Главная // Актуальные документы // ГОСТ Р (Государственный стандарт)СПРАВКА
Источник публикации
М.: Стандартинформ, 2014
Примечание к документу
Документ
введен в действие с 1 декабря 2013 года.
Название документа
"ГОСТ Р ЕН 12354-1-2012. Национальный стандарт Российской Федерации. Акустика зданий. Методы расчета акустических характеристик зданий по характеристикам их элементов. Часть 1. Звукоизоляция воздушного шума между помещениями"
(утв. и введен в действие Приказом Росстандарта от 29.11.2012 N 1385-ст)
"ГОСТ Р ЕН 12354-1-2012. Национальный стандарт Российской Федерации. Акустика зданий. Методы расчета акустических характеристик зданий по характеристикам их элементов. Часть 1. Звукоизоляция воздушного шума между помещениями"
(утв. и введен в действие Приказом Росстандарта от 29.11.2012 N 1385-ст)
Утвержден и введен в действие
агентства по техническому
регулированию и метрологии
от 29 ноября 2012 г. N 1385-ст
НАЦИОНАЛЬНЫЙ СТАНДАРТ РОССИЙСКОЙ ФЕДЕРАЦИИ
АКУСТИКА ЗДАНИЙ
МЕТОДЫ РАСЧЕТА АКУСТИЧЕСКИХ ХАРАКТЕРИСТИК ЗДАНИЙ
ПО ХАРАКТЕРИСТИКАМ ИХ ЭЛЕМЕНТОВ
ЧАСТЬ 1
ЗВУКОИЗОЛЯЦИЯ ВОЗДУШНОГО ШУМА МЕЖДУ ПОМЕЩЕНИЯМИ
Building acoustics. Estimation of acoustic performance
of buildings from the performance of elements.
Part 1: Airborne sound insulation between rooms
EN 12354-1:2000
Building acoustics - Estimation of acoustic performance
of buildings from the performance of elements - Part 1:
Airborne sound insulation between rooms
(IDT)
ГОСТ Р ЕН 12354-1-2012
Дата введения
1 декабря 2013 года
1 ПОДГОТОВЛЕН Автономной некоммерческой организацией "Научно-исследовательский центр контроля и диагностики технических систем" (АНО "НИЦ КД") на основе собственного аутентичного перевода на русский язык европейского регионального стандарта, указанного в пункте 4
2 ВНЕСЕН Техническим комитетом по стандартизации ТК 358 "Акустика"
3 УТВЕРЖДЕН И ВВЕДЕН В ДЕЙСТВИЕ
Приказом Федерального агентства по техническому регулированию и метрологии от 29 ноября 2012 г. N 1385-ст
4 Настоящий стандарт идентичен европейскому региональному стандарту ЕН 12354-1:2000 "Акустика зданий. Оценка акустических характеристик зданий по характеристикам элементов. Часть 1. Звукоизоляция воздушного шума между помещениями" (EN 12354-1:2000 "Building acoustics - Estimation of acoustic performance of buildings from the performance of elements - Part 1. Airborne sound insulation between rooms").
При применении настоящего стандарта рекомендуется использовать вместо ссылочных международных стандартов соответствующие им национальные стандарты Российской Федерации, сведения о которых приведены в дополнительном
приложении ДА
5 ВВЕДЕН ВПЕРВЫЕ
Правила применения настоящего стандарта установлены в ГОСТ Р 1.0-2012
(раздел 8). Информация об изменениях к настоящему стандарту публикуется в ежегодном (по состоянию на 1 января текущего года) информационном указателе "Национальные стандарты", а официальный текст изменений и поправок - в ежемесячном информационном указателе "Национальные стандарты". В случае пересмотра (замены) или отмены настоящего стандарта соответствующее уведомление будет опубликовано в ближайшем выпуске информационного указателя "Национальные стандарты". Соответствующая информация, уведомление и тексты размещаются также в информационной системе общего пользования - на официальном сайте Федерального агентства по техническому регулированию и метрологии в сети Интернет (gost.ru)
Настоящий стандарт устанавливает расчетные методы оценки звукоизоляции воздушного шума, распространяющегося в зданиях между помещениями, прежде всего на основе результатов измерений, характеризующих прямую или косвенную передачу звука (далее - звукопередача) строительными конструкциями, а также на основе теории распространения звука в строительных конструкциях.
Расчет в соответствии с полной расчетной моделью выполняют в частотных полосах, по значениям характеристик в которых рассчитывают оценку акустических характеристик зданий одним числом. Упрощенная модель, имеющая ограниченную область применения, непосредственно следует из данной оценки, полученной на основе оценок одним числом для строительных элементов.
Настоящий стандарт устанавливает основные принципы построения расчетных схем звукоизоляции, определяет область их применения и ограничения, устанавливает перечень соответствующих величин. Стандарт предназначен для экспертов в области акустики и служит основой для разработки документов и программных средств для других специалистов в строительстве с учетом региональных требований.
В расчетных моделях используются связи расчетных значений с измеряемыми величинами, определяющими акустические характеристики строительных элементов. В настоящем стандарте указаны ограничения рассматриваемых расчетных моделей. Пользователям, однако, следует знать о существовании других моделей расчета, имеющих свою область применения и ограничения.
Расчетные модели основаны на опыте прогнозирования акустических характеристик жилых помещений. Они могут использоваться также для других типов зданий при условии, что строительные системы и размеры элементов не слишком отличаются от применяемых в жилых зданиях.
В настоящем стандарте использованы нормативные ссылки на следующие стандарты. Недатированную ссылку относят к последней редакции ссылочного стандарта, включая его изменения.
ЕН 20140-10 <*> Акустика. Измерение звукоизоляции зданий и строительных элементов. Часть 10. Лабораторные измерения звукоизоляции воздушного шума малых строительных изделий (EN 20140-10, Acoustics - Measurement of sound insulation in buildings and of building elements - Part 10: Laboratory measurement of airborne sound insulation of small building elements)
--------------------------------
<*> Европейский стандарт ЕН 20140-10, а также серия стандартов ЕН ИСО 140 (части 1, 3) заменены на серию стандартов ЕН ИСО 10140 (части 1 - 5), идентичных ИСО 10140 (части 1 - 5). Если требования отмененных ссылочных стандартов эквивалентны требованиям новых стандартов, то последние указаны далее в сносках.
ЕН ИСО 140-1
<*> Акустика. Измерение звукоизоляции зданий и строительных элементов. Часть 1. Требования к лабораторному испытательному оборудованию с подавлением побочных путей распространения звука (EN ISO 140-1, Acoustics - Measurement of sound insulation in buildings and of building elements - Part 1: Requirements for laboratory test facilities with suppressed flanking transmission)
ЕН ИСО 140-3 <*> Акустика. Измерение звукоизоляции зданий и строительных элементов. Часть 3. Лабораторные измерения звукоизоляции воздушного шума элементами зданий (EN ISO 140-3, Acoustics - Measurement of sound insulation in buildings and of building elements - Part 3: Laboratory measurement of airborne sound insulation of building elements)
--------------------------------
<*> Европейский стандарт ЕН 20140-10, а также серия стандартов ЕН ИСО 140 (части 1, 3) заменены на серию стандартов ЕН ИСО 10140 (части 1 - 5), идентичных ИСО 10140 (части 1 - 5). Если требования отмененных ссылочных стандартов эквивалентны требованиям новых стандартов, то последние указаны далее в сносках.
ЕН ИСО 140-4 Акустика. Измерение звукоизоляции зданий и строительных элементов. Часть 4. Натурные измерения звукоизоляции воздушного шума между помещениями (EN ISO 140-4, Acoustics - Measurement of sound insulation in buildings and of building elements - Part 4: Field measurements of airborne sound insulation between rooms)
ЕН ИСО 717-1 Нормирование звукоизоляции зданий и строительных элементов. Часть 1. Звукоизоляция воздушного шума (EN ISO 717-1, Acoustics - Rating of sound insulation in buildings and of building elements - Part 1: Airborne sound insulation)
ЕН ИСО 10848-1 Акустика. Лабораторные измерения косвенной передачи воздушного и ударного шума между смежными помещениями. Часть 1. Основные положения (EN ISO 10848-1, Acoustics - Laboratory measurement of the flanking transmission of airborne and impact sound between adjoining rooms - Part 1: Frame document)
В настоящем стандарте применены следующие термины с соответствующими определениями.
3.1 Величины, характеризующие акустические свойства зданий
Звукоизоляция воздушного шума между помещениями в соответствии с ЕН ИСО 140-4 может быть выражена несколькими взаимосвязанными величинами, определяемыми в полосах частот (третьоктавных или октавных), по которым в соответствии с ЕН ИСО 717-1 определяют оценку одним числом, например

,
DnT,w или (
DnT,w +
C).
3.1.1 фактическая звукоизоляция (apparent sound reduction index)
R', дБ: Величина, равная со знаком минус десятикратному десятичному логарифму отношения суммарной звуковой мощности
Wtot шума в приемном помещении
<**> к звуковой мощности
W1 шума, падающего на разделительный элемент, и рассчитываемая по формуле

(1)
Примечание 1 - Суммарная звуковая мощность шума в приемном помещении включает в себя мощность шума, излученного разделительным элементом и боковыми по отношению к нему элементами помещения, а также другие составляющие.
Примечание 2 - Обычно значение R' рассчитывают по результатам измерений по формуле

(2)
где L1 - средний уровень звукового давления в помещении источника, дБ;
L2 - средний уровень звукового давления в приемном помещении, дБ;
A - эквивалентная площадь звукопоглощения приемного помещения, м2;
Ss - площадь разделительного элемента, м2.
--------------------------------
<**> Помещение, в котором расположен создающий шум источник, называют помещением источника. Помещение, в котором контролируют (измеряют) уровень шума, называют приемным помещением. Стену (пол или потолок), отделяющую приемное помещение от помещения источника, называют разделительным элементом.
<***> Данное отношение, аналогичное коэффициенту звукопроницаемости (см., например, "Борьба с шумом на производстве" Справочник под общ. ред. Е.Я. Юдина - М.: Машиностроение, 1985), можно назвать коэффициентом фактической звукопроницаемости.
3.1.2 стандартизованная разность уровней (standardized level difference) DnT, дБ: Разность средних уровней звукового давления шума в двух помещениях, созданного расположенными в одном из помещений одним или несколькими источниками шума, отнесенная ко времени реверберации приемного помещения и рассчитываемая по формуле

(3)
где T - время реверберации приемного помещения, с;
T0 - стандартное время реверберации (для жилых помещений T0 = 0,5 с).
3.1.3 приведенная разность уровней (normalized level difference) Dn, дБ: Разность средних уровней звукового давления шума в двух помещениях, созданного расположенными в одном из помещений одним или несколькими источниками шума, соответствующая эквивалентной площади звукопоглощения приемного помещения и рассчитываемая по формуле

(4)
где A0 - стандартная эквивалентная площадь звукопоглощения. Здесь и далее A0 = 10 м2.
3.1.4 Связь между величинами
Разности уровней и фактическая звукоизоляция связаны формулами:

(5а)

(5б)
где V - объем приемного помещения, м3.
Достаточно оценить одну из этих величин, чтобы определить другую. В настоящем стандарте в качестве основной величины, подлежащей оценке, принята фактическая звукоизоляция R'.
3.2 Акустические характеристики элементов
Акустические характеристики элементов используют в качестве исходных данных для оценки характеристик зданий. Данные величины определяют в третьоктавных полосах частот, а также при необходимости в октавных полосах. Оценка одним числом характеристик элемента, например Rw(C; Ctr), может быть определена в соответствии с ЕН ИСО 717-1 <*>.
--------------------------------
<*> Оценку одним числом
Rw звукоизоляции
R называют индексом изоляции воздушного шума и рассчитывают методом по
СП 51.13330.2011 "Защита от шума", эквивалентным методу по ЕН ИСО 717-1.
3.2.1 звукоизоляция (sound reduction index) R, дБ: Десятикратный десятичный логарифм отношения звуковой мощности W1, падающей на испытуемый элемент, к звуковой мощности W2, прошедшей через него

(6)
Примечание - Данную величину определяют в соответствии с ЕН ИСО 140-3 <**>.
--------------------------------
<**> Следует применять ЕН ИСО 10140-2.
3.2.2 улучшение звукоизоляции (sound reduction index improvement)

, дБ: Разность между звукоизоляцией базового структурного элемента при наличии и отсутствии на нем дополнительного покрытия (например, эластичных обоев, подвесного потолка, плавающего пола).
Примечание - В
приложении D приведены сведения о методах определения данной величины и примеры ее использования.
3.2.3 приведенная разность уровней элемента (element normalized level difference) Dn,e, дБ: Разность средних уровней звукового давления шума в двух помещениях, созданного находящимся в одном из них источником, при условии, что звукопередача из одного помещения в другое происходит только через строительный элемент малых размеров (например, воздухораспределительное устройство, электрический кабельный канал, система переходного уплотнения).
Примечание 1 - Величина Dn,e приведена к эквивалентной площади звукопоглощения A приемного помещения и рассчитывается по формуле

(7)
Примечание 2 - Данную величину определяют в соответствии с ЕН 20140-10
<*>.
3.2.4 приведенная разность уровней звукопередачи воздушного шума по обходному пути (normalized level difference for indirect airborne transmission) Dn,s, дБ: Разность средних уровней звукового давления шума в двух помещениях, созданного источником в одном из них, причем звукопередача происходит по известному обходному пути s между помещениями (например, по системе вентиляции, коридорам).
Примечание 1 - Величина Dn,s приведена к эквивалентной площади звукопоглощения A приемного помещения и рассчитывается по формуле

(8)
Подстрочный индекс
s указывает на вид рассматриваемой звукопередачи. Данную величину определяют в соответствии с ЕН 20140-10
<*>.
Примечание 2 - Специальные методы измерений для систем определенного вида должны быть подготовлены техническими комитетами по стандартизации ЕН/ТК 126 или ЕН/ТК 211 (см.
приложение F).
3.2.5 приведенная разность уровней побочного шума (flanking normalized level difference) Dn,f, дБ: Разность средних уровней звукового давления шума в двух помещениях, созданного источником в одном из них, причем звукопередача проходит по известному побочному пути (например, подвесному потолку, плавающему полу, фасаду).
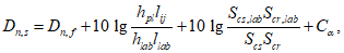
Примечание 1 - Величина Dn,f приведена к эквивалентной площади звукопоглощения A приемного помещения и рассчитывается по формуле

