Главная // Актуальные документы // ГОСТ Р (Государственный стандарт)СПРАВКА
Источник публикации
М.: Стандартинформ, 2020
Примечание к документу
Документ
введен в действие с 01.02.2021.
Название документа
"ГОСТ Р 59073-2020. Национальный стандарт Российской Федерации. Средства дезинсекционные. Общие технические условия"
(утв. и введен в действие Приказом Росстандарта от 01.10.2020 N 734-ст)
"ГОСТ Р 59073-2020. Национальный стандарт Российской Федерации. Средства дезинсекционные. Общие технические условия"
(утв. и введен в действие Приказом Росстандарта от 01.10.2020 N 734-ст)
Утвержден и введен в действие
по техническому регулированию
и метрологии
от 1 октября 2020 г. N 734-ст
НАЦИОНАЛЬНЫЙ СТАНДАРТ РОССИЙСКОЙ ФЕДЕРАЦИИ
СРЕДСТВА ДЕЗИНСЕКЦИОННЫЕ
ОБЩИЕ ТЕХНИЧЕСКИЕ УСЛОВИЯ
Disinsectants. General specifications
ГОСТ Р 59073-2020
Дата введения
1 февраля 2021 года
1 РАЗРАБОТАН Федеральным бюджетным учреждением науки "Научно-исследовательский институт дезинфектологии" Федеральной службы по надзору в сфере защиты прав потребителей и благополучия человека (ФБУН "НИИДезинфектологии" Роспотребнадзора)
2 ВНЕСЕН Техническим комитетом по стандартизации ТК 339 "Безопасность сырья, материалов и веществ"
3 УТВЕРЖДЕН И ВВЕДЕН В ДЕЙСТВИЕ
Приказом Федерального агентства по техническому регулированию и метрологии от 1 октября 2020 г. N 734-ст
4 ВВЕДЕН ВПЕРВЫЕ
Правила применения настоящего стандарта установлены в статье 26 Федерального закона от 29 июня 2015 г. N 162-ФЗ "О стандартизации в Российской Федерации". Информация об изменениях к настоящему стандарту публикуется в ежегодном (по состоянию на 1 января текущего года) информационном указателе "Национальные стандарты", а официальный текст изменений и поправок - в ежемесячном информационном указателе "Национальные стандарты". В случае пересмотра (замены) или отмены настоящего стандарта соответствующее уведомление будет опубликовано в ближайшем выпуске ежемесячного информационного указателя "Национальные стандарты". Соответствующая информация, уведомление и тексты размещаются также в информационной системе общего пользования - на официальном сайте Федерального агентства по техническому регулированию и метрологии в сети Интернет (www.gost.ru)
Настоящий стандарт распространяется на химические дезинсекционные средства (далее - средства), предназначенные для уничтожения, снижения численности и создания неблагоприятных условий среды обитания членистоногих, имеющих эпидемиологическое и санитарно-гигиеническое значение.
Настоящий стандарт распространяется на продукцию, предназначенную для использования специалистами и населением в быту.
В настоящем стандарте использованы нормативные ссылки на следующие стандарты:
ГОСТ 8.135 Государственная система обеспечения единства измерений. Стандарт-титры для приготовления буферных растворов - рабочих эталонов pH 2-го и 3-го разрядов. Технические и метрологические характеристики. Методы их определения
ГОСТ 12.1.004 Система стандартов безопасности труда. Пожарная безопасность. Общие требования
ГОСТ 12.1.007 Система стандартов безопасности труда. Вредные вещества. Классификация и общие требования безопасности
ГОСТ 1770 (ИСО 1042-83, ИСО 4788-80) Посуда мерная лабораторная стеклянная. Цилиндры, мензурки, колбы, пробирки. Общие технические условия
ГОСТ 2405 Манометры, вакуумметры, мановакуумметры, напоромеры, тягомеры и тягонапоромеры. Общие технические условия
ГОСТ 2603 Реактивы. Ацетон. Технические условия
ГОСТ 14919 Электроплиты, электроплитки и жарочные электрошкафы бытовые. Общие технические условия
ГОСТ 16287 Электроды стеклянные промышленные для определения активности ионов водорода ГСП. Технические условия
ГОСТ 16291 Пестициды. Метод определения стабильности эмульсий
ГОСТ 18481 Ареометры и цилиндры стеклянные. Общие технические условия
ГОСТ 19433 Грузы опасные. Классификация и маркировка
ГОСТ 22261 Средства измерений электрических и магнитных величин. Общие технические условия
ГОСТ 25336 Посуда и оборудование лабораторные стеклянные. Типы, основные параметры и размеры
ГОСТ 27752 Часы электронно-механические кварцевые настольные, настенные и часы-будильники. Общие технические условия
ГОСТ 28498 Термометры жидкостные стеклянные. Общие технические требования. Методы испытаний
ГОСТ 30333 Паспорт безопасности на химическую продукцию. Общие требования
ГОСТ 31340 Предупредительная маркировка химической продукции. Общие требования
ГОСТ 32419 Классификация опасности химической продукции. Общие требования
ГОСТ 32481-2013 Товары бытовой химии в аэрозольной упаковке. Общие технические условия
ГОСТ Р 53228 Весы неавтоматического действия. Часть 1. Метрологические и технические требования. Испытания
ГОСТ Р 59074 Средства дезинсекционные. Методы определения показателей эффективности
ГОСТ Р 59075 Средства дезинсекционные. Методы определения показателей токсичности
Примечание - При пользовании настоящим стандартом целесообразно проверить действие ссылочных стандартов в информационной системе общего пользования - на официальном сайте Федерального агентства по техническому регулированию и метрологии в сети Интернет или по ежегодному информационному указателю "Национальные стандарты", который опубликован по состоянию на 1 января текущего года, и по выпускам ежемесячного информационного указателя "Национальные стандарты" за текущий год. Если заменен ссылочный стандарт, на который дана недатированная ссылка, то рекомендуется использовать действующую версию этого стандарта с учетом всех внесенных в данную версию изменений. Если заменен ссылочный стандарт, на который дана датированная ссылка, то рекомендуется использовать версию этого стандарта с указанным выше годом утверждения (принятия). Если после утверждения настоящего стандарта в ссылочный стандарт, на который дана датированная ссылка, внесено изменение, затрагивающее положение, на которое дана ссылка, то это положение рекомендуется применять без учета данного изменения. Если ссылочный стандарт отменен без замены, то положение, в котором дана ссылка на него, рекомендуется применять в части, не затрагивающей эту ссылку.
