Главная // Актуальные документы // ГОСТ Р (Государственный стандарт)СПРАВКА
Источник публикации
М.: Стандартинформ, 2020
Примечание к документу
Документ
введен в действие с 01.06.2020.
Название документа
"ГОСТ Р 58797-2020. Национальный стандарт Российской Федерации. Вода питьевая, расфасованная в емкости. Определение массовой концентрации растворенного кислорода. Методика измерений"
(утв. и введен в действие Приказом Росстандарта от 21.01.2020 N 8-ст)
"ГОСТ Р 58797-2020. Национальный стандарт Российской Федерации. Вода питьевая, расфасованная в емкости. Определение массовой концентрации растворенного кислорода. Методика измерений"
(утв. и введен в действие Приказом Росстандарта от 21.01.2020 N 8-ст)
Утвержден и введен в действие
по техническому регулированию
и метрологии
от 21 января 2020 г. N 8-ст
НАЦИОНАЛЬНЫЙ СТАНДАРТ РОССИЙСКОЙ ФЕДЕРАЦИИ
ВОДА ПИТЬЕВАЯ, РАСФАСОВАННАЯ В ЕМКОСТИ. ОПРЕДЕЛЕНИЕ
МАССОВОЙ КОНЦЕНТРАЦИИ РАСТВОРЕННОГО КИСЛОРОДА
МЕТОДИКА ИЗМЕРЕНИЙ
Drinking bottled water. Determination of mass concentration
of dissolved oxygen. Measurement procedure
ГОСТ Р 58797-2020
Дата введения
1 июня 2020 года
1 РАЗРАБОТАН Федеральным бюджетным учреждением "Государственный региональный центр стандартизации, метрологии и испытаний в Свердловской области" (ФБУ "УРАЛТЕСТ")
2 ВНЕСЕН подкомитетом ПК 1 "Безопасность и эффективность водохозяйственной деятельности" Технического комитета по стандартизации ТК 343 "Качество воды"
3 УТВЕРЖДЕН И ВВЕДЕН В ДЕЙСТВИЕ
Приказом Федерального агентства по техническому регулированию и метрологии от 21 января 2020 г. N 8-ст
4 ВВЕДЕН ВПЕРВЫЕ
5 Национальный орган Российской Федерации по стандартизации не несет ответственности за патентную чистоту настоящего стандарта. Патентообладатель может заявить о своих правах и направить в национальный орган по стандартизации аргументированное предложение о внесении в настоящий стандарт поправки для указания информации о наличии в стандарте объектов патентного права и патентообладателе
Правила применения настоящего стандарта установлены в статье 26 Федерального закона от 29 июня 2015 г. N 162-ФЗ "О стандартизации в Российской Федерации". Информация об изменениях к настоящему стандарту публикуется в ежегодном (по состоянию на 1 января текущего года) информационном указателе "Национальные стандарты", а официальный текст изменений и поправок - в ежемесячном информационном указателе "Национальные стандарты". В случае пересмотра (замены) или отмены настоящего стандарта соответствующее уведомление будет опубликовано в ближайшем выпуске ежемесячного информационного указателя "Национальные стандарты". Соответствующая информация, уведомление и тексты размещаются также в информационной системе общего пользования - на официальном сайте Федерального агентства по техническому регулированию и метрологии в сети Интернет (www.gost.ru)
Настоящий стандарт устанавливает методы измерения содержания растворенного кислорода в питьевой воде, расфасованной в емкости (упакованной).
Содержание растворенного кислорода является показателем, регламентируемым Санитарно-эпидемиологическими
правилами и нормативами [1], а также показателем, подлежащим контролю в соответствии с
ГОСТ 32220.
Содержание растворенного кислорода является показателем физиологической полноценности питьевой воды для человека.
Однако на текущий момент в Российской Федерации не приняты документы по стандартизации, устанавливающие методику определения растворенного кислорода в питьевой воде, расфасованной в емкости.
Принятие настоящего стандарта позволит лабораториям проводить испытания питьевой воды, расфасованной в емкости, с использованием стандартизованных методик испытаний (измерений) для данных объектов.
Настоящий стандарт распространяется на воду питьевую, расфасованную в емкости, и устанавливает следующие методы определения массовой концентрации растворенного кислорода:
- титриметрический (метод А) в диапазоне измерений от 3,0 до 16,0 мг/дм3;
- амперометрический (метод Б) в диапазоне измерений от 3,0 до 16,0 мг/дм3.
