Главная // Актуальные документы // ГОСТ Р (Государственный стандарт)СПРАВКА
Источник публикации
М.: Стандартинформ, 2014
Примечание к документу
Документ
введен в действие с 1 июля 2014 года.
Название документа
"ГОСТ Р 55448-2013. Национальный стандарт Российской Федерации. Корма, комбикорма, комбикормовое сырье. Определение содержания охратоксина A методом высокоэффективной жидкостной хроматографии с флуориметрическим детектированием"
(утв. и введен в действие Приказом Росстандарта от 27.06.2013 N 198-ст)
"ГОСТ Р 55448-2013. Национальный стандарт Российской Федерации. Корма, комбикорма, комбикормовое сырье. Определение содержания охратоксина A методом высокоэффективной жидкостной хроматографии с флуориметрическим детектированием"
(утв. и введен в действие Приказом Росстандарта от 27.06.2013 N 198-ст)
Утвержден и введен в действие
агентства по техническому
регулированию и метрологии
от 27 июня 2013 г. N 198-ст
НАЦИОНАЛЬНЫЙ СТАНДАРТ РОССИЙСКОЙ ФЕДЕРАЦИИ
КОРМА, КОМБИКОРМА, КОМБИКОРМОВОЕ СЫРЬЕ
ОПРЕДЕЛЕНИЕ СОДЕРЖАНИЯ ОХРАТОКСИНА A МЕТОДОМ
ВЫСОКОЭФФЕКТИВНОЙ ЖИДКОСТНОЙ ХРОМАТОГРАФИИ
С ФЛУОРИМЕТРИЧЕСКИМ ДЕТЕКТИРОВАНИЕМ
Feedstuffs, compound feeds, feed raw materials.
Determination of ochratoxin A content using high-performance
liquid chromatography with fluorimetric detection
ГОСТ Р 55448-2013
Дата введения
1 июля 2014 года
1 РАЗРАБОТАН Открытым акционерным обществом "Всероссийский научно-исследовательский институт комбикормовой промышленности" (ОАО "ВНИИКП") и Обществом с ограниченной ответственностью "ЛЮМЭКС-МАРКЕТИНГ" (ООО "ЛЮМЭКС-МАРКЕТИНГ")
2 ВНЕСЕН Техническим комитетом по стандартизации ТК 004 "Комбикорма, белково-витаминно-минеральные концентраты, премиксы"
3 УТВЕРЖДЕН И ВВЕДЕН В ДЕЙСТВИЕ
Приказом Федерального агентства по техническому регулированию и метрологии от 27 июня 2013 г. N 198-ст
4 ВВЕДЕН ВПЕРВЫЕ
Правила применения настоящего стандарта установлены в ГОСТ Р 1.0-2012 (раздел 8). Информация об изменениях к настоящему стандарту публикуется в ежегодном (по состоянию на 1 января текущего года) информационном указателе "Национальные стандарты", а официальный текст изменений и поправок - в ежемесячном информационном указателе "Национальные стандарты". В случае пересмотра (замены) или отмены настоящего стандарта соответствующее уведомление будет опубликовано в ближайшем выпуске ежемесячного информационного указателя "Национальные стандарты". Соответствующая информация, уведомление и тексты размещаются также в информационной системе общего пользования - на официальном сайте Федерального агентства по техническому регулированию и метрологии в сети Интернет (gost.ru)
Настоящий стандарт распространяется на корма, комбикорма, комбикормовое сырье и устанавливает метод определения содержания охратоксина A с применением высокоэффективной жидкостной хроматографии (ВЭЖХ) с флуориметрическим детектированием в диапазоне измеряемых значений массовой доли от 0,0025 до 1,0 мг/кг.
В настоящем стандарте использованы нормативные ссылки на следующие стандарты:
ГОСТ 12.1.004-91 Система стандартов безопасности труда. Пожарная безопасность. Общие требования
ГОСТ 12.1.005-88 Система стандартов безопасности труда. Общие санитарно-гигиенические требования к воздуху рабочей зоны
ГОСТ 12.1.007-76 Система стандартов безопасности труда. Вредные вещества. Классификация и общие требования безопасности
ГОСТ 12.2.007.0-75 Система стандартов безопасности труда. Изделия электротехнические. Общие требования безопасности
ГОСТ 12.4.009-83 Система стандартов безопасности труда. Пожарная техника для защиты объектов. Основные виды. Размещение и обслуживание
