Главная // Актуальные документы // ГОСТ Р (Государственный стандарт)СПРАВКА
Источник публикации
М.: Стандартинформ, 2016
Примечание к документу
Документ
введен в действие с 1 июля 2016 года.
Название документа
"ГОСТ Р 56666-2015. Национальный стандарт Российской Федерации. Техническая диагностика. Акустический метод диагностирования и оценки остаточного ресурса боковых рам тележек грузовых вагонов. Общие требования"
(утв. и введен в действие Приказом Росстандарта от 22.10.2015 N 1617-ст)
"ГОСТ Р 56666-2015. Национальный стандарт Российской Федерации. Техническая диагностика. Акустический метод диагностирования и оценки остаточного ресурса боковых рам тележек грузовых вагонов. Общие требования"
(утв. и введен в действие Приказом Росстандарта от 22.10.2015 N 1617-ст)
Утвержден и введен в действие
агентства по техническому
регулированию и метрологии
от 22 октября 2015 г. N 1617-ст
НАЦИОНАЛЬНЫЙ СТАНДАРТ РОССИЙСКОЙ ФЕДЕРАЦИИ
ТЕХНИЧЕСКАЯ ДИАГНОСТИКА
АКУСТИЧЕСКИЙ МЕТОД ДИАГНОСТИРОВАНИЯ И ОЦЕНКИ ОСТАТОЧНОГО
РЕСУРСА БОКОВЫХ РАМ ТЕЛЕЖЕК ГРУЗОВЫХ ВАГОНОВ
ОБЩИЕ ТРЕБОВАНИЯ
Technical diagnostics. Acoustic method of diagnostics
and evaluation a residual resource of side frames
trucks wagons. General requirements
ГОСТ Р 56666-2015
Группа Т59
Дата введения
1 июля 2016 года
1 РАЗРАБОТАН Открытым акционерным обществом "Научно-исследовательский центр контроля и диагностики технических систем" (АО "НИЦ КД") при участии Нижегородского государственного технического университета им. Р.Е. Алексеева (НГТУ им. Р.Е. Алексеева)
2 ВНЕСЕН Техническим комитетом по стандартизации ТК 132 "Техническая диагностика"
3 УТВЕРЖДЕН И ВВЕДЕН В ДЕЙСТВИЕ
Приказом Федерального агентства по техническому регулированию и метрологии от 22 октября 2015 г. N 1617-ст
4 ВВЕДЕН ВПЕРВЫЕ
Правила применения настоящего стандарта установлены в ГОСТ Р 1.0-
2012 (раздел 8). Информация об изменениях к настоящему стандарту публикуется в ежегодном (по состоянию на 1 января текущего года) информационном указателе "Национальные стандарты", а официальный текст изменений и поправок - в
ежемесячном информационном указателе "Национальные стандарты". В случае пересмотра (замены) или отмены настоящего стандарта соответствующее уведомление будет опубликовано в ближайшем выпуске ежемесячного информационного указателя "Национальные стандарты". Соответствующая информация, уведомление и тексты размещаются также в информационной системе общего пользования -
на официальном сайте Федерального агентства по техническому регулированию и метрологии в сети Интернет (www.gost.ru)
Боковые рамы тележек грузовых вагонов относятся к одним из наиболее ответственных силовых элементов подвижного состава, разрушение которых приводит к серьезным последствиям.
Совершенствование технологии изготовления позволяет существенно уменьшить вероятность разрушения рам вследствие наличия литейных дефектов, однако опасность появления и развития усталостных трещин остается.
В процессе эксплуатации рамы в структуре ее металла происходит накопление рассеянных повреждений, не обнаруживаемых традиционными методами дефектоскопии, регламентированными
ГОСТ 32699, что приводит к появлению опасной макротрещины, распространение которой в литой структуре происходит очень быстро, в связи с чем желательно не допускать ее возникновения особенно в местах концентрации напряжений.
Технические возможности применяемых на железнодорожном транспорте методов дефектоскопии не могут быть использованы для оценки деградации металла рам на стадиях до появления опасных макродефектов, хотя именно эти стадии и представляют основной интерес для построения методик оценки фактического (а не нормативного) остаточного индивидуального ресурса рамы.
Накопленные к настоящему времени результаты теоретических и экспериментальных исследований показывают, что методики контроля состояния металла технических объектов на этапах их эксплуатации до появления макродефектов могут быть построены на основе современных методов физической акустики.
Настоящий стандарт разработан с целью обеспечения методической основы применения акустического метода для диагностирования и оценки индивидуального остаточного ресурса боковых рам тележек грузовых вагонов.
Настоящий стандарт устанавливает общие требования к методу выполнения акустических измерений для диагностирования и оценки остаточного ресурса боковых рам тележек грузовых вагонов, соответствующих
ГОСТ 32400.
Стандарт может быть использован для определения остаточного ресурса боковых рам по истечении назначенного срока службы и последующего назначения нового назначенного срока службы.
