Скачать ГОСТ Р ИСО 10303-45-2000 Системы автоматизации производства и их интеграция. Представление данных об изделии и обмен этими данными. Часть 45. Интегрированные обобщенные ресурсы. МатериалыДата актуализации: 01.01.2021
|
| Обозначение: | ГОСТ Р ИСО 10303-45-2000 |
| Обозначение англ: | GOST R ISO 10303-45-2000 |
| Статус: | заменен |
| Название рус.: | Системы автоматизации производства и их интеграция. Представление данных об изделии и обмен этими данными. Часть 45. Интегрированные обобщенные ресурсы. Материалы |
| Название англ.: | Industrial automation systems and inregration. Product data representation and exchange. Part 45. Integrated generic resource. Materials |
| Дата добавления в базу: | 01.09.2013 |
| Дата актуализации: | 01.01.2021 |
| Дата введения: | 01.07.2001 |
| Дата окончания срока действия: | 01.05.2013 |
| Область применения: | Стандарт определяет структуры ресурсов для свойств материалов изделия и характеристику значения числовых данных как при их неопределенности (допустимости), так и при их достоверности (однозначности). |
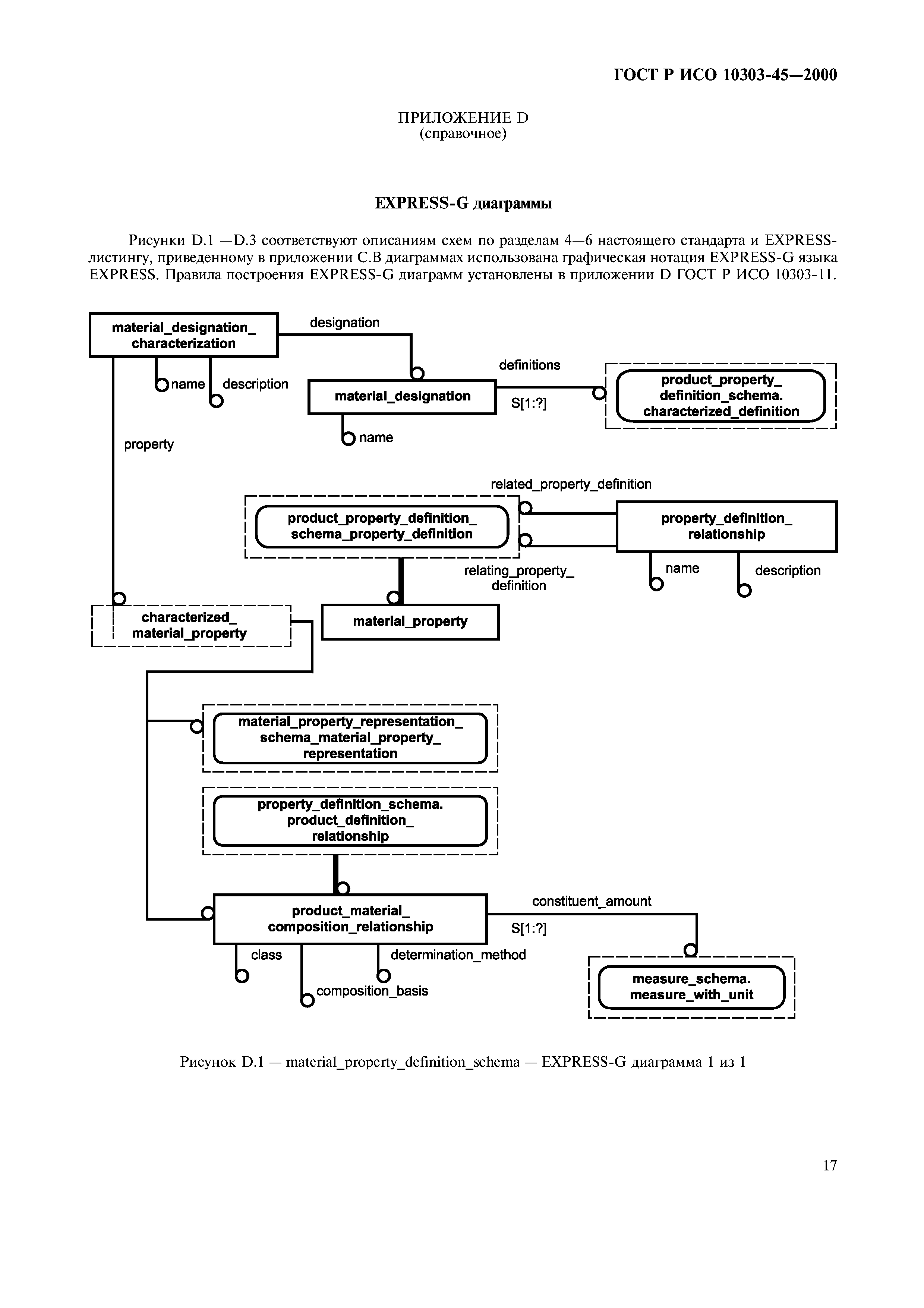
| Оглавление: | 1 Область применения 2 Нормативные ссылки 3 Определения 3.1 Термины. Определенные в ГОСТ Р ИСО 10303-1 3.2 Термины, определенные в Руководстве по выражению неопределенности (допустимости) в измерении 3.3 Другие определения 4 material_property_definition_schema 4.1 Введение 4.2 Фундаментальные понятия и допущения 4.3 Описание типа characterized_material_property для property_definition_schema 4.4 Описание объектов material_property_definition_schema 4.5 Определение функции acyclic_property_definition_relationship для material_property_definition_schema 5 material_property_representation_schema 5.1 Введение 5.2 Фундаментальные понятия и допущения 5.3 Описания объектов material_property_representation_schema 6 qualified_measure_schema 6.1 Введение 6.2 Фундаментальные понятия и допущения 6.3 Описание типа value_qualifier для qualified_measure_schema 6.4 Описания объектов qualified_measure_schema Приложение А Сокращенные наименования объектов Приложение В Регистрация информационного объекта В. 1 Обозначение документа В.2 Обозначение схемы Приложение С EXPRESS-листинг Приложение D EXPRESS-G диаграммы Приложение Е Область применения модели Е. 1 Введение Е.2 Пример изделия Е.3 Маркировка материала Е.4 Состав материалов изделия Е.5 Свойства материалов и условия измерений Е.6 Свойства зон изделия Е.7 Структура материала Е.8 Квалификация свойств Е.9 другие требования Приложение F Библиография Указатель |
| Разработан: | ВНИИстандарт |
| Утверждён: | 14.11.2000 Госстандарт России (Russian Federation Gosstandart 293-ст) |
| Издан: | ИПК Издательство стандартов (2001 г. ) |
| Нормативные ссылки: |
|































