Главная // Актуальные документы // ГОСТ Р (Государственный стандарт)СПРАВКА
Источник публикации
М.: Стандартинформ, 2016
Примечание к документу
Документ
введен в действие с 01.07.2016.
Название документа
"ГОСТ Р 56667-2015. Национальный стандарт Российской Федерации. Техническая диагностика. Акустический метод определения технического состояния тормозных дисков скоростного подвижного состава. Общие требования"
(утв. и введен в действие Приказом Росстандарта от 22.10.2015 N 1618-ст)
"ГОСТ Р 56667-2015. Национальный стандарт Российской Федерации. Техническая диагностика. Акустический метод определения технического состояния тормозных дисков скоростного подвижного состава. Общие требования"
(утв. и введен в действие Приказом Росстандарта от 22.10.2015 N 1618-ст)
Утвержден и введен в действие
по техническому регулированию
и метрологии
от 22 октября 2015 г. N 1618-ст
НАЦИОНАЛЬНЫЙ СТАНДАРТ РОССИЙСКОЙ ФЕДЕРАЦИИ
ТЕХНИЧЕСКАЯ ДИАГНОСТИКА
АКУСТИЧЕСКИЙ МЕТОД ОПРЕДЕЛЕНИЯ ТЕХНИЧЕСКОГО СОСТОЯНИЯ
ТОРМОЗНЫХ ДИСКОВ СКОРОСТНОГО ПОДВИЖНОГО СОСТАВА
ОБЩИЕ ТРЕБОВАНИЯ
Technical diagnostics. Acoustic method for assessing
conditions of high-speed wagons. General requirements
ГОСТ Р 56667-2015
Группа Т59
Дата введения
1 июля 2016 года
1 РАЗРАБОТАН Открытым акционерным обществом "Научно-исследовательский центр контроля и диагностики технических систем" (АО "НИЦ КД") при участии Нижегородского государственного технического университета им. Р.Е. Алексеева (НГТУ им. Р.Е. Алексеева)
2 ВНЕСЕН Техническим комитетом по стандартизации ТК 132 "Техническая диагностика"
3 УТВЕРЖДЕН И ВВЕДЕН В ДЕЙСТВИЕ
Приказом Федерального агентства по техническому регулированию и метрологии от 22 октября 2015 г. N 1618-ст
4 ВВЕДЕН ВПЕРВЫЕ
Правила применения настоящего стандарта установлены в ГОСТ Р 1.0-2012 (раздел 8). Информация об изменениях к настоящему стандарту публикуется в ежегодном (по состоянию на 1 января текущего года) информационном указателе "Национальные стандарты", а официальный текст изменений и поправок - в ежемесячном информационном указателе "Национальные стандарты". В случае пересмотра (замены) или отмены настоящего стандарта соответствующее уведомление будет опубликовано в ближайшем выпуске ежемесячного информационного указателя "Национальные стандарты". Соответствующая информация, уведомление и тексты размещаются также в информационной системе общего пользования - на официальном сайте Федерального агентства по техническому регулированию и метрологии в сети Интернет (www.gost.ru)
Определение фактического технического состояния материала ответственных деталей подвижного состава железнодорожного транспорта - одна из самых насущных проблем, от решения которой напрямую зависит безопасность эксплуатации любого оборудования, технического устройства или конструкции. К числу таких узлов конструкции железнодорожного подвижного состава, непосредственно влияющих на безопасность движения и требующих повышенного внимания, являются тормозные диски. Для обеспечения безопасной эксплуатации недопустимым является наличие трещин в тормозном диске. Зарождению трещины предшествуют структурные изменения, связанные с внешним воздействием температуры, переменных нагрузок, сил трения. Это приводит к изменению физико-механических характеристик материала, связанному с накоплением рассеянных микроповреждений, не обнаруживаемых традиционными методами неразрушающего контроля.
Настоящий стандарт разработан с целью обеспечения методической основы применения акустического метода для определения технического состояния материала тормозных дисков скоростного подвижного состава с целью оценки возможности их дальнейшей безопасной эксплуатации.
Техническое состояние материала тормозного диска определяется по двум критериям - величине остаточных напряжений и значению уровня эксплуатационной поврежденности, используемой в расчетных методах механики поврежденной среды.
Настоящий стандарт устанавливает общие требования к методу выполнения комплекса акустических измерений для определения технического состояния материала тормозных дисков скоростного подвижного состава с целью возможности их дальнейшей эксплуатации.
