный на фоновый шум результат j-го повторного измерения в заданной точке эквивалентного уровня звукового давления в заданных условиях установки и работы испытуемого источника, дБ;

- арифметическое среднее по всем

, дБ;
N - число повторных измерений, которое должно быть не менее шести.
Повторные измерения выполнены в условиях повторяемости, т.е. за короткий промежуток времени в одном месте с использованием одного и того же метода измерений, включая средства измерений, одним и тем же испытателем. При каждом повторном испытании включение и настройку средств измерений выполняют заново.
Коэффициент чувствительности

представляет собой производную функции измерения

по

и зависит от уровня фонового шума. После подстановки выражения для коррекции на фоновый шум
[формула (7)], формула для расчета

преобразуется к виду

.
Это выражение может быть упрощено до

и для наихудшего случая, когда уровень шума совпадает с предельно допустимым значением, может быть аппроксимировано как

. Если стандартное отклонение флуктуаций уровня звукового давления фонового шума составляет 3 дБ, то

будет не менее 0,6 дБ, и вклад данной составляющей неопределенности

в суммарную стандартную неопределенность составит 0,7 дБ. В данном примере за счет мер по снижению фонового шума это значение принято равным 0,4 дБ.
Если продолжительность измерений T не позволит охватить достаточное число циклов работы машины, то суммарная стандартная неопределенность может стать недопустимо большой. Увеличение продолжительности измерений так, чтобы они включали в себя несколько полных циклов работы машины, позволяет существенно снизить данную составляющую неопределенности.
E.4.2.4. Коррекция на фоновый шум

Стандартная неопределенность

, ДБ, обусловленная коррекцией на фоновый шум

, может быть выражена через выборочное стандартное отклонение

по серии повторных измерений фонового шума в одной точке измерений (точке установки микрофона).
Коэффициент чувствительности

получают, взяв производную функции измерения

по

. Подставляя значение

, полученное по
формуле (7), учитывая, что знак коэффициента чувствительности при оценке вклада составляющей неопределенности значения не имеет, величину

можно представить в виде

.
Данную формулу можно преобразовать к виду

, подставляя вместо

корректированное на фоновый шум значение

. В самом плохом случае высокого фонового шума со стандартным отклонением 3 дБ и

(см.
8.1) получаем

. Это даст вклад

в суммарную стандартную неопределенность, равный 1,0 дБ, хотя в большинстве случаев его значение будет близко к 0,4 дБ. Уменьшение флуктуаций фонового шума уменьшает вклад данной составляющей неопределенности. Кроме того, можно ожидать, что

снизится примерно вдвое, если вчетверо увеличить временной интервал усреднения T. Существенного уменьшения коэффициента чувствительности можно добиться за счет уменьшения фонового шума посредством выявления его источников с последующим принятием мер по их звукоизоляции или звукопоглощению. Такие меры могут включать в себя устройство надлежащего заземления, изоляцию проводов, виброизоляцию, использование дополнительных масс и дополнительных поглощающих материалов и т.д. В больших помещениях уровень реверберационного поля выше вблизи источника шума, поэтому уменьшить влияние фонового шума можно, располагая микрофон ближе к испытуемому источнику.
Стандартная неопределенность

и коэффициент чувствительности

для образцового источника шума определяются аналогичным образом. В данном примере вклад

в суммарную стандартную неопределенность предполагается равным 0,4 ДБ.
E.4.2.5. Поправка на импеданс излучения

Неопределенность, связанную с поправкой на импеданс излучения

(см.
Приложение C), можно описать через стандартное отклонение

, чье значение можно принять равным 0,3 дБ.
Если измерения проводят на высоте менее 500 м над уровнем моря, то поправку на атмосферные условия не учитывают (т.е. принимают

). При этом на высоте 120 м при температуре воздуха 23 °C поправка равна нулю, а на высоте 500 м при той же температуре она равна 0,6 дБ. Приписывая распределению случайной величины, связанной с неучетом поправки, треугольное распределение, получим для него стандартное отклонение