ГОСТ 12.4.021-75 Система стандартов безопасности труда. Системы вентиляционные. Общие требования
ГОСТ 61-75 Реактивы. Кислота уксусная. Технические условия
ГОСТ 1770-74 (ИСО 1042-83, ИСО 4788-80) Посуда мерная лабораторная стеклянная. Цилиндры, мензурки, колбы, пробирки. Общие технические условия
ГОСТ 4166-76 Реактивы. Натрий сернокислый. Технические условия
ГОСТ 5556-81 Вата медицинская гигроскопическая. Технические условия
ГОСТ 5848-73 Реактивы. Кислота муравьиная. Технические условия
ГОСТ 13979.0-86 Жмыхи, шроты и горчичный порошок. Правила приемки и методы отбора проб
ГОСТ 16317-87 Приборы холодильные электрические бытовые. Общие технические условия
ГОСТ 25336-82 Посуда и оборудование лабораторные. Типы. Основные параметры и размеры
ГОСТ 28311-89 Дозаторы медицинские лабораторные. Общие технические требования и методы испытаний
ГОСТ 29227-91 (ИСО 835-1-81) Посуда лабораторная стеклянная. Пипетки градуированные. Часть 1. Общие требования
ГОСТ Р 12.1.019-2009 Система стандартизации безопасности труда. Электробезопасность. Общие требования и номенклатура видов защиты.
ГОСТ Р ИСО 5725-1-2002 Точность (правильность и прецизионность) методов и результатов измерений. Часть 1. Основные положения и определения
ГОСТ Р ИСО 5725-6-2002 Точность (правильность и прецизионность) методов и результатов измерений. Часть 6. Использование значений точности на практике
ГОСТ Р 51419-99 (ИСО 6498-98) Корма, комбикорма, комбикормовое сырье. Подготовка испытуемых проб
ГОСТ Р 51568-99 (ИСО 3310-1-90) Сита лабораторные из металлической проволочной сетки. Технические условия
ГОСТ Р 53228-2008 Весы неавтоматического действия. Часть 1. Метрологические и технические требования. Испытания
Примечание - При пользовании настоящим стандартом целесообразно проверить действие ссылочных стандартов в информационной системе общего пользования - на официальном сайте Федерального агентства по техническому регулированию и метрологии в сети Интернет или по ежегодно издаваемому информационному указателю "Национальные стандарты", который опубликован по состоянию на 1 января текущего года, и по выпускам ежемесячно издаваемого информационного указателя "Национальные стандарты" за текущий год. Если заменен ссылочный стандарт, на который дана недатированная ссылка, то рекомендуется использовать действующую версию этого стандарта с учетом всех внесенных в данную версию изменений. Если заменен ссылочный стандарт, на который дана датированная ссылка, то рекомендуется использовать версию этого стандарта с указанным выше годом утверждения (принятия). Если после утверждения настоящего стандарта в ссылочный стандарт, на который дана датированная ссылка, внесено изменение, затрагивающее положение, на которое дана ссылка, то это положение рекомендуется применять без учета данного изменения. Если ссылочный стандарт отменен без замены, то положение, в котором дана ссылка на него, рекомендуется применять в части, не затрагивающей эту ссылку.
Сущность метода заключается в экстракции охратоксина A из анализируемой пробы подкисленным хлороформом, очистке полученного экстракта на колонке с силикагелем и определении массовой доли охратоксина A с применением ВЭЖХ с флуориметрическим детектированием.
4 Требования безопасности
4.1 При выполнении испытаний соблюдают требования техники безопасности при работе с химическими реактивами по
ГОСТ 12.1.007, требования электробезопасности при работе с электроприборами по
ГОСТ 12.2.007.0,
ГОСТ Р 12.1.019, а также требования, изложенные в технической документации на используемые приборы.