Расчетно-экспериментальный метод, рекомендуемый настоящим стандартом, допускает применение дополнительных методов разрушающего и неразрушающего контроля, а также расчетных методов механики поврежденной среды с целью уточнения оценки остаточного ресурса.
Настоящий стандарт устанавливает:
- содержание и порядок проведения процедур измерений при акустическом контроле эксплуатационной поврежденности материала боковых рам тележек грузовых вагонов;
- требования к аппаратуре и программному обеспечению, применяемым в процессе измерений;
- требования к метрологическому обеспечению метода и используемой аппаратуры;
- требования к оформлению результатов контроля.
ГОСТ 7.32-2001 Система стандартов по информации, библиотечному и издательскому делу. Отчет о научно-исследовательской работе. Структура и правила оформления
ГОСТ 12.1.001-89 Система стандартов безопасности труда. Ультразвук. Общие требования безопасности
ГОСТ 12.1.004-91 Система стандартов безопасности труда. Пожарная безопасность. Общие требования
ГОСТ 12.1.038-82 Система стандартов безопасности труда. Электробезопасность. Предельно допустимые значения напряжений прикосновения и токов
ГОСТ 12.2.003-91 Система стандартов безопасности труда. Оборудование производственное. Общие требования безопасности
ГОСТ 12.2.013.3-2002 Машины ручные электрические. Частные требования безопасности и методы испытаний шлифовальных, дисковых шлифовальных и полировальных машин с вращательным движением рабочего инструмента
ГОСТ 12.3.002-75 Система стандартов безопасности труда. Процессы производственные. Общие требования безопасности
ГОСТ 27.002-89 Надежность в технике. Основные понятия. Термины и определения
ГОСТ 427-75 Линейки измерительные металлические. Технические условия
ГОСТ 2789-73 Шероховатость поверхности. Параметры и характеристики
ГОСТ 6616-94 Преобразователи термоэлектрические. Общие технические условия
ГОСТ 16465-70 Сигналы радиотехнические измерительные. Термины и определения
ГОСТ 30489-97 (ЕН 473:1992) Квалификация и сертификация персонала в области неразрушающего контроля. Общие требования
ГОСТ 32400-2013 Рама боковая и балка надрессорная литые тележек железнодорожных грузовых вагонов
ГОСТ 32699-2014 Рама боковая и балка надрессорная литые трехэлементных двухосных грузовых вагонов железных дорог колеи 1520 мм. Методы неразрушающего контроля
ГОСТ Р 8.563-2009 Государственная система обеспечения единства измерений. Методики (методы) измерений
ГОСТ Р 12.1.019-2009 Система стандартов безопасности труда. Электробезопасность. Общие требования и номенклатура видов защиты
ГОСТ Р 55725-2013 Контроль неразрушающий. Преобразователи ультразвуковые пьезоэлектрические. Общие технические требования
ГОСТ Р ИСО 5725-2-2002 Точность (правильность и прецизионность) методов и результатов измерений. Часть 2. Основной метод определения повторяемости и воспроизводимости стандартного метода измерений
Примечание - При пользовании настоящим стандартом целесообразно проверить действие ссылочных стандартов в информационной системе общего пользования - на официальном сайте Федерального агентства по техническому регулированию и метрологии в сети Интернет или по ежегодному информационному указателю "Национальные стандарты", который опубликован по состоянию на 1 января текущего года, и по выпускам ежемесячного информационного указателя "Национальные стандарты" за текущий год. Если заменен ссылочный стандарт, на который дана недатированная ссылка, то рекомендуется использовать действующую версию этого стандарта с учетом всех внесенных в данную версию изменений. Если заменен ссылочный стандарт, на который дана датированная ссылка, то рекомендуется использовать версию этого стандарта с указанным выше годом утверждения (принятия). Если после утверждения настоящего стандарта в ссылочный стандарт, на который дана датированная ссылка, внесено изменение, затрагивающее положение, на которое дана ссылка, то это положение рекомендуется применять без учета данного изменения. Если ссылочный стандарт отменен без замены, то положение, в котором дана ссылка на него, рекомендуется применять в части, не затрагивающей эту ссылку.
3 Термины, определения, обозначения и сокращения
3.1 В настоящем стандарте применены следующие термины с соответствующими определениями:
3.1.1
эксплуатационная поврежденность: Безразмерная величина, изменяющаяся в процессе эксплуатации боковой рамы от 0 в начале эксплуатации до 1 при переходе материала рамы в предельное состояние по
ГОСТ 27.002, вычисляемая на основании результатов акустических измерений и использующаяся в расчетных методах механики поврежденной среды.
