Главная // Актуальные документы // ГОСТ Р (Государственный стандарт)СПРАВКА
Источник публикации
М.: Стандартинформ, 2018
Примечание к документу
Документ утратил силу с 01.04.2023 в связи с изданием
Приказа Росстандарта от 13.12.2022 N 1481-ст. Взамен введен в действие
ГОСТ 34730.3-2022.
Документ
введен в действие с 01.02.2019.
Название документа
"ГОСТ Р МЭК 60704-3-2018. Национальный стандарт Российской Федерации. Приборы электрические бытовые и аналогичного назначения. Испытательный код по шуму. Часть 3. Определение и подтверждение заявляемых шумовых характеристик"
(утв. и введен в действие Приказом Росстандарта от 14.06.2018 N 340-ст)
"ГОСТ Р МЭК 60704-3-2018. Национальный стандарт Российской Федерации. Приборы электрические бытовые и аналогичного назначения. Испытательный код по шуму. Часть 3. Определение и подтверждение заявляемых шумовых характеристик"
(утв. и введен в действие Приказом Росстандарта от 14.06.2018 N 340-ст)
Утвержден и введен в действие
по техническому регулированию
и метрологии
от 14 июня 2018 г. N 340-ст
НАЦИОНАЛЬНЫЙ СТАНДАРТ РОССИЙСКОЙ ФЕДЕРАЦИИ
ПРИБОРЫ ЭЛЕКТРИЧЕСКИЕ БЫТОВЫЕ И АНАЛОГИЧНОГО НАЗНАЧЕНИЯ
ИСПЫТАТЕЛЬНЫЙ КОД ПО ШУМУ
ЧАСТЬ 3
ОПРЕДЕЛЕНИЕ И ПОДТВЕРЖДЕНИЕ ЗАЯВЛЯЕМЫХ ШУМОВЫХ ХАРАКТЕРИСТИК
Household and similar electrical appliances. Test code
for noise. Part 3. Procedure for determining
and verifying declared noise emission values
(IEC 60704-3:2006,
Household and similar electrical appliances -
Test code for determination of airborne acoustical noise -
Part 3: Procedure for determining and verifying
declared noise emission values,
IDT)
ГОСТ Р МЭК 60704-3-2018
Дата введения
1 февраля 2019 года
1 ПОДГОТОВЛЕН Открытым акционерным обществом "Научно-исследовательский центр контроля и диагностики технических систем" (АО "НИЦ КД") на основе собственного перевода на русский язык англоязычной версии стандарта, указанного в
пункте 4
2 ВНЕСЕН Техническим комитетом по стандартизации ТК 358 "Акустика"
3 УТВЕРЖДЕН И ВВЕДЕН В ДЕЙСТВИЕ
Приказом Федерального агентства по техническому регулированию и метрологии от 14 июня 2018 г. N 340-ст
4 Настоящий стандарт идентичен международному стандарту МЭК 60704-3:2006 "Приборы электрические бытовые и аналогичного назначения. Испытательный код для определения воздушного акустического шума. Часть 3. Определение и подтверждение заявляемых шумовых характеристик" (IEC 60704-3:2006 "Household and similar electrical appliances - Test code for determination of airborne acoustical noise - Part 3: Procedure for determining and verifying declared noise emission values", IDT).
Наименование настоящего стандарта изменено для приведения в соответствие с ГОСТ Р 1.5-2012
(пункт 3.5).
При применении настоящего стандарта рекомендуется использовать вместо ссылочных международных стандартов соответствующие им национальные стандарты, сведения о которых приведены в дополнительном
приложении ДА
5 ВВЕДЕН ВПЕРВЫЕ
Правила применения настоящего стандарта установлены в
статье 26 Федерального закона от 29 июня 2015 г. N 162-ФЗ "О стандартизации в Российской Федерации". Информация об изменениях к настоящему стандарту публикуется в ежегодном (по состоянию на 1 января текущего года) информационном указателе "Национальные стандарты", а официальный текст изменений и поправок - в ежемесячном информационном указателе "Национальные стандарты". В случае пересмотра (замены) или отмены настоящего стандарта соответствующее уведомление будет опубликовано в ближайшем выпуске ежемесячного информационного указателя "Национальные стандарты". Соответствующая информация, уведомление и тексты размещаются также в информационной системе общего пользования - на официальном сайте Федерального агентства по техническому регулированию и метрологии в сети Интернет (www.gost.ru)