(9)
Данную величину определяют в соответствии с ЕН ИСО 10848-1.
Примечание 2 - Расчеты для подвесных потолков выполняют в соответствии с ЕН 20140-09 <*>, в котором индекс "
c" используется вместо общего индекса "
f". Для фальшполов имеется стандарт ЕН ИСО 140-11 <**> (см.
приложение F).
--------------------------------
<*> Европейский стандарт ЕН 20140-9:1994 отменен с заменой на ЕН ИСО 10848-2:2006.
<**> Действует ЕН ИСО 10140-1.
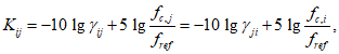
3.2.6 индекс снижения вибрации (vibration reduction index) Kij, дБ: Величина, характеризующая передачу вибрационной мощности через соединение элементов i и j и нормированная в целях придания ей инвариантности по отношению к размерам элементов, определяемая средней по направлению разностью уровней скорости через соединение, отнесенной к его длине и эквивалентной длине поглощения обоих элементов, если применимо, по формуле

(10)
где Dv,ij - разность уровней скорости соединенных элементов i и j при возбуждении элемента i, дБ;
Dv,ji - разность уровней скорости соединенных элементов j и i при возбуждении элемента j, дБ;
lij - длина соединения элементов i и j, м;
ai - эквивалентная длина поглощения элемента i, м;
aj - эквивалентная длина поглощения элемента j, м.
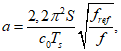
Примечание 1 - Эквивалентную длину поглощения рассчитывают по формуле

(11)
где Ts - время структурной реверберации элемента i или j, с;
S - площадь элемента i или j, м2;
f - среднегеометрическая частота, Гц;
fref - опорная частота; fref = 1000 Гц;
c0 - скорость звука в воздухе; c0 = 340 м/с.
Примечание 2 - Эквивалентная длина поглощения - условная суммарная длина поглощающего края элемента в предположении, что его критическая частота равна 1000 Гц, обеспечивающая потери, равные реальным суммарным потерям рассматриваемого элемента в данной ситуации.
Примечание 3 - Величину Kij определяют в соответствии с ЕН ИСО 10848-1.
Примечание 4 - Значение данной величины может быть принято в соответствии с
приложением E или определено по имеющимся данным о разности уровней скорости в соединении в обоих направлениях в соответствии с указанным приложением.
3.2.7 Другие характеристики элементов
Дополнительными данными при расчетах являются:
- поверхностная плотность элемента, кг/м2;
- тип элемента;
- материал;
- тип соединения.
3.3 Другие термины и величины
3.3.1 прямая звукопередача (direct transmission): Излучение в приемное помещение шума, падающего на разделительный элемент из помещения источника и проходящего через него (структурный шум) <*>, или через отдельные его части, такие как щели, воздухораспределители или жалюзи (воздушный шум).
--------------------------------
<*> Здесь и в других частях ГОСТ Р ЕН 12354 под структурным шумом понимают воздушный шум, созданный вибрацией конструкций или элементов здания в звуковом (слышимом) диапазоне частот.
3.3.2 косвенная звукопередача (indirect transmission): Передача шума из помещения источника в приемное помещение по всем возможным путям звукопередачи, кроме прямого.
Примечание - Косвенную звукопередачу подразделяют на воздушную и структурную, причем последнюю называют побочной (иногда - фланговой или фланкирующей).
3.3.3 косвенная воздушная звукопередача (indirect airborne transmission): Передача звуковой энергии преимущественно по обходным воздушным путям распространения звука, например по вентиляционным системам, подвесным потолкам или коридорам.
3.3.4 косвенная структурная звукопередача [побочная, фланговая или фланкирующая звукопередача] [indirect structure-borne transmission (flanking transmission)]: Передача звуковой энергии из помещения источника в приемное помещение по побочным путям (в основном по конструкциям здания, например стенам, полам, потолкам).
3.3.5 средняя по направлениям разность уровней скорости в соединении (direction-averaged junction velocity level difference)

, дБ: Среднее значение разности уровней скорости от элемента
i к
j и от
j к
i:

(12)
3.3.6 звукоизоляция побочного шума
<*> (flanking sound reduction index)
Rij, дБ: Взятый со знаком минус десятикратный десятичный логарифм коэффициента побочной звукопроницаемости

, равного отношению звуковой мощности
Wij, излученной боковым элементом
j в приемное помещение и обусловленной падением шума на элемент
i в помещении источника, к звуковой мощности
W1 шума, падающего на некоторую опорную площадь, и рассчитываемый по формуле

(13)
где

.
Примечание - В качестве опорной площади выбрана площадь разделительного элемента, поскольку после определения вклада каждого пути звукопередачи в суммарную звукопередачу других вариантов для выбора нет.
--------------------------------
<*> Побочным шумом называют воздушный шум, путь звукопередачи которого в приемное помещение проходит не менее чем по одному боковому (относительно разделительного) элементу помещения источника или приемного помещения.
Звуковое поле в приемном помещении возникает из-за структурного шума, излученного разделительным и боковыми элементами данного помещения, а также из-за прямой и косвенной звукопередачи воздушного шума. Суммарный коэффициент звукопроницаемости можно представить в виде суммы коэффициентов звукопроницаемости, связанных с каждым элементом приемного помещения и с элементами и системами, участвующими в прямой и косвенной звукопередаче воздушного шума. Поэтому фактическую звукоизоляцию выражают формулой

(14)
где

.
Здесь индексы
d,
f,
e и
s, обозначающие различные пути звукопередачи, показаны на
рисунке 1 и

- отношение звуковой мощности в приемном помещении к звуковой мощности шума, падающего на разделительный элемент;

- отношение звуковой мощности шума, излучаемого разделительным элементом, к звуковой мощности шума, падающего на разделительный элемент. Данная величина учитывает звукопередачу по путям
Dd и
Fd (см.
рисунок 2);

- отношение звуковой мощности шума, излучаемого боковым элементом
f, к звуковой мощности шума, падающего на разделительный элемент. Данная величина учитывает звукопередачу по путям
Ff и
Df (см.
рисунок 2);

- отношение звуковой мощности шума, излученного в приемное помещение малым техническим элементом, находящимся на разделительном элементе, за счет прямой звукопередачи воздушного шума, падающего на этот элемент, к звуковой мощности шума, падающего на разделительный элемент;

- отношение звуковой мощности шума, излученного в приемное помещение системой
s обходных путей звукопередачи, к звуковой мощности шума, падающего на разделительный элемент;
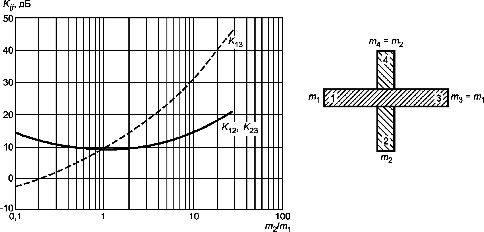
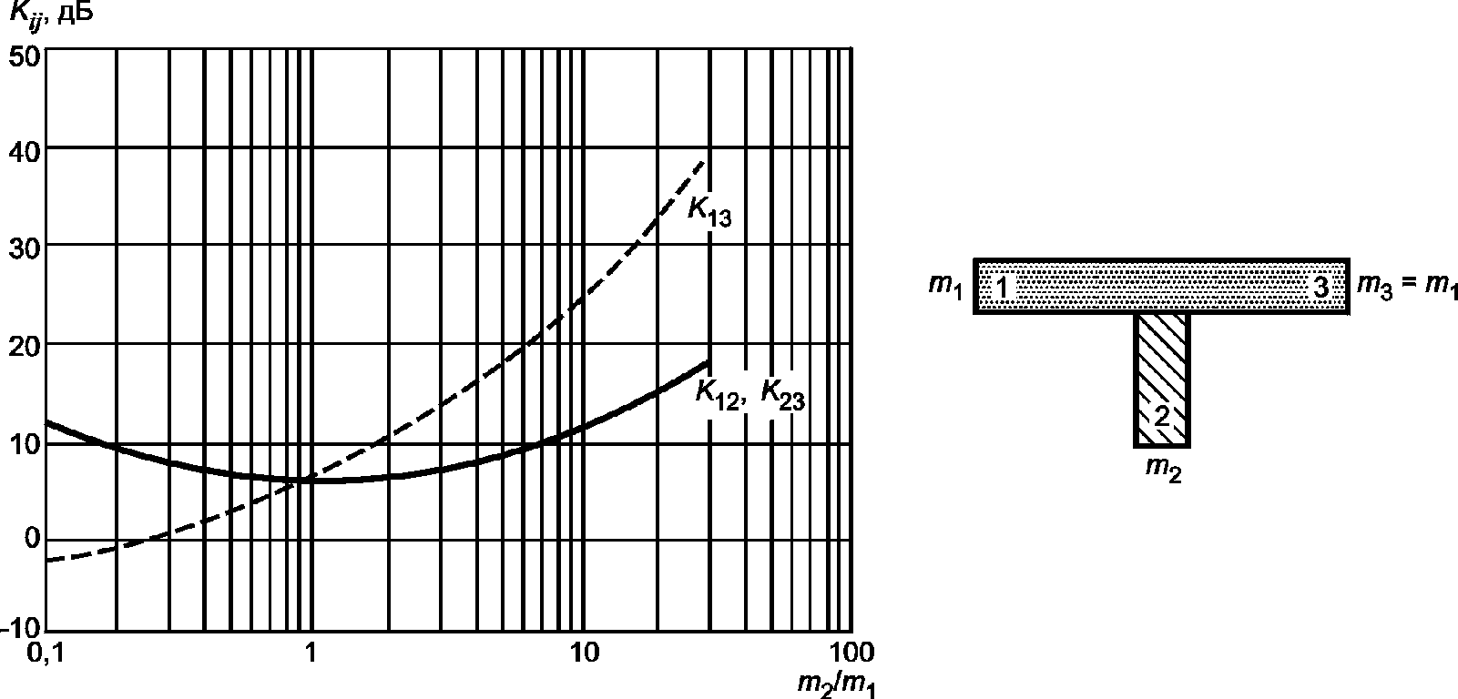
n - число боковых элементов, участвующих в звукопередаче (обычно n = 4, но может быть как больше, так и меньше);
m - число элементов прямой звукопередачи воздушного шума;
k - число обходных путей звукопередачи.
d - прямое излучение разделительного элемента;
f1 и f2 - излучение боковых элементов;
e - излучение малых технических элементов,
установленных на разделительном элементе;
s - косвенная воздушная звукопередача
Рисунок 1 - Различные пути звукопередачи,
дающие вклад в суммарный шум в приемном помещении
Шум, излученный структурным элементом, можно рассматривать как сумму распространяющихся разными путями компонентов структурного шума. Каждый путь может быть идентифицирован элементом i, на который падает шум в помещении источника, и элементом j, излучающим шум в приемное помещение. Пути звукопередачи для бокового и разделительного элемента показаны на рисунке 2, где в помещении источника элемент i обозначен F для побочного элемента и D - для разделительного элемента, а в приемном помещении элемент j обозначен f для побочного элемента и d - для разделительного элемента.
Рисунок 2 - Определение звукопередачи
по путям i и j между двумя помещениями
Основные предположения при таком подходе состоят в том, что описанные пути звукопередачи могут считаться независимыми и что шум и вибрационные поля подчиняются статистическим закономерностям. При указанных ограничениях данный подход является достаточно общим, позволяющим рассматривать различные типы структурных элементов, то есть монолитные конструкции, полые стены, легкие двойные перегородки, и различное взаимное расположение помещений. Однако необходимость описывать звукопередачу для каждого пути накладывает ограничения. Поэтому представленная модель ограничивается случаем смежных помещений, в то время как тип элементов ограничен, главным образом, доступной информацией об индексе снижения вибрации монолитных и легких двойных конструкций. Некоторые особенности расчетов для совокупности различных элементов приведены в
4.2.4.
Коэффициент звукопроницаемости разделительного элемента состоит из слагаемых, обусловленных прямой звукопередачей и звукопередачей по n побочным путям, и рассчитывается по формуле

(15)
Коэффициент звукопроницаемости для каждого из боковых элементов f приемного помещения состоит из двух слагаемых побочной звукопередачи и рассчитывается по формуле

(16)
Коэффициенты звукопроницаемости данных путей косвенной структурной звукопередачи связаны со звукоизоляцией прямой звукопередачи RDd и звукоизоляцией побочного шума Rij следующими формулами:

(17)
Коэффициенты звукопроницаемости для прямого и обходного путей звукопередачи связаны с приведенной разностью уровней элемента Dn,e и приведенной разностью уровней звукопередачи по обходному пути Dn,s следующими формулами:

(18)
где Ss - площадь разделительного элемента, м2;
A0 - стандартная эквивалентная площадь звукопоглощения, м2.
Полная расчетная модель, основанная на акустических характеристиках конструкций в частотных полосах, предназначена для расчетов в октавных (в диапазоне от 125 до 2000 Гц) или третьоктавных (в диапазоне от 100 до 3150 Гц) полосах частот. По полученным результатам в соответствии с ЕН ИСО 717-1 могут быть определены оценки одним числом акустических характеристик зданий.
Примечание - Данные расчеты могут быть выполнены для частот вне указанных диапазонов при наличии соответствующих данных об элементах. Однако в настоящее время отсутствуют сведения о точности расчетов для расширенного, особенно в низкочастотную область, диапазона частот.
Полная расчетная модель предназначена для определения звукопередачи как структурного шума, так и воздушного шума по прямому и обходным путям. Так как данные пути звукопередачи можно считать независимыми, их рассматривают отдельно. Расчет косвенной структурной звукопередачи рассмотрен в
4.2. Расчет звукопередачи воздушного шума по прямому и обходным путям приведен в
4.3.
Упрощенная расчетная модель позволяет определить оценки одним числом акустических характеристик зданий, основанные на оценках одним числом характеристик отдельных элементов. Упрощенная модель рассматривает только косвенную структурную звукопередачу и рассмотрена в
4.4.
4.2. Полная расчетная модель косвенной структурной звукопередачи
4.2.1 Исходные данные
Звукопередача для каждого из путей может быть определена по:
- звукоизоляции разделительного элемента Rs;
- звукоизоляции элемента i в помещении источника Ri;
- звукоизоляции элемента j в приемном помещении Rj;
- улучшению звукоизоляции дополнительными облицовками разделительного элемента в помещении источника

и/или в приемном помещении

;
- улучшению звукоизоляции дополнительными слоями элемента
i помещения источника

