Главная // Актуальные документы // ГОСТ Р (Государственный стандарт)СПРАВКА
Источник публикации
М.: Стандартинформ, 2015
Примечание к документу
Документ
введен в действие с 1 июля 2016 года.
Название документа
"ГОСТ Р 56373-2015. Национальный стандарт Российской Федерации. Корма и кормовые добавки. Определение массовой доли органических кислот методом капиллярного электрофореза"
(утв. и введен в действие Приказом Росстандарта от 27.03.2015 N 189-ст)
"ГОСТ Р 56373-2015. Национальный стандарт Российской Федерации. Корма и кормовые добавки. Определение массовой доли органических кислот методом капиллярного электрофореза"
(утв. и введен в действие Приказом Росстандарта от 27.03.2015 N 189-ст)
Утвержден и введен в действие
агентства по техническому
регулированию и метрологии
от 27 марта 2015 г. N 189-ст
НАЦИОНАЛЬНЫЙ СТАНДАРТ РОССИЙСКОЙ ФЕДЕРАЦИИ
КОРМА И КОРМОВЫЕ ДОБАВКИ
ОПРЕДЕЛЕНИЕ МАССОВОЙ ДОЛИ ОРГАНИЧЕСКИХ КИСЛОТ
МЕТОДОМ КАПИЛЛЯРНОГО ЭЛЕКТРОФОРЕЗА
Feedstuffs and fodder additives. Determination of mass
fraction of organic acids using capillary electrophoresis
ГОСТ Р 56373-2015
Дата введения
1 июля 2016 года
1 РАЗРАБОТАН Открытым акционерным обществом "Всероссийский научно-исследовательский институт комбикормовой промышленности" (ОАО "ВНИИКП"), Обществом с ограниченной ответственностью "ЛЮМЭКС-МАРКЕТИНГ" (ООО "ЛЮМЭКС-МАРКЕТИНГ")
2 ВНЕСЕН Техническим комитетом по стандартизации ТК 004 "Комбикорма, белково-витаминно-минеральные концентраты, премиксы"
3 УТВЕРЖДЕН И ВВЕДЕН В ДЕЙСТВИЕ
Приказом Федерального агентства по техническому регулированию и метрологии от 27 марта 2015 г. N 189-ст
4 ВВЕДЕН ВПЕРВЫЕ
Правила применения настоящего стандарта установлены в ГОСТ Р 1.0-2012 (раздел 8). Информация об изменениях к настоящему стандарту публикуется в ежегодном (по состоянию на 1 января текущего года) информационном указателе "Национальные стандарты", а официальный текст изменений и поправок в ежемесячном информационном указателе "Национальные стандарты". В случае пересмотра (замены) или отмены настоящего стандарта соответствующее уведомление будет опубликовано в ближайшем выпуске ежемесячного информационного указателя "Национальные стандарты". Соответствующая информация, уведомление и тексты размещаются также в информационной системе общего пользования - на официальном сайте Федерального агентства по техническому регулированию и метрологии в сети Интернет (www.gost.ru)
Настоящий стандарт устанавливает метод определения массовой доли органических кислот: щавелевой, муравьиной, фумаровой, янтарной, яблочной, лимонной, уксусной, пропионовой, молочной, бензойной, сорбиновой, масляной в кормовых добавках, а также масляной кислоты в силосе и сенаже с использованием капиллярного электрофореза в следующих диапазонах измерений:
- щавелевая кислота от 0,03% до 10,00% включ.;
- муравьиная кислота от 0,15% до 80,00% включ.;
- фумаровая кислота от 0,005% до 80,00% включ.;
- янтарная кислота от 0,05% до 80,00% включ.;
- яблочная кислота от 0,05% до 80,00% включ.;
- лимонная кислота от 0,05% до 80,00% включ.;
- уксусная кислота от 0,10% до 80,00% включ.;
- пропионовая кислота от 0,10% до 80,00% включ.;
- молочная кислота от 0,12% до 80,00% включ.;
- бензойная кислота от 0,005% до 50,00% включ.;
- сорбиновая кислота от 0,025% до 50,00% включ.;
- масляная кислота от 0,05% до 50,00% включ.
В условиях проведения анализа невозможно раздельное определение индивидуальных форм кислот и их солей. Результат анализа предоставляют в суммарном виде в пересчете на органическую кислоту, либо на ее соль.
В настоящем стандарте использованы нормативные ссылки на следующие стандарты:
ГОСТ 12.1.004-91 Система стандартов безопасности труда. Пожарная безопасность. Общие требования
ГОСТ 12.1.005-88 Система стандартов безопасности труда. Общие санитарно-гигиенические требования к воздуху рабочей зоны
ГОСТ 12.1.007-76 Система стандартов безопасности труда. Вредные вещества. Классификация и общие требования безопасности
ГОСТ 12.2.007.0-75 Система стандартов безопасности труда. Изделия электротехнические. Общие требования безопасности
ГОСТ 12.4.009-83 Система стандартов безопасности труда. Пожарная техника для защиты объектов. Основные виды. Размещение и обслуживание
ГОСТ 12.4.021-75 Система стандартов безопасности труда. Системы вентиляционные. Общие требования
ГОСТ OIML R 76-1-2011 Государственная система обеспечения единства измерений. Весы неавтоматического действия. Часть 1. Метрологические и технические требования. Испытания
ГОСТ 245-76 Реактивы. Натрий фосфорнокислый однозамещенный 2-водный. Технические условия
ГОСТ 1770-74 (ИСО 1042-83, ИСО 4788-80) Посуда мерная лабораторная стеклянная. Цилиндры, мензурки, колбы, пробирки. Общие технические условия
ГОСТ 4172-76 Реактивы. Натрий фосфорнокислый двузамещенный 12-водный. Технические условия
ГОСТ 4328-77 Реактивы. Натрия гидроокись. Технические условия
ГОСТ 5839-77 Реактивы. Натрий щавелевокислый. Технические условия
ГОСТ ISO 7886-1-2011 Шприцы инъекционные однократного применения стерильные. Часть 1. Шприцы для ручного использования
ГОСТ 16317-87 Приборы холодильные электрические бытовые. Общие технические условия
ГОСТ 25336-82 Посуда и оборудование лабораторные стеклянные. Типы, основные параметры и размеры
ГОСТ 28311-89 Дозаторы медицинские лабораторные. Общие технические требования и методы испытаний
ГОСТ 29227-91 (ИСО 835-1-81) Посуда лабораторная стеклянная. Пипетки градуированные. Часть 1. Общие требования
ГОСТ Р 12.1.019-2009 Система стандартов безопасности труда. Электробезопасность. Общие требования и номенклатура видов защиты
ГОСТ Р ИСО 5725-1-2002 Точность (правильность и прецизионность) методов и результатов измерений. Часть 1. Основные положения и определения
