Скачать ГОСТ Р 56124.7.1-2014 Возобновляемая энергетика. Гибридные электростанции на основе возобновляемых источников энергии, предназначенные для сельской электрификации. Рекомендации. Часть 7-1. Генераторы. Фотоэлектрические батареиДата актуализации: 01.01.2021 ГОСТ Р 56124.7.1-2014
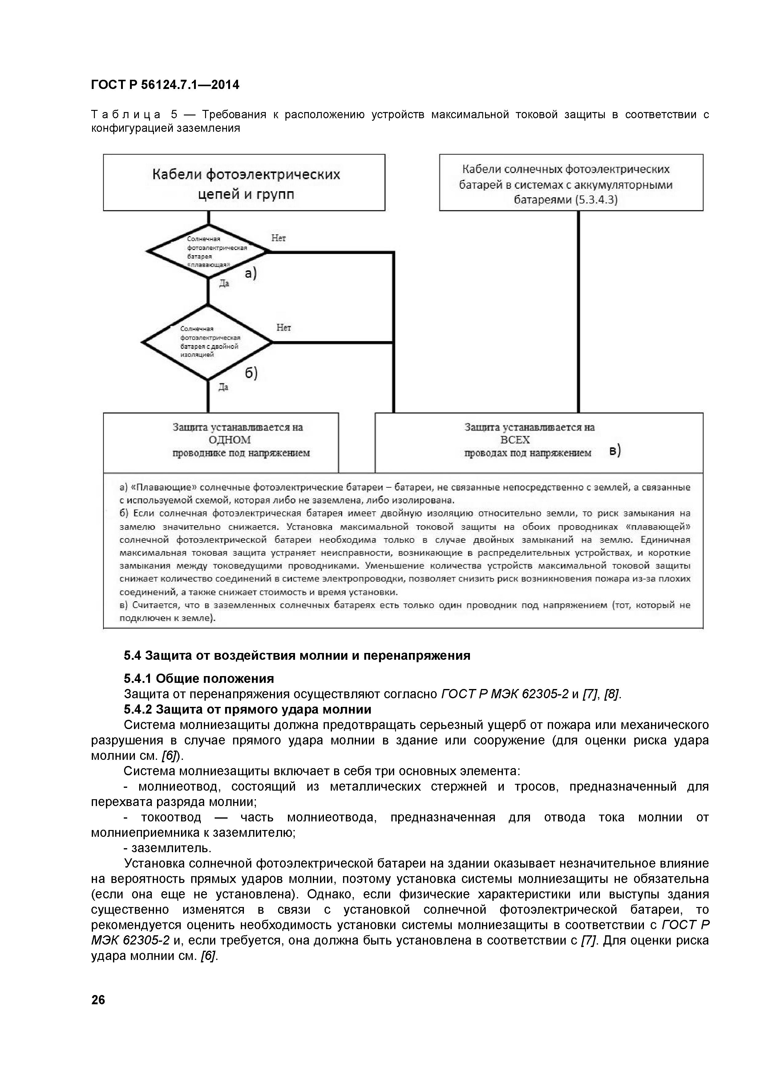
Возобновляемая энергетика. Гибридные электростанции на основе возобновляемых источников энергии, предназначенные для сельской электрификации. Рекомендации. Часть 7-1. Генераторы. Фотоэлектрические батареи| Обозначение: | ГОСТ Р 56124.7.1-2014 | | Обозначение англ: | GOST R 56124.7.1-2014 | | Статус: | введен впервые | | Название рус.: | Возобновляемая энергетика. Гибридные электростанции на основе возобновляемых источников энергии, предназначенные для сельской электрификации. Рекомендации. Часть 7-1. Генераторы. Фотоэлектрические батареи | | Название англ.: | Renewable power engineering. Recommendations for small renewable energy and hybrid systems for rural electrification. Part 7-1. Generators. Photovoltaic generators | | Дата добавления в базу: | 21.05.2015 | | Дата актуализации: | 01.01.2021 | | Дата введения: | 01.07.2016 | | Область применения: | Стандарт устанавливает общие требования к конструкции и безопасности генераторов, используемых в децентрализованных системах электроснабжения сельских объектов (децентрализованных потребителей). | | Оглавление: | 1 Область применения 2 Нормативные ссылки 3 Термины, определения и обозначения 3.1 Термины и определения 3.2 Обозначения 4 Проектирование 4.1 Проектирование электрической части 4.2 Проектирование механической части 5 Безопасность 5.1 Общие положения 5.2 Защита от поражения электрическим током 5.3 Максимальная токовая защита 5.4 Защита от воздействия молнии и перенапряжения 6 Выбор и монтаж электрооборудования 6.1 Требования по составу 6.2 Требования к месторасположению и установке электрооборудования 7 Приемка 7.1 Общие положения 7.2 Соответствие спецификации 7.3 Надежность электропроводки и оборудования 7.4 Напряжение холостого хода 7.5 Измерение напряжения холостого хода для солнечных фотоэлектрических батарей с большим количеством фотоэлектрических цепей 7.6 Измерение тока короткого замыкания 7.7 Протокол ввода в эксплуатацию 8 Эксплуатация/обслуживание 8.1 Общие положения 8.2 Безопасность 8.3 Процедуры эксплуатации и технического обслуживания 9 Замена 10 Маркировка и документация 10.1 Маркировка электрооборудования 10.2 Требования к знакам 10.3 Маркировка распределительных коробок солнечных фотоэлектрических батарей и фотоэлектрических группы 10.4 Маркировка отключающих устройств 10.5 Информационные знаки, предупреждающие об опасности пожара 10.6 Документация Приложение А (справочное) Пример протокола ввода в эксплуатацию Приложение Б (справочное) Пример графика технического обслуживания Приложение В (справочное) Замена Приложение Г (справочное) Примеры знаков Приложение Д (справочное) Примеры определения защитных устройств и размеров кабелей для фотоэлектрических систем небольшой мощности Приложение Е (справочное) двойное переключение в солнечной фотоэлектрической батарее Приложение ДА (справочное) Сведения о соответствии ссылочных национальных и межгосударственных стандартов международным стандартам, использованным в качестве ссылочных в примененном международном документе Библиография | | Разработан: | ОАО НИИЭС
| | Утверждён: | 19.11.2014 Федеральное агентство по техническому регулированию и метрологии (1690-ст)
| | Издан: | Стандартинформ (2015 г. )
