Главная // Актуальные документы // ГОСТ Р (Государственный стандарт)СПРАВКА
Источник публикации
М.: ФГБУ "РСТ", 2022
Примечание к документу
Документ
введен в действие с 01.03.2022.
Название документа
"ГОСТ Р 59964-2021. Национальный стандарт Российской Федерации. Комбинированные железобетонные конструкции атомных станций с несъемной сталефибробетонной опалубкой. Расчет и конструирование"
(утв. и введен в действие Приказом Росстандарта от 23.12.2021 N 1836-ст)
"ГОСТ Р 59964-2021. Национальный стандарт Российской Федерации. Комбинированные железобетонные конструкции атомных станций с несъемной сталефибробетонной опалубкой. Расчет и конструирование"
(утв. и введен в действие Приказом Росстандарта от 23.12.2021 N 1836-ст)
Утвержден и введен в действие
агентства по техническому
регулированию и метрологии
от 23 декабря 2021 г. N 1836-ст
НАЦИОНАЛЬНЫЙ СТАНДАРТ РОССИЙСКОЙ ФЕДЕРАЦИИ
КОМБИНИРОВАННЫЕ ЖЕЛЕЗОБЕТОННЫЕ КОНСТРУКЦИИ АТОМНЫХ СТАНЦИЙ
С НЕСЪЕМНОЙ СТАЛЕФИБРОБЕТОННОЙ ОПАЛУБКОЙ
РАСЧЕТ И КОНСТРУИРОВАНИЕ
Combined reinforced concrete structures with fixed steel
fiber concrete formwork for nuclear power plants.
Calculation and design
ГОСТ Р 59964-2021
Дата введения
1 марта 2022 года
1 РАЗРАБОТАН Акционерным обществом "Атомэнергопроект" (АО "Атомэнергопроект")
2 ВНЕСЕН Техническим комитетом по стандартизации ТК 322 "Атомная техника"
3 УТВЕРЖДЕН И ВВЕДЕН В ДЕЙСТВИЕ
Приказом Федерального агентства по техническому регулированию и метрологии от 23 декабря 2021 г. N 1836-ст
4 ВВЕДЕН ВПЕРВЫЕ
Правила применения настоящего стандарта установлены в статье 26 Федерального закона от 29 июня 2015 г. N 162-ФЗ "О стандартизации в Российской Федерации". Информация об изменениях к настоящему стандарту публикуется в ежегодном (по состоянию на 1 января текущего года) информационном указателе "Национальные стандарты", а официальный текст изменений и поправок - в ежемесячном информационном указателе "Национальные стандарты". В случае пересмотра (замены) или отмены настоящего стандарта соответствующее уведомление будет опубликовано в ближайшем выпуске ежемесячного информационного указателя "Национальные стандарты". Соответствующая информация, уведомление и тексты размещаются также в информационной системе общего пользования - на официальном сайте Федерального агентства по техническому регулированию и метрологии в сети Интернет (www.rst.gov.ru)
Настоящий стандарт дополняет требования, установленные в
СП 63.13330.2018, применительно к расчету и конструированию комбинированных железобетонных конструкций с несъемной сталефибробетонной опалубкой атомных станций (АС) с учетом того, что несъемная сталефибробетонная опалубка может воспринимать усилия сжатия и растяжения как несущий элемент комбинированной конструкции.
Армоопалубочные блоки, в состав которых входят несъемная сталефибробетонная опалубка, арматура и монтажные стяжки, изготавливают на строительной базе и в собранном виде поставляют на место монтажа, где устанавливают в проектное положение, а затем в них укладывают монолитный бетон. Сборно-монолитная технология возведения стен и перекрытий зданий (сооружений) АС дает возможность снизить сроки строительства и уменьшить трудозатраты.
Технология изготовления плит (листов) несъемной сталефибробетонной опалубки обеспечивает качество их поверхности, не требующее проведения работ по ее подготовке к нанесению защитных покрытий, в том числе специальных дезактивационных.
Несъемная сталефибробетонная опалубка обеспечивает дополнительную защиту укладываемого в армоопалубочные блоки монолитного бетона и арматуры от воздействий окружающей среды.
1.1 Настоящий стандарт устанавливает требования к расчету и конструированию комбинированных железобетонных конструкций зданий и сооружений атомных станций, относящихся ко 2-му и 3-му классам безопасности по классификации
[1].
Примечание - Допускается применение настоящего стандарта к расчету и конструированию комбинированных железобетонных конструкций зданий и сооружений атомных станций, относящихся к 4-му классу безопасности.
1.2 Настоящий стандарт применяется для комбинированных железобетонных конструкций I, II и III категорий сейсмостойкости по классификации
[2], эксплуатируемых при постоянном воздействии температуры не выше плюс 50 °C и не ниже минус 70 °C, при нейтронном облучении с флюенсом нейтронов не более 10
20 см
2.
В настоящем стандарте использованы нормативные ссылки на следующие документы:
ГОСТ 166 (ИСО 3599-76) Штангенциркули. Технические условия
ГОСТ 427 Линейки измерительные металлические. Технические условия
ГОСТ 969 Цементы глиноземистые и высокоглиноземистые. Технические условия
ГОСТ 8736 Песок для строительных работ. Технические условия
ГОСТ 10180 Бетоны. Методы определения прочности по контрольным образцам
ГОСТ 19527 Коронки алмазные для бурения геологоразведочных скважин. Основные размеры
ГОСТ 22685 Формы для изготовления контрольных образцов бетона. Технические условия
ГОСТ 24211 Добавки для бетонов и строительных растворов. Общие технические условия
ГОСТ 26633 Бетоны тяжелые и мелкозернистые. Технические условия
ГОСТ 27751 Надежность строительных конструкций и оснований. Основные положения
ГОСТ 28840 Машины для испытания материалов на растяжение, сжатие и изгиб. Общие технические требования
ГОСТ 31108 Цементы общестроительные. Технические условия
ГОСТ Р 56378-2015 Материалы и системы для защиты и ремонта бетонных конструкций. Требования к ремонтным смесям и адгезионным соединениям контактной зоны при восстановлении конструкций
ГОСТ Р 59535-2021 Бетоны тяжелые и мелкозернистые, дисперсно-армированные стальной фиброй. Технические условия
СП 63.13330.2018 "СНиП 52-01-2003 Бетонные и железобетонные конструкции. Основные положения"
Примечание - При пользовании настоящим стандартом целесообразно проверить действие ссылочных стандартов (сводов правил) в информационной системе общего пользования - на официальном сайте Федерального агентства по техническому регулированию и метрологии в сети Интернет или по ежегодному информационному указателю "Национальные стандарты", который опубликован по состоянию на 1 января текущего года, и по выпускам ежемесячного указателя "Национальные стандарты" за текущий год. Если заменен ссылочный стандарт, на который дана недатированная ссылка, то рекомендуется использовать действующую версию этого стандарта с учетом всех внесенных в данную версию изменений. Если заменен ссылочный стандарт, на который дана датированная ссылка, то рекомендуется использовать версию этого стандарта с указанным годом утверждения (принятия). Если после утверждения настоящего стандарта в ссылочный стандарт, на который дана датированная ссылка, внесено изменение, затрагивающее положение, на которое дана ссылка, то это положение рекомендуется применять без учета данного изменения. Если ссылочный стандарт отменен без замены, то положение, в котором дана ссылка на него, рекомендуется применять в части, не затрагивающей эту ссылку. Сведения о действии сводов правил целесообразно проверить в Федеральном информационном фонде стандартов.
3.1 армоопалубочный блок: Объемная конструкция, представляющая собой плиты (листы) несъемной сталефибробетонной опалубки с прикрепленным к ним объемным арматурным каркасом.
3.2
атомная станция: Сооружения и комплексы с ядерными реакторами, необходимыми системами, устройствами и оборудованием для производства энергии в заданных режимах и условиях применения, располагающиеся в пределах определенной проектом АС территории с необходимыми работниками, персоналом и документацией; в состав АС могут также входить хранилища ядерного топлива и радиоактивных отходов. |
3.3 доборный элемент: Отдельный сталефибробетонный лист, устанавливаемый после монтажа армоопалубочных блоков для их объединения с примыкающими к ним армоопалубочными блоками или другими строительными конструкциями.
3.4 комбинированная железобетонная конструкция; КЖБК: Железобетонная конструкция с несъемной сталефибробетонной опалубкой, в которой совместная работа несъемной сталефибробетонной опалубки и уложенного в нее монолитного бетона обеспечена адгезией сталефибробетона к бетону.
Примечание - Несъемная сталефибробетонная опалубка, монолитный бетон и арматура являются элементами комбинированной конструкции.
3.5 матрица сталефибробетона несъемной опалубки: Мелкозернистый самоуплотняющийся бетон.
3.6 наклонное сечение: Сечение комбинированной конструкции плоскостью, наклонной к ее продольной оси и перпендикулярной вертикальной плоскости, проходящей через ось конструкции.
3.7 несъемная сталефибробетонная опалубка; СФБО: Опалубка, выполненная из плит (листов), изготовленных из сталефибробетона.
3.8 нормальное сечение: Сечение комбинированной конструкции плоскостью, перпендикулярной к ее продольной оси.
3.9 обрыв листа сталефибробетонной опалубки: Окончание листа, принятое из технологических или конструктивных соображений.
3.10 проектный возраст бетона: Возраст, установленный в проектной документации, в течение которого должно быть обеспечено достижение бетоном, укладываемым в комбинированную конструкцию, заданных требований по прочности и другим нормируемым показателям качества.
3.11 сталефибробетон несъемной опалубки; СФБ: Матрица из мелкозернистого бетона, дисперсно армированная стальной фиброй, равномерно распределенной в плоскости и по высоте (толщине) листа.
В настоящем стандарте применены нижеприведенные обозначения:
- усилия от внешних нагрузок и воздействий:
M - изгибающий момент,
N - продольная сила,
Q - поперечная сила;
- характеристики материалов:
Rb,n - нормативное сопротивление бетона осевому сжатию,
Rb, Rb,ser - расчетные сопротивления бетона осевому сжатию для предельных состояний соответственно первой и второй групп,
Rbt,n - нормативное сопротивление бетона осевому растяжению,
Rbt, Rbt,ser - расчетные сопротивления бетона осевому растяжению для предельных состояний соответственно первой и второй групп,
Rfb, Rfb,ser - расчетные сопротивления сталефибробетона осевому сжатию для предельных состояний соответственно первой и второй групп,
Rfbt, Rfbt,ser - расчетные сопротивления сталефибробетона осевому растяжению для предельных состояний соответственно первой и второй групп,
Rs, Rsc - расчетные сопротивления арматуры соответственно при сжатии и растяжении,
Rf - расчетное сопротивление растяжению стальной фибры,
Rf,ser - нормативное сопротивление растяжению стальной фибры,
Eb - модуль упругости бетона,
Eb,red - приведенный модуль деформации сжатого бетона,
Ef - модуль упругости стальной фибры,
Efb - модуль упругости сталефибробетона,

,

- предельные (при максимальной нагрузке) относительные деформации бетона соответственно при осевом сжатии и осевом растяжении,