В настоящем стандарте использованы нормативные ссылки на следующие стандарты:
ГОСТ OIML R 76-1 Государственная система обеспечения единства измерений. Весы неавтоматического действия.
ГОСТ 83 Реактивы. Натрий углекислый. Технические условия
ГОСТ 435 Реактивы. Марганец (II) сернокислый 5-водный. Технические условия
ГОСТ 612 Реактивы. Марганец (II) хлористый 4-водный. Технические условия
ГОСТ 624 Кислота салициловая (2-оксибензойная) техническая. Технические условия
ГОСТ 1770 Посуда мерная лабораторная стеклянная. Цилиндры, мензурки, колбы, пробирки. Общие технические условия
ГОСТ 3118 Реактивы. Кислота соляная. Технические условия
ГОСТ 4204 Реактивы. Кислота серная. Технические условия
ГОСТ 4220 Реактивы. Калий двухромовокислый. Технические условия
ГОСТ 4232 Реактивы. Калий йодистый. Технические условия
ГОСТ 4328 Реактивы. Натрия гидроокись. Технические условия
ГОСТ 8422 Реактивы. Натрий йодистый 2-водный. Технические условия
ГОСТ 9147 Посуда и оборудование лабораторные фарфоровые. Технические условия
ГОСТ 10163 Реактивы. Крахмал растворимый. Технические условия
ГОСТ 14919 Электроплиты, электроплитки и жарочные электрошкафы бытовые. Общие технические условия
ГОСТ ISO/IEC 17025 Общие требования к компетентности испытательных и калибровочных лабораторий
ГОСТ 19627 Гидрохинон (парадиоксибензол). Технические условия
ГОСТ 22018 Анализаторы растворенного в воде кислорода амперометрические ГСП. Общие технические требования
ГОСТ 23268.0 Воды минеральные питьевые лечебные, лечебно-столовые и природные столовые. Правила приемки и методы отбора проб
ГОСТ 25336 Посуда и оборудование лабораторные стеклянные. Типы, основные параметры и размеры
ГОСТ 27068 Реактивы. Натрий серноватистокислый (натрия тиосульфат) 5-водный. Технические условия
ГОСТ 27460 Трубки, капилляры и палочки из боросиликатного стекла 3,3. Общие технические условия
ГОСТ 27752 Часы электронно-механические кварцевые настольные, настенные и часы-будильники. Общие технические условия.
ГОСТ 28498 Термометры жидкостные стеклянные. Общие технические требования. Методы испытаний
ГОСТ 29169 Посуда лабораторная стеклянная. Пипетки с одной отметкой
ГОСТ 29227 Посуда лабораторная стеклянная. Пипетки градуированные. Часть 1. Общие требования
ГОСТ 29251 Посуда лабораторная стеклянная. Бюретки. Часть 1. Общие требования
ГОСТ 30813 Вода и водоподготовка. Термины и определения
ГОСТ 32220 Вода питьевая, расфасованная в емкости. Общие технические условия
ГОСТ Р ИСО 5725-6-2002 Точность (правильность и прецизионность) методов и результатов измерений. Часть 6. Использование значений точности на практике
Примечание - При пользовании настоящим стандартом целесообразно проверить действие ссылочных стандартов в информационной системе общего пользования - на официальном сайте Федерального агентства по техническому регулированию и метрологии в сети Интернет или по ежегодному информационному указателю "Национальные стандарты", который опубликован по состоянию на 1 января текущего года, и по выпускам ежемесячного информационного указателя "Национальные стандарты" за текущий год. Если заменен ссылочный стандарт, на который дана недатированная ссылка, то рекомендуется использовать действующую версию этого стандарта с учетом всех внесенных в данную версию изменений. Если заменен ссылочный стандарт, на который дана датированная ссылка, то рекомендуется использовать версию этого стандарта с указанным выше годом утверждения (принятия). Если после утверждения настоящего стандарта в ссылочный стандарт, на который дана датированная ссылка, внесено изменение, затрагивающее положение, на которое дана ссылка, то это положение рекомендуется применять без учета данного изменения. Если ссылочный стандарт отменен без замены, то положение, в котором дана ссылка на него, рекомендуется применять в части, не затрагивающей эту ссылку.
В настоящем стандарте применены термины по
ГОСТ 30813, а также следующие термины с соответствующими определениями:
3.1 растворенный кислород: Кислород, который находится в воде в виде молекул O2.
