Главная // Актуальные документы // Акт (форма)СПРАВКА
Источник публикации
М.: Стандартинформ, 2020
Примечание к документу
Документ включен в
Перечень документов в области стандартизации, в результате применения которых на добровольной основе обеспечивается соблюдение требований Федерального
закона от 30.12.2009 N 384-ФЗ "Технический регламент о безопасности зданий и сооружений" (
Приказ Росстандарта от 02.04.2020 N 687).
Документ
введен в действие с 01.01.2021.
Название документа
"ГОСТ Р 59241-2020. Национальный стандарт Российской Федерации. Берегозащитные сооружения. Правила обследования и мониторинга технического состояния"
(утв. и введен в действие Приказом Росстандарта от 08.12.2020 N 1260-ст)
"ГОСТ Р 59241-2020. Национальный стандарт Российской Федерации. Берегозащитные сооружения. Правила обследования и мониторинга технического состояния"
(утв. и введен в действие Приказом Росстандарта от 08.12.2020 N 1260-ст)
Утвержден и введен в действие
агентства по техническому
регулированию и метрологии
от 8 декабря 2020 г. N 1260-ст
НАЦИОНАЛЬНЫЙ СТАНДАРТ РОССИЙСКОЙ ФЕДЕРАЦИИ
БЕРЕГОЗАЩИТНЫЕ СООРУЖЕНИЯ
ПРАВИЛА ОБСЛЕДОВАНИЯ
И МОНИТОРИНГА ТЕХНИЧЕСКОГО СОСТОЯНИЯ
Coastal protection structures. Rules of inspection
and monitoring of the technical condition
ГОСТ Р 59241-2020
Дата введения
1 января 2021 года
1 РАЗРАБОТАН Филиалом АО "Научно-исследовательский институт транспортного строительства" "Научно-исследовательский центр "Морские берега" (Филиал АО ЦНИИС "НИЦ "Морские берега")
2 ВНЕСЕН Техническим комитетом по стандартизации ТК 465 "Строительство"
3 УТВЕРЖДЕН И ВВЕДЕН В ДЕЙСТВИЕ
Приказом Федерального агентства по техническому регулированию и метрологии от 8 декабря 2020 г. N 1260-ст
4 ВВЕДЕН ВПЕРВЫЕ
Правила применения настоящего стандарта установлены в статье 26 Федерального закона от 29 июня 2015 г. N 162-ФЗ "О стандартизации в Российской Федерации". Информация об изменениях к настоящему стандарту публикуется в ежегодном (по состоянию на 1 января текущего года) информационном указателе "Национальные стандарты", а официальный текст изменений и поправок - в ежемесячном информационном указателе "Национальные стандарты". В случае пересмотра (замены) или отмены настоящего стандарта соответствующее уведомление будет опубликовано в ближайшем выпуске ежемесячного информационного указателя "Национальные стандарты". Соответствующая информация, уведомление и тексты размещаются также в информационной системе общего пользования - на официальном сайте Федерального агентства по техническому регулированию и метрологии в сети Интернет (www.gost.ru)
Настоящий стандарт разработан с учетом требований федеральных законов от 30 декабря 2009 г.
N 384-ФЗ "Технический регламент о безопасности зданий и сооружений", от 29 декабря 2004 г.
N 190-ФЗ "Градостроительный кодекс Российской Федерации" и
постановления Правительства Российской Федерации от 2 ноября 2013 г. N 986 "О классификации гидротехнических сооружений".
Настоящий стандарт распространяется на обследование и мониторинг технического состояния берегозащитных сооружений и устанавливает требования к производству работ:
- по обследованию берегозащитных сооружений для подтверждения их соответствия функциональному назначению и требованиям безопасной эксплуатации;
- по обследованию берегозащитных сооружений для проектирования их реконструкции или капитального ремонта;
- по общему мониторингу технического состояния берегозащитных сооружений для выявления дефектов, возникающих в процессе эксплуатации и принятия мер по их устранению.
Настоящий стандарт не распространяется на подпорные стены набережных, а также на портовые гидротехнические сооружения (в том числе берегозащитные), расположенные на акваториях портов и судоремонтных заводов.
Настоящий стандарт не устанавливает требований к обследованию и мониторингу технического состояния берегозащитных сооружений, проводимых в научно-исследовательских целях.
В настоящем стандарте использованы нормативные ссылки на следующие стандарты:
ГОСТ 21.301 Система проектной документации для строительства. Основные требования к оформлению отчетной документации по инженерным изысканиям
ГОСТ 7502 Рулетки измерительные металлические. Технические условия
ГОСТ 8269.0 Щебень и гравий из плотных горных пород и отходов промышленного производства для строительных работ. Методы физико-механических испытаний
ГОСТ 8269.1 Щебень и гравий из плотных горных пород и отходов промышленного производства для строительных работ. Методы химического анализа
ГОСТ 10060 Бетоны. Методы определения морозостойкости
ГОСТ 12536 Грунты. Методы лабораторного определения гранулометрического (зернового) и микроагрегатного состава
ГОСТ 17624 Бетоны. Ультразвуковой метод определения прочности
ГОСТ 18105 Бетоны. Правила контроля и оценки прочности
ГОСТ 19185 Гидротехника. Основные понятия. Термины и определения
ГОСТ 19223 Светодальномеры геодезические. Общие технические условия
ГОСТ 21830 Приборы геодезические. Термины и определения
ГОСТ 22690 Бетоны. Определение прочности механическими методами неразрушающего контроля
ГОСТ 24846 Грунты. Методы измерения деформаций оснований зданий и сооружений
ГОСТ 26433.0 Система обеспечения точности геометрических параметров в строительстве. Правила выполнения измерений. Общие положения
ГОСТ 26433.2 Система обеспечения точности геометрических параметров в строительстве. Правила выполнения измерений параметров зданий и сооружений
ГОСТ 28570 Бетоны. Методы определения прочности по образцам, отобранным из конструкций
ГОСТ Р 8.563 Государственная система обеспечения единства измерений. Методики (методы) измерений
ГОСТ Р 22.2.09 Безопасность в чрезвычайных ситуациях. Экспертная оценка уровня безопасности и риска аварий гидротехнических сооружений. Общие положения
ГОСТ Р 53340 Приборы геодезические. Общие технические условия
ГОСТ Р 54523 Портовые гидротехнические сооружения. Правила обследования и мониторинга технического состояния
Примечание - При пользовании настоящим стандартом целесообразно проверить действие ссылочных стандартов в информационной системе общего пользования - на официальном сайте Федерального агентства по техническому регулированию и метрологии в сети Интернет или по ежегодному информационному указателю "Национальные стандарты", который опубликован по состоянию на 1 января текущего года, и по выпускам информационного указателя "Национальные стандарты" за текущий год. Если заменен ссылочный стандарт, на который дана недатированная ссылка, то рекомендуется использовать действующую версию этого стандарта с учетом всех внесенных в данную версию изменений. Если заменен ссылочный стандарт, на который дана датированная ссылка, то рекомендуется использовать версию этого стандарта с указанным выше годом утверждения (принятия). Если после утверждения настоящего стандарта в ссылочный стандарт, на который дана датированная ссылка, внесено изменение, затрагивающее положение, на которое дана ссылка, то это положение рекомендуется применять без учета данного изменения. Если ссылочный стандарт отменен без замены, то положение, в котором дана ссылка на него, рекомендуется применять в части, не затрагивающей эту ссылку.
3.1 аварийное техническое состояние: Категория технического состояния строительной конструкции или здания и сооружения в целом, включая состояние грунтов основания, характеризующаяся повреждениями и деформациями, свидетельствующими об исчерпании несущей способности и опасности обрушения и (или) характеризующаяся кренами, которые могут вызвать потерю устойчивости объекта. |
3.2 автоматизированный мониторинг: Мониторинг, осуществляемый техническими и программными средствами, связанными между собой проводными или беспроводными линиями связи, и позволяющий в режиме реального времени осуществлять сбор и обработку информации о различных параметрах строительных конструкций (геодезические, динамические, деформационные и др.) для оценки технического состояния объектов.