Настоящий документ устанавливает:
- содержание и порядок проведения процедур измерений при акустическом контроле технического состояния материала тормозных дисков;
- требования к аппаратуре и программному обеспечению, применяемым в процессе измерений;
- требования к метрологическому обеспечению метода и используемой аппаратуре;
- требования к оформлению результатов контроля.
Примечание - Настоящий стандарт не распространяется на тормозные диски производства фирмы "KNORR-BREMSE".
В настоящем стандарте использованы нормативные ссылки на следующие стандарты:
ГОСТ 12.1.001-89 Система стандартов безопасности труда. Ультразвук. Общие требования безопасности
ГОСТ 12.1.004-91 Система стандартов безопасности труда. Пожарная безопасность. Общие требования
ГОСТ 12.1.038-82 Система стандартов безопасности труда. Электробезопасность. Предельно допустимые значения напряжений прикосновения и токов
ГОСТ 12.2.003-91 Система стандартов безопасности труда. Оборудование производственное. Общие требования безопасности
ГОСТ 12.2.013.3-2002 Машины ручные электрические. Частные требования безопасности и методы испытаний шлифовальных, дисковых шлифовальных и полировальных машин с вращательным движением рабочего инструмента
ГОСТ 12.3.002-75 Система стандартов безопасности труда. Процессы производственные. Общие требования безопасности
ГОСТ 427-75 Линейки измерительные металлические. Технические условия
ГОСТ 2789-73 Шероховатость поверхности. Параметры и характеристики
ГОСТ 6616-94 Преобразователи термоэлектрические. Общие технические условия
ГОСТ 10587-84 Смолы эпоксидно-диановые неотвержденные. Технические условия
ГОСТ 20415-82 Контроль неразрушающий. Методы акустические. Общие положения
ГОСТ 30489-97 (ЕН 473:1992) Квалификация и сертификация персонала в области неразрушающего контроля. Общие требования
ГОСТ Р 8.563-2009 Государственная система обеспечения единства измерений. Методики (методы) измерений
ГОСТ Р 12.1.019-2009 Система стандартов безопасности труда. Электробезопасность. Общие требования и номенклатура видов защиты
ГОСТ Р 55725-2013 Контроль неразрушающий. Преобразователи ультразвуковые. Общие технические требования
ГОСТ Р ИСО 5725-2-2002 Точность (правильность и прецизионность) методов и результатов измерений. Часть 2. Основной метод определения повторяемости и воспроизводимости стандартного метода измерений
Примечание - При пользовании настоящим стандартом целесообразно проверить действие ссылочных стандартов в информационной системе общего пользования - на официальном сайте Федерального агентства по техническому регулированию и метрологии в сети Интернет или по ежегодному информационному указателю "Национальные стандарты", который опубликован по состоянию на 1 января текущего года, и по выпускам ежемесячного информационного указателя "Национальные стандарты" за текущий год. Если заменен ссылочный стандарт, на который дана недатированная ссылка, то рекомендуется использовать действующую версию этого стандарта с учетом всех внесенных в данную версию изменений. Если заменен ссылочный стандарт, на который дана датированная ссылка, то рекомендуется использовать версию этого стандарта с указанным выше годом утверждения (принятия). Если после утверждения настоящего стандарта в ссылочный стандарт, на который дана датированная ссылка, внесено изменение, затрагивающее положение, на которое дана ссылка, то это положение рекомендуется применять без учета данного изменения. Если ссылочный стандарт отменен без замены, то положение, в котором дана ссылка на него, рекомендуется применять в части, не затрагивающей эту ссылку.
3 Обозначения и сокращения
3.1 В настоящем стандарте применены следующие обозначения:
f - номинальная частота используемого пьезопреобразователя, МГц;
tl(i) - задержки k-х отраженных импульсов продольной волны относительно 1-го отраженного импульса при n повторных измерениях, нс, i = 1,..., n;
tl - среднее значение задержки k-го отраженного импульса продольной волны относительно 1-го отраженного импульса, нс;