и/или элемента
j приемного помещения

;
- лабораторному времени структурной реверберации элемента Ts,lab;
- индексу снижения вибрации Kij для пути ij звукопередачи через соединение элементов i и j;
- площади разделительного элемента Ss;
- площади Si элемента i помещения источника;
- площади Sj элемента j приемного помещения;
- суммарной длине lij соединения элементов i и j, измеряемой от поверхности до поверхности.
Примечание - При расчете DnT или Dn площадь разделительного элемента выполняет функцию некоторой произвольной нормировочной величины и при всех расчетах может быть принята равной 10 м2.
Акустические характеристики рассматриваемых элементов определяют, прежде всего, по результатам стандартных лабораторных измерений. Однако они могут быть определены также и другими способами - теоретическими расчетами, эмпирическими оценками или натурными измерениями. Соответствующие сведения приведены в некоторых приложениях к настоящему стандарту. Источники используемых данных должны быть указаны.
Информация о звукоизоляции однородных конструкций приведена в
приложении B, о времени структурной реверберации однородных конструкций - в
приложении C, об улучшении звукоизоляции и улучшении звукоизоляции побочного шума - в
приложении D, об индексе снижения вибрации для распространенных типов соединений - в
приложении E.
4.2.2 Преобразование исходных данных в величины, используемые в натурных условиях
До начала расчетов фактической звукопередачи акустические параметры элементов (элементов конструкций, дополнительных покрытий, слоев и соединений) должны быть преобразованы в величины, используемые в натурных условиях.
Для разделительного элемента и каждого из боковых элементов звукоизоляцию в натурных условиях Rsitu, дБ, рассчитывают по формуле

(19)
где Ts,situ - время структурной реверберации элемента в натурных условиях, с;
Ts,lab - лабораторное время структурной реверберации элемента, с.
Для прямой звукопередачи звукоизоляция R как и при лабораторных измерениях должна определяться с учетом вынужденных колебаний элементов.
Для каждого побочного пути звукопередачи звукоизоляция R образующих путь элементов (включая разделительный элемент) должна определяться только резонансной звукопередачей. Это позволяет обоснованно применять лабораторное значение звукоизоляции выше критической частоты. При частотах ниже критической данную оценку можно считать достоверной, но имеющей несколько заниженное значение из-за наличия нерезонансной звукопередачи. Если значения звукоизоляции определены путем расчетов на основе свойств материалов, то во всем интересующем диапазоне частот лучше рассматривать только резонансную звукопередачу.
Для следующих строительных элементов время структурной реверберации Ts,situ может быть принято равным Ts,lab, что исключает необходимость коррекции:
- легкие двухслойные каркасные стены на деревянном или металлическом каркасе;
- элементы с коэффициентом внутренних потерь выше 0,03;
- элементы, которые намного легче (не менее чем в три раза) окружающих структурных элементов;
- элементы, не имеющие жесткого соединения с окружающими структурными элементами.
В противном случае следует учитывать различие времен структурной реверберации, измеренных в лаборатории и в натурных условиях (см.
приложение C).
Примечание 1 - В качестве первого приближения коррекцию для всех типов элементов можно принять равной 0 дБ.
Для дополнительных покрытий (слоев) в качестве приближенного значения улучшения звукоизоляции в натурных условиях

можно применять его лабораторное значение

(20)
Для каждого пути косвенной звукопередачи улучшение звукоизоляции

образующих путь элементов (включая разделительный элемент) должно определяться только резонансной звукопередачей. Однако методы измерений для таких ситуаций труднореализуемы, и есть основания полагать, что улучшение звукоизоляции как для прямой, так и для косвенной звукопередачи также является резонансным (см.
приложение D).
Звукопередача через соединения элементов в натурных условиях характеризуется средней по направлениям разностью уровней скорости в соединении

, дБ. Из определения индекса снижения вибрации
[формула (10)] следует

(21)
причем

(22)
где ai,situ - эквивалентная длина поглощения элемента i в натурных условиях, м;
aj,situ - эквивалентная длина поглощения элемента j в натурных условиях, м;
f - среднегеометрическая частота полосы частот, Гц;
fref - опорная частота, fref = 1000 Гц;
c0 - скорость звука в воздухе, м/с;
lij - длина соединения элементов i и j, м;
Si - площадь элемента i, м2;
Sj - площадь элемента j, м2;
Ts,i,situ - время структурной реверберации элемента i в натурных условиях, с;
Ts,j,situ - время структурной реверберации элемента j в натурных условиях, с.
Для следующих строительных элементов эквивалентная длина поглощения в натурных условиях asitu принята равной численному значению площади элемента, а именно ai,situ = Si/l0 и/или aj,situ = Sj/l0, где опорная длина l0 = 1 м:
- легкие двухслойные каркасные стены на деревянном или металлическом каркасе;
- элементы с коэффициентом внутренних потерь выше 0,03;
- элементы, которые намного легче (не менее чем в три раза) окружающих структурных элементов;
- элементы, не имеющие жесткого соединения с соседними структурными элементами.
В других случаях следует учитывать время структурной реверберации в натурных условиях (см.
приложение C).
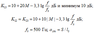
Примечание 2 - Для всех типов элементов в качестве первого приближения эквивалентная длина поглощения может быть принята равной ai,situ = Si/l0 и aj,situ = Sj/l0, где l0 = 1 м. Если при этом индекс снижения вибрации принимает значение, менее минимального Kij,min, то следует использовать данное минимальное значение, рассчитываемое по формуле

(23)
где i, j = Ff, Fd или Df.
4.2.3 Определение прямой и косвенной звукопередачи в натурных условиях
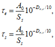
Звукоизоляцию разделительного элемента при прямой звукопередаче рассчитывают по формуле

(24)
Звукоизоляцию косвенной звукопередачи рассчитывают по формуле

(25a)
где i, j = Ff, Fd или Df.
Примечание 1 - Если в качестве первого приближения для слагаемого со временем структурной реверберации принято значение, равное 0 дБ [см.
формулу (19)], и эквивалентные длины поглощения
ai,situ =
Si/
l0 и
aj,situ =
Sj/
l0, то для всех типов элементов формула (25a) принимает вид

(25b)

(25c)
Поскольку разность уровней скорости соединенных элементов
Dv,ij не является инвариантной величиной и коэффициенты излучения свободных изгибных волн

и

часто неизвестны, данная формула менее пригодна для расчетов. Она может применяться для оценки косвенной звукопередачи в натурных условиях, если соответствующие разности уровней скорости соединенных элементов и коэффициенты излучения известны по результатам измерений или имеются их оценки.
Примечание 3 - Для определенных случаев (сочетание легких элементов или комбинация массивных и легких элементов, например подвесных потолков или легких фасадов), косвенная звукопередача по пути
Ff преобладает (вклад путей
Df и
Fd незначителен). Часто указанная косвенная звукопередача включает в себя звукопередачу по обходным путям, которая иногда может преобладать. В этом случае целесообразно в целом характеризовать косвенную звукопередачу для данной конструкции лабораторными измерениями
Dn,f, по которым определяют звукоизоляцию побочного шума
RFf в соответствии с
приложением F.
Звукопередача разделительным и боковыми элементами может быть рассчитана по
формулам (15) и
(16) с учетом
(17),
(19) -
(25). Суммарная звукопередача (фактическая звукоизоляция
R') может быть рассчитана по
формуле (14) с учетом положений
4.3, если применимы.
4.2.4 Особенности расчетов для совокупности разнотипных элементов
Для боковых элементов, состоящих из нескольких частей, следует учитывать в основном звукоизоляцию наибольшей части, непосредственно примыкающей к разделительному элементу. Если в элементе имеются неоднородности в виде дверей или массивных поперечных элементов, то частями элемента, расположенными за такими неоднородностями можно пренебречь (см. рисунок 3).
1 - рассматриваемая структура; 2 - вид сбоку;
3 - вертикальный поперечный разрез
Рисунок 3
В случае боковых элементов, состоящих из разнотипных частей, каждая из которых непосредственно присоединена к разделительному элементу, каждую часть следует рассматривать как отдельный боковой элемент (на рисунке 4 боковой элемент f состоит из частей a и b).
Вид сбоку
Рисунок 4
Если боковые элементы находятся в разных плоскостях, т.е. имеют изгибы или другие искажения формы (см. рисунок 5), то можно использовать в расчетах их общую площадь, если углы изгиба превышают 90°. Общую эффективную площадь применяют с учетом отличий уровня вибрации на неоднородностях.
1 - горизонтальный поперечный разрез
Рисунок 5
При наличии дополнительных панелей (облицовок стен или плавающих полов, см. рисунок 6) звукоизоляцию и индекс снижения вибрации соединения относят к основному структурному элементу, а влияние дополнительного слоя учитывают отдельно при помощи величины

.
Рисунок 6
При наличии дополнительных внешних слоев (легкая наружная облицовка, см. рисунок 7), имеющих незначительное влияние на свойства основного структурного элемента, расчет должен выполняться только в отношении основного (внутреннего) элемента. Влияние внешней облицовки можно не учитывать или учесть его в индексе снижения вибрации.
Рисунок 7
При наличии полых боковых элементов (см. рисунок 8) расчет должен выполняться прежде всего для внутреннего элемента с учетом действия внешнего элемента через индекс снижения вибрации. Значение последнего может быть определено по результатам измерений в аналогичных ситуациях или может быть оценено влияние на индекс снижения вибрации различных путей звукопередачи.
Рисунок 8
Для полых стен, выполняющих функцию разделительного элемента, звукоизоляция должна учитывать звукопередачу от одного слоя стены к другому через контакт по периметру элемента, если имеется (см. рисунок 9).
Рисунок 9
При размещении помещений в нескольких уровнях (например уступом) или при относительном горизонтальном смещении (разнесении) продолжение разделительного элемента следует рассматривать как боковой элемент, часто доминирующий (см. рисунки 10 и
11).
1 - горизонтальный поперечный разрез
Рисунок 10
2 - вертикальный поперечный разрез
В случае легких внутренних стен и больших плит перекрытия между несущими стенами (см.
рисунок 12) звукопередача определяется вибрацией площади всего пола. В некоторых случаях (тонкие стены) предпочтительно оценивать прямую и косвенную звукопередачи через пол в целом по формуле
RDd+Df = Rs - 10lg(Ts,tot/Ts,lab) - 10lg(Srec/Stot),
где
Srec - площадь части пола между внутренними стенами, видимой из приемного помещения. Индекс "
tot" относится ко всему полу между несущими конструкциями. Это соответствует применению модели побочного пути звукопередачи при

.
1 - помещение источника; 2 - вертикальный
поперечный разрез; 3 - приемное помещение
4.2.5 Ограничения
При расчетах структурной звукопередачи имеются следующие ограничения:
- расчетная модель применима только для сочетаний элементов с известным (или рассчитанным по другим величинам) индексом снижения вибрации;
- расчетная модель применима только для базовых структурных элементов, имеющих приблизительно одинаковые для обеих сторон характеристики излучения;
- в помещениях с большой площадью пола, с колоннами и легкими внутренними стенами пол не может рассматриваться как независимый элемент, и результаты расчетов можно считать лишь приближенной оценкой;
- вкладом путей звукопередачи, входящих в более чем одно соединение, пренебрегают. Это частично компенсируется значением индекса снижения вибрации, поскольку он определяется по результатам измерений в натурных условиях, но может давать заниженную оценку косвенной звукопередачи в соединениях с однородными элементами. Такие пути звукопередачи могут иметь существенное значение, когда дополнительная облицовка имеется у большей части структурных элементов;
- расчетная модель описывает звукопередачу только между смежными помещениями.
4.3. Полная расчетная модель звукопередачи воздушного шума
4.3.1 Расчет на основе результатов измерений прямой звукопередачи малых элементов
Расчет может быть выполнен непосредственно по приведенной разности уровней элемента
Dn,e по
формулам (18) и
(14). Рассматриваемый элемент должен быть идентичен элементу с известными характеристиками, чтобы можно было считать, что
Dn,e,situ =
Dn,e.
Примечание - Для некоторых типов элементов, таких как щели или воздухораспределительные устройства, допустима экстраполяция акустических характеристик элемента на характеристики подобного реального элемента, имеющего, например, другую длину. В таком случае Dn,e,situ может быть соответствующим образом определено по Dn,e с учетом отличий в размерах.
4.3.2 Расчет на основе результатов измерений суммарной звукопередачи по обходному пути
В настоящее время отсутствуют стандартные методы измерений приведенной разности уровней звукопередачи по обходным путям
Dn,s в целом, например, для внутренних систем вентиляции. Для многих других систем предпочтительно определять звукопередачу по обходным путям на основе расчета по характеристикам отдельных элементов таких систем (см.
4.3.3) <*>.
--------------------------------
<*> Некоторые методы расчета звукопередачи для систем вентиляции приведены в СТО 02495359-6.001-2011 Стандарт НИИСФ РААСН "Расчет и проектирование шумоглушения систем вентиляции, кондиционирования воздуха, холодоснабжения и воздушного отопления".
Звукопередача боковых конструкций, как правило, включает в себя совокупность воздушных (обходных) и структурных (побочных) путей распространения шума. Однако единственным доступным в настоящее время стандартным методом измерения является метод определения приведенной разности уровней побочного шума
Dn,f косвенной звукопередачи для подвесных потолков. Данный метод расчета считается обоснованным, т.к. звукопередача по обходным путям для подвесных потолков является обычно преобладающей (см.
приложение F).
Для других типов боковых конструкций с преобладанием звукопередачи по обходным путям стандартных методов расчета не существует (см.
приложение F).
4.3.3 Расчет на основе результатов измерений звукопередачи отдельных элементов системы
В настоящее время отсутствуют стандартные методы измерений приведенной разности уровней побочного шума
Dn,s по обходным путям на основе известных акустических характеристик элементов, образующих путь распространения шума, таких как вентиляционные каналы, глушители, подвесные потолки, коридоры/залы, двери и дверные проемы. Некоторые предлагаемые методы тем не менее существуют и могут быть основой для дальнейших исследований и разработок расчетных схем по определению косвенной звукопередачи (см.
приложение F).
4.4. Упрощенная модель структурной звукопередачи
4.4.1 Методика расчета
Упрощенная версия расчетной модели позволяет определить индекс фактической изоляции воздушного шума конструкции на основе индексов изоляции воздушного шума
<**> составных элементов. Определение индексов изоляции производится в соответствии с ЕН ИСО 717-1. В модели рассчитывают индекс изоляции воздушного шума
Rw, но может также быть рассчитано корректированное по A значение, т.е.
Rw +
C <***>. Результирующая оценка акустических характеристик здания при этом будет приведена в виде оценки одним числом, как и характеристики элементов, т.е.