3.1.2 поверхностная поврежденность: Поврежденность материала боковой рамы в поверхностном слое глубиной до 1 мм, усредненная по пути распространения импульса поверхностных акустических волн Рэлея (база преобразователя).
3.1.3 объемная поврежденность: Поврежденность материала боковой рамы, усредненная по толщине в зоне измерений и ширине преобразователя продольных упругих волн.
3.1.4 микроповреждения: Структурные микродефекты (микропоры, микротрещины и т.п.), не обнаруживаемые стандартными методами дефектоскопии, развивающиеся в процессе эксплуатации рамы и приводящие к появлению опасной трещины.
3.1.5 опорный импульс: Специально сформированный импульс, относительно которого вычисляется задержка импульса поверхностной акустической волны Рэлея.
3.1.6 относительный пробег: Отношение пробега вагона на момент диагностирования к фактическому ресурсу рамы.
3.2 В настоящем стандарте применены следующие обозначения:
tR(i) | - | задержки импульса упругих поверхностных волн Рэлея относительно опорного импульса при n повторных измерениях, нс, i = 1, ..., n; |
tR | - | среднее значение задержки импульса упругих поверхностных волн Рэлея относительно опорного импульса, нс; |
| - | значение задержки tR, приведенное к 20 °C, нс; |
| - | значение tR(i) для новой рамы, нс; |
| - | среднее значение задержки tR для новой рамы, нс; |
| - | значение задержки , приведенное к 20 °C, нс; |
| - | предельное значение задержки tR перед появлением макродефекта; |
| - | поверхностная поврежденность; |
T | - | температура поверхности диагностируемой рамы, °C; |
T0 | - | температура поверхности новой рамы, °C; |
kTR | - | термоакустический коэффициент рэлеевских волн, 1/°C; |
tI(i) | - | задержки второго отраженного импульса упругой продольной волны относительно первого при n повторных измерениях, нс, i = 1, ..., n; |
tI | - | среднее значение задержки второго отраженного импульса упругой продольной волны относительно первого, нс; |
| - | значения tI(i) для новой рамы, нс; |
| - | среднее значение задержки tI для новой рамы, нс; |
kц | - | разрядность аналого-цифрового преобразователя используемых средств контроля; |
R1(i) | - | размахи первых отраженных импульсов при n повторных измерениях; |
R1 | - | среднее значение размаха первого отраженного импульса; |
| - | значения R1(i) для новой рамы; |
| - | среднее значение R1 для новой рамы; |
S(i) | - | значения шумового параметра, равного отношению мощности шума к мощности первого отраженного импульса; |
S | - | среднее значение шумового параметра; |
S0(i) | - | значения шумового параметра для новой рамы; |
S0 | - | среднее значение шумового параметра для новой рамы; |
Seff | - | величина S, приведенная к значению R1, равному 2/3 от его максимума; |
| - | значение Seff для новой рамы; |
| - | предельное значение величины Seff, соответствующее появлению макродефекта; |
| - | объемная поврежденность; |
N | - | пробег вагона на момент диагностирования состояния рамы, тыс. км; |
N* | - | фактический ресурс рамы - пробег вагона до момента появления опасного макродефекта в материале рамы, тыс. км. |
3.3 В настоящем стандарте применены следующие сокращения:
БРТ | - | боковая рамы тележки грузового вагона; |
ПАВР | - | поверхностные акустические волны Рэлея; |
ПЭП | - | пьезоэлектрический преобразователь; |
СК | - | средство контроля; |
УИ | - | ультразвуковой импульс. |
4.1 Рекомендуемый стандартом метод основан на существующих зависимостях между параметрами распространения упругих поверхностных и объемных волн и уровнем микроповреждений в структуре материала БРТ, накопленным в процессе ее эксплуатации.
4.2 В методе используется ручной способ ультразвукового эхо-импульсного контактного прозвучивания с применением совмещенных и раздельно-совмещенных пьезоэлектрических преобразователей по
ГОСТ Р 55725.
4.3 Вид излучаемого сигнала - радиоимпульс с высокочастотным (ультразвуковым) заполнением, с плавной огибающей и эффективной длительностью (на уровне 0,6 от максимальной амплитуды) от 2 до 4 периодов основной частоты.
4.4 Измеряемые характеристики поврежденности являются усредненными по объему ультразвукового пучка, определяемого поперечными размерами ПЭП толщиной материала и типом используемых волн.
Примечание - При использовании рэлеевских волн усреднение происходит по объему распространения поверхностной волны, определяемому базой преобразователя, размерами его активных элементов и частотой.
4.5 Непосредственно измеряемыми величинами являются задержки (времена распространения в материале) и размахи УИ по ГОСТ 16465.