Даже несмотря на то, что излучаемый бытовыми приборами шум обычно не представляет собой опасности для органов слуха лиц, подвергающихся его воздействию, и по этой причине не подлежит нормированию, декларирование шумовых характеристик такого оборудования дает его потенциальному покупателю ценную информацию, облегчающую выбор прибора из многих однотипных моделей того же или иного изготовителя.
Для того чтобы иметь возможность убедиться в соответствии шумовой характеристики, заявленной изготовителем, ее действительному значению, настоящий стандарт устанавливает простой метод, который может быть использован как при определении, так и при подтверждении этой характеристики.
Измерения, необходимые для заявления и подтверждения шумовой характеристики, выполняют согласно соответствующему стандарту серии МЭК 60704.
Настоящий стандарт устанавливает методы определения и подтверждения шумовых характеристик, заявляемых изготовителями электрических бытовых приборов и устройств аналогичного назначения (далее - оборудования).
Настоящий стандарт распространяется на все оборудование, шумовые характеристики которого измеряют согласно МЭК 60704-1 и соответствующему испытательному коду по шуму (один из стандартов серии МЭК 60704-2).
Шумовую характеристику определяют для некоторой совокупности оборудования (серии, партии), изготовленного по единой технологии и описываемого одним заявленным значением уровня излучаемого шума.
В настоящем стандарте:
- термин "заявление" объединяет все способы представления информации потенциальному пользователю (покупателю) о шуме, излучаемом оборудованием (в рекламных материалах, технических и популярных статьях, на этикетках и т.п.);
- понятие "заявления" применено в отношении продукции массового производства, некоторый объем которой (партия) характеризуется одинаковым уровнем излучаемого шума;
- для целей заявления и подтверждения применены простые статистические методы обработки результатов измерений, выполненных для выборки из трех единиц оборудования.
В настоящем стандарте использованы нормативные ссылки на следующие стандарты. Для датированных ссылок применяют только указанное исполнение стандарта. Для недатированных - последнее издание (включая все изменения к нему):
IEC 60704-1, Household and similar electrical appliances - Test code for the determination of airborne acoustical noise - Part 1: General requirements (Приборы электрические бытовые и аналогичного назначения. Испытательный код по шуму. Часть 1. Общие требования)
IEC 60704-2 (все части), Household and similar electrical appliances - Test code for the determination of airborne acoustical noise - Part 2: Particular requirements (Приборы электрические бытовые и аналогичного назначения. Испытательный код по шуму. Часть 2. Частные требования)
ISO 3534-1:1993, Statistics - Vocabulary and symbols - Part 1: Probability and general statistical terms (Статистика. Словарь и условные обозначения. Часть 1. Вероятность и общие статистические термины)
В настоящем стандарте применены термины по МЭК 60704-1, а также следующие термины с соответствующими определениями.
3.1 уровень звуковой мощности LW (sound power level): Десятикратный десятичный логарифм отношения звуковой мощности W к опорной звуковой мощности W0 (W0 = 1 пВт), выраженный в децибелах