ГОСТ Р ИСО 5725-6-2002 Точность (правильность и прецизионность) методов и результатов измерений. Часть 6. Использование значений точности на практике
ГОСТ Р 51419-99 (ИСО 6498-98) Корма, комбикорма, комбикормовое сырье. Подготовка испытуемых проб
ГОСТ Р 53228-2008 Весы неавтоматического действия. Часть 1. Метрологические и технические требования. Испытания
ГОСТ Р 55878-2013 Спирт этиловый технический гидролизный ректификованный. Технические условия
Примечание - При пользовании настоящим стандартом целесообразно проверить действие ссылочных стандартов в информационной системе общего пользования - на официальном сайте Федерального агентства по техническому регулированию и метрологии в сети Интернет или по ежегодному информационному указателю "Национальные стандарты", который опубликован по состоянию на 1 января текущего года, и по выпускам ежемесячного информационного указателя "Национальные стандарты" за текущий год. Если заменен ссылочный стандарт, на который дана недатированная ссылка, то рекомендуется использовать действующую версию этого стандарта с учетом всех внесенных в данную версию изменений. Если заменен ссылочный стандарт, на который дана датированная ссылка, то рекомендуется использовать версию этого стандарта с указанным выше годом утверждения (принятия). Если после утверждения настоящего стандарта в ссылочный стандарт, на который дана датированная ссылка, внесено изменение, затрагивающее положение, на которое дана ссылка, то это положение рекомендуется применять без учета данного изменения. Если ссылочный стандарт отменен без замены, то положение, в котором дана ссылка на него, рекомендуется применять в части, не затрагивающей эту ссылку.
Сущность метода заключается в извлечении из проб органических кислот дистиллированной водой, дальнейшем разделении анионных форм органических кислот, вследствие различий их электрофоретической подвижности в процессе миграции по кварцевому капилляру в электролите под действием электрического поля, с последующей регистрацией разницы оптического поглощения электролитом и анионных форм определяемых компонентов в ультрафиолетовой области спектра.
Для определения органических кислот используют одну из двух схем испытаний:
- схема испытаний N 1 предназначена для определения щавелевой, муравьиной, фумаровой, янтарной, яблочной, лимонной, уксусной, молочной, пропионовой, бензойной и сорбиновой кислот в подготовленных пробах кормовых добавок с использованием фонового электролита N 1;
- схема испытаний N 2 предназначена для определения масляной кислоты в подготовленных пробах кормовых добавок, силосе и сенаже с использованием фонового электролита N 2.
4 Требования безопасности
4.1 При выполнении испытаний необходимо соблюдать требования техники безопасности при работе с химическими реактивами по
ГОСТ 12.1.007, требования электробезопасности при работе с электроприборами по
ГОСТ 12.2.007.0 и
ГОСТ Р 12.1.019, а также требования, изложенные в технической документации на используемые приборы.
4.2 Работа с химическими реактивами должна проводиться в вытяжном шкафу.
4.4 Содержание вредных веществ в воздухе не должно превышать допустимых значений по
ГОСТ 12.1.005.
5 Требования к проведению испытаний
5.1 Условия проведения испытаний
При подготовке и проведении испытаний должны быть соблюдены следующие условия:
- температура окружающей среды ..................... от 15 °C до 25 °C;
- относительная влажность воздуха ....................... не более 80%;
- атмосферное давление .......................... от 84,0 до 106,7 кПа;
- напряжение в сети .................................. от 198 до 242 В.
5.2 Требования к квалификации оператора
К выполнению испытаний и обработке их результатов допускают специалиста, имеющего высшее или среднее специальное образование и опыт работы в химической лаборатории, прошедшего соответствующий инструктаж, освоившего метод в процессе обучения и уложившегося в нормативы оперативного контроля при выполнении процедур контроля точности испытаний.
6 Средства измерений, вспомогательные устройства, материалы и реактивы
6.1 Средства измерений
6.1.1 Система капиллярного электрофореза (далее - прибор) с источником высокого напряжения отрицательной полярности, оснащенная кварцевым капилляром с общей длиной не менее 50 см и внутренним диаметром от 50 до 75 мкм, спектрофотометрическим детектором, позволяющим проводить измерения при длине волны от 190 до 200 нм, и компьютером с программным обеспечением для регистрации и обработки электрофореграмм.
| | ИС МЕГАНОРМ: примечание. В официальном тексте документа, видимо, допущена опечатка: имеется в виду ГОСТ OIML R 76-1-2011, а не ГОСТ R OIML 76-1-2011. | |
6.1.2 Весы неавтоматического действия с пределами допускаемой абсолютной погрешности +/- 0,001 г по
ГОСТ Р 53228 и весы неавтоматического действия специального класса точности с пределами допускаемой погрешности не более +/- 0,0005 г (100,0 +/- 0,5) мг по
ГОСТ R OIML 76-1.
6.1.3 Колбы мерные 2(2а)-25(50, 100)-2 по
ГОСТ 1770.
6.1.4 Цилиндры мерные 1(2, 3, 4)-25(50) по
ГОСТ 1770.
6.1.5 Пипетки градуированные 1(2, 3, 5)-1(1а, 2, 2а)-2-1(5, 10) по
ГОСТ 29227.
6.1.6 Дозаторы пипеточные одноканальные переменного объема 10 - 100 мм
3, 100 - 1000 мм
3, 1000 - 5000 мм
3 по
ГОСТ 28311.
6.1.7 Стандартные образцы утвержденного типа состава водных растворов с погрешностью аттестованного значения не более +/- 1%:
- уксусной кислоты массовой концентрации 1 мг/см3;
- формиат-ионов массовой концентрации 66 мг/дм3 в виде таблетки.
Примечание - Допускается использование других средств измерений, имеющих аналогичные или лучшие метрологические характеристики.
6.2 Вспомогательные устройства и материалы
6.2.1 Дистиллятор или бидистиллятор, или аппарат для перегонки воды (кварцевый или стеклянный).
6.2.2 Центрифуга лабораторная с частотой вращения не менее 5000 об/мин.