Применяемые для химического метода дезинсекции средства представляют собой инсектоакарициды (включая педикулициды) и репелленты. Средства в зависимости от типа активности по отношению к стадии развития членистоногих подразделяют:
- на овициды (уничтожение яиц);
- ларвициды (уничтожение личинок);
- имагоциды (уничтожение имаго);
- сочетающие все три типа активности.
В зависимости от типа воздействия на организм членистоногих средства подразделяют:
- на контактные [проникновение через покров тела (кутикулу)];
- кишечные (при пероральном поступлении);
- системные (при питании членистоногих кровью животного или человека, которому предварительно было введено средство);
- фумигационные (поступают в организм через органы дыхания).
По препаративной форме средства подразделяют:
- на концентраты эмульсии;
- микроэмульсии;
- микрокапсулированные суспензии и эмульсии;
- концентраты суспензий;
- смачивающиеся порошки;
- гранулы (вододиспергируемые или водорастворимые);
- дусты и порошки;
- средства в аэрозольной упаковке [с пропеллентом или без пропеллента (БАУ)];
- инсектицидные приманки (гранулированные, гели, приманочные станции);
- фумигационные средства (электрофумигаторы с жидкостью, пластиной, таблеткой, фумигаторы с разогревом в результате химической реакции и т.д.);
- пиротехнические (спирали, таблетки, шашки, бумаги и др.);
- другие препаративные формы (лак, мыло, шампунь, лосьон, мелок, карандаш и т.д.).
Репелленты по механизму действия подразделяют:
- на контактного действия;
- дистанционного действия.
По препаративной форме репеллентные средства подразделяют:
- на лосьоны;
- кремы;
- эмульсии (молочко);
- средства в аэрозольной упаковке [с пропеллентом или без пропеллента (БАУ)];
- репеллентные салфетки.
4.1 Требования к сырью и материалам
Сырье и материалы, применяемые при изготовлении средств, должны иметь установленные токсические характеристики и соответствовать требованиям нормативных документов и технической документации на определенный вид или группу однородной продукции. В состав средств не должны входить действующие вещества, обладающие отдаленными эффектами (мутагенный, канцерогенный, эмбриотропный, гонадотоксический и тератогенный) и относящиеся по гигиенической классификации пестицидов по степени опасности к классам 1 и 2. Для средств, выпускаемых в аэрозольной упаковке, не допускается использование в качестве пропеллента озоноразрушающих хладонов.
4.2 Основные показатели и характеристики
4.2.1 Средства должны соответствовать требованиям действующих нормативных документов, технической документации и настоящего стандарта.
4.2.2 Идентификационным признаком средств является их назначение, указанное в маркировке и подтвержденное документально.
4.2.3 Основные физико-химические и органолептические показатели средств, соответствующие их назначению, приведены в
таблице 1. Значение показателей и содержание характеристик установлены в технической документации на средства.
Таблица 1
Физико-химические и органолептические показатели
Наименование показателя | Метод испытаний |
Внешний вид, цвет | |
Запах | |
Плотность (или насыпная плотность) | |
Масса единицы продукции | |
Показатель активности водородных ионов (pH) средства или его 10%-ного водного раствора/эмульсии | |
Концентрация действующего вещества или действующих веществ | По технической документации на средство |
Стабильность при повышенной температуре | |
4.2.4 Для средств, выпускаемых в форме концентратов эмульсии, дополнительно определяют стабильность 10%-ной водной эмульсии по
ГОСТ 16291.
4.2.5 Для средств, выпускаемых в аэрозольных упаковках, дополнительно определяют физико-химические показатели, приведенные в
таблице 2.
Таблица 2
Физико-химические показатели средств, выпускаемых
в аэрозольных упаковках
Наименование показателя | Значение показателя (содержание характеристики) | Метод испытания |
Прочность и герметичность аэрозольной упаковки | Упаковка должна выдерживать испытание | |
Работоспособность клапана аэрозольной упаковки | Клапан должен выдерживать испытание | |
Избыточное давление в аэрозольной упаковке при 20 °C, МПа (кгс/см3): | | |
- для средств с использованием в качестве пропеллента сжиженных газов и углекислого газа | 0,20 (2,0) - 0,60 (6,0) | |
- для средств с использованием в качестве пропеллента сжатых газов | 0,55 (5,5) - 0,90 (9,0) | |
Массовая доля пропеллента, % | Должна соответствовать установленной в технической документации на средство | |
Степень эвакуации содержимого аэрозольной упаковки, %, не менее | 95 | |
Примечания 1 При использовании в качестве пропеллента углекислого газа или сжатого воздуха показатель массовой доли пропеллента не определяют. 2 Способ определения массовой доли пропеллента должен быть указан в технической документации на средство. |
4.2.6 Показатели эффективности средств должны соответствовать требованиям
ГОСТ Р 59074.