| | Нормативные ссылки: |   ГОСТ 14254-96 «Степени защиты, обеспечиваемые оболочками (код IP)» ГОСТ Р МЭК 61140-2000 «Защита от поражения электрическим током. Общие положения по безопасности, обеспечиваемой электрооборудованием и электроустановками в их взаимосвязи»  ГОСТ Р МЭК 60050-195-2005 «Заземление и защита от поражения электрическим током. Термины и определения»  ГОСТ Р МЭК 60287-1-3-2009 «Кабели электрические. Расчет номинальной токовой нагрузки. Часть 1-3. Уравнения для расчета номинальной токовой нагрузки (100 %-ный коэффициент нагрузки) и расчет потерь. Распределение тока между одножильными кабелями, расположенными параллельно, и расчет потерь, обусловленных циркулирующими токами»  ГОСТ Р МЭК 60287-1-1-2009 «Кабели электрические. Вычисление номинальной токовой нагрузки. Часть 1-1. Уравнения для расчета номинальной токовой нагрузки (100 %-ный коэффициент нагрузки) и расчет потерь. Общие положения»  ГОСТ Р МЭК 60287-1-2-2009 «Кабели электрические. Расчет номинальной токовой нагрузки. Часть 1-2. Уравнения для расчета номинальной токовой нагрузки (100 %-ный коэффициент нагрузки) и расчет потерь. Коэффициенты потерь, обусловленных вихревыми токами в оболочке, для двух цепей, расположенных в одной плоскости»  ГОСТ Р МЭК 60287-2-1-2009 «Кабели электрические. Расчет номинальной токовой нагрузки. Часть 2-1. Тепловое сопротивление. Расчет теплового сопротивления»  ГОСТ Р МЭК 60287-2-2-2009 «Кабели электрические. Расчет номинальной токовой нагрузки. Часть 2-2. Тепловое сопротивление. Метод расчета коэффициентов снижения допустимой токовой нагрузки для групп кабелей, проложенных на воздухе и защищенных от прямого солнечного излучения» ГОСТ Р МЭК 60050-826-2009 «Установки электрические. Термины и определения»  ГОСТ Р 50571.3-2009 «Электроустановки низковольтные. Часть 4-41. Требования для обеспечения безопасности. Защита от поражения электрическим током»  ГОСТ Р МЭК 62305-2-2010 «Менеджмент риска. Защита от молнии. Часть 2. Оценка риска»  ГОСТ Р МЭК 60287-3-2-2011 «Кабели электрические. Расчет номинальной токовой нагрузки. Часть 3-2. Разделы, касающиеся условий эксплуатации. Экономическая оптимизация размера силовых кабелей»  ГОСТ Р МЭК 60287-3-3-2011 «Кабели электрические. Расчет номинальной токовой нагрузки. Часть 3-3. Разделы, касающиеся условий эксплуатации. Кабели, пересекающие внешние источники тепла» ГОСТ Р 50571.5.54-2011 «Электроустановки низковольтные. Часть 5-54. Выбор и монтаж электрооборудования. Заземляющие устройства, защитные проводники и проводники уравнивания потенциалов»  ГОСТ Р МЭК 61643-12-2011 «Устройства защиты от импульсных перенапряжений низковольтные. Часть 12. Устройства защиты от импульсных перенапряжений в низковольтных силовых распределительных системах. Принципы выбора и применения»  ГОСТ Р 50571.5.53-2013 «Электроустановки низковольтные. Часть 5-53. Выбор и монтаж электрооборудования. Отделение, коммутация и управление» ГОСТ Р МЭК 61829-2013 «Батареи фотоэлектрические из кристаллического кремния. Измерение вольт-амперных характеристик в натурных условиях» ГОСТ Р МЭК 61646-2013 «Модули фотоэлектрические тонкопленочные наземные. Порядок проведения испытаний для подтверждения соответствия функциональным характеристикам»  ГОСТ Р МЭК 61730-1-2013 «Модули фотоэлектрические. Оценка безопасности. Часть 1. Требования к конструкции» ГОСТ Р 56124.1-2014 «Возобновляемая энергетика. Гибридные электростанции на основе возобновляемых источников энергии, предназначенные для сельской электрификации. Рекомендации. Часть 1. Общее введение для сельской электрификации» ГОСТ Р 56124.5-2014 «Возобновляемая энергетика. Гибридные электростанции на основе возобновляемых источников энергии, предназначенные для сельской электрификации. Рекомендации. Часть 5. Электробезопасность»
|
                                                                      
|