Главная // Актуальные документы // ГОСТ Р (Государственный стандарт)СПРАВКА
Источник публикации
М.: Стандартинформ, 2021
Примечание к документу
Документ
введен в действие с 01.01.2022.
Название документа
"ГОСТ Р 59368.1-2021. Национальный стандарт Российской Федерации. Вибрация и удар. Экспериментальное определение механической подвижности. Часть 1. Общее руководство и требования к преобразователям"
(утв. и введен в действие Приказом Росстандарта от 25.05.2021 N 457-ст)
"ГОСТ Р 59368.1-2021. Национальный стандарт Российской Федерации. Вибрация и удар. Экспериментальное определение механической подвижности. Часть 1. Общее руководство и требования к преобразователям"
(утв. и введен в действие Приказом Росстандарта от 25.05.2021 N 457-ст)
Утвержден и введен в действие
агентства по техническому
регулированию и метрологии
от 25 мая 2021 г. N 457-ст
НАЦИОНАЛЬНЫЙ СТАНДАРТ РОССИЙСКОЙ ФЕДЕРАЦИИ
ВИБРАЦИЯ И УДАР
ЭКСПЕРИМЕНТАЛЬНОЕ ОПРЕДЕЛЕНИЕ МЕХАНИЧЕСКОЙ ПОДВИЖНОСТИ
ЧАСТЬ 1
ОБЩЕЕ РУКОВОДСТВО И ТРЕБОВАНИЯ К ПРЕОБРАЗОВАТЕЛЯМ
Mechanical vibration and shock. Experimental determination
of mechanical mobility. Part 1: General guidelines
and requirements for transducer
(ISO 7626-1:2011, NEQ)
ГОСТ Р 59368.1-2021
Дата введения
1 января 2022 года
1 РАЗРАБОТАН Федеральным государственным унитарным предприятием "Крыловский государственный научный центр" (ФГУП "Крыловский государственный научный центр"), Закрытым акционерным обществом "Научно-исследовательский центр контроля и диагностики технических систем" (ЗАО "НИЦ КД")
2 ВНЕСЕН Техническим комитетом по стандартизации ТК 183 "Вибрация, удар и контроль технического состояния"
3 УТВЕРЖДЕН И ВВЕДЕН В ДЕЙСТВИЕ
Приказом Федерального агентства по техническому регулированию и метрологии от 25 мая 2021 г. N 457-ст
4 В настоящем стандарте учтены основные нормативные положения международного стандарта ИСО 7626-1:2011 "Вибрация и удар. Экспериментальное определение механической подвижности. Часть 1. Основные термины и определения и требования к преобразователям" (ISO 7626-1:2011 "Mechanical vibration and shock - Experimental determination of mechanical mobility - Part 1: Basic terms and definitions, and transducer specifications", NEQ)
5 ВВЕДЕН ВПЕРВЫЕ
Правила применения настоящего стандарта установлены в статье 26 Федерального закона от 29 июня 2015 г. N 162-ФЗ "О стандартизации в Российской Федерации". Информация об изменениях к настоящему стандарту публикуется в ежегодном (по состоянию на 1 января текущего года) информационном указателе "Национальные стандарты", а официальный текст изменений и поправок - в ежемесячном информационном указателе "Национальные стандарты". В случае пересмотра (замены) или отмены настоящего стандарта соответствующее уведомление будет опубликовано в ближайшем выпуске ежемесячного информационного указателя "Национальные стандарты". Соответствующая информация, уведомление и тексты размещаются также в информационной системе общего пользования - на официальном сайте Федерального агентства по техническому регулированию и метрологии в сети Интернет (www.gost.ru)
Определение механической подвижности конструкций объектов позволяет получить их частотно-зависимые динамические характеристики, выраженные через разные характеристики движения: скорости (механическую подвижность), ускорения (ускоряемость) или перемещения (динамическую податливость) - в разных точках конструкции. Каждая такая характеристика является, по сути, совокупностью фазовых векторов движения конструкции, являющегося откликом на приложенное единичное силовое (или моментное) воздействие, амплитуда и фаза которых зависят от частоты.
Измерение механической подвижности выполняют для решения целого ряда задач, например таких, как:
а) предсказание отклика конструкции объекта на известное входное возбуждение;
б) определение модальных характеристик конструкции (форм мод, собственных частот и коэффициентов демпфирования);
в) описания динамического взаимодействия связанных конструкций;
г) проверки адекватности и повышения точности математических моделей конструкций;
д) определение динамических свойств (например, комплексных модулей упругости) простых и композиционных материалов.
Некоторые задачи требуют полного описания динамической характеристики конструкции в заданной точке как отклик поступательных и угловых движений в трех взаимно перпендикулярных направлениях на соответствующие возбуждения силами и моментами силы. Однако в большинстве практических задач полного знания матрицы механических подвижностей не требуется, и достаточно определить, как правило, значения входной и одной или нескольких переходных подвижностей, прилагая силовое воздействие только в одной точке конструкции и измеряя в соответствующих точках характеристики поступательного движения. Иногда для описания динамического поведения объекта приходится измерять также угловые составляющие движения и моменты сил.
Исторически частотные характеристики конструкций принято было описывать в величинах, обратных вышеуказанным. Так, величиной, обратной механической подвижности, является механический импеданс. Однако необходимо иметь в виду, что в общем случае обращение каждого элемента матрицы механических подвижностей не позволяет получить матрицу механических импедансов. Корректное преобразование требует обращения всей матрицы механических подвижностей в целом.
Настоящий стандарт устанавливает общие принципы, лежащие в основе экспериментального определения динамических частотных характеристик конструкций в предположении линейности их отклика на приложенное возбуждение и условий установки, не предусматривающих ограничений отклика на возбуждение, кроме тех, которые обусловлены самой испытуемой конструкцией.
Настоящий стандарт также устанавливает общие требования к применяемым в этих экспериментах преобразователям (преобразователям вибрации и силы, импедансным головкам) и дает рекомендации по их выбору.
В настоящем стандарте использована нормативная ссылка на следующий стандарт:
ГОСТ Р ИСО 2041 Вибрация, удар и контроль технического состояния. Термины и определения
Примечание - При пользовании настоящим стандартом целесообразно проверить действие ссылочных стандартов в информационной системе общего пользования - на официальном сайте Федерального агентства по техническому регулированию и метрологии в сети Интернет или по ежегодному информационному указателю "Национальные стандарты", который опубликован по состоянию на 1 января текущего года, и по выпускам ежемесячного информационного указателя "Национальные стандарты" за текущий год. Если заменен ссылочный стандарт, на который дана недатированная ссылка, то рекомендуется использовать действующую версию этого стандарта с учетом всех внесенных в данную версию изменений. Если заменен ссылочный стандарт, на который дана датированная ссылка, то рекомендуется использовать версию этого стандарта с указанным выше годом утверждения (принятия). Если после утверждения настоящего стандарта в ссылочный стандарт, на который дана датированная ссылка, внесено изменение, затрагивающее положение, на которое дана ссылка, то это положение рекомендуется применять без учета данного изменения. Если ссылочный стандарт отменен без замены, то положение, в котором дана ссылка на него, рекомендуется применять в части, не затрагивающей эту ссылку.
В настоящем стандарте применены термины по
ГОСТ Р ИСО 2041, а также следующие термины с соответствующими определениями:
3.1
(динамическая) частотная характеристика (frequency-response function): Частотно-зависимое отношение Фурье-преобразования отклика конструкции к Фурье-преобразованию возбуждения, вызывающего этот отклик.
Примечания
1 Частотная характеристика определяет соотношение между величинами разной природы - силой (моментом силы) и вибрацией (угловой вибрацией) - и является, таким образом, размерной характеристикой.
2 В зависимости от того, какую величину принимать за возбуждение, а какую за отклик, частотная характеристика будет прямой или обратной. В целях настоящего стандарта под прямой частотной характеристикой понимается частотно-зависимое отношение величины, характеризующей вибрацию (т.е. ускорения, скорости или перемещения), к силе. Обратное отношение будет представлять собой обратную частотную характеристику. Таким образом, прямая частотная характеристика соответствует силовому, а обратная частотная характеристика кинематическому возбуждению конструкции.
3.2 конструкция (structure): Механическая система, для которой экспериментально определяют одну или несколько частотных характеристик для заданных точек возбуждения и отклика.
Примечания
1 Конструкциями могут быть сооружения, машины, транспортные средства и т.п., а также их элементы (например, изолирующая опора) и сочетания (например, машина, установленная на платформе).
2 В целях настоящего стандарта конструкцию можно рассматривать как некоторую динамическую систему, преобразующую возбуждение (входной сигнал) в отклик (выходной сигнал).
3 Измерение частотной характеристики может быть проведено в целях определения динамических свойств материалов (комплексных модулей упругости) (см., например,
[1]), для чего образцу материала придают заданную форму. Образец материала заданной формы в контексте настоящего стандарта также можно рассматривать как конструкцию.
4 Под точкой возбуждения (отклика), если не указано иное, понимают совокупность точки конструкции, к которой приложено возбуждение (в которой измерен отклик), и направления возбуждения (отклика).
3.3 диапазон частот измерений (frequency range of interest): Диапазон частот от самой низкой до самой высокой частоты, в пределах которого должны быть получены значения частотной характеристики в данной серии измерений.
3.4 затормаживающая сила (blocking force): Сила (или момент силы), приложенная к заданной точке конструкции и обеспечивающая ее неподвижность.
3.5 импедансная головка (impedance head): Устройство, объединяющее в одном корпусе акселерометр и преобразователь силы.
Примечания
1 Импедансная головка представляет собой устройство, специально сконструированное в целях динамических испытаний, включая измерения частотных характеристик конструкций.
2 Импедансные головки выполняют измерения силы и вибрации в одной точке, т.е. удобны для определения входных частотных характеристик конструкции.
4 Динамические частотные характеристики конструкции
4.1 Описание динамического поведения конструкции
Силы, действующие на конструкцию, вызывают ее вибрацию, и наоборот, кинематическое возбуждение конструкции вызывает появление сил в точках ее крепления. Для описания динамического поведения конструкции удобно использовать частотные характеристики, которые представляют собой частотно-зависимые отношения между силой (моментом силы), возбуждающей вибрацию конструкции и приложенной в ее
i-й точке, и вибрационным откликом конструкции в ее
j-й точке. При совпадении точек (
i =
j) частотную характеристику называют входной, при несовпадении