3.3 безопасность берегозащитных сооружений: Свойство берегозащитных сооружений, позволяющее обеспечивать защиту жизни, здоровья и законных интересов людей, окружающей среды и хозяйственных объектов.
3.4 берегозащитное (берегоукрепительное) сооружение: Гидротехническое сооружение для защиты берега от размыва и разрушения.
3.5 дефект: Каждое отдельное несоответствие сооружения (элемента) установленным требованиям.
3.6 значительный дефект: Дефект, который существенно влияет на использование сооружения (элемента) по назначению и/или на его долговечность, но не является критическим.
3.7 категория технического состояния: Степень эксплуатационной пригодности строительной конструкции или сооружения в целом, а также грунтов их основания, установленная в зависимости от доли снижения несущей способности и эксплуатационных характеристик. |
3.8 консервация берегозащитного сооружения: Временное прекращение эксплуатации берегозащитного сооружения в следующих целях: предотвращение ухудшения его технического состояния, разрушения берегозащитного сооружения и его конструктивных элементов; обеспечение их укрепления, защиты, физической сохранности, безопасности жизни, здоровья граждан; обеспечение безопасности объектов инфраструктуры, в том числе зданий, сооружений; охрана окружающей среды, включая растительный и животный мир.
3.9 критерий оценки технического состояния: Установленное проектом или нормативным документом количественное или качественное значение параметра, характеризующего деформативность другие нормируемые характеристики элементов и грунтов основания. |
3.10 критический дефект: Дефект, при наличии которого использование сооружения (элемента) по назначению практически невозможно или недопустимо.
3.11 ликвидация берегозащитного сооружения: Снос конструктивных элементов берегозащитного сооружения, приведение территории, на которой оно расположено, включая соответствующую часть водного объекта, в состояние, обеспечивающее безопасность жизни, здоровья граждан, безопасность объектов инфраструктуры, в том числе зданий, сооружений, охрану окружающей среды, включая растительный и животный мир.
3.12 малозначительный дефект: Дефект, который существенно не влияет на использование сооружения (элемента) по назначению и его долговечность.
3.13 мониторинг технического состояния берегозащитного сооружения: Система наблюдения и контроля, проводимая по определенной программе, для отслеживания степени и скорости изменения технического состояния объекта и своевременного принятия мер по устранению возникающих негативных факторов, ведущих к ухудшению технического состояния.
3.14 неработоспособное состояние: Категория технического состояния сооружения (элемента), при которой оно не способно выполнять свои функции.
3.15 нормативное техническое состояние: Категория технического состояния, при которой количественные и качественные значения параметров всех критериев оценки технического состояния элементов сооружения, включая состояние грунтов основания, соответствуют установленным в проектной документации значениям с учетом пределов их изменения. |
3.16 обеспечение безопасности берегозащитного сооружения: Разработка и осуществление мер по предупреждению аварий берегозащитного сооружения.
3.17 обследование технического состояния берегозащитного сооружения: Комплекс мероприятий по определению и оценке фактических значений контролируемых параметров, характеризующих работоспособность объекта обследования и определяющих возможность его дальнейшей эксплуатации, реконструкции или необходимость восстановления, усиления, ремонта.
3.18 ограниченно-работоспособное техническое состояние: Категория технического состояния конструкций, при которой имеются дефекты и повреждения, приведшие к некоторому снижению работоспособности, но отсутствует опасность внезапного разрушения и функционирование конструкции возможно при контроле ее состояния и условий эксплуатации.
3.19 пляж: Форма рельефа береговой зоны (природная или искусственно созданная), сложенная наносами, образованная в зоне действия прибойного потока.
3.20 предельное (аварийное) техническое состояние: Категория технического состояния сооружения в целом или его элемента, характеризующаяся повреждениями и деформациями, свидетельствующими об исчерпании работоспособности и опасности обрушения (необходимо проведение срочных противоаварийных мероприятий).
3.21 работоспособное техническое состояние: Категория технического состояния, при которой некоторые из численно оцениваемых контролируемых параметров не отвечают требованиям проекта норм и стандартов, но имеющиеся нарушения требований в данных конкретных условиях эксплуатации не приводят к нарушению работоспособности, и работоспособность конструкций с учетом влияния имеющихся дефектов и повреждений обеспечивается. |
3.22 размыв: Перемещение грунтов морского дна, пляжа, элементов наброски или крепления откоса от воздействия волн, течений.
3.23 собственник берегозащитного сооружения: Российская Федерация, субъект Российской Федерации, муниципальное образование, физическое или юридическое лицо независимо от его организационно-правовой формы, имеющие права владения, пользования и распоряжения берегозащитным сооружением.
3.24 специализированная организация: Физическое или юридическое лицо, уполномоченное действующим законодательством на проведение работ по обследованиям и мониторингу зданий и сооружений.
3.25 территория берегозащитного сооружения: Земельный участок и/или акватория в границах, устанавливаемых в соответствии с земельным и водным законодательством.
3.26 технический осмотр: Способ получения данных о техническом состоянии объекта, осуществляемый в основном с помощью органов чувств и, при необходимости, инструментальных средств измерений, соответствующих требованиям метрологического обеспечения.
3.27 чрезвычайная ситуация: Обстановка на определенной территории, сложившаяся в результате аварии, опасного природного явления, катастрофы, стихийного или иного бедствия, которые могут повлечь или повлекли за собой человеческие жертвы, ущерб здоровью людей или окружающей природной среде, значительные материальные потери и нарушение условий жизнедеятельности людей.
3.28 эксплуатирующая организация: Организация любой организационно-правовой формы, осуществляющая техническую эксплуатацию и обслуживание на праве собственности, праве хозяйственного ведения, аренды либо ином законном основании.
4 Обследование технического состояния
4.1.1 Обследование берегозащитного сооружения, как основной метод контроля его технического состояния, выполняют в целях оценки эксплуатационной пригодности.
4.1.2 Оценку эксплуатационной пригодности берегозащитных сооружений проводят путем определения степени эксплуатационной пригодности строительной конструкции (элемента) или сооружения в целом, которая, в свою очередь, устанавливается в зависимости от доли снижения их эксплуатационных характеристик.
4.1.3 Настоящим стандартом устанавливается пять категорий технического состояния берегозащитных сооружений: исправное (нормативное), работоспособное, ограниченно-работоспособное, неработоспособное, предельное (аварийное).
4.1.4 Установление категории технического состояния строительных конструкций (элементов) или сооружений в целом проводят путем сравнения в процессе обследования совокупности фактических характеристик их технического состояния с установленными проектом или нормативным документом.
4.1.5 Обеспечивать проведение обследований берегозащитного сооружения обязан собственник берегозащитного сооружения. В случае если берегозащитное сооружение находится в государственной или муниципальной собственности, обеспечивать проведение обследований обязана эксплуатирующая организация.
4.1.6 Виды обследования, необходимость проведения и сроки принимают в соответствии с таблицей 4.1.