4.3 Маркировка
4.3.1 Маркировка должна быть нанесена непосредственно на продукцию, ярлык, этикетку, на потребительскую и/или транспортную тару с использованием различных способов нанесения. Текст маркировки должен быть четким и легко читаемым, устойчивым к механическому воздействию, воздействию химических веществ, климатических факторов и сохраняться до момента полного использования и/или утилизации средства.
4.3.2 Потребительская маркировка
Потребительскую маркировку наносят непосредственно на каждую единицу продукции, на потребительскую упаковку или на прикрепляемый к ней ярлык.
Потребительская упаковка должна быть оформлена печатью по упаковке или иметь ярлык.
Потребительская маркировка должна быть нанесена на русском языке и содержать следующую информацию:
- наименование средства, включая торговое наименование;
- назначение средства;
- способ применения с указанием правил и условий эффективного и безопасного использования средства;
- состав средства (концентрация действующего вещества, вспомогательные вещества);
- обозначение нормативного документа на средство;
- наименование изготовителя, наименование импортера или уполномоченного изготовителем лица (юридического или физического лица в качестве индивидуального предпринимателя) и его местонахождение (страна, юридический или фактический адрес);
- меры предосторожности, меры первой помощи;
- действия при аварийной ситуации;
- предупредительную маркировку в виде знака опасности, символа опасности, сигнального слова и описания мер по предупреждению опасности, оформленную по
ГОСТ 31340;
- номинальное количество продукции в упаковке (масса, объем или количество штук);
- условия хранения;
- способ утилизации, если средство не может быть ликвидировано как бытовой отход;
- срок годности;
- номер свидетельства о государственной регистрации средства;
- идентификационные данные партии (дата изготовления, номер партии, размер партии).
Потребительская маркировка может содержать дополнительные сведения. Наименование средства, наименование изготовителя и его местонахождение (юридический и/или фактический адрес) допускается наносить с использованием латинского алфавита с обязательным указанием страны-изготовителя на русском языке.
Более подробная информация о средстве может быть размещена на листке-вкладыше (инструкции по применению), прилагаемом к каждой единице продукции. Данный листок-вкладыш с полной информацией о продукции должен сопровождать ее при недостатке места для нанесения маркировки непосредственно на единицу продукции или упаковку.
4.3.3 Транспортная маркировка
Транспортная маркировка, наносимая на упаковку груза, должна содержать сведения о получателе, отправителе, способах обращения с упакованной продукцией при ее транспортировании и хранении, манипуляционные знаки, основные, дополнительные и информационные надписи в соответствии с требованиями
ГОСТ 14192.
Транспортная маркировка должна содержать следующую информацию:
- наименование средства, включая торговое наименование;
- наименование изготовителя, наименование импортера или уполномоченного изготовителем лица (юридического или физического лица в качестве индивидуального предпринимателя) и его местонахождение (страна, юридический или фактический адрес);
- идентификационные данные партии продукции;
- количество единиц потребительских упаковок и номинальное количество продукции в потребительской упаковке (массу, или объем, или количество штук);
- срок годности и дату изготовления или дату истечения срока годности (месяц, год);
- условия хранения;
- действия при аварийной ситуации;
- правила утилизации (при необходимости).
Если транспортная упаковка одновременно является потребительской, то на нее наносят как транспортную, так и потребительскую маркировки.
Манипуляционные знаки, связанные со свойствами продукции, наносят на транспортную упаковку дополнительно в соответствии с требованиями
ГОСТ 14192.
Средства по своим свойствам относятся к опасным видам продукции, поэтому их транспортные упаковки должны иметь транспортную маркировку, характеризующую вид и степень опасности груза в соответствии с требованиями
ГОСТ 19433.
4.4 Упаковка
4.4.1 Упаковку средств осуществляют при помощи соответствующего оборудования в различные виды упаковки в зависимости от их свойств (агрегатного состояния, токсичности и т.д.) и способа использования. Виды потребительской и транспортной упаковок, номинальное количество средства в упаковке указывают в технической документации на продукцию.
4.4.2 Потребительская и транспортная упаковки должны обеспечивать безопасность и сохранность средства при транспортировании, хранении и использовании в соответствии с требованиями
[1].
5 Требования безопасности и охраны окружающей среды
5.1 Дезинсекционные средства являются токсичными для человека и окружающей среды в зависимости от класса опасности.
Для обеспечения безопасности при непосредственном контакте и при осуществлении дезинсекционной деятельности допускается использовать средства, классы опасности которых, определенные по
ГОСТ 12.1.007,
ГОСТ 32419 и
[2], соответствуют приведенным в
таблицах 3 -
5.