- переходной.
Примечание 1 - Для ряда практических задач (например, в области виброакустики) для описания динамических свойств конструкции знание динамической частотной характеристики, как она определена в
3.1, может быть избыточным. Так, часто возбуждение и отклик на него подлежат анализу в полосах частот (октавных, третьоктавных и т.д.). В этом случае достаточно описать поведение конструкции через ее передаточные свойства в соответствующих полосах.
В настоящем стандарте рассматриваются частотные характеристики только для конструкций, обладающих свойством линейности, т.е. такой связью между возбуждением и откликом, при котором выполняется принцип суперпозиции.
Примечание 2 - Принцип суперпозиции может быть сформулирован следующим образом: если в двух отдельных экспериментах входному воздействию x1(t) будет соответствовать отклик на выходе y1(t), а входному воздействию x2(t) - отклик y2(t), то считают, что принцип суперпозиции выполнен, если входному воздействию ax1(t) + bx2(t) будет соответствовать отклик ay1(t) + by2(t). Данное условие должно выполняться для любых a, b, x1(t) и x2(t), где a и b - произвольные константы.
Примечание 3 - Прямая проверка выполнения принципа суперпозиции малопригодна с практической точки зрения, поэтому контроль линейности обычно осуществляют, проводя измерения отклика в некотором диапазоне входных воздействий. Если отношение между величинами отклика и возбуждения не зависит от уровня возбуждения, то систему можно рассматривать как линейную. По сути, эта процедура является контролем пропорциональности между возбуждением и откликом.
Примечание 4 - Движение конструкции, обладающей свойством линейности, может быть описано системой линейных уравнений, число которых совпадает с числом степеней свободы.
Знание частотной характеристики позволяет прогнозировать отклик конструкции по заданному возбуждению. В случае линейной конструкции частотная характеристика не зависит от уровня возбуждения, поэтому использовать частотную характеристику для прогнозирования отклика можно только при условии, что уровень возбуждения не выводит конструкцию за пределы диапазона линейности.
Как правило, реальные конструкции обладают инерционностью, т.е. реакция конструкции следует за входным воздействием с некоторым запаздыванием. Чтобы передать инерционные свойства конструкции, частотную характеристику представляют в виде комплексной функции частоты. Таким образом, в каждой своей точке частотная характеристика определена парой величин - модулем (mod) и фазовым углом (ph) или действительной (Re) и мнимой (Im) частями комплексной величины.
Еще одним свойством линейных конструкций, которое часто используют при измерениях частотных характеристик, является принцип взаимности, согласно которому частотная характеристика для двух выбранных точек конструкции не зависит от того, к какой точке приложено возбуждение, а в какой измерен отклик, и сохраняется при перемене точек возбуждения и измерения местами. Из данного принципа следует, что для линейных конструкций нет необходимости разделения на точки возбуждения и точки отклика, и их можно рассматривать в единой совокупности как точки измерений (см.
4.3).
4.2 Виды частотных характеристик
Силовое возбуждение конструкции может представлять собой действие поступательной силы
F (Н) или момента сил
M (Н·м). Отклик конструкции (ее вибрация) может выражаться в единицах ускорения
a (м/с
2), скорости
v (м/с) или перемещения
d (м) прямолинейной или угловой вибрации. Частотные характеристики принято классифицировать по величинам, характеризующим вибрацию, как показано в
таблице 1.
Таблица 1
Определение частотных характеристик
Величина, описывающая отклик | Частотная характеристика | Определение частотной характеристики | Единица измерения |
Ускорение a | Ускоряемость | G = a/F | м/(Н·с2) = кг-1 |
| M = F/a | Н·с2/м = кг |
Скорость v | | Y = v/F | м/(Н·с) |
| Z = F/v | Н·с/м |
Перемещение d | | Q = d/F | м/Н |
| R = F/d | Н/м |
<a> Используют также термин "динамическая масса" или просто "масса", если из контекста ясно, что речь идет о соответствующей динамической частотной характеристике. <b> Используют также термины "механическая подвижность" и "механический импеданс" (чтобы отличать их от электрического или акустического импеданса) соответственно. <c> Могут быть использованы термины "динамическая податливость" и "динамическая жесткость", чтобы отличать их от соответствующих характеристик при статическом воздействии. |
Примечания
1 Как видно из
таблицы 1, при определении частотной характеристики не делают различия между поступательной силой и моментом силы, а также между прямолинейной и угловой вибрацией. Какие именно виды силового возбуждения и отклика имеются в виду, следует из конкретной измерительной задачи.
2 Если в механической системе присутствует жидкая или газообразная среда, то при необходимости отклик на силовое воздействие может быть определен через скалярные характеристики этой среды - давление или объемную скорость.
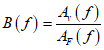
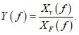
Прямые частотные характеристики (так же, как и обратные) связаны между собой теми же соотношениями, что и соотношения между определяющими их величинами вибрации. Учитывая то, что из одной прямой частотной характеристики легко получить любую другую, в дальнейшем в настоящем стандарте рассматривается только одна из них - механическая подвижность Y вместе с соответствующей ей обратной частотной характеристикой - импедансом Z.
Пример - Ускорение a и скорость v для гармонической вибрации на частоте f связаны между собой соотношением
, где i - мнимая единица, т.е. они сдвинуты друг относительно друга на фазовый угол
. Таким же соотношением связаны между собой ускоряемость и подвижность в точке f. На рисунке 1 показан пример результата экспериментального определения механической подвижности (модуля и фазового угла), а на рисунках 2 и 3 - соответствующие этой характеристике ускоряемость и динамическая податливость (модули и фазовые углы) соответственно.
Ymod - модуль подвижности, м/(Н·с); Yph - фазовый угол
подвижности, градусы; M - эффективная масса (модуль);
C - динамическая податливость (модуль); f - частота, Гц
Рисунок 1 - Типичный график механической подвижности,
построенный по результатам эксперимента
Hmod - модуль ускоряемости, м/(Н·с2); Hph - фазовый угол
ускоряемости, градусы; M - эффективная масса (модуль);
C - динамическая податливость (модуль); f - частота, Гц
Рисунок 2 - График ускоряемости, соответствующей
механической подвижности, изображенной на
рисунке 1
Cmod - модуль податливости, м/Н; Cph - фазовый угол
податливости, градусы; M - эффективная масса (модуль);
f - частота, Гц
Рисунок 3 - График динамической податливости,
соответствующей механической подвижности,
4.3 Точки измерений, граничные условия и матрица подвижностей
Механическая подвижность связывает отклик в любой точке конструкции на приложенное точечное возбуждение, которое может быть силовым или кинематическим. С теоретической точки зрения для описания динамики конструкции разницы между этими возбуждениями нет, однако ситуация выглядит совсем по-другому с точки зрения возможностей организации эксперимента. Если создание точечного силового возбуждения (например, посредством вибростенда с соединяющей штангой или ударного молотка) особых сложностей не представляет, то создание точечного кинематического возбуждения требует, чтобы все остальные точки конструкции, помимо возбуждаемой, были принуждены к неподвижности посредством применения соответствующих затормаживающих сил. На практике создание необходимых затормаживающих сил сталкивается с большими сложностями, поэтому данный способ используют в основном при исследовании динамических свойств виброизолирующих конструкций, а также вибродемпфирующих материалов.
Измерение механической подвижности предполагает, что испытуемая точка закреплена в соответствии с обычными условиями своего применения, а все остальные точки конструкции, не относящиеся к точкам крепления, могут совершать свободные движения под действием силового возбуждения. Такие граничные условия называют свободными.
Число точек измерений возбуждения и отклика зависят от целей измерений частотной характеристики. В ряде задач (например, определение динамических характеристик упругих опор (см.
[2])) достаточно иметь одну точку возбуждения и одну точку отклика. В этом случае полное представление о динамике конструкции в трехмерном пространстве (
x,
y,
z) можно получить, поочередно прилагая возбуждение в виде трех поступательных сил (
Fx,
Fy,
Fz) и трех моментов сил (

