Скачать ГОСТ Р 54446-2011 Нагреватели светового излучения газовые, не предназначенные для бытового применения. Часть 1. Требования безопасностиДата актуализации: 01.01.2021
|
| Обозначение: | ГОСТ Р 54446-2011 |
| Обозначение англ: | GOST R 54446-2011 |
| Статус: | введен впервые |
| Название рус.: | Нагреватели светового излучения газовые, не предназначенные для бытового применения. Часть 1. Требования безопасности |
| Название англ.: | Non domestic gas-fired overhead luminos radiant heate. Part 1. Safety |
| Дата добавления в базу: | 01.09.2013 |
| Дата актуализации: | 01.01.2021 |
| Дата введения: | 01.07.2012 |
| Область применения: | Стандарт устанавливает требования к безопасности, конструкции, характеристикам, методам испытаний, а также классификации и маркировке газовых светлых излучателей с атмосферными горелками для применения в производственных помещениях (далее – аппараты). Стандарт применяется только для аппаратов модели «A1» (см. 4.3). Стандарт не применяется для аппаратов: a) спроектированных для использования в жилых помещениях; b) спроектированных для использования на открытом воздухе; c) с тепловой нагрузкой свыше 120 кВт (в пересчет на теплотворное значение стандартных испытательных газов); d) с горелками с полным предварительным смешиванием газа и воздуха, у которых: - либо газ и весь объем воздух горения соединяются незадолго до зоны сгорания, - либо предварительное смешивание газа с необходимым объемом воздуха для горения происходит в части горелки перед зоной сжигания. Е) у которых подача воздуха для горения и/или отвод отработанных газов осуществляется при помощи встроенных механических приспособлений. Требования стандарта применяется к аппаратам, для проведения испытаний типового образца. Требования к аппаратам, не включенным в типовые испытания, должны быть разработаны дополнительно. Стандарт не содержит требования к аппаратам по эффективному расходу энергии. |
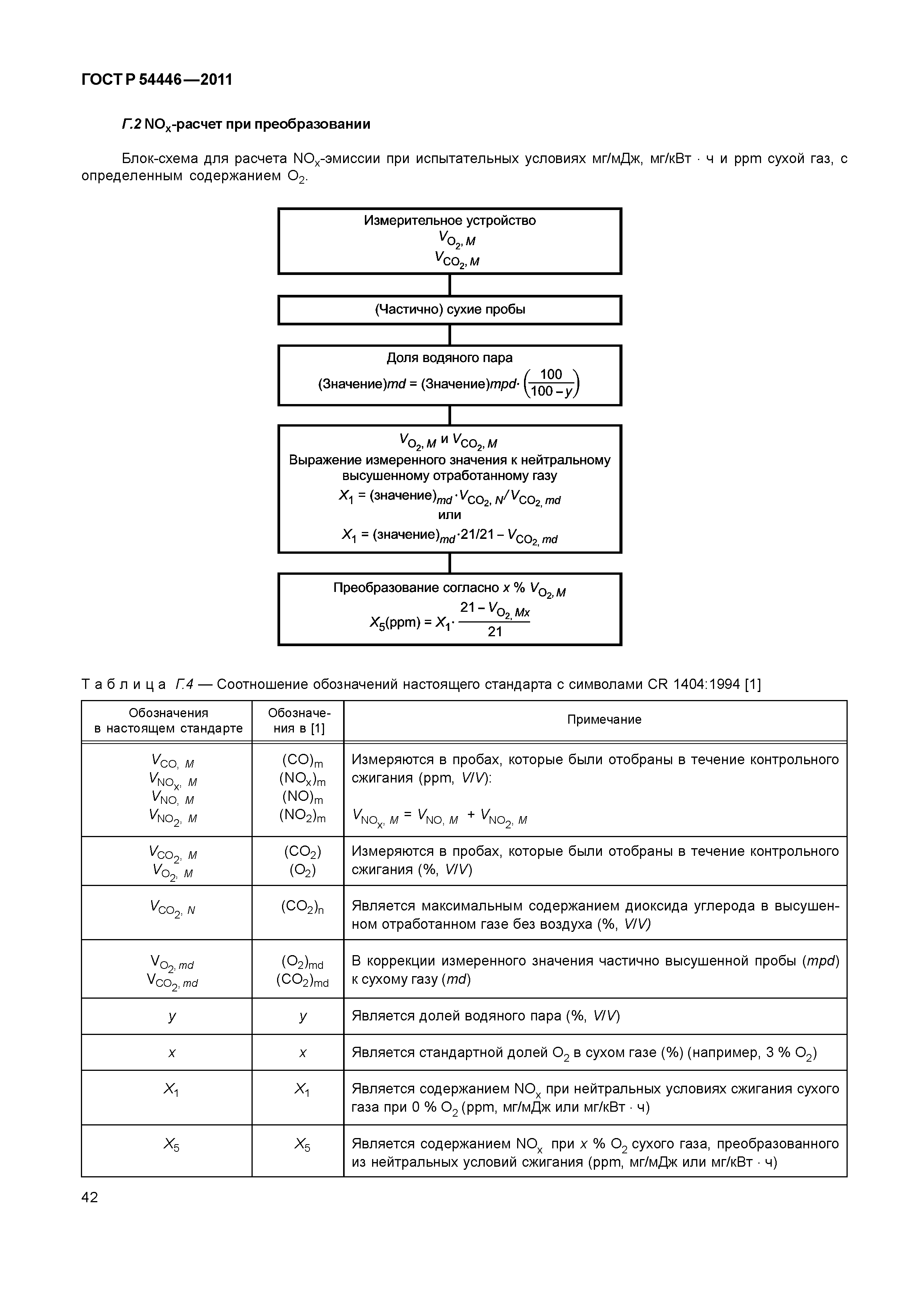