,

- предельные (при максимальной нагрузке) относительные деформации сталефибробетона соответственно при осевом сжатии и осевом растяжении,

- коэффициенты приведения модулей упругости (

,

);

,

- коэффициенты надежности по сталефибробетону соответственно при сжатии и растяжении,

- коэффициент (характеристика) ползучести сталефибробетона,

- коэффициент поперечной деформации (коэффициент Пуассона) сталефибробетона;
- геометрические характеристики:
Ab - площадь сечения бетона,

- площадь сечения бетона сжатой зоны,
Abt - площадь сечения бетона растянутой зоны,
Afb - площадь сечения сталефибробетонного листа,
As - площадь сечения арматуры растянутой зоны,

- площадь сечения арматуры сжатой зоны,
Asw - площадь сечения хомутов,
b - ширина (сечения, образца),
h - высота (сечения, образца),
h0 - рабочая высота сечения (расстояние от сжатой грани бетонного элемента до центра тяжести растянутой или наименее сжатой продольной арматуры),
hb - высота бетонного сечения в конструкциях со сталефибробетонной несъемной опалубкой,
hf - расстояние между центрами тяжести сталефибробетонных листов, расположенных в растянутой и сжатой зоне,
hfb - высота (толщина) сталефибробетонного листа,
a, a' - расстояние от равнодействующей усилий соответственно в растянутой и сжатой арматуре до ближайшей грани бетонного сечения,
l - пролет,
ls - шаг (расстояние между геометрическими осями) трещин,
sw - шаг (расстояние между геометрическими осями) хомутов,
x - высота сжатой зоны бетона,