Таблица 4.1
Виды обследования, необходимость проведения и сроки
Вид обследования | Необходимость проведения | Сроки |
Первичное | Однократно | Не позднее чем через 6 мес после ввода сооружения в эксплуатацию |
Очередное | Регулярно | Не реже одного раза в пять лет |
Внеочередное | При обнаружении дефектов сооружений в процессе технических осмотров | Не позднее чем через три недели после обнаружения дефектов |
После реконструкции или ремонта берегозащитного сооружения | Не позднее чем через 2 мес после реконструкции или ремонта |
При прохождении штормов с волнением 5 баллов и более | Не позднее чем через одну неделю после прохождения шторма с волнением 5 баллов и более |
При возникновении чрезвычайных ситуаций на территории и/или акватории гидротехнического сооружения | Не позднее чем через одну неделю после возникновения чрезвычайной ситуации |
По предписанию органов, уполномоченных на ведение государственного контроля (надзора) | Согласно предписанию |
Специальное | В случаях выявления признаков недопустимых деформаций и отклонений планово-высотного положения сооружения от проектных значений | Устанавливаются индивидуально |
Примечание - Внеочередные и специальные обследования могут проводиться также по инициативе собственника берегозащитного сооружения или эксплуатирующей организации при возникновении сомнений в работоспособности берегозащитного сооружения, а также в целях паспортизации берегозащитного сооружения. |
4.1.7 Обследование технического состояния берегозащитных сооружений проводят силами специализированных организаций на основании технического задания в соответствии с предварительно разработанной программой, утвержденной эксплуатирующей организацией или собственником сооружения.
4.1.8 Обследование технического состояния берегозащитных сооружений следует проводить в три основных этапа в соответствии с таблицей 4.2.
Таблица 4.2
Этапы обследования технического состояния
берегозащитных сооружений
Этап обследования | Состав работ | Результат |
1 Подготовительный этап | Ознакомление с объектом обследования, его объемно-планировочными и конструктивными решениями, имеющимися материалами инженерных изысканий; сбор и анализ проектно-технической документации; составление программы работ | Программа работ по обследованию технического состояния берегозащитного сооружения в соответствии с 4.1.11 |
2 Предварительное (визуальное) обследование или технический осмотр | Сплошное визуальное обследование или технический осмотр берегозащитного сооружения и его элементов; выявление дефектов и повреждений по внешним признакам с необходимыми измерениями и их фиксацией; уточнение программы работ (при необходимости) | Технический отчет или акт в соответствии с 4.5, содержащий в том числе: - предварительную оценку технического состояния берегозащитного сооружения; - определение необходимости в проведении детального (инструментального) обследования, видов и объемов работ. Программа работ по обследованию технического состояния берегозащитного сооружения (откорректированная при необходимости) |
3 Детальное (инструментальное) обследование | Выполнение работ по обследованию технического состояния берегозащитного сооружения в соответствии с программой работ (определение пространственного положения сооружения и его элементов: - измерение характеристик физико-механического состояния материалов, оценка технического состояния). Составление (корректировка) паспорта берегозащитного сооружения | Технический отчет с приложением к нему документов в соответствии с 4.5, содержащий в том числе: - оценку технического состояния берегозащитного сооружения (категорию технического состояния); - указания по проектированию мероприятий по восстановлению, усилению, ремонту или консервации сооружения (при необходимости). Составленный (откорректированный) паспорт сооружения |
Примечание - Собственник берегозащитного сооружения может включить в обследование дополнительные исследования. |
4.1.9 Если в результате внеочередного обследования на этапе предварительного (визуального) обследования или технического осмотра будет установлено, что обследуемое сооружение не имеет существенных дефектов или повреждений и его техническое состояние предварительно оценивается как нормативное (исправное) или работоспособное, при наличии паспорта берегозащитного сооружения детальное (инструментальное) обследование допускается не проводить. В этом случае оформляют акт в соответствии с
4.5.2.
4.1.10 Если на подготовительном этапе обследования будет установлено отсутствие паспорта у берегозащитного сооружения, следует в обязательном порядке проводить детальное (инструментальное) обследование сооружения (даже при отсутствии видимых дефектов по результатам технического осмотра) с составлением паспорта берегозащитного сооружения.
4.1.11 Программа работ по обследованию технического состояния берегозащитного сооружения составляется на первом (подготовительном) этапе обследования с последующей корректировкой по результатам предварительного (визуального) обследования или технического осмотра и должна содержать следующие сведения:
- наименование и тип сооружения, его характеристики, год постройки;
- данные об имеющейся в наличии проектно-технической документации (проектная и исполнительная документация по строительству, реконструкции и ремонтам сооружения, паспорт сооружения и т.п.);
- результаты инженерных изысканий прошлых лет и материалы ранее проведенных обследований (при наличии);
- информация об условиях эксплуатации берегозащитного сооружения, включая природные условия (гидрометеорологические и геологические);
- состав и объем работ по обследованию;
- методы технического контроля, сведения о применяемых приборах и оборудовании при обследовании;
- последовательность выполнения работ при обследовании;
- обоснование необходимости проведения специальных видов обследования (вскрытие заглубленных элементов сооружения и т.п.), дополнительных инженерных изысканий и/или научно-исследовательских работ;
- требования к составу, содержанию и оформлению результатов работ.
4.1.12 При обнаружении во время проведения обследования дефектов сооружений и нарушений режимов их эксплуатации, которые привели или могут привести к недопустимому снижению несущей способности или устойчивости сооружений, разрушению отдельных конструкций или нарушению нормальной работы оборудования, руководитель работ по обследованию сооружения должен своевременно проинформировать об этом в письменном виде собственника берегозащитного сооружения и/или руководителя эксплуатирующей организации.
4.2 Определение объема контроля при обследовании сооружений
4.2.1 Общие указания
4.2.1.1 Объем контроля должен обеспечивать достоверность и полноту получаемой информации для подготовки обоснованного заключения о техническом состоянии берегозащитного сооружения в соответствии с
4.4.
4.2.1.2 Объем контроля при обследовании шпунтовых стенок рекомендуется принимать согласно ГОСТ Р 54523-2011
(приложение Ф).
4.2.1.3 При обследовании волноломов и головных участков бун основное внимание обращают на состояние каменной постели, как элемента, наиболее подверженного разрушению волнами. Тщательному осмотру подлежат и близлежащие участки дна. Проверяют общие деформации сооружений (осадки, сдвиги, наклоны), их неравномерность по длине сооружения, размыв каменных берм, подмывы дна у подошвы постели, аккумуляцию наносов, состояние материалов сооружения, защитных поясов и антикоррозионных покрытий.
4.2.1.4 При обследовании естественного или искусственного пляжа необходимо определить толщину активного слоя пляжевого материала, его крупность и элементы залегания указанного слоя. При этом определяют состав и физико-механические характеристики также подстилающих пляж донных отложений.
4.2.1.5 При обследовании берегозащитных сооружений в обязательном порядке необходимо определять:
- для сооружений откосного типа:
- состояние профиля откоса;
- состояние одежды берега и ее целостность, сдвиги отдельных плит,
камней, вымывание грунта из-под одежды и состояние обратного фильтра,
наличие растительности;
- состояние материала покрытий, бетонных плит и каменной отмостки;
- для волноотбойных стен, бетонных и железобетонных бун и волноломов:
- общую деформацию сооружения: осадку, наклон и сдвиг сооружения или
отдельных блоков, изменение общей деформации по длине сооружения;
- размыв бермы;
- наличие трещин, каверн, промоин, нарушение целостности кладки;
- состояние материала сооружения.
4.2.2 Обследование бетонных и железобетонных берегоукрепительных сооружений (откосного типа, волноотбойных стен, бун и волноломов)
4.2.2.1 При обследовании определяют:
- наклон по высоте и степень его неравномерности по длине сооружения;
- перекос отдельных секций сооружения в плане;
- состояние швов между секциями и степень их раскрытия;
- состояние материала конструкций, разрушение бетона отдельных секций под влиянием воздействия внешней среды;
- состояние дна перед сооружением, размыв постели или основания.
4.2.2.2 При обследовании устанавливают:
- наличие сдвигов;
- наклон бетонных массивов и расхождение швов между ними;
- наличие пробоин (промоин) в железобетонных элементах и факт вымываний через них засыпки.
4.2.2.3 У волноотбойных стен и сооружений откосного типа проводят осмотр грунта за пределами сооружения в целях установления наличия подмыва и выпучивания. Определяют состояние одежды (при наличии), фиксируют места ее сползания, разрушений и сдвигов отдельных плит и камней, выявляют состояние швов омоноличивания.