- задержки
k-х отраженных импульсов продольной волны относительно 1-го отраженного импульса в стандартном образце при
n повторных измерениях, нс,
i = 1,...,
n;

- среднее значение
k-го отраженного импульса продольной волны относительно 1-го отраженного импульса в стандартном образце, нс;

- значение задержки
tl, приведенное к 20 °C, нс;

- значение задержки

, приведенное к 20 °C, нс;

- задержки
k-х отраженных импульсов поперечной волны относительно 1-го отраженного импульса при поляризации волны в тангенциальном направлении при
n повторных измерениях, нс,
i = 1,...,
n;

- среднее значение
k-го отраженного импульса поперечной волны относительно 1-го отраженного импульса при поляризации волны в тангенциальном направлении, нс;

- задержки
k-х отраженных импульсов поперечной волны относительно 1-го отраженного импульса при поляризации волны в тангенциальном направлении в стандартном образце при
n повторных измерениях, нс,
i = 1,...,
n;

- среднее значение
k-го отраженного импульса поперечной волны относительно 1-го отраженного импульса при поляризации волны в тангенциальном направлении в стандартном образце, нс;

- значение задержки

, приведенное к 20 °C, нс;

- значение задержки

, приведенное к 20 °C, нс;

- задержки
k-х отраженных импульсов поперечной волны относительно 1-го отраженного импульса при поляризации волны в радиальном направлении при
n повторных измерениях, нс,
i = 1,...,
n;

- среднее значение
k-го отраженного импульса поперечной волны относительно 1-го отраженного импульса при поляризации волны в радиальном направлении, нс;

- задержки
k-х отраженных импульсов поперечной волны относительно 1-го отраженного импульса при поляризации волны в радиальном направлении в стандартном образце при
n повторных измерениях, нс,
i = 1,...,
n;

- среднее значение
k-го отраженного импульса поперечной волны относительно 1-го отраженного импульса при поляризации волны в радиальном направлении в стандартном образце, нс;

- значение задержки

, приведенное к 20 °C, нс;

- значение задержки

, приведенное к 20 °C, нс;
k1, k2, k3, k4 - упругоакустические коэффициенты, МПа;
kTs, kTl, kTR - термоакустические коэффициенты, °C-1:
kTs - относительное изменение скорости сдвиговой волны при изменении температуры на 1 °C;
kTl - то же для продольной волны;
kTR - то же для рэлеевской волны.

- тангенциальное остаточное напряжение, МПа;

- радиальное остаточное напряжение, МПа;

- предел текучести материала объекта контроля, МПа;

- задержки импульсов рэлеевской волны при распространении волны в тангенциальном направлении при
n повторных измерениях, нс,
i = 1, ...,
n;

- среднее значение задержка импульса рэлеевской волны при распространении волны в тангенциальном направлении, нс;

- задержки импульсов рэлеевской волны при распространении волны в радиальном направлении при
n повторных измерениях, нс,
i = 1,...,
n;

- среднее значение задержка импульса рэлеевской волны при распространении волны в радиальном, нс;

- значения задержки импульса рэлеевской волны относительно для стандартного образца при
n повторных измерениях, нс,
i = 1,...,
n;

- среднее значение импульса рэлеевской волны для стандартного образца, нс;

- значение задержки

, приведенное к 20 °C, нс;

- значение задержки

, приведенное к 20 °C, нс;

- значение задержки

, приведенное к 20 °C, нс;
T - температура поверхности диска, °C;
T0 - температура поверхности стандартного образца, °C;

- размахи импульсов рэлеевской волны, распространяющихся в тангенциальном направлении при
n повторных измерениях,
i = 1,...,
n;

- среднее значение размахов импульсов рэлеевской волны, распространяющихся в тангенциальном направлении;
Rr(i) - размахи импульсов рэлеевской волны, распространяющейся в радиальном направлении при n повторных измерениях, i = 1, ..., n;
Rr - среднее значение размахов импульсов рэлеевской волны, распространяющихся в радиальном направлении;
R0(i) - размахи импульсов рэлеевской волны, распространяющейся в стандартном образце при n повторных измерениях, i = 1,..., n;
R0 - среднее значение размахов импульсов рэлеевской волны, распространяющихся в стандартном образце;

