1.1 перемещение (вибрация и удар): Переменная величина, определяющая изменение положения точки тела в заданной системе координат. Примечание 1 - Перемещение обычно определяют в системе координат с центром, связанным со средним положением движущегося тела или с положением тела в состоянии покоя. В общем случае перемещение представляют в виде вектора углового перемещения, вектора поступательного перемещения или сочетанием этих векторов. Примечание 2 - Если измерения выполняют в системе координат, отличной от исходной, то в этом случае говорят об относительном перемещении. Примечание 3 - Перемещение может представлять собой: - детерминированную функцию времени. В этом случае гармонические составляющие колебания могут быть определены через амплитуду и частоту перемещения; - случайную функцию времени. В этом случае для описания вероятностных свойств перемещения используют среднеквадратичное значение, ширину полосы частот колебаний и плотность распределения вероятностей. | en displacement, relative displacement |
Примечание 1 - В общем случае скорость является переменной величиной. Примечание 2 - Скорость обычно определяют в системе координат с центром, связанным со средним положением движущегося тела или с положением тела в состоянии покоя. В общем случае скорость представляют в виде вектора угловой скорости, вектора поступательной скорости или сочетанием этих векторов. Примечание 3 - Если измерения выполняют в системе координат, отличной от исходной, то в этом случае говорят об относительной скорости. Относительная скорость одной точки относительно другой есть вектор разности скоростей этих точек. Примечание 4 - Скорость может представлять собой: - детерминированную функцию времени. В этом случае гармонические составляющие колебания могут быть определены через амплитуду и частоту скорости; - случайную функцию времени. В этом случае для описания вероятностных свойств скорости используют среднеквадратичное значение, ширину полосы частот колебаний и плотность распределения вероятностей. | en velocity, relative velocity |
Примечание 1 - В общем случае ускорение является переменной величиной. Примечание 2 - Ускорение обычно определяют в системе координат с центром, связанным со средним положением движущегося тела или с положением тела в состоянии покоя. В общем случае ускорение представляет собой векторную сумму углового, поступательного и кориолисова ускорений. Примечание 3 - Если измерения выполняют в системе координат, отличной от исходной, то в этом случае говорят об относительном ускорении. Относительное ускорение одной точки относительно другой есть вектор разности ускорений этих точек. Примечание 4 - В случае переменного ускорения для его описания часто используют такие характеристики, как пиковое, среднее и среднеквадратичное значения. При этом должен быть определен или подразумеваться интервал времени, на котором проводят усреднение. Примечание 5 - Ускорение может представлять собой: - детерминированную функцию времени. В этом случае гармонические составляющие колебания могут быть определены через амплитуду и частоту ускорения; - случайную функцию времени. В этом случае для описания вероятностных свойств ускорения используют среднеквадратичное значение, ширину полосы частот колебаний и плотность распределения вероятности. | en acceleration, relative acceleration |
1.4 стандартное ускорение свободного падения gn: Единица измерения ускорения, равная 9,80665 метров в секунду в квадрате (9,80665 м/с2). Примечание 1 - Данное значение ускорения принято Международной службой мер и весов и подтверждено в 1913 г. пятой Генеральной конференцией по мерам и весам в качестве стандартного ускорения свободного падения. Примечание 2 - Стандартное ускорение свободного падения (gn = 9,80665 м/с2 = 980,665 см/с2) следует использовать для приведения к стандартной силе тяжести в измерениях, проведенных в любой точке Земли. Примечание 3 - Часто значение ускорения выражают в единицах gn. Примечание 4 - Действительное значение ускорения свободного падения на поверхности Земли или внутри нее изменяется с географической широтой и высотой подъема. Это значение часто обозначают g. | en standard acceleration due to gravity gn |
1.5 сила: Воздействие, позволяющее вывести тело из состояния покоя и придать ему движение определенного вида или изменить имеющееся движение тела. Примечание 1 - При сопротивлении тела движению сила способна также изменить его размер и форму. Примечание 2 - Силу измеряют в ньютонах. Один ньютон представляет собой силу, необходимую для придания массе 1 кг ускорения 1 м/с2. | en force |
en restoring force | |
en jerk | |
en inertial reference system, inertial reference frame | |
en inertial force | |
1.10 колебание: Изменение (обычно во времени) величины в некоторой системе отсчета, когда значение величины попеременно становится то больше, то меньше некоторого заданного значения. Примечание 1 - См. термин "вибрация" (2.1). Примечание 2 - В общем смысле ударные процессы или движение с проскальзыванием также можно считать колебаниями. | en oscillation |
en environment | |
en induced environment | |
en natural environment | |
en preconditioning | |
en conditioning | |
en excitation, stimulus | |
en response (of a system) | |
Примечание - Данное отношение может быть определено для разных одноименных величин на входе и выходе системы (сил, перемещений, скоростей, ускорений). | en transmissibility |
Примечание 1 - Перерегулирование имеет место, когда при переходе системы из стационарного состояния, характеризуемого значением A, в стационарное состояние, характеризуемое значением B (B больше A), максимум отклика системы на входное воздействие превышает B. Примечание 2 - Разность между максимумом отклика и значением B, определяемая, как правило, в процентах, характеризует величину перерегулирования. | en overshoot |
1.20 недорегулирование: Ситуация, когда минимум отклика системы на входное воздействие ниже желаемого значения. Примечание 1 - Недорегулирование имеет место, когда при переходе системы из стационарного состояния, характеризуемого значением A, в стационарное состояние, характеризуемое значением B (B меньше A), минимум отклика системы на входное воздействие меньше B. Примечание 2 - Разность между минимумом отклика и значением B, определяемая, как правило, в процентах, характеризует величину недорегулирования. | en undershoot |
en system | |
Примечание - Данное определение предполагает, что к отношению между откликом и возбуждением применим принцип суперпозиции. | en linear system |
en mechanical system | |
Примечание - Основание может рассматриваться как неподвижное в одной системе координат или как совершающее движение в другой. | en foundation |
1.25 инерционная система: Механическая система, соединенная с неподвижным основанием через один или несколько упругих элементов (обычно с демпфированием). Примечание 1 - В идеализированном виде инерционную систему представляют в виде системы с одной степенью свободы с вязкостным демпфированием. Примечание 2 - Если собственная частота инерционной системы низка относительно рассматриваемого диапазона частот, то в указанном диапазоне массу инерционной системы можно считать покоящейся. | en seismic system |
Примечание - При исследовании вибрации и удара используют разные представления эквивалентности: a) система, совершающая вращательное движение, эквивалентная системе, совершающей поступательное движение; b) электрическая или акустическая система, эквивалентная механической; c) эквивалентная жесткость; d) эквивалентное демпфирование. | en equivalent system |
1.27 число степеней свободы: Минимальное число обобщенных координат, необходимое для полного описания движения механической системы. Примечание - Степени свободы механической системы не следует путать со статистическими степенями свободы. | en degrees of freedom |
en lumped parameter system, discrete system | |
en single-degree-of-freedom system | |
en multi-degree-of-freedom system | |
1.31 система с распределенными параметрами: Механическая система, в которой элементы массы, жесткости и демпфирования имеют пространственное распределение. Примечание - Движение системы с распределенными параметрами определяют через функции непрерывных пространственных переменных в отличие от дискретных систем, где движение описывают через конечное число координат (степеней свободы). | en continuous system |
1.32 центр тяжести: Точка, через которую проходит равнодействующая всех сил тяжести, действующих на части тела, и относительно которой суммарный момент сил тяжести равен нулю. Примечание - Если гравитационное поле однородно, то центр тяжести совпадает с центром масс (см. 1.33). | en centre of gravity |
1.33 центр масс: Точка тела, для которой произведение радиус-вектора в декартовой системе координат на массу тела равно сумме произведений радиус-векторов всех частей тела на их массы. Примечание - Это точка, относительно которой тело уравновешено в однородном гравитационном поле. | en centre of mass |
1.34 главные оси инерции: Три взаимно перпендикулярные оси, пересекающиеся в заданной точке, относительно которых центробежные моменты инерции твердого тела равны нулю. Примечание 1 - Если точка пересечения главных осей инерции совпадает с центром масс тела, то их называют центральными главными осями инерции, а моменты инерции тела относительно этих осей - главными центральными моментами инерции. Примечание 2 - Применительно к балансировке тел термин "главная ось инерции" используют для обозначения главной оси инерции, которая ближе всех по направлению к оси вращения ротора. | en principal axes of inertia |
en moment of inertia | |
en product of inertia | |