- коэффициент фибрового армирования по объему.
5.1 Железобетонные конструкции с несъемной сталефибробетонной опалубкой рассматривают как комбинированные, так как за счет адгезии сталефибробетона к бетону и наличия стяжек в приопорных зонах армоопалубочных блоков обеспечена совместная работа сталефибробетона опалубки и бетона.
5.2 Несущую способность и жесткость комбинированных железобетонных конструкций с несъемной сталефибробетонной опалубкой, а также распределение усилий между несъемной сталефибробетонной опалубкой, бетоном и стержневой арматурой определяют предельной деформативностью и прочностью сталефибробетона опалубки при осевом растяжении.
5.3 Плиты (листы) СФБО, как правило, являются элементами армоопалубочных блоков, обеспечивающими помимо своей основной функции (опалубки) жесткость и неизменяемость геометрических характеристик армоопалубочных блоков, и устанавливаются при изготовлении армоопалубочных блоков. Геометрические размеры плит (листов) СФБО приводят в проектной документации на объект.
Если в плитах (листах) предусмотрено устройство дверных проемов, проходок, закладных деталей, технологических отверстий, то их расположение и размеры приводят в проектной документации.
5.4 Плиты (листы) СФБО также могут выполнять функцию доборных элементов, которые устанавливают при монтаже армоопалубочных блоков на объекте перед началом укладки бетонной смеси.
6 Общие положения по расчету комбинированных железобетонных конструкций
6.1 КЖБК должны удовлетворять требованиям:
- по несущей способности;
- эксплуатационной пригодности;
- долговечности.
6.2 Для выполнения требований по несущей способности конструкция и ее элементы должны иметь такие начальные характеристики, чтобы при различных расчетных воздействиях в процессе строительства и эксплуатации здания (сооружения) были исключены разрушения любого характера или нарушения эксплуатационной пригодности, связанные с причинением вреда жизни или здоровью граждан и окружающей среде.
6.3 Для выполнения требований по эксплуатационной пригодности комбинированная конструкция и ее элементы должны иметь такие начальные характеристики, чтобы при различных расчетных воздействиях:
- не происходило образования трещин или их раскрытия выше допустимых значений по
СП 63.13330.2018;
- не возникали перемещения выше допустимых по
СП 20.13330.2016, а также колебания и повреждения, затрудняющие нормальную эксплуатацию конструкции.
6.4 Для выполнения требований по долговечности комбинированная конструкция должна иметь такие начальные характеристики, чтобы в течение установленного времени она удовлетворяла требованиям по несущей способности и эксплуатационной пригодности.
6.5 Несущая способность, эксплуатационная пригодность, долговечность КЖБК должны быть обеспечены выполнением требований:
- к сталефибробетону СФБО;
- бетону и его компонентам;
- арматуре;
- расчетам конструкций;
- конструктивных;
- к технологии изготовления панелей (листов) СФБО;
- к технологии изготовления армоопалубочных блоков, их транспортированию и монтажу;
- по эксплуатации КЖБК.
6.7 Значения нормативных и расчетных прочностных характеристик и значения деформационных характеристик СФБ принимают по
приложению А.
6.8 Толщину плит (листов) СФБО независимо от места установки и типа армоопалубочного блока принимают одинаковой (согласно указаниям проектной документации).
6.9 Требования к технологии изготовления плит (листов) СФБО, а также технологии сборки, транспортирования, монтажа, контроля качества армоопалубочных блоков и укладки в них монолитного бетона должны быть приведены в специально разработанных технологических регламентах (картах).
7 Требования к расчету комбинированных железобетонных конструкций
7.1 Общие требования к расчету комбинированных железобетонных конструкций
7.1.1 Расчеты КЖБК следует проводить в соответствии с требованиями
ГОСТ 27751 по предельным состояниям первой и второй группы с учетом указаний СП 63.13330.2018
(пункт 5.1.1).
7.1.2 Расчеты КЖБК по предельным состояниям первой группы включают расчеты по прочности.
7.1.3 Расчеты КЖБК по прочности следует проводить исходя из условия, что усилия в элементах конструкций от различных воздействий не должны превышать соответствующих значений, установленных документами по стандартизации.
7.1.4 Расчеты по предельным состояниям второй группы включают:
- расчет по образованию трещин;
- расчет по раскрытию трещин;
- расчет по деформациям.
Расчеты по предельным состояниям второй группы следует проводить на действие постоянных и временных (кратковременных и длительных) нагрузок.
7.1.5 Расчет по образованию трещин для КЖБК с СФБО, установленной только в растянутой зоне, проводят с целью определения усилия, напряжения или деформации, которые приводят к превышению в СФБ предела прочности на осевое растяжение.
7.1.6 Расчет по раскрытию трещин для изгибаемых КЖБК с СФБО, установленной только в растянутой зоне, проводят с целью определения усилия, при котором напряжения в СФБ превосходят его предел прочности на осевое растяжение, в результате чего опалубка растянутой зоны выключается из работы и конструкцию следует рассчитывать по
СП 63.13330.2018 как обычную железобетонную конструкцию без несъемной опалубки.
7.1.7 Расчет КЖБК по деформациям проводят исходя из условия, что прогибы, углы поворота, перемещения конструкции и ее элементов не превышают соответствующих предельно допустимых значений.
7.1.8 Расчет КЖБК по предельным состояниям первой и второй групп проводят по напряжениям, усилиям, деформациям и перемещениям, вычисленным от внешних воздействий с учетом:
- физической нелинейности (неупругих деформаций) бетона, арматуры и сталефибробетона;
- возможного образования трещин и накопления повреждений;
- геометрической нелинейности (влияние деформаций на изменение усилий в конструкциях).
7.1.9 В статически неопределимых КЖБК следует учитывать перераспределение усилий вследствие образования трещин и развития неупругих деформаций в бетоне, арматуре и сталефибробетоне вплоть до возникновения предельного состояния в элементах комбинированной конструкции.
7.1.10 Для предварительных расчетов усилия и напряжения в статически неопределимых КЖБК допускается определять в предположении их упругой работы. При этом влияние физической нелинейности учитывают путем корректировки результатов линейного расчета на основе экспериментальных исследований, нелинейного моделирования, результатов расчета аналогичных объектов и экспертных оценок.
7.1.11 При расчете КЖБК по прочности, деформациям, образованию и раскрытию трещин на основе метода конечных элементов должны быть проверены условия прочности и трещиностойкости для всех конечных элементов, составляющих конструкцию, а также условия возникновения перемещений элементов конструкции, превышающих допустимые по
СП 20.13330.2016. При оценке предельного состояния по прочности допускается полагать отдельные конечные элементы разрушенными, если это не влечет за собой прогрессирующего разрушения здания (сооружения), и по истечении действия рассматриваемой нагрузки эксплуатационная пригодность здания (сооружения) сохраняется или может быть восстановлена.
7.1.12 Расчеты КЖБК следует проводить на все виды нагрузок, соответствующих функциональному назначению здания (сооружения), с учетом влияния окружающей среды, а также с учетом воздействия пожара, технологических температурных, влажностных воздействий и воздействий агрессивных сред.
7.1.13 Расчеты КЖБК следует проводить на действие изгибающих моментов, продольных сил, поперечных сил.
7.1.14 При расчетах КЖБК следует учитывать:
- свойства бетона, сталефибробетона и арматуры;
- способы армирования стержневой арматурой;
- расположение СФБО;
- совместную работу СФБО, бетона и арматуры.
7.1.15 При расчетах и оценке несущей способности, трещиностойкости и деформативности КЖБК допускается использовать расчеты методом конечных элементов.
7.2 Требования к расчету комбинированных железобетонных конструкций по прочности
7.2.1 Общие требования к расчету КЖБК по прочности
7.2.1.1 Расчет по прочности КЖБК следует проводить исходя из условия, что трещины в несъемной СФБО не допускаются. Если образование трещин допускается, то такие конструкции рассчитывают как железобетонные по
СП 63.13330.2018.
7.2.1.2 Расчет по прочности КЖБК следует проводить:
- по нормальным сечениям при действии изгибающих моментов и продольных сил;
- наклонным сечениям при действии поперечных сил.
Расчет по прочности изгибаемых КЖБК проводят по предельным усилиям, а внецентренно сжатых КЖБК - на основе нелинейной деформационной модели. Допускается проводить расчет внецентренно сжатых КЖБК по предельным усилиям.
7.2.1.3 Расчет КЖБК по прочности по предельным усилиям следует проводить исходя из того, что усилие F от внешних нагрузок и воздействий в рассматриваемом сечении не должно превышать предельного усилия Fult, которое может быть воспринято элементами КЖБК в этом сечении:
F <= Fult. (1)
7.2.2 Требования к расчету КЖБК по прочности нормальных сечений
7.2.2.1 Расчет КЖБК по прочности по предельным усилиям проводят исходя из следующих положений:
- сопротивление сталефибробетона растяжению принимают равным расчетному сопротивлению сталефибробетона осевому растяжению;
- сопротивление сталефибробетона сжатию принимают равным расчетному сопротивлению сталефибробетона осевому сжатию;
- сопротивление бетона сжатию представляется напряжениями, равными расчетному сопротивлению бетона сжатию и равномерно распределенными по условной сжатой зоне бетона;
- растягивающие напряжения в арматуре принимают исходя из возникающих в ней деформаций, принимая треугольную эпюру деформаций по высоте сечения от наиболее растянутой грани до нейтральной оси, но не более расчетного сопротивления арматурной стали растяжению;
- сжимающие напряжения в арматуре принимают исходя из возникающих в ней деформаций, принимая прямоугольную эпюру деформаций по высоте сечения от наиболее сжатой грани до нейтральной оси, но не более расчетного сопротивления арматурной стали сжатию.
7.2.2.2 Расчет КЖБК по нелинейной деформационной модели проводят на основе диаграмм состояния сталефибробетона, бетона и арматуры исходя из гипотезы плоских сечений.
7.2.2.3 При расчете внецентренно сжатых КЖБК следует учитывать случайный эксцентриситет и влияние продольного изгиба.
7.2.3 Требования к расчету КЖБК по прочности наклонных сечений
7.2.3.1 Расчет КЖБК по прочности наклонных сечений следует проводить:
- по наклонному сечению на действие поперечной силы;
- наклонному сечению на действие изгибающего момента;
- полосе между наклонными сечениями на действие поперечной силы.
7.2.3.2 При расчете наклонного сечения на действие поперечной силы предельную поперечную силу следует определять как сумму предельных поперечных сил в этом сечении, воспринимаемых:
- бетоном;
- поперечной арматурой, пересекающей наклонное сечение;
- СФБО, расположенной на боковых гранях изгибаемой конструкции.
7.2.3.3 При расчете наклонного сечения на действие изгибающего момента предельный момент следует определять как сумму предельных моментов относительно оси, проходящей через точку приложения равнодействующей усилий в сжатой зоне, воспринимаемых пересекающими наклонное сечение:
- СФБО;
- продольной и поперечной арматурой.
7.2.3.4 Расчет КЖБК на действие поперечной силы по полосе между наклонными сечениями на предельную поперечную силу, которая может быть воспринята, следует проводить, как для железобетонных конструкций, по
СП 63.13330.2018, без учета СФБО.
7.3 Требования к расчету комбинированных железобетонных конструкций по образованию трещин
7.3.1 Расчет КЖБК по образованию трещин проводят с целью определения тех усилий, которые приводят к превышению в сталефибробетоне опалубки предела прочности или предельных значений деформации при осевом растяжении.
7.3.2 Если трещины в растянутой СФБО комбинированной конструкции допускаются, то расчет следует проводить по
СП 63.13330.2018, как для обычных железобетонных конструкций.
7.3.3 Расчет по образованию трещин в КЖБК с СФБО, установленной только в растянутой зоне, следует проводить исходя из того, что усилие F от внешних нагрузок и воздействий в рассматриваемом сечении не должно превышать предельного усилия Fcrc.ult, которое может быть воспринято СФБ, растянутой арматурой и бетоном растянутой зоны:
F <= Fcrc.ult. (2)
7.3.4 Предельное усилие, воспринимаемое КЖБК при образовании нормальных трещин, если они допускаются в эксплуатационной стадии, следует определять исходя из его расчета как сплошного тела, с учетом упругих деформаций в арматуре и неупругих деформаций в растянутом и сжатом сталефибробетоне и бетоне. Расчет следует проводить, принимая максимальные растягивающие напряжения в сталефибробетоне и бетоне равными соответственно Rfbt,ser и Rbt,ser.
7.3.5 Расчет КЖБК по образованию нормальных трещин по нелинейной деформационной модели следует проводить на основе диаграмм состояния арматуры, растянутого и сжатого сталефибробетона и бетона и гипотезы плоских сечений. Критерием образования трещин является достижение предельных относительных деформаций в растянутом сталефибробетоне.
7.4 Требования к расчету комбинированных железобетонных конструкций по раскрытию трещин
7.4.1 Если трещины в растянутой СФБО допускаются, то расчет комбинированных конструкций проводят по
СП 63.13330.2018, как для обычных железобетонных конструкций.
7.4.2 Предельно допустимую ширину раскрытия трещин следует устанавливать в соответствии с
СП 63.13330.2018.
7.5 Требования к расчету комбинированных железобетонных конструкций по деформациям
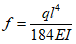
7.5.1 Расчет КЖБК по деформациям проводят исходя из того, что прогибы или перемещения конструкции f от действия внешней нагрузки не должны превышать предельно допустимых значений прогибов или перемещений fult:
f <= fult. (3)
7.5.2 Прогибы или перемещения КЖБК определяют по общим правилам строительной механики.
7.5.3 Значения прогибов КЖБК рассчитывают по жесткостным характеристикам.
7.5.4 Жесткость рассматриваемого сечения КЖБК следует определять по общим правилам строительной механики: для сечения без трещин - как для условно упругого сплошного тела, а для сечения с трещинами - как для условно упругого тела с трещинами (принимая линейную зависимость между напряжениями и деформациями).
7.5.5 Влияние неупругих деформаций сталефибробетона учитывают с помощью приведенного модуля деформаций сталефибробетона.
7.5.6 Расчет деформаций КЖБК с учетом трещин проводят в тех случаях, когда расчетная проверка на образование трещин показывает, что трещины образуются. В противном случае проводят расчет деформаций, как для КЖБК без трещин.
7.5.7 Расчет деформаций КЖБК следует проводить с учетом длительности действия нагрузок.
7.5.8 Значения предельно допустимых прогибов и перемещений принимают согласно
СП 20.13330.2016 и документам по стандартизации на отдельные виды конструкций. При действии постоянных и временных длительных и кратковременных нагрузок прогиб согласно
СП 63.13330.2018 не должен превышать 1/150 пролета.
8 Требования к элементам и материалам комбинированных железобетонных конструкций
8.1 Несъемная сталефибробетонная опалубка
8.1.1 СФБО является элементом армоопалубочного блока.
8.1.2 СФБО должна воспринимать нагрузки:
- возникающие при изготовлении (сборке) армоопалубочных блоков и их транспортировании к месту установки (монтажа) в проектное положение;
- от давления бетонной смеси, укладываемой в армоопалубочный блок.
8.1.3 СФБО представляет собой плиты (листы) толщиной от 20 до 40 мм. Толщина плит (листов) должна быть определена расчетами и указана в проектной документации.
Примечание - При принятой толщине плит (листов) опалубки и при их изготовлении из самоуплотняющейся сталефибробетонной смеси фибру распределяют параллельно плоскости листа, преимущественно в одном направлении.
8.1.4 Рекомендации по расчету плит (листов) СФБО приведены в
приложении А.
8.2 Сталефибробетон несъемной опалубки
8.2.1 Основными нормируемыми показателями качества СФБ являются:
- класс по прочности на сжатие Bf;
- класс по прочности на осевое растяжение Bft;
- класс по прочности на растяжение при изгибе Bftb;
- прочность сцепления с монолитным бетоном;
- плотность в нормальном влажностном состоянии;
- марка по водонепроницаемости W;
- марка по морозостойкости F1;
- модуль упругости (деформаций) при сжатии, растяжении и растяжении при изгибе;
- коэффициент поперечной деформации бетона (коэффициент Пуассона);
- предельные относительные деформации при осевом сжатии, осевом растяжении и растяжении при изгибе.
8.2.2 Классы сталефибробетона по прочности, водонепроницаемости, морозостойкости принимают по ГОСТ Р 59535-2021
(раздел 4.3) с учетом следующего:
- класс по прочности на сжатие должен быть не менее Bf60.
Примечание - Класс СФБ по прочности на сжатие равен классу по прочности на сжатие матрицы. Минимальный класс по прочности на сжатие мелкозернистого бетона матрицы принят исходя из условия, что совместная работа матрицы и стальной фибры для рекомендованных видов фибры обеспечивается при классе мелкозернистого бетона по прочности на сжатие не менее Bf60;
- класс по прочности на осевое растяжение должен быть не менее Bft6,8;
- класс по прочности на растяжение при изгибе должен быть не менее Bftb12.
Класс СФБ по прочности на растяжение при изгибе назначают по результатам испытаний согласно
приложению Б. Класс СФБ по прочности на осевое растяжение допускается принимать по результатам испытания на изгиб согласно
приложению Б.
8.2.3 Прочность сцепления СФБ с монолитным бетоном определяют и оценивают по
приложению В. Прочность сцепления СФБ с монолитным бетоном должна быть не менее нормативной прочности монолитного бетона на осевое растяжение.
8.2.4 Плотность СФБ в нормальном влажностном состоянии должна быть не менее 2400 кг/м3.
8.2.5 Необходимые нормируемые показатели качества СФБ устанавливают в проектной документации на армоопалубочные блоки в соответствии с расчетом и с учетом условий эксплуатации комбинированных конструкций.
8.2.6 Нормативные и расчетные значения характеристик СФБ по прочности, а при расчете по нелинейной деформационной модели и диаграммы его деформирования принимают по
приложению А.
Примечание - В
приложении А приведена также информация о характеристиках матрицы и фибры и о ее содержании в матрице.
8.3.1 Основными нормируемыми показателями качества укладываемого в армоопалубочные блоки монолитного бетона являются:
- класс бетона по прочности на сжатие B;
- плотность в нормальном влажностном состоянии;
- марка по водонепроницаемости W;
- марка по морозостойкости F1;
- начальный модуль упругости;
- коэффициент поперечной деформации бетона (коэффициент Пуассона).
8.3.2 Классы монолитного бетона по прочности, водонепроницаемости, морозостойкости и требования к материалам для его изготовления принимают по
ГОСТ 26633.
8.3.3 Класс бетона по прочности на сжатие для обеспечения совместной работы элементов КЖБК должен быть не менее B30.
8.3.4 Необходимые нормируемые показатели качества монолитного бетона устанавливают в проектной документации на КЖБК в соответствии с расчетом и условиями их эксплуатации.
8.3.5 Нормативные и расчетные значения характеристик монолитного бетона по прочности, а при расчете конструкций по нелинейной деформационной модели и диаграммы его деформирования следует принимать по
СП 63.13330.2018.
8.3.6 Проектный возраст монолитного бетона устанавливают в проектной документации, а при отсутствии этой информации его принимают равным 28 сут.
8.4.1 Рабочая и конструктивная арматуры входят в состав армоопалубочного блока, и устанавливают их при его изготовлении.
8.4.2 Вид арматуры, номенклатуру показателей качества и их значения устанавливают в проектной документации на КЖБК в соответствии с расчетом.
8.4.3 Нормативные и расчетные значения характеристик арматуры следует принимать по
СП 63.13330.2018.
9 Расчет комбинированных железобетонных конструкций
9.1 Расчет комбинированных железобетонных конструкций по прочности
9.1.1 Общие положения
9.1.1.1 Расчет КЖБК по прочности при действии изгибающих моментов и продольных сил (внецентренное сжатие) проводят по сечениям, нормальным к продольной оси конструкции.
9.1.1.2 Несущая способность КЖБК определяется степенью восприятия усилий от внешней нагрузки ее отдельными конструктивными элементами - бетоном, стальной арматурой и СФБО - с учетом их совместной работы, взаимного расположения в комбинированной конструкции, а также их прочностных и деформационных характеристик (в том числе значениями предельной деформативности и предела прочности). Значения прочностных и деформационных характеристик сталефибробетона назначают при проектировании армоопалубочных блоков и включают в проектную документацию.
9.1.1.3 Предельные усилия в сечении, нормальном к продольной оси конструкции, следует определять исходя из нижеприведенных предпосылок:
- растягивающие напряжения в СФБ принимают не более его расчетного сопротивления растяжению Rfbt равномерно распределенными по толщине листа СФБО;
- сжимающие напряжения в СФБ принимают не более его расчетного сопротивления сжатию Rfb равномерно распределенными по толщине листа СФБО;
- сжимающие напряжения в бетоне принимают не более его расчетного сопротивления сжатию Rb равномерно распределенными по сжатой зоне бетона;
- растягивающие напряжения в арматуре