3.2 питьевая вода, расфасованная в емкости: Питьевая вода, герметически упакованная в потребительскую тару (упаковку) различного состава, формы и вместимости, предназначенная для удовлетворения питьевых и бытовых потребностей человека либо для приготовления продукции, потребляемой человеком (пищевых продуктов, напитков, пищи).
4.1 Метода А основан на реакции растворенного в воде кислорода с гидроксидом марганца (II) в щелочной среде с образованием гидроокиси марганца (IV). При подкислении пробы в присутствии избытка йодида калия марганец (IV) окисляет ионы йода до свободного йода, количество которого эквивалентно содержанию растворенного кислорода и определяется титрованием раствором натрия серноватистокислого.
4.2 Метод Б основан на использовании амперометрического датчика, состоящего из камеры, окруженной селективной мембраной, и двух металлических электродов. Мембрана практически непроницаема для воды и растворенных ионов, но пропускает кислород. Электроды погружены в раствор электролита. Из-за разности потенциалов между электродами кислород из контролируемой среды, проходя через мембрану, восстанавливается на катоде. Сигнал тока, вырабатываемый при этом в датчике, пропорционален массовой концентрации растворенного кислорода при фиксированных температуре и атмосферном давлении.
5 Условия проведения измерений
Измерения проводят при следующих условиях, если другое не указано в руководстве (инструкции) по эксплуатации прибора:
- температура окружающего воздуха ................................... | от 15 °C до 30 °C; |
- относительная влажность воздуха .................................... | до 80%; |
- температура анализируемой воды .................................... | от 18 °C до 25 °C; |
- напряжение питающей сети .............................................. | от 110 до 240 В. |
Допускается осуществлять электропитание от автономного источника в соответствии с руководством (инструкцией) по эксплуатации прибора.
К выполнению измерений и обработке их результатов допускают лиц с высшим или средним специальным химическим образованием или с опытом работы в аналитической лаборатории, владеющих техникой титриметрического (амперометрического) анализа и показавших удовлетворительные результаты при выполнении процедур контроля качества результатов измерений.
7.1 Требования к средствам измерений, вспомогательным устройствам, реактивам и материалам
7.1.1 Средства измерений, вспомогательные устройства
Весы неавтоматического действия по
ГОСТ OIML R 76-1 специального или высокого класса точности с пределом допускаемой абсолютной погрешности не более +/- 0,001 г.
Колбы мерные 2-100-2, 2-500-2, 2-1000-2 по
ГОСТ 1770.
Пипетки градуированные 1-1-2-1, 1-1-2-2, 1-1-2-5, 1-1-2-10 по
ГОСТ 29227.
Пипетки с одной меткой 2-2-5, 2-2-10, 2-2-50, 2-2-100 по
ГОСТ 29169.
Колбы конические Кн-2-100, Кн-2-250 по
ГОСТ 25336.
Стаканы В-1-50, В-1-100, В-1-250, В-1-500, В-1-1000 ТХС по
ГОСТ 25336.
Склянки БПК-150-29/22-14/1, БПК-250-29/22-14/15 по
ГОСТ 25336.
Палочка стеклянная (20 - 30) см диаметром (5 - 8) мм по ГОСТ 27460.
Склянки для хранения растворов из светлого и темного стекла с завинчивающимися или притертыми пробками вместимостью 100, 250, 500, 1000 см3.
Емкости полимерные для хранения растворов вместимостью 100, 250, 500, 1000 см3.
Электроплитка с закрытой спиралью и регулируемой мощностью нагрева по
ГОСТ 14919.
Примечание - Допускается использование других средств измерений, вспомогательных устройств, в том числе импортных, имеющих метрологические и технические характеристики не хуже указанных.
7.1.2 Реактивы и материалы
Марганец (II) хлористый 4-водный по
ГОСТ 612 или марганец (II) сернокислый 5-водный по
ГОСТ 435, ч.д.а.
Калий йодистый по
ГОСТ 4232 или натрий йодистый 2-водный по ГОСТ 8422, ч.д.а.
Калий двухромовокислый по
ГОСТ 4220, ч.д.а. или калий двухромовокислый стандарт-титр по
[2], 0,1 моль/дм
3.
Натрий серноватистокислый (натрия тиосульфат) 5-водный по
ГОСТ 27068, ч.д.а или натрий серноватистокислый стандарт-титр по
[2], 0,1 моль/дм
3.
Натрий углекислый по
ГОСТ 83, ч.д.а.
Салициловая кислота по ГОСТ 624, марка Б.
