Скачать ГОСТ Р ИСО/ТС 10303-1126-2014 Системы автоматизации производства и их интеграция. Представление данных об изделии и обмен этими данными. Часть 1126. Прикладной модуль. Свойства документа

Дата актуализации: 01.01.2021

ГОСТ Р ИСО/ТС 10303-1126-2014

Системы автоматизации производства и их интеграция. Представление данных об изделии и обмен этими данными. Часть 1126. Прикладной модуль. Свойства документа

Обозначение: ГОСТ Р ИСО/ТС 10303-1126-2014
Обозначение англ: GOST R ISO/TS 10303-1126-2014
Статус:введен впервые
Название рус.:Системы автоматизации производства и их интеграция. Представление данных об изделии и обмен этими данными. Часть 1126. Прикладной модуль. Свойства документа
Название англ.:Industrial automation systems and integration. Product data representation and exchange. Part 1126. Application module. Document properties
Дата добавления в базу:21.05.2015
Дата актуализации:01.01.2021
Дата введения:01.08.2015
Область применения:Стандарт определяет прикладной модуль «Свойства документа». В область применения стандарта входят: - задание свойств отдельного представления документа некоторой версии; - задание свойств файла; - описание присущих документу свойств; - описание представления присущих документу свойств. В область применения стандарта не входит обозначение документов и версий документов.
Оглавление:1 Область применения
2 Нормативные ссылки
3 Термины и сокращения
4 Информационные требования
5 Интерпретированная модель модуля
Приложение А (обязательное) Сокращенные наименования объектов ИММ
Приложение В (обязательное) Регистрация информационных объектов
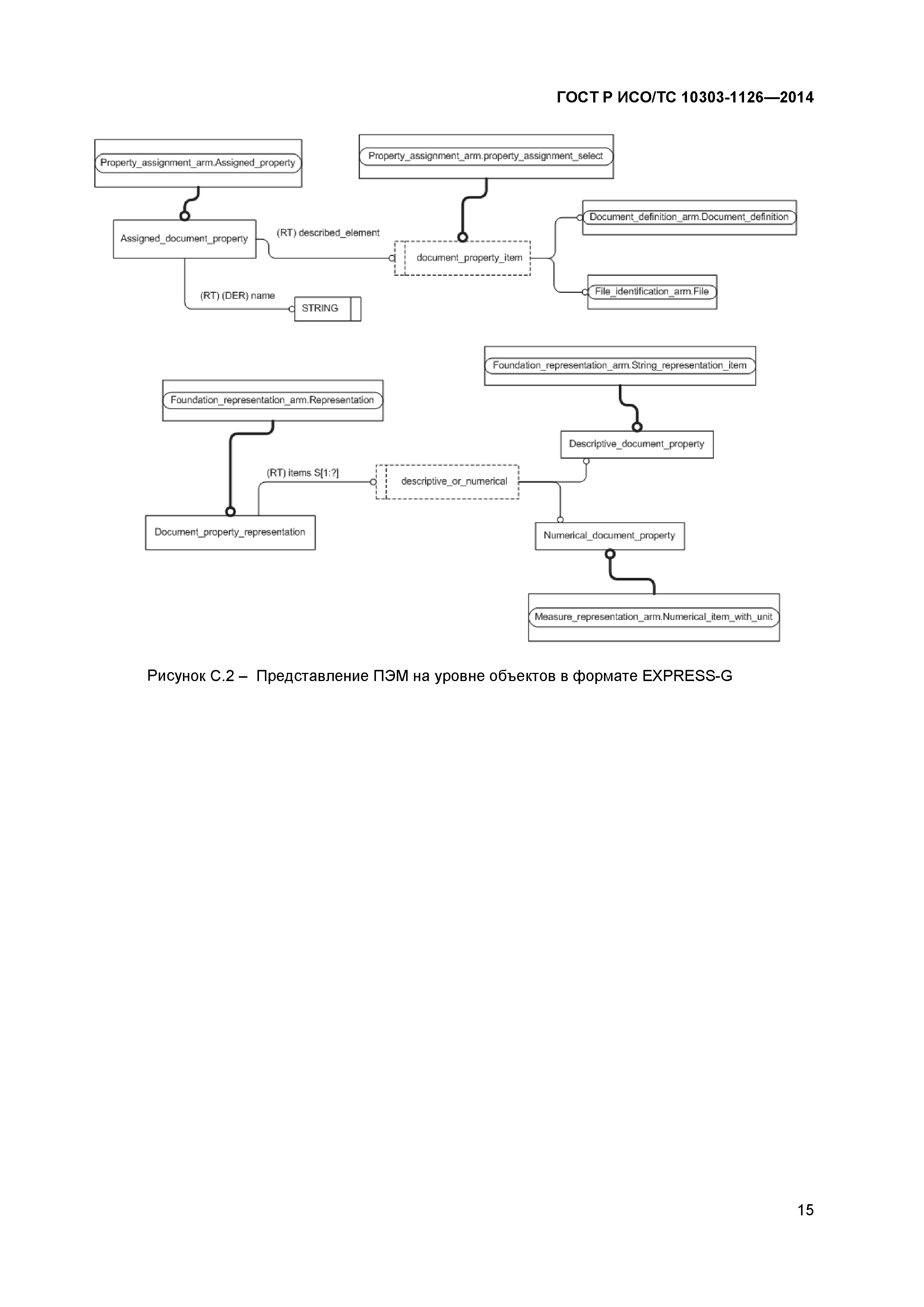
Приложение С (справочное) EXPRESS-G диаграммы ПЭМ
Приложение D (справочное) EXPRESS-G диаграмма ИММ
Приложение Е (справочное) Машинно-интерпретируемые листинги
Приложение ДА (справочное) Сведения о соответствии ссылочных международных стандартов и документов национальным стандартам Российской Федерации
Библиография
Разработан: ФБУ Консультационно-внедренческая фирма в области международной стандартизации и сертификации - Фирма ИНТЕРСТАНДАРТ
Утверждён:05.09.2014 Федеральное агентство по техническому регулированию и метрологии (986-ст)
Издан: Стандартинформ (2015 г. )
Нормативные ссылки:
ГОСТ Р ИСО/ТС 10303-1126-2014ГОСТ Р ИСО/ТС 10303-1126-2014ГОСТ Р ИСО/ТС 10303-1126-2014ГОСТ Р ИСО/ТС 10303-1126-2014ГОСТ Р ИСО/ТС 10303-1126-2014ГОСТ Р ИСО/ТС 10303-1126-2014ГОСТ Р ИСО/ТС 10303-1126-2014ГОСТ Р ИСО/ТС 10303-1126-2014ГОСТ Р ИСО/ТС 10303-1126-2014ГОСТ Р ИСО/ТС 10303-1126-2014ГОСТ Р ИСО/ТС 10303-1126-2014ГОСТ Р ИСО/ТС 10303-1126-2014ГОСТ Р ИСО/ТС 10303-1126-2014ГОСТ Р ИСО/ТС 10303-1126-2014ГОСТ Р ИСО/ТС 10303-1126-2014ГОСТ Р ИСО/ТС 10303-1126-2014ГОСТ Р ИСО/ТС 10303-1126-2014ГОСТ Р ИСО/ТС 10303-1126-2014ГОСТ Р ИСО/ТС 10303-1126-2014ГОСТ Р ИСО/ТС 10303-1126-2014ГОСТ Р ИСО/ТС 10303-1126-2014ГОСТ Р ИСО/ТС 10303-1126-2014ГОСТ Р ИСО/ТС 10303-1126-2014