.
Примечание - При измерениях с применением коррекции по одной из частотных характеристик или в заданной полосе частот в обозначение уровня звуковой мощности добавляют соответствующий подстрочный индекс. Например, LWA обозначает корректированный по A уровень звуковой мощности.
3.2 корректированный по A уровень звуковой мощности LWA (A-weighted sound power level): Определенный согласно МЭК 60704-1, а также испытательному коду для данного вида оборудования (соответствующему стандарту серии МЭК 60704-2) уровень звуковой мощности с применением коррекции по частотной характеристике A.
Примечание - Здесь и далее в целях упрощения записи подстрочный индекс "WA" опущен.
3.3 значение шумовой характеристики (noise emission value): Одночисловое значение величины, характеризующей излучаемый оборудованием шум.
3.4 полученное значение (шумовой характеристики) Li (measured value): Значение шумовой характеристики i-й единицы оборудования, полученное в результате измерений согласно соответствующему испытательному коду по шуму (МЭК 60704-1 и соответствующий стандарт серии МЭК 60704-2).
3.5
вид оборудования (family of appliances; category of appliances): Оборудование схожей конструкции или типа или предназначенное для выполнения одних и тех же функций. [ИСО 7574-1, статья 3.5, измененная редакция] |
3.6
заявляемое значение (шумовой характеристики) Lc (declared value): Округленное до ближайшего целого значение шумовой характеристики (в децибелах), указываемое изготовителем для группы (производственной серии, поставляемой партии) нового оборудования. Примечание - Заявляемое значение представляет собой границу, ниже которой находится заданная доля значений шумовой характеристики для данной совокупности (партии) оборудования. Процедура определения Lc гарантирует 95%-ную вероятности приемки партии, у которой число единиц оборудования со значением шумовой характеристики более Lc не превышает 6,5%, при условии, что общее стандартное отклонение  равно справочному стандартному отклонению  . [ИСО 7574-1, статья 3.6, измененная редакция] |
3.7
заявление (шумовой характеристики) (declaration): Указание заявляемого значения Lc в технической документации, рекламных материалах, научных и популярных статьях либо каким-то иным способом для данного вида оборудования или группы оборудования с целью информирования потенциального потребителя (покупателя) об излучаемом оборудованием шуме. [ИСО 7574-1, статья 3.7, измененная редакция] |
3.8
партия (оборудования) (batch of appliances): Некоторое число единиц оборудования данного вида, изготовленного по одной и той же технической документации и характеризуемого одним заявляемым значением Lc. Примечание - Партия может представлять собой полную производственную серию или быть ее частью. [ИСО 7574-1, статья 3.8, измененная редакция] |
3.9
размер партии (или производственной серии) N [size of the batch (or of the population)]: Число единиц оборудования в партии (или значений шумовой характеристики в производственной серии). [ИСО 7574-1, статья 3.9, измененная редакция] |
3.10
выборка (sample): Одна или несколько единиц оборудования (полученных значений шумовой характеристики), случайным образом выбранная из партии (производственной серии). [ИСО 7574-1, статья 3.10, измененная редакция] |
размер выборки n (sample size): Число элементов в выборке. [ИСО 7574-1, статья 3.11, измененная редакция] |
3.12
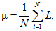
среднее арифметическое по партии (производственной серии)  [arithmetic mean of a batch (or of a population)]: Отношение суммы полученных значений шумовой характеристики в партии (производственной серии) к размеру партии (производственной серии), выражаемое формулой  . [ИСО 7574-1, статья 3.12] |
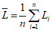
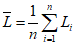
3.13
среднее арифметическое выборки  (arithmetic mean of a sample): Оценка среднего арифметического по партии  , определяемая как отношение суммы полученных значений шумовой характеристики Li в выборке к размеру выборки и выражаемая формулой  . [ИСО 7574-1, статья 3.13] |
3.14
стандартное отклонение по партии (производственной серии)  [standard deviation of a batch (or of a population)]: Стандартное отклонение полученных значений шумовой характеристики для партии (производственной серии) размером N, выражаемое формулой  . [ИСО 7574-1, статья 3.14] |
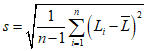
3.15
стандартное отклонение выборки s (standard deviation of a sample): Оценка стандартного отклонения по партии (производственной серии)  , выражаемая формулой  . [ИСО 7574-1, статья 3.15] |
стандартное отклонение повторяемости  (standard deviation of repeatability): Стандартное отклонение значений шумовой характеристики, полученных в одинаковых условиях, то есть при повторном применении одного и того же метода определения шумовой характеристики на одном и том же источнике шума в течение короткого промежутка времени между измерениями при одних и тех же условиях (одна лаборатория; одни и те же лица, проводящие измерения; одни и те же приборы). [ИСО 7574-1, статья 3.16, измененная редакция] |
Примечание - Полученные в ходе практических измерений оценки