4.2.3 Обследование сооружений откосного типа из наброски (буны, волноломы, бермы, волногасящие прикрытия)
4.2.3.1 У сооружений откосного типа из наброски проверяют:
- крупность элементов наброски (крупность камня или марку фасонных массивов);
- соответствие фактического профиля в подводной и надводной частях сооружения проектному;
- состояние бермы и откосов;
- состояние дна перед сооружением.
4.2.3.2 У берм и волногасящих прикрытий проводят осмотр грунта за пределами сооружения в целях установления наличия подмыва и выпучивания. Определяют и фиксируют места сползания, разрушений и вымывания отдельных массивов и/или камней.
4.2.4 Обследование пляжей
4.2.4.1 При обследовании пляжей определяют:
- ширину надводной части пляжа;
- профиль пляжа;
- состав пляжевого материала;
- подводную границу пляжа.
4.2.4.2 При обследовании пляжей оценивают:
- наличие зон размыва/аккумуляции пляжевого материала;
- интенсивность размыва/аккумуляции пляжа.
4.3 Методы контроля технического состояния сооружений при их обследовании
4.3.1 Контролю технического состояния подлежат пространственное положение сооружений и их элементов, а также характеристики физико-механического состояния материалов конструкций.
4.3.2 Визуальный осмотр проводят как вдоль сооружения, так и перпендикулярно ему. Особое внимание следует уделять угловым участкам, сопряжениям с берегоукреплениями других конструкций и другими сооружениями и тем участком, где раньше производились строительные или ремонтные работы.
4.3.3 Обследование проводят как в надводной, так и в подводной части сооружения. Концевые и угловые участки берегозащитных сооружений, сопряжения с другими сооружениями, места изменения продольного профиля, грунтовых условий и другие участки, подверженные деформациям в большей мере, обследуют особо тщательно.
4.3.4 Контроль пространственного положения сооружений и их элементов выполняют путем определения планово-высотного положения элементов сооружения (координат отдельных точек, размеров, наклонов, смещений, деформаций и др.) в соответствии с таблицей 4.3,
ГОСТ 24846 и
ГОСТ 26433.2.
Таблица 4.3
Контроль пространственного положения сооружений
и их элементов
Операция | Методы выполнения |
Определение планового положения сооружения и его элементов | Триангуляция (микротриангуляция), трилатерация, полигонометрия или их комбинации |
Определение высотного положения сооружения и его элементов | Геометрическое, тригонометрическое или гидростатическое нивелирование |
Определение размеров сооружения и его элементов | Измерение дальномерами и/или прямое измерение по ГОСТ 26433.2 |
Измерение горизонтальных перемещений (сдвигов) | Створные наблюдения отдельных направлений, триангуляция, трилатерация, полигонометрия |
Измерение вертикальных перемещений (осадки, подъемы) | Геометрическое, тригонометрическое и гидростатическое нивелирование |
Измерение наклона сооружения и его элементов | Механические способы с применением креномеров, прямых и обратных отвесов или методы проецирования, координирования и измерения углов или направлений с использованием оборудования по ГОСТ Р 53340 |
Примечание - Допускаются комбинация приведенных методов и/или применение иных, соответствующих ГОСТ 26433.2 и ГОСТ Р 8.563. |
4.3.6 Контроль технического состояния материалов конструкций проводят путем измерения характеристик физико-механического состояния материалов в соответствии с таблицей 4.4 преимущественно с помощью методов неразрушающего контроля.
Таблица 4.4
Контроль технического состояния материалов конструкций
Тип конструкции | Операция | Методы выполнения |
Бетонные и железобетонные конструкции | Определение прочности бетона на сжатие | |
Определение дополнительных физико-механических характеристик бетона | |
Определение наличия трещин, сколов и разрушений | Визуально |
Определение ширины раскрытия трещин в бетоне, размеров сколов и каверн | |
Степень коррозионного разрушения бетона и арматуры (характер коррозии, толщина слоя продуктов коррозии, площадь пораженной поверхности, глубина коррозионных поражений, площадь остаточного поперечного сечения арматуры) | |
Сооружения из природного камня | Определение физико-механических характеристик камня | |
Пляжи и бермы из горной массы | Определение гранулометрического состава материала | |
Определение физико-механических характеристик материала | |
Шпунт (шпунтовые стенки) | | |
Примечания 1 Определение физико-механических характеристик методами разрушающего контроля допускается только при необходимости и при соответствующем обосновании в программе работ. 2 Лабораторное определение дополнительных физико-механических характеристик бетона по ГОСТ 10060, ГОСТ 12730.5, ГОСТ 18105, ГОСТ 28570, а также физико-механических характеристик природного камня и пляжевого материала по ГОСТ 8269.0, ГОСТ 8269.1 к обязательным операциям не относится и проводится только при соответствующем обосновании в программе работ. 3 Допускается проведение дополнительных операций контроля технического состояния. При этом методы выполнения операций, не предусмотренных настоящей таблицей, обосновываются в программе работ и должны соответствовать ГОСТ Р 8.563. |
4.3.7 Средства испытаний, измерений и контроля, применяемые при обследовании технического состояния сооружений, должны быть своевременно поверены (калиброваны) в установленном порядке и соответствовать нормативным документам и технической документации по метрологическому обеспечению в соответствии с
ГОСТ 26433.0.
4.4 Оценка технического состояния берегозащитных сооружений
4.4.1 Оценку технического состояния берегозащитных сооружений проводят по критериям безопасности, т.е. по предельным значениям количественных и качественных показателей технического состояния сооружения и условий его эксплуатации, соответствующих допустимому уровню риска аварии.
4.4.2 Категорию дефекта определяют по значениям показателей технического состояния элемента, приведенным в
приложении А. Влияние дефекта на работоспособность элемента определяет его сохранность и характеризуется коэффициентом сохранности
a. Это значение устанавливают путем экспертной оценки в соответствии с таблицей 4.5 и
приложением А.
Таблица 4.5
Характеристики технического состояния сооружений
и мероприятия по обеспечению их работоспособности
Вид технического состояния | Нормативное (исправное) | Работоспособное | Ограниченно-работоспособное | Неработоспособное | Предельное (аварийное) |
Категория дефекта | Дефектов нет | 1-я категория - малозначительные дефекты | 2-я категория - значительные дефекты | 3-я категория - критические дефекты |
Коэффициент сохранности a | 1,0 | 1,0 - 0,8 | 0,8 - 0,6 | 0,6 - 0,4 | 0,4 - 0,2 | 0,2 - 0 |
Вид ремонта (мероприятия) | - | Текущий профилактический или внеочередной | Капитальный | Восстановление | Замена или списание |
Выборочный | Выборочный |
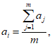
4.4.3 Коэффициент сохранности группы однородных элементов определяют по формуле

(4.1)
где aj - частное значение коэффициента сохранности элемента;
j = 1, 2, 3, ..., m - номер элемента i-й группы однородных элементов;
m - количество элементов в i-й группе однородных элементов.
4.4.4 Коэффициент сохранности сооружения из n групп однородных элементов определяют по формуле

(4.2)
где i = 1, 2, 3, ..., n - порядковый номер элемента конструктивной схемы (группы однородных элементов);
| | ИС МЕГАНОРМ: примечание. Текст дан в соответствии с официальным текстом документа. | |
b - коэффициент весомости групп элементов в составе сооружения, определяемый по
таблице 4.6;
ai - коэффициент сохранности группы однородных элементов, определяемый по
формуле (4.1).