. Данное значение принимают за

.
Коэффициент чувствительности

для данного фактора равен единице.
Принимая, что испытания проводятся на высоте менее 500 м над уровнем моря, и не внося поправку на атмосферные условия, получим, что вклад данной составляющей неопределенности равен 0,3 дБ. Этот вклад можно уменьшить, изменив место проведения испытаний (например, проводя испытания на уровне моря при давлении 101,325 кПа и при нормальной температуре 23 °C) или учитывая поправку на атмосферные условия.
E.4.2.6. Показатель реверберационности поля (

и

)
Е.4.2.6.1. Общие положения
Точность метода, установленного настоящим стандартом, в первую очередь определяется значением показателя реверберационности поля

. Если

, то вклад соответствующей составляющей неопределенности

не превышает 1 дБ. При

этот вклад может достигать 4 дБ и должен быть рассчитан в соответствии с E.4.2.6.2 и
E.4.2.6.3. Данную составляющую неопределенности можно разбить на две части: неопределенность, связанную с измерительным расстоянием

, и неопределенность выборки

, т.е. представить в виде

(см. E.4.2.6.2 и
E.4.2.6.3).
E.4.2.6.2. Измерительное расстояние

Давление в звуковой волне, распространяющейся от источника, зависит от пройденного расстояния. Испытуемый источник не является точечным, и с этим связана неопределенность определения расстояния от источника до микрофона. Если максимальный размер источника равен D, то указанную неопределенность можно характеризовать прямоугольным распределением вероятностей на интервале +/- D/2. Соответствующее стандартное отклонение равно

. Образцовый источник шума часто устанавливают рядом с испытуемым источником, поэтому расстоянию до образцового источника шума можно поставить в соответствие то же распределение с тем же стандартным отклонением. Суммирование двух распределений даст стандартное отклонение, которое принимают за стандартную неопределенность

измерительного расстояния r, равную

.
Данную неопределенность можно уменьшить, если равномерно расставить вокруг испытуемого источника шума n микрофонов. Тогда

.
Усредненный по точкам измерений уровень звукового давления образцового источника шума

можно представить в виде суммы двух составляющих. Первая из них определяется прямой звуковой волной, распространяющейся от источника,

, вторая - реверберационным полем волны

, т.е.

. При этом составляющую прямой волны

, дБ, можно представить в виде

. Тогда слагаемое

в
формуле (A.1) можно выразить через

, дБ по формуле

. С учетом того, что

от измерительного расстояния не зависит, производная от

по r дает значение коэффициента чувствительности

. Тот же результат будет получен для коэффициента чувствительности, связанного с неопределенностью определения расстояния от микрофона до испытуемого источника шума.
В качестве наихудшего варианта можно принять

, все точки измерений находятся по одну сторону от испытуемого источника шума, его максимальный размер D = 3 м, измерительное расстояние r = 6 м. В этом случае получим

и

. Вклад данной составляющей неопределенности

. Обычно измерения на большем удалении от машины позволяют снизить вклад до 0,4 дБ. Уменьшить вклад данной составляющей неопределенности можно за счет увеличения измерительного расстояния, повышения показателя реверберационности поля и способа распределения мест установки микрофонов вокруг испытуемого источника.
E.4.2.6.3. Неравномерность распределения уровня звукового давления по испытательному пространству

Как для свободного, так и реверберационного звуковых полей стандартная неопределенность

, дБ, связанная с конечным числом точек измерений, имеет вид

, где n - число точек установки микрофонов,

- выборочное стандартное отклонение значений

, определенным в каждой точке измерений. Если в испытании образцовый источник шума устанавливают в нескольких местах, то для каждой точки установки микрофона усреднение по

следует выполнять таким образом, чтобы избежать влияния на оценку неопределенности результатов измерений, полученных, когда образцовый источник шума экранирован от одной или нескольких точек установки микрофона.
Коэффициент чувствительности

для данного фактора равен единице.
В качестве наихудшего случая можно рассмотреть ситуацию, когда измерения проводят в трех точках и

, тогда

. Обычно

принимает меньшие значения, и вклад данной составляющей неопределенности можно принять равным 0,7 дБ. Этот вклад можно уменьшить посредством увеличения числа мест установки образцового источника шума и микрофонов, увеличения