1.37 жесткость, коэффициент жесткости: Взятая с противоположным знаком производная восстанавливающей силы (момента силы) по обобщенной координате. Примечание - См. также термин "динамическая жесткость" (1.58). | en stiffness |
Примечание - См. также термин "динамическая податливость" (1.57). | en compliance |
1.39 нейтральный слой (просто изогнутой балки): Поверхность, в которой отсутствуют механические напряжения. Примечание - Следует определить, является ли поверхность, в которой отсутствуют механические напряжения, результатом только изгиба или изгиба в сочетании с другими деформациями. | en neutral surface (of a beam in simple flexure) |
en neutral axis (of a beam in simple flexure) | |
1.41 передаточная функция: Математическое представление соотношения между входом и выходом линейной системы с постоянными параметрами. Примечание 1 - Обычно передаточная функция является комплексной функцией и определяется как отношение преобразований Лапласа процессов на входе и выходе линейной системы с постоянными параметрами. | en transfer function |
en complex excitation | |
1.43 отклик: Отклик системы на заданное возбуждение, выраженный в виде комплексной величины через модуль и фазу.Примечание - См. примечание к термину "комплексное возбуждение" (1.42). | en complex response |
en modal analysis | |
1.45 модальная матрица: Матрица линейного преобразования, столбцами которой служат собственные векторы системы. Примечание - Данное преобразование позволяет привести матрицы модальной массы и модальной жесткости к диагональному виду. | en modal matrix |
en modal stiffness | |
Примечание - Плотность мод - характеристика, широко используемая в области динамики сооружений для оценки потока вибрационной мощности в сложных конструкциях. Ее используют для определения изменений потока вибрационной мощности, свидетельствующих о зарождении усталостных повреждений элементов конструкции, или в качестве меры при контроле состояния конструкций. Кроме того, данный параметр применяют в статистическом энергетическом методе расчета высокочастотного отклика сложных конструкций, а также при выборе соответствующих методов и средств контроля вибрации. | en modal density |
1.48 механический импеданс: отношение силы к скорости в заданной точке для заданного направления движения (степени свободы) механической системы.Примечание 1 - Механический импеданс на заданной частоте может быть определен для случаев, когда сила и скорость известны в одной или разных точках, в одном или разных направлениях при гармоническом возбуждении системы. Примечание 2 - Механический импеданс может быть определен как для поступательных, так и для вращательных движений. В последнем случае "силу" заменяют "моментом силы", а "скорость" - "угловой скоростью". Примечание 3 - Обычно термин "импеданс" применяют только в отношении линейных систем. Примечание 4 - Понятие механического импеданса может быть распространено также на нелинейные системы. В этом случае соответствующую величину определяют через приращения силы и скорости. | en mechanical impedance |
1.49 входной (механический) импеданс: Отношение силы к скорости, когда сила и скорость определены в одной и той же точке механической системы при ее гармоническом возбуждении.Примечание - См. примечания к термину "механический импеданс" (1.48). | en driving point (mechanical) impedance, direct (mechanical) impedance |
1.50 переходный (механический) импеданс: Отношение силы, приложенной в точке i в некотором заданном направлении, к скорости в точке j в некотором заданном направлении в механической системе при ее гармоническом возбуждении.Примечание - См. примечания к термину "механический импеданс" (1.48). | en transfer (mechanical) impedance |
1.51 импеданс короткого замыкания: Отношение приложенной силы к скорости отклика, когда все точки механической системы, кроме той, к которой приложена сила, свободны от внешних связей (воздействий).Примечание 1 - Практика показывает, что при анализе систем зачастую не делали различия между импедансом короткого замыкания и импедансом холостого хода. Поэтому требуется определенная осторожность в интерпретации опубликованных данных. Примечание 2 - Импеданс короткого замыкания обратно пропорционален соответствующему элементу матрицы механической подвижности. Однако если результаты экспериментальных определений импедансов короткого замыкания в разных точках конструкции для разных направлений движения (степеней свободы) объединить в матрицу, то она не будет обратной к матрице импедансов холостого хода, полученной в результате математического моделирования динамического поведения конструкции. Это следует учитывать в теоретическом анализе механических систем. | en free impedance |
1.52 импеданс холостого хода: Импеданс на входе механической системы, когда все остальные точки системы по всем направлениям движения (степеням свободы) нагружены бесконечным механическим импедансом. Примечание 1 - Импеданс холостого хода является частотной характеристикой механической системы и представляет собой отношение затормаживающей силы в точке j или в точке возбуждения i к скорости кинематического возбуждения в точке i, когда все остальные точки механической системы "заторможены", т.е. скорости в этих точках равны нулю. Чтобы экспериментально получить матрицу импедансов холостого хода, необходимо измерить все затормаживающие силы и моменты во всех точках механической системы.Примечание 2 - Изменение числа точек измерений или положения этих точек приведет к изменению импеданса холостого хода во всех точках измерений. Примечание 3 - Важность знания импедансов холостого хода обусловлена тем, что их удобно использовать при теоретическом анализе динамики конструкций методом конечных элементов или аппроксимируя конструкцию системой с сосредоточенными параметрами. При сопоставлении результатов теоретического анализа с экспериментально полученными значениями механической подвижности необходимо обратить аналитически рассчитанную матрицу импедансов холостого хода для преобразования ее в матрицу механических подвижностей или, наоборот, обратить матрицу механических подвижностей для преобразования в матрицу импедансов холостого хода. | en blocked impedance |
1.53 частотная характеристика: Частотно-зависимое отношение Фурье-преобразования отклика к Фурье-преобразованию возбуждения линейной системы. Примечание 1 - Возбуждение может представлять собой гармоническую или случайную функцию времени или переходный процесс. Результаты испытаний, проведенных с возбуждением конкретного вида, будут справедливы для предсказания отклика системы при всех других видах возбуждения. Примечание 2 - В качестве характеристик движения могут быть использованы величины скорости, ускорения или перемещения. Тогда соответствующие частотные характеристики называют подвижностью, ускоряемостью и динамической податливостью или импедансом, эффективной массой и динамической жесткостью (см. таблицу 1). | en frequency-response function |
Атрибуты частотной характеристики | Параметр движения | ||
Перемещение <a> | Скорость <b> | Ускорение <c> | |
Наименование | Динамическая податливость | Подвижность | Ускоряемость |
Обозначение | xi/Fj | Yij = vi/Fj | ai/Fj |
Размерность | м/Н | м/(Н·с) | м/(Н·с2) = кг-1 |
Граничные условия | Fk = 0; | Fk = 0; | Fk = 0; |
Примечание - Граничные условия могут быть легко реализованы в эксперименте. | |||
Наименование | Динамическая жесткость | Импеданс холостого хода | Эффективная масса холостого хода |
Обозначение | Fi/xj | Zij = Fi/vj | Fi/aj |
Размерность | Н/м | Н·с/м | Н·с2/м = кг |
Граничные условия | xk = 0; | vk = 0; | ak = 0; |
Примечание - Граничные условия очень трудно или невозможно реализовать в эксперименте. | |||
Наименование | Динамическая жесткость короткого замыкания | Импеданс короткого замыкания | Эффективная масса короткого замыкания |
Обозначение | Fj/xi | Fj/vi = 1/ Yij | Fj/ai |
Размерность | Н/м | Н·с/м | Н·с2/м = кг |
Граничные условия | Fk = 0; | Fk = 0; | Fk = 0; |
Примечание - Граничные условия могут быть легко реализованы в эксперименте, однако следует обратить особое внимание на корректное использование результатов экспериментов в математическом моделировании системы. | |||
<a> См. рисунок 3. <b> См. рисунок 1. <c> См. рисунок 2. | |||



2.1 вибрация: Движение механической системы (точки механической системы), при котором происходят периодические или случайные колебания характеризующей его величины относительно положения равновесия. Примечание - См. термин "колебание" (1.10). | en vibration | ||||
2.2 периодическая вибрация: Вибрация, при которой значения физической величины повторяются через некоторые равные приращения независимой переменной. Примечание 1 - Периодическую величину y, являющуюся функцией времени t, можно представить в виде ![]() где n - целое число; t - время (независимая переменная); Примечание 2 - Вибрацию, незначительно отличающуюся от периодической, называют почти периодической или квазипериодической вибрацией. | en periodic vibration | ||||
2.3 гармоническая вибрация: Периодическая вибрация, при которой соответствующая физическая величина является синусоидальной функцией времени. Примечание 1 - Гармоническая вибрация может быть представлена в виде ![]() где t - время (независимая переменная); y - параметр гармонической вибрации; Примечание 2 - Периодическую вибрацию, содержащую несколько синусоид с частотами, кратными частоте первой гармоники, часто называют полигармонической вибрацией. Примечание 3 - Почти гармоническую (квазигармоническую) вибрацию можно представить в виде синусоидальной функции с амплитудой и (или) частотой, медленно изменяющимися со временем. | en sinusoidal vibration, simple harmonic vibration | ||||