Таблица 4.6
Весомость групп элементов в составе сооружения
Наименование сооружения | Наименование элемента | Коэффициент весомости групп элементов в составе сооружения bi, % |
1 Бетонная буна | 1.1 Массивовая кладка (бетонные блоки) | 60 |
1.2 Покрытие (накрывочная плита) | 20 |
1.3 Постель и берменные плиты | 20 |
2 Волноотбойная стена, бетонное откосное крепление | 2.1 Дно перед стеной (пляж) или откосным креплением | 10 |
2.2 Основание стены | 25 |
2.3 Секции стены или откосного крепления | 40 |
2.4 Дренажные устройства | 5 |
2.5 Сопряжение сооружения с территорией | 20 |
3 Набросные буны и волноломы с ядром и защитной наброской | 3.1 Дно | 20 |
3.2 Защитная наброска | 80 |
4 Набросные буны и волноломы из однородных элементов (камня или фасонных массивов) | 4.1 Дно | 20 |
4.2 Каменная (или из массивов) наброска | 80 |
5 Защитные волногасящие прикрытия из камня или фасонных массивов | 5.1 Дно перед сооружением | 15 |
5.2 Каменная (или из массивов) наброска | 70 |
5.3 Сопряжение сооружения с территорией | 15 |
6 Пляж | 6.1 Пляж | 100 |
4.5 Состав, содержание и требования к оформлению результатов обследования сооружений
4.5.1 По результатам первичного, очередного, внеочередного или специального обследования оформляют технический отчет в соответствии с
4.5.3, содержащий информацию, необходимую и достаточную для оценки технического состояния сооружения и принятия решения о его дальнейшей эксплуатации, с приложением к нему следующих документов:
- свидетельство о годности берегозащитного сооружения к эксплуатации в соответствии с
приложением Б;
- извещение о необходимости выполнения ремонтных работ, изменения режима эксплуатации, вывода берегозащитного сооружения из эксплуатации в соответствии с
приложением В;
- заключение о техническом состоянии берегозащитного сооружения в соответствии с
приложением Г;
4.5.2 Если в результате очередного или внеочередного обследования берегозащитного сооружения установлено, что в нем отсутствуют значительные и критические дефекты несущих конструкций и сооружение эксплуатируется без нарушений установленного режима, при наличии паспорта берегозащитного сооружения, вместо отчета допускается оформление акта освидетельствования
(приложение Ж) с приложением к нему свидетельства о годности берегозащитного сооружения к эксплуатации в соответствии с
приложением Б. В иных случаях составление технического отчета обязательно.
4.5.3 Технический отчет по результатам обследования технического состояния берегозащитного сооружения должен состоять из следующих разделов:
- введение: основание для проведения работ, вид и причины обследования, сведения об исполнителях работ, сроки выполнения работ и т.п.;
- краткая характеристика природных условий: ситуационный план, краткая физико-географическая характеристика, описание гидрометеорологических условий акватории (волновые, ледовые и пр.), геологические условия, опасные природные явления, влияющие на условия эксплуатации, и т.п.;
- описание конструкции объекта обследования: общая характеристика сооружения (назначение, год постройки, сведения о реконструкциях и ремонтах), описание основных элементов сооружения, основные размеры, материалы конструкций, результаты ранее проведенных обследований и т.п.;
- виды и объемы работ по обследованию;
- описание методов проведения работ, применяемых приборов и оборудования;
- результаты обследования: описание выявленных дефектов, их характера и точного местоположения, дефектные ведомости, фотоматериалы, графические материалы (планы, фасады, разрезы и пр.), данные о состоянии материалов конструкций, поверочные расчеты (если они предусмотрены техническим заданием и программой работ), оценка технического состояния сооружения и т.п.;
- заключение по результатам обследования;
- характеристики выявленных значительных и критических дефектов, причины их возникновения и возможные последствия;
- расчетный физический износ групп элементов и сооружения в целом;
- рекомендации по дальнейшей эксплуатации сооружения (по ремонту сооружения, мероприятиям, предотвращающим появление и развитие дефектов, режиму эксплуатации сооружения) и проведению мониторинга технического состояния (периодичность, вид и состав работ);
- указания по проектированию мероприятий по восстановлению, усилению, ремонту или консервации сооружения (при необходимости);
- список используемых источников;
- приложения: техническое задание, программа работ, копии документов специализированной организации, подтверждающие право выполнения работ, свидетельства о поверках оборудования и средств измерений, графические и фотоматериалы, а также иные материалы, дополняющие результаты исследования (на усмотрение исполнителя).
4.5.4 Оформление технического отчета в целом должно соответствовать
ГОСТ 21.301. Для удобства прочтения отдельные таблицы, дефектные ведомости, графические и фотоматериалы и пр. могут быть размещены в приложениях к отчету.
5 Мониторинг технического состояния сооружений
5.1.1 Мониторинг технического состояния берегозащитных сооружений проводят для контроля их технического состояния и своевременного принятия мер по устранению возникающих негативных факторов, которые могут повлечь переход объектов в ограниченно-работоспособное или аварийное состояние, а также в следующих целях:
- выявление сооружений и их элементов, для которых необходимо обследование их технического состояния;
- отслеживание степени и скорости изменения технического состояния сооружения и принятия в случае необходимости экстренных мер по предотвращению его обрушения.
5.1.2 Рекомендуется проводить одновременный мониторинг комплекса гидротехнических сооружений, расположенных на участке, учитывающий их взаимное влияние друг на друга.
5.1.3 Обеспечивать проведение мониторинга технического состояния берегозащитного сооружения обязан собственник гидротехнического сооружения. В случае если гидротехническое сооружение находится в государственной или муниципальной собственности, обеспечивать проведение мониторинга обязана эксплуатирующая организация.
5.1.4 Технический осмотр (как регулярный, так и периодический) в составе мониторинга проводится силами эксплуатирующей организации и/или силами специализированных организаций. Периодические наблюдения с применением средств измерений в составе мониторинга проводятся силами специализированных организаций.
5.1.5 Мониторинг технического состояния берегозащитных сооружений и/или их комплекса следует проводить в соответствии с программой мониторинга по
5.1.6 и
5.1.7, разработанной с учетом рекомендаций, полученных по итогам обследования сооружений.
5.1.6 Программа мониторинга технического состояния берегозащитных сооружений и/или их комплекса должна быть составлена специализированной организацией и утверждена эксплуатирующей организацией или собственником сооружения.
5.1.7 В программе мониторинга технического состояния берегозащитных сооружений и/или их комплекса должны быть указаны:
- наименования сооружений и адрес;
- краткая характеристика сооружений и условий эксплуатации (включая природные условия);
- результаты последнего обследования и текущее техническое состояние;
- цели и задачи мониторинга;
- этапы мониторинга (при необходимости);
- виды, объемы работ и периодичность наблюдений с учетом технического состояния сооружений и условий эксплуатации;
- методы производства работ (наблюдений и измерений) и применяемое оборудование;
- продолжительность отдельных видов наблюдений;
- обоснование необходимости научного сопровождения и состав работ;
- состав отчетной документации.
5.1.8 Если по результатам мониторинга категория технического состояния берегозащитного сооружения меняется (т.е. состояние ухудшается), такое сооружение подлежит обязательному внеплановому обследованию.
5.1.9 В случае получения в процессе мониторинга данных, указывающих на ухудшение технического состояния всего сооружения или его элементов, которое может привести к обрушению сооружения, организация, проводящая мониторинг, должна немедленно информировать о сложившейся ситуации в письменном виде собственника объекта и эксплуатирующую организацию.
5.2 Определение объема и видов работ при мониторинге технического состояния, периодичность мероприятий
5.2.1 Методика и объем системы наблюдений при мониторинге должны обеспечивать достоверность и полноту получаемой информации для подготовки исполнителем обоснованного заключения о текущем техническом состоянии объекта.
5.2.2 Мониторинг технического состояния берегозащитных сооружений, находящихся по данным последнего обследования в исправном (нормативном) или работоспособном состоянии, выполняется путем проведения регулярных и периодических осмотров.