принимают исходя из возникающих в ней деформаций

и модуля упругости
Es, принимая треугольную эпюру деформаций по высоте растянутой зоны элемента от наиболее растянутой грани до нейтральной оси, но не более расчетного сопротивления растяжению
Rs;
- сжимающие напряжения в арматуре

принимают исходя из возникающих в ней деформаций

и модуля упругости
Es, принимая прямоугольную эпюру деформаций по высоте сжатой зоны сечения элемента от наиболее сжатой грани до нейтральной оси, но не более расчетного сопротивления сжатию
.
9.1.1.4 При расчете внецентренно сжатых КЖБК следует учитывать случайный эксцентриситет

, принимаемый по СП 63.13330.2018
(пункт 7.1.7).
9.1.2 Расчет по прочности изгибаемых КЖБК
9.1.2.1 Расчет КЖБК на изгиб проводят по предельным усилиям. При расчете учитывают, что СФБО в изгибаемых КЖБК расположена только в растянутой зоне.
9.1.2.2 Расчет на изгиб
(рисунок 1) выполняют исходя из того, что:
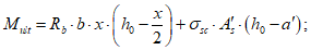
M <= Mult, (4)
где Mult - предельный изгибающий момент, который может быть воспринят сечением конструкции, определяемый по формуле

(5)
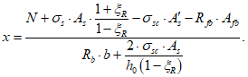
x - высота сжатой зоны, определяемая по формуле

(6)
Рисунок 1 - Схема усилий и эпюра напряжений в прямоугольном
сечении изгибаемой КЖБК с СФБО в растянутой зоне
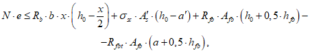
9.1.3 Расчет по прочности внецентренно сжатых КЖБК
9.1.3.1 Расчет по прочности на внецентренное сжатие проводят по предельным усилиям.
9.1.3.2 Расчет по прочности прямоугольных сечений внецентренно сжатых КЖБК
(рисунок 2) выполняют исходя из того, что:

(7)
где e - расстояние от точки приложения продольной силы N до центра тяжести сечения растянутой или наименее сжатой (при полностью сжатом сечении элемента) арматуры, определяемое по формуле

(8)
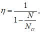
где e0 - эксцентриситет продольной силы относительно центра тяжести приведенного сечения;

- коэффициент, определяемый по формуле

(9)
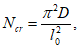
где Ncr - условная критическая сила, определяемая по формуле

(10)
где D - жесткость КЖБК в предельной по прочности стадии, определяемая согласно указаниям расчета по деформациям и вычисляемая по формуле
D = Ib·kb·Eb + Ifb·kb·Efb + Is·ks·Es, (11)
где Ib, Ifb, Is - моменты инерции площадей сечения соответственно бетона, сталефибробетона и всей продольной арматуры относительно оси, проходящей через центр тяжести поперечного сечения конструкции;
kb - коэффициент, определяемый по формуле

(12)
где

- коэффициент, учитывающий влияние длительности действия нагрузки, определяемый по формуле, но принимаемый не более 2:

(13)
где Ml1, M1 - моменты относительно центра сжатого или растянутого сечения (при целиком сжатом сечении) СФБО соответственно от действия полной нагрузки и от действия постоянных и длительных нагрузок;

- относительное значение эксцентриситета продольной силы
e0/
h, принимаемое не менее 0,15 и не более 1,5;
l0 - расчетная длина конструкции, определяемая по
СП 63.13330.2018 в зависимости от условий опирания конструкции.
Рисунок 2 - Схема усилий и эпюра напряжений в сечении,
нормальном к продольной оси внецентренно сжатой КЖБК
Допускается уменьшать значение коэффициента

с учетом распределения изгибающих моментов по длине конструкции, характера ее деформирования и влияния прогибов на значение изгибающего момента в расчетном сечении путем расчета конструкции как упругой системы.
9.1.3.3 Высоту сжатой зоны бетона
x определяют в зависимости от соотношения между относительной высотой сжатой зоны

и ее граничным значением

по СП 63.13330.2018
(пункт 8.1.6):
- при

по формуле

(14)
- при

по формуле

(15)
9.1.3.4 При эксцентриситете продольной силы e0 <= h/30 и гибкости l0/h <= 20 расчет по прочности прямоугольных сечений внецентренно сжатых КЖБК с арматурой, расположенной у противоположных в плоскости изгиба сторон сечения, проводить исходя из того, что:
N <= Nult, (16)
где Nult - предельное значение продольной силы, которую может воспринять конструкция, определяемое по формуле
| | ИС МЕГАНОРМ: примечание. Формула дана в соответствии с официальным текстом документа. | |

(17)
9.2 Расчет комбинированных железобетонных конструкций при действии поперечных сил
9.2.1 Общие положения
9.2.1.1 Расчет КЖБК при действии поперечных сил проводят на основе модели наклонных сечений.
9.2.1.2 При расчете по модели наклонных сечений должна быть обеспечена прочность конструкции по полосе между наклонными сечениями и по наклонному сечению на действие поперечных сил, а также прочность по наклонному сечению на действие момента.
9.2.1.3 Прочность по наклонной полосе характеризуется максимальным значением поперечной силы, которое может быть воспринято наклонной полосой, находящейся под воздействием сжимающих усилий вдоль полосы и растягивающих усилий от поперечной арматуры, пересекающей наклонную полосу. При этом прочность бетона определяют по сопротивлению бетона осевому сжатию.
9.2.1.4 Расчет по наклонному сечению на действие поперечных сил проводят на основе уравнения равновесия внешних и внутренних поперечных сил, действующих в наклонном сечении с длиной проекции C на продольную ось конструкции. Внутренние поперечные силы включают поперечную силу, воспринимаемую бетоном и СФБО в наклонном сечении, а также поперечную силу, воспринимаемую пересекающей наклонное сечение поперечной арматурой. При этом поперечную силу, воспринимаемую бетоном, сталефибробетоном и поперечной арматурой, определяют по сопротивлениям бетона, сталефибробетона и поперечной арматуры растяжению с учетом длины проекции C наклонного сечения.
9.2.1.5 Расчет по наклонному сечению на действие момента проводят на основе уравнения равновесия моментов от внешних и внутренних сил, действующих в наклонном сечении с длиной его проекции C на продольную ось элемента. Моменты от внутренних сил включают моменты, воспринимаемые пересекающей наклонное сечение продольной растянутой арматурой, поперечной арматурой и сталефибробетоном. Моменты, воспринимаемые продольной и поперечной арматурой, а также сталефибробетоном, определяют по сопротивлениям растяжению продольной арматуры, поперечной арматуры и сталефибробетона с учетом длины проекции C наклонного сечения.
9.2.2 Расчет КЖБК по наклонному сечению
9.2.2.1 Расчет по наклонному сечению изгибаемых КЖБК с СФБО, установленной только в растянутой зоне, проводят, как для железобетонных, по
СП 63.13330.2018.
9.2.2.2 Расчет изгибаемых КЖБК по наклонному сечению при наличии СФБО и на боковых сторонах конструкции
(рисунок 3) проводят исходя из того, что:
Q <= Qb + Qfbtw + Qsw, (18)
где Q - поперечная сила в наклонном сечении с длиной проекции C на продольную ось, определяемая от всех внешних сил, расположенных по одну сторону от рассматриваемого наклонного сечения (при этом учитывают наиболее опасное загружение в пределах наклонного сечения);
Qb - поперечная сила, воспринимаемая в наклонном сечении бетоном;
Qfbtw - поперечная сила, воспринимаемая в наклонном сечении листами СФБО, расположенными на боковых гранях (в случае плит может быть исключена);
Qsw - поперечная сила, воспринимаемая поперечной арматурой.
1 - бетон; 2 - поперечная арматура; 3 - продольная арматура;
4 - сталефибробетон; 5 - наклонное сечение
Рисунок 3 - Схема действия усилий, воспринимаемых бетоном,
сталефибробетоном и поперечной арматурой в наклонном сечении
изгибаемой КЖБК с СФБО, установленной в растянутой зоне
и на боковых гранях
Поперечную силу Qb, воспринимаемую бетоном, вычисляют по формуле

(19)
где

- коэффициент, принимаемый равным 1,5;
C - длина проекции наклонного сечения на продольную ось конструкции. Значение C должно находиться в диапазоне 0,5·hb <= C <= 2,5·hb.
Поперечную силу Qfbtw, воспринимаемую в наклонном сечении листами СФБО, расположенными на боковых гранях изгибаемой конструкции, вычисляют по формуле

(20)
Поперечную силу Qsw, воспринимаемую в наклонном сечении поперечной арматурой (хомутами), вычисляют по формуле

(21)
где

- коэффициент, принимаемый равным 0,75;
qsw - усилие в поперечной арматуре на единицу длины конструкции, вычисляемое по формуле

(22)
9.2.2.3 Расчет на поперечную силу по полосе между наклонными сечениями изгибаемых КЖБК с СФБО, установленной только в растянутой зоне, проводят, как для железобетонных, по
СП 63.13330.2018.
9.3 Расчет комбинированных железобетонных конструкций по жесткости (прогибам)
9.3.1 Прогибы изгибаемых и внецентренно сжатых КЖБК определяют по их кривизне

, которую вычисляют при условии отсутствия трещин в растянутой СФБО по формуле

(23)
где

и

- кривизны соответственно от непродолжительного действия кратковременных нагрузок и от продолжительного действия постоянных и временных длительных нагрузок.
При наличии трещин в СФБО расчет прогибов КЖБК проводят по
СП 63.13330.2018, как для железобетонных конструкций.
9.3.2 Кривизну

КЖБК вычисляют по формуле

(24)
где D - изгибная жесткость конструкции:
D = Eb·Ired, (25)
где Ired - момент инерции приведенного поперечного сечения относительно центра тяжести, вычисляемый по формуле

(26)
где I - момент инерции бетонного сечения относительно центра тяжести;
Ifb - момент инерции сечения СФБО относительно центра тяжести;

- коэффициент приведения модуля упругости арматуры к бетону;
Is - момент инерции стержней растянутой арматуры.
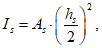
Момент инерции Ifb сечения СФБО относительно центра тяжести вычисляют по формуле
Ifb = Afb·(hfb/2)2. (27)
Момент инерции Is стержней растянутой арматуры вычисляют по формуле

(28)
где hs - расстояние от растянутой арматуры до верхней грани бетона.
9.3.3 Для внецентренно сжатых КЖБК с симметричным расположением СФБО момент инерции приведенного поперечного сечения Ired вычисляют по формуле

