Скачать ГОСТ Р 55186-2012 Ригели жестких поперечин для контактной сети железнодорожного транспорта. Общие технические условия

Дата актуализации: 01.01.2021

ГОСТ Р 55186-2012

Ригели жестких поперечин для контактной сети железнодорожного транспорта. Общие технические условия

Обозначение: ГОСТ Р 55186-2012
Обозначение англ: GOST R 55186-2012
Статус:отменен
Название рус.:Ригели жестких поперечин для контактной сети железнодорожного транспорта. Общие технические условия
Название англ.:Cross beams of rigid portals for overhead contact line of railway transport. General specifications
Дата добавления в базу:01.10.2014
Дата актуализации:01.01.2021
Дата введения:01.09.2013
Дата окончания срока действия:01.04.2017
Область применения:Стандарт распространяется на ригели жестких поперечин для контактной сети железнодорожного транспорта (далее - ригели) и устанавливает общие технические условия.
Оглавление:1 Область применения
2 Нормативные ссылки
3 Термины и определения
4 Классификация, основные параметры и размеры
5 Технические требования
   5.1 Основные показатели и характеристики
   5.2 Требования к материалам
   5.3 Комплектность
   5.4 Маркировка
6 Правила приемки
7 Методы контроля и испытаний
8 Транспортирование и хранение
9 Указания по эксплуатации
10 Гарантии изготовителя
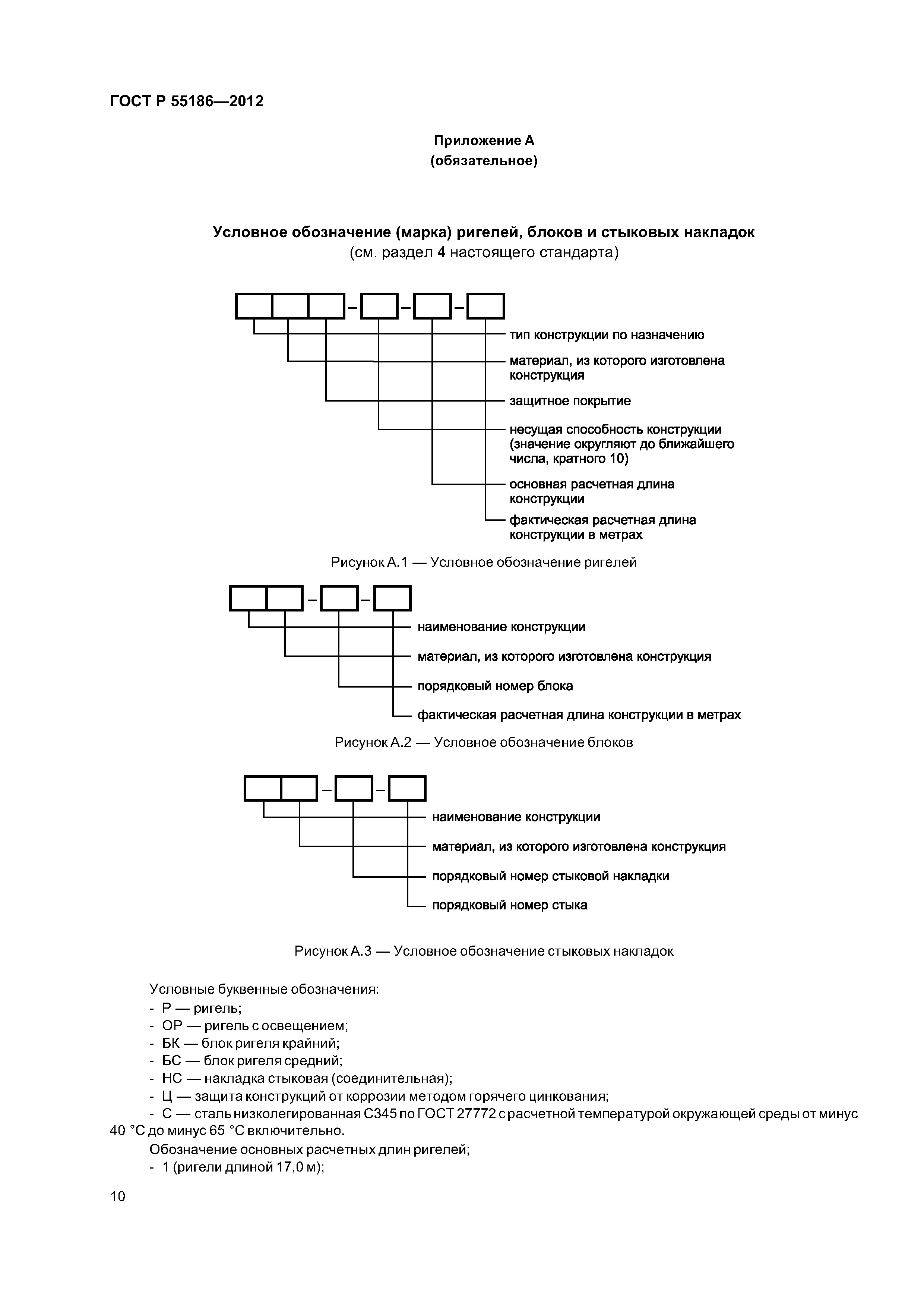
Приложение А (обязательное) Условное обозначение (марка) ригелей, блоков и стыковых накладок
Приложение Б (рекомендуемое) Содержание паспорта
Приложение В (обязательное) Схемы испытаний ригелей
Приложение Г (обязательное) Схемы монтажа ригелей
Библиография
Разработан: ОАО ЦНИИС
Утверждён:26.11.2012 Росстандарт (1165-ст)
Нормативные ссылки:
ГОСТ Р 55186-2012ГОСТ Р 55186-2012ГОСТ Р 55186-2012ГОСТ Р 55186-2012ГОСТ Р 55186-2012ГОСТ Р 55186-2012ГОСТ Р 55186-2012ГОСТ Р 55186-2012ГОСТ Р 55186-2012ГОСТ Р 55186-2012ГОСТ Р 55186-2012ГОСТ Р 55186-2012ГОСТ Р 55186-2012ГОСТ Р 55186-2012ГОСТ Р 55186-2012ГОСТ Р 55186-2012ГОСТ Р 55186-2012ГОСТ Р 55186-2012ГОСТ Р 55186-2012ГОСТ Р 55186-2012ГОСТ Р 55186-2012ГОСТ Р 55186-2012ГОСТ Р 55186-2012