Фильтры бумажные обеззоленные "белая лента" по
[3].
Примечание - Допускается использование других реактивов и материалов, изготовленных по другой нормативно-технической документации, в том числе импортных с квалификацией не ниже указанной.
7.2 Подготовка к выполнению измерений
7.2.1 Отбор и подготовка проб
7.2.1.1 Отбор образцов расфасованной воды в потребительской таре проводят по
ГОСТ 23268.0.
7.2.1.2 Для проведения измерений растворенного кислорода объединенную пробу из отобранных образцов наливают в две склянки. Склянки ополаскивают отбираемой анализируемой водой, заполняют доверху и продолжают ток воды до тех пор, пока ее выльется не менее половины от объема склянки. Склянка должна быть заполнена до краев и не иметь пузырьков воздуха на стенках.
Сразу после заполнения склянки проводят фиксацию кислорода в соответствии с
7.3.1.
7.2.2 Приготовление растворов и реактивов
7.2.2.1 Раствор хлористого (сернокислого) марганца (II)
Для приготовления раствора хлористого (сернокислого) марганца в стакане вместимостью 1000 см3 растворяют (210 +/- 1) г марганца (II) хлористого 4-водного (или (260 +/- 1) г марганца (II) сернокислого 5-водного) в (300 - 350) см3 дистиллированной воды, полученный раствор фильтруют через фильтр "белая лента" в мерную колбу вместимостью 500 см3, доводят до метки дистиллированной водой и перемешивают. Раствор хранят в плотно закрытой склянке при комнатной температуре не более 3 мес.
7.2.2.2 Щелочной раствор йодистого калия (натрия)
| | ИС МЕГАНОРМ: примечание. В официальном тексте документа, видимо, допущена опечатка: п. 7.3.2.1 отсутствует. | |
Для приготовления щелочного раствора йодистого калия (или натрия) проводят их предварительную очистку от свободного йода по 7.3.2.1.
Затем в стакане вместимостью 100 см3 растворяют (15 +/- 1) г калия йодистого или (18 +/- 1) г натрия йодистого 2-водного в 20 см3 дистиллированной воды.
В стакане вместимостью 250 см3 растворяют (50 +/- 1) г гидроксида натрия в 50 см3 дистиллированной воды.
Полученные растворы смешивают в мерной колбе вместимостью 100 см3 и доводят объем до метки дистиллированной водой. При визуальном наличии мути раствор фильтруют через фильтр "белая лента". Раствор хранят в плотно закрытой полимерной емкости при комнатной температуре не более 6 месяцев.
7.2.2.3 Раствор соляной кислоты 2:1 (раствор серной кислоты 1:4)
Для приготовления раствора соляной кислоты (2:1) 200 см3 концентрированной соляной кислоты добавляют к 100 см3 дистиллированной воды.
Для приготовления раствора серной кислоты (1:4) 100 см3 концентрированной серной кислоты смешивают с 400 см3 дистиллированной воды.
Растворы кислот устойчивы при хранении в плотно закрытой посуде при комнатной температуре в течение 6 месяцев.
7.2.2.4 Раствор крахмала, 0,5%-ный
Для приготовления 0,5%-ного раствора крахмала навеску массой (0,5 +/- 0,1) г крахмала взбалтывают в стакане с (15 - 20) см3 дистиллированной воды. Суспензию постепенно приливают к (80 - 85) см3 кипящей в конической колбе дистиллированной воды и кипятят еще (2 - 3) мин. После охлаждения консервируют добавлением двух-трех капель хлороформа или нескольких кристалликов салициловой кислоты. Раствор хранят в плотно закрытой посуде при комнатной температуре. Раствор годен до помутнения.
7.2.2.5 Раствор калия двухромовокислого с молярной концентрацией 0,1 моль/дм3
Раствор с молярной концентрацией 0,1 моль/дм3 готовят из стандарт-титра (фиксанала) калия двухромовокислого в соответствии с инструкцией по применению, разбавляя его до требуемой концентрации дистиллированной водой.
При отсутствии стандарт-титра (фиксанала) калия двухромовокислого раствор готовят следующим способом: в мерной колбе вместимостью 1000 см3 растворяют (4,904 +/- 0,001) г двухромовокислого калия в 200 см3 дистиллированной воды и доводят до метки дистиллированной водой.
Срок хранения раствора в емкости из темного стекла при комнатной температуре - не более 6 мес.
7.2.2.6 Раствор калия двухромовокислого с молярной концентрацией 0,02 моль/дм3.