4.2 Работу с химическими реактивами проводят в вытяжном шкафу.
4.4 Содержание вредных веществ в воздухе не должно превышать допустимых значений по
ГОСТ 12.1.005.
5 Средства измерений, стандартные образцы, вспомогательные устройства, материалы и реактивы
5.1 Средства измерений и стандартные образцы
Хроматограф жидкостный с программным обеспечением флуориметрическим или спектрофлуориметрическим детектором, обеспечивающим возбуждение флуоресценции в спектральной области (330 +/- 20) нм и регистрацию интенсивности флуоресценции при длине волны (465 +/- 20) нм. Применяемый детектор должен обеспечить предел обнаружения охратоксина A в подвижной фазе не более 5 нг/см3.
Весы неавтоматического действия с пределом допускаемой абсолютной погрешности не более +/- 0,01 г по
ГОСТ Р 53228.
Пипетки градуированные 1(2, 3, 5)-1(1а, 2, 2а)-2-2(5) по
ГОСТ 29227.
Дозаторы пипеточные одноканальные переменного объема от 100 до 1000 мм
3 с метрологическими характеристиками по
ГОСТ 28311.
Колбы мерные 2(2а)-25(50, 200)-2 по
ГОСТ 1770.
Колбы мерные вместимостью 200 см3.
Цилиндры мерные 1(2)-25(50, 250) по
ГОСТ 1770.
Стандартный образец состава раствора охратоксина A в ацетонитриле массовой концентрации 50 мкг/см3 и допускаемой погрешностью +/- 2,5 мкг/см3.
Примечания
1 Средства измерения должны быть поверены в установленные сроки.
2 Допускается использовать другие средства измерения и стандартные образцы с аналогичными или более высокими метрологическими характеристиками.
5.2 Вспомогательные устройства и материалы
Колонка хроматографическая, заполненная обращенно-фазовым сорбентом зернением 5 мкм, имеющая эффективность не менее 5000 теоретических тарелок на метр по пику охратоксина A.
Предколонка, заполненная тем же обращенно-фазовым сорбентом.
Колонка хроматографическая стеклянная с пришлифованной пробкой длиной 200 мм и внутренним диаметром 10 мм.
Устройство для удаления растворителя, например, роторный (ротационный) испаритель.
Насос лабораторный вакуумный, мембранный или водоструйный, обеспечивающий разрежение от 2,5 до 10 кПа по
ГОСТ 25336.
Баня водяная с регулятором нагрева.
Устройство для перемешивания проб, обеспечивающее частоту вращения до 120 мин-1.
Мельница лабораторная электрическая, обеспечивающая измельчение пробы до прохода через сито с отверстиями диаметром 1,0 мм.
Мясорубка или электромясорубка с диаметром отверстий в пластинке 4,0 мм по
ГОСТ 4025 или
ГОСТ 20469.
Шкаф сушильный, обеспечивающий нагревание до 200 °C.
Воронки лабораторные В-25(36, 75)-50(80, 110) по
ГОСТ 25336.
Колбы плоскодонные П-1-50(100, 250)-29/32 ТХС или П-2-50(100, 250)-22(34) ТХС по
ГОСТ 25336.
Колбы остродонные для упаривания О-50-14/23 ТХС по
ГОСТ 25336.
Пробирка для микропроб однократного применения (пробирка Эппендорфа) вместимостью 1,5 см3.
Емкости стеклянные вместимостью 50, 250, 1000 см3 с пришлифованными стеклянными или полиэтиленовыми пробками.
Фильтры бумажные "красная лента".
Часы песочные или таймер.
Примечание - Допускается использовать другие вспомогательные средства с более высокими техническими характеристиками
Ацетонитрил для жидкостной хроматографии, ос.ч.
Гексан для жидкостной хроматографии, ч.
Кислота уксусная по
ГОСТ 61, ледяная, х.ч.
Натрий сернокислый по
ГОСТ 4166, безводный, х.ч.
Силикагель для колоночной хроматографии с размером частиц 100 - 200 мкм.
Стандартный образец охратоксина A в ацетонитриле массовой концентрации 50 мкг/см3.
Примечание - Допускается использование реактивов аналогичной или более высокой квалификации, изготовленных по другой нормативной или технической документации, в том числе импортных.
