Скачать РД 45.176-2001 Аппаратура связи, реализующая функции коммутации кадров в локальной сети на уровне звена данных. Технические требованияДата актуализации: 01.01.2021
|
| Обозначение: | РД 45.176-2001 |
| Обозначение англ: | RD 45.176-2001 |
| Статус: | действует |
| Название рус.: | Аппаратура связи, реализующая функции коммутации кадров в локальной сети на уровне звена данных. Технические требования |
| Дата добавления в базу: | 01.09.2013 |
| Дата актуализации: | 01.01.2021 |
| Дата введения: | 30.05.2001 |
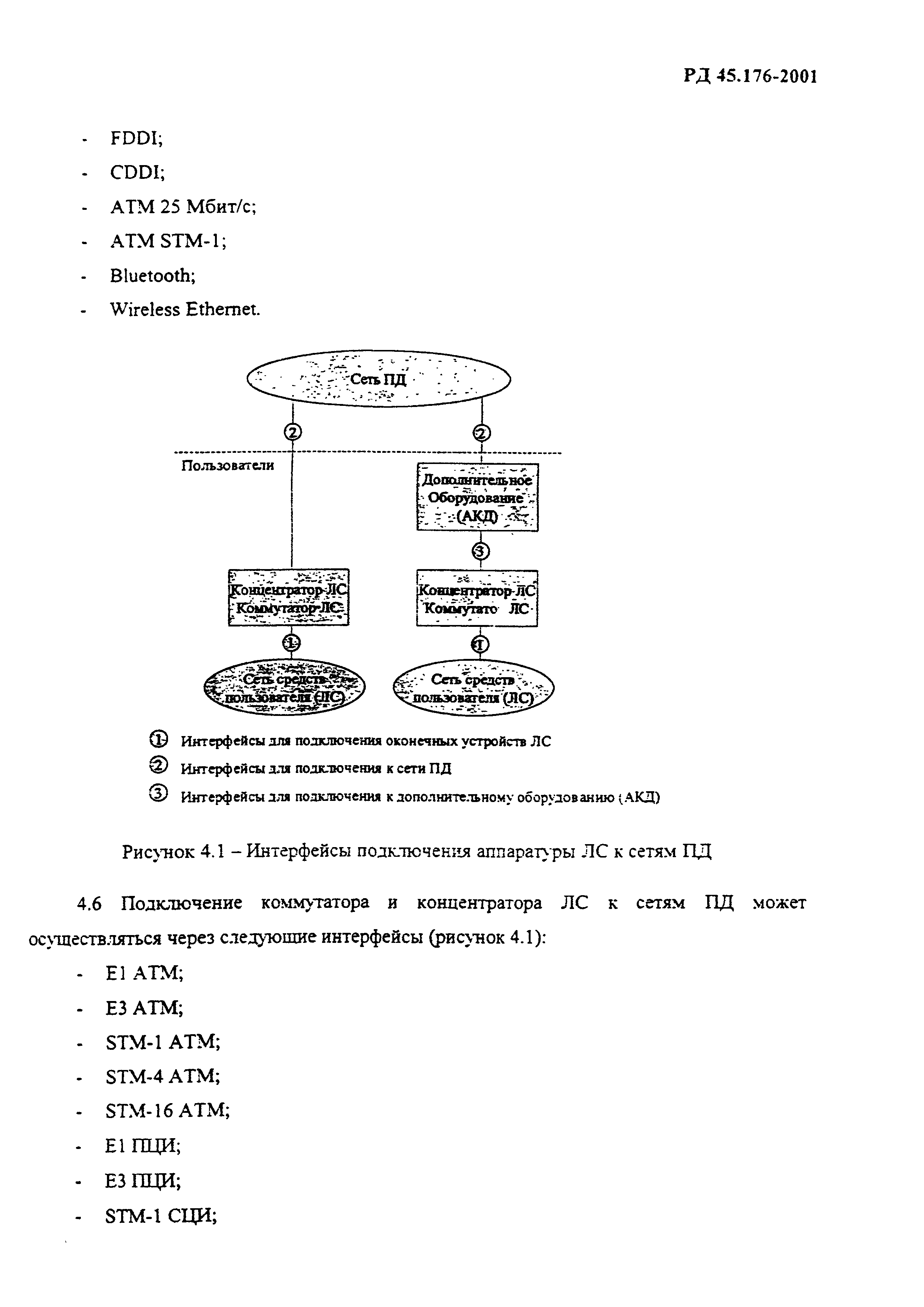
| Область применения: | Руководящий документ предназначен для руководства при проведении сертификационных испытаний аппаратуры, реализующей функции коммутации кадров в локальной сети (ЛС) на уровне звена данных и используемой в составе оконечного оборудования пользователей и оборудования узлов связи сетей передачи данных (ПД) и распространяется на аппаратуру, применяемую на Взаимоувязанной сети связи (ВСС) России. |
| Оглавление: | 1 Область применения 2 Нормативные ссылки 3 Обозначения и сокращения 4 Классификация аппаратуры связи, реализующей функции коммутации кадров в локальной сети на уровне звена данных 5 Применение аппаратуры связи, реализующей функции коммутации кадров в локальной сети на уровне звена данных 6. Общие технические требования к аппаратуре связи, реализующей функции коммутации передаваемых по локальным сетям кадров на уровне звена данных 7. Требования к безопасности персонала 8. Требования к транспортированию и хранению 9. Требования к документации на аппаратуру 10. Требования к методам контроля аппаратуры 11. Указания по эксплуатации аппаратуры 12. Гарантии изготовителя Приложение А Библиография |
| Разработан: | ФГУ Центр научных исследований и экспертизы в области связи |
| Утверждён: | 30.05.2001 Минсвязи России (Russian Federation Minsvyazi ) |
| Принят: | ДЭС Минсвязи России |
| Список изменений: | |
| Нормативные ссылки: |
|



















































Текстовое изменение № 2 от 24.09.2002







Текстовое изменение № 3 от 16.12.2002