,

,

- характеристики поврежденности материала диска;
N - пробег вагона на момент диагностирования материала тормозного диска, тыс. км;
N* - фактический ресурс тормозного диска - пробег вагона до момента появления опасного макродефекта в материале тормозного диска, тыс. км.
3.2 В настоящем стандарте применены следующие сокращения:
ТД - тормозной диск;
СК - средство контроля;
ПЭП - пьезоэлектрический преобразователь;
УИ - ультразвуковой импульс;
ПАВР - поверхностные акустические волны Рэлея;
РЭ - руководство по эксплуатации;
СОП - стандартный образец предприятия;
ЦТС - цирконат титанат свинца.
4.1 Метод основан на существующей зависимости между параметрами распространения упругих поверхностных и объемных волн и уровнем микроповреждений и остаточных напряжений в структуре материала ТД, возникающих в процессе их эксплуатации.
4.2 В методе используется ручной способ ультразвукового эхо-импульсного контактного прозвучивания с применением приемо-передающих (совмещенных или раздельно-совмещенных) ПЭП волн различных типов по
ГОСТ Р 55725.
4.3 Контроль осуществляется по технологической документации, разработанной в соответствии с требованиями
ГОСТ 20415.
4.4 Схема прозвучивания соответствует эхо-методу ультразвукового контроля. Способ возбуждения упругих колебаний - контактный. Вид излучаемого сигнала - радиоимпульс с высокочастотным (ультразвуковым) заполнением, с плавной огибающей и эффективной длительностью (на уровне 0,6 от максимальной амплитуды) от 2 до 4 периодов основной частоты.
4.5 Измеряемые механические напряжения являются усредненными по толщине материала и площади ультразвукового пучка.
4.6 Измеряемые характеристики поврежденности являются усредненными по объему распространения поверхностной волны, определяемому базой преобразователя (расстоянием между излучателем и приемником), номинальной частотой и размерами его активных элементов.
4.7 Непосредственно измеряемыми величинами являются задержки (время распространения в материале) и размахи акустических сигналов.
4.8 Влияние температуры на точность измерения информативных акустических параметров учитывают с помощью соответствующих термоакустических коэффициентов, имеющих размерность °C-1.
Их значения содержатся в базе данных СК или могут быть получены экспериментально в соответствии с
приложением А.
4.9 Характеристики поврежденности определяют на основании обработки массивов информативных акустических параметров с использованием результатов предварительных экспериментов.
4.10 Оценка остаточного ресурса материала ТД в зоне измерений проводится на основе использования кривых, аппроксимирующих зависимости характеристик накопленной поврежденности от относительного пробега, полученных в ходе предварительных экспериментов.
4.11 Рекомендуемый настоящим стандартом метод может служить основой для составления методики выполнения измерений по
ГОСТ Р 8.563.
4.12 При разработке методики выполнения измерений необходима ее верификация на основании представительной базы испытанных ТД.
5 Требования безопасности
5.1 К выполнению измерений допускают персонал, прошедший обучение, повышение квалификации в установленные сроки сертифицированный в системе добровольной сертификации на соответствующий уровень квалификации по ГОСТ 30489 согласно
[1].
5.3 Измерения проводят в соответствии с требованиями безопасности, указанными в инструкции по эксплуатации аппаратуры, входящей в состав используемых СК.
5.4 Помещения для проведения измерений должны соответствовать требованиям норм
[2],
[3].
5.5 При организации работ по контролю технического состояния ТД должны быть соблюдены требования пожарной безопасности по
ГОСТ 12.1.004.
6 Требования к средствам измерений
6.1 В качестве СК используют установки, скомпонованные из серийной аппаратуры, или специализированные ультразвуковые приборы, сертифицированные и поверяемые в установленном порядке.
6.2 В своем составе СК должны содержать следующие ПЭП:
- раздельно-совмещенный преобразователь ПАВР типа П122-3,0 по
ГОСТ Р 55725 или специализированные преобразователи, приведенные в
[4],
[5];
- прямой совмещенный преобразователь продольных волн типа П111-5,0 по
ГОСТ Р 55725;
- прямой совмещенный преобразователь поперечных волн типа П111-5,0 по
ГОСТ Р 55725, например, преобразователи типа V 155-RB, V155-RM, V156-RM или специально изготовленные по технологии, приведенной в
приложении Б.
6.3 Вспомогательные устройства и материалы
6.3.1 Шлифовальный инструмент для подготовки поверхности по
ГОСТ 12.2.013.3.
6.3.2 Термопреобразователь поверхностный типа ТПП 13 или ТПП 10 по
ГОСТ 6616 для измерения температуры поверхности ТД.
6.3.3 Обезжиривающая жидкость (спирт по
ГОСТ 17299 или ацетон по
ГОСТ 2768) для подготовки поверхности.
6.3.4 Контактная жидкость (индустриальное масло марок И-30А, И-40А, И-50А по
ГОСТ 20799, вода).
6.3.5 Контактная жидкость для ввода поперечных колебаний (эпоксидная смола по
ГОСТ 10587, жидкость SWC, мед), вязкость которой при температуре измерения должна соответствовать вязкости эпоксидной смолы при температуре 25 °C: от 12 до 25 кг/(м·с) по
ГОСТ 10587.
6.3.6 Емкости для хранения контактной жидкости, кисти для нанесения контактной жидкости на поверхность изделий, ветошь для протирки ультразвуковой аппаратуры и рук оператора, линейка металлическая 500 мм по
ГОСТ 427 для разметки ТД, маркер или мел для нанесения меток на проконтролированные изделия, журнал для ведения протокола контроля.
6.4 СК должны обеспечивать проведение измерений эхо-методом с использованием УИ с плавной огибающей.
6.5 СК должны обеспечивать дискретизацию ультразвукового сигнала с частотой, превосходящей не менее чем в 10 раз максимальную эффективную частоту используемого ПЭП.
6.6 СК должны содержать аналого-цифровые преобразователи с разрядностью не менее 12.
6.7 Первичная акустическая информация для каждого измерения должна постоянно храниться на внешних носителях, защищенных от несанкционированного доступа.
6.8 Документация СК должна содержать методику выполнения измерений, а также документы, устанавливающие:
- назначение и область применения СК;
- состав и основные характеристики средств аппаратного и программного обеспечения, включающие погрешность измерения параметров УИ;
- методы и средства достижения совместимости СК, в том числе информационной, электрической, энергетической, программной, конструкторской, эксплуатационной.
6.9 Описание функциональных возможностей СК в эксплуатационных, конструкторских и программных документах должно содержать характеристики аппаратного и программного обеспечения.
6.10 Эксплуатационные характеристики СК должны соответствовать требованиям технических условий и настоящего стандарта.
6.11 При определении уровня эксплуатационной поврежденности применяют СОП с исходной структурой материала ТД. Каждый СОП должен быть аттестован и иметь свидетельство об аттестации и паспорт. СОП должны проходить периодическую, а также в специальных случаях внеочередную аттестацию (ведомственную поверку) в установленном в отрасли порядке.
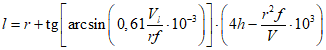
6.12 Расстояние l от центра СОП до боковых граней должно быть не менее значения, вычисляемого по формуле