В мерную колбу вместимостью 500 см3 вносят 100 см3 раствора двухромовокислого калия с молярной концентрацией 0,1 моль/дм3 и доводят объем раствора в колбе до метки дистиллированной водой.
Раствор устойчив при хранении в плотно закрытой темной склянке при комнатной температуре в течение 3 мес.
7.2.2.7 Раствор тиосульфата натрия с молярной концентрацией 0,1 моль/дм3
В мерной колбе вместимостью 1000 см3 растворяют 25,0 г тиосульфата натрия в 200 см3 дистиллированной воды, добавляют 0,2 г натрия углекислого или (2 - 3) см3 хлороформа и доводят до метки дистиллированной водой. В случае применения стандарт-титра (фиксанала) раствор готовят в соответствии с инструкцией по приготовлению.
Срок хранения раствора в емкости из темного стекла в защищенном от прямых солнечных лучей месте при комнатной температуре - не более 3 мес.
7.2.2.8 Раствор тиосульфата натрия с молярной концентрацией 0,02 моль/дм3 (рабочий раствор)
В мерную колбу вместимостью 500 см3 вносят 100 см3 тиосульфата натрия с молярной концентрацией 0,1 моль/дм3 и доводят объем раствора в колбе до метки дистиллированной водой.
Раствор устойчив при хранении в плотно закрытой темной склянке при комнатной температуре в течение 3 мес. Перед определением точной концентрации раствор выдерживают не менее пяти дней.
7.2.3 Проверка чистоты используемых реактивов и растворов
7.2.3.1 Калий (натрий) йодистый
Для проверки чистоты навеску калия (натрия) йодистого массой (1,0 +/- 0,1) г растворяют в 100 см3 свежепрокипяченной и охлажденной до комнатной температуры дистиллированной воды, добавляют 10 см3 раствора соляной кислоты (2:1) или серной кислоты (1:4) и 1 см3 0,5%-ного раствора крахмала.
Если в течение 5 мин голубая окраска не появляется, реактив пригоден для использования.
7.2.3.2 Раствор хлористого (сернокислого) марганца (II)
К 100 см3 свежепрокипяченной и охлажденной дистиллированной воды добавляют 1 см3 раствора хлористого (сернокислого) марганца (II), (0,20 +/- 0,01) г сухого калия йодистого, прошедшего проверку на чистоту, 5 см3 раствора соляной кислоты (2:1) (или серной 1:4) и 1 см3 0,5%-ного раствора крахмала. Отсутствие через 10 мин синей окраски указывает на чистоту реактива.
7.2.4 Измерение точной вместимости кислородных склянок
Чтобы измерить объем кислородной склянки, ее тщательно моют, высушивают (снаружи и изнутри) и взвешивают вместе с пробкой с точностью до 0,01 г.
Затем наполняют склянку дистиллированной водой до краев и закрывают стеклянной пробкой так, чтобы под пробкой не оставалось пузырьков воздуха. Обтирают склянку досуха и снова взвешивают с точностью до 0,01 г.
Массу воды в объеме склянки находят по разности двух измеренных масс. Для перевода на объем найденную массу следует разделить при температуре воды с 18 до 22 °C на 0,997 и свыше 22,5 °C на 0,996.
7.2.5 Установление точной концентрации рабочего раствора тиосульфата натрия
В колбу для титрования помещают 90 см3 дистиллированной воды, пипеткой с одной отметкой добавляют 5 см3 калия двухромовокислого 0,02 моль/дм3, (0,50 +/- 0,05) г сухого калия йодистого и 5 см3 раствора соляной кислоты (2:1) (или серной кислоты 1:4).
Раствор перемешивают, выдерживают в течение 5 мин в темном месте и титруют рабочим раствором тиосульфата натрия 0,02 моль/дм3 до появления слабо-желтой окраски. Затем добавляют 1 см3 0,5%-ного раствора крахмала и продолжают титрование до исчезновения синей окраски. Контроль исчезновения синей окраски проводят на фоне листа белой бумаги.
Повторяют титрование и, если расхождение между величинами объемов титранта не превышает 0,05 см3, за результат принимают их среднее значение. В противном случае повторяют титрование до получения результатов, отличающихся не более чем на 0,05 см3.