,

,

) с одновременным измерением составляющих прямолинейной (
vx,
vy,
vz) и угловой (

,

,

) скоростей (

,

,

- углы поворота вокруг осей
x,
y и
z соответственно). Полученные значения механических подвижностей на частоте возбуждения
f составляют матрицу размером 6 x 6.
В более сложных задачах модального анализа число точек измерений может быть значительно. Если измерения проводят в N точках, то общее представление о динамических свойствах конструкции дает матрица механических подвижностей [Y] размерности 6N x 6N.
По измерениям механических подвижностей можно получить значения импедансов, которые различают в зависимости от граничных условий. Более подробная информация о граничных условиях измерений и матрицах подвижностей и импедансов приведена в
приложении А.
5 Общие принципы измерений
5.1 Способы возбуждения и выбор испытательного оборудования
5.1.1 Возбуждение
Экспериментальное определение механической подвижности конструкции может быть проведено с использованием разных видов возбуждения, таких как:
- гармоническое возбуждение с изменением частоты возбуждения по всему диапазону измерений;
- случайное возбуждение с заданной спектральной плотностью мощности процесса;
- возбуждение импульсами (одиночными или множественными) или переходным процессом.
При возбуждении случайным или переходным (импульсным) процессом спектр сигнала возбуждения должен охватывать весь диапазон измерений.
При выборе способа возбуждения приходится искать компромисс. С одной стороны, чем выше уровень возбуждения, тем больше отношение сигнал/шум и, следовательно, выше точность измерения. С другой стороны, увеличение уровня возбуждения может привести к выходу из диапазона линейности отклика конструкции. Чтобы снизить риск нелинейного поведения конструкции, предпочтительно выбирать гармоническое возбуждение, поскольку при случайном и импульсном возбуждениях требуется передать на конструкцию больше энергии, чтобы обеспечить ее вибрацию на всех частотах диапазона измерений при заданном отношении сигнал/шум. С другой стороны, случайное или импульсное возбуждение позволяют сократить время проведения испытаний, поскольку не требуют перестройки частоты возбуждения.
Каждому способу возбуждения соответствует свой алгоритм обработки сигналов силы и вибрации, как указано в
приложении Б.
Возбуждение осуществляют для каждой точки и каждого направления последовательно. Таким образом, для получения полной матрицы подвижностей для каждого сочетания точек возбуждения и отклика требуется приложить возбуждение в разных направлениях шесть раз.
5.1.2 Выбор испытательного оборудования
От выбранного способа возбуждения зависит выбор испытательного оборудования, которым может быть как испытательный стенд со штангой, прикрепляемой к конструкции (см.
[3]), так и силоизмерительный молоток (см.
[4]). Оборудование первого вида является более универсальным, позволяющим реализовать все виды возбуждения для любых направлений возбуждения, включая приложение моментов сил. Испытания с применением силоизмерительного молотка наименее затратные, но предъявляют повышенные требования к квалификации лиц, выполняющих эксперимент, и не позволяют передать на конструкцию момент силы.
Некоторые рекомендации по выбору оборудования для испытаний с целью определения динамических характеристик конструкции см. в
[5],
[6].
5.2 Измерительная система и точность измерений
5.2.1 Общие положения
Измерительная система для экспериментального определения механической подвижности включает в себя преобразователи силы и вибрации (или импедансные головки для испытаний в целях определения входной подвижности), а также систему с числом каналов не менее двух для обработки сигналов, поступающих с этих преобразователей.
Требования к обработке сигналов силы и вибрации зависят от способа возбуждения (см.
[3],
[4]). При соблюдении этих требований погрешностями, обусловленными обработкой сигнала, можно пренебречь. Основной вклад в инструментальную неопределенность измерения механической подвижности вносят преобразователи силы и вибрации, поэтому при подготовке к испытаниям необходимо оценить характеристики преобразователей с точки зрения обеспечения точности получения модуля и фазового угла механической подвижности во всем диапазоне измерений. Общие требования к преобразователям силы и вибрации установлены в
разделе 6.
5.2.2 Проверка измерительной системы
Способность системы к проведению измерений проверяют до и после проведения каждой серии измерений посредством подачи на вход преобразователей сигналов с известными характеристиками. При необходимости такая проверка может быть выполнена в середине серии измерений.
Проверку выполняют посредством возбуждения свободно подвешенной известной массы и измерения отклика этой массы на приложенное возбуждение. При этом коэффициенты усиления каналов измерения силы и вибрации должны быть теми же, что будут использованы в серии измерений подвижности. Результатом проведенной проверки будет кривая подвижности, соответствующая данной испытательной массе.
Примечания
1 Пример результата проверки измерительной системы, включающей в себя импедансную головку, приведен в
приложении В.
2 При проведении проверки измерительной системы в целом обычно ограничиваются построением зависимости модуля подвижности от частоты. Это обосновано, если преобразователи силы, вибрации и усилители имеют плоскую характеристику во всем диапазоне частот измерений, а акселерометры, кроме того, обладают малым демпфированием.
5.2.3 Требования к точности измерений
Требования к точности измерений механической подвижности зависят от измерительной задачи. Такие измерения могут служить одним из этапов (например, определения модальных характеристик) в более сложной измерительной задаче или использоваться для получения предварительных, ориентировочных данных (например, на этапе натурных испытаний при проектировании изделий). Специальных требований к точности таких измерений (так называемых скрининговых измерений) обычно не предъявляют. В то же время частотная характеристика конструкции может быть одной из характеристик изделия, заявляемых изготовителем. В этом случае представление результатов измерений (см.
5.3) должно сопровождаться указанием их неопределенности. Способ оценивания неопределенности зависит от конструкции и метода испытаний (см., например,
[2]).
5.3 Представление результатов измерений
5.3.1 Общие положения
Интерпретация данных, полученных в результате испытаний на подвижность, может быть значительно облегчена при использовании соответствующего графического изображения. Обычно используют способы представления данных, указанные в
5.3.2 и
5.3.3.
5.3.2 Графики в логарифмическом масштабе
В области частот, находящихся значительно ниже частоты первого резонанса или антирезонанса конструкции, каждая из трех прямых частотных характеристик конструкции имеет вид, близкий к прямой линии, на графике зависимости логарифма измеряемой величины от логарифма частоты. Если частота первого резонанса меньше частоты первого антирезонанса, то эта область будет областью постоянной динамической податливости (жесткости), в противном случае - областью постоянной ускоряемости (эффективной массы). На графиках подвижности линии постоянной податливости направлены вправо вверх с крутизной одна декада подвижности на одну декаду частот, а линии массы направлены вправо вниз с крутизной одна декада подвижности на одну декаду частот, как показано на
рисунке 1. Соответствующие линии нанесены и на графиках ускоряемости и динамической податливости (см.
рисунки 2 и
3). На
рисунке 4 представлен рекомендуемый вид графической бумаги с намеченными линиями равной массы и динамической податливости.