Таблица 3
Классы опасности средств по степени воздействия
Допустимое применение | Класс опасности по значению DL50 при введении в желудок | Класс опасности по значению DL50 при нанесении на кожу |
Инсектициды | Специалисты | 2 - 4 | 3, 4 |
Население | 4 | 4 |
Педикулициды | Специалисты | 3, 4 | 4 |
Население | 3, 4 | 4 |
Репелленты | Специалисты | 3, 4 | 4 |
Население | 4 | 4 |
Таблица 4
Классы опасности средств, обладающих острой токсичностью
Допустимое применение | Класс опасности при проглатывании | Класс опасности при попадании на кожу | Класс опасности продукции, вызывающей поражение (некроз)/раздражение кожи | Класс опасности продукции, вызывающей серьезные повреждения/раздражение глаз |
Инсектициды | Специалисты | 3 - 5 | 3 - 5 | 2 - 4 | 2A, 2B |
Население | 4, 5 | 5 | 3, 4 | 2B |
Педикулициды концентраты | Специалисты | 3 - 5 | 4, 5 | 3 | 2A, 2B |
Население | 2B |
Педикулициды препаративные формы и для импрегнации | Специалисты | 4, 5 | 4, 5 | 4 | 2A, 2B |
Население | 2B |
Репелленты | Специалисты | 4, 5 | 5 | - | 2A, 2B |
Население | Не классифицируется | Не классифицируется | - | 2B |
Репелленты для импрегнации | Специалисты | 4, 5 | 5 | 3 | 2A, 2B |
Население | Не классифицируется | Не классифицируется | 2B |
Таблица 5
Классы опасности средств, обладающих острой и подострой
токсичностью по воздействию на организм, по
[2]
Допустимое применение | Класс опасности по сенсибилизирующему действию | Класс опасности по зоне острого биоцидного эффекта | Класс опасности по зоне подострого биоцидного эффекта | Класс опасности по кожно-резорбтивному действию (не классифицируется) |
Инсектициды | Специалисты | 3A, 3B | 1 - 4 | 2 - 4 | Наличие |
Население | 4 | 3, 4 | 3, 4 | Отсутствие |
Педикулициды для борьбы с головным и лобковым педикулезом | Специалисты | 4 | - | - | Отсутствие |
Население |
Педикулициды для борьбы с платяным педикулезом | Специалисты | 3A, 3B | 2 - 4 | 4 | Отсутствие |
Население | 4 | 3, 4 | 4 |
Репелленты | Специалисты | 4 | - | - | Отсутствие |
Население | - | - |
Репелленты в аэрозольных упаковках | Специалисты | 3B | 3, 4 | 4 | Отсутствие |
Население | 4 | 3, 4 | 4 |
5.2 Подробные характеристики показателей токсичности средств и соответствующие им классы опасности приведены в
ГОСТ Р 59075.
5.3 Работающие с дезинсекционными средствами должны знать общие правила безопасности, соблюдать требования всех действующих инструкций и методических указаний, утвержденных в установленном порядке на определенный вид выполняемых работ, применять индивидуальные средства защиты и уметь оказывать первую медицинскую помощь в экстренных случаях.
5.4 Общие требования пожарной безопасности при работе со средствами - по
ГОСТ 12.1.004.
5.5 Полная информация по безопасности обращения со средством должна быть включена в паспорт безопасности по
ГОСТ 30333, являющийся обязательным документом в составе сопроводительной документации средства при обращении на территории Российской Федерации.
5.6 При производстве, приемо-сдаточных операциях, транспортировании и хранении, реализации и утилизации средств должны быть соблюдены все действующие нормативные требования, исключающие превышение содержания вредных веществ в воздухе рабочей зоны и обеспечивающие охрану окружающей среды.
5.7 Средства, потерявшие свои свойства, с истекшим сроком годности, отходы производства и потребления, упаковка, тара из-под них подлежат утилизации в соответствии с природоохранным законодательством Российской Федерации. Средство утилизируют с учетом его класса опасности и маркировки, упаковку - как бытовой отход, если иное не установлено природоохранным законодательством Российской Федерации или производителем. В необходимых случаях с конкретным средством следует поставлять инструкцию по возможной утилизации с описанием способа. При утилизации оформляют акт с указанием наименования организации, утилизированного средства, его количества, места и способа утилизации и фамилии ответственного за данный процесс.
6.1 Средства принимают партиями готовой продукции. Партией считают любое количество продукции одного наименования, однородной по компонентному составу и свойствам, изготовленной за одну смену, в потребительской таре одного вида и типа, сопровождаемое одним документом.
6.2 Документ на готовую продукцию должен содержать:
- наименование продукции;
- наименование предприятия-изготовителя;
- дату изготовления;
- номер партии;
- количество мест в партии;
- массу нетто;
- обозначение нормативного документа;
- результаты испытаний, подтверждающие соответствие продукции требованиям нормативного документа, заверенные подписью лица, выдавшего данный документ.
6.3 Для проверки соответствия средства установленным требованиям нормативного документа проводят приемо-сдаточные и периодические испытания.
Приемо-сдаточные испытания проводят с применением выборочного контроля, для чего из потребительской упаковки берут случайную выборку продукции. Объем выборки средства, упакованного в контейнеры и тару-оборудование, устанавливают в зависимости от числа упаковок в партии: до 30 включительно - три упаковки; свыше 30 - четыре упаковки.
На предприятии-изготовителе допускается проводить выборку с фасовочного автомата через каждый час по две упаковки, но не менее девяти упаковок от всей партии, или перед фасовкой в количестве, обеспечивающем представительную выборку, необходимую для испытаний. Приемо-сдаточные испытания проводят для каждой партии средства по показателям, указанным в
таблице 1. Для средств, выпускаемых в аэрозольных упаковках, для каждой партии определяют показатели, указанные в
таблице 2.
При непрерывном производственном процессе периодичность приемо-сдаточных испытаний определяет установленный план выборочного контроля продукции.
Периодические испытания проводят для регулярного подтверждения соответствия продукции и стабильности технологического процесса с целью подтверждения возможности продолжения ее изготовления по действующей технологической документации и приемки. Средства по своим свойствам подлежат периодическому контролю со стороны органов, осуществляющих государственный надзор за безопасностью продукции, охраной здоровья и охраной окружающей среды, поэтому периодические испытания следует осуществлять при их участии и под их контролем. Периодические испытания проводят для проверки соответствия средства требованиям нормативных документов и технической документации по органолептическим, физико-химическим показателям (см.