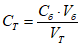
Точную концентрацию рабочего раствора тиосульфата натрия CТ, моль/дм3, вычисляют по формуле

, (1)
где Cб - концентрация раствора калия двухромовокислого, моль/дм3;
VТ - объем раствора тиосульфата натрия, израсходованный на титрование, см3;
Vб - объем раствора калия двухромовокислого, взятый для титрования, см3.
Точную концентрацию рабочего раствора тиосульфата натрия устанавливают в день проведения измерений.
7.3 Порядок проведения измерений
7.3.1 Сразу после заполнения склянок производят обработку проб и фиксацию растворенного кислорода. В склянку с пробой воды вводят отдельными пипетками 1 см
3 (при вместимости склянки до 150 см
3) или 2 см
3 (при вместимости более 150 см
3) раствора хлористого (сернокислого) марганца и 1 или 2 см
3 щелочного раствора калия (натрия) йодистого (при вместимости склянки до 150 см
3 и более 150 см
3 соответственно). Пипетку погружают каждый раз до половины склянки и по мере выливания раствора поднимают вверх. Затем быстро закрывают склянку стеклянной пробкой таким образом, чтобы в ней не оставалось пузырьков воздуха, и содержимое тщательно перемешивают (15 - 20)-кратным переворачиванием склянки. Склянки с зафиксированными пробами отстаивают не менее 20 мин. и не более 24 часов в темном, защищенном от света месте.
7.3.2 К зафиксированной пробе приливают 5 см3 раствора соляной (серной) кислоты, погружая при этом пипетку до дна склянки и медленно поднимая ее вверх по мере опорожнения. Процедуру добавления раствора кислоты проводят таким образом, чтобы после опорожнения пипетки склянка была заполнена доверху. Вытеснение из склянки части прозрачной жидкости на результат измерений не влияет.
После добавления раствора кислоты склянку закрывают пробкой и содержимое перемешивают (15 - 20)-кратным переворачиванием склянки. Пипеткой с одной отметкой из склянки отбирают 50 см3 раствора (пипетку предварительно ополаскивают этим раствором), переносят его в коническую колбу вместимостью 250 см3 для титрования и титруют рабочим раствором тиосульфата натрия 0,02 моль/дм3 до тех пор, пока анализируемый раствор не станет светло-желтым. Затем прибавляют 1 см3 0,5%-ного раствора крахмала и продолжают титрование до исчезновения синей окраски. Контроль исчезновения синей окраски проводят на фоне чистого листа белой бумаги. Фиксируют общее количество раствора тиосульфата натрия, израсходованного на титрование.
Аналогичным образом обрабатывают и титруют параллельную пробу из второй склянки.
7.4 Обработка результатов измерений
Массовую концентрацию растворенного кислорода в анализируемой пробе воды X, мг/дм3, вычисляют по формуле

, (2)
где 8 - масса ммоля кислорода, эквивалентная 1 ммолю тиосульфата натрия, мг/ммоль;
CТ - концентрация рабочего раствора тиосульфата натрия, моль/дм3;
VТ - объем рабочего раствора тиосульфата натрия, израсходованный на титрование, см3;
V1 - объем аликвоты, отобранный для титрования тиосульфатом, см3;
V - точная вместимость кислородной склянки, см3;
V2 - суммарный объем растворов марганца хлористого (сернокислого) и калия (натрия) йодистого, добавленных в кислородную склянку при фиксации растворенного кислорода, см3.
За результат измерений массовой концентрации принимают среднее арифметическое значение Xср, мг/дм3 результатов двух параллельных измерений X1 и X2, полученных в условиях повторяемости, при выполнении условия:

, (3)
где
r - значение предела повторяемости по
таблице 1.
В случае невыполнения
условия (3) при наличии достаточного объема пробы выполняют повторное титрование растворов из обеих склянок. При повторном расхождении результаты измерений анализируемой пробы бракуются и выясняются причины, приводящие к этим результатам.
Если для титрования содержимое склянок использовано полностью и повторные измерения провести невозможно, результаты также бракуются.
7.5 Метрологические характеристики
Метод обеспечивает получение результатов измерения с метрологическими характеристиками, не превышающими значений, приведенных в
таблице 1 при доверительной вероятности
P = 0,95.
