Скачать Методические рекомендации Методические рекомендации по проектированию и строительству грунтовых насыпей на торфяном основании, армированных георешетками Прудон-494 в условиях Западной СибириДата актуализации: 01.01.2021
|
| Обозначение: | Методические рекомендации |
| Обозначение англ: | Recommended Practice |
| Статус: | действует |
| Название рус.: | Методические рекомендации по проектированию и строительству грунтовых насыпей на торфяном основании, армированных георешетками "Прудон-494" в условиях Западной Сибири |
| Дата добавления в базу: | 01.09.2013 |
| Дата актуализации: | 01.01.2021 |
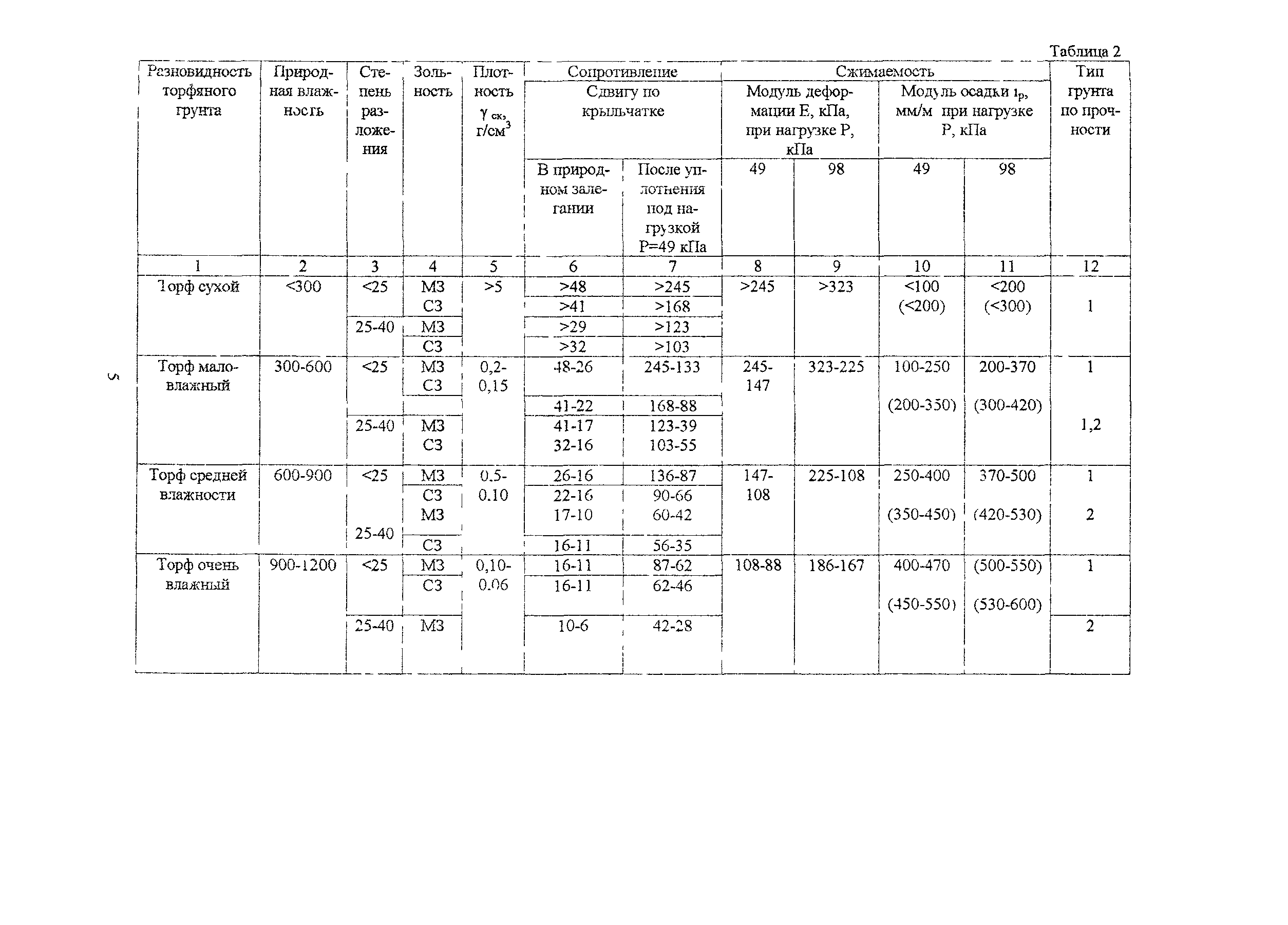
| Оглавление: | 1 Инженерно-геологическая характеристика района применения рекомендаций 3 Расчеты устойчивости насыпи и основания площадки 4 Расчеты прочности конструкции и прогноза осадки армогрунтовой насыпи на торфяном основании 5 Технология возведения армогрунтовой насыпи из объемной георешетки "Прудон-494" 6 Организация труда по сооружению армогрунтовой насыпи 7 Техника безопасности 8 Контроль качества работ. Научное сопровождение. Потребность ресурсов Литература Приложения |
| Разработан: | ЦНИИС |
| Утверждён: | 15.06.2000 ЦНИИС (TsNIIS ) |
| Издан: | ЦНИИС (2000 г. ) |
| Нормативные ссылки: |
|








