6.2.3 Устройство для перемешивания проб с подогревом.
6.2.4 Электроплитка бытовая.
6.2.6 Пробирки однократного применения (типа Эппендорф) вместимостью 1,5 см3.
6.2.8 Виалы с завинчивающими крышками для хранения растворов вместимостью 10 - 40 см3.
6.2.9 Полиэтиленовые емкости с завинчивающими крышками или стеклянные емкости с притертыми крышками для хранения растворов вместимостью 50, 100, 250 см3.
6.2.11 Шприцы медицинские одноразовые вместимостью 10 (20) см
3 по
ГОСТ ISO 7886-1.
6.2.12 Фильтры обеззоленные "синяя лента".
6.2.13 Фильтры целлюлозно-ацетатные (размер пор 0,2 мкм, диаметр 25 мм).
Примечание - Допускается использование вспомогательного оборудования с аналогичными техническими характеристиками и материалов по качеству не ниже указанных.
6.3 Реактивы
6.3.4 Спирт изопропиловый абсолютированный по
ГОСТ 9805.
6.3.6 Натрий фосфорнокислый двузамещенный 12-водный по
ГОСТ 4172, х. ч.
6.3.7 Натрий фосфорнокислый однозамещенный 2-водный по
ГОСТ 245 или моногидрат, ч. д. а.
6.3.8 Цетилтриметиламмония бромид (ЦТАБ) с массовой долей основного вещества не менее 99%.
6.3.9 Бензоат натрия с массовой долей основного вещества не менее 98%.
6.3.10 Натрий щавелевокислый по
ГОСТ 5839, ч. д. а.
6.3.12 Лактат лития с массовой долей основного вещества не менее 98%.
6.3.13 Сорбат калия с массовой долей основного вещества не менее 99%.
6.3.14 Лимонная кислота с массовой долей основного вещества не менее 98%.
6.3.15 Пропионат натрия с массовой долей основного вещества не менее 98%.
6.3.16 Фумаровая кислота с массовой долей основного вещества не менее 98%.
6.3.17 Яблочная кислота с массовой долей основного вещества не менее 98%.
6.3.18 Янтарная кислота с массовой долей основного вещества не менее 98%.
6.3.19 Бутират натрия с массовой долей основного вещества не менее 98%.
Примечание - Допускается использование реактивов аналогичной или более высокой квалификации по качеству не ниже указанных.
8 Подготовка к проведению испытаний
8.2 Подготовка лабораторной посуды
8.2.1 Лабораторную посуду моют разбавленным раствором щелочи, например, 1%-ным раствором гидроокиси натрия, без применения других моющих средств, тщательно промывают водопроводной и многократно ополаскивают дистиллированной водой.
8.2.2 Все наконечники и пробирки типа Эппендорф используются однократно. Запрещается погружать наконечник во весь объем раствора.
8.3 Подготовка капилляра к работе
8.3.1 Подготовка нового капилляра или капилляра после сухого хранения
Подготовку нового капилляра к работе проводят в соответствии с руководством (инструкцией) по эксплуатации прибора.
8.3.2 Ежедневная подготовка капилляра к работе
Перед проведением измерений капилляр последовательно промывают дистиллированной водой (см.
6.3.1) в течение 3 мин, раствором гидроокиси натрия (см.
8.4.2) - 5 мин, дистиллированной водой - 5 мин, затем, согласно выбранной схеме испытаний, соответствующим фоновым электролитом (см.
8.4.8 или
8.4.9) в течение 5 мин.
| | ИС МЕГАНОРМ: примечание. В официальном тексте документа, видимо, допущена опечатка: пункт 8.5.12 отсутствует. | |
Для проверки состояния капилляра соответствующий контрольный раствор согласно выбранной схеме испытаний (см.
8.5.8 или 8.5.12) дважды анализируют в условиях, указанных в
таблице 3. При этом в первую очередь обращают внимание на стабильность времен миграции компонентов.
8.3.3 Подготовка капилляра между измерениями и в конце рабочего дня
Непосредственно перед проведением измерений капилляр промывают соответствующим фоновым электролитом согласно выбранной схеме испытаний (см.
8.4.8 или
8.4.9) в течение 2 мин.
После проведения измерения капилляр промывают тем же электролитом в течение 3 мин.
При смене схемы испытаний для перехода с одного фонового электролита на другой необходимо промыть капилляр в течение 5 мин новым фоновым электролитом.
При увеличении времени миграции компонентов на электрофореграмме на 5% и более рекомендуется:
- заменить фоновый электролит в пробирках на входе и на выходе другими порциями фонового электролита;
- промыть капилляр в следующей последовательности: дистиллированной водой в течение 3 мин, раствором гидроксида натрия (см.
8.4.2) - 5 мин, дистиллированной водой - 5 мин и соответствующим фоновым электролитом (см.
8.4.8 или
8.4.9) - 5 мин.
В случае сильного загрязнения капилляра допускается промывка капилляра по следующей схеме: дистиллированной водой в течение 1 мин, раствором серной кислоты (разбавленной дистиллированной водой в соотношении 1:1 по объему) - 5 мин, дистиллированной водой - 3 мин, другой порцией дистиллированной воды - 2 мин, раствором гидроокиси натрия (см.
8.4.2) - 5 мин, дистиллированной водой - 5 мин, соответствующим фоновым электролитом (см.
8.4.8 или
8.4.9) - 5 мин.
После завершения измерений капилляр промывают дистиллированной водой в течение 2 мин, раствором соляной кислоты (см.
8.4.3)- 10 мин, дистиллированной водой - 5 мин и оставляют концы капилляра погруженными в пробирки с дистиллированной водой.
Примечание - Допускается изменять процедуры промывки капилляра. Выбирают оптимальную по времени и по промывочным растворам процедуру подготовки капилляра между измерениями и строго ее соблюдают. Невыполнение этого условия приводит к ухудшению стабильности времен миграции определяемых компонентов.
8.4 Приготовление растворов
8.4.1 Все растворы, указанные в 8.4, готовят на дистиллированной воде (см.
6.3.1).
8.4.2 Приготовление раствора гидроокиси натрия для промывки капилляра
В стакан вместимостью 250 см
3 помещают 2 г гидроокиси натрия (см.
6.3.2) и добавляют 100 см
3 дистиллированной воды.
Срок хранения раствора при комнатной температуре в полиэтиленовой емкости - не более 6 мес.