(29)
10 Конструктивные требования
10.1.1 Для обеспечения конструктивной надежности и эксплуатационной пригодности КЖБК помимо требований к расчету следует также выполнять конструктивные требования к геометрическим размерам и армированию, а также к обеспечению совместной работы сталефибробетонных плит (листов) СФБО с монолитным бетоном.
10.1.2 Конструктивные требования устанавливают для тех случаев, когда расчетом не представляется возможным полностью гарантировать сопротивление конструкции внешним нагрузкам и воздействиям, при этом конструктивные требования:
- определяют граничные условия, в пределах которых могут быть использованы принятые расчетные положения;
- обеспечивают выполнение технологии изготовления комбинированных конструкций.
10.2 Конструктивные требования к несъемной сталефибробетонной опалубке
10.2.1 В плитах (листах) СФБО могут быть предусмотрены проемы для установки дверных блоков и закладных деталей, отверстия под проходки, стяжки, шпильки. Форма, размер, количество и месторасположение закладных деталей и отверстий определяют в проектной документации.
Отверстия в плитах (листах) опалубки для пропуска крепежных элементов выполняют при изготовлении плит (листов) в местах, указанных в проектной документации, а при необходимости - в уже изготовленных листах методом сверления алмазным инструментом.
10.2.2 Расстояние между точками крепления плит (листов) СФБО к армокаркасу армоопалубочного блока определяют исходя из расчета их на прочность и жесткость при воздействии усилий, возникающих от давления свежеуложенной бетонной смеси по
ГОСТ 34329.
10.2.3 Для повышения жесткости и несущей способности при расчетном обосновании перед бетонированием выполняют усиление листов сталефибробетона с использованием инвентарных элементов. Сечение, количество и месторасположение инвентарных элементов определяют расчетом с учетом их крепления к шпилькам армоопалубочных блоков исходя из условия предельно допустимых выгибов опалубки по
ГОСТ 34329.
10.2.4 Поверхность сталефибробетонных плит (листов), которая будет контактировать с укладываемым в армоопалубочный блок монолитным бетоном, для обеспечения адгезии с монолитным бетоном должна обладать естественной шероховатостью. В технологических регламентах на бетонирование следует предусмотреть мероприятия по подготовке (очистке) этой поверхности листа сталефибробетона перед укладкой монолитного бетона.
10.3 Конструктивные требования к комбинированным конструкциям и их соединениям
10.3.1 Конструктивные требования к продольному и поперечному армированию КЖБК принимают по
СП 63.13330.2018.
10.3.2 Плиты (листы) СФБО следует соединять с арматурным каркасом армоопалубочного блока и между собой с помощью стяжек, болтов, шпилек и т.п., проходящих через отверстия в опалубке либо крепящихся к закладным деталям опалубки.
10.3.3 В армоопалубочных блоках стен для предотвращения отслоения плит (листов) СФБО от монолитного бетона при расчетных напряжениях сжатия в монолитном бетоне более 60% от Rbn следует устанавливать стяжки, анкеры, тяги на расстоянии от верха (низа) листа, не превышающем 150 мм. Их диаметр и шаг установки принимают такими же, как и у элементов, крепящих листы опалубки к арматурному каркасу.
10.3.4 Допуски к зазорам между гранями стыкуемых плит (листов) армоопалубочных блоков (и/или доборных элементов) должны быть приведены в проектной документации. Расстояние между плитами (листами) армоопалубочных блоков (включая допуск) должно быть не более 8 мм (исходя из условия, что через них не должна вытекать самоуплотняющаяся бетонная смесь).
(обязательное)
ТРЕБОВАНИЯ К НЕСЪЕМНОЙ СТАЛЕФИБРОБЕТОННОЙ ОПАЛУБКЕ
А.1 Общие положения
А.1.1 Плиты (листы) СФБО следует изготавливать на предприятии строительной индустрии, в состав которого должны входить бетоносмесительная установка и цех по производству плит (листов).
А.1.2 Плиты (листы) СФБО следует изготавливать из самоуплотняющегося мелкозернистого бетона, в состав которого включена стальная фибра, равномерно распределенная в плоскости и по высоте (толщине) листа опалубки.
А.1.3 Совместная работа матрицы и стальной фибры обеспечена сцеплением бетона матрицы с волокнами фибры.
А.1.4 Содержание фибры в единице объема СФБ определяют при подборе состава сталефибробетона в соответствии с требованиями к его физико-механическим свойствам. Для обеспечения требуемой прочности и трещиностойкости объемное содержание фибры должно быть не менее 1,5%. Максимальное содержание фибры ограничено возможностью изготовления сталефибробетонной смеси с равномерным распределением фибры (без образования комков).
А.2 Материалы для изготовления сталефибробетона
А.2.1 Для изготовления матрицы, как правило, следует применять портландцемент ЦЕМ 0 класса не ниже 42.5 по
ГОСТ 31108. Для изготовления сталефибробетонов повышенной огнестойкости рекомендуется применять глиноземистый цемент по
ГОСТ 969.
А.2.2 В качестве мелкого заполнителя следует применять песок с модулем крупности не более 2,0 по
ГОСТ 8736.
А.2.3 Для обеспечения удобоукладываемости сталефибробетонной смеси и улучшения ее реологических свойств в состав матрицы обязательно вводят минеральные (активные и инертные) и химические добавки по
ГОСТ 24211.
А.2.4 Для СФБ несъемной опалубки следует применять фибру из стальной проволоки с нормативным значением сопротивления стали растяжению не менее 2400 МПа. Для изготовления сталефибробетонов повышенной огнестойкости рекомендуется применять фибру из нержавеющей стали.
А.2.5 Для обеспечения сцепления стальной фибры с матрицей (анкеровки) волокна фибры должны иметь анкеры на концах или меняющийся по длине профиль (волнистость, искривление волокна и т.п.).
С учетом толщины листа СФБО диаметр фибры должен быть не более 0,3 мм, а ее длину следует выбирать в диапазоне от 15 до 40 мм.
Рекомендуется применять фибру с латунизированным покрытием:
- анкерную длиной не более 30 мм;
- волновую длиной не более 20 мм.
Допускается применение других типов стальной фибры, обеспечивающих заданные характеристики сталефибробетона и сталефибробетонной смеси.
А.3 Сталефибробетонная смесь
А.3.1 Для сталефибробетонной смеси нормируют следующие показатели:
- марка по удобоукладываемости, характеризуемая расплывом смеси.
Примечание - Расплыв характеризуется диаметром самоуплотняющейся сталефибробетонной смеси после снятия нормального конуса по
ГОСТ 10181;
- марка по вязкости, характеризуемая временем растекания t500.
Примечание - t500 - показатель вязкости самоуплотняющейся смеси, равный времени достижения смесью расплыва до диаметра 500 мм;
- водоотделение, определяемое по ГОСТ 10181-2014
(пункт 7.4).
А.3.2 Показатели качества сталефибробетонной смеси должны быть приведены в технологическом регламенте на производство плит (листов) СФБО и в карте по подбору состава сталефибробетонной смеси.
А.3.3 При отсутствии требований к показателям качества сталефибробетонной смеси рекомендуется принимать их следующие значения:
- расплыв от 660 до 750 мм;
- время расплыва смеси до диаметра 500 мм t500 от 3 до 5 с;
- водоотделение не более 0,6%.
А.4 Сталефибробетон
А.4.1 Для СФБО следует применять сталефибробетон с характеристиками и их значениями, приведенными в
8.2.
А.4.2 При необходимости устанавливают дополнительные показатели качества сталефибробетона, такие как:
- коэффициент теплопроводности;
- коэффициент температуропроводности;
- коэффициент длительной прочности.
| | ИС МЕГАНОРМ: примечание. Текст дан в соответствии с официальным текстом документа. | |
А.4.3 Коэффициент теплопроводности СФБ, изготовленного использованием фибры по
А.2.2, с повышением содержания фибры уменьшается. Для сталефибробетона с волновой и анкерной фибрами диаметром 0,3 мм коэффициент теплопроводности может быть принят равным 0,74 Вт/(м·К), а коэффициент температуропроводности - 2,9·10
-7 м
2/с.
А.4.4 Нормативные значения сопротивления СФБ при сжатии
Rfb,n в зависимости от класса по прочности на сжатие
Bf принимают по
таблице А.1.
Таблица А.1
Нормативные значения сопротивления
Rfb,n, МПа,
сталефибробетона при сжатии
Класс | Bf60 | Bf70 | Bf80 | Bf90 | Bf100 | Bf110 | Bf120 | Bf130 | Bf140 |
Нормативные значения | 43 | 50 | 57 | 64 | 71 | 78 | 85 | 92 | 99 |
| | ИС МЕГАНОРМ: примечание. Текст дан в соответствии с официальным текстом документа. | |
|
Примечание - Значения нормативного сопротивления для классов от B f до B f100 указаны согласно СП 360.1325800.2017, а для классов от B f110 до B f140, предусмотренных в ГОСТ Р 59535, вычислены с использованием коэффициента призменной прочности 0,71, как для B f100. |
А.4.5 Нормативные значения сопротивления СФБ осевому растяжению и растяжению при изгибе принимают равными числовой характеристике соответствующего класса.
Для плит (листов) СФБО следует применять СФБ следующих классов:
| | ИС МЕГАНОРМ: примечание. Текст дан в соответствии с официальным текстом документа. | |
- при осевом растяжении: Bft6,8; Bft7,2; 7,6, Bft8,0, Bft8,4;
- при растяжении при изгибе: Bftb12,0; Bftb12,4; Bftb12,8; Bftb13,2; Bftb13,6; Bftb14,0; Bftb14,4; Bftb14,8; Bftb15,2; Bftb15,6; Bftb16,0; Bftb16,4; Bftb16,8; Bftb17,2; Bftb17,6; Bftb18,0; Bftb18,4; Bffb18,8; Bftb19,2; Bftb19,6; Bftb20,0; Bftb20,4; Bftb20,8; Bftb21,2; Bftb21,6; Bftb22,0.
Примечание - Классы на осевое растяжение и классы на растяжение при изгибе до B
ftb20,0 приняты по
ГОСТ Р 59535. На растяжение при изгибе добавлены более высокие классы.
А.4.6 Расчетные значения сопротивления СФБ при сжатии для расчета по предельным состояниям первой группы приведены в
таблице А.2.
Таблица А.2
Расчетные значения сопротивления СФБ при сжатии, МПа
Класс | Bf60 | Bf70 | Bf80 | Bf90 | Bf100 | Bf110 | Bf120 | Bf130 | Bf140 |
Нормативные значения | 33,0 | 37,0 | 41,0 | 44,0 | 47,5 | 50,1 | 52,4 | 54,4 | 56,1 |
| | ИС МЕГАНОРМ: примечание. Текст дан в соответствии с официальным текстом документа. | |
|
Примечание - Значения расчетного сопротивления для классов от B f до B f100 указаны согласно СП 360.1325800.2017, а для классов от B f110 до B f140, предусмотренных в ГОСТ Р 59535, вычислены с использованием коэффициентов, установленных СП 63.13330.2018. |
А.4.7 Расчетные значения сопротивления СФБ при растяжении и растяжении при изгибе для расчета по предельным состояниям первой группы приведены в
таблицах А.3 и
А.4.
Таблица А.3
Расчетные значения сопротивления СФБ при растяжении, МПа
Класс | Bft6,8 | Bft7,2 | Bft7,6 | Bft8,0 | Bft8,4 |
Нормативное значение | 5,2 | 5,5 | 5,8 | 6,2 | 6,5 |
|
Таблица А.4
Расчетные значения сопротивления СФБ на растяжение
при изгибе, МПа
Класс | Bftb12,0 | Bftb12,4 | Bftb12,8 | Bftb13,2 | Bftb13,6 | Bftb14,0 | Bftb14,4 | Bftb14,8 | Bftb15,2 |
Нормативные значения | 9,2 | 9,5 | 9,8 | 10,2 | 10,5 | 10,8 | 11,1 | 11,4 | 11,7 |
Продолжение таблицы А.4
Класс | Bftb15,6 | Bftb16,0 | Bftb16,4 | Bftb16,8 | Bftb17,2 | Bftb17,6 | Bftb18,0 | Bftb18,4 | Bftb18,8 |
Нормативные значения | 12,0 | 12,3 | 12,6 | 12,9 | 13,2 | 13,5 | 13,8 | 14,2 | 14,5 |
Окончание таблицы А.4
Класс | Bftb19,2 | Bftb19,6 | Bftb20,0 | Bftb20,4 | Bftb20,8 | Bftb21,2 | Bftb21,6 | Bftb22,0 | - |
Нормативные значения | 14,8 | 15,1 | 15,4 | 15,7 | 16,0 | 16,3 | 16,6 | 16,9 | - |
Примечание - Коэффициент надежности принят таким же, как и при осевом растяжении, равным 1,3. |
А.4.8 Расчетные значения сопротивления СФБ при срезе вдвое больше, чем при осевом растяжении.
Для расчета по предельным состояниям второй группы значение коэффициента надежности по сталефибробетону для всех видов напряженного состояния принимают равным 1,0.
А.4.9 В необходимых случаях расчетные значения прочностных характеристик СФБ
Rfb и
Rfbt умножают на коэффициенты условий работы

