Скачать ГОСТ 17147-80 Горючее ТГ-02. Технические условия

Дата актуализации: 01.01.2021

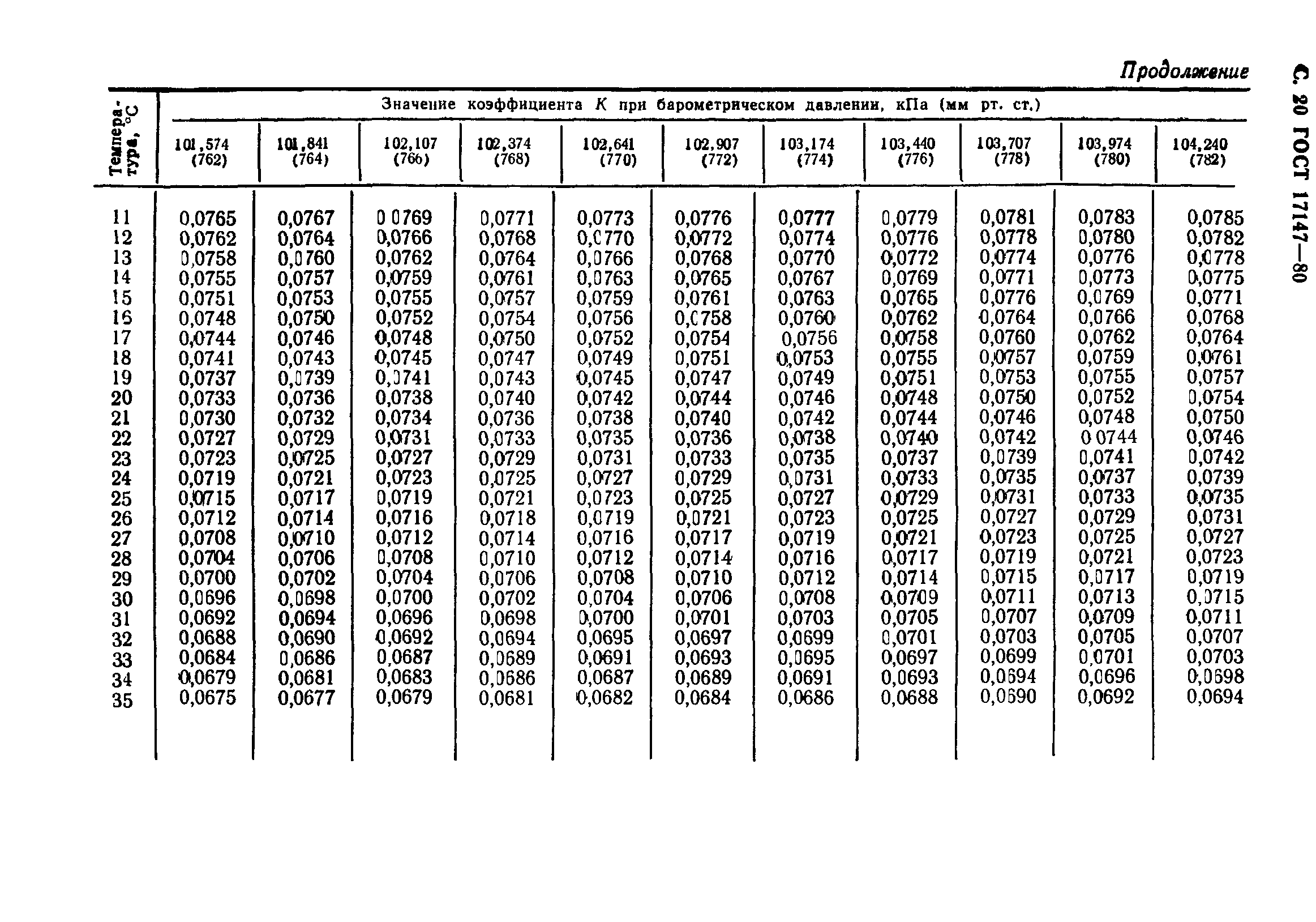
ГОСТ 17147-80

Горючее ТГ-02. Технические условия

Обозначение: ГОСТ 17147-80
Обозначение англ: GOST 17147-80
Статус:действует
Название рус.:Горючее ТГ-02. Технические условия
Название англ.:Fuel TГ-02. Specifications
Дата добавления в базу:01.09.2013
Дата актуализации:01.01.2021
Дата введения:01.07.1982
Область применения:Стандарт распространяется на горючее ТГ-02.
Оглавление:1 Технические требования
2 Требования безопасности
3 Приемка
4 Методы испытаний
5 Упаковка, маркировка, транспортирование и хранение
6 Гарантии изготовителя
7 Указания по эксплуатации
Приложение 1 (Справочное) Пример записи потенциометрического титрования при определении массовой доли суммы ди- и триэтиламинов и ксилидинов
Приложение 2 (Обязательное) Установка для определения массовой доли воды. Колба для определения массовой доли воды с пробкой и ампулой
Приложение 3 (Справочное)
Разработан: Министерство химической промышленности
Утверждён:26.12.1980 Госстандарт СССР (USSR Gosstandart 6015)
Издан: Издательство стандартов (1980 г. )
Издательство стандартов (1993 г. )
Нормативные ссылки:
ГОСТ 17147-80ГОСТ 17147-80ГОСТ 17147-80ГОСТ 17147-80ГОСТ 17147-80ГОСТ 17147-80ГОСТ 17147-80ГОСТ 17147-80ГОСТ 17147-80ГОСТ 17147-80ГОСТ 17147-80ГОСТ 17147-80ГОСТ 17147-80ГОСТ 17147-80ГОСТ 17147-80ГОСТ 17147-80ГОСТ 17147-80ГОСТ 17147-80ГОСТ 17147-80ГОСТ 17147-80ГОСТ 17147-80ГОСТ 17147-80