за счет увеличения времени реверберации в помещении (уменьшения звукопоглощения), увеличения

за счет отнесения точки измерений дальше от источника (максимум на 20 м) и применении акустических рассеивателей звука. Если точки измерений расположены вокруг испытуемого источника, то рассматриваемая входная величина будет коррелирована с измерительным расстоянием, и их суммарное влияние будет меньше рассчитанного.
E.4.2.7. Инструментальная неопределенность

При измерениях звуковой мощности с использованием шумомеров класса 1 стандартную неопределенность

, обусловленную применяемым средством измерений, можно принять равной приблизительно 0,5 дБ. Однако если измерения проводят методом сравнения с использованием одного и того же шумомера в течение короткого периода времени, то систематические эффекты, связанные с калибровкой, отклонением метрологических характеристик (направленности, частотной коррекции) и влияющими факторами (температура, давление, влажность), взаимно компенсируются и не оказывают влияния на результаты измерений уровней звуковой мощности. Вклад данной составляющей неопределенности оказывается меньше 0,5 дБ, что можно интерпретировать как уменьшение значения коэффициента чувствительности. Полагая

, получаем вклад

, причем это справедливо для измерений как с испытуемым, так и с образцовым источником шума. Суммирование (среднеквадратичное) инструментальной неопределенности для этих двух измерений дает общий вклад, равный 0,4 дБ.
Факторы, влияющие на инструментальную неопределенность при применении шумомеров, подробно рассматриваются в МЭК 61672-1.
E.4.2.8. Температура воздуха

В рассматриваемом примере предполагается, что изменения температуры

, °C, происходят в диапазоне

и характеризуются прямоугольным распределением в пределах этого диапазона. Тогда стандартная неопределенность

будет равна стандартному отклонению данного распределения,

.
Коэффициент чувствительности

получают дифференцированием

по

. Основная формула для

получена из
[2] с исключением слагаемого

. Оценки звукопоглощения в помещении взяты из
[16]. Коэффициент звукопоглощения определяют через коэффициент звукопоглощения в испытательном помещении

, звукопоглощение в воздухе на единицу пути

и оценку Сэбина среднего пути между двумя последовательными отражениями в помещении 4V/S (V - объем помещения, S - площадь его внутренних поверхностей), что для помещений объемом от 70 до 200 м3 дает значение среднего пути приблизительно 3,3 м. В результате формула для оценки

принимает вид
где H - относительная влажность воздуха в испытательном пространстве, %;
f - максимальная частота, уровень звукового давления на которой оказывает существенное влияние на результат измерения корректированного по A уровня звуковой мощности.
Коэффициент чувствительности

принимает максимальные значения при f = 10000 Гц, если испытания проводят в сухом помещении при низкой температуре.
Типичным неблагоприятным случаем можно считать, если испытуемый источник шума изменяет температуру воздуха в помещении, например, на 10 °C, что дает

. В данном примере предполагается, что основная часть излучаемой звуковой мощности сосредоточена в диапазоне до 1000 Гц. Принимая значения температуры окружающего воздуха 10 °C и относительной влажности 10%, получаем, что коэффициент чувствительности

будет равен приблизительно 0,3 дБ/°C, и вклад

данного источника неопределенности составит 1 дБ. Принятие специальных мер по обеспечению стабильности температуры в испытательном помещении и сохранению условий температурного равновесия или сокращение общего времени измерений может позволить уменьшить составляющую неопределенности, обусловленную изменениями температуры воздуха, до приблизительно 0,2 дБ.
При повышении температуры и влажности воздуха коэффициент чувствительности

слабее зависит от изменений температуры. В
[2] рекомендуемыми диапазонами изменений являются +/- 1 °C для температуры и +/- 3% для влажности воздуха при температурах ниже 20 °C и при относительной влажности менее 30%. Для температуры выше 20 °C при относительной влажности выше 50% такими диапазонами являются соответственно +/- 5 °C и +/- 10%.
E.4.2.9. Калибровка образцового источника шума