5.2.3 Мониторинг технического состояния берегозащитных сооружений, находящихся по данным последнего обследования в ограниченно-работоспособном, неработоспособном или предельном (аварийном) состоянии, выполняется путем проведения регулярных технических осмотров и периодических наблюдений с применением средств измерений.
5.2.4 Виды работ и периодичность мероприятий в зависимости от технического состояния сооружения по данным последнего обследования принимают в соответствии с таблицей 5.1.
Таблица 5.1
Виды работ и периодичность мероприятий
в зависимости от технического состояния сооружения
по данным последнего обследования
Виды работ | Периодичность мероприятий в зависимости от технического состояния сооружения по данным последнего обследования |
Исправное (нормативное) | Работоспособное | Ограниченно-работоспособное | Неработоспособное | Предельное (аварийное) |
Регулярный технический осмотр | Не реже одного раза в месяц |
Периодический технический осмотр | Не реже одного раза в год | Не реже одного раза в полгода | Не реже одного раза в месяц |
Периодические наблюдения с применением средств измерений | В соответствии с программой мониторинга | Не реже одного раза в год | Не реже одного раза в полгода | Не реже одного раза в 2 мес |
Автоматизированный мониторинг | В соответствии с программой мониторинга |
Научное сопровождение |
Примечания 1 В настоящей таблице указаны минимально необходимый перечень видов работ и максимальная периодичность мероприятий. В программе мониторинга или в иной технической документации может быть расширен перечень видов работ и/или установлена меньшая периодичность мероприятий. Сокращение видов работ и увеличение периодичности мероприятий не допускаются. 2 Автоматизированный мониторинг в общем случае не является обязательным, а выполняется в случаях, предусмотренных действующим законодательством, и/или по инициативе собственника берегозащитного сооружения или эксплуатирующей организации. Необходимость его проведения, содержание (состав работ) и методы выполнения должны быть обоснованы в программе мониторинга. 3 Научное сопровождение мониторинга не является обязательным. Необходимость его проведения и содержание (состав работ) должны быть обоснованы в программе мониторинга. |
5.2.5 Регулярный технический осмотр проводят в целях проверки технического состояния по внешним признакам. При этом, преимущественно визуально, определяют наличие повреждений берегозащитных сооружений, их частей и элементов, доступных наружному осмотру.
5.2.6 Периодический технический осмотр проводят в целях получения представления о состоянии сооружений и данных, необходимых для планирования ремонтов и других мероприятий технической эксплуатации. При этом выполняют:
- фиксацию степени изменения ранее выявленных дефектов и повреждений конструкций объекта и выявление вновь появившихся дефектов и повреждений;
- определение текущих параметров объекта (согласно
приложению А) и сравнение их с параметрами, измеренными на предыдущем этапе;
- анализ информации и оценку текущего технического состояния берегозащитного сооружения (в соответствии с
4.4).
5.2.7 Периодические наблюдения с применением средств измерений для сооружений, находящихся в исправном (нормативном) и работоспособном состоянии, в составе мониторинга выполняются, если это предусмотрено программой мониторинга. Для сооружений, находящихся в ограниченно-работоспособном, неработоспособном и предельном (аварийном) состоянии, такие наблюдения проводят в соответствии с
4.3.4 -
4.3.7 по элементам, у которых ранее были обнаружены дефекты (по данным обследования и/или предыдущих этапов мониторинга), а также по другим элементам, если это предусмотрено программой мониторинга.
5.2.8 В случаях, предусмотренных действующим законодательством, и/или по инициативе собственника берегозащитного сооружения или эксплуатирующей организации допускается проводить автоматизированный мониторинг. При этом автоматизированный мониторинг допускается проводить только в дополнение к регулярным и периодическим техническим осмотрам и периодическим наблюдениям с применением средств измерений.
5.2.9 Используемые для наблюдений средства измерений и оборудование, в том числе и для автоматизированного мониторинга, должны быть допущены к применению и поверены в установленном действующим законодательством порядке.
5.2.10 При научном сопровождении мониторинга допускается применение приборов и оборудования, не допущенных к применению в установленном действующим законодательством порядке, если в Государственном реестре средств измерений отсутствуют приборы и оборудование, позволяющие выполнять аналогичные измерения. В этом случае применяемые приборы и оборудование должны быть откалиброваны в установленном порядке.
5.3 Состав, содержание и требования к оформлению результатов мониторинга сооружений
5.3.1 Результаты регулярного технического осмотра оформляют записями в журнале технического контроля за состоянием берегозащитного сооружения.
5.3.2 Результаты периодического технического осмотра сооружения, оформленные в виде акта в соответствии с
приложением Ж, помещают в пополняемую часть паспорта сооружения.
5.3.3 Результаты мониторинга, в составе которого проводились периодические наблюдения с применением средств измерений по
5.2.7 и/или научное сопровождение, оформляют в виде технического отчета, содержащего:
- введение: основание для проведения работ, сведения об исполнителях работ, сроки выполнения работ и т.п.;
- краткая характеристика природных условий: ситуационный план, краткая физико-географическая характеристика, описание гидрометеорологических условий акватории (волновые, ледовые и пр.), геологические условия, опасные природные явления, влияющие на условия эксплуатации, и т.п.;
- описание конструкции объекта мониторинга: общая характеристика сооружения (назначение, год постройки, сведения о реконструкциях и ремонтах), описание основных элементов сооружения, основные размеры, материалы конструкций, результаты ранее проведенных обследований и этапов мониторинга и т.п.;
- виды и объемы работ по мониторингу;
- описание методов проведения работ, применяемых приборов и оборудования;
- результаты мониторинга: описание вновь выявленных дефектов, их характера и точного местоположения, дефектные ведомости с изменениями ранее выявленных дефектов, фотоматериалы, графические материалы (планы, фасады, разрезы и проч.), данные о состоянии материалов конструкций, оценка технического состояния сооружения и т.п.;
- заключение:
- оценка технического состояния;
- перечень мер по устранению возникающих негативных факторов, которые
могут повлечь переход объектов в ограниченно-работоспособное или аварийное
состояние (при необходимости);
- перечень сооружений и их элементов, для которых необходимо
обследование их технического состояния;
- степень и скорость изменения технического состояния сооружения;
- рекомендуемые экстренные меры по предотвращению обрушения
сооружения и/или возникновения чрезвычайной ситуации (при необходимости);
- список используемых источников;
- приложения: техническое задание, программа работ, копии документов специализированной организации, подтверждающие право выполнения работ, свидетельства о поверках оборудования и средств измерений, графические и фотоматериалы, а также иные материалы, дополняющие результаты исследования (на усмотрение исполнителя).
5.3.4 Оформление технического отчета в целом должно соответствовать
ГОСТ 21.301. Для удобства прочтения отдельные таблицы, дефектные ведомости, графические и фотоматериалы и пр. могут быть размещены в приложениях к отчету.