Рисунок 4 - Графическая бумага для графика
динамической подвижности
Для данных, представляемых в системе единиц СИ, линии постоянной динамической податливости, постоянной подвижности и постоянной эффективной массы с приращениями в одну декаду значений всегда пересекаются на частотах

,

,

и т.д. Частота 159 Гц [эквивалентная

] удобна для того, чтобы служить базовой частотой, поскольку для нее отношения между частотными характеристиками являются целыми числами.
Соотношение длины шкалы для декады значений измеряемой характеристики к длине шкалы для декады частот равно 2/5.
По результатам испытаний определяют показатели степени числа 10 на графической бумаге для подвижностей равных эффективных масс и податливостей.
5.3.3 Другие способы построения графиков
Иногда предпочтительнее вместо представления на графике амплитуды и фазы результатов испытания на подвижность отображать действительные и мнимые части в зависимости от частоты, как показано на
рисунке 5.
Yre - действительная часть подвижности, м/(Н·с);
Yim - мнимая часть подвижности, м/(Н·с); f - частота, Гц
Рисунок 5 - Графики действительной и мнимой частей
механической подвижности, изображенной на
рисунке 1
В ряде случаев целесообразно представление в полярных координатах (диаграмма Найквиста), как показано на
рисунке 6. Преимущество данного представления в том, что оно дает возможность определения модальных характеристик посредством экстраполяции (подгонки окружностей).
Yre - действительная часть подвижности, м/(Н·с);
Yim - мнимая часть подвижности, м/(Н·с)
Рисунок 6 - Диаграмма Найквиста для первых двух мод
для данных механической подвижности,
На
рисунке 6 точки, соответствующие результатам измерений, соединены прямыми линиями. Эти линии носят вспомогательный характер. Они позволяют облегчить различение данных, соответствующих одной моде конструкции, от данных, соответствующих другой моде. То, что прямые линии, соединяющие точки на
рисунке 6, далеки от формы окружности, проведенной через эти же точки, говорит о недостаточности числа точек измерений вблизи резонансной частоты для определения модальных параметров. Для более точной идентификации этих параметров следует либо увеличить число точек измерений, либо воспользоваться подходящей процедурой подгонки окружностей к имеющимся точкам измерений.
6 Основные требования к преобразователям силы и вибрации
Для получения надежных данных, позволяющих определить подвижность конструкции с необходимой точностью, преобразователи силы и вибрации должны удовлетворять следующим общим требованиям:
- коэффициент преобразования преобразователя должен быть достаточно большим, а уровень собственных шумов преобразователя малым, чтобы охватить весь динамический диапазон изменения подвижности. Требование к низкому уровню собственных шумов особенно критично при измерениях подвижности конструкций с малым демпфированием, для которых характерно изменение подвижности в широком диапазоне значений;
- собственная частота преобразователя должна значительно отстоять (быть выше или ниже) от диапазона частот измерений, чтобы не вносить существенных фазовых искажений в сигнал вибрации. При необходимости данное требование может быть смягчено за счет соответствующей обработки сигнала, позволяющей компенсировать фазовые искажения;
- коэффициент преобразования преобразователя должен быть стабильным во времени и иметь незначительный дрейф нуля;
- преобразователи должны обладать малой чувствительностью к изменениям внешних условий, таким как температура, влажность, электромагнитные и акустические поля, деформация основания, влияние соседних измерительных каналов и внешние помехи (например, от петель заземления);
- масса и момент инерции преобразователя должны быть малыми, чтобы можно было пренебречь создаваемой ими динамической нагрузкой на конструкцию или допустить внесение поправки на эту нагрузку.
Требования, специфичные для преобразователей вибрации, силы и импедансных головок, рассмотрены в
6.2 -
6.4 соответственно.
Конкретные требования в виде допусков на соответствующие метрологические характеристики преобразователей устанавливают в зависимости от целей измерений подвижности конструкции. Соблюдение этих требований проверяют во время поверочных испытаний. Кроме того, пригодность преобразователей оценивают в рамках проверки работоспособности измерительной системы в целом каждый раз до и после проведения серии измерений (см.
5.2).
6.2 Требования к преобразователям вибрации
Чтобы свести нагрузку преобразователя на конструкцию к минимуму, желательно применять бесконтактные (например, лазерные) преобразователи. Однако в настоящее время наиболее употребительными остаются пьезоэлектрические преобразователи, поэтому нижеперечисленные требования относятся в основном к преобразователям данного типа.
Крепление преобразователя должно быть жестким в направлении его измерительной оси (см.
[7]). Площадь контакта в месте крепления должна быть достаточно мала, чтобы избежать влияния преобразователя или крепежного устройства на конструкцию.
В пьезоэлектрическом кристалле в случае приложения импульсного возбуждения возможен пироэлектрический эффект, способный привести к дрейфу нуля и, как следствие, понижению точности измерений на низких частотах. Чтобы избежать этого, следует рассмотреть возможность применения в испытаниях с таким возбуждением конструкции преобразователей другого типа, например пьезорезистивного или электродинамического акселерометра.
6.3 Требования к преобразователям силы
Поскольку желаемые характеристики преобразователя силы могут противоречить друг другу, при выборе конструкции преобразователя приходится прибегать к компромиссным решениям. В целом требования, установленные в настоящем подразделе, имеют приоритет перед общими требованиями, указанными в
6.1.
Эффективная инерционная масса (масса между чувствительным элементом преобразователя, реагирующим на прилагаемую силу, и его монтажной поверхностью) должна быть мала, чтобы минимизировать ее влияние на сигнал силы. Обычно эта характеристика указывается изготовителем преобразователя, однако следует учитывать, что эффективная инерционная масса увеличивается при использовании приспособлений для крепления преобразователя. Таким образом, полная эффективная инерционная масса представляет собой сумму эффективной инерционной массы, указанной изготовителем, и массы присоединяемых приспособлений.
Жесткость преобразователя силы и его элементов должна быть такой, чтобы исключить появление резонансов в диапазоне частот измерений. Если достичь этого не удается, то в качестве компромисса допускается компенсировать влияние этих резонансов на сигнал преобразователя за счет соответствующей обработки сигнала.
Предварительная статическая нагрузка чувствительного элемента преобразователя должна соответствовать диапазону вынуждающих сил, требуемых для испытаний. Оптимальным решением будет использование преобразователей с предварительно нагруженным чувствительным элементом.
6.4 Требования к импедансным головкам и их креплению к испытуемой конструкции
Поскольку импедансная головка объединяет в себе акселерометр и преобразователь силы, она должна удовлетворять всем требованиям
6.2 и
6.3.
Полная податливость элементов крепления и импедансной головки, находящихся между поверхностью испытуемой конструкции и чувствительным элементом акселерометра, должна быть мала, чтобы не допустить искажения сигнала акселерометра. При этом при определении податливости крепления необходимо учитывать локальное влияние поверхности конструкции. Способ измерения податливости приведен в
приложении В.
Эффективная инерционная масса части импедансной головки и крепления между чувствительным элементом преобразователя силы и испытуемой конструкцией должна быть мала по сравнению с эффективной массой испытуемой конструкции.
Момент инерции импедансной головки относительно оси, лежащей в плоскости крепления, должен быть достаточно малым, чтобы свести к минимуму нагрузку на конструкцию от угловых перемещений относительно этой оси.
Конструкция импедансной головки должна обеспечивать малый коэффициент преобразования силы, действующей в направлении, перпендикулярном к заданному, в измеряемое ускорение.
7 Характеристики преобразователей
7.1 Общие положения
Знание характеристик преобразователей силы и вибрации необходимо для того, чтобы оценить возможность их применения в измерениях механической подвижности конструкций в конкретной измерительной задаче. Поскольку наиболее часто на практике используют преобразователи пьезоэлектрического типа, все процедуры, описанные в настоящем разделе, даны для этих преобразователей. В случае применения преобразователей других типов в указанные процедуры следует, при необходимости, внести соответствующие изменения.
Преобразователи, предназначенные для использования с конкретными усилителями, устройствами формирования сигналов и соединительными кабелями, следует калибровать совместно с этими устройствами в соответствии с рекомендациями изготовителя.
Крепление преобразователей силы и импедансных головок при калибровке следует осуществлять в соответствии с рекомендациями изготовителя (соблюдение плоскостности установочной площадки, соответствующего момента затяжки крепежных винтов и пр.). При этом, если при измерении подвижности используются специальные условия или приспособления (например, нанесение тонкой пленки масла, смазки или воска между преобразователем и установочной площадкой для улучшения контакта и повышения жесткости крепления, особенно на высоких частотах), калибровку преобразователей следует проводить в этих же условиях и с этими же приспособлениями.
Характеристики преобразователей, в том числе метрологические характеристики, определяются изготовителем и указываются в его технической документации. Основные метрологические характеристики подлежат подтверждению в ходе поверочных испытаний, а полученные в ходе этих испытаний значения характеристик указываются в свидетельстве о поверке. В число основных характеристик входят:
- коэффициент преобразования на опорной частоте;
- коэффициент преобразования в диапазоне частот измерений;
- коэффициент поперечного преобразования (для акселерометров).
Межповерочный интервал указывается изготовителем преобразователя, но рекомендуется, чтобы он не превышал одного года. Межповерочный интервал может быть сокращен, если преобразователь предназначен для применения в условиях, способных с достаточно большой вероятностью изменить его коэффициент преобразования.
Основные метрологические характеристики преобразователей, а также другие характеристики, рассматриваемые в настоящем разделе, подлежат подтверждению соответствия требованиям, указанным изготовителем, в ходе первичной поверки и при испытаниях в целях утверждения типа.
Характеристики, общие для преобразователей всех видов, описаны в
7.2. Испытания, специфические для преобразователей вибрации (в качестве которых рассматриваются акселерометры), силы и импедансных головок, описаны в
7.3 -
7.5 соответственно.
7.2 Характеристики, общие для всех преобразователей
7.2.1 Масса
Изготовитель указывает полную массу преобразователя, за исключением массы крепежных болтов и кабелей, которые не являются неотъемлемой частью преобразователя.
7.2.2 Геометрические размеры
Изготовитель указывает все геометрические размеры преобразователя, включая его высоту, ширину, длину и диаметр, а также размеры крепежных отверстий и болтов. Геометрические размеры должны быть показаны на прилагаемом изготовителем чертеже. Кроме того, должны быть даны описания разъемов, размеры кабелей и их типы.
7.2.3 Электрические характеристики
7.2.3.1 Сопротивление и емкость преобразователя
Сопротивление преобразователя постоянному току определяют мегаомметром, подавая на выход преобразователя напряжение, не превышающее 50 В.
Емкость преобразователя измеряют с помощью импедансного моста с использованием напряжения возбуждения в пределах диапазона рабочих частот преобразователя. Если емкость преобразователя зависит от частоты, то измерения выполняют минимум на двух частотах, включая опорную. Если емкость преобразователя с изменением частоты изменяется незначительно, то измерения обычно выполняют на частоте 1000 Гц.
Учитывая то, что емкость некоторых пьезоэлектрических материалов изменяется с изменениями температуры и напряжения, измерения емкости следует выполнять при комнатной температуре (23 +/- 3) °C при напряжении возбуждения, указанном изготовителем. При этом следует избегать прикосновений к преобразователю до и во время проведения измерений.
Для некоторых преобразователей со встроенной электроникой указанные методы измерений могут дать неправильные результаты и даже привести к повреждению преобразователя. В таких случаях рекомендуется проводить измерения методом шунтирования.
Сопротивление и емкость преобразователя следует определять в ходе периодических поверок. Поскольку точность этих измерений невелика, учитывать следует только существенные изменения значений этих величин. Если сопротивление или емкость изменилось более чем на 5%, то рекомендуется выполнить ремонт преобразователя или выполнить оценку всех метрологических характеристик в полном объеме (включая те, что обычно при периодической поверке не выполняют).
7.2.3.2 Сопротивление изоляции
Изготовитель в технической документации указывает значение сопротивления прямому току, измеренное между выходом преобразователя и его монтажной поверхностью.
Если применяемый преобразователь является неизолированным, то изготовителем должен быть указан способ крепления, обеспечивающий изоляцию преобразователя от объекта, на который он установлен.
7.2.4 Полярность выходного сигнала
Изготовитель указывает полярность выходного сигнала преобразователя, определяемую по знаку выходного напряжения при механическом воздействии на его монтажную поверхность вдоль оси чувствительности по направлению к преобразователю (понятие полярности применимо только к преобразователям с осью чувствительности, перпендикулярной к монтажной поверхности).
7.2.5 Влияние внешних факторов
7.2.5.1 Собственные шумы преобразователя
Собственные шумы преобразователя влияют на точность измерений и определяют нижний порог динамического диапазона преобразователя по выходному напряжению. Значение порога UTh определяют через спектральную плотность собственных шумов u(f) по формуле