, учитывающие влияние длительности действия статической нагрузки:
-

при действии всех нагрузок, включая кратковременные нагрузки;
-

при действии только постоянных и длительных нагрузок.
А.4.10 Влияние попеременного замораживания и оттаивания, отрицательных температур, а также влажности окружающей среды для сталефибробетонов, применяемых для СФБО, не учитывают в связи с высокой плотностью, водонепроницаемостью и морозостойкостью СФБ.
А.4.11 Основными деформационными характеристиками СФБ являются:
| | ИС МЕГАНОРМ: примечание. Текст дан в соответствии с официальным текстом документа. | |
- предельные относительные деформации при осевом сжатии

, осевом растяжении

и растяжении при изгибе

;
- модуль упругости (при сжатии и растяжении) Efb;
- модуль упругости при растяжении при изгибе Efbtf;
- коэффициент поперечной деформации (коэффициент Пуассона)

;
- коэффициент ползучести

;
- коэффициент линейной температурной деформации

.
А.4.12 Если значения предельных относительных деформаций СФБ, соответствующих пределу прочности, не приведены в технической документации на плиты (листы) СФБО, то их принимают равными:
а) при непродолжительном действии нагрузки:
1)

- при осевом сжатии,
2)

- при осевом растяжении,
3)

- при растяжении при изгибе;
б) при длительном действии нагрузки:
1)

- при осевом сжатии,
| | ИС МЕГАНОРМ: примечание. Текст дан в соответствии с официальным текстом документа. | |
2)

- при осевом растяжении.
А.4.13 При статическом действии нагрузки значения модуля упругости (деформаций) сталефибробетона принимают равными:
- Efbtf = 23000 МПа;
- Gfb = 16000 МПа.
Таблица А.5
Значения модуля упругости СФБ при сжатии
и растяжении Efb, ГПа
Класс | Bf60 | Bf70 | Bf80 | Bf90 | Bf100 | Bf110 | Bf120 | Bf130 | Bf140 |
Нормативные значения | 36,0 | 37,0 | 38,0 | 39,0 | 40,0 | 41,0 | 42,0 | 42,0 | 42,0 |
При расчете на динамические нагрузки модули деформаций СФБ следует умножать на коэффициент 1,2.
А.4.14 При длительном действии нагрузки значение модуля деформаций СФБ

вычисляют по формуле

(А.1)
Таблица А.6
Значение коэффициента ползучести СФБ
Относительная влажность воздуха, % | Коэффициент ползучести сталефибробетона  |
Выше 75 | 1,0 |
40 - 75 | 1,4 |
Ниже 40 | 2,0 |
Примечание - Относительную влажность воздуха окружающей среды принимают по СП 131.13330.2020 как среднемесячную наиболее теплого месяца для района строительства. |
А.4.15 Значение коэффициента поперечной деформации (коэффициента Пуассона) СФБ принимают равным 0,20.
А.4.16 Значение коэффициента линейной температурной деформации СФБ при изменении температуры от минус 40 °C до плюс 50 °C принимают равным 1·10-5 °C-1.
А.5 Требования к расчету плит (листов) СФБО
А.5.1 Общие положения
А.5.1.1 Плиты (листы) СФБО рассчитывают на кратковременное действие нагрузки.
А.5.1.2 Расчет плит (листов) СФБО следует проводить по прочности, жесткости и трещиностойкости при их работе на восприятие давления свежеуложенной бетонной смеси при бетонировании армоопалубочных блоков. При этом расчетные схемы должны отвечать принятым конструктивным решениям.
А.5.1.3 При расчете плит (листов) на нагрузки от бетонной смеси, укладываемой в армоопалубочные блоки, следует учитывать, что их опорами служат стальные шпильки и стяжки, соединяющие плиту (лист) с элементами армокаркаса или другой панелью армоопалубочного блока.
А.5.1.4 Расчеты плит (листов) СФБО следует проводить по предельным состояниям, включающим:
- предельные состояния первой группы, приводящие к полной непригодности к эксплуатации опалубки в процессе укладки бетона в армоопалубочный блок;
- предельные состояния второй группы, приводящие к нарушению в процессе укладки монолитного бетона в армоопалубочный блок требований, предъявляемых к геометрическим характеристикам.
А.5.1.5 Расчеты по предельным состояниям первой группы включают расчет:
- по прочности;
- устойчивости формы.
А.5.1.6 Расчеты листов по прочности следует проводить исходя из того, что усилия, напряжения и деформации в опалубке от различных воздействий в процессе транспортирования, монтажа и укладки в армоопалубочные блоки бетона с учетом начального напряженного состояния не должны превышать соответствующих значений, установленных документами по стандартизации.
А.5.1.7 Расчеты по устойчивости формы листов, а также по устойчивости положения [с учетом совместной работы плиты (листа) с армокаркасом и монтажными и транспортными конструкциями и приспособлениями] следует проводить согласно указаниям документов по стандартизации на отдельные виды конструкций.
А.5.1.8 Расчет плит (листов) СФБО по образованию трещин следует проводить исходя из того, что усилия, напряжения или деформации в них от различных воздействий не должны вызывать образования трещин.
А.5.1.9 Расчет плит (листов) СФБО по деформациям следует проводить исходя из того, что их прогибы от различных воздействий не должны превышать соответствующих предельно допустимых значений.
А.5.1.10 Расчет плит (листов) СФБО по предельным состояниям проводят по напряжениям, усилиям и деформациям, вычисленным от внешних воздействий с учетом физической нелинейности (неупругих деформаций).
А.5.1.11 При работе несъемной СФБО как статически неопределимой конструкции следует учитывать перераспределение усилий в элементах системы вследствие неупругих деформаций сталефибробетона вплоть до возникновения предельного состояния в элементе.
При отсутствии методов расчета, учитывающих неупругие свойства сталефибробетона, а также для предварительных расчетов усилия и напряжения в статически неопределимых конструкциях допускается определять в предположении их упругой работы.
А.5.1.12 При расчете несъемной СФБО по прочности и деформациям на основе метода конечных элементов должны быть проверены условия прочности и для всех конечных элементов, составляющих конструкцию. При оценке предельного состояния по прочности допускается полагать отдельные конечные элементы разрушенными.
А.5.1.13 Определение предельных усилий и деформаций в плитах (листах) СФБО следует проводить на основе расчетных схем (моделей), наиболее близко отвечающих реальному физическому характеру работы конструкций и материалов в рассматриваемом предельном состоянии.
А.5.1.14 Нормативные значения нагрузок и воздействий, коэффициентов сочетаний, коэффициентов надежности по нагрузке принимают по
СП 20.13330.2016.
А.5.1.15 Расчеты плит (панелей) СФБО проводят на действие изгибающих моментов, продольных сил, поперечных сил, а также на местное действие нагрузки.
А.5.1.16 При расчете плит (листов) СФБО следует принимать во внимание направление действия внешних сил:
- по нормали к плоскости листов при бетонировании;
- в плоскости листов при транспортировании и монтаже.
А.5.1.17 При расчете на воздействие усилий, возникающих при подъеме листов, транспортировании и монтаже, нагрузку от массы листа следует принимать с коэффициентом динамичности, равным:
- 1,60 - при транспортировании;
- 1,40 - при подъеме и монтаже.
Допускается принимать более низкие, обоснованные в установленном порядке значения коэффициентов динамичности, но не ниже 1,25.
А.5.1.18 Расчет следует проводить по наиболее опасным сечениям на основе расчетных моделей в условиях плоского напряженного состояния.
А.5.2 Требования к расчету плит (листов) СФБО по прочности
А.5.2.1 Расчет плит (листов) СФБО по прочности проводят:
- по нормальным сечениям (при действии изгибающих моментов и продольных сил) - по нелинейной деформационной модели;
- по предельным усилиям;
- на местное действие нагрузки (местное сжатие, срез, продавливание);
- по наклонным сечениям (при действии поперечных сил).
А.5.2.2 Расчет по прочности плит (листов) СФБО по предельным усилиям проводят исходя из того, что усилие от внешних нагрузок и воздействий F в рассматриваемом сечении не должно превышать предельного усилия Fult, которое может быть воспринято элементом в этом сечении:
F <= Fult. (А.2)
А.5.2.3 Плиты (листы) СФБО в зависимости от условий их работы и требований, предъявляемых к ним, следует рассчитывать по нормальным сечениям по предельным усилиям с учетом сопротивления сталефибробетона растянутой зоны.
А.5.2.4 При расчете внецентренно сжатых плит (листов) СФБО следует учитывать влияние продольного изгиба и случайных эксцентриситетов.
А.5.2.5 Расчет по предельным усилиям следует проводить, определяя предельные усилия, которые могут быть восприняты в нормальном сечении исходя из следующих положений:
- сопротивление растяжению принимают равным расчетному сопротивлению сталефибробетона осевому растяжению Rfbt;
- сопротивление сжатию принимают равным расчетному сопротивлению сталефибробетона осевому сжатию Rfb.
А.5.2.6 Расчет по нелинейной деформационной модели проводят на основе диаграмм состояния сталефибробетона исходя из гипотезы плоских сечений. Критерием прочности нормальных сечений является достижение предельных относительных деформаций в сталефибробетоне.
А.5.2.7 В связи с тем, что плиты (листы) СФБО являются плоскими элементами, расчет по прочности наклонных сечений не требуется.
А.5.3 Требования к расчету плит (листов) СФБО по деформациям
А.5.3.1 Расчет плит (листов) СФБО по деформациям проводят исходя из условия, что прогибы f от действия внешней нагрузки не должны превышать предельно допустимых значений прогибов или перемещений fult:
f <= fult. (А.3)
А.5.3.2 Прогибы плит (листов) СФБО определяют по общим правилам строительной механики.
А.5.3.3 В тех случаях, когда прогибы плит (листов) СФБО в основном зависят от изгибных деформаций, значения прогибов определяют по кривизне или по жесткости.
А.5.3.4 Кривизну плит (листов) СФБО определяют как частное отделения изгибающего момента на жесткость сталефибробетонного сечения при изгибе.
А.5.3.5 Жесткость рассматриваемого сечения плит (листов) СФБО определяют по общим правилам строительной механики, принимая линейную зависимость между напряжениями и деформациями.
А.5.3.6 Влияние неупругих деформаций сталефибробетона учитывают с помощью приведенного модуля деформаций сталефибробетона.
А.5.3.7 Кривизну и продольные деформации плит (листов) СФБО также определяют по нелинейной деформационной модели исходя из уравнений равновесия внешних и внутренних усилий, действующих в нормальном сечении элемента, гипотезы плоских сечений, диаграмм состояния сталефибробетона.
А.5.3.8 Расчет деформаций плит (листов) СФБО следует проводить с учетом длительности действия нагрузок, устанавливаемых соответствующими документами по стандартизации.
А.5.3.9 Прогиб плит (листов) СФБО в процессе транспортирования и монтажа не должен превышать 1/150 пролета и 1/75 вылета консоли.
А.5.3.10 По трещиностойкости плиты (листы) СФБО при их изготовлении, транспортировании, монтаже и бетонировании соответствуют первой категории по трещиностойкости по
СП 63.13330.2018, т.е. образование в них трещин не допускается.
А.5.3.11 В качестве рабочих диаграмм в зависимости от вида фибры и процента армирования принимают упрощенные кусочно-линейные диаграммы
(рисунок А.1), при осевом сжатии, растяжении и изгибе - линейные, двухлинейные или трехлинейные.
| |
а - линейная диаграмма сжатия и растяжения | б - двухлинейная диаграмма сжатия |
|
в - трехлинейная диаграмма при изгибе |
Рисунок А.1 - Диаграммы состояния СФБ
А.5.3.12 Напряжения в СФБ