или

.
Примечание 1 - Величины, включающие в себя коэффициент согласования спектра розового шума
C, для удобства можно обозначить одним символом, например

и
DnT,A =
DnT,w +
C.
Примечание 2 - Применяемое в расчетной модели энергетическое суммирование, являясь точным для

, приемлемо для

.
--------------------------------
<**> Вместо примененного в ЕН 12354-1 термина "корректированное значение звукоизоляции

(weighted sound reduction index
Rw) здесь использован эквивалентный термин "индекс изоляции воздушного шума

, введенный и определяемый в соответствии с
СП 51.13330.2011 "Защита от шума".
<***> Коэффициент согласования спектра розового шума
C определен в ИСО 717-1 и служит поправкой к оценке одним числом для величин, характеризующих звукоизоляцию элементов зданий, в целях учета особенностей спектра источника шума.
Применение упрощенной модели к прямой и косвенной звукопередаче ограничено рассмотрением только однородных элементов. Влияние структурного демпфирования элементов учитывают в среднем, пренебрегая специфическими особенностями. Каждый боковой элемент считается имеющим одинаковые характеристики как на приемной стороне, так и на стороне источника. Если индекс снижения вибрации зависит от частоты, то его значение на частоте 500 Гц может быть принято в качестве хорошего приближения, но при этом результат расчета может оказаться менее точным.
Для упрощенной модели
формулы (13),
(14),
(15) и
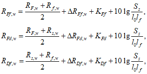
(16) видоизменяются, индекс фактической изоляции воздушного шума между двумя помещениями рассчитывают по формуле

(26)
где RDd,w - индекс изоляции воздушного шума по пути Dd, дБ;
RFf,w - индекс изоляции воздушного шума по пути Ff, дБ;
RDf,w - индекс изоляции воздушного шума по пути Df, дБ;
RFd,w - индекс изоляции воздушного шума по пути Fd, дБ;
n - число боковых элементов, участвующих в звукопередаче. Обычно
n = 4, но может быть меньше или больше в зависимости от проекта и конструкции здания в конкретной ситуации (см.
4.2.4).
Примечание 3 - В определенных ситуациях (комбинация легких элементов или легких и массивных элементов, например с подвесными потолками или легкими фасадами), косвенная звукопередача по пути
Ff является преобладающей и для такого бокового элемента двумя последними членами в
формуле (26) можно пренебречь.
Примечание 4 - Влияние одного бокового элемента на суммарную косвенную звукопередачу может быть оценено добавлением соответствующей звукопередачи по путям Ff и Df, влияние косвенной звукопередачи на излучение разделительного элемента может быть оценено добавлением звукопередачи по пути Fd для всех боковых элементов.
Для каждого пути звукопередачи индекс изоляции воздушного шума определяют по исходным данным элементов и их соединений (см.
4.4.2).
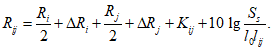
Индекс изоляции воздушного шума по пути Dd рассчитывают по исходным данным разделительного элемента по формуле

(27)
где Rs,w - индекс изоляции воздушного шума разделительного элемента, дБ;

- индекс суммарного улучшения изоляции воздушного шума разделительного элемента дополнительными облицовками со стороны помещения источника и/или приемного помещения, дБ.
Индексы изоляции воздушного шума по побочным путям рассчитывают по входным данным по формулам:

(28a)
где RF,w - индекс изоляции воздушного шума бокового элемента F помещения источника, дБ;
Rf,w - индекс изоляции воздушного шума бокового элемента f приемного помещения, дБ;

- индекс суммарного улучшения изоляции воздушного шума бокового элемента дополнительными облицовками со стороны помещения источника и/или приемного помещения, дБ;

- индекс суммарного улучшения изоляции воздушного шума бокового элемента дополнительными облицовками со стороны помещения источника и/или разделительного элемента со стороны приемного помещения, дБ;

- индекс суммарного улучшения изоляции воздушного шума разделительного элемента дополнительными облицовками со стороны помещения источника и/или бокового элемента со стороны приемного помещения, дБ;
KFf - индекс снижения вибрации на пути звукопередачи Ff, дБ;
KFd - индекс снижения вибрации на пути звукопередачи Fd, дБ;
KDf - индекс снижения вибрации на пути звукопередачи Df, дБ;
Ss - площадь разделительного элемента, м2;
lf - длина соединения разделительного и боковых элементов F и f, м;
l0 - опорная длина, l0 = 1 м.
Примечание 5 - Из
формулы (25c) следует, что для однородных строительных конструкций с коэффициентом излучения, равным 1, индекс изоляции воздушного шума по побочным путям можно выразить формулой

(28b)
где i, j = Ff, Fd, или Df.
Однако вследствие того, что разность уровней скорости в соединении не является инвариантной величиной, формула (28b) не всегда пригодна для расчетов. Данная формула может быть использована в конкретных натурных условиях для оценки косвенной звукопередачи, если имеются измеренные или расчетные значения Dv,ij,situ.
Примечание 6 - Для некоторых боковых элементов, таких как подвесные потолки, легкие фасады или стены, преобладающим будет звукопередача по пути
Ff, а вкладом в шум путей
Df и
Fd можно пренебречь. Если указанная звукопередача характеризуется индексом приведенной разности уровней побочного шума
Dn,f,w, то справедлива формула (см. также
приложение F)

(28c)
Для подвесных потолков данную величину обозначают Dn,c,w и llab = 4,5 м.
Данная формула применима только для случаев, когда размеры рассматриваемых элементов сравнимы с размерами элементов, испытанных в лабораторных условиях.
Акустические характеристики конструктивных элементов следует принимать, прежде всего, по результатам стандартных лабораторных измерений. Они могут быть получены также другими способами, например с помощью теоретических расчетов, эмпирических оценок или результатов натурных измерений. Соответствующая информация содержится в некоторых приложениях настоящего стандарта. Используемые источники данных должны быть явно указаны в расчетах.
Исходные данные включают в себя:
- индексы изоляции воздушного шума элементов: Rs,w, RF,w, Rf,w;
- те же величины для однородных элементов, приведенные в
приложении B;
- индексы снижения вибрации для каждого соединения и пути KFf; KFd; KDf.
Указанные данные для распространенных видов соединений приведены в
приложении E. Если характеристики зависят от частоты, то частоту 500 Гц следует применять для упрощенной модели. Если соответствующее значение оказывается менее минимального значения
Kij,min, то следует применять минимальное значение. Минимальное значение рассчитывают по формуле

(29)
где i, j = Ff, Fd или Df.
Если боковой элемент имеет незначительную длину контакта с разделительным элементом или контакт отсутствует, то KFf должен быть принят равным данному минимальному значению, а путями звукопередачи Fd и Df можно пренебречь (т.е. принять для них высокие значения Кij);
- индекс суммарного улучшения изоляции воздушного шума разделительного элемента дополнительными облицовками со стороны помещения источника и/или бокового элемента со стороны приемного помещения

.
Данную величину следует определять либо расчетами для соответствующей комбинации слоев в целом, либо по результатам расчетов для каждого слоя в отдельности по формулам:
для одного слоя:

или

;
(30)
для двух слоев:

или

.
В последнем случае применяют ту формулу, в которой второе слагаемое относится к облицовке с меньшим значением индекса улучшения изоляции;
- индекс суммарного улучшения изоляции воздушного шума для каждого из побочных путей

,

,

.
Данную величину следует определять расчетами для соответствующей комбинации слоев в целом или по результатам расчетов для каждого слоя в отдельности:
для одного слоя:

или

;
(31)
для двух слоев:

или

,
где i, j = Ff, Fd или Df.
В последнем случае применяют ту формулу, в которой второе слагаемое относится к облицовке с меньшим значением индекса улучшения изоляции.
Информация об индексе улучшения изоляции воздушного шума приведена в
приложении D.
4.4.3 Ограничения
Упрощенная модель имеет следующие ограничения:
- ограничения полной расчетной модели присущи также и упрощенной модели;
- упрощенная модель применяется, главным образом, к жилым помещениям, размеры элементов которых близки к размерам испытательной установки. Отклонения от размеров могут привести к менее точным результатам;
- упрощенная модель распространяется на элементы с близкими зависимостями звукоизоляции от частоты. Для элементов, которые имеют явно отличающиеся частотные зависимости, как например у легких двухслойных элементов, точность расчетов может быть меньше.
С помощью расчетов в соответствии с рассматриваемыми моделями можно прогнозировать акустические характеристики зданий при достаточной для этого квалификации персонала и высокой точности измерений. Точность расчета зависит от точности исходных данных, соответствия расчетной модели натурным условиям, типа элементов и их соединений, геометрической конфигурации и качества изготовления элементов зданий. Поэтому не представляется возможным установить точность расчетов для всех условий и применений. Данные, относящиеся к точности расчетов, должны накапливаться в целях последующего сравнения результатов модельных расчетов с результатами натурных измерений. Однако некоторые показатели могут быть установлены достоверно.
Основной опыт применения рассматриваемых моделей в настоящее время относится к зданиям, основные структурные элементы которых однородны. Таковыми являются кирпичные стены, бетонные и гипсовые блоки и т.д. В таких ситуациях расчет оценки одним числом в полной расчетной модели дает достоверную (несмещенную) оценку со стандартным отклонением от 1,5 до 2,5 дБ (меньшее значение имеет место только с учетом всех аспектов, большее - при сложных ситуациях и без учета влияния времени структурной реверберации).
Прогнозирование с помощью упрощенной расчетной модели обеспечивает стандартное отклонение приблизительно 2 дБ при незначительном завышении оценки звукоизоляции.
При прогнозировании целесообразно варьировать исходные данные, если имеются сомнения относительно их достоверности, особенно в сложных ситуациях с нетипичными элементами зданий. При надлежащем выполнении указанные меры обеспечивают ожидаемую точность результатов.
(обязательное)
ПЕРЕЧЕНЬ ОСНОВНЫХ ОБОЗНАЧЕНИЙ
Таблица A.1
Обозначения
Обозначение | Физическая величина | Ед. изм. |
a | Эквивалентная длина поглощения элемента | м |
asitu | Эквивалентная длина поглощения элемента в натурных условиях | м |
A | Эквивалентная площадь звукопоглощения приемного помещения | м2 |
A0 | Стандартная эквивалентная площадь звукопоглощения жилых помещений, равная 10 м2 | м2 |
Ah | Эквивалентная площадь звукопоглощения коридора (холла) | м2 |
cB | Скорость изгибных волн в материале | м/с |
cL | Скорость продольных волн в материале | м/с |
| Коррекция для коэффициента поглощения подвесных потолков | дБ |
Cdoorpros. | Корректирующий коэффициент, учитывающий взаимное расположение дверей в коридоре | дБ |
C | Коэффициент согласования спектра розового шума в соответствии с ЕН ИСО 717-1 | дБ |
Ctr | Коэффициент согласования спектра транспортного шума в соответствии с ЕН ИСО 717-1 | дБ |
c0 | Скорость звука в воздухе, равная 340 м/с | м/с |
DnT | Стандартизованная разность уровней | дБ |
Dn,e | Приведенная разность уровней элемента | дБ |
Dn,s | Приведенная разность уровней звукопередачи воздушного шума по обходному пути s | дБ |
Dn,f | Приведенная разность уровней побочного шума | дБ |
Dn,c | Dn,f для подвесных потолков | дБ |
Dv,ij | Разность уровней скорости в соединении элементов i и j при возбуждении элемента i | дБ |
| Средняя по направлениям разность уровней скорости в соединении элементов i и j в натурных условиях | дБ |
d | Глубина воздушного промежутка дополнительной облицовки | м |
E1 | Модуль Юнга упругой прослойки | Н/м2 |
f | Среднегеометрическая частота | Гц |
fc | Критическая частота | Гц |
fc,eff | Эффективная критическая частота с учетом продольных и поперечных волн | Гц |
fref | Опорная частота, равная 1000 Гц | Гц |
f1 | Характеристическая частота упругого взаимодействия упругих слоев в соединениях | Гц |
fp | Частота начала плоского участка частотной характеристики звукоизоляции | Гц |
fK | Частота, выражающая частотную зависимость индекса снижения вибрации, равная 500 Гц | Гц |
f0 | Резонансная частота системы "масса-упругость" | Гц |
G1 | Модуль сдвига упругой прослойки | Н/м2 |
hpl | Высота монтажного пространства над подвесным потолком | м |
hlab | Лабораторная константа, равная 0,7 м и принимаемая в качестве опорного значения hpl | м |
i, j | Индексы для обозначения элементов, образующих путь звукопередачи ij. Индекс i относится к элементам F, D помещения источника, индекс j - к элементам f, d приемного помещения | - |
k | Индекс для обозначения границы (края) элемента | - |
k0 | Волновое число в воздухе  | рад/м |
Kij | Индекс снижения вибрации для пути ij звукопередачи через соединение элементов i и j | дБ |
Kij,min | Минимальная величина Kij в натурных условиях | дБ |
L1 | Средний уровень звукового давления в помещении источника | дБ относительно 20 мкПа |
L2 | Средний уровень звукового давления в приемном помещении | дБ относительно 20 мкПа |
Lk | Длина соединения плиты общего пола с несущими стенами по границе k | м |
lij | Длина соединения элементов i и j | м |
lf | Длина соединения разделительного и бокового элемента f | м |
llab | Лабораторная константа, взятая в качестве опорного значения для lij | м |
lk | Длина границы k элемента | м |
l0 | Опорная длина, равная 1 м | м |
m' | Поверхностная плотность элемента | кг/м2 |
| Опорное значение поверхностной плотности, равное 1 кг/м2 | кг/м2 |
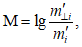
M |  - массовое отношение (логарифм отношения поверхностных плотностей элементов, образующих соединение) | - |
n | Число боковых элементов, участвующих в звукопередаче | - |
R | Звукоизоляция элемента | дБ |
Rsitu | Звукоизоляция элемента в натурных условиях | дБ |
R' | Фактическая звукоизоляция | дБ |
Rij | Звукоизоляция побочного шума | дБ |
Rs | Звукоизоляция разделительного элемента | дБ |
Ri | Звукоизоляция элемента i помещения источника | дБ |
Ri,situ | Звукоизоляция элемента i в натурных условиях | дБ |
Rj | Звукоизоляция элемента j приемного помещения | дБ |
Rj,situ | Звукоизоляции элемента j в натурных условиях | дБ |
| Улучшение звукоизоляции разделительного элемента дополнительной облицовкой | дБ |
| Улучшение звукоизоляции разделительного элемента дополнительной облицовкой в помещении источника | дБ |
| Улучшение звукоизоляции разделительного элемента дополнительной облицовкой в приемном помещении | дБ |
| Улучшение звукоизоляции элемента i помещения источника дополнительными слоями | дБ |
| Улучшение звукоизоляции элемента j приемного помещения дополнительными слоями | дБ |
Rhs | Звукоизоляция стены между коридором и помещением источника | дБ |
Rhr | Звукоизоляции стены между коридором и приемным помещением | дБ |
Rw | Индекс изоляции воздушного шума в соответствии с ЕН ИСО 717-1 | дБ |
Rs,w | Индекс изоляции воздушного шума разделительного элемента | дБ |
RF,w | Индекс изоляции воздушного шума бокового элемента F помещения источника | дБ |
Rf,w | Индекс изоляции воздушного шума бокового элемента f приемного помещения | дБ |
| Индекс суммарного улучшения изоляции воздушного шума разделительного элемента дополнительными облицовками со стороны помещения источника и/или приемного помещения | дБ |
| Индекс суммарного улучшения изоляции воздушного шума бокового элемента дополнительными облицовками со стороны помещения источника и/или приемного помещения | дБ |
| Индекс суммарного улучшения изоляции воздушного шума бокового элемента дополнительными облицовками со стороны помещения источника и/или разделительного элемента со стороны приемного помещения | дБ |
| Индекс суммарного улучшения изоляции воздушного шума разделительного элемента дополнительными облицовками со стороны помещения источника и/или бокового элемента со стороны приемного помещения | дБ |
Srec | Площадь части пола между внутренними стенами, видимой из приемного помещения | м2 |
Stot | Площадь части пола между несущими конструкциями | м2 |
Shs, Shr | Площадь стены между коридором и помещением источника, площадь стены между коридором и приемным помещением | м2 |
Scs, Scr | Площадь потолка в помещении источника, площадь потолка в приемном помещении | м2 |
Slab | Лабораторная константа, равная 20 м2 и принимаемая в качестве опорного значения для Scs, Scr | м2 |
Ss | Площадь разделительного элемента | м2 |
Si, Sj | Площадь элемента i помещения источника и элемента j приемного помещения | м2 |
t | Толщина элемента | м |
ta | Толщина звукопоглощающей облицовки | м |
t1 | Толщина упругой прослойки | м |
T | Время реверберации приемного помещения | с |
T0 | Стандартное время реверберации, для жилых помещений равное 0,5 с | с |
Ts | Время структурной реверберации (однородного) элемента | с |
Ts,lab | Лабораторное время структурной реверберации (однородного) элемента | с |
Ts,situ | Время структурной реверберации элемента в натурных условиях | с |
V | Объем приемного помещения | м3 |
| Среднеквадратичная скорость элемента i (свободные волны) | (м/с)2 |
| Среднеквадратичная скорость элемента j (свободные волны) | (м/с)2 |
Wtot | Суммарная звуковая мощность в приемном помещении | Вт |
Wij | Звуковая мощность, излучаемая элементом j и обусловленная падением звука на элемент i | Вт |
W1 | Звуковая мощность шума, падающего на испытуемый элемент в помещении источника | Вт |
W2 | Звуковая мощность, излучаемая испытуемым элементом в приемное помещение, обусловленная падением звука на данный элемент в помещении источника | Вт |
w | Подстрочный индекс для обозначения оценок одним числом по ЕН ИСО 717-1 | - |
| Коэффициент поглощения изгибной волны на стороне k элемента | - |
| Коэффициент передачи мощности изгибной волны в соединении элементов i и j | - |
| Уменьшение индекса снижения вибрации упругим слоем | дБ |
| Суммарный коэффициент потерь | - |
| Суммарный коэффициент потерь в лабораторных условиях | - |
| Коэффициент внутренних потерь материала | - |
| Плотность | кг/м3 |
| Плотность воздуха | кг/м3 |
| Коэффициент излучения свободных изгибных волн | - |
| Коэффициент излучения вынужденных волн | - |
| Коэффициент звукопроницаемости | - |
| Коэффициент побочной звукопроницаемости | - |
| Отношение звуковой мощности в приемном помещении, к звуковой мощности шума, падающего на разделительный элемент | - |
| Отношение звуковой мощности шума, излучаемого разделительным элементом, к звуковой мощности шума, падающего на разделительный элемент. Данная величина учитывает звукопередачу по путям Dd и Fd | - |
| Отношение звуковой мощности шума, излучаемого боковым элементом f, к звуковой мощности шума, падающего на разделительный элемент. Данная величина учитывает звукопередачу по путям Ff и Df | - |
| Отношение звуковой мощности шума, излученного в приемное помещение системой s обходных путей звукопередачи, к звуковой мощности шума, падающего на разделительный элемент | - |
| Отношение звуковой мощности шума, излученного в приемное помещение малым техническим элементом, находящимся на разделительном элементе, за счет прямой звукопередачи воздушного шума, падающего на этот элемент, к звуковой мощности шума, падающего на разделительный элемент | - |
(справочное)
ЗВУКОИЗОЛЯЦИЯ МОНОЛИТНЫХ ЭЛЕМЕНТОВ
B.1 Звукоизоляция в полосах частот
Для монолитных конструктивных элементов звукоизоляция
R может быть достаточно точно определена в лабораторных условиях (см.
библиографию). В таких случаях при определении косвенной звукопередачи вкладом вынужденной звукопередачи (обусловленной силовым воздействием) можно пренебречь. Суммарный коэффициент потерь, зависящий от лабораторных условий, является важным фактором и должен учитываться в соответствии с требованиями ЕН ИСО 140-1 <*>.
--------------------------------
<*> Следует применять ЕН ИСО 10140-5.
Следующие формулы могут применяться на основании результатов исследований, изложенных в
[10]:

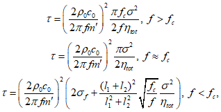
(B.1)
где

- коэффициент звукопроницаемости;
m' - поверхностная плотность элемента, кг/м2;
f - частота, Гц;
fc - критическая частота

, Гц;

- суммарный коэффициент потерь (для лабораторных условий см.
приложение C);

- коэффициент излучения свободных изгибных волн;

- коэффициент излучения вынужденных волн;
l1, l2 - длина сторон (прямоугольного) элемента, м.
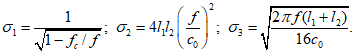
Суммарный коэффициент потерь в лабораторных условиях рассчитывают в соответствии с
приложением C.
Коэффициент излучения вынужденных волн согласно
[16] и при
l1 >
l2 рассчитывают по формулам:

(B.2)
где

;
k0 - волновое число в воздухе, рад/м;

.
Коэффициенты излучения свободных изгибных волн согласно
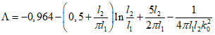
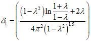
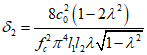
[13] рассчитывают по формулам:

(B.3a)
Первая резонансная частота прямоугольного элемента

.
Если f11 <= fc/2, то

(B.3b)
где

,

;
при
f >
fc/2

, в противном случае

и

при
f <
f11 <
fc/2 и

;
Если f11 > fc/2, то

(B.3c)
в противном случае
Данные формулы, справедливые для прямоугольной пластины в бесконечном экране, часто применимы в лабораторных условиях. Однако в зданиях структурный элемент зачастую обрамлен прямоугольными элементами, увеличивающими эффективность излучения на частотах, которые значительно (в 2 раза для краевых мод и до 4 раз для угловых мод) ниже критической частоты.
Для коэффициентов излучения можно получить альтернативные формулы на основе последних публикаций (см.
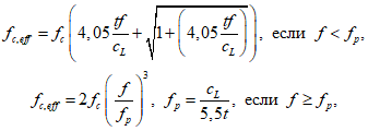
[18]).
При расчетах в диапазоне частот выше критической частоты ее заменяют эффективной критической частотой, учитывая тем самым другие типы волн, существующие в толстых стенах и/или на более высоких частотах (см.
[5],
[12]), используя формулы:

(B.4)
где t - толщина элемента, м;
cL - скорость продольных волн в материале, м/с.
В таблице B.1 приведены некоторые свойства типичных материалов.
Таблица B.1
Свойства типичных материалов
Материал | Плотность  , кг/м 3 | Скорость продольных волн cL, м/с | Коэффициент внутренних потерь материала  |
Бетон | 2 300 | 3 500 | 0,006 |
Силикатный кирпич | 1 750 | 2 600 | 0,015 |
Легкий бетон | 1 300 | 1 700 | 0,015 |
Автоклавный газобетон | 650 | 1 400 | 0,010 |
В качестве примера в
таблице B.2 приведены результаты расчетов звукоизоляции в октавных полосах для монолитных элементов, полученные на основе данной модели для лабораторных условий, соответствующих
приложению C. Расчеты выполнены для третьоктавных частот, результаты усреднены в октавной полосе для получения гладкой кривой звукопередачи в трех частотных диапазонах, указанных в
формулах (B.1).
Таблица B.2
Расчет звукоизоляции в октавных полосах
для некоторых монолитных конструкций (примеры)
Толщина конструкции и ее материал | Поверхностная плотность, кг/м2 | Звукоизоляция, дБ | Rw (C; Ctr) |
Октавная полоса, Гц |
63 | 125 | 250 | 500 | 1000 | 2000 | 4000 |
120 мм, бетон | 276 | 35 | 34 | 36 | 46 | 54 | 62 | 69 | 49 (-2; -6) |
260 мм, бетон | 598 | 43 | 42 | 51 | 59 | 67 | 74 | 75 | 61 (-1; -7) |
110 мм, силикатный кирпич | 193 | 34 | 34 | 33 | 39 | 49 | 58 | 65 | 44 (-1; -4) |
240 мм, силикатный кирпич | 420 | 38 | 38 | 46 | 54 | 62 | 68 | 68 | 56 (-1; -6) |
120 мм, легкий бетон | 156 | 33 | 36 | 34 | 35 | 44 | 53 | 56 | 42 (-1; -3) |
300 мм, легкий бетон | 390 | 37 | 37 | 42 | 51 | 58 | 58 | 58 | 54 (-2; -6) |
100 мм, автоклавный газобетон | 65 | 26 | 30 | 31 | 27 | 32 | 41 | 45 | 32 (0; -1) |
200 мм, автоклавный газобетон | 130 | 30 | 30 | 29 | 34 | 43 | 46 | 46 | 39 (-1; -3) |
B.2 Индекс изоляции воздушного шума
На
рисунке B.1 приведены основанные на описанной модели результаты расчетов индекса изоляции воздушного шума
Rw монолитных конструктивных элементов из некоторых распространенных материалов как функции поверхностной плотности (см.
таблицу B.2). Данная оценка одним числом определена по значениям в октавных полосах частот в соответствии с ЕН ИСО 717-1.
Эти данные могут использоваться в качестве обоснованной оценки в случаях, когда результаты измерений недоступны. Такие оценки можно применять для однослойных однородных элементов, выполненных из необожженного кирпича, бетона, силикатных и гипсобетонных блоков, ячеистого бетона и различных видов легкого бетона. Влияние цементного раствора и штукатурки учитывают при определении поверхностной плотности элемента. Структурные элементы с полостями могут рассматриваться как однородные, если размеры полостей невелики и их суммарный объем составляет менее 15% общего объема элемента.
Сравнение результатов измерений, представленных разными лабораториями за последние тридцать лет, показывает, что они лежат вблизи изображенных на
рисунке B.1 кривых в пределах отклонений от минус 4 до плюс 8 дБ. Такой относительно большой разброс обусловлен многими факторами, некоторые из которых связаны с особенностями материала, другие с лабораторным оборудованием и применением различных методов измерений. Следует ожидать, что результаты измерений в соответствии с новой редакцией ЕН ИСО 140 сократят такое расхождение наполовину. Учет влияния указанных факторов привел к разработке различных эмпирических формул для "закона массы", используемых в настоящее время в европейских странах, результаты расчета по которым приведены на
рисунке B.2.
A - индекс изоляции воздушного шума Rw, дБ;
B - поверхностная плотность элемента, кг/м2

бетон;

силикатные блоки;

легкий бетон;

автоклавный газобетон
Для m' > 150 кг/м2 данные на рисунке могут быть удовлетворительно представлены средним значением, рассчитанным по формуле

(B.5)
Соответствующие коэффициенты согласования спектров:
C = -1 дБ и уменьшается до -2 дБ с увеличением поверхностной плотности до значений свыше 150 кг/м2;
изменяется в пределах -7 <= Ctr <= -1 дБ. (B.6)
Рисунок B.1 - Индекс изоляции воздушного шума
для некоторых распространенных монолитных
1 - индекс изоляции воздушного шума Rw, дБ;
2 - поверхностная плотность элемента, кг/м2
Графики построены по формулам:

(B.7)
Рисунок B.2 - Существующие эмпирические формулы для индекса
изоляции воздушного шума однородных структурных элементов
(A - Австрия, F - Франция, GB - Англия)
Минимальные значения, приведенные на
рисунке B.1, взяты для сравнения.
(справочное)
ВРЕМЯ СТРУКТУРНОЙ РЕВЕРБЕРАЦИИ
Время структурной реверберации элемента Ts можно оценить по суммарному коэффициенту потерь, обусловленному внутренними потерями, потерями на излучение и потерями по периметру элемента, используя формулы:

(C.1)
где

- суммарный коэффициент потерь;
f - среднегеометрическая частота полосы частот, Гц;

- коэффициент внутренних потерь материала;
m' - поверхностная плотность элемента, кг/м2;

- коэффициент излучения свободных изгибных волн;
fc - критическая частота, Гц;

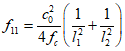
;
S - площадь элемента, м2;

- коэффициент поглощения изгибной волны на стороне
k элемента;
lk - длина стороны k элемента, м;
c0 - скорость звука в воздухе; c0 = 340 м/с;

- плотность воздуха, кг/м
3.
При расчетах в третьоктавных полосах в качестве расчетных могут быть приняты среднегеометрические частоты полос. При этом наилучшую оценку для октавной полосы дает результат для среднегеометрической частоты низкочастотной третьоктавной полосы в данной октавной полосе.
Коэффициент внутренних потерь распространенных однородных строительных материалов приблизительно равен 0,01. Потерями на излучение можно пренебречь. Коэффициенты поглощения зависят от условий и свойств структурных элементов, соединенных по периметру.
Натурные условия
В натурных условиях коэффициент поглощения изгибных волн на стороне k элемента изменяется в пределах от 0,05 до 0,5.
Коэффициент поглощения

для элемента
i может быть рассчитан по индексу
Kij снижения вибрации для пути
ij звукопередачи через соединение элементов
i и
j

(C.2)
где fc,j - критическая частота элемента j, Гц;
fref - опорная частота, Гц; fref = 1000 Гц;
j - обозначает элементы, соединенные с элементом i на стороне k.
Если рассматриваемая область является частью более крупного структурного элемента и соединения образуют легкие элементы, то реальное время структурной реверберации может зависеть или в основном определяться характеристиками наибольшего структурного элемента из-за обратного потока колебательной энергии.
Данный эффект может быть учтен заменой суммы в третьем слагаемом
формулы (C.1) на максимальное значение

для крупного структурного элемента с площадью
S, полагая, что имеет место соотношение

(C.3)
где Lk - длина соединения плиты общего пола с несущими стенами по стороне k, м;

