Скачать ГОСТ 30381-95 Совместимость технических средств электромагнитная. Поглотители электромагнитных волн для экранированных камер. Общие технические условия

Дата актуализации: 01.01.2021

ГОСТ 30381-95

Совместимость технических средств электромагнитная. Поглотители электромагнитных волн для экранированных камер. Общие технические условия

Обозначение: ГОСТ 30381-95
Обозначение англ: GOST 30381-95
Статус:введен впервые
Название рус.:Совместимость технических средств электромагнитная. Поглотители электромагнитных волн для экранированных камер. Общие технические условия
Название англ.:Electromagnetic compatibility of technical means. Specification of electromagnetic waves absorber for shielded chambers
Дата добавления в базу:01.09.2013
Дата актуализации:01.01.2021
Дата введения:01.01.1997
Область применения:Стандарт распространяется на поглотители электромагнитных волн, применяемые для оснащения экранированных камер для обеспечения испытаний технических средств на электромагнитную совместимость в диапазоне частот 0,03-37,5 ГГц. Стандарт не распространяется на поглотители электромагнитных волн, применяемые для оснащения неотапливаемых и подвижных экранированных камер.
Оглавление:1 Типы, основные параметры и размеры
2 Технические требования
3 Правила приемки
4 Методы измерений и испытаний
5 Транспортирование и хранение
6 Правила эксплуатации
7 Гарантии изготовителя
Приложение 1 (справочное) Термины, применяемые в стандарте, и их определения
Приложение 2 (рекомендуемое) Протокол
Приложение 3 (рекомендуемое) Форма акта проведения типовых испытаний
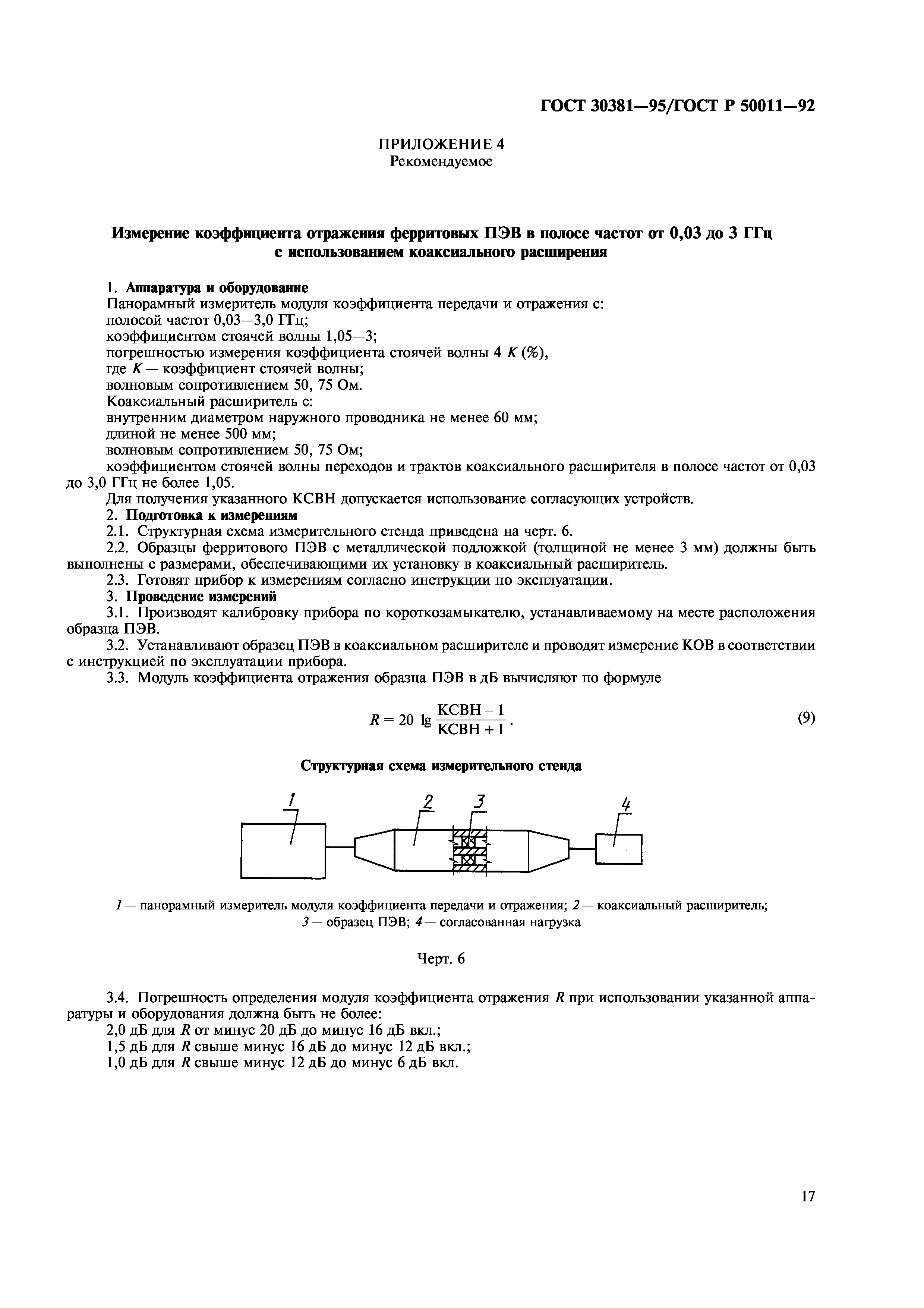
Приложение 4 (рекомендуемое) Измерение коэффициента отражения ферритовых ПЭВ в полосе частот от 0,03 до 3 ГГц с использованием коаксиального расширения
Приложение 5 (обязательное) Протокол радиотехнических испытаний
Приложение 6 (справочное) Перечень отечественных ПЭВ и их основные характеристики
Разработан: ТК 30 ЭМС Технический комитет по стандартизации в области электромагнитной совместимости технических средств
Утверждён:15.05.1996 Госстандарт России (Russian Federation Gosstandart 308)
12.10.1995 Межгосударственный Совет по стандартизации, метрологии и сертификации (Inter-Governmental Council on Standardization, Metrology, and Certification )
Издан: ИПК Издательство стандартов (2005 г. )
Нормативные ссылки:
ГОСТ 30381-95ГОСТ 30381-95ГОСТ 30381-95ГОСТ 30381-95ГОСТ 30381-95ГОСТ 30381-95ГОСТ 30381-95ГОСТ 30381-95ГОСТ 30381-95ГОСТ 30381-95ГОСТ 30381-95ГОСТ 30381-95ГОСТ 30381-95ГОСТ 30381-95ГОСТ 30381-95ГОСТ 30381-95ГОСТ 30381-95ГОСТ 30381-95ГОСТ 30381-95ГОСТ 30381-95ГОСТ 30381-95ГОСТ 30381-95ГОСТ 30381-95