Стандартная неопределенность

, связанная с калибровкой образцового источника шума в заданных условиях с применением поправок на атмосферные и рабочие условия, определенных изготовителем, обычно равна 0,5 дБ. Точное значение этой величины указано в сертификате калибровки (свидетельства о поверке). Смещение, обусловленное калибровкой образцового источника шума, непосредственно в качестве слагаемого входит в оценку измеряемой величины, поэтому коэффициент чувствительности

.
На результаты измерений уровня звукового давления, создаваемого образцовым источником шума в области нижних частот, влияют находящиеся в испытательном пространстве звукоотражающие поверхности. В качестве таковых могут рассматриваться все объекты с твердым покрытием размером более длины волны

. Если образцовый источник шума расположен на расстоянии от звукоотражающей поверхности менее

, то это может повысить на 3 дБ звуковую мощность источника. Аналогично, если образцовый источник шума поднять над полом на высоту более

, то это уменьшит на 3 дБ его звуковую мощность. Вклад данной составляющей неопределенности может быть уменьшен, если калибровку образцового источника шума проводить при заданном расстоянии от звукоотражающей поверхности.
E.4.2.10. Изменения звукового поля, создаваемого образцовым источником шума

Работа образцового источника шума отличается высокой стабильностью и высоким уровнем излучения, поэтому обычно связанная с данной входной величиной стандартная неопределенность

является несущественной. Исключением являются испытания при значительном фоновом шуме, когда разность уровней звукового давления образцового источника шума и фонового шума не превышает 15 дБ. В таких случаях возможна значительная вариация результатов измерений шума, производимого образцовым источником. Вклад данного источника неопределенности рассчитывается так же, как в
E.4.2.3. В качестве оценки стандартной неопределенности

, дБ, берется выборочное стандартное отклонение по результатам шести измерений уровня звукового давления в одной точке установки микрофона, рассчитывается по формуле

.
Выражение для коэффициента чувствительности имеет вид

,
где

- разность уровней звукового давления при работающем и отключенном (т.е. когда в испытательном пространстве присутствует только фоновый шум) образцовом источнике шума, дБ.
Наиболее велико влияние данного источника неопределенности будет в случае, рассмотренном в
E.4.2.3, с вкладом

, равным 0,7 дБ. В данном примере предполагается, что за счет лучшего контроля фонового шума этот вклад снижен до 0,4 дБ. Если результаты измерений фонового шума имеют хорошую повторяемость, то значение

может быть уменьшено при увеличении продолжительности измерений (как для фонового шума, так и шума образцового источника). Снижение фонового шума имеет двойное действие. Оно приводит к уменьшению как стандартной неопределенности

, так и коэффициента чувствительности

.
E.4.2.11. Коррекция на фоновый шум для образцового источника шума

Если разность уровней звукового давления образцового источника шума и фонового шума не превышает 15 дБ, то результаты измерений для образцового источника шума корректируют на фоновый шум, и в силу чего коррекция является дополнительным источником неопределенности измерения. Так же, как и в
E.4.2.4, в качестве оценки стандартной неопределенности берется выборочное стандартное отклонение по шести повторным измерениям, и

.
Коэффициент чувствительности

имеет вид

.
В наихудшем случае, рассмотренном в
E.4.2.4, вклад составляющей неопределенности был равен 0,7 дБ. В настоящем примере вклад

с учетом предполагаемого лучшего контроля фонового шума оценивается в 0,4 дБ. Существенного уменьшения коэффициента чувствительности можно добиться за счет уменьшения фонового шума посредством выявления его источников с последующим принятием мер по их звукоизоляции или звукопоглощению. Такие меры могут включать в себя устройство надлежащего заземления, изоляцию проводов, виброизоляцию, использование дополнительных масс и дополнительных поглощающих материалов и т.д. Кроме того, можно ожидать, что

снизится примерно вдвое, если вчетверо увеличить временной интервал усреднения T. В больших помещениях уровень реверберационного поля выше вблизи источника шума, поэтому уменьшить влияние фонового шума можно, располагая микрофон ближе к испытуемому источнику.
E.4.2.12. Типичные значения

С учетом изложенного в
E.4.2.2 -
E.4.2.11 и
формулы (E.2) можно получить оценку типичного значения