- коэффициент поглощения изгибной волны на стороне
k плиты общего пола.
Такой подход позволяет рассчитать время структурной реверберации, которое, не являясь фактическим значением, обеспечивает правильность результата определения звукоизоляции в натурных условиях. Фактическое время структурной реверберации больше в Stot/S раз.
Лабораторные условия
При измерениях в лабораторных условиях в соответствии с ЕН ИСО 140-3
<*> средний коэффициент поглощения изгибных волн согласно ЕН ИСО 140-1
<**> приблизительно равен 0,15 для тяжелых конструкций (с поверхностной плотностью около 400 кг/м
2). Это имеет место для тяжелой бетонной рамы испытательного проема толщиной 600 мм. В данной ситуации

может быть рассчитан по формуле

(C.4)
--------------------------------
<*> Следует применять ЕН ИСО 10140-2.
<**> Следует применять ЕН ИСО 10140-5.
Данные формулы следуют из теории размерностей (см.
[2]) и эмпирически аппроксимированы для диффузных звуковых полей. Исходя из этого, суммарный коэффициент потерь в лабораторных условиях можно оценить по формуле

(C.5)
Данная формула справедлива для структурных элементов с поверхностной плотностью
m' = 800 кг/м
2;

может быть принят равным 0,01.
Примечание - Для некоторых лабораторий указанные величины могут быть рассчитаны как в натурных условиях, используя соответствующие значения индекса снижения вибрации на границах испытательного проема.
(справочное)
УЛУЧШЕНИЕ ЗВУКОИЗОЛЯЦИИ ДОПОЛНИТЕЛЬНЫМИ СЛОЯМИ
D.1 Улучшение звукоизоляции слоями
Улучшение звукоизоляции слоем, таким как упруго закрепленная облицовка стен, плавающий пол или подвесной потолок, различно для косвенной и прямой звукопередачи и зависит от типа базовых структурных элементов, на которые устанавливается слой. Поэтому звукоизоляция должна быть определена по результатам лабораторных измерений как для прямой, так и для косвенной звукопередачи с таким же базовым структурным элементом, который применяется в натурных условиях.
В настоящее время не существует стандартного метода измерений, позволяющего определить влияние косвенной звукопередачи на прямую звукопередачу, а также результатов, обусловленных изменением базового структурного элемента. В настоящем приложении приведены некоторые сведения, способствующие выработке адекватного практического подхода.
D.1.1 Прямая звукопередача
Улучшение звукоизоляции слоем следует определять как разность между измеренной в соответствии с ЕН ИСО 140-3
<*> звукоизоляцией базового структурного элемента со слоем и без него. Чтобы получить сопоставимые результаты, в качестве стандартного базового структурного элемента необходимо использовать однородный оштукатуренный элемент с поверхностной плотностью (250 +/- 50) кг/м
2. Следует учитывать, что звукоизоляция базового элемента не влияет на косвенную звукопередачу через неплотности по периметру элемента. Дополнительно могут быть использованы другие базовые структурные элементы.
--------------------------------
<*> Следует применять ЕН ИСО 10140-2.
Для расчета прямой звукопередачи следует использовать результаты лабораторных исследований стандартных базовых элементов, пока не станут доступны более точные результаты для соответствующего базового элемента.
Примечание - В общем случае улучшение звукоизоляции уменьшается при увеличении поверхностной плотности базового структурного элемента из-за прямой или косвенной (по периметру) связи между слоем и основным структурным элементом. Результат на защищаемой стороне элемента будет соответствовать действительности при использовании стандартного образца структурного элемента или структурных элементов с поверхностной плотностью, незначительно превышающей поверхностную плотность стандартного образца.
Улучшение звукоизоляции слоем может быть выражено в виде оценки одним числом

, если значения звукоизоляции базового структурного элемента при наличии и отсутствии испытуемого слоя также определены в виде оценки одним числом по ЕН ИСО 717-1.
Некоторые типичные примеры улучшения звукоизоляции дополнительными слоями приведены в таблице D.1.
Таблица D.1
Улучшение звукоизоляции

дополнительными слоями (примеры)
Конструкция дополнительного слоя |  , дБ, в октавных полосах, Гц |  , дБ |
63 | 125 | 250 | 500 | 1000 | 2000 |
Стена 100 мм из гипсовых блоков, 80 кг/м2 |
Гипсокартон 12,5 мм; полость 44 мм, заполненная минеральной ватой 25 мм; без каркаса | 0 | 2 | 14 | 23 | 24 | 19 | 18 |
Гипсокартон 12,5 мм; полость 73 мм, заполненная минеральной ватой 50 мм; деревянный каркас | 2 | 8 | 15 | 23 | 25 | 21 | 21 |
Гипсокартон 12,5 мм; полость 60 мм, заполненная минеральной ватой 50 мм; металлический каркас, изолированный от стены | 2 | 8 | 15 | 24 | 25 | 20 | 21 |
Стена 175 мм из оштукатуренного пористого бетона, 135 кг/м2 |
Гипсокартон 12,5 мм; минеральная вата 40 мм; металлический каркас | 3 | 12 | 14 | 15 | 17 | 15 | 15 |
Пористый бетон 35 мм; минеральная вата 50 мм; без каркаса <*> | 3 | 11 | 14 | 16 | 14 | 13 | 14 |
Стена 100 мм силикатные блоки, 180 кг/м2 |
Гипсокартон (2 x 12,5) мм; строительная пена 20 мм; без каркаса | 2 | 5 | 19 | 30 | 41 | 42 | 23 |
Стена 300 мм оштукатуренные полые блоки, 240 кг/м2 |
Цементная штукатурка 15 мм; минеральная вата 30 мм; без каркаса <*> | 0 | -4 | 5 | 9 | 11 | 15 | 7 |
Цементная штукатурка 15 мм; минеральная вата 50 мм; без каркаса <*> | 0 | -5 | 5 | 8 | 10 | 14 | 6 |
<*> Пример в таблице D.2 соответствует этой конструкции стены. |
D.1.2 Косвенная звукопередача
Улучшение звукоизоляции может быть определено по результатам измерений в натурных условиях или в специально оборудованных лабораториях, в которых звукопередача происходит только побочным путем (т.е. путем
Ff на
рисунке 2). Это обеспечивают применением специальных конструкций и/или эффективных облицовок на стенах и напольными покрытиями, чтобы предотвратить звукопередачу любыми другими путями. Улучшение звукоизоляции определяют путем измерения звукопередачи структурных элементов, образующих рассматриваемые пути косвенной звукопередачи, с испытуемым слоем и без него. Чтобы получить результаты, сопоставимые с прямой звукопередачей, рекомендуется в качестве стандартного образца базового структурного элемента использовать однородный оштукатуренный элемент с поверхностной плотностью (250 +/- 50) кг/м
2. Следует иметь в виду, что звукоизоляция базового структурного элемента не влияет на косвенную звукопередачу через неплотности элемента и по его периметру. Дополнительно могут быть применены другие базовые структурные элементы.
Результаты расчетов косвенной звукопередачи с использованием стандартных образцов основных базовых структурных элементов следует применять, пока результаты для наиболее близких к применяемым основным элементам недоступны.
Приемлемой оценкой улучшения звукоизоляции при косвенной звукопередаче является улучшение звукоизоляции при прямой звукопередаче.
Примечание - Улучшение звукоизоляции при косвенной и прямой звукопередаче может отличаться. На частотах ниже критической частоты облицовки и ниже частот, где проявляются эффекты взаимодействия элементов, это отличие обусловлено различным возбуждением элементов, в то время как на более высоких частотах это вызвано в основном влиянием утечек базового структурного элемента при измерениях без облицовок.
Улучшение звукоизоляции слоем может быть выражено в виде оценки одним числом - индексом улучшения изоляции воздушного шума

, если звукоизоляция базового структурного элемента при наличии и отсутствии испытуемого слоя также определена в виде оценки одним числом по ЕН ИСО 717-1.
Некоторые типичные примеры улучшения звукоизоляции дополнительными слоями по боковым стенам приведены в таблице D.2.
Таблица D.2
Улучшение звукоизоляции

дополнительными слоями
при косвенной звукопередаче боковыми стенами(примеры)
Конструкция дополнительного слоя |  , дБ, в октавных полосах, Гц |  , дБ |
63 | 125 | 250 | 500 | 1000 | 2000 |
Стена 175 мм, оштукатуренные полые блоки, 135 кг/м2 |
Гипсокартон 12,5 мм; минеральная вата 40 мм; металлический каркас | 0 | 6 | 12 | 14 | 14 | 14 | 13 |
Пористый бетон 35 мм; минеральная вата 50 мм; без каркаса | 0 | 5 | 8 | 13 | 11 | 13 | 12 |
Стена 300 мм, оштукатуренные полые блоки, 240 кг/м2 |
Цементная штукатурка 15 мм; минеральная вата 30 мм; без каркаса | 0 | -3 | 5 | 10 | 12 | 13 | 6 |
Цементная штукатурка 15 мм; минеральная вата 50 мм; без каркаса | 0 | -3 | 6 | 10 | 12 | 15 | 5 |
D.2 Индекс улучшения изоляции воздушного шума слоями
Если дополнительные слои (облицовка стен, плавающие полы, подвесные потолки) крепятся к однородному структурному элементу (разделительному или боковому элементам), то звукоизоляция может быть улучшена или ослаблена в зависимости от резонансной частоты f0 системы.
Для элементов, где слой звукоизоляции крепится непосредственно к основной конструкции (без каркасов или деревянных реек), резонансную частоту f0 рассчитывают по формуле

(D.1)
где s' - динамическая жесткость слоя звукоизоляции в соответствии с ЕН 29052-1:1992 <*>; мН/м3;

- поверхностная плотность базового структурного элемента, кг/м
2;

- поверхностная плотность дополнительного слоя, кг/м
2.
--------------------------------
<*> Рекомендуется применять
ГОСТ Р 53378-2009 (ЕН 29052-1:1992) "Материалы акустические, применяемые в плавающих полах жилых зданий. Метод определения динамической жесткости".
Для дополнительных слоев, имеющих металлический или деревянный каркас, или изготовленный из досок, не имеющих непосредственного контакта с базовым структурным элементом, полости в котором заполнены пористым слоем звукоизоляции с сопротивлением продуванию
r >= 5 кПа·с/м
2 по ЕН 29053
<**>, резонансную частоту
f0 рассчитывают по формуле

(D.2)
где d - глубина воздушного промежутка дополнительной облицовки, м.
--------------------------------
<**> Рекомендуется применять
ГОСТ Р ЕН 29053-2008 "Материалы акустические. Методы определения сопротивления продуванию потоком воздуха".
Для базовых структурных элементов индекс изоляции воздушного шума которых находится в диапазоне 20 <=
Rw <= 60 дБ, индекс улучшения изоляции воздушного шума вследствие применения дополнительного слоя может быть определен по резонансной частоте
f0 (округленной до ближайшего целого значения) в соответствии с таблицей D.3. Для резонансных частот ниже 200 Гц данная величина также зависит от индекса изоляции воздушного шума базового структурного элемента, как показано на
рисунке D.1.
Таблица D.3
Индекс улучшения изоляции воздушного шума

облицовкой в зависимости от резонансной частоты
Резонансная частота f0 облицовки, Гц |  , дБ |
Не более 80 | 35 - Rw/2 |
100 | 32 - Rw/2 |
125 | 30 - Rw/2 |
160 | 28 - Rw/2 |
200 | -1 |
250 | -3 |
315 | -5 |
400 | -7 |
500 | -9 |
630 - 1600 | -10 |
Свыше 1600 | -5 |
Примечание 1 - Для резонансных частот ниже 200 Гц минимальное значение  . Примечание 2 - Значения для промежуточных резонансных частот могут быть получены с помощью линейной интерполяции по логарифмам частот. Примечание 3 - Rw - индекс изоляции воздушного шума необлицованной стены или пола без напольного покрытия, дБ. |
A - индекс улучшения изоляции воздушного шума

, дБ;
B - индекс изоляции воздушного шума Rw необлицованной
стены или пола без напольного покрытия, дБ
Рисунок D.1 - Индекс улучшения изоляции воздушного шума
дополнительным слоем с резонансной частотой ниже 200 Гц
как функция Rw для необлицованного структурного элемента
(справочное)
E.1 Методы определения
Индекс снижения вибрации
Kij для пути
ij звукопередачи через соединение элементов
i и
j рассчитывают по
формуле (10) как разность уровней скорости в обоих направлениях в соединении с учетом (при необходимости) времени структурной реверберации.
Следовательно, данную величину можно определить по результатам измерений разности уровней скорости Dv,ij и Dv,ji соединенных элементов. В общем случае это касается только невозбужденной стороны структурного элемента i (снаружи) и излучающей стороны структурного элемента j (внутри). Для существенно однородных конструкций, в отличие от двухслойных, сторона не имеет значения.
Время структурной реверберации следует определять для обоих элементов, участвующих в звукопередаче. Однако для легких двойных элементов, таких как стены с деревянным или металлическим каркасами, деревянные конструкции пола и другие легкие элементы с высоким коэффициентом внутренних потерь (свыше 0,03), время структурной реверберации можно не измерять, а эквивалентную длину поглощения можно принять численно равной площади элемента.
Примечание - Стандартные методы измерений по определению данных величин в лабораторных условиях установлены в ЕН ИСО 10848-1. Для получения характеристик соединения методы этого стандарта допустимо применять и в натурных условиях.
Для однородных элементов индекс снижения вибрации может быть выражен коэффициентом передачи мощности изгибной волны

в соединении элементов
i и
j по формуле

(E.1)
где fc - критическая частота, Гц;
fref - опорная частота; fref = 1000 Гц.
Для всех типов элементов индекс снижения вибрации также может быть определен по измеренным или расчетным значениям коэффициента передачи мощности изгибной волны.
E.2 Эмпирические данные
Для распространенных типов соединений в настоящем приложении приведены значения
Kij в зависимости от поверхностной плотности
m1 и
m2 элементов, образующих соединение [см.
рисунки E.1 -
E.13 и формулы (E.2) -
(E.9)]. Результаты распространяются на соединения, в которых элементы по обе стороны соединения имеют одинаковую поверхностную плотность. Значения
Kij приведены в зависимости от величины
M, рассчитываемой по формуле

(E.2)
где

- поверхностная плотность элемента
i пути звукопередачи
ij, кг/м
2;

- поверхностная плотность другого, перпендикулярного элемента, образующего соединение, кг/м
2.
Примечание 1 - При рассмотрении звукопередачи через угловое соединение порядок подстановки поверхностных масс в
формуле (E.2) произволен, т.к. индекс снижения вибрации есть инвариантная относительно угла величина, одинаковая для