2.4 случайная вибрация: Вибрация, у которой значения соответствующей величины в конкретный момент времени не могут быть предсказаны точно. Примечание - Вероятность того, что параметр вибрации попадет в заданный диапазон значений, может быть определена функцией распределения вероятностей. | en random vibration, stochastic vibration | ||||
en angular vibration | |||||
2.6 крутильная вибрация: Периодическая вибрация, вызванная скручиванием тела вокруг собственной оси. Примечание 1 - См. термин "угловая вибрация" (2.5). Примечание 2 - Данный термин обычно используют при описании движения вращающихся валов в их перпендикулярном сечении. | en torsional vibration | ||||
en angular displacement | |||||
en angular velocity | |||||
en angular acceleration | |||||
en non-stationary vibration | |||||
2.11 стационарная вибрация: Вибрация, статистические характеристики которой не изменяются со временем. Примечание - Такая вибрация может представлять собой детерминированный или случайный процесс. | en stationary vibration | ||||
2.12 шум: Нежелательный сигнал (обычно случайной природы), спектр которого не содержит четко выраженных частотных составляющих. Примечание - Более широко, шум может состоять из нежелательных или случайных колебаний. Если может быть неясно, какой шум имеется в виду, то данный термин следует использовать с поясняющими определениями, например "акустический шум" или "электрический шум". | en noise | ||||
2.13 случайный шум: Шум, значения параметров которого в конкретный момент времени не могут быть предсказаны точно. Примечание - См. термин "случайная вибрация" (2.4). | en random noise, stochastic noise | ||||
| |||||
en Gaussian random vibration, Gaussian stochastic vibration | |||||
en white random vibration, white stochastic vibration | |||||
2.16 розовый шум: Случайная вибрация, энергия которой равномерно распределена в пределах полосы частот, ширина которой пропорциональна ее среднегеометрической частоте. Примечание - Энергетический спектр розового шума в октавной полосе частот (или в полосе частот шириной в долю октавы) имеет постоянное значение. | en pink random vibration, pink stochastic vibration | ||||
2.17 узкополосная случайная вибрация: Случайная вибрация, составляющие которой сосредоточены в узкой полосе частот. Примечание 1 - Что следует понимать под узкой полосой частот, зависит от поставленной задачи. Обычно ширина такой полосы равна трети октавы или менее. Примечание 2 - Временная форма сигнала узкополосной случайной вибрации имеет вид синусоидального сигнала со случайным образом изменяющимися амплитудой и фазой. Примечание 3 - См. термин "случайная вибрация" (2.4). | en narrow-band random vibration, narrow-band stochastic vibration | ||||
2.18 широкополосная случайная вибрация: Случайная вибрация, частотные составляющие которой распределены в широкой полосе частот. Примечание 1 - Что следует понимать под широкой полосой частот, зависит от поставленной задачи. Обычно ширина такой полосы равна октаве или более. Примечание 2 - См. термин "случайная вибрация" (2.4). | en broad-band random vibration, broad-band stochastic vibration | ||||
en dominant frequency | |||||
en steady-state vibration | |||||
2.21 переходная вибрация: Вибрация системы, являющаяся ее откликом на воздействие, при переходе от одной установившейся вибрации к другой. Примечание - Термин часто используют в связи с ударным процессом (см. 3.1), а под установившейся вибрацией часто понимают состояние покоя системы. | en transient vibration | ||||
Примечание - Для линейной системы частота вынужденной вибрации будет совпадать с частотой возбуждения. | en forced vibration | ||||
2.23 свободная вибрация: Вибрация системы после прекращения внешнего воздействия или снятия внешних связей. Примечание - Свободная вибрация линейной системы представляет собой суперпозицию собственных мод. | en free vibration | ||||
2.24 нелинейная вибрация: Вибрация системы с нелинейным откликом, поведение которой описывается нелинейными дифференциальными уравнениями. Примечание - Для нелинейной системы связь возбуждения и отклика отлична от прямо пропорциональной зависимости, и принцип суперпозиции не соблюдается. | en non-linear vibration | ||||
en longitudinal vibration | |||||
en self-induced vibration, self-excited vibration | |||||
en ambient vibration | |||||
Примечание - Фоновая вибрация составляет часть побочной вибрации. | en extraneous vibration | ||||
en aperiodic vibration | |||||
en jump | |||||
en cycle | |||||
2.32 (основной) период: Наименьший промежуток времени, через который периодическая функция повторяет себя. Примечание 1 - При употреблении в контексте, исключающем неоднозначное толкование, обычно вместо термина "основной период" используют термин "период". Примечание 2 - См. термин "периодическая вибрация" (2.2). | en (fundamental) period | ||||
Примечание - Частоту измеряют в герцах (Гц). Один герц соответствует одному циклу в секунду. | en frequency | ||||
Примечание 1 - Моду колебаний, соответствующую низшей собственной частоте системы, называют основной модой. Примечание 2 - См. термин "собственная частота" (2.88). | en fundamental frequency | ||||
Примечание 1 - Частоты гармоник кратны частоте периодической вибрации. Примечание 2 - В указанном смысле часто используют также термин "обертон", при этом n-й гармонике соответствует (n - 1)-й обертон. Применение термина "обертон" нежелательно. | en harmonic | ||||
en sub harmonic | |||||
en sinusoidal excitation | |||||
2.38 биения: Периодическое изменение огибающей суммы двух колебаний с незначительно отличающимися частотами. Примечание - Биения происходят на разностной частоте колебаний. | en beats | ||||
en beat frequency | |||||
2.40 угловая частота: Произведение частоты физической величины, изменяющейся по синусоидальному закону, на коэффициент Примечание - Единица измерения угловой частоты - радиан (рад) в единицу времени. | en angular frequency, pulsatance | ||||
en phase angle | |||||
en phase (angle) difference | |||||
Примечание - В русском языке термин "амплитуда" используют в более узком смысле, чем в английском языке, где он служит для обозначения размерной характеристики (модуля, максимального значения и т.п.), понимаемой из контекста. | en amplitude | ||||
Примечание - Под пиковым значением обычно понимают максимальное отклонение величины, описывающей вибрацию, от среднего значения. Максимальное (по модулю) отклонение в область положительных значений называют положительным пиковым значением, а в область отрицательных значений - отрицательным пиковым значением. | en peak value | ||||
2.45 размах: Разность между положительным и отрицательным пиковыми значениями на заданном интервале времени. Примечание - Результат измерения данной величины зависит от времени установления средства измерений. | en peak-to-peak value | ||||
en (total) excursion | |||||
Примечание - Пик-фактор синусоидального сигнала равен | en crest factor | ||||
2.48 форм-фактор, коэффициент формы: Отношение среднеквадратичного значения к среднему значению функции на половине цикла между двумя последовательными пересечениями нуля. Примечание - Форм-фактор синусоидального сигнала равен . | en form factor | ||||
en instantaneous value | |||||
en maximax | |||||
Примечание 1 - Жесткость вибрации - обобщающее понятие. Применительно к вибрации, создаваемой машинами, вместо него чаще используют термин "вибрационное состояние". В прошлом вибрационное состояние машины описывалось через параметры скорости, однако в настоящее время более распространенным является его описание через другие величины, такие как перемещение и ускорение. Примечание 2 - Вибрационное состояние машины характеризуется максимальным значением соответствующего параметра в разных точках машины (валы, подшипники и т.д.). | en vibration severity | ||||
en elliptical vibration | |||||
en rectilinear vibration, linear vibration | |||||
Примечание - Данный вид движения является частным случаем эллиптической вибрации. | en circular vibration | ||||
2.55 поступательное движение: Движение тела, при котором отрезок, соединяющий две любые точки тела, остается параллельным самому себе. Примечание - Поступательное движение тела определяют по тому, как изменяются со временем его координаты. | en translational motion | ||||
2.56 вращательное движение: Движение, при котором траектории всех точек тела являются окружностями с центрами, расположенными на одной прямой (оси вращения) и лежат в плоскостях, перпендикулярных этой прямой. Примечание - Вращательное движение тела определяют по тому, как изменяются со временем его угловые координаты. | en rotational motion | ||||
en node | |||||
en antinode | |||||
Примечание 1 - Для систем без демпфирования собственные моды вибрации совпадают с нормальными модами вибрации (см. 2.66). Примечание 2 - Иногда собственную моду вибрации называют натуральной модой. Примечание 3 - Собственная мода вибрации является произведением формы моды вибрации и гармонической вибрации на собственной частоте. Примечание 4 - Число собственных мод вибрации совпадает с числом степеней свободы данной системы. | en natural mode of vibration | ||||
2.60 мода вибрации: Пространственная конфигурация гармонических колебаний точек линейной механической системы при ее гармоническом возбуждении. Примечание - В системе со многими степенями свободы могут одновременно существовать разные моды вибрации. | en mode of vibration | ||||
Примечание - См. термин "основная частота" (2.34). | en fundamental natural mode of vibration | ||||