(обязательное)
ВИДЫ ДЕФЕКТОВ ЭЛЕМЕНТОВ СООРУЖЕНИЙ
И ПОКАЗАТЕЛИ ИХ ТЕХНИЧЕСКОГО СОСТОЯНИЯ
Наименование сооружения или его элемента | Вид дефекта | Показатели состояния элементов |
Работоспособное (a = 1,0 - 0,8) | Предельное/аварийное (a = 0,2 - 0) |
1 Дно перед сооружением | Переуглубление дна в результате размыва | Локальное переуглубление не более чем на 0,2 м на участке не более 0,25L, где L - длина секции/элемента сооружения | Локальное переуглубление более чем на 0,5 м на участке более 0,25L, где L - длина секции/элемента сооружения |
2 Постель, основание | Местные вымоины | Не распространяются под сооружение | Распространяются под сооружение, вследствие чего угрожают ему деформацией |
3 Накрывочная плита (для бетонных бун) | Локальная просадка | До 100 мм | Более 300 мм и определяется условиями эксплуатации |
Выкрашивание покрытия, образование в нем выбоин, вмятин и раковин глубиной от 30 до 80 мм | До 10% площади | Более 50% площади |
То же, глубиной свыше 80 мм | До 5% площади | Более 25% площади |
Трещины покрытия | Раскрытием до 5 мм | Раскрытием более 10 мм |
Отколы кромок бетонного покрытия шириной более 100 мм на 10 м длины | До 20% суммарного периметра плит | Более 50% суммарного периметра плит |
Отколы кромок железобетонных плит покрытия шириной более 50 мм | До 20% суммарного периметра плит | Более 50% суммарного периметра плит |
4 Массивовая кладка (бетонные буны) или секции волноотбойной стены | Горизонтальные смещения | До 50 мм | Более 100 мм |
Отклонение от проектного положения: | | |
- средняя осадка | До 100 мм | Более 300 мм и определяется по результатам дополнительных наблюдений за процессом стабилизации осадок |
- отклонение от вертикального положения секций стены | До 1,5% | Более 2% и устанавливается по степени влияния на условия эксплуатации |
- отклонение от вертикального положения массивов буны | До 3% | Более 3,5% и устанавливается по степени влияния на условия эксплуатации |
- смещение отдельных массивов и курсов | До 30 мм | Более 50 мм и устанавливается по степени влияния на условия эксплуатации |
- ширина шва между массивами | До 40 мм | Более 60 мм и устанавливается по степени влияния на условия эксплуатации |
Разрушение бетона на глубину более 0,25 ширины массива | До 20% площади поверхности одного массива/секции | Более 50% площади поверхности одного или нескольких массивов в секции и устанавливается по результатам дополнительных исследований процессов коррозии бетона |
Трещины | Сквозные, не более чем у 10% общего количества массивов | Сквозные, более чем у 20% общего количества массивов и устанавливаются по степени влияния на условия эксплуатации |
Снижение прочности бетона | Не более чем на 20% от проектной | Более чем на 40% от проектной и устанавливаются по результатам дополнительных исследований процесса коррозии бетона |
5 Защитная наброска | Просадка территории вследствие диффузии грунта засыпки через призму | До 100 мм | Более 200 мм и определяется по результатам дополнительных наблюдений за динамикой процесса |
Отклонение массы элементов наброски от проектной в сторону уменьшения | До 7% | Более 10% |
Снижение прочности элементов | До 10% | Более 20% |
6 Каменная (или из массивов) наброска | Размывы и оползни с морской стороны | Не допускаются | Определяются в зависимости от величины размывов и оползней |
Отклонение массы элементов наброски от проектной в сторону уменьшения | До 5% | Более 10% |
Отклонение прочности камней (массивов) в сторону уменьшения от проектной | До 7% | Более 20% |
7 Берменные плиты | Смещение отдельных плит, зазор между плитами, уложенными на откосе и на берме | До 100 мм, но не более чем средний диаметр частиц подстилающего слоя | Более 200 мм |
8 Сопряжение сооружения с территорией | Смещение бетонных и железобетонных элементов, зазоры между ними, сквозные отверстия и т.п. | При сохранении грунтонепроницаемости | При просыпании или вымывании грунта засыпки и просадке территории |
9 Защитное покрытие элементов (защитная облицовка) | Расстройство кладки, разрушение элементов покрытия | До 10% площади поверхности покрытия | Более 20% площади поверхности покрытия |
10 Дренажные устройства | Засорение | Отсутствие подпора грунтовых вод | Наличие подпора грунтовых вод |
11 Пляж | Отклонение от проектных (с учетом переформирования волнением) размеров: | | |
- по высотным отметкам | До 40% | Более 50% |
- по ширине | До 40% | Более 50% |
Отклонение крупности частиц пляжеобразующего материала от проектной в сторону уменьшения | До 10% | Более 30% |
Отклонение прочности частиц материала в сторону уменьшения от проектной | До 5% | Более 10% |
12 Специальные элементы конструкции | Нарушение функционирования | Устанавливается проектом | Устанавливается проектом |
Примечание - Пляж является свободнодеформируемым сооружением, и определяющим показателем его работоспособности является объем материала. Поэтому уменьшение ширины пляжа при увеличении его отметок (и наоборот) при сохранении общего объема (+/- 15%) дефектом не является. |
(обязательное)
ФОРМА СВИДЕТЕЛЬСТВА О ГОДНОСТИ
БЕРЕГОЗАЩИТНОГО СООРУЖЕНИЯ К ЭКСПЛУАТАЦИИ
СВИДЕТЕЛЬСТВО
о годности берегозащитного сооружения к эксплуатации
1. Местоположение сооружения (адрес) ______________________________________
2. Наименование сооружения ________________________________________________
3. Идентификационный номер ________________________________________________
4. Дата освидетельствования _______________________________________________
5. Сооружение признано годным к эксплуатации на срок до "__" ______ 20__ г.
6. Режим эксплуатации сооружения с "__" ______ 20__ г.
___________________________________________________________________________
(нормативный или в соответствии с Извещением от "__" ______ 20__ г.)
7. Наименование эксплуатирующей организации
___________________________________________________________________________
8. Наименование организации, выполнившей освидетельствование ______________
___________________________________________________________________________
Руководитель
специализированной организации ____________ _______________________
(подпись) (расшифровка подписи)
Руководитель освидетельствования ____________ _______________________
(подпись) (расшифровка подписи)
"__" _________ 20__ г.
М.П.
(обязательное)
ФОРМА ИЗВЕЩЕНИЯ О НЕОБХОДИМОСТИ ВЫПОЛНЕНИЯ РЕМОНТНЫХ РАБОТ,
ИЗМЕНЕНИЯ РЕЖИМА ЭКСПЛУАТАЦИИ, ВЫВОДА БЕРЕГОЗАЩИТНОГО
СООРУЖЕНИЯ ИЗ ЭКСПЛУАТАЦИИ
ИЗВЕЩЕНИЕ N ______
о необходимости выполнения ремонтных работ
<*>/изменения
режима эксплуатации
<*>/вывода сооружения из эксплуатации
<*>
По результатам освидетельствования, выполненного
__________________________________________________________________________,
(наименование специализированной организации, дата выполнения)
берегозащитное сооружение _________________________________________________
(наименование и номер объекта)
нуждается в выполнении ремонтных работ
<*>/признано годным к эксплуатации,
при условии изменения режима эксплуатации
<*>/не признано годным
Предлагается в срок до ____________________________________________________
(срок устранения дефектов, в течение которого
возможна эксплуатация сооружения
в установленном режиме)
выполнить следующие ремонтные работы
<*> __________________________________
(указать состав работ)
назначить следующий режим эксплуатации сооружения
<*> _____________________
(установить режим)
вывести сооружение из эксплуатации
<*>.
Руководитель
специализированной организации ____________ _______________________
(подпись) (расшифровка подписи)
Руководитель освидетельствования ____________ _______________________
(подпись) (расшифровка подписи)
"__" _________ 20__ г.
М.П.
--------------------------------
<*> Оставить необходимое.
(обязательное)
ФОРМА ЗАКЛЮЧЕНИЯ О ТЕХНИЧЕСКОМ СОСТОЯНИИ
БЕРЕГОЗАЩИТНОГО СООРУЖЕНИЯ
ЗАКЛЮЧЕНИЕ
о техническом состоянии берегозащитного сооружения
___________________________________________________________________________
(наименование объекта)
По результатам освидетельствования, проведенного в период
с "__" ______ 20__ г. по "__" ______ 20__ г.