, (1)
где r - радиус излучателя ПЭП;
Vl - скорость упругих продольных волн в материале ТД;
h - толщина венца ТД.
7 Требования к объектам контроля
7.1 Материал ТД не должен содержать недопустимых расслоений, включений и других видимых дефектов.
7.2 Контролю подлежат рабочие поверхности (поверхности трения) венца ТД.
7.3 Зоны контроля выбирают равномерно вдоль отрезков радиусов в пределах рабочих поверхностей с угловым интервалом 45°. Количество зон контроля на каждом радиусе не менее трех.
7.4 Шероховатость поверхности
Ra ТД в зонах измерений - не более 2,5 мкм по
ГОСТ 2789.
Примечание - Метод не гарантирует требуемую точность определения остаточных напряжений и поврежденности, если шероховатость поверхности ТД К в зонах измерений Ra превышает 2,5 мкм.
7.5 Температура поверхности ТД должна быть в пределах от 5 °C до 40 °C.
7.6 Перед установкой ПЭП поверхность ТД очищают от грязи, окалины, ржавчины и обезжиривают.
7.7 Расстояние
l от точки ввода акустической волны до боковых граней ТД должно быть не менее значения, вычисляемого по
формуле (1).
8 Порядок подготовки к проведению контроля
8.1 Подготовка к контролю должна включать в себя следующие организационно-технические мероприятия:
а) подготовка (при необходимости) поверхности металла к контролю согласно
7.2;
б) обеспечение безопасности работы персонала, осуществляющего контроль, в соответствии с инструкциями по технике безопасности;
в) подготовка к работе СК.
8.2 Подготовка к работе СК должна включать в себя:
а) основные работы по подготовке СК после транспортировки или хранения в соответствии с эксплуатационной документацией на СК;
б) основные работы по монтажу и наладке СК перед проведением контроля в соответствии с эксплуатационной документацией на СК;
в) прокладку (при необходимости) кабельных линий связи между датчиками и измерительным блоком СК;
г) установку параметров СК в исходное состояние;
д) измерение температуры поверхности ТД с пределом допускаемой погрешности +/- 1 °C.
8.3 При отсутствии в базе данных СК необходимых функциональных или регрессионных связей между акустическими параметрами и характеристиками поврежденности перед проведением контроля проводят комплекс предварительных экспериментов.
8.3.1 Как для проведения экспериментов, так и для подготовки СК к контролю применяют СОП.
8.3.2 СОП изготавливают из материала ТД в исходном состоянии. Качество поверхности СОП должно соответствовать требованиям
7.4.
9 Порядок проведения контроля и правила обработки результатов
9.1 Процесс акустического контроля технического состояния материала ТД состоит из следующих этапов:
- проверка работоспособности аппаратуры;
- подготовка зоны измерений;
- проведение измерений преобразователями различных типов;
- определение остаточных напряжений в материале ТД;
- расчет поврежденности материала ТД;
- оценка остаточного эксплуатационного ресурса ТД на основании результатов проведенных измерений.
9.2 Проверка работоспособности СК
Проверка работоспособности проводится в соответствии с РЭ используемых СК.
9.3 Определение остаточных напряжений в материале ТД
9.3.1 С помощью контактного термометра измеряют температуру поверхности СОП T0.
9.3.2 В соответствии с РЭ СК проводят измерения задержек объемных волн

,

,

с переустановкой ПЭП. Число повторных измерений
n должно быть не менее 10.
9.3.3 Для всех измеренных задержек
t0(
i) проводят стандартную процедуру предварительной статистической обработки для исключения промахов с использованием критерия Смирнова в соответствии с
ГОСТ Р ИСО 5725-2.
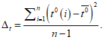
9.3.3.1 Все значения параметров t0(i) располагают в виде вариационного ряда:
t0(1) <= t0(2) <= ... t0(n).
9.3.3.2 Вычисляют среднее значение