таблицы 1 и
2), а также по показателям эффективности и безопасности на соответствие требованиям
ГОСТ Р 59075 и
ГОСТ Р 59074 соответственно.
Календарные сроки проведения периодических испытаний устанавливают в графиках, которые составляет изготовитель (поставщик) продукции по согласованию с участвующими в таких испытаниях сторонами.
7.1 Общие указания по проведению испытаний - по
ГОСТ 27025.
Допускается применение других видов средств измерений, оборудования и реактивов, не уступающих нижеуказанным по метрологическим и техническим характеристикам.
7.2 Определение плотности жидких средств
7.2.1 Аппаратура
7.2.1.1 Ареометры по
ГОСТ 18481 общего назначения с ценой деления 1 кг/м
3 (0,001 г/см
3).
7.2.1.2 Термометр жидкостный стеклянный для измерения температуры от 0 °C до 100 °C с ценой деления 1 °C по
ГОСТ 28498.
7.2.1.3 Термостат любой конструкции, позволяющий установить температуру образца на уровне (20 +/- 1) °C.
7.2.1.4 Цилиндр стеклянный для ареометров по
ГОСТ 18481 или другой цилиндр из бесцветного стекла, с внутренним диаметром, превышающим диаметр ареометра не менее чем на 25 мм.
7.2.2 Проведение испытания
Испытуемое средство помещают в чистый сухой цилиндр таким образом, чтобы уровень жидкости не доходил до верхнего его края на 3 - 4 см. Цилиндр с жидкостью помещают в термостат с температурой (20 +/- 1) °C.
Измеряют температуру испытуемого средства, осторожно перемешивая его термометром. Когда температура жидкости установится (20 +/- 1) °C, цилиндр вынимают из термостата и устанавливают на ровной поверхности. В цилиндр осторожно опускают чистый сухой ареометр, шкала которого соответствует ожидаемому значению плотности. Расстояние от нижнего конца ареометра, погруженного в жидкость, до дна цилиндра должно быть не менее 3 см.
Ареометр держат в руках до того момента, когда, не касаясь стенок и дна цилиндра, он начнет плавать. После прекращения колебаний ареометра отсчитывают его показания по нижнему краю мениска.
При отсчете уровень глаза должен находиться на уровне соответствующего края мениска.
После определения плотности снова измеряют температуру испытуемого средства.
Если разность температур, измеренных до проведения испытания и после, превышает 1,0 °C, повторяют испытание до установления температуры образца.
За конечный результат принимают среднее арифметическое результатов измерений двух испытаний, допускаемые расхождения между которыми не должны превышать 1 кг/м3 (0,001 г/см3). Результат измерения записывают до третьего десятичного знака.
Границы интервала абсолютной погрешности измерения массы изделия - +/- 0,001 г/см3 при доверительной вероятности P = 0,95.
7.3 Определение насыпной плотности средств, выпускаемых в виде порошков
7.3.1 Сущность метода
Метод основан на измерении массы определенного количества средства, выпускаемого в виде порошка, которое в свободно насыпанном состоянии полностью заполняет емкость (цилиндр) известного объема.
Свободно насыпанное состояние получается при заполнении емкости с помощью воронки, расположенной над ней на определенном расстоянии.
Отношение массы к объему представляет собой насыпную плотность.
7.3.2 Аппаратура, посуда
7.3.2.1 Весы лабораторные высокого (II) класса точности по
ГОСТ Р 53228 с наибольшим пределом взвешивания 500 г.
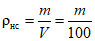
7.3.3 Проведение измерений
Пустой цилиндр взвешивают с точностью до второго десятичного знака. Затем в него с помощью воронки насыпают однородную пробу порошкообразного средства таким образом, чтобы уровень порошка соответствовал отметке 100 см
3 на мерном цилиндре. По разности масс пустого и заполненного цилиндра определяют массу средства. Насыпную плотность

, г/см
3, вычисляют по формуле

, (1)
где m - масса испытуемого порошкообразного средства в цилиндре, г;
V - объем цилиндра, см3.
Проводят второе измерение, используя новую пробу испытуемого средства.
За конечный результат принимают среднее арифметическое результатов двух измерений, допускаемые расхождения между которыми не должны превышать 0,03 г/см3. Результат измерения округляют до второго десятичного знака.
Границы интервала абсолютной погрешности измерения массы изделия - +/- 0,01 г/см3 при доверительной вероятности P = 0,95.
7.4 Определение средней массы единицы продукции
7.4.1 Определение средней массы единицы продукции до 20 г
7.4.1.1 Аппаратура, посуда:
- весы лабораторные высокого (II) класса точности по
ГОСТ Р 53228 с наибольшим пределом взвешивания 500 г;
7.4.1.2 Проведение испытания
Случайным образом отбирают не менее 10 единиц готовой продукции и последовательно их взвешивают с точностью до второго десятичного знака. Среднюю массу одной единицы продукции Mср, г, вычисляют по формуле

, (2)
где MN - масса отобранных единиц продукции, г;
N - количество отобранных единиц продукции, шт.
За конечный результат принимают среднее арифметическое результатов всех измерений, допускаемые расхождения между которыми не должны превышать 0,10 г при доверительной вероятности P = 0,95. Результат измерения округляют до второго десятичного знака.
Границы интервала относительной погрешности измерения массы единицы продукции - +/- 1% при доверительной вероятности P = 0,95.