__________________________________________________________________________,
(наименование специализированной организации)
установлены следующие характеристики технического состояния сооружения:
Наименование элементов (групп элементов), конструкций | Характер и количество значительных и критических дефектов | Физический износ, % |
| | |
| | |
Сооружение в целом | Расчетный физический износ | |
Заключение о техническом состоянии сооружения | Исправное (нормативное) <*>Работоспособное, необходимо выполнить ремонтные работы согласно Извещению от "__" ______ 20__ г. <*>Ограниченно-работоспособное при ограничениях согласно Извещению от "__" ______ 20__ г. N ___ <*>Предельное (аварийное) <*> |
Руководитель освидетельствования ____________ _______________________
(подпись) (расшифровка подписи)
"__" _________ 20__ г.
М.П.
--------------------------------
<*> Оставить необходимое.
(обязательное)
ФОРМА ТИТУЛЬНОГО ЛИСТА ПАСПОРТА БЕРЕГОЗАЩИТНОГО СООРУЖЕНИЯ
Наименование организации - собственника берегозащитного сооружения
ПАСПОРТ
Наименование берегозащитного сооружения
Адрес
Дата составления "__" _________ 20__ г.
Согласовано:
Руководитель
организации-собственника
________________________
(Ф.И.О.)
"__" _________ 20__ г.
М.П.
Руководитель организации -
составителя паспорта
________________________________
(Ф.И.О.)
"__" _________ 20__ г.
М.П.
(обязательное)
ФОРМА ПАСПОРТА БЕРЕГОЗАЩИТНОГО СООРУЖЕНИЯ
Содержание
1 Общие данные
2 Естественные условия
3 Описание конструкции и ее основных элементов
4 Система инструментальных наблюдений за техническим состоянием сооружения
5 Источники заполнения паспорта
6 Перечень графических материалов
7 Лист регистрации технической документации пополняемой части паспорта
1 Общие данные
Наименование | Характеристика | Номер примечания |
1.1 Назначение 1.2 Год постройки, генподрядчик, генпроектировщик 1.3 Год последней реконструкции/кап. ремонта, генподрядчик, генпроектировщик 1.4 Тип сооружения 1.5 Класс сооружения 1.6 Сейсмостойкость, баллы 1.7 Основные размеры: - длина, м - ширина, м - проектная глубина (относительно среднего многолетнего уровня моря), м - площадь, м2 1.8 Расчетный шторм, на который рассчитано сооружение: - повторяемость шторма - высота волн 1% обеспеченности, м - средняя длина волн, м - средний период волн, с | | |
Примечания 1.... 2.... | | |
2 Естественные условия
Наименование | Характеристика | Номер примечания |
2.1 Уровень моря в принятой системе отсчета, м: - максимальный - минимальный - средний многолетний 2.2 Ветер - максимальная скорость, м/с - направление, румб 2.3 Параметры волнения (расчетного шторма): - высота 1% обеспеченности, м - средняя длина, м - средний период, с 2.4 Ледовые условия 2.5 Сейсмичность, баллы 2.6 Грунты основания по расчетному геологическому разрезу сверху вниз | | |
Примечания 1.... 2.... |
3 Описание конструкции и ее основных элементов
Наименование | Характеристика | Номер примечания |
3.1 Тип конструкции 3.2 Описание конструкции 3.3 Изменения в конструкции, внесенные при реконструкции или восстановлении 3.4 Материалы конструкции 3.5 Максимальная и минимальная отметки сооружения 3.6 Габариты конструкции | | |
Примечания 1.... 2.... |
4 Система инструментальных наблюдений
за техническим состоянием сооружения
Наименование | Характеристика | Номер примечания |
4.1 Сеть пунктов геодезических наблюдений: - год создания - характеристика и местоположение опорных геодезических пунктов - план сети опорных геодезических пунктов - характеристика деформационных марок - план сети деформационных марок - дата и результат последних наблюдений 4.2 Контрольно-измерительная аппаратура, заложенная в конструкцию: - год создания - план расположения - конструкция - дата и результат последних наблюдений | | |
Примечания 1.... 2.... |
5 Источники заполнения паспорта
Наименование | Место хранения |
5.1 5.2 | |
6 Перечень графических материалов
Наименование | Масштаб | Страница паспорта |
6.1 Общий вид (фото) 6.2 Ситуационный план расположения сооружения 6.3 План сооружения 6.4 Фасад сооружения 6.5 Поперечные разрезы по участкам с конструктивными различиями и разными геологическими условиями | | |
Примечания 1.... 2.... | | |
Паспорт составил: ______________________
(должность)
______________________
(Ф.И.О.)
"__" _________ 20__ г.
7 Лист регистрации технической документации
пополняемой части паспорта
Номер документа | Наименование | Количество листов | Стр. |
| | | |
(обязательное)
ФОРМА АКТА ОСВИДЕТЕЛЬСТВОВАНИЯ БЕРЕГОЗАЩИТНОГО СООРУЖЕНИЯ
УТВЕРЖДАЮ
Руководитель
специализированной организации
____________ _______________________
(подпись) (расшифровка подписи)
"__" _________ 20__ г.
М.П.
АКТ
освидетельствования берегозащитного сооружения
Организация-заказчик ______________________________________________________
Берегозащитное сооружение _________________________________________________
Руководитель освидетельствования _________________________________________,
(Ф.И.О., должность, организация)
действуя на основании договора от "__" ______ 20__ г. N _________, в период
с "__" ________ 20__ г. по "__" ________ 20__ г. провел освидетельствование
вышеуказанного берегозащитного сооружения, состоящего на балансе
______________________________________, о чем составлен настоящий акт.
(собственник сооружения)
1 Общая характеристика сооружения
Назначение, длина, конструктивные особенности, год постройки, капитального
ремонта, реконструкции; генпроектировщик, генподрядчик, класс сооружения.
2 Проверка технической документации
Контроль соответствия нормативным документам и законодательству Российской
Федерации по составу, форме и порядку ведения документации.
3 Результаты предыдущих освидетельствований сооружения
3.1 Предыдущие освидетельствования (первичные, очередные, внеочередные)
проведены
___________________________________________________________________________
(дата проведения и наименования организаций,
выполнивших освидетельствования)
3.2 Заключение последнего освидетельствования содержит следующие выводы:
___________________________________________________________________________
(перечисление дефектов, рекомендации по их устранению)
3.3 Согласно имеющимся документам приняты следующие меры по устранению
дефектов:
___________________________________________________________________________
(перечень документов, принятых мер)
3.4 За время после предыдущего освидетельствования выполнены следующие
контрольные операции:
__________________________________________________________________________,
(регулярные и периодические технические осмотры,
обследования, другие операции)
документально зафиксированные в ___________________________________________
(перечень документов)
3.5 Согласно этим документам за указанный период выявлены следующие
значительные и критические дефекты и приняты следующие меры по их
устранению:
___________________________________________________________________________
(перечисление дефектов, принятых мер)
4 Перечень воздействий, превышающих нормативные нагрузки, с указанием
документов их регистрации:
___________________________________________________________________________
5 По результатам проверки документации и технического осмотра сооружения
установлено следующее:
5.1 Определено техническое состояние сооружения и его конструктивных
элементов, представленное в прилагаемом Заключении.
5.2 Техническая эксплуатация сооружения соответствует/не соответствует
установленным требованиям/причина несоответствия.
6 Заключение
6.1 По результатам проведенного освидетельствования
___________________________________________________________________________
(наименование, номер сооружения)
признано (не признано) годным к эксплуатации, что подтверждается
прилагаемым Свидетельством.
6.2 Выявленные дефекты и нарушения режима эксплуатации сооружения
предлагается устранить, руководствуясь прилагаемым Извещением.
Приложения:
1 Свидетельство о годности сооружения к эксплуатации.
2 Извещение о необходимости выполнения ремонтных работ, изменения режима
эксплуатации, вывода сооружения из эксплуатации.
3 Заключение о техническом состоянии сооружения.
Проверку произвел:
Руководитель освидетельствования ____________ _______________________
(подпись) (расшифровка подписи)
УДК 69.034.4:006.354 | |
Ключевые слова: берегозащитные сооружения, мониторинг, обследование |