Главная // Актуальные документы // ГОСТ Р (Государственный стандарт)СПРАВКА
Источник публикации
М.: Стандартинформ, 2015
Примечание к документу
Документ
введен в действие с 1 января 2016 года.
Название документа
"ГОСТ Р 56186-2014. Национальный стандарт Российской Федерации. Техническая диагностика. Акустический метод определения состояния старогодных рельсов. Общие требования"
(утв. и введен в действие Приказом Росстандарта от 24.10.2014 N 1411-ст)
"ГОСТ Р 56186-2014. Национальный стандарт Российской Федерации. Техническая диагностика. Акустический метод определения состояния старогодных рельсов. Общие требования"
(утв. и введен в действие Приказом Росстандарта от 24.10.2014 N 1411-ст)
Утвержден и введен в действие
по техническому регулированию
и метрологии
от 24 октября 2014 г. N 1411-ст
НАЦИОНАЛЬНЫЙ СТАНДАРТ РОССИЙСКОЙ ФЕДЕРАЦИИ
ТЕХНИЧЕСКАЯ ДИАГНОСТИКА
АКУСТИЧЕСКИЙ МЕТОД ОПРЕДЕЛЕНИЯ СОСТОЯНИЯ
СТАРОГОДНЫХ РЕЛЬСОВ
ОБЩИЕ ТРЕБОВАНИЯ
Technical diagnostics. Evaluation of a status of long used
rails by acoustic method. General requirements
ГОСТ Р 56186-2014
Дата введения
1 января 2016 года
1. Разработан Открытым акционерным обществом "Научно-исследовательский центр контроля и диагностики технических систем" (АО "НИЦ КД"), Закрытым акционерным обществом "Специальное конструкторское бюро "Инфотранс" (ЗАО "СКБ "Инфотранс").
2. Внесен Техническим комитетом по стандартизации ТК 132 "Техническая диагностика".
3. Утвержден и введен в действие
Приказом Федерального агентства по техническому регулированию и метрологии от 24 октября 2014 г. N 1411-ст.
4. Введен впервые.
Правила применения настоящего стандарта установлены в ГОСТ Р 1.0-2012
(раздел 8). Информация об изменениях к настоящему стандарту публикуется в ежегодном (по состоянию на 1 января текущего года) информационном указателе "Национальные стандарты", а официальный текст изменений и поправок - в ежемесячном информационном указателе "Национальные стандарты". В случае пересмотра (замены) или отмены настоящего стандарта соответствующее уведомление будет опубликовано в ближайшем выпуске информационного указателя "Национальные стандарты". Соответствующая информация, уведомление и тексты размещаются также в информационной системе общего пользования - на официальном сайте Федерального агентства по техническому регулированию и метрологии в сети Интернет (gost.ru).
Приоритетным направлением развития железнодорожного транспорта Российской Федерации является разработка и внедрение ресурсосберегающих технологий, обеспечивающих его эффективность и повышение рентабельности.
Одним из решений этой задачи является вторичное эффективное использование старогодных рельсов, снимаемых при ремонте и обновлении пути.
Изучение технических возможностей существующих методов и средств неразрушающего контроля старогодных рельсов показывает, что большинство имеющихся в них дефектов из-за малой площади их поверхности и неблагоприятного расположения находится вне чувствительности стандартных магнитного и ультразвукового методов контроля, т.к. площадь надежно выявляемого трещиноподобного дефекта обычно не менее 12% - 15% площади поперечного сечения головки рельса, а его оптимальное местоположение должно быть в середине головки рельса.
В целях более полного вторичного использования рельсов необходимо разработать метод и средства контроля, которые позволили бы выявлять указанные трещины на ранней стадии их развития, а также определять с достаточной точностью их глубину залегания. Для принятия своевременного решения о возможности вторичного использования рельсов необходимо контролировать развитие трещин и определять допустимую глубину их залегания.
Такую возможность может предоставить современный метод физической акустики, основанный на надежно установленных зависимостях скорости распространения упругих волн в материале рельсов с его структурной поврежденностью на стадиях до появления макротрещин
[1] -
[3].
Настоящий стандарт разработан с целью обеспечения методической основы применения акустического метода определения состояния материала длительно эксплуатирующихся (старогодных) рельсов с целью оперативного принятия решения о возможности их дальнейшей эксплуатации, ремонта или необходимости утилизации.
Настоящий стандарт распространяется на акустический метод определения состояния материала старогодных рельсов типов Р50, Р65 и Р75 по
ГОСТ Р 51685.
Настоящий стандарт устанавливает основные требования к порядку определения технического состояния материала старогодных рельсов с использованием поверхностных акустических волн Рэлея, распространяющихся вдоль поверхности катания рельсов.