7 Подготовка к проведению испытаний
7.1 Условия проведения испытаний
При подготовке и проведении испытаний должны быть соблюдены следующие условия:
- температура окружающей среды ................. от 10 °C до 30 °C;
- относительная влажность воздуха, не более .... 80%;
- атмосферное давление ......................... (97 +/- 10) кПа.
Подготовка проб - по
ГОСТ Р 51419 со следующим дополнением. Из подготовленной лабораторной пробы выделяют пробу массой не менее 100 г. Измельчают ее в лабораторной мельнице до прохода через сито с размером ячеек 1,0 мм и отбирают анализируемую пробу массой (5,00 +/- 0,01) г.
Консервированные и влажные корма гомогенизируют, для чего лабораторную пробу пропускают через мясорубку с размером ячеек в пластинке 4,0 мм, тщательно перемешивают, выделяют пробу массой не менее 100 г и отбирают анализируемую пробу массой (5,00 +/- 0,01) г.
7.3 Подготовка лабораторной посуды
Посуду для приготовления и хранения подвижной фазы моют только серной кислотой (без применения других моющих средств), тщательно промывают водопроводной водой и ополаскивают дистиллированной водой.
Остальную стеклянную посуду моют горячей водой с моющим средством, тщательно ополаскивают дистиллированной водой и сушат в сушильном шкафу при температуре 105 °C.
7.4 Приготовление растворов для испытаний
7.4.1 При приготовлении и хранении растворов не допускается использование резиновых и корковых пробок.
Приготовленные растворы хранят в условиях, исключающих испарение их компонентов.
7.4.2 Приготовление подвижной фазы (смесь ацетонитрила, воды и уксусной кислоты в объемном соотношении 43:56:1)
В стеклянную емкость вместимостью 1000 см3 с плотно закрывающейся пришлифованной или полиэтиленовой пробкой помещают 215 см3 ацетонитрила, 280 см3 дистиллированной воды и 5 см3 ледяной уксусной кислоты. Смесь тщательно перемешивают и хранят не более 1 мес при комнатной температуре.
7.4.3 Приготовление раствора уксусной кислоты объемной доли 1%
В мерную колбу вместимостью 200 см3 помещают 2 см3 ледяной уксусной кислоты и доводят объем в колбе до метки дистиллированной водой. Тщательно перемешивают и хранят в стеклянной емкости с плотно закрывающейся пришлифованной или полиэтиленовой пробкой не более 1 мес.
7.4.4 Приготовление смеси хлороформа и муравьиной кислоты в объемном соотношении 100:2
В плоскодонную колбу вместимостью 250 см3 помещают 200 см3 хлороформа и 4 см3 муравьиной кислоты. Добавляют 10 г безводного сернокислого натрия. Смесь тщательно перемешивают, фильтруют через фильтр "красная лента" и хранят в стеклянной емкости с пришлифованной или полиэтиленовой пробкой не более 1 мес.
7.4.5 Приготовление растворов охратоксина A
7.4.5.1 Все растворы охратоксина A хранят в холодильнике при температуре не выше 6 °C.
7.4.5.2 Приготовление исходного раствора охратоксина A номинального значения массовой концентрации 1 мкг/см
3
Пипеткой отбирают 1 см3 стандартного образца состава раствора охратоксина A в ацетонитриле массовой концентрации 50 мкг/см3, помещают в мерную колбу вместимостью 50 см3 и доводят объем до метки ацетонитрилом.
Срок хранения приготовленного раствора - не более 6 мес.
7.4.5.3 Приготовление раствора охратоксина A в ацетонитриле номинального значения массовой концентрации 100 нг/см
3
В мерную колбу вместимостью 50 см
3 помещают 5 см
3 раствора охратоксина A номинального значения массовой концентрации 1 мкг/см
3 по
7.4.5.2, что соответствует 1000 нг/см
3, и доводят объем до метки ацетонитрилом.