(2)
и среднее квадратическое отклонение

(3)
9.3.3.3 Определяют величины u1 и uN по формулам:

, (4)

. (5)
9.3.3.4 Величины
u1 и
un сравнивают с критериальными табличными величинами

, значения которых зависят от числа измерений и доверительной вероятности

.
При
n = 10

составляет:
2,03 для

;
2,18 для

;
2,41 для

.
9.3.3.5 При выполнении условий

, (6)

(7)
значения
t0(1) и
t0(
n) не считаются промахами и для расчета соответствующих средних значений

используют весь вариационный ряд
t0(1), t0(2), ... t0(n).
9.3.3.6 При невыполнении
условия (6) или
условия (7) (или обоих одновременно) соответствующие значения
t0(
i) исключаются из вариационного ряда.
9.3.3.7 После соответствующего уменьшения величины n для дальнейших расчетов используют усеченный вариационный ряд.
9.3.4 После исключения промахов для всех измеренных параметров рассчитывают коэффициенты вариации

.
9.3.5 Проверяют выполнение следующих условий:

, (8)

, (9)

. (10)
9.3.7 Если хотя бы одно из
условий (8) -
(10) не выполнено, то для соответствующего акустического параметра проводят повторные измерения с увеличенным числом
n.
9.3.8 Если увеличение числа измерений
n не приводит к выполнению
условий (8 -
10), то принимают решение о возможности дальнейших измерений с пониженной точностью.
9.3.9 Вычисляют значения

,

,

.
9.3.10 В том случае, если температура поверхности СОП отличается от 20 °C более чем на 10 °C, вместо значений

,

,

в дальнейших расчетах используют приведенные значения

,

,

, которые рассчитывают по формулам

, (11)

, (12)

. (13)
При отсутствии в базе данных СК термоакустических коэффициентов
kTl,
kTS их определяют экспериментально на СОП в соответствии с
приложением А.
9.3.11 С помощью контактного термометра измеряют температуру T поверхности ТД.
9.3.12 Для каждой зоны контроля на поверхности ТД проводят измерения задержек объемных волн
tl,

,

в соответствии с процедурой, описанной в
9.3.2 -
9.3.9.
9.3.13 В том случае, если температура поверхности ТД отличается от 20 °C более чем на 10 °C, вместо значений
tl,

,

в дальнейших расчетах используются приведенные значения

,

,

которые рассчитывают по формулам, аналогичным
формулам (11) -
(13).
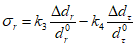
9.3.14 Значения тангенциальных и радиальных остаточных напряжений рассчитывают по формулам:

, (14)

, (15)
9.3.15 Проверяют выполнение соотношения:

, (16)
где k3 < 1 - коэффициент, назначаемый в техническом задании на контроль.
9.3.16 При невыполнении
соотношения (16) остаточные напряжения, возникающие в контролируемых зонах, считаются опасными, и тормозной диск подлежит изъятию из эксплуатации.
9.3.17 При выполнении
соотношения (16) остаточные напряжения, возникающие в контролируемых зонах, считаются безопасными, и оценка технического состояния материала ТД проводится по критерию накопленной эксплуатационной поврежденности в соответствии с процедурой, описанной в
9.4.
9.4 Определение эксплуатационной поврежденности материала ТД
9.4.1 Подключают к СК ПЭП ПАВР.
9.4.2 С помощью контактного термометра измеряют температуру поверхности СОП T0.
9.4.3 В соответствии с РЭ СК проводят измерения задержек

и размахов импульсов
R0(
i) с переустановкой ПЭП. Число повторных измерений
n должно быть не менее 10.
9.4.4 Проводят предварительную статистической обработку значений

для исключения промахов с использованием критерия Смирнова в соответствии с процедурой, описанной в
9.3.3.
9.4.5 После исключения промахов для всех измеренных параметров рассчитывают коэффициенты вариации

.
9.4.6 Проверяют выполнение условия:

. (17)
9.4.8 Если
условие (17) не выполнено, то проводят повторные измерения с увеличенным числом
n.
9.4.9 Если увеличение числа измерений
n не приводит к выполнению
условия (17), то руководитель лаборатории неразрушающего контроля по согласованию с представителем владельца вагона принимает решение о возможности дальнейших измерений с пониженной точностью.
9.4.10 Вычисляют среднее значение

.
9.4.11 В том случае, если температура поверхности СОП отличается от 20 °C более чем на 10 °C, вместо значения

в дальнейших расчетах используются приведенное значение

, которое рассчитывают по формуле

. (18)
9.4.12 Обработку массива значений
R0(
i) для определения среднего значения размаха импульса рэлеевской волны
R0, распространяющейся в СОП, проводят аналогично
9.4.4 -
9.4.10, при этом
неравенство (17) заменяют на