2.62 форма моды: Конфигурация совокупности точек механической системы, в которой возбуждена только одна мода вибрации, когда точки находятся на максимальном расстоянии от положения равновесия (нейтральной поверхности, нейтральной оси). Примечание - Каждая мода может иметь свое положение равновесия. | en mode shape | ||||
en modal number | |||||
2.64 связанные моды: Моды вибрации, взаимно влияющие друг на друга за счет переноса энергии одной моды в другую вследствие демпфирования. Примечание - Обмен энергии между модами возможен при близости их собственных частот. | en coupled modes | ||||
Примечание - Для несвязанных мод явление обмена энергией отсутствует. | en uncoupled modes | ||||
2.66 недемпфированная собственная мода вибрации: Собственная мода вибрации в системе без демпфирования. Примечание 1 - Движение системы характеризуется взвешенной суммой нормальных мод. Примечание 2 - Для систем без демпфирования понятия нормальной моды вибрации и собственной моды вибрации совпадают. | en undamped natural mode | ||||
en damped natural mode | |||||
en wave train | |||||
2.69 длина волны: Расстояние в направлении распространения волны, между двумя ближайшими точками, колеблющимися с разностью фаз [ИСО 80000-3:2006 (статья 3-17)] | en wavelength | ||||
2.70 волна сжатия: Волна, состоящая из областей сжатия и растяжения, распространяющаяся в упругой среде. Примечание - Волна сжатия обычно является продольной волной (2.71). | en compressional wave | ||||
en longitudinal wave | |||||
Примечание 1 - Сдвиговая волна обычно является поперечной волной (см. 2.73). Примечание 2 - Сдвиговая волна не связана с изменениями объема. | en shear wave | ||||
en transverse wave | |||||
2.74 поверхностная волна, рэлеевская волна: Волна, распространяющаяся вдоль границы раздела двух сред, так что частицы в области раздела движутся по эллиптическим траекториям с центром на невозмущенной границе раздела и большой полуосью, перпендикулярной этой границе. Примечание - На "гребнях" волны (т.е. на максимальном удалении от границы между средами) частицы среды движутся в направлении, противоположном направлению распространения волны. | en surface wave, Rayleigh wave | ||||
2.75 фронт волны: Геометрическое место точек бегущей волны, имеющих в данный момент времени одинаковую фазу колебаний. Примечание - У поверхностных волн фронт волны представляет собой непрерывную линию, у пространственных волн - непрерывную поверхность. | en wave front | ||||
en plane wave | |||||
en spherical wave | |||||
Примечание 1 - Стоячую волну можно рассматривать как суперпозицию двух бегущих навстречу друг другу волн одного вида и одной частоты. Примечание 2 - Узлы и пучности стоячей волны не изменяют своего положения со временем. | en standing wave | ||||
Примечание - Частоты аудиоволн обычно расположены в диапазоне от 20 до 20 000 Гц. | en audio frequency | ||||
en resonance | |||||
Примечание 1 - Резонансные частоты могут зависеть от величины, описывающей отклик, например, резонанс по скорости может наступить на другой частоте, чем резонанс по перемещению (см. таблицу 2). Примечание 2 - Во избежание неоднозначности следует указывать тип резонанса, например, резонанс по скорости (см. таблицу 2). | en resonance frequency | ||||
Параметр | Состояние системы | ||
Резонанс по перемещению | Резонанс по скорости | Свободные затухающие колебания | |
Частота | ![]() | ![]() | ![]() |
Амплитуда перемещения | ![]() | ![]() | |
Амплитуда скорости | ![]() | ![]() | |
Сдвиг фазы перемещения относительно вынуждающей силы | ![]() | ![]() | |
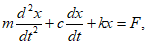
Примечание 1 - В случае линейной системы с одной степенью свободы уравнение движения имеет вид ![]() где t - время; x - перемещение; m - масса системы; c - коэффициент сопротивления системы; k - жесткость пружины в системе. Выражения для параметров, связанных с резонансом, даны через постоянные вышеприведенного уравнения движения. Примечание 2 - Если коэффициент сопротивления системы c мал по сравнению с | |||
en antiresonance | |
Примечание 1 - Частоты антирезонанса могут зависеть от величины, описывающей отклик, например, антирезонанс по скорости может наступить на другой частоте, чем антирезонанс по перемещению. Примечание 2 - Во избежание неоднозначности следует указывать тип антирезонанса, например, антирезонанс по скорости. | en antiresonance frequency |
2.84 собственная частота системы с неподвижным основанием: Собственная частота колебаний, которые бы испытывала система с жестким основанием бесконечной массы. Примечание - Формула и значения собственных частот в таблице 2 приведены для системы с неподвижным основанием. | en fixed-base natural frequency |
2.85 критическая частота вращения: Частота вращения ротора, при которой в системе возникают резонансы. Примечание 1 - Критическая частота вращения в с-1 равна резонансной частоте в Гц (кроме того, в системе могут наблюдаться также резонансы на частотах соответствующих гармоник и субгармоник). Примечание 2 - В системе, состоящей из нескольких взаимосвязанных роторов (валопроводе), каждой моде валопровода будет соответствовать набор критических частот вращения составляющих его роторов. | en critical speed, resonance speed |
en subharmonic (resonance) response | |
Примечание - В отношении вибрации и удара демпфирование проявляется в затухании процесса. | en damping |
2.88 собственная частота (механической системы): Частота свободных колебаний линейной системы без демпфирования. Примечание - Для уравнения движения из таблицы 2 собственная частота равна . | en natural frequency (of a mechanical system) |
2.89 собственная частота системы с демпфированием, частота свободных затухающих колебаний: Частота свободных колебаний линейной системы с демпфированием. Примечание - См. таблицу 2. | en damped natural frequency |
2.90 линейное демпфирование: Демпфирование, вызванное действием диссипативной силы, пропорциональной и противоположной скорости. Примечание - Устройство, создающее линейное вязкостное демпфирование, на схемах часто условно изображают поршнем (см. 2.94). | en linear damping |
en equivalent linear damping | |
2.92 сопротивление, коэффициент сопротивления: Отношение диссипативной силы к скорости, взятое с противоположным знаком. Примечание - См. термин "линейное демпфирование" (2.90). | en linear damping coefficient |
Примечание 1 - Динамическое гистерезисное демпфирование (преимущественно линейное) включает в себя вязкоупругое, реологическое демпфирование и внутреннее трение. Примечание 2 - Демпфирующая сила гистерезисного демпфирования имеет сдвиг фаз 90° относительно восстанавливающей силы. Статическое гистерезисное демпфирование связано с нелинейностью зависимости деформации от напряжения, не зависит от времени и скоростей деформации и напряжения и обусловлено пластическими свойствами материала. Примечание 3 - Площадь петли гистерезиса не зависит от частоты вибрации, но пропорциональна квадрату амплитуды деформации. | en hysteresis damping, structural damping |
2.94 поршень: Условное наименование диссипативного элемента механической системы, обеспечивающего существование в ней вязкостного демпфирования. Примечание - Данный элемент создает силу сопротивления движению системы, пропорциональную ее скорости. | en dashpot |
en critical (viscous) damping | |
2.96 относительное демпфирование: Отношение коэффициента сопротивления к коэффициенту критического сопротивления. Примечание 1 - Данная величина может быть выражена также в процентах коэффициента критического сопротивления. | en damping ratio |
en logarithmic decrement | |
en non-linear damping | |
Примечание - Добротность системы Q обратна удвоенному относительному демпфированию системы, т.е. . | en Q factor |
2.100 вибростенд, вибровозбудитель: Устройство, специально сконструированное и предназначенное для возбуждения вибрации и передачи ее на испытуемый объект. Примечание - Испытуемый объект может быть установлен на столе вибростенда или же возбуждение на объект может быть передано при помощи наконечника (захвата) без использования стола. | en vibration generator, vibration machine, vibration exciter |
en vibration generator system | |
2.102 электродинамический вибростенд: Вибростенд, возбуждающий вибрацию в результате взаимодействия постоянного магнитного поля с находящейся в этом поле катушкой возбуждения, по которой протекает переменный ток. Примечание - Подвижная система электродинамического вибростенда включает в себя стол, подвижную катушку и другие элементы, предназначенные для непосредственного возбуждения вибрации. | en electro-dynamic vibration generator |
en electro-magnetic vibration generator | |
en (mechanical) direct-drive vibration generator | |
en hydraulic vibration generator | |
en (mechanical) reaction vibration generator, unbalanced mass vibration generator | |
en resonance vibration generator | |
en piezoelectric vibration generator | |
en magneto-strictive vibration generator | |
en lumped mass, deadweight, pure mass | |
2.111 циклическая операция: Повторяющееся действие, связанное с прохождением цикла управляемой переменной (например, частотой). Примечание - См. термин "цикл" (2.31). | en cycle (operation) |
en cycle period | |
en cycle range | |
en sweep | |
Примечание - Скорость качания частоты может быть выражена как df/dt, где f - частота, t - время. | en sweep rate |
2.116 линейное качание: Качание, при котором скорость изменения управляемой переменной (обычно частоты) постоянна, т.е. df/dt = constant. Примечание - См. термин "скорость качания" (2.115). | en linear sweep rate, uniform sweep rate |