(1)
где fL и fU - соответственно нижняя и верхняя граница диапазона частот, в котором отклонение коэффициента преобразования от его значения на опорной частоте не превышает 5%.
Обычно порог выражают в относительных единицах как процент коэффициента преобразования преобразователя на опорной частоте.
Петли заземления между преобразователями и испытуемой конструкцией могут повышать пороговое значение для цепи, включающей преобразователь вместе с соответствующим усилителем, поэтому их появления следует избегать, например посредством изоляции преобразователя от цепи заземления.
7.2.5.2 Чувствительность к температуре
Рекомендуется использовать преобразователи, у которых вариации коэффициента преобразования при изменениях температуры не превышают +/- 1% во всем диапазоне температур, ожидаемом при проведении измерений механической подвижности.
7.2.5.3 Чувствительность к изменению температуры
Изменения температуры приводят к появлению низкочастотных шумов пьезоэлектрических преобразователей и встроенных усилителей. Эти шумы расположены значительно ниже диапазона частот измерений пьезоэлектрического преобразователя и, как правило, не оказывают влияния на результаты измерений подвижности. Однако шумовой сигнал, связанный с резкими перепадами температуры, способен вызвать перегрузку электронной системы преобразователя, что приведет к ошибкам измерений.
В
[8] описан метод определения чувствительности преобразователя к изменению температуры путем погружения его в жидкость со скачкообразно изменяющейся температурой.
7.2.5.4 Чувствительность к деформации основания
Влияние деформации основания на коэффициент преобразования может быть оценено в ходе испытаний с применением жестко защемленной консольной балки с резонансной частотой, близкой к 5 Гц. На балке закрепляют рядом друг с другом испытуемый преобразователь и тензометрический датчик. Испытания проводят с использованием одного из подходящих руководств (см., например,
[9],
[10]).
7.3 Характеристики акселерометра
7.3.1 Коэффициент преобразования на опорной частоте
Коэффициент преобразования акселерометра определяют методом сравнения с использованием одного из подходящих стандартов (например,
[11]). Измерения проводят на вибростенде, имеющем образцовый преобразователь, предварительно калиброванный в абсолютных величинах в диапазоне, характерном для измерений подвижности - в основном от 1,0 до 100 м/с
2.
В качестве опорной частоты обычно выбирают 80 Гц, однако может быть использована и другая частота, если частота 80 Гц не входит в диапазон измерений акселерометра или эта другая частота более соответствует конструкции акселерометра или условиям его применения.
Если измерительная задача предполагает измерение механической подвижности с высокой точностью, то следует проводить измерения коэффициента преобразования для сочетания акселерометра с применяемым усилителем.
7.3.2 Коэффициент преобразования в диапазоне частот измерений
Коэффициент преобразования акселерометра во всем диапазоне частот измерений определяют методом сравнения с использованием одного из подходящих стандартов (например,
[11]). Уровень входного сигнала ускорения выбирают таким образом, чтобы обеспечить отношение сигнал/шум не менее 10.
В качестве входного воздействия может применяться гармоническое или широкополосное возбуждение (случайное или импульсное) в зависимости от возможностей применяемого вибростенда.
Гармоническое возбуждение может быть реализовано на дискретных частотах или при непрерывном изменении частоты (качании частоты). В первом случае должно быть выбрано достаточно большое количество дискретных частот (порядка десяти на декаду), чтобы исключить пропуск резонансов акселерометра или его частей в пределах диапазона частот измерений. Если число частот возбуждения ограничено, то рекомендуется провести дополнительные измерения с качанием частоты.
Если применяют качание частоты, то скорость качания должна быть достаточно мала, а амплитуда возбуждаемого ускорения должна поддерживаться постоянной во всем диапазоне частот посредством управления с обратной связью, включающей эталонный акселерометр.
Полученный частотно-зависимый коэффициент преобразования должен быть плоским в пределах +/- 5% во всем диапазоне частот измерений. При этом необходимо убедиться в том, что на эту характеристику не оказывают существенного влияния поперечные колебания вибростенда совместно с коэффициентом поперечного преобразования акселерометра.
7.3.3 Коэффициент поперечного преобразования
Коэффициент поперечного преобразования акселерометра определяют на одной частоте ниже 500 Гц с использованием одного из подходящих стандартов (например,
[12]). Акселерометр устанавливают на вибростенд, возбуждающий гармоническую вибрацию, таким образом, чтобы амплитуда вибрации в плоскости, перпендикулярной к оси чувствительности акселерометра, была не менее чем в 100 раз выше амплитуды вибрации в направлении оси чувствительности. Акселерометр последовательно поворачивают вокруг измерительной оси с шагом 45° или менее до полного оборота на 360°, определяя при этом максимальное значение коэффициента поперечного преобразования.
Если коэффициент поперечного преобразования превысит 5% коэффициента преобразования в направлении оси чувствительности или будет значительно отличаться от первоначального значения, то рекомендуется выполнить ремонт акселерометра.
7.3.4 Линейность
Отклонения от линейности определяют посредством измерения отношения напряжений на выходах эталонного и испытуемого акселерометров. Изготовитель определяет значение этого отношения минимум для трех уровней ускорения в верхней декаде динамического диапазона акселерометра. Для каждого ускорения определяют разность в процентах между средним значением отношения, рассчитанным по результатам измерения для всех значений ускорения, и значением отношения при данном ускорении. Если измеренные отклонения для всех значений ускорений находятся в пределах +/- 2%, то акселерометр считают пригодным для измерений подвижности.
7.4 Характеристики преобразователя силы
7.4.1 Коэффициент преобразования на опорной частоте
Коэффициент преобразования преобразователя силы вместе с соответствующим усилителем определяют методом нагружения массой. Подробности метода описаны в
[13].
Измерения выполняют на вибростенде, позволяющем создать однонаправленное гармоническое возбуждение с управляемой амплитудой ускорения a0 (м/с2). Преобразователь закрепляют на стенде с моментом затяжки болтового соединения, указываемым изготовителем. На противоположной стороне преобразователя устанавливают эталонный акселерометр, с помощью которого измеряют точное значение ускорения a0. При заданном возбуждении измеряют напряжение U0 (В) на выходе усилителя. После этого к противоположной стороне преобразователя силы прикрепляют известную массу m (кг) и измеряют напряжение Um на выходе усилителя в ответ на гармоническое возбуждение с тем же ускорением a0.
Коэффициент преобразования SF, В/Н, преобразователя силы вместе с усилителем определяют по формуле