8.4.3 Приготовление раствора соляной кислоты для промывки капилляра
В стакан вместимостью 250 см
3 помещают 100 см
3 дистиллированной воды, затем приливают 8 см
3 соляной кислоты (см.
6.3.3).
Срок хранения раствора при комнатной температуре не ограничен.
8.4.4 Приготовление раствора фосфорнокислого натрия двузамещенного молярной концентрации 0,188 моль/дм3
В мерную колбу вместимостью 100 см
3 (см.
6.1.3) помещают (6,73 +/- 0,01) г 12-водного фосфорнокислого двузамещенного натрия (см.
6.3.6), добавляют 50 - 60 см
3 дистиллированной воды, перемешивают до полного растворения, затем доводят объем раствора до метки дистиллированной водой.
Срок хранения раствора при комнатной температуре - не более 3 мес.
8.4.5 Приготовление раствора фосфорнокислого натрия однозамещенного молярной концентрации 0,1 моль/дм3
В мерную колбу вместимостью 100 см
3 помещают (1,56 +/- 0,01) г 2-водного фосфорнокислого однозамещенного натрия (см.
6.3.7), добавляют 50 - 60 см
3 дистиллированной воды, перемешивают до полного растворения, затем доводят объем раствора до метки дистиллированной водой.
Срок хранения раствора при комнатной температуре - не более 3 мес.
8.4.6 Приготовление фосфатного буферного раствора молярной концентрации 0,1 моль/дм3
В мерную колбу вместимостью 100 см
3 вносят 50 см
3 раствора фосфорнокислого двузамещенного натрия (см.
8.4.4) и 5,0 см
3 раствора фосфорнокислого однозамещенного натрия (см.
8.4.5), перемешивают, доводят объем раствора до метки дистиллированной водой.
Срок хранения раствора при комнатной температуре - не более 2 мес.
8.4.7 Приготовление раствора цетилтриметиламмония бромида (ЦТАБ) молярной концентрации 0,01 моль/дм3
В мерную колбу вместимостью 25 см
3 помещают (0,091 +/- 0,001) г ЦТАБ (см.
6.3.8), добавляют 10 - 15 см
3 дистиллированной воды и перемешивают. При необходимости нагревают на водяной бане при температуре не более 50 °C. После полного растворения объем раствора в колбе доводят до метки дистиллированной водой.
Во время хранения раствора допускается выпадение осадка. В этом случае перед использованием раствор необходимо нагреть на водяной бане до растворения кристаллов.
Срок хранения раствора при комнатной температуре - не более 6 мес.
8.4.8 Приготовление фонового электролита N 1 (схема испытаний N 1)
В виале вместимостью 15 - 20 см
3 смешивают 9,5 см
3 фосфатного буфера (см.
8.4.6), 0,1 см
3 раствора ЦТАБ (см.
8.4.7) и 0,5 см
3 изопропилового спирта (см.
6.3.4), тщательно перемешивают.
Приготовленный раствор содержит 95,0 ммоль/дм3 фосфат-ионов, 0,1 ммоль/дм3 ЦТАБ. Объемная доля изопропилового спирта составляет 5%.
Срок хранения раствора при комнатной температуре - не более 2 недель.
8.4.9 Приготовление фонового электролита (схема испытаний N 2)
В виале вместимостью 15 - 20 см
3 смешивают 7,5 см
3 фосфатного буферного раствора (см.
8.4.6), 2,0 см
3 раствора ЦТАБ (см.
8.4.7) и 0,5 см
3 изопропилового спирта (см.
6.3.4), тщательно перемешивают.
Приготовленный раствор содержит 75 ммоль/дм3 фосфат-ионов, 2,0 ммоль/дм3 ЦТАБ. Объемная доля изопропилового спирта составляет 5%.
Срок хранения раствора при комнатной температуре - не более двух недель.
8.5 Приготовление основных, градуировочных и контрольных растворов
8.5.1 Приготовление основных растворов бензойной, лимонной, сорбиновой, фумаровой, молочной, щавелевой, яблочной, янтарной, пропионовой и масляной кислот
Для каждой органической кислоты основной раствор готовится отдельно. В мерную колбу вместимостью 25 см3 вносят навеску соответствующего компонента согласно таблице 1, доводят объем раствора до метки дистиллированной водой и тщательно перемешивают.
Таблица 1
Рекомендуемые навески и факторы пересчета
Наименование химического соединения | Масса, мг | Определяемая органическая кислота | f | Cн, мг/дм3 |
Бензоат натрия | 30,0 +/- 0,5 | Бензойная кислота | 0,85 | 1000 |
Лимонная кислота | 25,0 +/- 0,5 | Лимонная кислота | 1,0 | 1000 |
Лактат лития | 54,0 +/- 0,5 | Молочная кислота | 0,94 | 2000 |
Пропионат натрия | 65,0 +/- 0,5 | Пропионовая кислота | 0,77 | 2000 |
Сорбат калия | 34,0 +/- 0,5 | Сорбиновая кислота | 0,75 | 1000 |
Фумаровая кислота | 25,0 +/- 0,5 | Фумаровая кислота | 1,0 | 1000 |
Натрий щавелевокислый | 38,0 +/- 0,5 | Щавелевая кислота | 0,67 | 1000 |
Яблочная кислота | 25,0 +/- 0,5 | Яблочная кислота | 1,0 | 1000 |
Янтарная кислота | 25,0 +/- 0,5 | Янтарная кислота | 1,0 | 1000 |
Бутират натрия | 32,0 +/- 0,5 | Масляная кислота | 0,78 | 1000 |
Номинальные значения массовой концентрации кислоты
Cн, мг/дм
3, в пересчете на химическое соединение в основных растворах указаны в
таблице 1. Фактическое значение массовой концентрации для каждой кислоты (в пересчете на химическое соединение)
C0, мг/дм
3, вычисляют по формуле

, (1)
где m - масса навески, мг;
V - объем приготовленного раствора, дм3 (0,025 дм3);
f - фактор пересчета.
Срок хранения основного раствора сорбиновой кислоты при температуре от 2 °C до 8 °C - не более двух недель.
Срок хранения основных растворов лимонной, бензойной, молочной, фумаровой, щавелевой, яблочной, янтарной, масляной, пропионовой кислот при температуре от 2 °C до 8 °C - не более 3 мес.
8.5.2 Приготовление раствора муравьиной кислоты массовой концентрации 2700 мг/дм3
В мерную колбу вместимостью 25 см
3 помещают СО состава раствора формиат-иона (см.