приведены в
приложении A.
стандартное отклонение воспроизводимости  (standard deviation of reproducibility): Стандартное отклонение значений шумовой характеристики, полученных в одинаковых условиях, то есть при повторном применении одного и того же метода определения шумовой характеристики на одном и том же источнике шума в течение короткого промежутка времени между измерениями при одних и тех же условиях (одна лаборатория; одни и те же лица, проводящие измерения; одни и те же приборы) и включающее в себя, таким образом, стандартное отклонение повторяемости (см. 3.16). [ИСО 7574-1, статья 3.17, измененная редакция] |
Примечание - Полученные в ходе практических измерений оценки

приведены в
приложении A.
стандартное отклонение производства  (standard deviation of production): Стандартное отклонение значений шумовой характеристики, полученных для выборки из разных партий оборудования данного вида при использовании одного и того же метода определения шумовой характеристики в одних и тех же условиях (одна лаборатория; одни и те же лица, проводящие измерения; одни и те же приборы). [ИСО 7574-1, статья 3.18, измененная редакция] |
Примечание - Полученные в ходе практических измерений оценки

приведены в
приложении A.
3.19
общее стандартное отклонение  (total standard deviation): Величина, определяемая через стандартное отклонение воспроизводимости (3.17) и стандартное отклонение производства (3.18) по формуле  . [ИСО 7574-1, статья 3.19, измененная редакция] |
Примечание - Полученные в ходе практических измерений оценки

приведены в
приложении A.
3.20
справочное стандартное отклонение  (total standard deviation): Общее стандартное отклонение, определенное для некоторого вида оборудования, которое рассматривают как типичное для партий оборудования данного вида. Примечание 1 - Использование фиксированного значения  позволяет применять статистические методы для партий малого объема. [ИСО 7574-1, статья 3.20, измененная редакция] |
Примечание 2 - Полученные в результате практических измерений значения

для разных видов оборудования приведены в
приложении A.
3.21
однократная выборка (single sampling): Процедура выборки, при которой из партии берется только одна выборка оборудования (ИСО 3534-1:1993). [ИСО 7574-1, статья 3.21, измененная редакция] |
3.22
приемочный контроль по количественному признаку (inspection by variables): Метод контроля, основанный на измерении количественной характеристики (шума) для каждой единицы из производственной серии или партии оборудования (ИСО 3534-1:1993). [ИСО 7574-1, статья 3.24, измененная редакция] |
3.23
вероятность приемки Pa (probability of acceptance): Вероятность принятия партии с требуемым уровнем качества (заданной долей p единиц оборудования с шумовой характеристикой, превышающей заявленное значение) при выбранном плане контроля (ИСО 3534-1:1993). Примечание - Значение (1 - Pa) называют вероятностью браковки. Фиксированное значение  для (1 - Pa) (3.25) называют риском поставщика. Фиксированное значение  для Pa называют риском потребителя. [ИСО 7574-1, статья 3.25, измененная редакция] |
3.24
оперативная характеристика OC (operating characteristic curve): Кривая, показывающая вероятность приемки Pa партии оборудования в зависимости от доли p единиц оборудования с шумовой характеристикой, превышающей заявленное значение (ИСО 3534-1:1993). Примечание - Оперативная характеристика полностью определяется либо двумя заданными точками (например, точкой риска поставщика и точкой риска потребителя), либо одной точкой (например, точкой риска поставщика) и размером выборки n. [ИСО 7574-1, статья 3.26] |
точка риска поставщика (producer's risk point): Точка на оперативной характеристике, соответствующая заранее установленному (и обычно низкому) риску поставщика  (ИСО 3534-1:1993). Примечание - Соответствующий уровень качества представляет собой долю  единиц оборудования в партии, шумовая характеристика которого превышает заявленное значение. В случае непрерывного производства доля  приближенно будет равна значению приемлемого уровня качества (AQL). [ИСО 7574-1, статья 3.27, измененная редакция] |
3.26
точка риска потребителя (consumer's risk point): Точка на оперативной характеристике, соответствующая заранее установленному (и обычно низкому) риску потребителя  (ИСО 3534-1:1993). [ИСО 7574-1, статья 3.28, измененная редакция] |
4.1 Метод испытаний
Все измерения должны быть выполнены согласно соответствующим стандартам серии МЭК 60704 испытательной лабораторией, располагающей соответствующими средствами измерений, испытательным оборудованием и обученным персоналом.
4.2 Используемые значения и обозначения величин
В настоящем стандарте применяют следующие значения и обозначения величин:

