Скачать ГОСТ 8.134-2014 Государственная система обеспечения единства измерений. Метод измерений рН на основе ячеек Харнеда

Дата актуализации: 01.01.2021

ГОСТ 8.134-2014

Государственная система обеспечения единства измерений. Метод измерений рН на основе ячеек Харнеда

Обозначение: ГОСТ 8.134-2014
Обозначение англ: GOST 8.134-2014
Статус:взамен
Название рус.:Государственная система обеспечения единства измерений. Метод измерений рН на основе ячеек Харнеда
Название англ.:State system for ensuring the uniformity of measurements. рН measurement method based on the Harned cells
Дата добавления в базу:21.05.2015
Дата актуализации:01.01.2021
Дата введения:01.07.2015
Область применения:Стандарт распространяется на метод измерений водородного показателя (рН) водных растворов на основе набора ячеек Харнеда в диапазоне рН от 1,679 до 12,454 в интервале температуры от 5° С до 95° С. Метод измерений реализуют в государственных первичных эталонах рН.
Оглавление:1 Область применения
2 Нормативные ссылки
3 Термины и определения
4 Сущность метода измерений
5 Средства измерений
6 Условия измерений
7 Требования безопасности
8 Порядок подготовки и проведение измерений
9 Оформления результатов измерений
10 Оценка неопределенности результатов измерений
Приложение А (справочное) Значения рН эталонных буферных растворов (ЭБР)
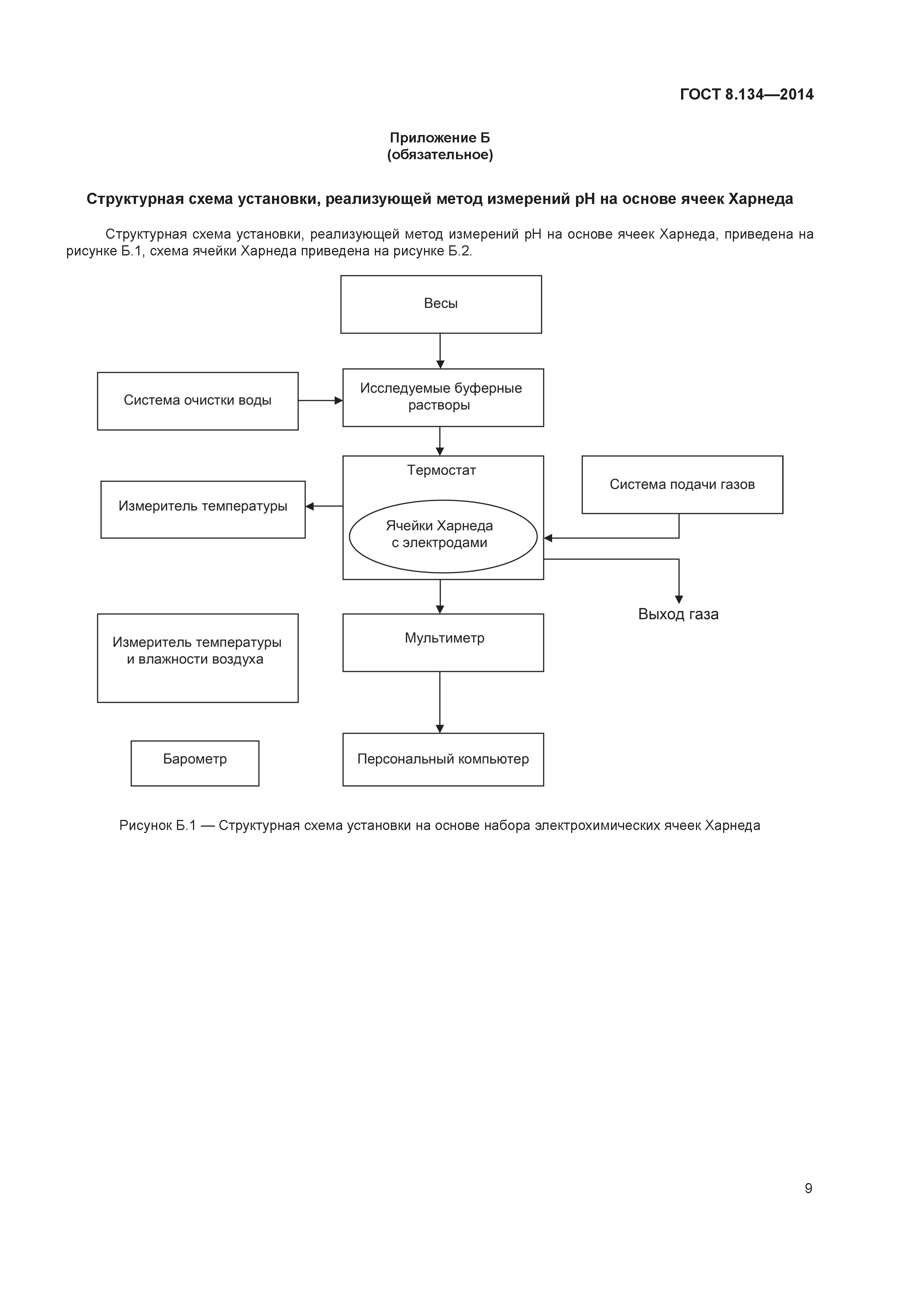
Приложение Б (обязательное) Структурная схема установки, реализующей метод измерений рН на основе ячеек Харнеда
Приложение В (обязательное) Методика очистки электрохимической ячейки
Приложение Г (обязательное) Методика платинирования и палладирования электродов
Приложение Д (обязательное) Методика изготовления хлорсеребряных электродов
Приложение Е (обязательное) Методика измерения потенциала хлорсеребряного электрода
Приложение Ж (обязательное) Методика приготовления контрольных растворов для измерений на установке, состоящей из ячеек Харнеда
Библиография
Разработан: ФГУП ВНИИФТРИ
Утверждён:30.05.2014 Межгосударственный Совет по стандартизации, метрологии и сертификации (Inter-Governmental Council on Standardization, Metrology, and Certification 67-П)
10.07.2014 Федеральное агентство по техническому регулированию и метрологии (788-ст)
Издан: Стандартинформ (2014 г. )
Стандартинформ (2019 г. )
Заменяет собой:
Нормативные ссылки:
ГОСТ 8.134-2014ГОСТ 8.134-2014ГОСТ 8.134-2014ГОСТ 8.134-2014ГОСТ 8.134-2014ГОСТ 8.134-2014ГОСТ 8.134-2014ГОСТ 8.134-2014ГОСТ 8.134-2014ГОСТ 8.134-2014ГОСТ 8.134-2014ГОСТ 8.134-2014ГОСТ 8.134-2014ГОСТ 8.134-2014ГОСТ 8.134-2014ГОСТ 8.134-2014ГОСТ 8.134-2014ГОСТ 8.134-2014ГОСТ 8.134-2014ГОСТ 8.134-2014ГОСТ 8.134-2014ГОСТ 8.134-2014ГОСТ 8.134-2014