7.4.2 Определение средней массы единицы продукции от 20 до 500 г
7.4.2.1 Аппаратура:
- весы лабораторные высокого (II) класса точности по
ГОСТ Р 53228 с наибольшим пределом взвешивания 1500 г.
7.4.2.2 Проведение измерения
Случайным образом отбирают не менее пяти единиц готовой продукции и последовательно взвешивают их с точностью до первого десятичного знака. Среднюю массу одной единицы средства M, г, вычисляют по формуле

, (3)
где

- суммарная масса всех взятых единиц продукции, г;
N - количество взятых единиц продукции, шт.
За конечный результат принимают среднее арифметическое результатов всех измерений, допускаемые расхождения между которыми не должны превышать 0,10 г при доверительной вероятности P = 0,95. Результат измерения округляют до второго десятичного знака.
Границы интервала относительной погрешности измерения массы изделия - +/- 1% при доверительной вероятности P = 0,95.
7.5 Определение показателя активности водородных ионов (pH)
Сущность метода заключается в измерении разности потенциалов между измерительным стеклянным электродом и электродом сравнения (вспомогательным), погруженными в испытуемое средство, его водный раствор или эмульсию. Данный метод предназначен для определения pH в диапазоне от 0 до 14 единиц.
Для измерения используют средство, его водный раствор или эмульсию с массовой долей 10% в соответствии с требованиями нормативного документа и технической документации на средство.
7.5.1 Аппаратура, реактивы и материалы
7.5.1.1 Иономер или pH-метр лабораторный с преобразователем, соответствующим требованиям группы 3 по
ГОСТ 22261, обеспечивающий измерение показателя активности водородных ионов от 0 до 14 pH с пределами допускаемой основной погрешности +/- 0,05 pH и ценой деления шкалы не более 0,05 pH.
7.5.1.2 Электрод стеклянный лабораторный ЭСЛ-43-07, ЭСЛ-63-07 или ЭС-10601 по ГОСТ 16287.
7.5.1.3 Электрод вспомогательный лабораторный ЭВЛ-1М3 или ЭСр-10101 по
ГОСТ 22261.
7.5.1.4 Весы лабораторные высокого (II) класса точности с ценой деления 10 мг по
ГОСТ Р 53228 и наибольшим пределом взвешивания 500 г.
7.5.1.5 Термометр жидкостный стеклянный диапазоном измерений температуры от 0 °C до 100 °C и ценой деления шкалы 1 °C по
ГОСТ 28498.
7.5.1.9 Стандарт-титры для приготовления буферных растворов 2-го или 3-го разрядов по
ГОСТ 8.135.
7.5.2 Приготовление водного раствора или водной эмульсии средства с массовой долей 10%
К 10 г средства в стакане добавляют цилиндром 90 см3 дистиллированной воды и тщательно перемешивают.
7.5.3 Приготовление буферных растворов
Буферные растворы для градуировки иономера (или pH-метра) готовят и хранят в соответствии с инструкцией по приготовлению буферных растворов.
7.5.4 Подготовка прибора
Иономер (или pH-метр) и электроды готовят к работе в соответствии с руководством по эксплуатации, прилагаемым к прибору.
Непосредственно перед выполнением измерений иономер проверяют по двум буферным растворам с pH выше и ниже предполагаемого значения не более чем на 2 единицы pH.
7.5.5 Проведение измерений
В стакан со средством или с подготовленным по
7.5.2 водным раствором или эмульсией средства опускают электроды, предварительно промытые дистиллированной водой и осушенные фильтровальной бумагой. Электроды не должны касаться стенок и дна стакана.
Показатель активности водородных ионов (pH) измеряют согласно прилагаемому к иономеру (pH-метру) руководству по эксплуатации. Снятие показаний следует проводить при комнатной температуре не позднее 5 мин после погружения электродов. Допускается при необходимости увеличение времени до 10 мин.
Проводят второе измерение, используя новую навеску испытуемого средства.
7.5.6 Обработка результатов измерений и метрологические характеристики
Проводят оперативный контроль повторяемости (сходимости) при каждом измерении.
Если расхождение между результатами измерений более 0,1 pH, то проводят третье измерение.
Если после этого расхождение между наибольшим и наименьшим результатами определения более 0,1 pH, повторяют весь процесс измерения, включая градуировку.
За конечный результат измерения принимают среднее арифметическое результатов двух осуществленных измерений, полученных в условиях повторяемости (сходимости), расхождение между которыми не должно превышать 0,1 pH при доверительной вероятности P = 0,95. Результат измерения округляют до первого десятичного знака.
Границы интервала абсолютной погрешности измерения показателя активности водородных ионов (pH) - +/- 0,1 pH при доверительной вероятности P = 0,95.
7.6 Стабильность при повышенной температуре
7.6.1 Стабильность средств оценивают при выдерживании в термостате при температуре (54 +/- 2) °C в течение 14 дней. Испытания проводят в потребительской упаковке или упаковке, изготовленной из тех же материалов, что и потребительская.
Если средство по истечении этого срока соответствует требованиям нормативного документа и технической документации на продукцию, то возможно установить его срок годности 24 мес.
7.6.2 Если при (54 +/- 2) °C средство разлагается или не выдерживает испытания по
7.6.1, его проверяют при меньшей температуре или в течение меньшего времени (см.
таблицу 6), после чего проводят испытания на соответствие средства требуемым органолептическим и физико-химическим показателям (см.
таблицы 1 и
2).