6.1.7), объем раствора доводят до метки дистиллированной водой и тщательно перемешивают.
Срок хранения раствора при температуре от 2 °C до 8 °C - не более 3 мес.
8.5.3 Приготовление основного раствора муравьиной кислоты массовой концентрации 2000 мг/дм3
В виалу вместимостью 15 - 20 см
3 помещают 10 см
3 раствора муравьиной кислоты (см.
8.5.2), добавляют 3,5 см
3 дистиллированной воды и перемешивают.
Срок хранения раствора при температуре от 2 °C до 8 °C - не более 2 мес.
8.5.4 Приготовление градуировочного раствора N 1 по схеме испытаний N 1
В виалу вместимостью 15 - 20 см
3 помещают основные растворы органических кислот по
8.5.1,
8.5.3 и СО состава раствора уксусной кислоты (см.
6.1.7) в объемах, указанных в таблице 2, и тщательно перемешивают.
Таблица 2
Значения массовой концентрации органических кислот
в градуировочных и контрольном растворах
по схеме испытаний N 1
В миллиграммах в дециметре кубическом
Наименование органической кислоты | Объем основного раствора для приготовления градуировочного раствора N 1, см3 | Массовая концентрация органической кислоты в |
градуировочном растворе | контрольном растворе |
N 1 | N 2 | N 3 |
Щавелевая | 0,6 | 60 | 12 | 3,0 | 30 |
| 1,5 | 300 | 60 | 15 | 150 |
Фумаровая | 0,1 | 10 | 2,0 | 0,5 | 5,0 |
Янтарная | 1,0 | 100 | 20 | 5,0 | 50 |
Яблочная | 1,0 | 100 | 20 | 5,0 | 50 |
Лимонная | 1,0 | 100 | 20 | 5,0 | 50 |
| 2,0 | 200 | 40 | 10 | 100 |
Пропионовая | 1,0 | 200 | 40 | 10 | 100 |
Молочная | 1,2 | 240 | 48 | 12 | 120 |
Бензойная | 0,1 | 10 | 2,0 | 0,5 | 5,0 |
Сорбиновая | 0,5 | 50 | 10 | 2,5 | 25 |
<*> Основной раствор муравьиной кислоты по 8.5.3, массовая концентрация 2000 мг/дм 3. <**> Стандартный образец состава раствора уксусной кислоты. |
Допускается использование градуировочных и контрольного растворов, содержащих меньшее количество определяемых органических кислот в других концентрациях, соответствующих диапазону градуировочной характеристики (см.
8.6.1).
Номинальные значения массовой концентрации органических кислот в градуировочном растворе N 1 по схеме испытаний N 1 приведены в
таблице 2. Фактическое значение массовой концентрации каждой кислоты
C1, мг/дм
3, вычисляют по формуле

, (2)
где
C0 - фактическое значение массовой концентрации органической кислоты в основном растворе, вычисленное по
формуле (1), мг/дм
3;
V0 - объем основного раствора органической кислоты по
8.5.1 или
8.5.3, или стандартного образца уксусной кислоты, использованного при приготовлении градуировочного раствора N 1, см
3;
V1 - объем приготовленного градуировочного раствора N 1, см3.
Срок хранения раствора при температуре от 2 °C до 8 °C - не более 2 недель.
8.5.5 Приготовление градуировочного раствора N 2 по схеме испытаний N 1
В виалу вместимостью 10 - 12 см
3 помещают 1,0 см
3 градуировочного раствора N 1 (см.
8.5.4), добавляют 4,0 см
3 дистиллированной воды и тщательно перемешивают.
Номинальные значения массовой концентрации органических кислот в градуировочном растворе N 2 по схеме испытаний N 1 приведены в
таблице 2. Фактическое значение массовой концентрации каждой кислоты
C2, мг/дм
3, вычисляют по формуле

, (3)
где
C1 - фактическое значение массовой концентрации органической кислоты в градуировочном растворе N 1, вычисленное по
формуле (2), мг/дм
3;
V1,2 - объем градуировочного раствора N 1, использованный для приготовления градуировочного раствора N 2, см3;
V2 - объем приготовленного градуировочного раствора N 2, см3.
Срок хранения раствора при температуре от 2 °C до 8 °C - не более 7 сут.
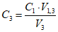
8.5.6 Приготовление градуировочного раствора N 3 по схеме испытаний N 1
В мерную колбу вместимостью 50 см
3 помещают 2,5 см
3 градуировочного раствора N 1 (см.
8.5.4), объем раствора доводят до метки дистиллированной водой и тщательно перемешивают.
Номинальные значения массовой концентрации органических кислот в градуировочном растворе N 3 по схеме испытаний N 1 приведены в
таблице 2. Фактические значения массовой концентрации органических кислот
C3, мг/дм
3, вычисляют по формуле

, (4)
где
C1 - фактическое значение массовой концентрации органической кислоты в градуировочном растворе N 1, вычисленное по
формуле (2), мг/дм
3;
V1,3 - объем градуировочного раствора N 1, использованный для приготовления градуировочного раствора N 3, см3;
V3 - объем приготовленного градуировочного раствора N 3, см3.
Раствор используют в день приготовления.
8.5.7 Приготовление контрольного раствора по схеме испытаний N 1
В виалу вместимостью 15 - 20 см
3 помещают 5,0 см
3 градуировочного раствора N 1 (см.
8.5.4), добавляют 5,0 см
3 дистиллированной воды и тщательно перемешивают.
Номинальные значения массовой концентрации органических кислот в контрольном растворе по схеме испытаний N 1 приведены в
таблице 2. Фактические значения массовой концентрации кислот вычисляют по формуле

, (5)
где
C1 - фактическое значение массовой концентрации органической кислоты в градуировочном растворе N 1, вычисленное по
формуле (2), мг/дм
3;
V1,к - объем градуировочного раствора N 1, использованный для приготовления контрольного раствора, см3;
Vк - объем приготовленного контрольного раствора, см3.
Контрольный раствор используется для контроля стабильности градуировочной характеристики
(8.6).
Срок хранения раствора при температуре от 2 °C до 8 °C - не более 7 сут.
8.5.8 Приготовление градуировочного раствора N 1 по схеме испытаний N 2
В виалу вместимостью 15 - 20 см
3 помещают 1,0 см
3 основного раствора масляной кислоты (см.