(2)
Если напряжение и ускорение определены как комплексные величины (т.е. помимо информации об их амплитудах получены значения также фазовых углов), то коэффициент преобразования также будет комплексной величиной.
Коэффициент преобразования собственно преобразователя силы может быть рассчитан исходя из полученного значения SF и известного коэффициента преобразования усилителя. Если совместно с преобразователем силы применяют усилитель заряда, то коэффициент преобразования преобразователя силы будет выражен в пикокулонах на ньютон (пК/Н), а если усилитель напряжения - то в вольтах на ньютон (В/Н).
Если измерительная задача предполагает измерение механической подвижности с высокой точностью, то следует проводить измерения коэффициента преобразования для сочетания преобразователя силы с применяемым усилителем.
Правильность применения описанного метода зависит от строгого соблюдения следующих двух условий:
- если преобразователь силы подлежит сборке непосредственно перед проведением измерений, то важно обеспечить постоянство предварительного нагружения на чувствительный элемент преобразователя, которое может оказывать существенное влияние на коэффициент преобразования;
- опорная частота, на которой прилагают возбуждение (обычно это 80 Гц), должна быть ниже не менее чем на 20% резонансной частоты fm, Гц, закрепленного преобразователя, которую можно приближенно оценить по формуле

(3)
где k - жесткость преобразователя силы;
m1 - масса эталонного акселерометра;
m2 - эффективная масса болта, которым закрепляют преобразователь силы;
m3 - эффективная инерционная масса преобразователя силы (см.
6.3).
7.4.2 Коэффициент преобразования в диапазоне частот измерений
Коэффициент преобразования в широком диапазоне частот определяют в тех же условиях, что описаны в
7.3.2, однако измерения проводят только на фиксированных частотах. Во время измерений преобразователь силы должен быть нагружен массой. Амплитуда ускорения на всех частотах возбуждения должна быть одинаковой. На каждой из частот возбуждения
f измеряют напряжение
Uf на выходе усилителя, применяемого с преобразователем силы, после чего рассчитывают отклонение коэффициента преобразования на данной частоте
dU, %, по формуле
| | ИС МЕГАНОРМ: примечание. Формула дана в соответствии с официальным текстом документа. | |

(4)
где Uref - выходное напряжение усилителя на опорной частоте.
Во время измерений важно убедиться, что нагружение преобразователя силы массой не приводит к появлению резонанса, зависящего от массы нагрузки и податливости преобразователя [см.
формулу (3)]. Значение
dU не должно выходить за пределы допуска +/- 5% во всем диапазоне частот измерений.
Если преобразователь силы не имеет встроенной системы предварительного нагружения чувствительного элемента, то момент затяжки болта крепления преобразователя должен оставаться неизменным в ходе всего испытания.
7.4.3 Линейность
Отклонение от линейности определяют путем возбуждения нагруженного массой преобразователя силы, обычно на частоте 80 Гц, с разными амплитудами ускорения ax (м/с2), измеряемыми эталонным акселерометром, и последующего измерения напряжения Ux (В) на выходе усилителя преобразователя силы. Отклонения от линейности dx, %, определяют по формуле
| | ИС МЕГАНОРМ: примечание. Формула дана в соответствии с официальным текстом документа. | |