2.117 логарифмическое качание: Качание, при котором поддерживается постоянной скорость изменения относительного приращения частоты, т.е. (df/f)dt = constant. Примечание 1 - Для данного режима качания время прохождения диапазонов с одинаковым отношением максимального и минимального значений частот постоянно. Примечание 2 - Скорость качания частоты в логарифмическом режиме рекомендуется выражать в октавах в минуту. Примечание 3 - См. термин "скорость качания" (2.115). | en logarithmic (frequency) sweep rate |
2.118 частота перехода: Частота, на которой происходит изменение соотношений между параметрами возбуждаемой вибрации. Пример - Частота перехода между диапазонами постоянного среднеквадратичного значения перемещения и постоянного среднеквадратичного значения ускорения. | en cross-over frequency |
2.119 изолятор (вибрация и удар): Опора, обычно упругая, назначение которой ослабить передаваемую вибрацию и (или) удар в некотором диапазоне частот. Примечание - В дополнение к упругому элементу или взамен него изолятор может включать в себя складные элементы, следящую систему и др. | en isolator |
en vibration isolator | |
en shock isolator | |
Примечание 1 - Данное определение применяют в случаях, когда размер крепления мал по сравнению с размерами машины или конструкции, к которой его прикрепляют. Примечание 2 - Главной осью деформации упругого крепления называют направление, в котором действие внешней силы вызывает прогиб. | en elastic centre |
2.123 система установки по центру тяжести: Система крепления объекта, при которой при поступательном движении объекта от положения равновесия в системе не появляются моменты сил относительно осей, проходящих через центр масс. Примечание 1 - Если объект опирается на такую систему установки, то все его моды вибрации (поступательные и угловые) будут несвязанными. Примечание 2 - При использовании системы установки по центру тяжести центр тяжести установленного объекта совпадает с центром жесткости крепления (см. 2.122). | en centre-of-gravity mounting system |
en shock absorber | |
en damper | |
en snubber | |
2.127 динамический виброгаситель: Устройство, предназначенное для снижения вибрации системы в желаемом диапазоне частот посредством направления ее колебательной энергии в присоединенную вспомогательную систему, настроенную на резонанс таким образом, чтобы сила со стороны вспомогательной системы была противоположна по фазе вибрационной силе в основной системе. Примечание 1 - Динамический виброгаситель может иметь или не иметь демпфирующие свойства, однако демпфирование вибрации не является его основной задачей. Примечание 2 - Если динамический виброгаситель не содержит элементов демпфирования, то вся поступающая на него энергия вибрации возвращается обратно в источник. | en dynamic vibration absorber |
2.128 антивибратор: Вспомогательная система с амплитудно-зависимой частотной характеристикой, которая изменяет вибрационные характеристики основной системы, к которой она присоединена. Пример - Вспомогательная масса на пружине с регулируемой нелинейной жесткостью. | en detuner |
3.1 удар: Резкое изменение силы, положения, скорости или ускорения, возбуждающее переходные процессы в системе. Примечание - Изменение считают резким, если его длительность гораздо меньше характерных периодов времени системы. | en shock |
3.2 ударный импульс: Возбуждение, характеризуемое резким ростом и (или) спадом переменной физической величины. Примечание - При применении термина указывают вид изменяющейся физической величины, например "ударный импульс ускорения". | en shock pulse |
en shock motion | |
en impact | |
Примечание 1 - В случае механических ударов интервал интегрирования относительно мал. Примечание 2 - В случае постоянной силы количество движения равно произведению силы на время ее действия. Примечание 3 - Возбуждение вследствие мгновенного приложения силы называют импульсным возбуждением. | en impulse |
en bump | |
en ideal shock pulse | |
en half-sine shock pulse | |
en final peak sawtooth shock pulse, terminal peak sawtooth shock pulse | |
en initial peak sawtooth shock pulse | |
en symmetrical triangular shock pulse | |
en versine shock pulse, haversine shock pulse | |
en rectangular shock pulse | |
en trapezoidal shock pulse | |
Примечание 1 - "Номинальный импульс" - родовой термин, требующий дополнительного уточнения в каждом конкретном случае, например, "номинальный полусинусоидальный импульс" или "номинальный пилообразный импульс". Примечание 2 - Допуски могут быть выражены через заданные границы изменения формы импульса (включая ограничения на отклонение от заданной площади под импульсом) или через границы изменения его спектра. | en nominal (shock) pulse |
en nominal value of a shock pulse | |
3.17 длительность ударного импульса: Временной интервал между моментами, когда импульс впервые превысит некоторое значение (задаваемое как доля пикового значения) и спадет до этого же значения. Примечание - Для импульсов классической формы значение, по пересечениям которого определяют длительность импульса, равно нулю. В реальных измерениях обычно за данное значение принимают 1/10 максимального значения импульса. | en duration of shock pulse |
en (pulse) rise time | |
3.19 время спада импульса: Интервал времени, требуемый, чтобы величина, описывающая импульс, спала от одного значения (соответствующего некоторой большой доле максимума импульса) до другого значения (соответствующего некоторой малой доле максимума импульса). Примечание - См. примечание к термину "время нарастания импульса" (3.18). | en (pulse) decay time, (pulse) drop-off time |
3.20 ударная волна: Временной сигнал, описывающий ударный импульс перемещения, давления или другой переменной, связанный с распространением удара в среде или по конструкции. Примечание - Ударная волна в жидкости или газе обычно характеризуется фронтом волны, в котором давление резко возрастает до относительно большого значения. | en shock wave |
en shock (testing) machine | |
3.22 ударный спектр: Зависимость максимального отклика на ударное воздействие ансамбля колебательных систем с одной степенью свободы и одинаковым демпфированием от собственных частот этих систем. Примечание 1 - "Ударный спектр" - родовой термин, требующий уточнения вида физической величины, например, ударный спектр скорости, ускорения или перемещения. Примечание 2 - Под одинаковым демпфированием понимается постоянство коэффициента линейного демпфирования (определенного как отношение сопротивления к удвоенной массе системы) для всех колебательных систем. Если численное значение коэффициента линейного демпфирования и вид демпфирования в системах, составляющих ансамбль, не определено, то его полагают равным нулю. Если не указано иное, то под максимальным откликом понимают максимум абсолютного значения величины на выходе колебательной системы безотносительно к знаку величины и времени наблюдения этого максимума. Такой ударный спектр часто называют максимаксным или полным. Если речь идет об ударном спектре другого вида, то это необходимо указывать. | en shock response spectrum |
4.1 преобразователь: Устройство, служащее для преобразования одной формы энергии процесса в другую таким образом, чтобы процесс на выходе устройства содержал информацию о характеристиках процесса на его входе. Примечание - Выходной процесс обычно представляет собой электрический сигнал. | en transducer |
4.2 электромеханический преобразователь: Устройство, преобразующее энергию механического процесса (напряжения, силы, движения и т.д.) в энергию электрического процесса и наоборот. Примечание - Основными типами преобразователей, используемых для измерений вибрации и удара, являются: a) пьезоэлектрический акселерометр; b) пьезорезистивный акселерометр; c) тензометрический акселерометр; d) датчик с переменным магнитным сопротивлением; e) электростатический (емкостной) датчик; f) проволочный (фольговый) тензодатчик; g) индуктивный датчик; h) магнитострикционный преобразователь; i) электродинамический преобразователь; j) магнитоэлектрический преобразователь; k) индукционный преобразователь; l) электронный преобразователь; m) лазерный доплеровский виброметр; n) вихретоковый (токовихревой) датчик. | en electro-mechanical transducer |
4.3 преобразователь инерционного типа: Преобразователь, в котором источником выходного электрического сигнала служит движение подвешенной инерционной массы относительно основания. Примечание - Рабочий диапазон частот преобразователей ускорения (акселерометров) лежит ниже собственной частоты колебаний инерционной массы, а датчиков скорости и перемещения - выше. | en seismic transducer |
en linear transducer | |
en unilateral transducer | |
4.6 обратимый преобразователь: Преобразователь, способный осуществлять преобразование в обоих направлениях: от входа к выходу и от выхода к входу. Примечание - Для обратимого преобразователя обычно справедлив принцип взаимности. | en bilateral transducer |
en sensing element | |
4.8 преобразователь прямолинейной вибрации: Преобразователь, воспринимающий поступательное движение. Примечание - Данный термин используют только в тех случаях, когда нужно отличить преобразователь данного типа от преобразователя, воспринимающего вращательное движение. | en rectilinear transducer |
en angular transducer | |
en accelerometer, acceleration transducer | |
en velocity transducer | |
en displacement transducer | |
en vibrograph | |
en vibrometer | |
en force transducer | |
4.16 коэффициент преобразования (преобразователя): Отношение заданной выходной величины к заданной входной величине. Примечание - Коэффициент преобразования обычно определяют как функцию частоты, подавая на вход гармоническое возбуждение. | en sensitivity (of a transducer) |
en dynamic range (of a transducer) | |