8.5.1), добавляют 9,0 см
3 дистиллированной воды и тщательно перемешивают.
Номинальное значение массовой концентрации масляной кислоты в градуировочном растворе N 1 по схеме испытаний N 2 - 100 мг/дм
3. Фактическое значение массовой концентрации масляной кислоты вычисляют по
формуле (2).
Срок хранения раствора при температуре от 2 °C до 8 °C - не более 3 мес.
8.5.9 Приготовление градуировочного раствора N 2 по схеме испытаний N 2
В виалу вместимостью 15 - 20 см
3 помещают 5,0 см
3 градуировочного раствора N 1 по схеме испытаний N 2 (см.
8.5.8), добавляют 5,0 см
3 дистиллированной воды и тщательно перемешивают.
Номинальное значение массовой концентрации масляной кислоты в градуировочном растворе N 2 по схеме испытаний N 2 - 50 мг/дм
3. Фактическое значение массовой концентрации масляной кислоты вычисляют по
формуле (3).
Срок хранения раствора при температуре от 2 °C до 8 °C - не более 2 мес.
8.5.10 Приготовление градуировочного раствора N 3 по схеме испытаний N 2
В виалу вместимостью 15 - 20 см
3 помещают 1,0 см
3 градуировочного раствора N 1 по схеме испытаний N 2 (см.
8.5.8), добавляют 9,0 см
3 дистиллированной воды и тщательно перемешивают.
Номинальное значение массовой концентрации масляной кислоты в градуировочном растворе N 3 по схеме испытаний N 2 - 10 мг/дм
3. Фактическое значение массовой концентрации масляной кислоты вычисляют по
формуле (4).
Срок хранения раствора при температуре от 2 °C до 8 °C - не более 2 мес.
8.5.11 Приготовление контрольного раствора по схеме испытаний N 2
В виалу вместимостью 15 - 20 см
3 помещают 2,0 см
3 градуировочного раствора N 1 по схеме испытаний N 2 (см.
8.5.8), добавляют 8,0 см
3 дистиллированной воды и тщательно перемешивают.
Номинальное значение массовой концентрации масляной кислоты в контрольном растворе по схеме испытаний N 2 - 20 мг/дм
3. Фактическое значение массовой концентрации масляной кислоты вычисляют по
формуле (5).
Срок хранения раствора при температуре от 2 °C до 8 °C - не более 2 мес.
8.6 Градуировка системы и контроль стабильности градуировочной характеристики
8.6.1 Градуировка системы
Перед измерением все растворы центрифугируют в течение 5 мин со скоростью вращения 5000 об/мин.
Непосредственно перед анализом подготавливают капилляр в соответствии с
8.3.2. Между анализами капилляр промывают согласно
8.3.3.
Для проведения градуировки системы регистрируют электрофореграммы градуировочных растворов, приготовленных по
8.5.4 -
8.5.6 или
8.5.8 -
8.5.10, согласно выбранной схеме испытаний, в условиях, указанных в таблице 3. Рабочие параметры для конкретного прибора подбирают таким образом, чтобы при измерении градуировочных растворов достигалось разделение пиков органических кислот с коэффициентом разделения не менее 1. Длину волны детектирования выбирают в области 190 - 200 нм таким образом, чтобы высота пиков компонентов в градуировочных растворах была максимальной. Подобранные параметры анализа фиксируют и используют для записи электрофореграмм градуировочных растворов и растворов, полученных при подготовке проб.
Таблица 3
Условия проведения измерений
Наименование параметра | Схема испытаний N 1 | Схема испытаний N 2 |
Длина волны, нм | 190 - 200 |
Температура, °C | 20 |
Ввод пробы гидродинамический, мбар·c | От 300 до 450 |
Напряжение, кВ | От минус 25 до минус 10 <*> |
Фоновый электролит | | |
<*> Рекомендуется выбирать напряжение таким образом, чтобы величина тока во время анализа не превышала 80 мкА. |
Определяемые компоненты по схеме испытаний N 1 в порядке выхода: щавелевая, муравьиная, фумаровая, янтарная, яблочная, лимонная, уксусная, пропионовая, молочная, бензойная, сорбиновая кислоты. По схеме испытаний N 2 определяемый компонент: масляная кислота.
Диапазоны линейности градуировочной характеристики составляют: для муравьиной кислоты 15 - 300 мг/дм3, для молочной кислоты 12 - 240 мг/дм3, для щавелевой кислоты 3,0 - 60,0 мг/дм3, для янтарной, яблочной, лимонной кислот 5,0 - 100,0 мг/дм3, для сорбиновой кислоты 2,5 - 50,0 мг/дм3, для фумаровой, бензойной кислот 0,5 - 10,0 мг/дм3, для уксусной, пропионовой кислот 10 - 200 мг/дм3, для масляной кислоты 10 - 100 мг/дм3.
Примеры электрофореграмм градуировочных растворов приведены в
Приложении А.
На полученной электрофореграмме проверяют правильность автоматической разметки пиков и, если необходимо, корректируют ее.
Затем обрабатывают электрофореграмму согласно процедуре градуировки в соответствии с Руководством пользователя программного обеспечения, используемого для сбора и обработки данных.
Градуировочная характеристика признается приемлемой при выполнении следующих условий:
- значение коэффициента корреляции, рассчитанное программой, более 0,99;
- отклонение в каждой точке градуировочной характеристики не превышает 8% или относительное среднее квадратическое отклонение не превышает 4%;
- относительное отклонение рассчитанных при помощи установленной градуировочной характеристики значений массовой концентрации компонента от фактического значения в каждой точке (см.
таблицу 2) не превышает +/- 8% или относительное среднее квадратическое отклонение не превышает 4% (значения вычисляются автоматически с помощью программного обеспечения).
При несоблюдении указанных требований находят причины несоответствий и устраняют их, после чего градуировку прибора проводят повторно.
При замене капилляра, после проведения ремонта, при смене партии хотя бы одного из компонентов электролита, изменении одного из параметров проведения измерений (см.
таблицу 3), а также получении неудовлетворительных результатов контроля стабильности градуировочной характеристики (см.
8.6.2) градуировку прибора проводят заново.
Примечание - Необходимо через четыре-пять вводов пробирки на входе и выходе заново заполнять другими порциями фонового электролита.
8.6.2 Контроль стабильности градуировочной характеристики
Контроль стабильности градуировочной характеристики проводится в начале рабочего дня перед измерениями.