Таблица 1
Метрологические характеристики
Диапазон измерений массовой концентрации растворенного кислорода, мг/дм3 | Показатель точности (границы относительной погрешности при P = 0,95),  , % | Предел повторяемости (относительное значение допускаемого расхождения между двумя результатами измерений, полученными в условиях повторяемости при P = 0,95), r, % | Предел внутрилабораторной прецизионности (относительное значение допускаемого расхождения между двумя результатами измерений, внутрилабораторной прецизионности P = 0,95), Rл, % |
От 3,0 до 16,0 включ. | 12 | 11 | 17 |
7.6 Контроль показателей качества результатов измерений
Контроль качества результатов измерений в лаборатории предусматривает проведение контроля стабильности результатов измерений с учетом требований ГОСТ Р ИСО 5725-6-2002
(раздел 6).
7.7 Оформление результатов измерений
Результат измерений регистрируют в протоколе испытаний, который оформляют в соответствии с требованиями
ГОСТ ISO/IEC 17025. При этом протокол испытаний должен содержать ссылку на настоящий стандарт.
Результаты измерений массовой концентрации растворенного кислорода Xср, мг/дм3, представляют в виде

, (4)
где Xср - среднеарифметическое значение результатов измерений массовой концентрации растворенного кислорода, мг/дм3;

- абсолютная погрешность измерений массовой концентрации растворенного кислорода (
P = 0,95), мг/дм
3, рассчитываемая по формуле

, (5)
где

- относительная погрешность измерений массовой концентрации растворенного кислорода по
таблице 1, %;
Числовое значение результата измерений должно оканчиваться цифрой того же разряда, что и значение характеристики погрешности, выраженное в миллиграммах на кубический дециметр и содержащее не более двух значащих цифр.
8.1 Требования к средствам измерений, вспомогательным устройствам, реактивам и материалам
8.1.1 Средства измерений, вспомогательные устройства
Анализатор растворенного кислорода по
ГОСТ 22018 или анализатор жидкости с амперометрическим датчиком с коррекцией температурной характеристики (термокомпенсацией) с основной приведенной погрешностью не более 4%.
Термометр лабораторный от 0 до 100 °C по
ГОСТ 28498, пределы допускаемой абсолютной погрешности +/- 0,2 °C.
Склянки БПК-150-29/22-14/1, БПК-250-29/22-14/15 по
ГОСТ 25336.
Мешалка магнитная любого типа с магнитным мешателем, покрытым пластиком.
Примечания
1 Допускается использование других средств измерений, вспомогательных устройств, в том числе импортных, имеющих метрологические и технические характеристики не хуже указанных.
2 При использовании анализатора растворенного кислорода или анализатора жидкости с амперометрическим датчиком без применения автоматической термокомпенсации измерение растворенного кислорода производят с учетом поправок на температурную зависимость растворимости кислорода в воде и температурную зависимость коэффициента проницаемости кислорода в газопроницаемой мембране в соответствии с указаниями технической документации.
3 Предел суммарной дополнительной погрешности анализаторов жидкости при совместном изменении влияющих величин, установленных для комплекса влияющих факторов согласно технической документации, в пределах рабочих диапазонов не должен превышать удвоенного предела допускаемого значения основной приведенной погрешности.
8.1.2 Реактивы и материалы
Примечание - Допускается использование других реактивов и материалов, изготовленных по другой нормативно-технической документации, в том числе импортных с квалификацией не ниже указанной.
8.2 Подготовка к выполнению измерений
Отбор образцов расфасованной воды в потребительской таре проводят в соответствии с
7.2.1.
Измерение содержания растворенного кислорода в питьевой воде, расфасованной в емкости, проводится непосредственно после вскрытия емкости.
8.2.2 Приготовление растворов
8.2.2.1 Приготовление бескислородного (нулевого) раствора
В коническую колбу вместимостью 500 см3 наливают 250 см3 дистиллированной воды, уровень воды должен обеспечивать погружение мембраны датчика, добавляют (3,0 +/- 0,1) г натрия гидроокиси, раствор перемешивают и добавляют (1,5 +/- 0,1) г гидрохинона. Раствор перемешивают.
Срок годности раствора в плотно закрытой посуде - до одного месяца.
8.2.3 Подготовка оборудования
8.2.3.1 Подготовку к работе анализатора с датчиком растворенного кислорода проводят в соответствии с руководством по эксплуатации прибора.
8.2.3.2 Проверка показаний в бескислородном (нулевом) растворе:
Для проверки показаний датчик погружают в бескислородный (нулевой) раствор и слегка взбалтывают им раствор, чтобы исключить скапливание пузырьков воздуха на мембране. Показания анализатора должны медленно уменьшаться.
Если показания анализатора в "нулевом" растворе не опускаются до указанных в технической документации значений, то измерения приостанавливают до выяснения причин, которые приводят к неудовлетворительным результатам проверки, и устраняют их в соответствии с руководством по эксплуатации прибора.