. (19)
9.4.13 Измеряют температуру T поверхности ТД.
9.4.14 Аналогично
п. 9.4.3 проводят измерения задержек

,

и размахов импульсов

,
Rr(
i) для исследуемой зоны ТД.
9.4.15 Обработку результатов измерений для исследуемой зоны ТД проводят аналогично
9.4.4 -
9.4.12.
9.4.16 Рассчитывают характеристики поврежденности

,

по формулам:

, (20)

, (21)
где

,

,

,

- предельные (перед разрушением) значения параметров
Dt,
DR, полученные в ходе предварительных экспериментов.
9.4.17 В качестве величины эксплуатационной поврежденности

выбирают максимальное из значений

,

.
9.4.18 Тормозной диск считается работоспособным, если выполняется неравенство

, (22)
где величина

(обычно находящаяся в диапазоне от 0,8 до 1) определяется в техническом задании на контроль.
9.5 Оценка остаточного ресурса тормозного диска
9.5.1 Оценка остаточного ресурса диска проводится на основании его расчета для зоны контроля, в материале которой обнаружено максимальное значение эксплуатационной поврежденности

.
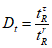
9.5.2 В настоящем стандарте под относительным остаточным ресурсом диска понимают величину

. (23)
9.5.3 Определение относительного остаточного ресурса основано на использовании полученных в ходе предварительных экспериментов зависимостей

, (24)

. (25)
9.5.4 На основании результатов измерения в момент диагностирования характеристик поврежденности

и

с помощью
зависимостей (24) и
(25) определяют значения относительных остаточных ресурсов

и

, как это показано на
рисунке 1.
Рисунок 1 - Определение относительного остаточного ресурса
9.5.5 За величину относительного остаточного ресурса

принимают меньшее из значений

и

.
10 Правила оформления результатов измерений
10.1 Результаты контроля фиксируют в журнале,
форма которого приведена в приложении В.
10.2 Дополнительные сведения, подлежащие записи, порядок оформления и хранения журнала (или заключения) должны устанавливаться в технической документации на контроль.
10.3 Если определение технического состояния материала тормозных дисков являются частью научно-исследовательских работ, результаты измерений должны оформляться в соответствии с общими требованиями и правилами оформления отчетов о научно-исследовательских работах.
10.4 Результаты обследования должны сохраняться до следующего контроля ТД.
(обязательное)
ОПРЕДЕЛЕНИЕ ТЕРМОАКУСТИЧЕСКИХ КОЭФФИЦИЕНТОВ
А.1 Определение термоакустических коэффициентов kTk (kTs, kTl, kTR) проводят на основании исследования регрессионных зависимостей задержек импульсов упругих волн соответствующих типов tk от температуры T СОП.
А.2 Измерение температурных зависимостей проводят на СОП материала ТД в лабораторных условиях.
А.3 Образцы нагревают до температуры 80 °C, затем для равномерного распределения температуры выдерживают при комнатной температуре до 60 °C.
А.4 По мере остывания образца с интервалом 5 °C проводят измерение температуры поверхности образца Ti и соответствующих задержек tk(i) для каждого i-го значения температуры.
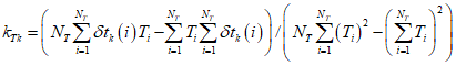
А.5 Термоакустические коэффициенты рассчитывают по формуле

, (А.1)
где

;
NT - общее число измерений для данного образца.
А.6 Измерения проводят на 3 - 5 образцах с усреднением результатов.
(справочное)
ТЕХНОЛОГИЯ ИЗГОТОВЛЕНИЯ ПРЯМЫХ СОВМЕЩЕННЫХ
ПРЕОБРАЗОВАТЕЛЕЙ ПОПЕРЕЧНЫХ ВОЛН
Б.1 Активные элементы оригинальных ПЭП изготавливают из полуфабрикатов пьезокерамики типа ЦТС в форме поляризованных плоских брусков путем их распилки алмазным кругом с охлаждением водной эмульсией во избежание деполяризации.
1 - электроды полуфабриката, полученные путем
вжигания серебра; 2 - направление поляризации;
3 - направление разрезки
Рисунок Б.1 - Схема разрезки поляризованных полуфабрикатов
при изготовлении активных элементов ПЭП
Б.3 Толщину пластинок определяют по формуле