4.6 Влияние температуры на точность измерения информативных акустических параметров учитывают с помощью соответствующих термоакустических коэффициентов, имеющих размерность 1/°C. Их значения должны содержаться в базе данных используемых СК или могут быть получены экспериментально в соответствии с процедурой, описанной в
приложении А.
4.7 Для диагностирования и оценки остаточного ресурса БРТ используются установленные в ходе ресурсных испытаний зависимости между акустическими характеристиками и величиной пробега вагона.
4.8 Рекомендуемый настоящим стандартом метод может служить основой для составления методики выполнения измерений по
ГОСТ Р 8.563.
4.9 При разработке методики выполнения измерений необходима ее верификация на основании представительной базы испытанных БРТ.
5 Требования безопасности
5.1 К выполнению измерений допускают персонал, прошедший обучение, повышение квалификации в установленные сроки, сертифицированный в системе добровольной сертификации на соответствующий уровень квалификации по ГОСТ 30489 согласно
[1],
[2].
5.3 Помещения для проведения измерений должны соответствовать требованиям
[3] и
[4].
5.4 При организации работ по контролю состояния материала БРТ должны быть соблюдены требования пожарной безопасности по
ГОСТ 12.1.004.
6 Требования к средствам контроля
6.1 В качестве СК используют установки, скомпонованные из серийной аппаратуры, или специализированные ультразвуковые приборы, сертифицированные в соответствии с
[5] и поверяемые в соответствии с
[6].
6.2 В своем составе СК должны содержать следующие ПЭП:
- прямой совмещенный преобразователь продольных волн типа П111-5,0 по
ГОСТ Р 55725;
- раздельно-совмещенный преобразователь ПАВР типа П122-3,0 по
ГОСТ Р 55725.
6.3 Вспомогательные устройства и материалы
6.3.1 Шлифовальный инструмент для подготовки поверхности по
ГОСТ 12.2.013.3.
6.3.2 Термопреобразователь поверхностный типа ТПП 13 или ТПП 10 по
ГОСТ 6616 для измерения температуры поверхности БРТ.
6.3.3 Обезжиривающая жидкость (спирт по
ГОСТ 17299 или ацетон по
ГОСТ 2768) для подготовки поверхности.
6.3.4 Контактная жидкость (индустриальное масло марок И-30А, И-40А, И-50А по
ГОСТ 20799, вода).
6.3.5 Емкости для хранения контактной жидкости, кисти для нанесения контактной жидкости на поверхность изделий, ветошь для протирки ультразвуковой аппаратуры и рук оператора, линейка металлическая 500 мм по
ГОСТ 427 для разметки БРТ, маркер или мел для нанесения меток на проконтролированные изделия, журнал для ведения протокола контроля.
6.4 СК должны обеспечивать проведение измерений эхо-методом с использованием УИ с плавной огибающей.
6.5 СК должны обеспечивать дискретизацию ультразвукового сигнала с частотой, превосходящей не менее чем в 10 раз максимальную эффективную частоту используемого ПЭП.
6.6 СК должны содержать аналого-цифровые преобразователи с разрядностью kц не менее 12.
6.7 СК должны обеспечивать возможность определения задержек упругих импульсов методом перехода сигнала через нуль
[7].
6.8 Первичная акустическая информация для каждого измерения должна постоянно храниться на внешних носителях, защищенных от несанкционированного доступа.
6.9 Документация СК должна содержать методику выполнения измерений, а также документы, устанавливающие:
- назначение и область применения СК;
- состав и основные характеристики средств аппаратного и программного обеспечения, включающие погрешность измерения параметров УИ;
- методы и средства достижения совместимости СК, в том числе информационной, электрической, энергетической, программной, конструкторской, эксплуатационной.
7 Требования к объектам контроля
7.1 Шероховатость поверхности
Rz БРТ в зонах измерений - не более 40 мкм по
ГОСТ 2789.
7.2 Температура поверхности БРТ должна быть в пределах от 5 °C до 40 °C.
8 Порядок подготовки к проведению контроля
8.1 Зоны измерений выбирают в соответствии с рисунком 1.
Рисунок 1 - Зоны измерений
8.2 Подготавливают к контролю поверхности БРТ в зонах измерений согласно
7.1.
8.3 Подготовленные поверхности должны иметь размеры, на 50% превышающие размеры используемых ПЭП.
8.4 Подготавливают к работе СК.
8.5 Измеряют в выбранных зонах температуры поверхности БРТ T с пределом допускаемой погрешности +/- 1 °C.
8.6 Смачивают поверхности зон измерений контактной жидкостью.
Примечание - Изложенный в
8.1 -
8.6 порядок подготовки к проведению измерений одинаков для новой и диагностируемой БРТ.
9 Порядок проведения контроля
9.1 Подключают к СК преобразователь ПАВР.
9.2 В соответствии с руководством по эксплуатации СК проводят измерения задержек импульсов ПАВР