Срок хранения полученного раствора - не более 3 мес.
7.4.5.4 Приготовление градуировочных растворов охратоксина A в подвижной фазе
Для приготовления градуировочных растворов охратоксина A номинальных значений массовой концентрации 100, 40 и 10 нг/см
3 берут мерные колбы вместимостью 50, 25 и 50 см
3 соответственно и помещают в них по 5,0; 1,0 и 0,5 см
3 исходного раствора охратоксина A в ацетонитриле (см.
7.4.5.2). Объем в колбе доводят до метки подвижной фазой (см.
7.4.2).
Срок хранения градуировочных растворов - не более одной недели.
7.4.5.5 Приготовление проверочного раствора охратоксина A в подвижной фазе номинального значения массовой концентрации 20 нг/см
3
В мерную колбу вместимостью 25 см
3 помещают 0,5 см
3 исходного раствора охратоксина A (см.
7.4.5.2) и доводят объем до метки подвижной фазой (см.
7.4.2).
Примечание - При необходимости допускается приготовление аналогичным способом растворов охратоксина A другой массовой концентрации в диапазоне линейности градуировочной зависимости (см. 7.6).
7.5 Подготовка хроматографа к работе
Подготовку хроматографа к работе проводят в соответствии с руководством по эксплуатации жидкостного хроматографа и/или флуориметрического (спектрофлуориметрического) детектора.
Устанавливают рабочие длины волн возбуждения и регистрации (см.
5.2) и скорость подачи подвижной фазы в зависимости от типоразмеров колонки, руководствуясь указаниями ее изготовителя, например для колонки указанной в
5.2 рекомендуемая объемная скорость подвижной фазы составляет 200 мм
3/мин. Рекомендуемый объем петли крана-дозатора 10 или 20 мм
3. При наличии термостата колонок устанавливают температуру 25 °C.
7.6 Градуировка хроматографа
В качестве образцов для градуировки хроматографа используют растворы охратоксина A в подвижной фазе (см.
7.4.5.4).
Диапазон линейности градуировочной характеристики составляет от 10 до 100 нг/см3.
При соблюдении условий по
7.5 регистрируют не менее двух хроматограмм каждого раствора, проверяют правильность автоматической разметки и, если необходимо, корректируют ее, удаляют лишние пики.
Далее проводят процедуру градуировки согласно руководству пользователя программным обеспечением и определяют время удерживания и параметры градуировочной характеристики для охратоксина A.
Градуировку считают приемлемой, если вычисляемый программой коэффициент корреляции не ниже 0,99, а относительное среднеквадратическое отклонение не превышает 5%. Если хотя бы одно из указанных условий не выполняется, регистрацию хроматограмм повторяют.
Внеочередную градуировку системы проводят при неудовлетворительных результатах контроля ее стабильности (см. 7.7), а также при замене стандартного образца состава раствора охратоксина A или изменении эффективности хроматографической системы, или чувствительности детектора (например, после проведения ремонта или длительного простоя хроматографической системы).
7.7 Контроль стабильности градуировочной характеристики
Контроль стабильности градуировочной характеристики проводят ежедневно перед началом работы.
Массовую концентрацию охратоксина A для проведения контроля выбирают, исходя из предполагаемого его содержания в анализируемых пробах (рекомендуется проверочный раствор охратоксина A массовой концентрации 20 нг/см3).
Регистрируют не менее двух хроматограмм проверочного раствора (см.
7.4.5.5) и идентифицируют пик охратоксина A, внося при необходимости программную коррекцию времени удерживания.
Проверяют сходимость времен удерживания и значений массовой концентрации охратоксина A по формулам (1) и
(2) соответственно