,

;

;

,

,
uq - квантили стандартного нормального распределения, зависящие от
Pa,

или

(см.
рисунок 1);

- значение, задаваемое заявителем;

;
uq = 1,514.
Pa,  , q |  ,  , uq |
0,9999 | 3,091 |
0,9975 | 2,807 |
0,9950 | 2,576 |
0,9925 | 2,433 |
0,9900 | 2,327 |
0,9750 | 1,960 |
0,9500 | 1,645 |
0,9350 | 1,514 |
0,9250 | 1,440 |
0,9000 | 1,282 |
0,7500 | 0,674 |
0,5000 | 0,000 |
Рисунок 1 - Квантили стандартного нормального распределения
4.3 Справочное стандартное отклонение
Фиксированные значения справочного стандартного отклонения

приведены в
таблице A.1 приложения A.
5 Подтверждение заявленной шумовой характеристики
5.1 Общие положения
Упрощенный метод контроля заявленной шумовой характеристики для партии или серии оборудования основан на фиксированном значении справочного стандартного отклонения

, которое определено для каждого вида оборудования (см.
приложение A), использовании однократной выборки очень малого объема и допущении (обычно не вполне корректном), что распределение значений шумовой характеристики по партии (серии) удовлетворяет нормальному закону.
Подтверждение соответствия партии заявленной характеристике исходит из предположений, что:
- распределение шумовых характеристик по партии оборудования удовлетворяет нормальному закону с математическим ожиданием

и известным стандартным отклонением, равным справочному стандартному отклонению

;
- вероятность браковки партии равна заданному значению

при условии, что заявленное значение
Lc определено изготовителем таким образом, что доля оборудования в партии со значением шумовой характеристики, превышающим
Lc, равна заданному значению

.
Если заявленное значение
Lc для партии определено, исходя из

и

, то метод приемочного контроля даст вероятность приемки партии

, а среднее значение шумовой характеристики по партии будет примерно на

ниже заявленного.
Примечание - Заявленное значение подтверждают только в отношении данной партии или серии оборудования. В противном случае рассматриваемая процедура контроля не позволяет сделать каких-либо значимых выводов.
Из рассматриваемой серии или партии оборудования выбирают случайным образом n = 3 единиц продукции.
Для каждой единицы оборудования проводят измерение шумовой характеристики
Li, (
i = 1, 2, 3), после чего определяют среднее арифметическое полученных значений

по формуле

.
Вычисляют значение

,
где k определяют по формуле (ИСО 7574-4)

.
Здесь
uq и

- квантили стандартного нормального распределения для вероятностей

и

соответственно.
При выполнении условия

заявленную шумовую характеристику считают подтвержденной для данной партии оборудования (производственной серии).
При выполнении условия

заявленную шумовую характеристику считают неподтвержденной для данной партии оборудования (производственной серии).
6 Определение заявляемой шумовой характеристики
6.1 Общие положения
Для определения заявляемой шумовой характеристики заявителю нужно знать с высокой точностью значение общего стандартного отклонения

для оборудования данного вида. При этом заявитель может сам задать вероятность браковки (или, соответственно, вероятность приемки), например, ниже значения 0,05, использованного в
разделе 5 при подтверждении заявленной шумовой характеристики.
6.2 Метод определения заявляемой шумовой характеристики
Вначале заявитель задает желаемое значение

.
По результатам контроля продукции (производственного процесса) определяют:
- среднеарифметическое значение

;
- общее стандартное отклонение

.
Заявляемую шумовую характеристику рассчитывают по формуле

,
которую, зная значения величин, используемых в процедуре подтверждения
(раздел 5), можно преобразовать к виду