согласно двухлинейной диаграмме состояния определяют в зависимости от относительных деформаций

:
| | ИС МЕГАНОРМ: примечание. Формула дана в соответствии с официальным текстом документа. | |
- при

по формуле

(А.4)
при

по формуле

(А.5)
А.5.3.13 Так как при осевом растяжении и сжатии СФБ с матрицей из мелкозернистого бетона значения

и

различаются незначительно, то допускается применять линейную диаграмму.
Напряжения в СФБ

согласно упрощенной линейной диаграмме определяют в зависимости от относительных деформаций

:
А.5.3.14 Напряжения в СФБ

согласно трехлинейной диаграмме состояния определяют в зависимости от относительных деформаций

по формуле

(А.6)
А.5.3.15 Значения напряжений и деформаций для СФБ принимают с учетом указаний СП 63.13330.2018
(раздел 6) равными:

;

;

;

;

.
А.6 Расчет плит (листов) СФБО по прочности на действие изгибающих моментов и продольных сил
А.6.1 Общие положения
А.6.1.1 Расчет по прочности плит (листов) СФБО при действии изгибающих моментов и продольных сил (внецентренное сжатие) проводят для сечений, нормальных к их продольной оси.
А.6.1.2 Расчет по прочности нормальных сечений следует проводить на основе предельных усилий.
А.6.1.3 Расчетные сопротивления СФБ сжатию
Rfb, растяжению
Rfbt и на растяжение при изгибе принимают по
А.4.6,
А.4.7.
А.6.2 Расчет плит (листов) СФБО на изгиб
А.6.2.1 Расчет по прочности плит (листов) СФБО на изгиб M выполняют исходя из того, что:
M <= Mult, (А.7)
где Mult - предельный изгибающий момент, который может быть воспринят сечением.
А.6.2.2 Предельный изгибающий момент Mult находят исходя из того, что в предельном состоянии разрушение происходит в растянутой зоне при достижении СФБ предела прочности на растяжение при изгибе Rfbtb.
А.6.2.3 При расчете по упругой модели принимают, что разрушение происходит в растянутой зоне, и внутренний изгибающий момент определяют по правилам строительной механики.
А.7 Расчет плит (листов) СФБО на локальные воздействия нагрузки
А.7.1 Плиты (листы) СФБО, на которые действуют сосредоточенные силы, рассчитывают на срез и продавливание.
А.7.2 При расчете на срез и продавливание принимают, что сосредоточенная сила передается на СФБО через площадку заданных размеров, например через шайбу заданного диаметра.
А.7.3 При расчете на срез принимают, что зона разрушения плиты (листа) вокруг шайбы мала и не превосходит 1,5 мм. Расчет на срез проводят исходя из того, что:
где F - внешняя сила, действующая по нормали к плоскости плиты (листа);
Fst - сила, воспринимаемая СФБ при срезе и вычисляемая по формуле
Fst = Rfbt·2·u·hfb, (А.9)
где u - периметр контура расчетного поперечного сечения, вычисляемый по формуле

(А.10)
где d - диаметр шайбы.
А.7.4 Расчет на продавливание выполняют тогда, когда зона разрушения СФБ вокруг шайбы менее двух диаметров шайбы. В этом диапазоне значение силы, воспринимаемой СФБ при продавливании, Fpr, вычисляют по формуле
Fpr = Rfbtb·u·hfb. (А.11)
А.7.5 Если
условие (А.8) не выполняется, то в конструкцию СФБО вносят изменения.
А.8 Расчет плит (листов) СФБО по предельным состояниям второй группы
А.8.1 Плиты (листы) СФБО на стадии возведения конструкций рассматривают без трещин в растянутой зоне и их расчет проводят только по деформациям (прогибам).
А.8.2 Расчет по деформациям следует проводить на действие временных и кратковременных нагрузок.
А.8.3 Значения предельно допустимых деформаций принимают по
ГОСТ 34329 и документам по стандартизации на отдельные виды конструкций.
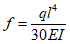
А.8.4 Расчет плит (листов) СФБО по прогибам проводят исходя из того, что:
f <= fult, (А.12)
где f - прогиб от действия внешней нагрузки;
fult - предельно допустимый прогиб.
А.8.5 При действии кратковременных нагрузок прогиб во всех случаях не должен превышать 1/400 пролета.
А.8.6 Жесткость плит (листов) СФБО Dfb при расчете прогибов при нагрузках, не превышающих 70% от предельных, вычисляют по формуле

(А.13)
где Ifb - момент инерции сталефибробетонного сечения относительно центра.
Модуль упругости сталефибробетона принимают по
А.4.12.
А.9 Расчет плит (листов) СФБО на давление свежеуложенного бетона
А.9.1 При расчете плит (листов) СФБО на давление укладываемой в армоопалубочные блоки бетонной смеси определяют несущую способность:
- плит (листов) СФБО;
- элементов (тяг), выполняющих функцию опор плит (листов).
А.9.2 При расчете на давление укладываемой в армоопалубочные блоки бетонной смеси следует учитывать положение опалубки относительно направления усилий, создаваемых укладываемой бетонной смесью (вертикальное или горизонтальное).
А.9.3 При расчете плит (листов) СФБО определяют следующие характеристики:
- изгибающие моменты в пролете при разрезной и неразрезной схеме;
- изгибающие моменты на опорах при неразрезной схеме;
- опорные реакции при разрезной и неразрезной схемах;
- прогибы при разрезной и неразрезной схемах.
А.9.4 Плиты (листы) СФБО на давление укладываемой бетонной смеси рассчитывают по правилам строительной механики как упругой системы.
А.9.5 Формулы для определения моментов, опорных реакций (поперечных сил) и прогибов в случае горизонтально расположенных элементов опалубки приведены в
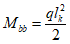
таблице А.7.
Таблица А.7
Максимальные моменты, опорные реакции и прогибы
горизонтально расположенных элементов опалубки
Расчетная схема | Максимальные |
Момент | Опорная реакция | Прогиб |
в пролете | на опоре |
| | - | | |
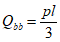
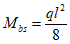
| Mbs = 0,07ql2 | Mbb = 0,125ql2 | Qbb = 1,25ql | |
| Mbs = 0,08ql2 | Mbb = 0,1ql2 | Qbb = 1,1ql | |
| - | | Qbb = 2ql | |
А.9.6 Формулы для определения моментов, опорных реакций (поперечных сил) и прогибов в случае вертикально расположенных элементов опалубки приведены в
таблице А.8.
Таблица А.8
Максимальные моменты, опорные реакции и прогибы
вертикально расположенных элементов опалубки
Расчетная схема | Максимальные |
Момент | Опорная реакция | Прогиб |
в пролете | на опоре |
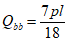
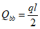
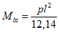
| Mbs = 0,064pl2 | - | | |
| | - | | |
| | - | | |
А.9.7 По определенным согласно
таблицам А.7 и
А.8 значениям моментов, поперечных сил и прогибов в соответствии с требованиями
А.6.2 и
А.8 подбирают и проверяют геометрические характеристики плит (листов) СФБО.
А.9.8 По определенным согласно
таблицам А.7 и
А.8 значениям поперечных сил подбирают сечения тяг и проверяют плиту (лист) СФБО на локальные воздействия сосредоточенной нагрузки.
(обязательное)
МЕТОДИКА ПРОВЕДЕНИЯ ИСПЫТАНИЙ ДЛЯ ОПРЕДЕЛЕНИЯ ПРОЧНОСТИ
СТАЛЕФИБРОБЕТОНА НА РАСТЯЖЕНИЕ ПРИ ИЗГИБЕ
Б.1 Сущность метода
Прочность сталефибробетона несъемной опалубки на растяжение при изгибе определяют по результатам испытаний на изгиб контрольных образцов, нагруженных двумя равными силами, расположенными в третях пролета, равного 210 мм
(рисунок Б.1).
Рисунок Б.1 - Схема испытания образцов
Б.2 Оборудование
Б.2.1 Средства измерения и испытательное оборудование:
- штангенциркуль по
ГОСТ 166 с точностью не менее 0,1 мм;
- линейка по
ГОСТ 427 с ценой деления 1 мм;
- машина испытательная по
ГОСТ 28840, обеспечивающая измерение нагрузки с погрешностью не более 0,5%. Минимальное регистрируемое значение для нагрузки должно быть не более 100 Н;
- устройство для испытания на растяжение при изгибе, удовлетворяющее требованиям
ГОСТ 10180.
Б.2.2 Вспомогательное оборудование - пила циркулярная с лезвием из корунда или алмаза с направлением резки под углом 90° или отрезной станок с алмазным диском.
Б.3 Образцы, их изготовление и подготовка
Б.3.1 Испытания проводят на образцах в форме пластин со следующими номинальными размерами:
- высота h, равная толщине СФБО;
- ширина b, равная 60 мм;
- длина, равная 250 мм.
Б.3.2 Образцы изготавливают из самоуплотняющейся сталефибробетонной смеси, укладываемой в формы методом налива без виброуплотнения, или вырезают алмазным инструментом из сталефибробетонного листа или специально изготовленного элемента. Ширина элемента должна быть увеличена по каждой продольной грани не менее чем на 10 мм, чтобы исключить краевой эффект.
Примечание - Формы для изготовления образцов рекомендуется изготавливать из ламинированной фанеры.
Б.4 Подготовка к испытанию
Б.4.1 Измеряют штангенциркулем с точностью до 0,1 мм ширину и высоту каждого образца.
Б.4.2 На опорную плиту испытательной машины устанавливают опорные устройства, обеспечивая с точностью 1 мм длину пролета в соответствии со схемой испытания согласно
рисунку Б.1. Длину пролета следует проконтролировать, измеряя расстояние между опорами с обеих сторон образца.
Образец устанавливают на опорную плиту испытательной машины таким образом, чтобы нижняя грань при его изготовлении (лицевая поверхность сталефибробетонного листа) была обращена вниз (установлена на опоры).
Б.4.3 На образец устанавливают цилиндрические опоры для передачи на него нагрузки от испытательной машины. Расстояние между опорами и их расположение относительно образца также обеспечивают с точностью до 1 мм.
Б.5 Проведение испытаний
Б.5.1 Образец нагружают непрерывно с постоянной скоростью нарастания нагрузки согласно
ГОСТ 10180. Нагружение проводят до тех пор, пока обеспечивается увеличение испытательной нагрузки. Время нагружения должно быть не менее 60 с.
Б.5.2 Максимальное усилие F, достигнутое в процессе испытания, принимают за разрушающую нагрузку.
Б.6 Обработка результатов
Б.6.1 Значение прочности на растяжение при изгибе Rfbtb,i, МПа, для каждого образца (с точностью до 0,1 МПа) рассчитывают по формуле