(5)
где

- среднее значение отношения амплитуды напряжения
Ux к амплитуде вызывающего это напряжение ускорения
ax, В/(м/с
2).
Измерения могут быть проведены на другой частоте, если частота 80 Гц не входит в диапазон измерений преобразователя силы или эта другая частота более соответствует конструкции преобразователя силы или условиям его применения.
Приложенную силу при данном значении ускорения
ax вычисляют посредством деления выходной амплитуды
Ux на коэффициент преобразования канала преобразования силы, определенный по
7.4.2.
Преобразователь силы считают пригодным для использования в измерениях механической подвижности, если отклонения от линейности не превышают 2% во всем номинальном диапазоне сил, измеряемых данным преобразователем.
7.4.4 Эффективная инерционная масса
Значение эффективной инерционной массы преобразователя указывает изготовитель. Однако при использовании данной характеристики следует учитывать также влияние крепежного приспособления (см.
6.3).
7.4.5 Чувствительность к моменту затяжки
Влияние моментов затяжки на коэффициент преобразования преобразователя силы можно определить, проводя измерения коэффициента преобразования при разных моментах затяжки.
7.5 Характеристики импедансной головки
7.5.1 Общие положения
Характеристики импедансной головки объединяют в себе характеристики акселерометра и преобразователя силы, рассмотренные в
7.3 и
7.4. В настоящем пункте рассмотрена только особенность, специфичная для импедансной головки.
7.5.2 Податливость
Податливость импедансной головки определяет та ее часть, что расположена между монтажной поверхностью и чувствительным элементом внутреннего акселерометра (см.
[14]). При проведении измерений с целью определения механической подвижности помимо данных о податливости импедансной головки, представляемых изготовителем, необходимо знать также податливость ее крепления. Метод определения общей податливости импедансной головки вместе с креплением описан в
приложении В.
(справочное)
СООТНОШЕНИЯ МЕЖДУ ИМПЕДАНСОМ И ПОДВИЖНОСТЬЮ
А.1 Общие положения
Отклик динамической системы зависит в основном от двух характеристик: возбуждающей силы и динамических свойств самой системы. Если уровень возбуждения таков, что система сохраняет линейность отклика, то она может быть описана через одну из двух частотно-зависимых характеристик: матрицы подвижностей [Y] или матрицы импедансов [Z], - для которых справедливы формулы:
{
v(
f)} = [
Y]{
F(
f)}, (А.1)
{
F(
f)} = [
Z]{
v(
f)}, (А.2)
где {F(f}} - вектор-столбец внешних сил, действующих в разных точках конструкции на частоте f;
{v(f)} - вектор-столбец скоростей, соответствующих {F(f)}.
Матричная запись, используемая в
формулах (А.1) и
(А.2) удобна, поскольку интерес представляет, как правило, описание поведения конструкции в нескольких точках. Если
N - общее число точек возбуждения и отклика, в которых должны быть определены значения скорости и силы, и рассматривается только одно выбранное направление возбуждения и отклика, то вектор-столбцы {
F(
f)} и {
v(
f)} имеют размерность
N, а матрицы [
Y] и [
Z] - размерность
N x
N.
Из
формул (А.1) и
(А.2) следует, что матрицы импедансов и подвижностей связаны между собой соотношением
Следует иметь в виду, что в общем случае при обращении матрицы в соответствии с
формулой (А.3) равенство

не выполняется.
А.2 Граничные условия
В простейшем виде испытаний с целью определения механических подвижностей силовое возбуждение прилагают одновременно только в одной точке конструкции, т.е.
Fk = 0 для

, (А.4)
где j - точка возбуждения;
k - любая другая точка конструкции.
Формула (А.4) определяет свободные граничные условия проводимых испытаний. При данных граничных условиях определение отклика в точке
i при возбуждении в точке
j позволяет получить элемент матрицы подвижностей

(А.5)
Соответствующий одноточечному возбуждению элемент матрицы импедансов будет определен по
формуле (А.3) как

(А.6)
при граничных условиях
vk = 0,

, (А.7)
соответствующих применению затормаживающих сил во всех точках, кроме точки возбуждения.
Матрица импедансов, полученных при граничных
условиях (А.7), обратно пропорциональна матрице механических подвижностей, полученных при свободных граничных
условиях (А.4). Граничные
условия (А.7) весьма трудно или даже невозможно реализовать на практике, поэтому матрицу импедансов, элементами которой являются
Zij, непосредственно экспериментальным путем не определяют.
При обращении каждого элемента матрицы подвижностей, полученных в соответствии с
формулой (А.5), получают величину

, также имеющую размерность импеданса. Эти величины также могут быть объединены в матрицу, однако эта матрица не будет равна матрице, образованной элементами
Zij.
Для правильной интерпретации экспериментальных данных необходимо понимать разницу в граничных условиях, определяемых
формулами (А.4) и
(А.7). Единственной ситуацией, когда этой разницей можно пренебречь, является проведение эксперимента с целью определения входной подвижности или импеданса только для одной точки возбуждения и одной точки отклика.
(справочное)
ОПРЕДЕЛЕНИЕ ПОДВИЖНОСТИ ДЛЯ РАЗНЫХ ВИДОВ ВОЗБУЖДЕНИЯ
Б.1 Гармоническое возбуждение
При гармоническом возбуждении на частоте f процесс F(t, j), описывающий силовое возбуждение, имеет вид

(Б.1)
где AF(f) - амплитуда сигнала возбуждения на частоте f;
t - время;

- начальный фазовый угол сигнала возбуждения на частоте
f.
В случае линейной системы отклик конструкции в интересующей точке v(t, f) также имеет вид гармонического сигнала, описываемого формулой

(Б.2)
где Av(f) - амплитуда сигнала гармонического возбуждения на частоте f;

- начальный фазовый угол сигнала гармонического возбуждения на частоте
f.
Тогда элемент матрицы подвижности Y(f) для данных точек возбуждения и отклика, представленный в виде комплексной амплитуды, будет иметь вид

(Б.3)
где

;

;

- мнимая единица.
В процессе испытаний значение частоты f изменяют по всему диапазону частот измерений.
Б.2 Случайное возбуждение
При возбуждении случайным (например, гауссовским) процессом элемент матрицы подвижности Y(f) на частоте f получают по формуле

(Б.4)
где GvF(f) - взаимная спектральная плотность сигналов скорости и силы;
GFF(f) - спектральная плотность мощности сигнала силы.
GvF(f) - комплексная функция, а GFF(f) - действительная функция, поэтому Y(f) является комплексной функцией частоты. Использование случайного возбуждения позволяет получить механическую подвижность сразу на всем диапазоне частот измерений.
Б.3 Возбуждение импульсом или последовательностью импульсов
В данном виде возбуждения сигналы возбуждения F(t) и отклика v(t) рассматриваются как детерминированные процессы, для которых можно получить Фурье-преобразования XF(f) и Xv(f) соответственно. Каждое из Фурье-преобразований является комплексной функцией частоты f. В этом случае подвижность Y(f) определяют по формуле

(Б.5)
На практике вместо непрерывного используют дискретное преобразование Фурье. Правильный выбор частоты дискретизации сигналов возбуждения и отклика позволяет свести погрешность от такой замены к минимуму (т.е. к величине, много меньшей той, что обусловлена другими источниками погрешности).
Б.4 Определение подвижности с усреднением по реализациям
Точность определения механической подвижности (как правило, в случае случайного или импульсного возбуждения) может быть повышена путем проведения N повторных испытаний и усреднением полученных результатов. В этом случае каждую реализацию входного воздействия и отклика рассматривают как случайные процессы, а алгоритм усреднения будет заключаться в следующем:
1) для каждой
i-й реализации вычисляют взаимную спектральную плотность