и

.
Результаты рассчитывают по обобщенным данным для разностей уровней скорости, взятым из опубликованных источников. Другие члены
формулы (10) оценивают исходя из того, что индекс снижения вибрации должен приводить к корректной оценке разности уровней скорости в соединении для всех структурных элементов в натурных условиях. В целом это занижает
Kij на 5 дБ по отношению к соответствующей средней по направлениям разности уровней скорости в соединении. Если известны более достоверные значения разности уровней скорости в соединении, то указанный подход может быть использован для определения индекса снижения вибрации
Kij в применяемой модели.
В настоящее время недостаточно данных для непосредственного расчета по
формуле (10).
В общем случае звукопередача слабо зависит от частоты, особенно в диапазоне от 125 до 2000 Гц. Частотную зависимость в этом диапазоне частот указывают через соответствующие среднегеометрические частоты 1/3-октавных или октавных полос. Вне указанного диапазона частотная зависимость может быть более сильной, особенно для легких конструкций.
Вид частотной зависимости звукопередачи указывает, в каких случаях эквивалентная длина поглощения структурных элементов должна приниматься численно равной их площади.
Улучшение звукоизоляции упругой прослойкой в жестком соединении характеризуется частотой
f1, которая зависит от модуля сдвига
G1 прослойки, ее толщины
t1 и плотностей

и

элементов соединения. Данная частота пропорциональна

. Оценка по
формулам (E.5) является общей для некоторых типичных соединений, характеризуемых отношением
E1/
t1, приблизительно равным 100 МН/м
3, где
E1 модуль упругости

.
Примечание 2 - В настоящее время разрабатываются методы расчета для различных видов прослоек.
Результаты измерений имеют разброс в пределах +/- 3 дБ относительно полученных зависимостей и увеличиваются до +/- 5 дБ для соединений легких элементов. В некоторых случаях отклонения могут быть значительно больше из-за изменений параметров элементов и качества выполнения соединения.
E.3 Предельные значения
Если боковой элемент имеет незначительный контакт с разделительным элементом или контакт отсутствует, то учитывают только индекс снижения вибрации
KFf. Индексам
KFd и
KDf присваивают высокие значения, чтобы звукопередача по соответствующим путям была незначительной. В случае однородного бокового элемента минимальное значение индекса снижения вибрации рассчитывают по формуле
KFf = 5 lg
fc - 15,0 дБ. Для двухслойных легких элементов допустимое минимальное значение

. Нижнее предельное значение
Kij должно обеспечить

.

(E.3)
Рисунок E.1 - Жесткое крестообразное соединение
Рисунок E.2 - Примеры жесткого крестообразного соединения

(E.4)
Рисунок E.3 - Жесткое Т-образное соединение
Рисунок E.4 - Примеры жесткого Т-образного соединения

(E.5)
Рисунок E.5 - Соединение со стеной через упругие прослойки
1 - упругие прослойки
Рисунок E.6 - Примеры соединений
со стеной через упругие прослойки

(E.6)
Рисунок E.7 - Соединение легкого фасада
Рисунок E.8 - Примеры соединений легкого фасада

(E.7)
Рисунок E.9 - Соединение легкой двухслойной
стены и однородных элементов
Рисунок E.10 - Примеры соединений легкой
двухслойной стены и однородных элементов

(E.8)
Рисунок E.11 - Соединение легкого
элемента с двухслойными стенами
Рисунок E.12 - Примеры соединений
легкого элемента с двухслойными стенами
A - угловое соединение:
K12 = K21 = 15|M| - 3 дБ и минимум - 2 дБ; 0 дБ/октава;
B - соединение с изменением толщины элементов:
K12 =
K21 = 5
M2 - 5 дБ; 0 дБ/октава (E.9)
Рисунок E.13 - Угловое соединение и соединение
с изменением толщины элементов
(справочное)
ОПРЕДЕЛЕНИЕ КОСВЕННОЙ ЗВУКОПЕРЕДАЧИ
F.1 Лабораторные измерения суммарной косвенной звукопередачи
При ограничениях, обусловленных преобладанием косвенной звукопередачи по пути
Ff (рисунок 2), включающем в себя боковой структурный элемент, целесообразно определять звукопередачу посредством лабораторных измерений. Часто такая ситуация имеет место для конструкций боковых, таких как легкие элементы, подвесные потолки, фальшполы. В таких конструкциях косвенная звукопередача может быть преимущественно структурной, воздушной, либо их сочетанием. Поэтому для выражений результатов измерений желательно использовать инвариантные величины, которые не зависят от условий измерений. На основе таких величин могут быть экстраполированы акустические характеристики в натурных условиях. Однако инвариантные величины в общем случае неизвестны. Наиболее приемлемый выход заключается в определении искомых величин, если известен главный механизм косвенной звукопередачи, прежде всего структурный или воздушный.
Основной целью лабораторных измерений косвенной звукопередачи является сравнение между собой различных элементов в стандартных условиях измерений. Для этой цели при известных условиях лаборатории результаты измерений достаточно выразить через приведенную разность уровней побочного шума по формуле

(F.1)
где L1 - средний уровень звукового давления в помещении источника, дБ;
L2 - средний уровень звукового давления в приемном помещении, обусловленный звукопередачей только по боковым конструкциям, дБ;
A - эквивалентная площадь звукопоглощения приемного помещения, м2;
A0 - стандартная эквивалентная площадь звукопоглощения, м2; A0 = 10 м2.
Для подвесных потолков и фальшполов данную величину определяют в соответствии с ЕН 20140-10 <*>. Для других боковых конструкций методы измерений установлены ЕН ИСО 10848-1.
--------------------------------
<*> Действует ЕН ИСО 10140-2.
Возможность применения данной величины для расчетов отдельно косвенной воздушной и структурной звукопередачи рассмотрена далее.
F.1.1 Косвенная воздушная звукопередача
В случаях преобладания косвенной воздушной звукопередачи приведенная разность уровней звукопередачи воздушного шума по обходному пути
Dn,s, дБ, в натурных условиях может быть определена по приведенной разности уровней побочного шума
Dn,f (см. рисунок F.1) по
формуле (F.2)
Рисунок F.1 - Величины для определения
косвенной воздушной звукопередачи

(F.2)
где

- коррекция для коэффициента поглощения подвесных потолков.

, если звукопоглощающая облицовка отсутствует.
Если звукопоглощающая облицовка установлена, то:

(F.3)
где Scs, Scr - площадь потолка в помещении источника и в приемном помещении соответственно, м2. Для лаборатории, отвечающей требованиям ИСО (образцовой) и обозначаемой индексом "lab", в качестве опорного значения можно принять Scs,lab = Scr,lab = 20 м2;
hpl - высота монтажного пространства над подвесным потолком, м. Для образцовой лаборатории в качестве опорного значения можно принять hlab = 0,7 м;
ta - толщина звукопоглощающей облицовки, м;
c0 - скорость звука в воздухе, м/с; c0 = 340 м/с.
Примечание 1 - В целях применения и дальнейшего уточнения данных формул необходимо проведение дополнительных лабораторных измерений, устанавливающих, действительно ли косвенная воздушная звукопередача является преобладающей, и позволяющих определить более точный критерий для звукопоглощения в монтажном пространстве.
Примечание 2 - Рассчитанная приведенная разность уровней звукопередачи воздушного шума по обходному пути будет характеризовать боковую конструкцию в целом, включая косвенную воздушную звукопередачу через вспомогательное оборудование (например, воздухораспределители, осветительная арматура). Однако в данном случае приведенная разность уровней может быть определена на основе косвенной звукопередачи потолка и вспомогательного оборудования по отдельности.
F.1.2 Косвенная структурная звукопередача
В случаях, когда косвенная структурная звукопередача является основной, расчет звукоизоляции побочного шума RFf в натурных условиях по значению Dn,f может быть выполнен по формуле

(F.4)
Если конструкция имеет высокий коэффициент внутренних потерь, как это имеет место у многослойных или легких двойных стен, то последние члены в данной формуле, содержащие время структурной реверберации, не учитывают.
Примечание - В целях применения и дальнейшего уточнения данной формулы необходимо для некоторых типов конструкций выполнить дополнительные лабораторные измерения, позволяющие убедиться в преобладании косвенной структурной звукопередачи.
F.2 Определение косвенной воздушной звукопередачи по известной звукопередаче отдельных элементов системы
F.2.1 Холл или коридор
Если звуковое поле в помещениях и холле предполагается диффузным (см. рисунок F.2), то приведенную разность уровней звукопередачи воздушного шума по обходному пути
Dn,s через холлы или коридоры можно оценить по
формуле (F.5).
Рисунок F.2 - Два помещения вдоль коридора

(F.5)
где Rhs - звукоизоляция стены между коридором и помещением источника, дБ;
Rhr - звукоизоляция стены между коридором и приемным помещением, дБ;
Shs - площадь стены между коридором и помещением источника, м2;
Shr - площадь стены между коридором и приемным помещением, м2;
Ah - эквивалентная площадь звукопоглощения коридора, м2;
Cdoorposition - корректирующий коэффициент, учитывающий взаимное расположение дверей в коридоре.
Примечание - Значение данного коэффициента можно считать лежащим в интервале от минус 2 дБ для дверей, расположенных друг к другу под углом 90° и на расстоянии менее 1 м, до 0 дБ для больших расстояний и/или параллельно расположенных дверей.
Звукоизоляция стен Rh обусловлена звукоизоляцией составляющих элементов Rhi, таких как стена, двери, окна с уплотнениями. Обычно звукоизоляция коридора определяется параметрами и конструкцией дверей и качеством их уплотнения в проемах стен.
Звукопоглощение в коридорах в основном определяется площадью лестничных проемов. В случае длинных коридоров влияние части коридора за пределами рассматриваемых помещений учитывают звукопоглощением поперечного сечения проема коридора.
F.2.2 Система вентиляции
Приведенная разность уровней звукопередачи воздушного шума по обходному пути Dn,s через вентиляционные системы может быть оценена по потерям звукопередачи через ее элементы, такие как повороты, решетки, глушители и другие изменения поперечного сечения вентиляционных систем. Данную величину применяют при оценке уровней шума вентиляционного оборудования.
(справочное)
ИНДЕКС ФАКТИЧЕСКОЙ ИЗОЛЯЦИИ ВОЗДУШНОГО ШУМА
ПРИ НАТУРНОМ МОДЕЛИРОВАНИИ КОСВЕННОЙ ЗВУКОПЕРЕДАЧИ ПО
[19]
В Германии расчеты акустических характеристик помещений в натурных условиях в соответствии с ДИН 4109 выполняют на основании величины

, характеризующей разделительный элемент и определяемой в специальных лабораториях, моделирующих косвенную звукопередачу для данной строительной конструкции в натурных условиях. В настоящем приложении приведен способ расчета

по индексу изоляции воздушного шума элемента
Rw, определенному в соответствии с ЕН ИСО 140-3 <*>, и наоборот, расчет
Rw по

согласно
[19]. При разработке и принятии стандартов такая взаимозаменяемость позволяет применять немецкие стандарты на основе данных по ЕН ИСО 140-3 <*> и Европейских стандартов на основе данных по ДИН 4109.
--------------------------------
<*> Следует применять ЕН ИСО 10140-2.
Расчет

на основе
Rw выполняют по формуле

(G.1)
Расчет
Rw на основе

выполняют по формулам:

, если

, (G.2)

, если

,
где

- индекс фактической изоляции воздушного шума при звукопередаче в условиях, близких к натурным, дБ;
Rw - индекс изоляции воздушного шума при отсутствии косвенной звукопередачи, дБ;
RFf,w - лабораторный индекс изоляции побочного шума, определенный для легкого двухслойного разделительного элемента в соответствии с
[19], дБ;

- увеличение индекса изоляции побочного шума лабораторной установки, обусловленное массивным испытуемым элементом, дБ.
При расчете

по
Rw (см.
формулу G.1) следует принять
RFf,w = 55 дБ.
При расчете
Rw по

(см.
формулу G.2)
RFf,w измеряют в испытательной установке для определения

. При отсутствии результатов данных измерений можно принять
RFf,w = 55 дБ.
Если обеспечено идеальное (т.е. жесткое) Т-образное соединение между испытуемым элементом и испытательной установкой и преобладает косвенная структурная звукопередача по пути
Ff, то для оценки значения

можно использовать следующие формулы:

(G.3)
где

- поверхностная плотность испытуемого элемента, кг/м
2;

- средняя поверхностная плотность бокового элемента испытательной установки, кг/м
2.
При расчете

по
Rw полагают

.
При расчете
Rw по

значение

принимают равным фактическому значению для испытательной установки, использованной при определении

.
Если нет жесткой связи между испытуемым элементом и испытательной установкой, то

.
На практике равенство

нулю является приближением, позволяющим выполнить расчеты как для легких, так и для тяжелых разделительных элементов в пределах точности, установленной ЕН 20140-2
(приложение B) <**>.
--------------------------------
<**> ЕН 20140-2:1993 "Акустика. Измерение звукоизоляции зданий и строительных элементов. Часть 2. Определение, проверка и применение данных по точности".
(справочное)
ПРИМЕР РАСЧЕТА
H.1 Конфигурация и параметры помещений
На рисунке H.1 представлены смежные помещения, каждое объемом 50 м3. Размеры указаны в метрах.
A - горизонтальная проекция;
B - вертикальный разрез;
1 - разделительный элемент: стена (4,50 x 2,55 = 11,5 м2),
бетон толщиной 200 мм и поверхностной плотностью 460 кг/м2;
побочные элементы (одинаковые для обоих помещений);
2 - фасад (4,36 x 2,55 = 11,1 м2), жесткое Т-образное
соединение, силикатные блоки толщиной 100 мм
и поверхностной плотностью 175 кг/м2; 3 - внутренняя стена
(4,36 x 2,55 = 11,1 м2), крестообразное соединение
с упругой прокладкой, гипсовые блоки толщиной 70 мм
и поверхностной плотностью 67 кг/м2; 4 - потолок
(4,36 x 4,50 = 19,6 м2), жесткое крестообразное соединение,
бетон толщиной 100 мм и поверхностной плотностью
230 кг/м2; 5 - пол (4,36 x 4,50 = 19,6 м2), жесткое
крестообразное соединение, бетон толщиной 100 мм, финишная
отделка толщиной 30 мм, поверхностная плотность обоих
элементов 287 кг/м2; 6 - упругое соединение
Рисунок H.1 - Конфигурация и параметры помещений
H.2 Полная расчетная модель
H.2.1 Результаты
В таблице приведены значения звукоизоляции для прямой и косвенной звукопередачи, определенные для отдельных элементов и путей, а также суммарные значения в октавных полосах и индексы изоляции воздушного шума. Значения округлены до целых децибел. Подробности расчета для выделенных полужирным шрифтом значений приведены в
пунктах H.2.2 и
H.2.3.
| Определяемая величина | Среднегеометрическая частота, Гц | Индекс изоляции воздушного шума Rw, дБ |
125 | 250 | 500 | 1000 | 2000 | 4000 |
Стена | Rd | 39 | 46 | 54 | 62 | 70 | 74 | 57 |
RDd | 40 | 49 | 57 | 65 | 72 | 76 | 59 |
RF1d | 51 | 56 | 64 | 73 | 80 | 86 | 68 |
RF2d | 50 | 55 | 63 | 71 | 79 | 85 | 67 |
RF3d | 52 | 54 | 61 | 70 | 78 | 85 | 66 |
RF4d | 50 | 56 | 62 | 73 | 84 | 93 | 67 |
Пол | Rf1 | 48 | 51 | 60 | 68 | 76 | 82 | 63 |
RDf | 51 | 56 | 64 | 73 | 80 | 86 | 68 |
RFf | 51 | 52 | 61 | 70 | 78 | 85 | 65 |
Потолок | Rf2 | 48 | 50 | 58 | 67 | 75 | 82 | 62 |
RDf | 50 | 55 | 63 | 71 | 79 | 85 | 67 |
RFf | 52 | 51 | 60 | 69 | 77 | 85 | 64 |
Фасад | Rf3 | 51 | 50 | 56 | 66 | 74 | 82 | 61 |
RDf | 52 | 54 | 61 | 70 | 78 | 85 | 66 |
RFf | 56 | 52 | 57 | 67 | 76 | 85 | 63 |
Внутренняя стена | Rf4 | 49 | 54 | 59 | 71 | 83 | 93 | 64 |
RDf | 50 | 56 | 62 | 73 | 84 | 93 | 67 |
RFf | 55 | 57 | 62 | 75 | 90 | 105 | 68 |
Суммарные значения | 37 | 42 | 50 | 59 | 67 | 73 | 54 |
Оценка одним числом по ЕН ИСО 717-1:

, например

.
H.2.2 Подробное описание этапов расчета для разделительного элемента, пола и внутренней стены
В качестве примера приведен расчет для разделительного элемента, пола и внутренней стены. Расчет времени структурной реверберации в октавной полосе 500 Гц (выделенной полужирным шрифтом) приведен в
H.2.3.
H.2.2.1 Преобразование исходных данных для элементов к значениям в натурных условиях
Разделительный элемент: m' = 460 кг/м2, fc = 94 Гц, S = 11,5 м2
Вид данных | Определяемая величина | Среднегеометрическая частота, Гц |
125 | 250 | 500 | 1000 | 2000 | 4000 |
Исходное значение | | 38,0 | 46,9 | 55,1 | 62,9 | 70,0 | 74,4 |
Рассчитанное значение | 10 lg(Ts,situ/Ts,lab), дБ | -2,1 | -1,9 | -1,8 | -1,7 | -1,6 | -1,5 |
Результат | | 40,1 | 48,8 | 56,9 | 64,6 | 71,6 | 75,9 |
Пол: m' = 287 кг/м2, fc = 173 Гц, S = 19,6 м2, lij = 4,5 м
Вид данных | Определяемая величина | Среднегеометрическая частота, Гц |
125 | 250 | 500 | 1000 | 2000 | 4000 |
Исходное значение | | 35,5 | 35,9 | 45,1 | 53,7 | 61,5 | 68,1 |
Рассчитанное значение | 10 lg(Ts,situ/Ts,lab), дБ | -1,5 | -1,4 | -1,4 | -1,3 | -1,2 | -1,0 |
Результат | | 37 | 37,3 | 46,5 | 55,0 | 62,7 | 69,1 |
Внутренняя стена: m' = 67 кг/м2, fc = 391 Гц, S = 11,1 м2, lij = 2,55 м
Вид данных | Определяемая величина | Среднегеометрическая частота, Гц |
125 | 250 | 500 | 1000 | 2000 | 4000 |
Исходное значение | | 31,8 | 28,5 | 25,7 | 33,3 | 42,3 | 50,4 |
Рассчитанное значение | 10 lg(Ts,situ/Ts,lab), дБ | -2,4 | -1,8 | -0,8 | -0,9 | -0,8 | -0,7 |
Результат | | 34,2 | 30,3 | 26,5 | 34,2 | 43,1 | 51,1 |
H.2.2.2 Преобразование исходных данных к значениям в натурных условиях
Пол: lFf = 4,50 м, SF = Sf = 19,6 м2, Ss = 11,5 м2.
Согласно приложению E
[формула (E.3)] для

:
KFf = 12,4 дБ;
KDf = 8,9 дБ;
KFd = 8,9 дБ.
Элемент помещения | Определяемая величина | Среднегеометрическая частота, Гц |
125 | 250 | 500 | 1000 | 2000 | 4000 |
Разделительный элемент | | 14,7 | 14,5 | 14,3 | 14,7 | 15,3 | 16,2 |
Пол | | 12,2 | 13,4 | 13,5 | 14,2 | 15,4 | 17,1 |
| Dv,Ff = 12,4 - 10 lg 4,5/13,5 = 17,2 дБ |
Внутренняя стена: lFf = 2,25 м, SF = Sf = 11,1 м2, Ss = 11,5 м2.
Согласно приложению E
[формула (E.5)] при

:
KFf = 33,5 дБ;
KDf = 15,7 дБ;
KFd = 15,7 дБ.
Элемент помещения | Определяемая величина | Среднегеометрическая частота, Гц |
125 | 250 | 500 | 1000 | 2000 | 4000 |
Разделительный элемент | | 14,7 | 14,5 | 14,3 | 14,7 | 15,3 | 16,2 |
Внутренняя стена | | 2,2 | 2,4 | 4,1 | 3,6 | 3,6 | 4,6 |
| Dv,Ff = 33,5 -10 lg 2,55/4,1 = 35,6 дБ |
H.2.2.3 Определение звукоизоляции прямой и косвенной звукопередачи,
формулы (24),
(25); 500 Гц
Разделительный элемент | прямая | RDd = 56,9 |
пола | RFd = 46,4/2 + 56,9/2 + 13,8 - 1,2 = 64,2 дБ |
внутренней стены | RFd = 26,6/2 + 56,9/2 + 20,5 + 0,1 = 62,3 дБ |
Пол | RFf = 46,4/2 + 46,4/2 + 17,2 + 0,1 = 61,3 дБ RDf = 46,4/2 + 56,9/2 + 13,8 - 1,2 = 64,2 дБ |
Внутренняя стена | RFf = 26,6/2 + 26,6/2 + 35,6 + 0,2 = 62,4 дБ RDf = 26,6/2 + 56,9/2 + 20,5 + 0,1 = 62,3 дБ |
Округленные результаты приведены в
таблице в H.2.1 и выделены полужирным шрифтом.
H.2.3 Расчет времени структурной реверберации разделительного элемента в октаве 500 Гц
Расчеты выполняются по данным для f = 400 Гц (нижняя 1/3-октавная полоса для октавной полосы 500 Гц).
Лабораторные условия
Следовательно,
Ts,lab = 0,108 с (оценка по
формуле (C.5) должна дать
Ts,lab = 0,103 с).
Натурные условия
Стыки с:
- внутренней стеной:
Kij = -4,0; 15,7 и 15,7 дБ (см.
формулу (E.5), 500 Гц);
Расчет по
формуле (C.1) позволяет определить

и
Ts,situ = 0,072 с.
Таким образом, для звукоизоляции и звукопередачи в соединениях разделительного элемента: 10 lg Ts,situ/Ts,lab = 10 lg 0,072/0,108 = -1,8 дБ; asitu = 14,3 м.
Следуя той же методике, также получают:
- пол: asitu = 13,5 м;
- внутренняя стена: asitu = 4,1 м.
H.3 Упрощенная модель
Упрощенную модель применяют для той же конфигурации помещений с исходными данными, приведенными в таблице.
Элемент помещения | Параметры элементов | Параметры соединений |
m', кг/м2 | | | KFf, дБ | KFd, дБ | KDf, дБ |
|
Стена(ы) | 460 | 57 | | | | |
Поп (F = f = 1) | 287 | 49 | 1,61 | 12,4 | 8,9 | 8,9 |
Потолок (F = f = 2) | 230 | 46 | 2,00 | 14,4 | 9,2 | 9,2 |
Фасад (F = f = 3) | 175 | 42 | 2,63 | 12,6 | 6,7 | 6,7 |
Внутренняя стена (F = f = 4) | 67 | 33 | 6,97 | 33,5 | 15,7 | 15,7 |
- стена: | RDd = 57 дБ; R1d = 49/2 + 57/2 + 8,9 + 4,1 = 66,0 дБ; R2d = 46/2 + 57/2 + 9,2 + 4,1 = 64,8 дБ; R3d = 42/2 + 57/2 + 6,7 + 6,5 = 62,7 дБ; R4d = 33/2 + 57/2 + 15,7 + 6,5 = 67,2 дБ; |
- пол: | RD1 = 49/2 + 57/2 + 8,9 + 4,1 = 66,0 дБ; R11 = 49 + 12,4 + 4,1 = 65,5 дБ; |
- потолок: | RD2 = 46/2 + 57/2 + 9,2 + 4,1 = 64,8 дБ; R22 = 46 + 14,4 + 4,1 = 64,5 дБ; |
- фасад: | RD3 = 42/2 + 57/2 + 6,7 + 6,5 = 62,7 дБ; R33 = 42 + 12,6 + 6,5 = 61,1 дБ; |
- внутренняя стена: | RD4 = 33/2 + 57/2 + 15,7 + 6,5 = 67,2 дБ; R44 = 33 + 33,5 + 6,5 = 73,0 дБ. |
Результат расчета по: | |
|  ; |
| | ИС МЕГАНОРМ: примечание. В официальном тексте документа, видимо, допущена опечатка: формула (5b) отсутствует. Возможно, имеется в виду формула (5б). | |
|
| DnT,w = 52,2 + 10 lg[50/(3·11,5)] = 52,2 + 1,6 = 53,8 ~= 54 дБ. |
Во втором примере в помещении источника и приемном помещении добавлен плавающий пол. Улучшение индекса изоляции воздушного шума

.
Это оказывает влияние на звукопередачу по путям
Ff,
Fd,
Df для пола согласно
формуле (31)
Таким образом, звукопередача для разделительной стены и пола изменятся следующим образом:
- стена: | R1d = 66,0 + 14 = 80,0 дБ; |
- пол: | RD2 = 66,0 + 14 = 80,0 дБ; R22 = 65,5 + 21 = 86,5 дБ. |
Окончательный результат:
-

;
- DnT,w = 52,7 + 1,6 = 54,3 ~= 54 дБ.
(справочное)
СВЕДЕНИЯ О СООТВЕТСТВИИ ССЫЛОЧНЫХ МЕЖДУНАРОДНЫХ СТАНДАРТОВ
ССЫЛОЧНЫМ НАЦИОНАЛЬНЫМ СТАНДАРТАМ РОССИЙСКОЙ ФЕДЕРАЦИИ
Таблица ДА.1
Обозначение ссылочного международного стандарта | Степень соответствия | Обозначение и наименование соответствующего национального стандарта |
ИСО 140-1 | IDT | ГОСТ Р ИСО 10140-1-2012 "Акустика. Лабораторные измерения звукоизоляции элементов зданий. Часть 1. Правила испытаний строительных изделий определенного вида" |
ИСО 140-3 | IDT | ГОСТ Р ИСО 10140-3-2012 "Акустика. Лабораторные измерения звукоизоляции элементов зданий. Часть 3. Измерение звукоизоляции ударного шума" |
ИСО 140-4 | - | |
ЕН 20140-10 | - | |
ЕН ИСО 717-1 | - | |
ЕН ИСО 10848-1 | IDT | ГОСТ Р ИСО 10848-1-2012 "Акустика. Лабораторные измерения косвенной передачи воздушного и ударного шума между смежными помещениями. Часть 1. Основные положения" |
<*> Соответствующий национальный стандарт отсутствует. До его утверждения рекомендуется использовать перевод на русский язык данного международного стандарта. Перевод данного международного стандарта находится в Федеральном информационном фонде технических регламентов и стандартов. Примечание - В настоящей таблице использовано следующее условное обозначение степени соответствия стандартов: - IDT - идентичные стандарты. |
[1] | Cremer, L., "Theorie der Schalldammung diinner Wande bei schragem Einfall", Akust. Zeitschrift 7 (1942), 81 - 104 |
| Cremer, L., M. Heckl, E.E. Ungar, Structure borne sound, Springer-Verlag, Berlin, New York, 2nd edition, 1988 |
[3] | DIN 4109 - Schallschutz im Hochbau; Anforderungen und Nachweise, DIN Berlin, 1989 |
[4] | Gerretsen, E., "Calculation of sound transmission between dwellings by partitions and flanking structures", Applied Acoustics 12 (1979), 413 - 433 |
| Gerretsen, E., "Calculation of airborne and impact sound insulation between dwellings", Applied Acoustics 19 (1986), 245 - 264 |
[6] | Gosele, K., "Untersuchungen zur Schall-langsleitung in Bauten", Berichte aus der Bauforschung, Heft 56 (1968), 25 - 35 |
[7] | Guide Qualitel, Association Qualitel, Paris, 1989 |
[8] | Heckl, M., "Die Schalldammung von homogenen Einfachwanden endlicher Flache", Acustica 20 (1968), 98 - 108 |
[9] | Homb, A. e.a., "Lydisolerende konstruksjoner", NBI, 1983 |
| Josse, R. and J. Lamure, "Transmission du son par une paroi simple", Acustica 14 (1964), 266 - 280 |
[11] | Ljunggren, S., "Airborne sound insulation of thin walls", JASA89 (1991), 2324 - 2337 |
| Ljunggren, S., "Airborne sound insulation of thick walls", JASA89 (1991), 2338 - 2345 |
| Maidanik, G., "Response of ribbed panels to reverberant acoustic fields", JASA34 (1962), 809 - 826 |
[14] | Mechel, F.P., "Schall-Langsdammung von Unterdecken", WKSB, Zeitschrift fur Warme-Kalte-, Schall- und Brandschutz, special issue, August 1980, 16 - 29 |
[15] | ONORM B 8115, Schallschutz und Raumakustik im Hochbau, ON, Wien, 1992 |
| Sewell, E.C., "Transmission of reverberant sound through a single-leaf partition surrounded by an infinite rigid baffle", Journal of Sound and Vibration 12 (1970), 21 - 32 |
[17] | Gerretsen, E., "European developments in prediction models for building acoustics", Acta Acustica 2 (1994), 205 - 214 |
| Novak, R.A., "Radiation from partially excited plates", Acta Acustica 3 (1995), 561 - 567 |
| DIN 52210 - Bauakustische Prufungen; Luft- und Trittschalldammung, DIN Berlin, 1989 |