, дБ, технического метода измерений по формуле
E.5. Суммарная стандартная неопределенность
В случае предполагаемой незначительной корреляции между входными величинами суммарную стандартную неопределенность

, дБ, уровня звуковой мощности

, дБ, рассчитывают по формуле

. (E.3)
E.6. Использование результатов измерений в условиях воспроизводимости
При отсутствии информации о составляющих неопределенности и возможных корреляциях между входными величинами в качестве суммарной стандартной неопределенности

может быть использовано стандартное отклонение воспроизводимости (см.
раздел 9). Затем для получения расширенной неопределенности U выбирают значение коэффициента охвата k. По умолчанию интервал охвата определяют для вероятности охвата 95%. Тогда в предположении нормального распределения случайной величины, ассоциированной с измеряемой величиной

, k = 2. Чтобы избежать неправильного толкования, вместе с расширенной неопределенностью в протоколе испытаний следует указывать примененное значение вероятности охвата.
(справочное)
СВЕДЕНИЯ О СООТВЕТСТВИИ ССЫЛОЧНЫХ МЕЖДУНАРОДНЫХ
СТАНДАРТОВ НАЦИОНАЛЬНЫМ СТАНДАРТАМ РОССИЙСКОЙ ФЕДЕРАЦИИ
(И ДЕЙСТВУЮЩИМ В ЭТОМ КАЧЕСТВЕ МЕЖГОСУДАРСТВЕННЫМ
СТАНДАРТАМ)
Таблица ДА.1
Обозначение ссылочного международного стандарта | Степень соответствия | Обозначение и наименование национального стандарта |
ИСО 5725 (все части) | IDT | ГОСТ Р ИСО 5725-1-2002 "Точность (правильность и прецизионность) методов и результатов измерений. Часть 1. Основные положения и определения" ГОСТ Р ИСО 5725-2-2002 "Точность (правильность и прецизионность) методов и результатов измерений. Часть 2. Основной метод определения повторяемости и воспроизводимости стандартного метода измерений" ГОСТ Р ИСО 5725-3-2002 "Точность (правильность и прецизионность) методов и результатов измерений. Часть 3. Промежуточные показатели прецизионности стандартного метода измерений" ГОСТ Р ИСО 5725-4-2002 "Точность (правильность и прецизионность) методов и результатов измерений. Часть 4. Основные методы определения правильности стандартного метода измерений" ГОСТ Р ИСО 5725-5-2002 "Точность (правильность и прецизионность) методов и результатов измерений. Часть 5. Альтернативные методы определения правильности стандартного метода измерений" ГОСТ Р ИСО 5725-6-2002 "Точность (правильность и прецизионность) методов и результатов измерений. Часть 6. Использование значений точности на практике" |
ИСО 6926 | - | |
ИСО 12001:1996 | - | |
Руководство ИСО/МЭК 98-3 | IDT | ГОСТ Р 54500.3-2011 "Неопределенность измерения. Часть 3. Руководство по выражению неопределенности измерения" |
МЭК 60942:2003 | IDT | |
МЭК 61260:1995 | MOD | ГОСТ Р 8.714-2010 "Государственная система обеспечения единства измерений. Фильтры полосовые октавные и на доли октавы. Технические требования и методы испытаний" |
МЭК 61672-1:2002 | MOD | |
<*> Соответствующий национальный стандарт отсутствует. До его утверждения рекомендуется использовать перевод на русский язык данного международного стандарта. Перевод данного международного стандарта находится в Федеральном информационном фонде технических регламентов и стандартов. Примечание. В настоящей таблице использовано следующее условное обозначение степени соответствия стандарта: - IDT - идентичный стандарт; - MOD - модифицированный стандарт. |
| ISO 3740, Acoustics - Determination of sound power levels of noise sources - Guidelines for the use of basic standards |
| ISO 3741, Acoustics - Determination of sound power levels and sound energy levels of noise sources using sound pressure - Precision methods for reverberation test rooms |
[3] | ISO 3743-1, Acoustics - Determination of sound power levels and sound energy levels of noise sources using sound pressure - Engineering methods for small movable sources in reverberant fields - Part 1: Comparison method for a hard-walled test room |
[4] | ISO 3743-2, Acoustics - Determination of sound power levels of noise sources using sound pressure - Engineering methods for small, movable sources in reverberant fields - Part 2: Methods for special reverberation test rooms |