, (1)
где t1 и t2 - время удерживания пика охратоксина A на первой и второй хроматограммах соответственно, мин;

- среднеарифметическое значение
t1 и t2, мин.,

, (2)
где CК1 и CК2 - массовые концентрации охратоксина A в проверочном растворе охратоксина A по первой и второй хроматограммам соответственно, нг/см3;

- среднее арифметическое значение
CК1 и
CК2, нг/см
3.
Градуировочная зависимость признается стабильной, если выполняется условие

, (3)
где

- среднеарифметическое значений
CК1 и
CК2, нг/см
3;
C - массовая концентрация охратоксина A в проверочном растворе, используемом для контроля стабильности градуировочной характеристики, нг/см3.
Если данное условие не выполняется, то процедуру контроля повторяют и при получении неудовлетворительного результата градуировку системы проводят заново.
7.8 Подготовка стеклянной хроматографической колонки
Стеклянную хроматографическую колонку готовят непосредственно перед проведением испытания.
В стакан вместимостью 50 см3 помещают (1,0 +/- 0,1) г силикагеля, добавляют 10 - 15 см3 хлороформа и тщательно перемешивают. Полученную суспензию выдерживают в стакане в течение 4 - 5 мин. На дно колонки помещают кусочек ваты и затем в несколько приемов через воронку диаметром 25 или 36 мм наливают суспензию силикагеля.
После оседания силикагеля в колонке на него сверху насыпают слоем около 2 г безводного сульфата натрия.
В процессе работы с колонкой нельзя допускать высыхания сорбента, для чего необходимо поддерживать над осушителем слой растворителя. В состоянии ожидания колонка должна быть заполнена хлороформом до пробки, закрыта стеклянной пришлифованной пробкой, а конец колонки должен быть погружен в стакан с хлороформом.
Подготовленную колонку используют один раз.
7.9 Проведение испытания холостой пробы
Испытание холостой пробы проводят перед испытанием анализируемых проб.
В плоскодонную колбу вместимостью 50 см
3 помещают 30 см
3 хлороформа и 2,5 см
3 раствора уксусной кислоты (см.
7.4.3), тщательно перемешивают и осторожно из нижнего слоя отбирают 20 см
3 хлороформа в остродонную колбу для упаривания вместимостью 50 см
3, не допуская попадания в нее воды.
Упаривают досуха в вакууме при температуре водяной бани 40 °C - 45 °C. Продолжают выполнять все операции по
8.2, получая таким образом концентрат холостой пробы. Проводят хроматографическое исследование полученного концентрата по
8.3. Если на хроматограмме присутствуют пики, по параметрам удерживания близкие к пику охратоксина A, то находят и устраняют причины загрязнения холостой пробы (реактивы или посуда).
Примечание - Наиболее распространенной причиной неудовлетворительного результата контроля холостой пробы является недостаточная чистота хлороформа, который может быть загрязнен примесями, имеющими близкие к охратоксину A параметры удерживания. Такой хлороформ необходимо заменить или подвергнуть тщательной перегонке, собирая среднюю фракцию с температурой кипения 60 °C - 62 °C.
7.10 Учет потерь охратоксина A в процессе подготовки пробы к испытанию
В плоскодонную колбу вместимостью 50 см
3 помещают 30 см
3 хлороформа и 2,5 см
3 уксусной кислоты (см.
7.4.3), вносят 0,25 см
3 раствора охратоксина A в ацетонитриле массовой концентрации 100 нг/см
3 (см.
7.4.5.3). Тщательно перемешивают и осторожно отбирают 20 см
3 хлороформа в остродонную колбу для упаривания вместимостью 50 см
3, не допуская попадания в нее воды. Упаривают досуха в вакууме при температуре водяной бани 40 °C - 45 °C.
Далее продолжают выполнять все операции по
8.2.
По полученной хроматограмме определяют массовую концентрацию охратоксина A в конечном концентрате, пользуясь программным обеспечением по заложенной в метод градуировочной зависимости.
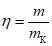
Затем вычисляют коэффициент прохождения охратоксина A,