, (Б.1)
где Vt - скорость поперечных упругих волн в пьезокерамике.
Б.4 Полученные пьезопластинки шлифуют, но не полируют, т.к. полировка заметно снижает коэффициент электромеханической связи для преобразователей поперечных волн.
Б.5 На одну из сторон пластинок методом вакуумного напыления наносят контактный слой металла (можно использовать серебро или никель) толщиной не менее 0,5 мкм.
Б.6 На напыленный слой металла электролитически наносят слой меди толщиной не менее 0,1 мм.
Б.7 Конструкция преобразователя изображена на
рисунке Б.2.
1 - пьезопластинка; 2 - контактный слой;
3 - механический демпфер; 4 - металлический экран;
5 - компауд; 6 - высокочастотный кабель
Рисунок Б.2 - Конструкция пьезопреобразователя
поперечных волн
Б.8 Механический демпфер 3 в форме пирамиды изготавливают из пластифицированной эпоксидной смолы, в которую в объемном соотношении 1:1 вносят наполнитель из мелкодисперсной свинцовой стружки или из вольфрамовых шариков со средним диаметром 0,05 мм. Достаточно высокая плотность материала пирамиды обеспечивает ее высокие демпфирующие свойства, а создававшийся градиент плотности по высоте пирамиды способствует уменьшению эффекта паразитных переотражений упругих волн от ее боковых граней.
Б.9 Датчик экранируют цельнометаллическим медным или латунным экраном 4, пространство между которым и демпфером заполняют вязким компаудом 5.
Б.10 Электрические сигналы на датчик подаются через высокочастотный кабель 6. Сигнальный вход к контактной поверхности припаивают сплавом Вуда с температурой плавления 60 °C, при которой невозможна локальная деполяризация пьезопластинки в месте пайки.
Примечание - В отличие от традиционной конструкции пьезопреобразователей, используемых в ультразвуковой дефектоскопии, контактный слой металла наносят лишь на внутреннюю поверхность пьезопластинки. Возможность использования такого варианта преобразователя обусловлена тем, что исследуются лишь проводящие материалы, поэтому достаточно обеспечить контакт корпуса преобразователя с поверхностью исследуемого объекта. Кроме того, отсутствие нижнего слоя контактного покрытия, который обычно приходится защищать защитным слоем, обеспечивает повышенный коэффициент электромеханической связи преобразователя.
(рекомендуемое)
| "УТВЕРЖДАЮ" Руководитель ____________________________ наименование организации |
______________ личная подпись, | _________________ инициалы, фамилия |
"____" __________________ 20__ г. |
ПРОТОКОЛ
определения технического состояния материала венца
тормозного диска вагона спектрально-акустическим методом
___________________________________________________________
(наименование, код объекта контроля)
1 Дата измерения ____________________________________________________
2 Организация, проводящая контроль
____________________________________________________________________
3 Владелец вагона ___________________________________________________
4 Данные об объекте контроля:
дата изготовления ___________________________________________________
завод-изготовитель __________________________________________________
марка материала ____________________________________________________
пробег, тыс. км. _____________________________________________________
дополнительные сведения об объекте контроля __________________________
5 Эскиз объекта контроля с указанием местоположения зон измерений и их
нумерации (в приложении) ____________________________________________
6 Заключение о наличии опасных макродефектов
____________________________________________________________________
7 Заключение о величине остаточных напряжений
____________________________________________________________________
8 Температура поверхности объекта контроля, °C __________________________
9 Значения акустических характеристик в зонах измерений
Таблица 1
Номер зоны измерений | | | | | | | | | | Rt | Rr | R0 |
| | | | | | | | | | | | |
10 Наименование и код базы данных ___________________________________
11 Результаты измерений
Таблица 2
Номер зоны измерений | Значение характеристики поврежденности  | Значение характеристики поврежденности  | Прогноз относительного остаточного ресурса по значению  | Прогноз относительного остаточного ресурса по значению  | Относительный остаточный ресурс  |
| | | | | |
Обследование провел оператор: | ______________ личная подпись | _________________ инициалы, фамилия |
Руководитель лаборатории неразрушающего контроля: | ______________ личная подпись | _________________ инициалы, фамилия |
| | Правила сертификации персонала по неразрушающему контролю технических объектов железнодорожного транспорта |
| | Сооружения промышленных предприятий. Нормы проектирования |
| | Санитарно-защитные зоны и санитарные классификации предприятий, сооружений и иных объектов |
| Углов А.Л., Баталин О.Ю., Матвеев Ю.И., Городов Г.Ф., Панов В.А. Особенности конструкции ультразвуковых рэлеевских пьезопреобразователей для контроля физико-механических характеристик деталей. // Сборка в машиностроении, приборостроении. - 2001, N 8, с. 31 - 33 |
| Углов А.Л., Ерофеев В.И., Смирнов А.Н. Акустический контроль оборудования при изготовлении и эксплуатации. М.: Наука, 2009. 280 с |
УДК 620.172.1:620.179.16:006.354 | | Т59 |
Ключевые слова: техническое состояние, венец тормозного диска, эхо-метод, ультразвуковой импульс, задержки импульсов, размахи импульсов, пьезоэлектрический преобразователь, продольная упругая волна, поверхностная акустическая волна Рэлея |