.
6.3 Представление заявляемой шумовой характеристики
Для правильного информирования потенциального пользователя оборудования (покупателя) следует ясно указывать, какая величина использована для заявления характеристики шума оборудования и значение этой величины. В частности, следует подчеркнуть, что в целях заявления использован уровень звуковой мощности оборудования, а не уровень звукового давления.
Если шумовую характеристику оборудования заявляют в соответствии с настоящим стандартом, то должно быть указано, что заявленное значение Lc получено для корректированного по A уровня звуковой мощности LWA в децибелах при опорном значении звуковой мощности 1 пВт, и приведена верхняя статистическая граница, ниже которой находится заданная доля значений шумовой характеристики единиц оборудования в данной партии (производственной серии).
Значение Lc, в дБ, должно быть округлено до ближайшего целого.
Примеры определения и представления заявляемой шумовой характеристики приведены в приложении C.
(обязательное)
ЗНАЧЕНИЯ СТАНДАРТНЫХ ОТКЛОНЕНИЙ, СВЯЗАННЫХ
С ШУМОВОЙ ХАРАКТЕРИСТИКОЙ ЭЛЕКТРИЧЕСКИХ БЫТОВЫХ ПРИБОРОВ
В
таблице A.1 приведены результаты оценивания и принятые значения для следующих величин, связанных с шумовой характеристикой оборудования:
- стандартного отклонения повторяемости

;
- стандартного отклонения воспроизводимости

;
- стандартного отклонения производства

;
- общего стандартного отклонения

;
- справочного стандартного отклонения

.
Таблица A.1
Вид оборудования | Стандартные отклонения, дБ |
| | | | |
Пылесосы | 0,3 | 0,8 | 0,5 - 1,0 | 0,9 - 1,3 | 1,5 |
Электробритвы | 0,4 | 0,8 | 0,7 - 1,3 | 1,1 - 1,5 | 1,5 |
Сушилки для волос | 0,4 | 0,8 | 0,5 - 1,3 | 0,9 - 1,5 | 1,5 |
Машинки для стрижки волос | 0,4 | 1,0 | 0,8 - 1,2 | 1,3 - 1,6 | 1,5 |
Тепловентиляторы | 0,4 | 1,0 | 0,3 - 1,1 | 1,0 - 1,6 | 1,5 |
Тепловые аккумуляторы | 0,4 | 1,0 | 0,7 - 1,1 | 1,2 - 1,5 | 2,0 |
Кухонные вытяжки | 0,4 | 1,0 | 1,5 - 1,7 | 1,8 - 2,0 | 2,0 |
Кухонные комбайны | 0,5 | 1,0 | 0,9 - 1,5 | 1,4 - 1,8 | 2,0 |
Посудомоечные машины | 0,5 | 0,8 | 1,0 - 1,5 | 1.3 - 1,7 | 2,0 |
Отжимные центрифуги | 0,5 | 1,0 | 1,0 - 1,2 | 1,4 - 1,6 | 2,0 |
Сушильные автоматы | 0,4 | 0,8 | 0,7 - 1,0 | 1,1 - 1,3 | 1,5 |
Стиральные машины | 0,6 | 1,0 | 1,0 - 2,2 | 1,4 - 2,4 | 2,5 |
Холодильники | 0,4 | 0,7 | 0,7 - 1,5 | 1,0 - 1,7 | 2,0 |
Морозильники | 0,4 | 0,7 | 1,0 - 2,0 | 1,2 - 2,1 | 2,5 |
Вентиляторы | 0,4 | 1,0 | 0,5 - 1,0 | 1,1 - 1,4 | 1,5 |
Электропечи | 0,4 | 1,0 | 1,0 - 1,7 | 1,4 - 2,0 | 2,0 |
Значения для часто используемых видов оборудования были получены в результате исследований, выполненных компетентными производственными лабораториями.
Если в соответствующем стандарте серии МЭК 60704-2 приведены другие значения стандартных отклонений, то следует использовать эти значения вместо приведенных в
таблице A.1.
Указанные в
таблице значения стандартного отклонения производства

являются справочными (не нормативными).
(справочное)
ПРИМЕРЫ ПОДТВЕРЖДЕНИЯ ЗАЯВЛЕННЫХ ШУМОВЫХ ХАРАКТЕРИСТИК
B.1 Пример 1
Для серии пылесосов модели X изготовителя A было заявлено следующее значение шумовой характеристики (корректированного по A уровня звуковой мощности относительно опорной звуковой мощности 1 пВт): Lc = 77 дБ.
Испытания на отобранных из серии n = 3 образцах дали следующие результаты:
L1 = 75,5 дБ;
L2 = 74,5 дБ;
L3 = 76,1 дБ и