4.18 калибровочный коэффициент (преобразователя): Среднее значение коэффициента преобразования в заданном диапазоне частот. Примечание - См. термин "коэффициент преобразования" (4.16). | en calibration factor (of a transducer) |
en sensitive axis (of a rectilinear transducer) | |
en transverse axis (of a transducer) | |
4.21 коэффициент поперечного преобразования (преобразователя прямолинейной вибрации): Коэффициент преобразования преобразователя при его возбуждении в направлении, перпендикулярном к оси чувствительности. Примечание - Данная величина обычно зависит от выбора направления поперечной оси. | en transverse sensitivity (of a rectilinear transducer), cross axis sensitivity |
4.22 относительный коэффициент поперечного преобразования (преобразователя прямолинейной вибрации): Отношение коэффициента преобразования в поперечном направлении к коэффициенту преобразования для данного преобразователя. Примечание - Иногда данную величину выражают в процентах. | en transverse sensitivity ratio (of a rectilinear transducer), cross axis sensitivity ratio |
en transducer phase shift | |
en transducer distortion | |
en amplitude distortion (of a transducer) | |
en frequency distortion | |
en phase distortion |
en data | |||||
5.2 выборка: Последовательные измерения (результаты измерений) физической величины при заданных значениях независимой переменной (времени, фазы, угла поворота вала и др.). Примечание - В других областях, например, в статистике, данный термин может иметь другой смысл. | en sampling | ||||
en sampling frequency | |||||
en sampling period | |||||
Примечание - Частоту Найквиста определяют по формуле fN = fs/2, где fs - частота дискретизации. | en Nyquist frequency | ||||
en sampling rate | |||||
en sampling interval | |||||
Примечание - Эта величина обратна общей длительности выборки, по которой рассчитан спектр сигнала. | en frequency resolution | ||||
Примечание 1 - Преобразование Фурье процесса x(t) имеет вид ![]() Примечание 2 - Преобразование Фурье процесса x(t) на конечном интервале T имеет вид ![]() где и m - целое число. | en Fourier transform | ||||
Примечание 1 - Ряд Фурье X для выборочных значений сигнала x(n), полученных в моменты времени ![]() где - частота выборки;X(m) - составляющая ряда Фурье на частоте ;m - целое число, 0 <= m <= N - 1. | en Fourier series | ||||
5.11 амплитудный спектр вибрации: Представление гармонических составляющих сигнала, связанных с неисправностями определенных узлов машины (вала, зубчатой передачи, подшипника качения), на основе ряда Фурье. Примечание - Амплитудный спектр Rxx для выборки x(n), 0 <= n <= N, из сигнала на периоде T имеет вид: ![]() ![]() где Ca - масштабирующий множитель; N - объем выборки, полученный с частотой дискретизации ;n - порядковый номер элемента в выборке; m - номер гармоники. | en rms spectrum | ||||
5.12 спектральная плотность мощности: Распределение по частотным составляющим мощности случайного непрерывного сигнала. Примечание 1 - Спектральная плотность мощности Pxx, полученная по выборке данных на интервале длительности T, имеет вид ![]() где E{ } - символ математического ожидания. Примечание 2 - Спектральную плотность мощности измеряют в U2/Гц, где U - единица измерения физической величины, для которой определяют спектральную плотность мощности. Примечание 3 - "Спектральная плотность мощности" - родовой термин, не относящийся к какой-либо конкретной физической величине, для которой определяют данную характеристику. Поэтому в каждом случае следует указывать, о какой конкретно физической величине идет речь, например, "спектральная плотность мощности ускорения" или, коротко, "спектральная плотность ускорения". | en power spectral density, auto-spectral density | ||||
5.13 спектральная плотность энергии: Распределение по частотным составляющим энергии переходного процесса. Примечание 1 - Спектральная плотность энергии, определенная по выборке данных на интервале, полностью включающем исходный переходный процесс, имеет вид: ![]() Примечание 2 - Если спектральную плотность энергии определяют для случайного процесса x(n), то необходимо определить временной интервал T, на котором рассматривают энергию процесса, а в вышеприведенной формуле величину в правой части заменяют на ее математическое ожидание. | en energy spectral density | ||||
5.14 взаимная спектральная плотность: Функция в частотной области, отражающая взаимосвязь двух сигналов. Примечание 1 - Для сигналов, описываемых через спектральную плотность энергии, взаимная спектральная плотность энергии exx имеет вид: | en cross spectral density | ||||
| |||||
![]() В случае случайных процессов в вышеприведенной формуле величину в правой части заменяют на ее математическое ожидание. Примечание 2 - Для случайных сигналов, описываемых спектральной плотностью мощности, взаимная спектральная плотность мощности Pxy имеет вид: ![]() | |||||
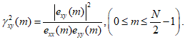
5.15 функция когерентности: Безразмерная (нормированная) функция в частотной области, отражающая взаимосвязь двух сигналов. Примечание 1 - Для сигналов, описываемых через спектральную плотность энергии, функция когерентности ![]() Примечание 2 - Для сигналов, описываемых через спектральную плотность мощности, функция когерентности ![]() Примечание 3 - Значения функции когерентности лежат в диапазоне от 0 до 1. | en coherence function | ||||
5.16 статистические степени свободы: Число независимых элементов варьирования при получении статистических оценок. Примечание - От числа степеней свободы зависит точность статистических оценок. | en statistical degrees of freedom | ||||
en aliasing | |||||
5.18 оконная функция: Функция специального вида, на которую умножают выборочные значения временного сигнала, чтобы улучшить свойства представления этого сигнала в частотной области. Примечание 1 - При использовании оконной функции применяют соответствующий масштабный множитель. Примечание 2 - Оконную функцию применяют для устранения искажений, связанных с дискретизацией временного сигнала. | en window (function) | ||||
5.19 масштабный множитель: Поправочный коэффициент, зависящий от вида оконной функции, на который следует умножать полученный спектр узкополосного сигнала. Примечание - Масштабный множитель может быть рассчитан по формуле ![]() где w(n) - оконная функция. | en amplitude scaling factor | ||||
en effective noise bandwidth | |||||
en time history | |||||
en sidelobes | |||||
en spectral leakage | |||||
en leakage error | |||||
5.25 детерминированная вибрация: Вибрация, для которой значение описывающей ее величины известно в любой момент времени. Примечание - Такая вибрация может быть откликом системы на известное входное воздействие, например соударение, или поддаваться расчету по другим известным параметрам, например, по положению вала. | en deterministic vibration | ||||
en ensemble, set | |||||
en number of lines | |||||
en record length | |||||
en stationary process | |||||
en ergodic process | |||||
en stochastic process, random process | |||||
5.32 (авто)корреляционная функция: Среднее от произведения значений одной величины, взятых в разные моменты времени. Примечание 1 - Автокорреляционная функция rxx случайной вибрации x(t) имеет вид ![]() Примечание 2 - Если вибрация представляет собой стационарный процесс, то автокорреляционная функция будет зависеть только от разности моментов времени (задержки) | en auto-correlation function | ||||
5.33 взаимная корреляционная функция: Среднее от произведения значений двух физических величин, взятых в разные моменты времени. Примечание 1 - Взаимная корреляционная функция rxy двух случайных вибрационных процессов x(t) и y(t) имеет вид: ![]() Примечание 2 - См. примечание 2 к термину "(авто) корреляционная функция" (5.32). | en cross-correlation function | ||||
5.34 нормированная (авто)корреляционная функция: Отношение автокорреляционной функции к ее значению при задержке по времени, равной нулю. Примечание - Данная величина имеет вид ![]() | en normalized autocorrelation function | ||||
5.35 нормированная взаимная корреляционная функция: Отношение взаимной корреляционной функции к квадратному корню от произведения значений автокорреляционных функций двух величин при задержках по времени равным нулю. Примечание 1 - Данная величина имеет вид | en normalized cross-correlation coefficient | ||||
| |||||
![]() | |||||
Примечание 2 - Для любых значений задержки . | |||||
5.36 эффективная полоса частот (полосового фильтра): Полоса частот идеального полосового фильтра с плоской частотной характеристикой, передающего после поступления на его вход белого шума сигнал той же энергии, что и рассматриваемый фильтр. Примечание - Эффективная ширина полосы фильтра может быть определена на основе измерения отношения среднего квадрата сигнала на выходе фильтра к произведению спектральной плотности мощности входного белого шума на квадрат максимального коэффициента передачи фильтра. | en effective bandwidth (of a specified band-pass filter) | ||||
en signal bandwidth | |||||
en confidence level | |||||
Примечание 1 - Вероятность появления конкретного события обычно оценивают отношением числа наступлений данного события к общему числу возможных событий. Применительно к стационарной случайной вибрации вероятность того, что величина, описывающая вибрацию, будет находиться в пределах заданного диапазона значений, принимается равной отношению времени, в течение которого значение величины находилось в этом диапазоне, к общему времени наблюдений. Примечание 2 - При вышеуказанном способе оценки вероятности необходимо, чтобы в рассмотрение было принято большое число событий или чтобы наблюдение проводилось на значительном интервале времени. Примечание 3 - Вероятность, равная единице, означает достоверное появление события. Вероятность, равная нулю, означает, что данное событие не имеет места. Примечание 4 - Вероятность того, что величина, описывающая вибрацию, будет находиться в пределах заданного диапазона значений, равна интегралу от плотности распределения вероятностей по указанному диапазону. См. термин "плотность распределения вероятностей" (5.40). | en probability | ||||