Для контроля стабильности градуировочной характеристики по схеме испытаний N 1 используют контрольный раствор по
8.5.7, по схеме испытаний N 2 - контрольный раствор по
8.5.11, которые анализируют не менее двух раз согласно выбранной схеме испытаний, в условиях, указанных в
таблице 3.
На полученных электрофореграммах проводят автоматическую идентификацию компонентов, установив ширину окна идентификации 5%. При необходимости вносят программную коррекцию номера пика или времени миграции.
При помощи программного обеспечения вычисляют массовую концентрацию органических кислот в контрольных растворах для каждого ввода
Cк,1 и
Cк,2, мг/дм
3, используя действующую на данный момент градуировочную характеристику, установленную по
8.6.1.
Градуировочная характеристика признается стабильной, если для каждого ввода (i = 1, 2) контрольного раствора выполняется условие:
|
Cк,i -
Cк| <= 0,1·
Cк, (6)
где Cк,i - измеренная массовая концентрация органической кислоты в контрольном растворе i-го ввода, мг/дм3;
Cк - фактическая массовая концентрация органической кислоты в контрольном растворе, мг/дм3.
При невыполнении условия по
формуле (6) хотя бы для одного ввода промывают капилляр по
8.3.3 и заново анализируют контрольный раствор еще два раза. При повторных отклонениях, превышающих указанные нормативы, заново градуируют систему.
9.1 Приготовление анализируемого раствора
9.1.1 Подготовка жидких проб
Для каждой пробы проводят два параллельных испытаний в условиях повторяемости.
В мерную колбу вместимостью 50 см
3 помещают (400 +/- 5) мг анализируемой пробы, подготовленной по
8.1, добавляют 20 - 25 см
3 дистиллированной воды и тщательно перемешивают. Доводят объем раствора до метки дистиллированной водой и перемешивают. Полученный раствор центрифугируют в пробирках типа Эппендорф в течение 5 мин со скоростью вращения 5000 об/мин или фильтруют через одноразовый мембранный фильтр, отбрасывая первый 1 см
3 фильтрата. Фильтрат (центрифугат) переносят в виалу. Объем полученного фильтрата (центрифугата) должен составлять не менее 1,5 см
3.
Для анализируемых проб, не смешивающихся с водой, процедуру подготовки проводят, используя вместо дистиллированной воды этиловый спирт (см.
6.3.5).
Далее подготовленную пробу разбавляют в 10 раз дистиллированной водой (Q1 = 10).
Полученные анализируемые растворы используют в день приготовления.
9.1.2 Подготовка твердых проб
Для каждой пробы проводят два параллельных испытания в условиях повторяемости.
Анализируемую пробу массой (500 +/- 1) мг помещают в плоскодонную колбу вместимостью 50 см3. Для силоса и сенажа масса анализируемой пробы составляет (1000 +/- 5) мг. Добавляют 25 - 30 см3 дистиллированной воды, подогретой до 70 °C, перемешивают и встряхивают на аппарате для встряхивания в течение 10 мин. Раствор количественно переносят в мерную колбу вместимостью 50 см3, охлаждают и доводят до метки дистиллированной водой.
Полученный раствор центрифугируют в пробирках типа Эппендорф в течение 5 мин со скоростью вращения 5000 об/мин или фильтруют через одноразовый мембранный фильтр, отбрасывая первый 1 см3 фильтрата. Фильтрат (центрифугат) переносят в виалу. Объем полученного фильтрата (центрифугата) должен составлять не менее 1,5 см3.
Полученные водные растворы анализируют в день приготовления. Не допускается хранение водного раствора над осадком.
Затем подготовленный раствор разбавляют в 10 раз дистиллированной водой (Q1 = 10). Раствор, полученный из силоса и сенажа, анализируют без разбавления (Q1 = 1).
9.2 Регистрация и обработка электрофореграмм
Для каждого из двух параллельно подготовленных по
9.1 растворов регистрируют по одной электрофореграмме в условиях, указанных в
таблице 3.
Примеры электрофореграмм подготовленных проб приведены в
приложении А.
На полученных электрофореграммах проверяют правильность автоматической разметки пиков и при необходимости корректируют ее. Используя программное обеспечение, проводят идентификацию органических кислот по совпадению времен их миграции в анализируемом и контрольном растворах при ширине окна идентификации не более 5%.
Если анализируемые компоненты обнаружены, то определяют их массовую концентрацию с использованием градуировочной характеристики, установленной по
8.6.1.
Если измеренные значения массовой концентрации одной или нескольких органических кислот превышают верхнюю границу диапазона градуировочной характеристики, то подготовленный по
9.1 раствор разбавляют дистиллированной водой так, чтобы значение массовой концентрации органических кислот в разбавленном растворе находилось в середине диапазона измеряемых значений. При невозможности обеспечить это условие для всех органических кислот при одном разбавлении следует сделать несколько разбавлений, оптимальных для отдельных органических кислот и/или их сочетаний. Коэффициент дополнительного разбавления
Q2 вычисляют по формуле:

, (7)
где Vр - объем разбавленного раствора, см3;
Vал - объем анализируемого раствора (см.
9.1.1 или
9.1.2), взятый для дополнительного разбавления, см
3.
Примечания
1 На стадии освоения методики для идентификации компонентов рекомендуется использовать метод добавок. Определяемую органическую кислоту вводят в подготовленную пробу таким образом, чтобы массовая концентрация добавки составила от 50% до 150% от предварительно измеренной. Увеличение высоты соответствующего пика подтверждает правильность идентификации. Аналогичную процедуру рекомендуется проводить при анализе проб, идентификация пиков которых вызывает сомнения.
2 На электрофореграмме реальных образцов могут наблюдаться пики неорганических анионов - хлоридов и нитратов перед пиком щавелевой кислоты.
10.1 Массовую долю органической кислоты в пробе X, %, вычисляют по формуле

, (8)
где
V - объем дистиллированной воды, взятый для получения анализируемого раствора по
9.1.1 или
9.1.2, см
3 (50 см
3);
Cизм - измеренное значение массовой концентрации органической кислоты в анализируемом растворе, мг/дм3;
Q1 - коэффициент разбавления (см.
9.1.1 или
9.1.2);
Q2 - коэффициент дополнительного разбавления (см.
9.2);
100 - коэффициент пересчета в проценты;
m - масса анализируемой пробы, мг;
1000 - коэффициент согласования размерности единиц измерения объема.