Таблица 6
Сроки хранения средств при повышенной температуре
Температура, °C | Срок экспериментального хранения, сут | Устанавливаемый срок хранения при 20 °C, мес |
54 +/- 2 | 14 | 24 |
54 +/- 2 | 7 | 12 |
50 +/- 2 | 28 | 24 |
50 +/- 2 | 14 | 12 |
40 +/- 2 | 56 | 24 |
40 +/- 2 | 28 | 12 |
7.6.3 Допускается проводить определение стабильности средств на более длительный срок хранения при 20 °C, но не более чем на 60 мес.
7.7 Определение прочности и герметичности аэрозольной упаковки
7.7.1 Средства измерений, вспомогательные устройства, материалы
7.7.1.1 Термометр жидкостный стеклянный диапазоном измерений температуры от 0 °C до 100 °C с ценой деления шкалы 1 °C по
ГОСТ 28498.
7.7.1.3 Термостат жидкостный (водяная баня), обеспечивающий температуру от (35 +/- 2) °C до (60 +/- 2) °C и одновременное погружение не менее трех аэрозольных упаковок средства не менее чем на половину их высоты.
7.7.1.4 Кисточка или тампон.
7.7.2 Проведение испытаний
Для проведения испытаний берут пять образцов средства, не использованных ранее. С каждого образца средства снимают колпачок и распылительную головку, помещают в ванну-термостат и выдерживают 20 - 25 мин при температуре воды в ванне (50 +/- 1) °C или при температуре, указанной в технической документации на средство. Слой воды должен полностью покрывать упаковку.
По истечении указанного времени в случае появления пузырьков воздуха на поверхности аэрозольной упаковки их удаляют кисточкой или тампоном.
Аэрозольную упаковку считают выдержавшей испытание, если при визуальном наблюдении в течение 5 мин после термостатирования ни из одной испытуемой аэрозольной упаковки, находящейся в ванне-термостате, не будут выделяться пузырьки газа и не произойдет деформация ни одного из испытуемых баллонов.
7.8 Определение работоспособности клапана аэрозольной упаковки
7.8.1 Выполнение испытаний
Определение проводят на пяти образцах средства, прошедших испытания на прочность и герметичность аэрозольной упаковки.
В каждую испытуемую аэрозольную упаковку вставляют распылительную головку и нажимают пальцем на головку до отказа.
Клапан считают работоспособным, если при нажиме пальцем на распылительную головку клапан открывается, выпуская содержимое упаковки, и закрывается немедленно после освобождения головки, прекращая выход содержимого.
Не допускается выделение содержимого через соединение ниппель-головка, не устраняемое заменой головки.
Для пенных средств допускается незначительное выделение пропеллента при первом нажатии пальца на распылительную головку, а также выделение остаточного количества содержимого (в виде сгустка пены) после закрытия клапана.
7.9 Измерение избыточного давления в аэрозольной упаковке при 20 °C
7.9.1 Средства измерений, вспомогательные устройства
7.9.1.1 Манометр класса точности 1,5 по
ГОСТ 2405 с верхним пределом измерений давления 1 МПа (10 кгс/см
2) или 1,6 МПа (16 кгс/см
2) с наконечником, обеспечивающим соединение с аэрозольной упаковкой.
7.9.1.2 Термометр жидкостный стеклянный диапазоном измерений температуры от 0 °C до 100 °C с ценой деления шкалы 1 °C по
ГОСТ 28498.
7.9.1.3 Водяная ванна-термостат, обеспечивающая температуру (20 +/- 1) °C.
7.9.2 Проведение измерений
Для проведения испытаний берут три образца средства, не использованных ранее. С каждого образца средства снимают колпачок и распылительную головку, помещают в водяную ванну-термостат температурой (20 +/- 1) °C на 20 - 25 мин. Слой воды должен полностью покрывать упаковку. После термостатирования образец средства вынимают из ванны, несколько раз встряхивают и измеряют манометром давление в упаковке.
За результат измерения принимают среднее арифметическое результатов измерений на трех образцах, полученных в условиях повторяемости (сходимости), расхождение между наиболее отличающимися значениями которых при доверительной вероятности P = 0,95 не должно превышать 0,04 МПа. Результат измерений округляют до второго десятичного знака.
7.10 Определение массовой доли пропеллента
Метод предназначен для определения массовой доли углеводородного пропеллента в средствах, выпускаемых в аэрозольных упаковках. В качестве образца средства берут готовый аэрозольный баллон.
7.10.1 Оборудование, посуда, реактивы
7.10.1.1 Весы лабораторные высокого (II) класса точности по
ГОСТ Р 53228 с наибольшим пределом взвешивания 1500 г.
7.10.1.2 Камера морозильная, позволяющая поддерживать температуру от минус 15 °C до минус 25 °C.
7.10.1.3 Термостат жидкостный (водяная баня), позволяющий поддерживать температуру (40 +/- 2) °C.
7.10.1.4 Шкаф электрический сушильный, позволяющий поддерживать температуру (100 +/- 10) °C.
7.10.2 Проведение испытания
Для проведения испытаний берут три образца средства, не использованных ранее. Перед началом испытания образец помещают в морозильную камеру на 3 ч. После охлаждения взвешивают баллон без крышки и клапана с точностью до второго десятичного знака (m0).
В баллоне делают одно отверстие диаметром менее 1 мм для удаления пропеллента и оставляют в работающем вытяжном шкафу на 2 ч. Затем помещают в водяную баню при температуре (40 +/- 2) °C и выдерживают 40 мин. После удаления пропеллента баллон взвешивают с точностью до второго десятичного знака (m1).