(Б.1)
где F - максимальное усилие при испытании, Н;
l0 - длина пролета между опорами, мм;
b - ширина образца, мм;
h - высота образца, мм.
Среднее значение прочности для всех испытанных образцов Rfbtb,m, МПа, рассчитывают по формуле

(Б.2)
где n - количество образцов.
Б.6.2 Значение класса СФБ по прочности на растяжение при изгибе Bftb рассчитывают по формуле

(Б.3)
где

- коэффициент вариации, вычисляемый по формуле

(Б.4)
где Sm - среднее квадратичное отклонение, вычисляемое по формуле

(Б.5)
Б.6.3 По результатам испытания на изгиб могут быть рассчитаны прочность сталефибробетона на осевое растяжение и класс сталефибробетона по прочности на растяжение.
Прочность сталефибробетона на осевое растяжение Rfbt,m, МПа, вычисляют по формуле

(Б.6)
где

- объемное содержание в сталефибробетоне стальной фибры, %.
Класс сталефибробетона по прочности на растяжение Bft вычисляют по формуле

(Б.7)
(обязательное)
МЕТОДИКА ПРОВЕДЕНИЯ ИСПЫТАНИЙ И ОЦЕНКИ ПРОЧНОСТИ СЦЕПЛЕНИЯ
СТАЛЕФИБРОБЕТОННОЙ ОПАЛУБКИ С МОНОЛИТНЫМ БЕТОНОМ <1>
--------------------------------
В.1 Сущность метода
Метод определения прочности сцепления СФБО с монолитным бетоном предусматривает использование образцов-кернов из сталефибробетона (применяемого для СФБО) с адгезионным соединением с монолитным бетоном и их испытание на осевое растяжение (отрыв).
В.2 Оборудование
В.2.1 Средства измерения и испытательное оборудование:
- прибор переносной для испытаний на отрыв по ГОСТ Р 56378-2015
(приложение Ж) в комплекте со стальными штампами (пластинами).
Примечания
1 Прибор для испытаний должен быть утвержден как средство измерения.
2 Для испытаний может быть использован прибор типа ОНИКС-1.АП.020 (номер по Госреестру 57880-14);
- линейка по
ГОСТ 427 с ценой деления 1 мм;
- формы для изготовления образцов-заготовок по ГОСТ Р 56378-2015
(приложение Ж) с размерами в плане 300 x 300 мм и высотой не менее 100 мм.
Примечания
1 Формы для изготовления образцов-заготовок рекомендуется изготавливать из ламинированной фанеры.
2 Допускается использовать формы образцов-кубов с ребром 150 мм по
ГОСТ 22685.
В.2.2 Вспомогательное оборудование:
- станок буровой с алмазной коронкой по ГОСТ 19527 с внутренним номинальным диаметром 56 мм.
В.3 Образцы
В.3.1 Для проведения испытаний изготавливают (в формах по
В.2.1) составные образцы-заготовки.
В.3.2 Составные образцы-заготовки изготавливают из самоуплотняющегося сталефибробетона по
8.2 и самоуплотняющегося бетона по
8.3. Самоуплотняющуюся сталефибробетонную и бетонную смеси укладывают в формы методом налива без виброуплотнения.
В.3.3 Форму устанавливают на горизонтальную поверхность. В форму укладывают слой сталефибробетонной смеси толщиной (30 +/- 5) мм. Накрывают форму водонепроницаемым материалом и выдерживают в течение 28 сут в помещении лаборатории при температуре (20 +/- 5) °C.
Допускается пропаривание в лабораторной пропарочной камере по
ГОСТ 10180 при температуре изотермического прогрева плюс 60 °C в течение 12 ч с длительностью подъема температуры и остывания до температуры лаборатории 2 ч.
После окончания твердения поверхность сталефибробетона очищают от цементной пленки металлической щеткой и от пыли влажной тканью, укладывают на него слой бетонной смеси толщиной (60 +/- 10) мм и выдерживают аналогично исходному сталефибробетонному образцу.
По окончании твердения и до испытания составные образцы-заготовки следует хранить при температуре плюс (20 +/- 5) °C.
В.3.4 Если для изготовления составных образцов-заготовок используют формы кубов, то изготавливают не менее пяти образцов.
В.4 Подготовка к испытаниям
В.4.1 Испытания проводят в лаборатории при температуре и влажности воздуха по
ГОСТ 10180.
В.4.2 Составные образцы-заготовки распалубливают и устанавливают таким образом, чтобы слой сталефибробетона был вверху.
На поверхности составных образцов-заготовок со стороны сталефибробетона размечают места выбуривания образцов-кернов в соответствии с указаниями ГОСТ Р 56378-2015
(приложение Ж) или по центру при использовании образцов-кубов.
В.4.3 Составные образцы-заготовки размещают горизонтально и неподвижно закрепляют.
В.4.4 Над намеченным местом выбуривания образца-керна размещают буровой станок по
В.2.2 с вертикально направленным керноотборником и выполняют пропил под углом (90 +/- 1)° к поверхности образца-заготовки на глубину (60 +/- 5) мм. После выполнения пропила керноотборник поднимают, не повредив образец-керн, и переводят на другое намеченное место выбуривания.
В.5 Проведение испытаний
В.5.1 На поверхность сталефибробетона образца-керна приклеивают стальной штамп (пластину), входящий в комплект поставки прибора по
В.2.1, используя клеящий состав согласно указаниям ГОСТ Р 56378-2015
(приложение Ж).
Примечание - Рекомендуется применять эпоксидный клей, обеспечивающий прочность сцепления с бетоном не менее нормативной прочности монолитного бетона на осевое растяжение и не менее 3 МПа.
В.5.2 В штамп (пластину) вворачивают тяговый винт, второй конец которого закрепляют в приборе, размещенном над образцом-керном, и вырывают керн, увеличивая нагрузку, как это указано в ГОСТ Р 56378-2015
(приложение Ж). Фиксируют наибольшую нагрузку, достигнутую при испытании.
В сечении разрушения измеряют диаметр керна в двух взаимно перпендикулярных направлениях.
В.5.3 Каждый образец-керн осматривают для определения характера разрушения сцепления:
- по монолитному бетону (вид 1);
- клеящему составу (вид 2).
В.6 Оценка результатов испытания
В.6.1 Если разрушение произошло по клеящему составу (вид 2), то этот результат не учитывают. Такой характер разрушения допускается не более чем для одного образца в серии из пяти образцов. Если это условие не выполняется, то следует применить другой клеящий состав.
В.6.2 Для образцов с разрушением по виду 1 рассчитывают с точностью до 1 МПа значение прочности каждого образца Rbt,i по формуле

(В.1)
где F - максимальное усилие при испытании, Н;
A - площадь поперечного сечения образца-керна, мм2.
Среднее значение прочности Rbt,m для образцов с разрушением по виду 1 рассчитывают по формуле

(В.2)
где n - количество образцов-кернов.
В.6.3 Вычисляют значение нижней доверительной границы (для P = 0,95) прочности на осевое растяжение (при отрыве), соответствующей нормативной прочности Rbt,n, по формуле
Rbt,n = Rbt,m - ks·Sm, (В.3)
где
ks - коэффициент, принимаемый по
таблице В.1 в зависимости от количества испытанных образцов-кернов
n;
Sm - среднее квадратическое отклонение, вычисляемое по формуле

(В.4)
где Rbt,max и Rbt,min - максимальное и минимальное значения прочности;
dn - коэффициент, принимаемый по
таблице В.2 в зависимости от количества испытанных образцов-кернов
n.
n | ks | n | ks |
5 | 2,13 | 8 | 1,91 |
6 | 2,00 | 9 | 1,88 |
7 | 1,94 | 10 | 1,86 |
n | dn | n | dn |
5 | 2,326 | 8 | 2,847 |
6 | 2,534 | 9 | 2,970 |
7 | 2,704 | 10 | 3,078 |
В.6.4 Сравнивают полученное значение
Rbt,n с нормативной прочностью на осевое растяжение для заданного класса монолитного бетона по прочности при сжатии согласно СП 63.13330.2018
(таблица 6.7).
Сцепление СФБО с монолитным бетоном считают отвечающим установленным требованиям, если полученное значение Rbt,n будет не менее нормативной прочности на растяжение для заданного класса монолитного бетона при сжатии (при условии, что в серии из пяти образцов-кернов разрушение по клеящему составу произойдет не более чем в одном образце-керне).
| | Федеральные нормы и правила в области использования атомной энергии. Общие положения обеспечения безопасности атомных станций |
| | Нормы проектирования сейсмостойких атомных станций |
УДК 620.179:1:006.354 | |
Ключевые слова: комбинированные железобетонные конструкции, сталефибробетонная опалубка |