.
При взятом из
таблицы A.1 для пылесосов значении

, заявленном значении
Lc = 77 дБ и
k = 0,564 расчет параметра
A (см. 5.2) дает:

.
Поскольку

, заявленное значение считают подтвержденным.
B.2 Пример 2
Для серии пылесосов модели Y изготовителя B было заявлено следующее значение шумовой характеристики (корректированного по A уровня звуковой мощности относительно опорной звуковой мощности 1 пВт): Lc = 79 дБ.
Испытания на отобранных из серии n = 3 образцах дали следующие результаты:
L1 = 78,7 дБ;
L2 = 79,0 дБ;
L3 = 78,5 дБ и

.
При взятом из
таблицы A.1 для пылесосов значении

, заявленном значении
Lc = 79 дБ и
k = 0,564 расчет параметра
A (см. 5.2) дает:

.
Поскольку

, заявленное значение считают неподтвержденным.
Примечание - При указанных результатах испытаний заявленное значение было бы подтверждено, если бы оно равнялось 80 дБ и более. <1>
--------------------------------
<1> Данное примечание не следует рассматривать как возможность принять серию на основе проведенных испытаний после изменения заявителем значения Lc с 79 дБ на 80 дБ. В случае изменения заявленного значения процедуру подтверждения проводят заново в полном объеме.
(справочное)
ПРИМЕРЫ ОПРЕДЕЛЕНИЯ ЗАЯВЛЯЕМОЙ ШУМОВОЙ ХАРАКТЕРИСТИКИ
C.1 Пример 1
В
таблице C.1 приведены результаты расчетов и округления заявляемой шумовой характеристики
Lc, выборочное среднее

и соответствующее значение

(ниже которого находятся 93,5% значений шумовых характеристик единиц оборудования для данного производства;
q = 0,935) для некоторых произвольно выбранных значений общего стандартного отклонения

и вероятности приемки
Pa. Значение справочного стандартного отклонения для данного вида оборудования

.
По результатам контроля продукции получено значение

.
Расчеты выполнены для трех значений

(1,0 дБ; 2,0 дБ и 3,0 дБ) и трех значений
Pa (0,999; 0,990 и 0,950).
Таблица C.1
Расчет заявляемой шумовой характеристики
для разных значений

и
Pa, определяемых заявителем
Характеристики | Принятые для расчетов данные и результаты расчетов |
Общее стандартное отклонение  , дБ | 1,0  | 2,0  | 3,0  |
Среднее  , дБ (относительно 1 пВт) | 70,0 | 70,0 | 70,0 |
 , дБ ( q = 0,935) | 71,5 | 73,0 | 74,5 |
Вероятность приемки Pa | 0,999 | 0,990 | 0,950 | 0,999 | 0,990 | 0,950 | 0,999 | 0,990 | 0,950 |
Рассчитанное значение Lc, дБ | 73,0 | 72,5 | 72,0 | 74,7 | 73,8 | 73,0 | 76,5 | 75,1 | 74,0 |
Округленное значение Lc, дБ | 73 | 73 | 72 | 75 | 74 | 72 | 77 | 75 | 74 |
C.2 Пример 2
При испытаниях на шум новой модели пылесосов из пилотной серии, включающей в себя девять единиц оборудования, были получены следующие результаты (Li, дБ): 75,2; 75,5; 75,9; 76,1; 76,2; 76,3; 76,3; 76,6; 76,8.
По этим данным рассчитывают выборочное среднее

и стандартное отклонение производства

.
Результаты испытаний с привлечением нескольких компетентных лабораторий позволили получить оценку стандартного отклонения воспроизводимости

.
Тогда общее стандартное отклонение будет

.
Значение заявляемой шумовой характеристики получают по формуле (см.
раздел 6)