с переустановкой ПЭП. Число повторных измерений
n должно быть не менее 10.
В качестве измеряемых задержек следует использовать временные интервалы между точками перехода через нуль рабочего и опорного импульсов в соответствии с
рисунком 2.
9.3 Проводят измерения задержек tR(i) для исследуемой зоны БРТ.
1 - опорный импульс; 2 - импульс ПАВР
Рисунок 2 - Типичная осциллограмма при измерении
преобразователем ПАВР
9.4 Подключают к СК ПЭП продольных волн.
9.5 Проводят повторные (не менее 10 раз) измерения задержек
tI(
i), размахов
R1(
i) и шумовых параметров
S(
i)
.
Задержки определяются методом перехода сигнала через нуль.
При проведении измерений с помощью продольного преобразователя следует проверять правильность автоматической настройки уровней и границ первого и второго отраженных импульсов.
Правая граница первого отраженного импульса должна находиться приблизительно посередине между импульсами
(рисунок 3).
При необходимости уровни и границы следует настроить вручную.
Рисунок 3 - Типовая осциллограмма продольных импульсов
Примечание - Изложенный в
9.1 -
9.5 порядок проведения измерений одинаков для новой и диагностируемой БРТ.
10 Обработка результатов контроля
10.1 Для всех измеренных акустических характеристик
A(
i) (массивы значений
tI(
i)
,
, tR(
i)
,
, R1(
i)
, 
,
S(
i),
S0(
i)) проводят стандартную процедуру предварительной статистической обработки для исключения промахов с использованием критерия Смирнова в соответствии с
ГОСТ Р ИСО 5725-2.
10.1.1 Все значения параметров A(i) располагают в виде вариационного ряда: A1 <= A2 <= ... An.
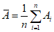
10.1.2 Вычисляют среднее значение:

(1)
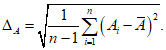
и среднее квадратическое отклонение:

(2)
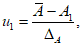
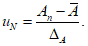
10.1.3 Определяют величины u1, и uN по формулам:

(3)

(4)
10.1.4 Величины
u1, и
uN сравнивают с критериальными табличными величинами

, значения которых зависят от числа измерений и доверительной вероятности

.
При

составляет:
2,03................................ для

;
2,18................................ для

;
2,41................................ для

.
10.1.5 При выполнении условий

(5)
| | ИС МЕГАНОРМ: примечание. Нумерация формул дана в соответствии с официальным текстом документа. | |

(5)
значения
A1 и
AN не считаются промахами и для расчета соответствующих средних значений

используют весь вариационный ряд
A1,
A2,...,
An.
10.1.6 При невыполнении условия
(5) или условия
(6) (или обоих одновременно) соответствующие значения
A(
i) исключаются из вариационного ряда.
10.1.7 После соответствующего уменьшения величины n для дальнейших расчетов используют усеченный вариационный ряд.
10.2 После исключения промахов для всех измеренных параметров рассчитывают коэффициенты вариации
.
10.3 Проверяют выполнение следующих условий:

(7)

(8)

(9)

(10)
10.3.1 При выполнении всех условий (
7 -
10) переходят к
10.4.
10.3.2 Если хотя бы одно из условий (
7 -
10) не выполнено, для соответствующего акустического параметра проводят повторные измерения с увеличенным числом
n.
10.3.3 Если увеличение числа измерений
n не приводит к выполнению условий (
7 -
10), следует принять решение о возможности дальнейших измерений с пониженной точностью.
10.4 Вычисляют значения
tR.
10.5 В том случае, если температура поверхности БРТ в момент измерения на новой раме и в момент диагностирования отличается от 20 °C более чем на 10 °C, вместо значений

и (или)
tR в дальнейших расчетах используются приведенные значения

и (или)
, которые рассчитывают по формулам:

(11)

(12)
При отсутствии в базе данных СК термоакустических коэффициентов
kTR их определяют экспериментально в соответствии с процедурой, описанной в
приложении А.
10.6 Рассчитывают значение поверхностной поврежденности по формуле

(13)
где

10.7 Рассчитывают параметры линейной регрессии a0, a1 переменной S(i) по переменной R1(i) по формулам:

(14)
a0 = S - a1R1. (15)
10.8 Вычисляют значение Seff по формуле
Seff = a0 + 0,7a1·2kц. (16)
10.9 Рассчитывают значение объемной поврежденности по формуле

(17)
где

,

.
Если значения величин

,

отсутствуют в базе данных используемых СК, они должны быть получены в ходе предварительных ресурсных испытаний.
10.10 Оценка относительного остаточного ресурса рамы
10.10.1 В настоящем стандарте под относительным остаточным ресурсом рамы подразумевается величина

(18)
10.10.2 Определение относительного остаточного ресурса основано на использовании полученных в ходе ресурсных испытаний зависимостей

(19)

(20)
Примечание - В зависимости от результатов ресурсных испытаний зависимости
(19) и
(20) могут быть как функциональными, так и регрессионными.
10.10.3 На основании результатов измерения в момент диагностирования значений объемной и поверхностной поврежденности

и

с помощью зависимостей
(19) и
(20) определяют значения относительных остаточных ресурсов

и

, как это показано на рисунке 4.
Рисунок 4 - Определение относительного остаточного ресурса
10.10.4 За величину относительного остаточного ресурса