Проверка показаний датчика на "нулевом" растворе может осуществляться с использованием иных "нулевых" растворов в соответствии с технической документацией конкретного датчика.
8.2.3.3 Градуировка анализатора
Градуировку анализатора проводят в соответствии с указаниями технической документации на анализатор. Периодичность проведения градуировки определяют в соответствии с указаниями технической документации на анализатор.
В соответствии с технической документацией анализатора (датчика) могут применяться дополнительные процедуры градуировки, проверки показаний.
8.3 Порядок проведения измерений
Измерения проводятся в соответствии с указаниями технической документации используемого анализатора кислорода (анализатора жидкости) и датчика.
Измерения проводят сразу после вскрытия образца, отобранного по
8.2.1. Анализируемую пробу объемом 150 - 200 см
3 помещают в коническую колбу вместимостью 250 см
3 и проводят следующие операции:
- опускают в колбу (склянку) стержень магнитной мешалки;
- вставляют датчик в склянку, уплотнив его в горле склянки с помощью резинового кольца, установленного на измерительную часть датчика;
- устанавливают склянку на магнитную мешалку и включают ее;
- после установления показаний в соответствии с указаниями технической документации анализатора (датчика) регистрируют полученное значение
(приложение А). Время установления показаний зависит от температуры анализируемой среды и приведено в технической документации на анализатор.
Если показания при измерении концентрации кислорода медленно уменьшаются и не устанавливаются за требуемое в руководстве по эксплуатации время, то измерения необходимо остановить, выявить и устранить причину и провести повторные измерения. Одна из возможных причин - наличие на мембране датчика воздушных пузырьков.
8.4 Обработка результатов измерений
За результат измерений массовой концентрации принимают среднее арифметическое значение Xср, мг/дм3, результатов двух параллельных измерений, X1 и X2, полученных в условиях повторяемости, при выполнении условия:

, (6)
где
r - значение предела повторяемости по
таблице 1.
При невыполнении
условия (6) выполняют повторный отбор пробы по
8.2.1 и измерение массовой концентрации растворенного кислорода по
8.3. При повторном расхождении результаты измерений анализируемой пробы бракуются и выясняются причины, приводящие к этим результатам.
8.5 Метрологические характеристики
Абсолютную погрешность полученного по
8.4 результата вычисляют из данных по техническим (метрологическим) характеристикам прибора, представленным в описании типа применяемого средства измерений или технической документации на прибор.
8.6 Контроль показателей качества результатов измерений
Контроль качества результатов измерений в лаборатории проводят с учетом требований ГОСТ Р ИСО 5725-6-2002
(раздел 6).
8.7 Оформление результатов измерений
Результат измерений регистрируют в протоколе испытаний, который оформляют в соответствии с требованиями
ГОСТ ISO/IEC 17025. При этом протокол испытаний должен содержать ссылку на настоящий стандарт.
Результаты измерений массовой концентрации растворенного кислорода Xср, мг/дм3, представляют в виде:

, (7)
где Xср - среднеарифметическое значение результатов измерений массовой концентрации растворенного кислорода, мг/дм3;

- абсолютная погрешность измерений массовой концентрации растворенного кислорода (
P = 0,95), мг/дм
3.
Числовое значение результата измерений должно оканчиваться цифрой того же разряда, что и значение характеристики погрешности, выраженное в миллиграммах на кубический дециметр и содержащее не более двух значащих цифр.
(рекомендуемое)
ПОЛОЖЕНИЕ ДАТЧИКА В СКЛЯНКЕ ПРИ ИЗМЕРЕНИИ
РАСТВОРЕННОГО КИСЛОРОДА
Положение датчика в склянке при измерении растворенного кислорода изображено на
рисунке А.1.
1 - датчик; 2 - резиновое кольцо; 3 - склянка;
4 - магнитная мешалка
| | Санитарно-эпидемиологические правила и нормативы "Питьевая вода. Гигиенические требования к качеству воды, расфасованной в емкости. Контроль качества" |
| ТУ 2642-001-33813273-97 | Стандарт-титры (фиксаналы, нормадозы). Технические условия |
| ТУ 6-09-1678-95 | Фильтры обеззоленные (белая, красная, синяя ленты). Технические условия |
УДК 63:544:632:006.354 | |
Ключевые слова: растворенный кислород, вода питьевая, методы измерений |