| Оглавление: | 1 Область применения 2 Нормативные ссылки 3 Термины и определения 3.1 Аппарат и его составные части 3.2 Устройства настройки, регулировки и безопасности 3.3 Работа аппарата 3.4 Газы 3.5 Условия работы и измерения 3.6 Страна назначения 4 Классификация аппаратов 4.1 Классификация в соответствии со свойствами применяемых газов 4.2 Классификация в соответствии с газами, которые могут быть использованы 4.3 Классификация по типу отвода отработанных газов 5 Монтажные и конструктивные требования 5.1 Общие положения 5.2 Требования к устройствам настройки, регулировки и защиты 5.3 Устройства зажигания 5.4 Основная горелка 5.5 Штуцера для измерения давления 5.6 Сопла 6 Эксплуатационные требования 6.1 Герметичность газопроводящих деталей 6.2 Тепловые нагрузки 6.3 Предельные температуры 6.4 Розжиг, горение и стабильность пламени 6.5 Устройства контроля пламени 6.6 Регулятор давления газа 6.7 Горение 6.8 Испытание на долговечность 6.9 Измерение содержания угарного газа Nox 7 Методика испытаний 7.1 Общие положения 7.2 Требования безопасности в работе 7.3 Прочие вредные вещества 8 Маркировка и инструкции 8.1 Маркировка аппарата и упаковки 8.2 Инструкции 8.3 Презентация Приложение А (справочное) давление подключения аппаратов Приложение Б (справочное) Положения, относящиеся к равнозначности Приложение В (справочное) Пример расчета факторов взвешивания ступенчатого аппарата Приложение Г (справочное) Расчет преобразования Nox Приложение ZА (справочное) Связь между настоящим стандартом, техническим регламентом «О безопасности аппаратов, работающих на газообразном топливе)), утвержденным Постановлением правительства РФ от 11.02.2010 г. Г 65 и директивой ЕС 90/396/EWG Приложение ДА (справочное) Сведения о соответствии ссылочных национальных и межгосударственных стандартов международным стандартам, использованным в качестве ссылочных в примененном европейском региональном стандарте Библиография |
| Разработан: | ВНИИНМАШ ООО СИЦ ЭТИГАЗ |
| Утверждён: | 28.09.2011 Федеральное агентство по техническому регулированию и метрологии (3940ст) |
| Издан: | Стандартинформ (2012 г. ) |
| Нормативные ссылки: |
|

















