5.40 плотность распределения вероятностей (вибрация): Отношение вероятности попадания величины, описывающей вибрацию, в некоторый диапазон значений к размеру этого диапазона при стремлении последнего к нулю. Примечание 1 - Плотность распределения вероятностей значений величины x определяется формулой ![]() или ![]() где p(xm) - плотность распределения вероятностей в точке xm; - вероятность, что значение величины находится в пределах от xm до .Примечание 2 - Плотность распределения вероятностей p(x) является производной от функции распределения вероятности, P(x), по x. | en probability density | ||||
5.41 кривая плотности распределения (вибрация): Математическая функция, описывающая плотность распределения вероятностей во всем диапазоне значений параметра вибрации. Примечание 1 - Примерами математических функций p(x), описывающих плотность распределения вероятностей, являются плотности нормального распределения или распределения Рэлея. Примечание 2 - Площадь под кривой плотности распределения вероятностей равна единице. | en probability density (distribution) curve | ||||
en confidence interval | |||||
А | |
автоколебания | |
акселерометр | |
амортизатор удара | |
амплитуда | |
анализ модальный | |
ансамбль | |
антивибратор | |
антирезонанс | |
аудиочастота | |
Б | |
бел | |
биения | |
В | |
вероятность | |
вероятность доверительная | |
вибрация | |
вибрация вынужденная | |
вибрация гармоническая | |
вибрация детерминированная | |
вибрация изгибная | |
вибрация индуцированная (потоком) | |
вибрация (точки) круговая | |
вибрация крутильная | |
вибрация масляного клина | |
вибрация нелинейная | |
вибрация непериодическая | |
вибрация нестационарная | |
вибрация осевая | |
вибрация переходная | |
вибрация периодическая | |
вибрация побочная | |
вибрация продольная | |
вибрация (точки) прямолинейная | |
вибрация свободная | |
вибрация случайная | |
вибрация случайная узкополосная | |
вибрация случайная широкополосная | |
вибрация стационарная | |
вибрация угловая | |
вибрация установившаяся | |
вибрация фоновая | |
вибрация (точки) эллиптическая | |
вибровозбудитель | |
виброгаситель динамический | |
виброграф | |
виброизолятор | |
виброметр | |
вибростенд | |
вибростенд гидравлический | |
вибростенд дисбалансный | |
вибростенд магнитострикционный | |
вибростенд прямого действия | |
вибростенд пьезоэлектрический | |
вибростенд резонансный | |
вибростенд электродинамический | |
вибростенд электромагнитный | |
возбуждение | |
возбуждение гармоническое | |
возбуждение комплексное | |
волна сжатия | |
волна плоская | |
волна поверхностная | |
волна поперечная | |
волна продольная | |
волна рэлеевская | |
волна сдвиговая | |
волна стоячая | |
волна сферическая | |
волна ударная | |
время нарастания импульса | |
время спада импульса | |
выборка | |
выдержка | |
Г | |
гармоника | |
Д | |
данные | |
датчик перемещения | |
датчик силы | |
датчик скорости | |
датчик ускорения | |
движение вращательное | |
движение поступательное | |
движение (ротора) прецессионное | |
движение ударное | |
декремент логарифмический | |
демпфер | |
демпфирование | |
демпфирование гистерезисное | |
демпфирование критическое | |
демпфирование линейное | |
демпфирование линейное эквивалентное | |
демпфирование нелинейное | |
демпфирование относительное | |
децибел | |
диаграмма временная | |
диапазон (преобразователя) динамический | |
диапазон цикла | |
динамика изменения | |
длина волны | |
длина записи | |
длительность ударного импульса | |
добротность | |
Ж | |
жесткость | |
жесткость вибрации | |
жесткость динамическая | |
жесткость модальная | |
3 | |
значение мгновенное | |
значение пиковое | |
И | |
изолятор | |
импеданс (механический) входной | |
импеданс механический | |
импеданс (механический) переходный | |
импеданс короткого замыкания | |
импеданс холостого хода | |
импульс версинусоидальный | |
импульс номинальный | |
импульс пилообразный с пиком в конце | |
импульс пилообразный с пиком в начале | |
импульс полусинусоидальный | |
импульс прямоугольный | |
импульс силы | |
импульс треугольный симметричный | |
импульс трапецеидальный | |
импульс ударный | |
импульс ударный классической формы | |
интервал выборки | |
интервал доверительный | |
искажения (преобразователя) | |
искажения (преобразователя) амплитудные | |
искажения (преобразователя) фазовые | |
искажения (преобразователя) частотные | |
К | |
качание | |
качание линейное | |
качание логарифмическое | |
колебание | |
коэффициент амплитуды | |
коэффициент жесткости | |
коэффициент калибровочный (преобразователя) | |
коэффициент передачи | |
коэффициент преобразования (преобразователя) | |
коэффициент поперечного преобразования (преобразователя прямолинейной вибрации) | |
коэффициент поперечного преобразования относительный (преобразователя прямолинейной вибрации) | |
коэффициент сопротивления | |
коэффициент формы | |
кривая плотности распределения | |
М | |
максимакс | |
максимумы побочные | |
матрица модальная | |
масса сосредоточенная | |
масса эффективная | |
множитель масштабный | |
мода вибрации | |
мода вибрации собственная | |
мода вибрации собственная демпфированная | |
мода вибрации собственная недемпфированная | |
мода вибрации собственная основная | |
моды несвязанные | |
моды связанные | |
момент инерции | |
момент инерции центробежный | |
Н | |
наложение спектров | |
недорегулирование | |
О | |
ограничитель | |
операция циклическая | |
основание | |
оси инерции главные | |
ось (просто изогнутой балки) нейтральная | |
ось (преобразователя) поперечная | |
ось чувствительности (преобразователя прямолинейной вибрации) | |
ответ (системы) | |
отклик (системы) | |
отклик ![]() | |
П | |
параметр ударного импульса номинальный | |
перемещение | |
перемещение угловое | |
перерегулирование | |
период (основной) | |
период дискретизации | |
период цикла | |
пик-фактор | |
плескание | |
плотность мод | |
плотность мощности спектральная | |
плотность распределения вероятностей | |
плотность спектральная взаимная | |
плотность энергии спектральная | |
погрешность утечки | |
податливость | |
податливость динамическая | |
подвижность (механическая) входная | |
подвижность механическая | |
подвижность (механическая) переходная | |
полоса частот сигнала | |
полоса частот (полосового фильтра) эффективная | |
помпаж | |
поршень | |
преобразование Фурье | |
преобразователь | |
преобразователь инерционного типа | |
преобразователь линейный | |
преобразователь обратимый | |
преобразователь односторонний | |
преобразователь прямолинейной вибрации | |
преобразователь угловой вибрации | |
преобразователь электромеханический | |
процесс случайный | |
процесс стационарный | |
процесс эргодический | |
пучность | |
Р | |
размах | |
разность фаз | |
разрешение по частоте | |
реакция (системы) | |
резонанс | |
резонанс субгармонический | |
рывок | |
ряд Фурье | |
С | |
сдвиг фазовый преобразователя | |
сила | |
сила восстанавливающая | |
сила инерции | |
система | |
система инерционная | |
система координат инерциальная | |
система линейная | |
система механическая | |
система с несколькими степенями свободы | |
система с одной степенью свободы | |
система с распределенными параметрами | |
система с сосредоточенными параметрами | |
система установки по центру тяжести | |
система эквивалентная | |
скачок (вибрации) | |
скорость | |
скорость выборки | |
скорость качания | |
скорость угловая | |
слой (просто изогнутой балки) нейтральный | |
сопротивление | |
соударение | |
спектр | |
спектр вибрации амплитудный | |
спектр ударный | |
среда естественная | |
среда искусственная | |
среда окружающая | |
стабилизация (системы) (начальная) | |
стенд ударный | |
степени свободы статистические | |
субгармоника | |
Т | |
тряска ударная | |
У | |
удар | |
удароизолятор | |
узел | |
уровень (физической величины) | |
ускорение | |
ускорение свободного падения стандартное | |
ускорение угловое | |
ускоряемость | |
установка вибрационная | |
утечка (спектральная) | |
Ф | |
фаза | |
флаттер | |
форм-фактор | |
форма моды | |
фронт волны | |
функция когерентности | |
функция (авто)корреляционная | |
функция корреляционная взаимная | |
функция (авто)корреляционная нормированная | |
функция корреляционная взаимная нормированная | |
функция оконная | |
функция передаточная | |
Х | |
характеристика частотная | |
ход полный | |
Ц | |
центр жесткости | |
центр масс | |
центр тяжести | |
цикл | |
цуг волн | |
Ч | |
частота | |
частота антирезонансная | |
частота биений | |
частота вращения критическая | |
частота вращения сепаратора | |
частота вращения тел качения | |
частота дискретизации | |
частота Найквиста | |
частота основная | |
частота перекатывания тел качения по внутреннему кольцу | |
частота перекатывания тел качения по наружному кольцу | |
частота перехода | |
частота преобладающая | |
частота резонансная | |
частота ременная основная | |
частота свободных затухающих колебаний | |
частота системы с неподвижным основанием собственная | |
частота системы с демпфированием собственная | |
частота (механической системы) собственная | |
частота угловая | |
число мод | |
число спектральных линий | |
число степеней свободы | |
Ш | |
ширина полосы эффективная | |
шум | |
шум белый | |
шум гауссов | |
шум гауссовский | |
шум розовый | |
шум случайный | |
Э | |
элемент чувствительный | |