10.2 Если результат измерений массовой доли органической кислоты необходимо представить в пересчете на другие химические соединения, то значения, полученные по
формуле (8), умножают на соответствующие коэффициенты. Значения коэффициентов для наиболее часто встречающихся форм, представлены в таблице 4.
Таблица 4
Коэффициенты пересчета
Наименование органической кислоты | Соединение органической кислоты | Коэффициент |
Бензойная кислота | Бензоат натрия | 1,18 |
Бензоат калия | 1,31 |
Масляная кислота | Бутират натрия | 1,28 |
Муравьиная кислота | Формиат аммония | 1,37 |
Пропионовая кислота | Пропионат аммония | 1,23 |
Пропионат натрия | 1,30 |
Пропионат калия | 1,36 |
Сорбиновая кислота | Сорбат натрия | 1,20 |
Сорбат калия | 1,34 |
Уксусная кислота | Ацетат натрия | 1,37 |
10.3 За результат измерений массовой доли органической кислоты в пробе принимают среднеарифметическое значение результатов двух параллельных определений, расхождение между которыми не превышает предела повторяемости (см.
11).
Результат измерений массовой доли органической кислоты в пробе может быть представлен в виде

, %, при этом
U - показатель точности измерений (расширенная неопределенность с коэффициентом охвата 2), рассчитывают по формуле:

, (9)
где 0,01 - коэффициент пересчета;
Uотн - относительная расширенная неопределенность с коэффициентом охвата 2, значение
Uотн для каждой органической кислоты приведено в
таблице 5;

- среднеарифметическое значение массовой доли органической кислоты для двух параллельных определений (
X1,
X2), %.
Таблица 5
Значения показателей повторяемости,
воспроизводимости и точности
В процентах
Определяемая кислота | Диапазон измерений | Предел повторяемости, r | Критическая разность, CD0,95 | Относительная расширенная неопределенность с коэффициентом охвата 2 <*>, Uотн |
Щавелевая | От 0,03 до 10,00 включ. | 11 | 21 | 15 |
Муравьиная | " 0,15 " 80,00 " |
Фумаровая | " 0,005 " 80,000 " |
Янтарная | " 0,05 " 80,00 " |
Яблочная | " 0,05 " 80,00 " |
Лимонная | " 0,05 " 80,00 " |
Уксусная | " 0,10 " 80,00 " |
Пропионовая | " 0,10 " 80,00 " |
Молочная | " 0,12 " 80,00 " |
Бензойная | " 0,005 " 50,000 " |
Сорбиновая | " 0,025 " 50,000 " |
Масляная | От 0,05 до 50,00 включ. | 22 | 28 | 20 |
<*> Численно равна (без учета знака) значению доверительных границ относительной погрешности измерений  , %, для доверительной вероятности P = 0,95. |
Числовое значение результата испытаний должно оканчиваться цифрой того же разряда, что и значение расширенной неопределенности "U", рассчитанное по
формуле (9), выраженное в процентах и содержащее не более двух значащих цифр.
11 Контроль точности результатов испытаний
Расхождение между результатами двух параллельных испытаний
X1, %, и
X2, %, полученными в одной лаборатории в условиях повторяемости по
ГОСТ Р ИСО 5725-1, должно соответствовать условию:

, (10)
где

- среднеарифметическое значение результатов параллельных испытаний, %;
r - значение предела повторяемости (см.
таблицу 5), %.
Если это условие не соблюдается, то используют методы проверки приемлемости результатов параллельных испытаний и установления окончательного результата согласно ГОСТ Р ИСО 5725-6
(раздел 5).
Расхождение между результатами испытаний, полученными в двух лабораториях X1лаб, %, и X2лаб, %, на идентичных пробах разными операторами с использованием различных экземпляров оборудования должно соответствовать условию:

, (11)
где 0,01 - коэффициент пересчета;

- среднеарифметическое значение результатов испытаний в двух лабораториях, %;
CD0,95 - критическая разность (см.
таблицу 5), %.
При выполнении этого условия приемлемы оба результата испытаний, и в качестве окончательного может быть использовано их среднеарифметическое значение. Если это условие не соблюдается, могут быть использованы методы оценки приемлемости результатов испытаний согласно ГОСТ Р ИСО 5725-6
(раздел 5).
(справочное)
1 - щавелевая кислота; 2 - муравьиная кислота; 3 - фумаровая
кислота; 4 - янтарная кислота; 5 - яблочная кислота;
6 - лимонная кислота; 7 - уксусная кислота; 8 - пропионовая
кислота; 9 - молочная кислота; 10 - бензойная кислота;
11 - сорбиновая кислота
Рисунок А.1 - Электрофореграмма градуировочного
раствора по схеме испытаний N 1
Таблица А.1
Условия проведения анализа
Наименование параметра | Значение параметра |
Общая длина капилляра, см | 50 |
Внутренний диаметр капилляра, мкм | 50 |
Температура, °C | 20 |
Длина волны, нм | 190 |
Ввод пробы гидродинамический, мбар·c | 450 |
Напряжение, кВ | Минус 17 |
Фоновый электролит | |
1 - муравьиная кислота - 9,4%; 2 - фумаровая
кислота - 0,52%; 3 - уксусная кислота - 4,4%;
4 - пропионовая кислота - 10,8%; 5 - бензойная
кислота - 0,22%; 6 - сорбиновая кислота - 0,25%
Рисунок А.2 - Электрофореграмма кормовой
добавки по схеме испытаний N 1
Электрофореграмма подготовленной пробы кормовой добавки получена в условиях, приведенных в
таблице А.1.
1 - масляная кислота
Рисунок А.3 - Электрофореграмма градуировочного
раствора по схеме испытаний N 2
Электрофореграмма градуировочного раствора получена в условиях, приведенных в таблице А.2.
Таблица А.2
Условия проведения анализа
Наименование параметра | Значение параметра |
Общая длина капилляра, см | 50 |
Внутренний диаметр капилляра, мкм | 50 |
Температура, °C | 20 |
Длина волны, нм | 190 |
Ввод пробы гидродинамический, мбар·c | 450 |
Напряжение, кВ | Минус 17 |
Фоновый электролит | |
1 - масляная кислота - 0,37%
Рисунок А.4 - Электрофореграмма подготовленной
пробы силоса по схеме испытаний N 2
Электрофореграмма подготовленной пробы силоса получена в условиях, приведенных в
таблице А.2.