Устанавливаемый настоящим стандартом метод может быть применен как при лабораторных исследованиях, так и в стендовых условиях контроля состояния материала старогодных рельсов.
В настоящем стандарте использованы нормативные ссылки на следующие стандарты:
ГОСТ 12.1.001-89 Система стандартов безопасности труда. Ультразвук. Общие требования безопасности
ГОСТ 12.1.004-91 Система стандартов безопасности труда. Пожарная безопасность. Общие требования
ГОСТ 12.1.019-79 Система стандартов безопасности труда. Электробезопасность. Общие требования и номенклатура видов защиты
ГОСТ 12.1.038-82 Система стандартов безопасности труда. Электробезопасность. Предельно допустимые значения напряжений прикосновения и токов
ГОСТ 12.2.003-91 Система стандартов безопасности труда. Оборудование производственное. Общие требования безопасности
ГОСТ 12.2.013.0-91 Система стандартов безопасности труда. Машины ручные электрические. Общие требования безопасности и методы испытаний
ГОСТ 12.3.002-75 Система стандартов безопасности труда. Процессы производственные. Общие требования безопасности
ГОСТ 2789-73 Шероховатость поверхности. Параметры и характеристики
ГОСТ 6616-94 Преобразователи термоэлектрические. Общие технические условия
| | ИС МЕГАНОРМ: примечание. Взамен ГОСТ 6651-94 Приказом Ростехрегулирования от 15.12.2009 N 1120-ст с 1 января 2011 года введен в действие ГОСТ 6651-2009. | |
ГОСТ 6651-94 Термопреобразователи сопротивления. Общие технические требования и методы испытаний
ГОСТ 18576-96 Контроль неразрушающий. Рельсы железнодорожные. Методы ультразвуковые
ГОСТ 26266-90 Контроль неразрушающий. Преобразователи ультразвуковые. Общие технические требования
Примечание. При пользовании настоящим стандартом целесообразно проверить действие ссылочных стандартов в информационной системе общего пользования - на официальном сайте Федерального агентства по техническому регулированию и метрологии в сети Интернет или по ежегодному информационному указателю "Национальные стандарты", который опубликован по состоянию на 1 января текущего года, и по выпускам ежемесячного информационного указателя "Национальные стандарты" за текущий год. Если заменен ссылочный стандарт, на который дана недатированная ссылка, то рекомендуется использовать действующую версию этого стандарта с учетом всех внесенных в данную версию изменений. Если заменен ссылочный стандарт, на который дана датированная ссылка, то рекомендуется использовать версию этого стандарта с указанным выше годом утверждения (принятия). Если после утверждения настоящего стандарта в ссылочный стандарт, на который дана датированная ссылка, внесено изменение, затрагивающее положение, на которое дана ссылка, то это положение рекомендуется применять без учета данного изменения. Если ссылочный стандарт отменен без замены, то положение, в котором дана ссылка на него, рекомендуется применять в части, не затрагивающей эту ссылку.
3. Термины, определения, обозначения и сокращения
3.2. В настоящем стандарте применены следующие условные обозначения:
| - | результат однократного измерения задержки импульса поверхностной акустической волны Рэлея в выбранной точке измерений поверхности катания старогодного рельса, нс; |
| - | результат однократного измерения задержки импульса поверхностной акустической волны Рэлея в выбранной точке измерений поверхности катания нового рельса, нс; |
N | - | число измерений задержки импульса поверхностной акустической волны Рэлея в выбранной точке измерений поверхности катания рельса; |
| - | усредненная задержка импульса поверхностной акустической волны Рэлея в зоне выбранной точки измерений поверхности катания старогодного рельса, нс; |
| - | приведенная задержка импульса поверхностной акустической волны Рэлея в выбранной точке измерений поверхности катания старогодного рельса, нс; |
| - | усредненная задержка импульса поверхностной акустической волны Рэлея в выбранной точке измерений поверхности катания нового рельса, нс; |
| - | приведенная задержка импульса поверхностной акустической волны Рэлея в выбранной точке измерений поверхности катания нового рельса, нс; |
T | - | температура, при которой проводилось измерение задержки, °C; |
| - | относительное изменение задержки импульса поверхностной акустической волны Рэлея в выбранной точке измерений поверхности катания старогодного рельса; |
| - | предельное значение относительного изменения задержки импульса поверхностной акустической волны Рэлея в выбранной точке измерений поверхности катания старогодного рельса; |
kT | - | термоакустический коэффициент, равный относительному изменению задержки импульса поверхностной акустической волны Рэлея при изменении температуры на 1 °C, 1/°C. |
3.3. В настоящем стандарте применены следующие сокращения:
ТСР - техническое состояние рельса;
ПАВР - поверхностная акустическая волна Рэлея;
ПЭП - пьезоэлектрический преобразователь;
СИ - средство измерений.
4.1. Метод основан на том, что в процессе длительной эксплуатации рельсов в их подповерхностном слое развивается система микротрещин, не обнаруживаемая классическими методами неразрушающего контроля, но приводящая к изменению скорости распространения ПАВР.
4.2. Метод реализуется с помощью ручного способа ультразвукового контактного прозвучивания с применением раздельно-совмещенных ПЭП по
ГОСТ 26266.
4.3. Оптимальный вид излучаемого сигнала - "радиоимпульс" с высокочастотным (ультразвуковым) заполнением, плавной огибающей и эффективной длительностью (на уровне 0,6 максимальной амплитуды) 2 - 4 периода основной частоты.
4.4. Определяемые показатели ТСР являются усредненными по пути распространения импульса ПАВР.
5. Требования безопасности
5.1. К выполнению измерений допускают операторов, обладающих навыками эксплуатации оборудования ультразвукового контроля, умеющих пользоваться национальными и отраслевыми нормативными и техническими документами по акустическим методам контроля, прошедших обучение работе с применяемыми СИ и аттестованных на знание правил безопасности в соответствующей отрасли промышленности.
5.3. Измерения проводят в соответствии с требованиями безопасности, указанными в инструкции по эксплуатации аппаратуры, входящей в состав используемых СИ.
5.4. Помещения для проведения измерений должны соответствовать требованиям
[4] и
[5].
5.5. При организации работ по определению ТСР должны быть соблюдены требования пожарной безопасности по
ГОСТ 12.1.004.
6. Требования к средствам измерений
6.1. В качестве СИ используют установки, собранные из серийной аппаратуры, или специализированные ультразвуковые приборы (далее - приборы), сертифицированные и поверяемые в установленном порядке.
6.2. СИ должны обеспечивать относительную погрешность определения задержки импульса ПАВР не более 10-4.
6.3. Эксплуатационные характеристики приборов должны соответствовать требованиям технических условий и настоящего стандарта.
6.4. В качестве ПЭП используют раздельно-совмещенные пьезопреобразователи типа П122 по
ГОСТ 26266, состоящие из объединенных в одном корпусе излучателя и приемника продольных акустических волн.
| | ИС МЕГАНОРМ: примечание. Взамен ГОСТ 6651-94 Приказом Ростехрегулирования от 15.12.2009 N 1120-ст с 1 января 2011 года введен в действие ГОСТ 6651-2009. | |
6.5. Для измерения температуры поверхности рельсов используют контактные термометры по ГОСТ 6651 или по
ГОСТ 6616 типа "ТК" с погрешностью измерения температуры не более 1 °C в диапазоне температур от 0 °C до 60 °C.
6.6. Вспомогательные устройства и материалы
6.6.1. Шлифовальный инструмент для подготовки поверхности рельсов - по
ГОСТ 12.2.013.0.
6.6.3. В качестве контактных применяют достаточно густые текучие, хорошо проводящие ультразвук жидкости (например, глицерин по
ГОСТ 6259; автолы 6, 10, 18; компрессорное и другие аналогичные им масла по
ГОСТ 32), обладающие смачивающими свойствами по отношению к поверхности рельса и контактной поверхности применяемого ПЭП.
7.1. На поверхности рельсов не должно быть трещин, сколов, отслоений и других макродефектов, обнаруживаемых методами классической ультразвуковой дефектоскопии.
7.2. Шероховатость поверхности в точке измерений - не ниже Ra 2,5
(ГОСТ 2789).
Примечание. Метод не обеспечивает требуемую точность определения ТСР, если шероховатость его поверхности Ra превышает 2,5 мкм по
ГОСТ 2789.
7.3. Температура поверхности рельса в зоне измерения должна быть в пределах от 0 °C до 60 °C.
7.4. Перед установкой ПЭП поверхность рельса очищают от грязи, окалины, ржавчины и обезжиривают.
8. Порядок подготовки к проведению измерений
8.1. Определяют расположение точек измерений.
8.2. Размеры зон измерений должны в полтора раза или более превышать соответствующие размеры контактной поверхности ПЭП.
8.3. Наносят слой контактной жидкости на подготовленную поверхность рельса.
8.4. Включают прибор, проверяют его работоспособность, выводя на экран видеоконтрольного устройства временную развертку принимаемых сигналов.
8.5. Проверяют отсутствие на временной развертке импульсов, вызванных наличием в зоне измерения дополнительных отражающих границ (трещин, царапин и др.).
9. Порядок проведения измерений и правила
обработки измерений
9.1. Измеряют температуру поверхности катания старогодного рельса в зонах выбранных точек измерений.
9.2. В выбранных точках проводят измерения задержек импульсов ПАВР и записывают их результаты.
9.3. Измерения по 9.2 повторяют три-пять раз.
9.4. Для каждой зоны определяют средние значения задержек импульсов ПАВР по формуле