эффект гироскопический |
A | |||||
accelerance | |||||
acceleration | |||||
acceleration transducer | |||||
accelerometer | |||||
aliasing | |||||
ambient vibration | |||||
amplitude | |||||
amplitude distortion (of a transducer) | |||||
amplitude scaling factor | |||||
angular acceleration | |||||
angular displacement | |||||
angular frequency | |||||
angular transducer | |||||
angular velocity | |||||
angular vibration | |||||
antinode | |||||
antiresonance | |||||
antiresonance frequency | |||||
aperiodic vibration | |||||
audio frequency | |||||
autocorrelation function | |||||
auto-spectral density | |||||
B | |||||
ball pass frequency, inner | |||||
ball pass frequency, outer | |||||
ball spin frequency | |||||
beat frequency | |||||
beats | |||||
bel | |||||
bilateral transducer | |||||
blocked impedance | |||||
broad-band random vibration | |||||
broad-band stochastic vibration | |||||
bump | |||||
C | |||||
calibration factor (of a transducer) | |||||
centre of gravity | |||||
centre of mass | |||||
centre-of-gravity mounting system | |||||
circular vibration | |||||
coherence function | |||||
complex excitation | |||||
complex response | |||||
compliance | |||||
compressional wave | |||||
conditioning | |||||
confidence interval | |||||
confidence level | |||||
continuous system | |||||
coupled modes | |||||
crest factor | |||||
critical speed | |||||
critical (viscous) damping | |||||
cross axis sensitivity | |||||
cross axis sensitivity ratio | |||||
cross spectral density | |||||
cross-correlation function | |||||
cross-over frequency | |||||
cycle | |||||
cycle (operation) | |||||
cycle period | |||||
cycle range | |||||
D | |||||
damped natural frequency | |||||
damped natural mode | |||||
damper | |||||
damping | |||||
damping ratio | |||||
dashpot | |||||
data | |||||
deadweight | |||||
decibel (dB) | |||||
degrees of freedom | |||||
deterministic vibration | |||||
detuner | |||||
direct (mechanical) impedance | |||||
direct (mechanical) mobility | |||||
discrete system | |||||
displacement | |||||
displacement transducer | |||||
dominant frequency | |||||
driving point (mechanical) impedance | |||||
driving-point (mechanical) mobility | |||||
duration of shock pulse | |||||
dynamic compliance | |||||
dynamic mass | |||||
dynamic range (of a transducer) | |||||
dynamic stiffness | |||||
dynamic vibration absorber | |||||
E | |||||
effective bandwidth (of a specified band-pass filter) | |||||
effective noise bandwidth | |||||
elastic centre | |||||
electrodynamic vibration generator | |||||
electromagnetic vibration generator | |||||
electromechanical transducer | |||||
elliptical vibration | |||||
energy spectral density | |||||
ensemble | |||||
environment | |||||
equivalent linear damping | |||||
equivalent system | |||||
ergodic process | |||||
excitation | |||||
extraneous vibration | |||||
F | |||||
final peak sawtooth shock pulse | |||||
fixed-base natural frequency | |||||
flexural vibration | |||||
flow induced vibration | |||||
flutter | |||||
force | |||||
force transducer | |||||
forced vibration | |||||
form factor | |||||
foundation | |||||
Fourier series | |||||
Fourier transform | |||||
free impedance | |||||
free vibration | |||||
frequency | |||||
frequency distortion | |||||
frequency resolution | |||||
| |||||
frequency-response function | |||||
fundamental frequency | |||||
fundamental natural mode of vibration | |||||
(fundamental) period | |||||
fundamental train frequency | |||||
G | |||||
Gaussian random vibration | |||||
Gaussian stochastic vibration | |||||
gyroscopic moment | |||||
H | |||||
half-sine shock pulse | |||||
harmonic | |||||
haversine shock pulse | |||||
hydraulic vibration generator | |||||
hysteresis damping | |||||
I | |||||
ideal shock pulse | |||||
impact | |||||
impulse | |||||
induced environment | |||||
inertial force | |||||
inertial reference frame | |||||
inertial reference system | |||||
initial peak sawtooth shock pulse | |||||
instantaneous value | |||||
isolator | |||||
J | |||||
jerk | |||||
jump | |||||
L | |||||
leakage error | |||||
level (of a quantity) | |||||
linear damping | |||||
linear damping coefficient | |||||
linear sweep rate | |||||
linear system | |||||
linear transducer | |||||
linear vibration | |||||
logarithmic (frequency) sweep rate | |||||
logarithmic decrement | |||||
longitudinal vibration | |||||
longitudinal wave | |||||
lumped mass | |||||
lumped parameter system | |||||
M | |||||
magnetostrictive vibration generator | |||||
maximax | |||||
(mechanical) direct-drive vibration generator | |||||
mechanical impedance | |||||
(mechanical) mobility | |||||
(mechanical) reaction vibration generator | |||||
mechanical system | |||||
| |||||
modal analysis | |||||
modal density | |||||
modal matrix | |||||
modal number | |||||
modal stiffness | |||||
mode of vibration | |||||
mode shape | |||||
moment of inertia | |||||
multi-degree-of-freedom system | |||||
N | |||||
narrow-band random vibration | |||||
narrow-band stochastic vibration | |||||
natural environment | |||||
natural frequency (of a mechanical system) | |||||
natural mode of vibration | |||||
neutral axis (of a beam in simple flexure) | |||||
neutral surface (of a beam in simple flexure) | |||||
node | |||||
noise | |||||
nominal (shock) pulse | |||||
nominal value of a shock pulse | |||||
non-linear damping | |||||
non-linear vibration | |||||
non-stationary vibration | |||||
normalized autocorrelation function | |||||
normalized cross-correlation coefficient | |||||
number of lines | |||||
Nyquist frequency | |||||
O | |||||
oil whip | |||||
oscillation | |||||
overshoot | |||||
P | |||||
peak value | |||||
peak-to-peak value | |||||
periodic vibration | |||||
phase angle | |||||
phase (angle) difference | |||||
phase distortion | |||||
piezoelectric vibration generator | |||||
pink random vibration | |||||
pink stochastic vibration | |||||
plane wave | |||||
power spectral density | |||||
preconditioning | |||||
primary belt frequency | |||||
principal axes of inertia | |||||
probability | |||||
probability density | |||||
probability density (distribution) curve | |||||
product of inertia | |||||
pulsatance | |||||
(pulse) decay time | |||||
(pulse) drop-off time | |||||
(pulse) rise time | |||||
pure mass | |||||
Q | |||||
Q factor | |||||
R | |||||
random noise | |||||
random process | |||||
random vibration | |||||
Rayleigh wave | |||||
record length | |||||
rectangular shock pulse | |||||
rectilinear transducer | |||||
rectilinear vibration | |||||
relative acceleration | |||||
relative displacement | |||||
relative velocity | |||||
resonance | |||||
resonance frequency | |||||
resonance speed | |||||
resonance vibration generator | |||||
response (of a system) | |||||
restoring force | |||||
rms spectrum | |||||
rotational motion | |||||
S | |||||
sampling | |||||
sampling frequency | |||||
sampling interval | |||||
sampling period | |||||
sampling rate | |||||
seismic system | |||||
seismic transducer | |||||
self-excited vibration | |||||
self-induced vibration | |||||
sensing element | |||||
sensitive axis (of a rectilinear transducer) | |||||
sensitivity (of a transducer) | |||||
set | |||||
shear wave | |||||
shock | |||||
shock absorber | |||||
shock isolator | |||||
shock motion | |||||
shock pulse | |||||
shock response spectrum | |||||
shock (testing) machine | |||||
shock wave | |||||
sidelobes | |||||
signal bandwidth | |||||
simple harmonic vibration | |||||
single-degree-of-freedom system | |||||
sinusoidal excitation | |||||
sinusoidal vibration | |||||
sloshing | |||||
snubber | |||||
spectral leakage | |||||
spectrum | |||||
spherical wave | |||||
standard acceleration due to gravity | |||||
standing wave | |||||
stationary process | |||||
stationary vibration | |||||
statistical degrees of freedom | |||||
steady-state vibration | |||||
stiffness | |||||
stimulus | |||||
stochastic noise | |||||
stochastic process | |||||
stochastic vibration | |||||
structural damping | |||||
sub harmonic | |||||
subharmonic (resonance) response | |||||
surface wave | |||||
surging | |||||
sweep | |||||
sweep rate | |||||
symmetrical triangular shock pulse | |||||
system | |||||
T | |||||
terminal peak sawtooth shock pulse | |||||
time history | |||||
torsional vibration | |||||
(total) excursion | |||||
transducer | |||||
transducer distortion | |||||
transducer phase shift | |||||
transfer (mechanical) impedance | |||||
transfer (mechanical) mobility | |||||
transfer function | |||||
transient vibration | |||||
transiational motion | |||||
transmissibility | |||||
transverse axis (of a transducer) | |||||
transverse sensitivity (of a rectilinear transducer) | |||||
transverse sensitivity ratio (of a rectilinear transducer) | |||||
transverse wave | |||||
trapezoidal shock pulse | |||||
U | |||||
unbalanced mass vibration generator | |||||
uncoupled modes | |||||
undamped natural mode | |||||
undershoot | |||||
uniform sweep rate | |||||
unilateral transducer | |||||
V | |||||
velocity | |||||
velocity transducer | |||||
versine shock pulse | |||||
vibration | |||||
vibration exciter | |||||
vibration generator | |||||
vibration generator system | |||||
vibration isolator | |||||
vibration machine | |||||
vibration severity | |||||
vibrograph | |||||
vibrometer | |||||
W | |||||
wave front | |||||
wave train | |||||
wavelength | |||||
whirling | |||||
white random vibration | |||||
white stochastic vibration | |||||
window (function) | |||||
УДК 534.322.3.08:006.354 | ОКС 01.040.17 | |
Ключевые слова: вибрация, удар, контроль состояния, термины, определения | ||