, по формуле

, (4)
где
m - масса охратоксина A в анализируемой пробе по
формуле (5), нг;
mК - масса охратоксина A, нг, в 0,25 см3 раствора охратоксина A в ацетонитриле массовой концентрации 100 нг/см3, 25 нг.
масса охратоксина A, введенного в качестве добавки, нг (рекомендуется 25 нг).
Массу охратоксина A в анализируемой пробе, m, нг, вычисляют по формуле
где 0,75 - коэффициент пересчета;
CX - измеренное значение массовой концентрации охратоксина A в конечном концентрате анализируемой пробы, нг/см3.
Определение коэффициента прохождения производится на этапе освоения методики и должно быть проведено не менее двух раз. При удовлетворительном проведении подготовки пробы каждое из полученных значений должно быть в интервале 0,7 - 1,0, причем расхождение между двумя последовательными значениями, полученными оператором, не должно превышать 0,1. В противном случае необходимо найти причины неудовлетворительного проведения подготовки исследуемой пробы и повторить процедуру до получения результатов, удовлетворяющих указанному условию.
При удовлетворительных результатах определяют среднее арифметическое значение полученных коэффициентов прохождения и используют его при вычислении результатов испытания по
формуле (7).
В дальнейшем проводят периодическую проверку коэффициента прохождения охратоксина A. Если расхождение между найденным и ранее установленным значениями превышает 0,15, то выясняют причины, устраняют их и заново определяют коэффициент.
Примечания
1 Контроль прохождения охратоксина A выполняет каждый из операторов, работающих с данной методикой.
2 Причиной неудовлетворительного результата может быть повышенная скорость прохождения элюента через колонку.
3 Рекомендуется уточнить коэффициент прохождения охратоксина A либо путем анализа "чистой" пробы (охратоксин A в пробе не обнаруживается), в которую внесена добавка охратоксина A, либо с использованием стандартных образцов состава продукции.
8.1 Экстракция охратоксина A из пробы
(5,00 +/- 0,01) г измельченной анализируемой пробы помещают в плоскодонную колбу вместимостью 100 см
3. Добавляют 30 см
3 хлороформа и 2,5 см
3 раствора уксусной кислоты (см.
7.4.3), интенсивно перемешивают 30 мин. Пропускают полученный экстракт через бумажный складчатый фильтр "красная лента", отбирая 20 см
3 фильтрата для упаривания.
Если не удается отобрать 20 см
3 фильтрата, то отбирают максимально возможный объем, измеряют его и используют полученное значение в
формуле (6).
Переносят полученный фильтрат в остродонную колбу вместимостью 50 см3 и упаривают досуха в вакууме при температуре водяной бани 40 °C - 45 °C.
Сухой остаток, полученный по
8.1, растворяют в 1 см
3 хлороформа, получая таким образом концентрат анализируемой пробы.
Подготавливают стеклянную колонку по
7.8. Дают хлороформу стечь до уровня сульфата натрия и наносят на колонку концентрат анализируемой пробы. Остродонную колбу из-под фильтрата ополаскивают 2 раза по 1 см
3 хлороформа, который также наносят на колонку. После этого промывают колонку 10 см
3 гексана, элюат отбрасывают.
Далее через колонку пропускают 30 см
3 смеси хлороформа с муравьиной кислотой (см.
7.4.4), элюируя охратоксин A со скоростью прокапывания не более чем одна капля в секунду. Весь элюат собирают в остродонную колбу и упаривают досуха в вакууме при температуре водяной бани 40 °C - 45 °C.
Сухой остаток растворяют в 0,5 см
3 подвижной фазы (см.
7.4.2) и перемешивают 1 мин. Затем добавляют 3 см
3 гексана и снова интенсивно перемешивают. После расслоения двух несмешивающихся между собой фаз аккуратно, при помощи градуированной пипетки вместимостью 1 см
3 или одноканального пипеточного дозатора, переносят приблизительно 0,3 см
3 нижнего слоя в пробирку для микропроб однократного применения вместимостью 1,5 см
3 (пробирка Эппендорфа). Полученный концентрат используют для хроматографических измерений по 8.3 в день проведения испытаний.
8.3 Проведение хроматографических измерений
Регистрируют не менее двух хроматограмм концентрата анализируемой пробы, полученного по
8.2, в тех же условиях, при которых была проведена градуировка системы. Идентификацию охратоксина A проводят по совпадению времени удерживания охратоксина A в экстракте пробы с его временем удерживания, полученном при контроле стабильности градуировочной характеристики, установив ширину окна идентификации 5%.
Пример хроматограммы приведен на
рисунке А.1 (приложение А).
При наличии на хроматограмме концентрата пробы пика, идентифицированного как пик охратоксина A, делают вывод о присутствии охратоксина A в анализируемой пробе, определяют его содержание по каждой зарегистрированной хроматограмме и проверяют расхождение полученных значений между собой, используя
формулу (2).
Если условие
формулы (2) выполняется, то в качестве результата измерений массовой концентрации охратоксина A в концентрате анализируемой пробы принимают среднеарифметическое значение полученных массовых концентраций. Если условие
формулы (2) не выполняется, то находят и устраняют причины нестабильности, после чего ввод концентрата анализируемой пробы повторяют.
При необходимости подтверждения правильности идентификации пика охратоксина A рекомендуется добавить стандартный градуировочный раствор охратоксина A к концентрату анализируемой пробы. О достоверности идентификации можно судить по увеличению высоты предполагаемого пика охратоксина A. Количество добавляемого раствора охратоксина A определяют, исходя из того, что массовая доля охратоксина A в пробе должна увеличиться на 50% - 150% по сравнению с исходным значением.
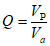
Если массовая концентрация охратоксина A в конечном концентрате,
CX, превышает 100 нг/см
3, то его необходимо разбавить подвижной фазой (см.
7.4.2). Коэффициент разбавления,
Q, вычисляют по формуле