| ISO 3744, Acoustics - Determination of sound power levels and sound energy levels of noise sources using sound pressure - Engineering methods for an essentially free field over a reflecting plane |
[6] | ISO 3745, Acoustics - Determination of sound power levels and sound energy levels of noise sources using sound pressure - Precision methods for anechoic test rooms and hemi-anechoic test rooms |
| ISO 3746, Acoustics - Determination of sound power levels and sound energy levels of noise sources using sound pressure - Survey method using an enveloping measurement surface over a reflecting plane |
| ISO 4871, Acoustics - Declaration and verification of noise emission values of machinery and equipment |
[9] | ISO 7574-1, Acoustics - Statistical methods for determining and verifying stated noise emission values of machinery and equipment - Part 1: General considerations and definitions |
[10] | ISO 7574-2, Acoustics - Statistical methods for determining and verifying stated noise emission values of machinery and equipment - Part 2: Methods for stated values for individual machines |
[11] | ISO 7574-3, Acoustics - Statistical methods for determining and verifying stated noise emission values of machinery and equipment - Part 3: Simple (transition) method for stated values for batches of machines |
[12] | ISO 7574-4, Acoustics - Statistical methods for determining and verifying stated noise emission values of machinery and equipment - Part 4: Methods for stated values for batches of machines |
[13] | ISO/TS 7849-1, Acoustics - Determination of airborne sound power levels emitted by machinery using vibration measurement - Part 1: Survey method using a fixed radiation factor |
[14] | ISO/TS 7849-2, Acoustics - Determination of airborne sound power levels emitted by machinery using vibration measurement - Part 2: Engineering method including determination of the adequate radiation factor |
| ISO 9296, Acoustics - Declared noise emission values of computer and business equipment |
| ISO 9613-1, Acoustics - Attenuation of sound during propagation outdoors - Part 1: Calculation of the absorption of sound by the atmosphere |
| ISO 9614-1, Acoustics - Determination of sound power levels of noise sources using sound intensity - Part 1: Measurement at discrete points |
| ISO 9614-2, Acoustics - Determination of sound power levels of noise sources using sound intensity - Part 2: Measurement by scanning |
| ISO 9614-3, Acoustics - Determination of sound power levels of noise sources using sound intensity - Part 3: Precision method for measurement by scanning |
| ISO 14257:2001, Acoustics - Measurement and parametric description of spatial sound distribution curves in workrooms for evaluation of their acoustical performance |
| ISO/TR 25417:2007, Acoustics - Definitions of basic quantities and terms |
| ISO 80000-8, Quantities and units - Part 8: Acoustics |
[23] | WITTSTOCK, V. On the uncertainty of meteorological corrections in sound power determination. In: Proceedings Inter-Noise 2004 (CD-ROM), Prague, 2004 |
|  Sound power related to normalized meteorological conditions. In: Proceedings Inter-Noise 1999 (CD-ROM), Fort Lauderdale, FL, 1999 |
| JONASSON, H.G. Accurate sound power measurements using a reference sound source.  : Swedish National Testing Institute, 1985. 50 p. (Technical report SP-RAPP 1984:19.) |
[26] | JONASSON, H.G. Sound power measurements in situ using a reference sound source.  : Swedish National Testing Institute, 1988. (SP report 1988:03.) |
[27] | JONASSON, H.G. Determination of emission sound pressure level and sound power level in situ.  : Swedish National Testing and Research Institute, 1999. 80 p. (SP report 1999:18.) |
[28] | PROBST, W. Checking of sound emission values. Bremerhaven: Wirtschaftsverlag NW, Verlag  Neue Wissenschaft, 1999. 102 p. (Schriftenreihe der Bundesanstalt  Arbietsschutz und Arbeitsmedizin: Forschung, Special report, 851.) |
[29] | TACHIBANA, H., YANO, H., YOSHIHISA, K. Definition and measurement of sound energy level of a transient sound source. J. Acoust. Soc. Jpn 1987, 8, pp. 235 - 240 |