. (1)
| | ИС МЕГАНОРМ: примечание. Нумерация пунктов дана в соответствии с официальным текстом документа. | |
9.4. Рассчитывают коэффициент вариации результатов измерений задержек импульса ПАВР по формуле

, (2)
где

- среднее квадратическое отклонение, вычисляемое по формуле

. (3)
9.5. Если

, то в качестве расчетного значения задержки импульса ПАВР выбирают полученное значение

, в противном случае число измерений N увеличивают и измерения по
9.2 -
9.4 повторяют до тех пор, пока коэффициент вариации

не достигнет значения 10
-4 или менее.
Примечание. При невозможности обеспечить величину коэффициента вариации

не более 10
-4 принимают решение об оценке ТСР с пониженной точностью или о невозможности измерений.
9.6. Рассчитывают приведенные задержки

по формуле

. (4)
Примечание. Для обычных материалов рельсов и призмы преобразователя, выполненной из оргстекла, значение kT можно принять равным 2,3·10-41/°C. При повышенных требованиях к точности определения ТСР значение kT определяют экспериментально.
9.7. Измерения по
9.1 -
9.5 повторяют для нового рельса.
9.8. Рассчитывают приведенные задержки

формуле

. (5)
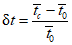
9.9. Рассчитывают значение

по формуле

. (6)
9.10. Сравнивают значение

с предельно допустимым значением

, установленным в ходе предварительных экспериментальных исследований.
9.11. Заключение о состоянии материала старогодного рельса делают на основании оценки близости

предельному значению

:
- при

ТСР считается удовлетворительным,
- при

ТСР считается неудовлетворительным.
10. Правила оформления результатов измерений
Результаты измерений фиксируют в протоколе, форма которого приведена в Приложении А.
(рекомендуемое)
ФОРМА ПРОТОКОЛА ИЗМЕРЕНИЙ
"УТВЕРЖДАЮ"
Руководитель
__________________________
(наименование организации)
________________ ___________________
(личная подпись) (инициалы, фамилия)
"___"_______________ 20__ г.
ПРОТОКОЛ
определения состояния рельса
_______________________________________________________________________
(технический объект, контролируемый участок технического объекта)
1. Дата измерения _____________________________________________________
2. Организация, проводящая измерения __________________________________
3. Владелец рельса ____________________________________________________
4. Данные об объекте:
назначение ________________________________________________________
завод-изготовитель, технология изготовления рельса ________________
состояние поверхности катания рельса ______________________________
дополнительные сведения об объекте ________________________________
5. Эскиз объекта с указанием местоположения зон измерений и их
нумерации (приводится в приложении к протоколу) ___________________________
6. Температура поверхности катания рельса (°C) ________________________
7. Наибольшее значение коэффициента вариации задержек импульса ПАВР ___
____________________________________________________________________
Таблица А.1
Результаты измерений в зонах
N зоны измерения | 1 | 2 | 3 | ... | ... |
Задержка импульса ПАВР, нс | | | | | |
Значение параметра  | | | | | |
ТСР в зоне измерений | | | | | |
Измерения выполнил оператор ________________ ___________________
(личная подпись) (инициалы, фамилия)
Руководитель лаборатории
неразрушающего контроля ________________ ___________________
(личная подпись) (инициалы, фамилия)
[1] Муравьев В.В. Неразрушающий контроль структурно-механического состояния рельсов текущего производства по скорости ультразвуковых волн/Муравьев В.В., Бояркин Е.В.//Дефектоскопия. - 2003 - N 3. - С. 24 - 31.
[2] Муравьев В.В. Скорость звука и структура сталей и сплавов/Муравьев В.В., Зуев Л.В, Комаров Л.К. - Новосибирск: Наука, 1996. - 184 с.
[3] Углов А.Л. Акустический контроль оборудования при изготовлении и эксплуатации/Углов А.Л., Ерофеев В.И., Смирнов А.Н. - М.: Наука, 2009. - 280 с.
[4]
СНиП II-М.2-72 Общественные здания и сооружения. Нормы проектирования
[5]
СН 245-71 Санитарные нормы проектирования промышленных предприятий