, (6)
где VР - объем разбавленного концентрата анализируемой пробы, см3;
Va - объем аликвотной порции концентрата анализируемой пробы, взятый для разбавления, см3.
9 Обработка результатов измерений
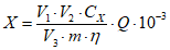
Массовую долю охратоксина A в анализируемой пробе, X, мг/кг, вычисляют по формуле

, (7)
где V1 - объем хлороформа, взятого для экстракции, см3 (30 см3);
V2 - объем конечного концентрата анализируемой пробы, см3 (0,5 см3);
CX - массовая концентрация охратоксина A в конечном концентрате пробы (см.
8.3), нг/см
3;
V3 - объем экстракта, взятого для испытания (см.
8.1), см
3 (20 см
3);
m - масса анализируемой пробы, г;

- коэффициент прохождения охратоксина A по
формуле (4);
Q - коэффициент разбавления концентрата пробы по
формуле (6);
10-3 - коэффициент согласования размерности единиц массы.
Результат измерения представляют в виде

, мг/кг, где

- абсолютная погрешность измерений при доверительной вероятности
P = 0,95, которую вычисляют по формуле

, (8)
где 0,01 - коэффициент пересчета;
X - массовая доля охратоксина A в анализируемой пробе, мг/кг;

- относительная погрешность измерения при доверительной вероятности
P = 0,95, % (см.
таблицу 1).
Наименьшие разряды числовых значений результатов измерений принимают такими же, как и наименьшие разряды числовых значений границ, в которых находится абсолютная погрешность измерений, выраженная числом, содержащим не более двух значащих цифр.
В некоторых случаях (выборочно в каждой серии испытаний или при эпизодическом определении охратоксина A) за результат измерения принимают среднеарифметическое значение результатов двух параллельных определений, полученных в условиях повторяемости в соответствии с разделом 10.
10 Контроль точности результатов испытаний
Контроль точности результатов испытаний предусматривает проведение выборочного контроля стабильности результатов испытаний с учетом условий повторяемости (сходимости) и воспроизводимости по
ГОСТ Р ИСО 5725-1.
Расхождение между результатами двух параллельных определений, X1 и X2, мг/кг, полученными в одной лаборатории в условиях повторяемости (сходимости) должно соответствовать условию

, (9)
где X1 и X2 - результаты параллельных определений, мг/кг;
0,01 - коэффициент пересчета;

- среднее арифметическое значение результатов двух параллельных определений, мг/кг;
r - значение предела повторяемости (см
таблицу 1), %.
Если это условие не соблюдается, испытание повторяют на удвоенном количестве проб. При повторном неудовлетворительном испытании находят и устраняют причины, приводящие к неудовлетворительным результатам.
Расхождение между результатами испытаний, полученными в двух лабораториях, X1лаб и X2лаб, мг/кг, на идентичных образцах разными операторами с использованием различного оборудования должно соответствовать условию

, (10)
где 0,01 - коэффициент пересчета;

- среднеарифметическое значение результатов испытаний в двух лабораториях, мг/кг;
R - предел воспроизводимости (см.
таблицу 1), %.
При выполнении этого условия приемлемы оба результата измерений и в качестве окончательного может быть использовано их среднее арифметическое значение. Если это условие не соблюдается, могут быть использованы методы оценки приемлемости результатов измерений согласно ГОСТ Р ИСО 5725-6
(раздел 5).
Таблица 1
Метрологические характеристики метода
Диапазон измерений, мг/кг | Границы относительной погрешности измерений  , % | Предел повторяемости (относительное значение допускаемого расхождения между результатами двух параллельных определений) r, % | Предел воспроизводимости (относительное значение допускаемого расхождения между двумя результатами, полученными в разных лабораториях) R, % |
От 0,0025 до 0,05 включ. | 30 | 31 | 48 |
Свыше 0,05 " 1,0 " | 24 | 22 | 36 |
(справочное)
ПРИМЕР ХРОМАТОГРАММЫ ОПРЕДЕЛЕНИЯ ОХРАТОКСИНА A В ПРЕМИКСЕ
А.1 Пример хроматограммы определения охратоксина A в премиксе приведен на рисунке А.1
Рисунок А.1 - Пример хроматограммы определения содержания
охратоксина A в премиксе с использованием флуориметрического
детектора "Флюорат-02-2М" (пик 1 соответствует массовой доле
охратоксина A, равной 0,004 мг/кг)