и спектральную плотность

;
2) вычисляют подвижность Y(f) по формуле

(Б.6)
В современных анализаторах спектральные плотности мощности сигналов получают на основе дискретного преобразования Фурье, примененного к оцифрованной выборке процесса с использованием при необходимости соответствующих временных окон. Более подробная информация об операциях с оцифрованными данными приведена в
[3] и
[4].
Если измерения частотной характеристики требуют применения временных окон, то во взаимные спектры и автоспектры сигналов, входящие в
формулы (Б.6) и
(Б.7), вносят соответствующие поправки.
Формулу (Б.6) можно рассматривать в качестве общей оценки частотной характеристики конструкции при возбуждениях разного вида, а оценки, приведенные в
разделах Б.1 -
Б.3, - как частные случаи, когда
N = 1.
На основе измерений взаимных спектров реализаций

и автоспектров сигналов силового воздействия и отклика

и

соответственно может быть рассчитана функция когерентности

по формуле

(Б.7)
Функцию когерентности обычно используют для контроля правильности проведения эксперимента и точности получаемых результатов измерений частотной характеристики в разных областях диапазона частот измерений.
(рекомендуемое)
ОПРЕДЕЛЕНИЕ ДЕМПФИРОВАНИЯ И ПОДАТЛИВОСТИ КРЕПЛЕНИЯ
ИМПЕДАНСНОЙ ГОЛОВКИ
В настоящем приложении описан метод оценки пригодности импедансной головки (или преобразователя силы) и крепежного приспособления для измерений механической подвижности, позволяющий также оценить общую податливость импедансной головки вместе с ее креплением (см.
[14]).
Для проведения испытаний устанавливают большой цилиндрический жесткий блок на достаточно податливое основание таким образом, чтобы собственная частота колебаний блока на основании не превышала 2 Гц. Массу блока выбирают таким образом, чтобы на графике подвижности наблюдался антирезонанс в пределах диапазона частот измерений. Это требование можно соблюсти, если выбирать массу блока m, кг, исходя из формулы

(В.1)
где f - некоторая выбранная частота из верхней части диапазона частот измерений подвижности, Гц;
C - оценка податливости импедансной головки вместе с крепежным приспособлением, м/Н.
Податливость основания испытательного блока должна быть не больше значения Cs, м/Н, вычисляемого по формуле

(В.2)
где fs - собственная частота колебаний испытательного блока на основании (2 Гц или ниже), Гц;
m - масса блока, кг.
Импедансную головку устанавливают на одной вертикали с центром тяжести испытательного блока и прикрепляют ее к блоку с соблюдением требований к моменту затяжки болтов крепления, указанных изготовителем. Крепежное приспособление должно быть по возможности идентичным тому, которое будет использоваться при испытаниях для определения подвижности конструкции. Аналогично возбудитель вибрации должен воспроизводить то же возбуждение и крепиться к импедансной головке таким же образом, как при измерениях подвижности. Верхняя граница диапазона частот испытаний должна быть выше верхней границы диапазона частот измерений подвижности. Математическая модель испытания описана в
[15].
Выходные сигналы преобразователей силы и вибрации должны обрабатываться так же, как и при испытаниях на подвижность, а результаты должны быть представлены в виде графика подвижности на соответствующей графической бумаге.
График подвижности будет иметь вид, показанный на
рисунке В.1. Данный результат получен для испытательного блока массой 5,5 кг и податливости крепления импедансной головки вместе с креплением 8·10
-10 м/Н (что является типичным значением для преобразователя данного вида). В диапазоне частот от 30 до 1100 Гц график подвижности близок к линии постоянной массы, которая должна быть равна сумме масс блока, части импедансной головки между монтажной поверхностью и преобразователем силы и крепежного приспособления. Если указанное равенство не соблюдается, это означает, что система измерений подвижности имеет несоответствие, которое должно быть устранено. Возможными причинами несоответствия могут быть неправильно выбранные или определенные значения характеристик измерительной системы.
Ymod - модуль подвижности, м/(Н·с); Yph - фазовый угол
подвижности, градусы; f - частота, Гц
Рисунок В.1 - Пример результатов измерений подвижности,
показывающий влияние податливости крепления импедансной
головки (усреднено по 256 реализациям)
Антирезонанс (провал частотной характеристики) на графике подвижности на частоте 2400 Гц свидетельствует о том, что на этой частоте динамическая податливость испытательного блока равна податливости импедансной головки вместе с креплением, а значит равны и соответствующие подвижности. Поскольку эти подвижности имеют противоположные фазовые углы, суммарная подвижность на частоте антирезонанса близка к нулю (отличие от нуля объясняется демпфированием в месте контакта импедансной головки и испытательного блока). Значение фазового угла подвижности на антирезонансе также равно нулю.
На частотах выше антирезонансной (2400 Гц) график подвижности асимптотически приближается к линии постоянной податливости, соответствующей комбинации податливостей крепежного приспособления и самой импедансной головки. Проверка полной податливости может вызвать затруднения, если крепление имеет значительное демпфирование. При нерезком антирезонансном пике такого асимптотического приближения кривой к линии постоянной податливости на высоких частотах наблюдаться не будет. Наблюдаемая на
рисунке В.1 нерегулярность графика в области 4600 Гц является результатом угловых колебаний импедансной головки относительно ее оси.
Если испытания продолжить в область достаточно высоких частот, то вид кривой подвижности будет определяться эффективным демпфированием импедансной головки и ее крепления. Точное значение этого демпфирования может быть определено только в редких случаях. Поэтому испытание, описанное в настоящем приложении, позволяет лишь качественно оценить, насколько значительным будет демпфирование в точке соединения преобразователя с испытуемой конструкцией.
| | Вибрация и удар. Определение динамических механических свойств вязкоупругих материалов. Часть 4. Метод динамических жесткостей |
| | Вибрация. Измерения виброакустических передаточных характеристик упругих элементов конструкций в лабораторных условиях. Часть 1. Общие принципы измерений |
| | Вибрация и удар. Экспериментальное определение механической подвижности. Часть 2. Измерения, использующие одноточечное поступательное возбуждение присоединенным вибровозбудителем |
| | Вибрация и удар. Экспериментальное определение механической подвижности. Часть 5. Измерения с использованием ударного воздействия на конструкцию неприкрепляемым возбудителем |
| ГОСТ Р 57209-2016 | Вибрация. Руководство по выбору вибростендов. Оборудование для определения динамических свойств конструкций |
| Попков В.И., Попков С.В. Колебания механизмов и конструкций. - СПб: Сударыня, 2009. - 490 с. |
| | Вибрация и удар. Механическое крепление акселерометров |
| ИСО 5347-18:1993 | Датчики вибраций и ударов. Методы калибрования. Часть 18. Испытание на чувствительность к неустановившейся температуре |
| (ISO 5347-18:1993) | (Methods for the calibration of vibration and shock pick-ups - Part 18: Testing of transient temperature sensitivity) |
| ИСО 5347-13:1993 | Датчики вибраций и ударов. Методы калибрования. Часть 13. Испытание на чувствительность к деформации основания |
| (ISO 5347-13:1993) | (Methods for the calibration of vibration and shock pick-ups - Part 13: Testing of base strain sensitivity) |
| Bouche, R.K. Calibration of shock and vibration measuring transducers. Shock and Vibration Information Center, U.S. Department of Defense, 1979. (Monograph SVM-11) |
| | Вибрация. Методы калибровки датчиков вибрации и удара. Часть 21. Вибрационная калибровка сравнением с эталонным преобразователем |
| | Вибрация. Методы калибровки датчиков вибрации и удара. Часть 31. Определение коэффициента поперечного преобразования |
| Kumme, R. A new calibration facility for dynamic forces up to 10 kN. In: Proc. 17th IMEKO World Congress, 2003, pp. 305 - 308 |
| Brownjohn, J.M.W., Steele, G.H., Cawley, P., Adams, R.D. Errors in mechanical impedance data obtained with impedance heads. J. Sound Vib. 1980, 73, pp. 461 - 468 |
| Hixson, E.J. Mechanical impedance. In: Piersol, A.G., Paez, T.L., editors. Harris' shock and vibration handbook, 6th edition, Chapter 10. New York, NY: McGraw-Hill, 2009 |
УДК 534.1:006.354 | |
Ключевые слова: механическая конструкция, динамические свойства, частотная характеристика, вибрация, сила, преобразователи, испытания |