Содержимое баллона переносят в коническую колбу с притертой крышкой и используют для дальнейших испытаний или утилизируют. Аэрозольный баллон дважды промывают 5 см3 ацетона и высушивают в сушильном шкафу до постоянной массы. Затем баллон остужают до комнатной температуры и взвешивают с точностью до второго десятичного знака (mб).
7.10.3 Обработка и оформление результатов
Массовую долю углеводородного пропеллента в средстве X, %, вычисляют по формуле

, (4)
где m0 - масса баллона с пропеллентом, без крышки и клапана, г;
m1 - масса баллона после удаления пропеллента, г;
mб - масса пустого баллона, г.
За конечный результат принимают среднее арифметическое результатов измерений на трех образцах, полученных в условиях повторяемости (сходимости), расхождение между которыми не должно превышать 2,0% при доверительной вероятности P = 0,95. Результат измерения округляют до первого десятичного знака.
Допускаемая абсолютная суммарная погрешность результата испытания - +/- 1,0% при доверительной вероятности P = 0,95.
7.11 Определение степени эвакуации содержимого из аэрозольной упаковки
7.11.1 Средства измерений, вспомогательные устройства, материалы
7.11.1.1 Весы лабораторные высокого (II) класса точности по
ГОСТ Р 53228 с наибольшим пределом взвешивания 1500 г.
7.11.1.2 Термометр жидкостный стеклянный диапазоном измерений температуры от 0 °C до 100 °C с ценой деления шкалы 1 °C по
ГОСТ 28498.
7.11.1.5 Термостат жидкостный (водяная баня), обеспечивающий температуру от 60 °C до 65 °C и от 18 °C до 25 °C.
7.11.1.6 Шкаф электрический сушильный, обеспечивающий поддержание температуры (80 +/- 5) °C.
7.11.2 Проведение измерений
Для проведения измерений в качестве образцов средства берут три аэрозольных баллона, не использованных ранее. С каждого баллона снимают колпачок, встряхивают пять раз и взвешивают (m0). Результаты всех взвешиваний в граммах записывают с точностью до второго десятичного знака. Из баллона нажимом на головку выпускают содержимое.
В случае охлаждения баллона при выпуске содержимого ниже температуры 18 °C его выдерживают в термостате в течение 25 - 30 мин при температуре от 18 °C до 25 °C.
Баллон при выпуске содержимого периодически встряхивают. В случае засорения головки ее заменяют другой.
Когда выход содержимого прекратится, проводят контрольную операцию: не снимая пальца с головки, баллон наклоняют (приблизительно на 45°) и поворачивают один раз вокруг оси. Если и после этой операции содержимое больше не выделяется, то баллон с остатком содержимого взвешивают (m1). После взвешивания коническую (сферическую) или цилиндрическую часть баллона пробивают острым предметом в двух-трех местах (сверлить не допускается) и выпускают остаток содержимого.
В баллон через пробитые отверстия наливают 15 - 20 см3 ацетона. Баллон ополаскивают, дают растворителю полностью стечь. Ополаскивание проводят трижды, после чего баллон помещают в сушильный шкаф, сушат 20 - 25 мин при температуре (80 +/- 5) °C, охлаждают до температуры окружающей среды и взвешивают (mб).
7.11.3 Обработка результатов измерений
Степень эвакуации содержимого из аэрозольной упаковки X, %, вычисляют по формуле

, (5)
где m0 - масса баллона с содержимым, без крышки и клапана, г;
m1 - масса баллона после удаления содержимого, г;
mб - масса пустого баллона, г.
За результат измерения принимают среднее арифметическое результатов измерений на трех образцах средства, полученных в условиях повторяемости (сходимости), абсолютное расхождение между наиболее отличающимися значениями которых при доверительной вероятности P = 0,95 не должно превышать 2,0%.
Результат измерения округляют до первого десятичного знака.
7.11.4 Метрологические характеристики
Границы интервала абсолютной погрешности результата измерения - +/- 1,0% при доверительной вероятности P = 0,95.
8 Транспортирование и хранение
Транспортирование средств, за исключением приобретаемых населением для использования в быту, следует осуществлять в заводской таре и упаковке, отдельно от продуктов питания. Тара должна обеспечивать сохранение потребительских свойств продукции и защиту от воздействия ее опасных свойств на человека и окружающую среду. Средства, расфасованные в мелкую (внутреннюю) тару, необходимо транспортировать в специальной укладке, обеспечивающей сохранность большой (внешней) тары. Тара должна иметь тарную этикетку с указанием наименования средства, датой изготовления, концентрацией действующих веществ и сроком годности.
Средства необходимо хранить в сухих помещениях, в неповрежденной таре и плотно закрытой упаковке производителя с этикеткой. Условия хранения должны соответствовать требованиям, установленным документами на каждое средство. Допускается совместное хранение со средствами для дератизации и дезинфекции.
В помещении для хранения средств не допускается хранить пищевые продукты, питьевую воду, принимать пищу, находиться посторонним лицам. Жидкие и порошкообразные (гранулированные, сыпучие) средства должны храниться в различных секциях помещения. Пол, стены и потолки должны иметь отделку, предотвращающую сорбцию вредных или агрессивных веществ и допускающую влажную уборку и мытье (например, кафель, масляная краска, линолеум). Температура в помещении должна быть от 15 °C до 25 °C.
| | О безопасности упаковки |
| | Методы лабораторных исследований и испытаний дезинфекционных средств для оценки их эффективности и безопасности |
УДК 615.285:006.354 | |
Ключевые слова: дезинсекционные средства, общие технические условия, классификация, требования, методы испытаний, транспортирование, хранение |