,
где неизвестные величины
n,
k и

берут из процедуры подтверждения (см.
раздел 5):
n = 3,
k = 0,564 (для

и
q = 0,935),

.
Тогда для разных значений риска поставщика

будут получены следующие значения заявляемой шумовой характеристики:
-

:

;
-

:

;
-

:

.
C.3 Пример 3
Для производственной серии модели пылесоса были получены следующие значения выборочного среднего

и общего стандартного отклонения

.
Тогда при условии правильного использования процедуры определения заявляемой шумовой характеристики
(раздел 6) с учетом данных, используемых в процедуре подтверждения [
n = 3,
k = 0,564 (для

и
q = 0,935),

] будут получены следующие значения
Lc для разных значений риска поставщика:
-

:

;
-

:

;
-

:

.
(справочное)
СВЕДЕНИЯ О СООТВЕТСТВИИ ССЫЛОЧНЫХ МЕЖДУНАРОДНЫХ СТАНДАРТОВ
НАЦИОНАЛЬНЫМ И МЕЖГОСУДАРСТВЕННЫМ СТАНДАРТАМ
Таблица ДА.1
Обозначение ссылочного международного стандарта | Степень соответствия | Обозначение и наименование соответствующего национального, межгосударственного стандарта |
IEC 60704-1 | IDT | ГОСТ Р МЭК 60704-1-2018 "Приборы электрические бытовые и аналогичного назначения. Испытательный код по шуму. Часть 1. Общие требования" |
IEC 60704-2 (все части) | IDT | ГОСТ Р МЭК 60704-2-1-2018 "Приборы электрические бытовые и аналогичного назначения. Испытательный код по шуму. Часть 2-1. Частные требования к пылесосам" |
IDT | ГОСТ IEC 60704-2-2-2012 "Бытовые и аналогичные электрические приборы. Методы определения распространяющегося в воздухе шума. Часть 2-2. Дополнительные требования к тепловентиляторам" |
IDT | ГОСТ IEC 60704-2-3-2013 "Приборы электрические бытовые и аналогичного назначения. Свод правил по определению издаваемого и распространяющегося в воздухе шума. Часть 2-3. Частные требования к посудомоечным машинам" |
IDT | ГОСТ IEC 60704-2-4-2013 "Приборы электрические бытового и аналогичного назначения. Свод правил по определению издаваемого и распространяющегося в воздухе шума. Часть 2-4. Частные требования к стиральным машинам и отжимным центрифугам" |
IDT | ГОСТ Р МЭК 60704-2-6-2018 "Приборы электрические бытовые и аналогичного назначения. Испытательный код по шуму. Часть 2-6. Частные требования к сушилкам барабанным" |
IDT | ГОСТ IEC 60704-2-7-2016 "Приборы электрические бытовые и аналогичного назначения. Свод правил по определению издаваемого и распространяющегося в воздухе шума. Часть 2-7. Частные требования к вентиляторам" |
IDT | ГОСТ Р МЭК 60704-2-14-2018 "Приборы электрические бытовые и аналогичного назначения. Испытательный код по шуму. Часть 2-14. Частные требования к холодильникам, морозильным камерам для хранения пищевых продуктов и морозильникам" |
ISO 3534-1:1993 | MOD | ГОСТ Р 50779.10-2000 (ИСО 3534.1:93) "Статистические методы. Вероятность и основы статистики. Термины и определения" |
Примечание - В настоящей таблице использованы следующие условные обозначения степени соответствия стандартов: - IDT - идентичные стандарты; - MOD - модифицированные стандарты. |
ISO 3951-1:2005, Sampling procedures for inspection by variables - Part 1: Specification for single sampling plans indexed by acceptance quality limit (AQL) for lot-by-lot inspection for a single quality characteristic and a single AQL
ISO 4871:1996, Acoustics - Declaration and verification of noise emission values of machinery and equipment
ISO 5725 (all parts), Accuracy (trueness and precision) of measurement methods and results
ISO 7574-1:1985, Acoustics - Statistical methods for determining and verifying stated noise emission values of machinery and equipment - Part 1: General considerations and definitions
ISO 7574-4:1985, Acoustics - Statistical methods for determining and verifying stated noise emission values of machinery and equipment - Part 4: Methods for stated values for batches of machines