принимают меньшее из значений

и

.
11 Правила оформления результатов контроля
11.1 Результаты контроля фиксируют в журнале, форма которого приведена в рекомендуемом
приложении Б.
11.2 Дополнительные сведения, подлежащие записи, порядок оформления и хранения журнала (или заключения) должны устанавливаться в технической документации на контроль.
11.3 Если определение технического состояния материала БРТ является частью научно-исследовательских работ, то результаты контроля измерений следует оформлять в соответствии с требованиями
ГОСТ 7.32.
11.4 Результаты обследования должны сохраняться до следующего контроля БРТ.
(обязательное)
ОПРЕДЕЛЕНИЕ ТЕРМОАКУСТИЧЕСКИХ КОЭФФИЦИЕНТОВ
А.1 Определение термоакустических коэффициентов kTR проводят на основании исследования регрессионных зависимостей задержек импульсов ПАВР tR от температуры T контрольного образца.
А.2 Измерение температурных зависимостей проводят на плоских контрольных образцах материала БРТ в лабораторных условиях.
Контрольные образцы должны иметь толщину не менее 5 мм, поперечные размеры не менее чем на 50% превышающие размеры используемых ПЭП и шероховатость поверхности
Rz не более 40 мкм по
ГОСТ 2789.
А.3 Температуру поверхности образца измеряют с использованием термоэлектрического преобразователя по
ГОСТ 6616.
А.4 Образцы нагревают до температуры 80 °C, затем для равномерного распределения температуры выдерживают при комнатной температуре до 60 °C.
А.5 По мере остывания образца с интервалом 5 °C проводят измерение температуры поверхности образца Ti и соответствующих задержек tR(i) для каждого i-го значения температуры.
А.6 Термоакустические коэффициенты рассчитывают по формуле

(А.1)
где

,
NT - общее число измерений для данного образца.
А.7 Измерения повторяют для 3 - 5 образцов с усреднением результатов.
(рекомендуемое)
"УТВЕРЖДАЮ"
Руководитель
________________________________
наименование организации
______________ _________________
личная подпись инициалы, фамилия
"____" ________________ 20___ г.
ПРОТОКОЛ
определения технического состояния материала боковой рамы
тележки грузового вагона акустическим методом
___________________________________________________________________________
(наименование, код объекта контроля)
1 Дата измерения __________________________________________________________
2 Организация, проводящая измерения _______________________________________
3 Владелец вагона _________________________________________________________
4 Данные об объекте контроля:
дата изготовления _______________________________________________________
завод-изготовитель ______________________________________________________
марка материала _________________________________________________________
пробег, тыс. км _________________________________________________________
дополнительные сведения об объекте контроля _____________________________
5 Используемое оборудование, зав. N, тип ПЭП ______________________________
6 Эскиз объекта контроля с указанием местоположения зон измерений и их
нумерации (в приложении) __________________________________________________
7 Заключение о наличии опасных макродефектов
8 Температура поверхности объекта контроля, °C ____________________________
9 Наименование и код базы данных __________________________________________
10
Таблица 1
Значения акустических характеристик в зонах измерений
11
Таблица 2
Результаты обработки измерений
Номер зоны измерений | Значение поверхностной поврежденности  | Значение объемной поврежденности  | Прогноз относительного остаточного ресурса по значению  | Прогноз относительного остаточного ресурса по значению  | Относительный остаточный ресурс  |
| | | | | |
Обследование провел оператор: ________________ _____________________
личная подпись инициалы, фамилия
Руководитель лаборатории
неразрушающего контроля: ________________ _____________________
личная подпись инициалы, фамилия
| РД 32 ЦВ 079-2005 Типовое положение о подготовке, повышении квалификации, периодической проверке знаний и сертификации персонала по неразрушающему контролю предприятий вагонного хозяйства |
| ПР 32.113-98 Правила сертификации персонала по неразрушающему контролю технических объектов железнодорожного транспорта |
| |
| |
| ПР 50.2.105-09 Государственная система обеспечения единства измерений. Порядок утверждения типа стандартных образцов или типа средств измерений |
| ПР 50.2.006-94 Государственная система обеспечения единства измерений. Порядок проведения поверки средств измерений |
| МВИ. Стандартные образцы времени прохождения ультразвуковых сигналов. Определение основных метрологических характеристик. ИФМ УрО РАН, Екатеринбург, 2007. 16 с. |