Скачать ГОСТ Р 56427-2015 Пайка электронных модулей радиоэлектронных средств. Автоматизированный смешанный и поверхностный монтаж с применением бессвинцовой и традиционной технологий. Технические требования к выполнению технологических операцийДата актуализации: 01.01.2021
|
| Обозначение: | ГОСТ Р 56427-2015 |
| Обозначение англ: | GOST R 56427-2015 |
| Статус: | введен впервые |
| Название рус.: | Пайка электронных модулей радиоэлектронных средств. Автоматизированный смешанный и поверхностный монтаж с применением бессвинцовой и традиционной технологий. Технические требования к выполнению технологических операций |
| Название англ.: | Soldering of electronic modules of radio-electronic means. Automated mixed and surface mounting using lead-free and conventional technology. Technical requirements for the implementation of technological operations |
| Дата добавления в базу: | 12.02.2016 |
| Дата актуализации: | 01.01.2021 |
| Дата введения: | 01.09.2015 |
| Область применения: | Стандарт распространяется на электронные модули радиоэлектронных средств и устанавливает технические требования к выполнению технологических операций пайки электронных модулей радиоэлектронных средств при автоматизированном смешанном и поверхностном монтаже с применением бессвинцовой и традиционной технологии. |
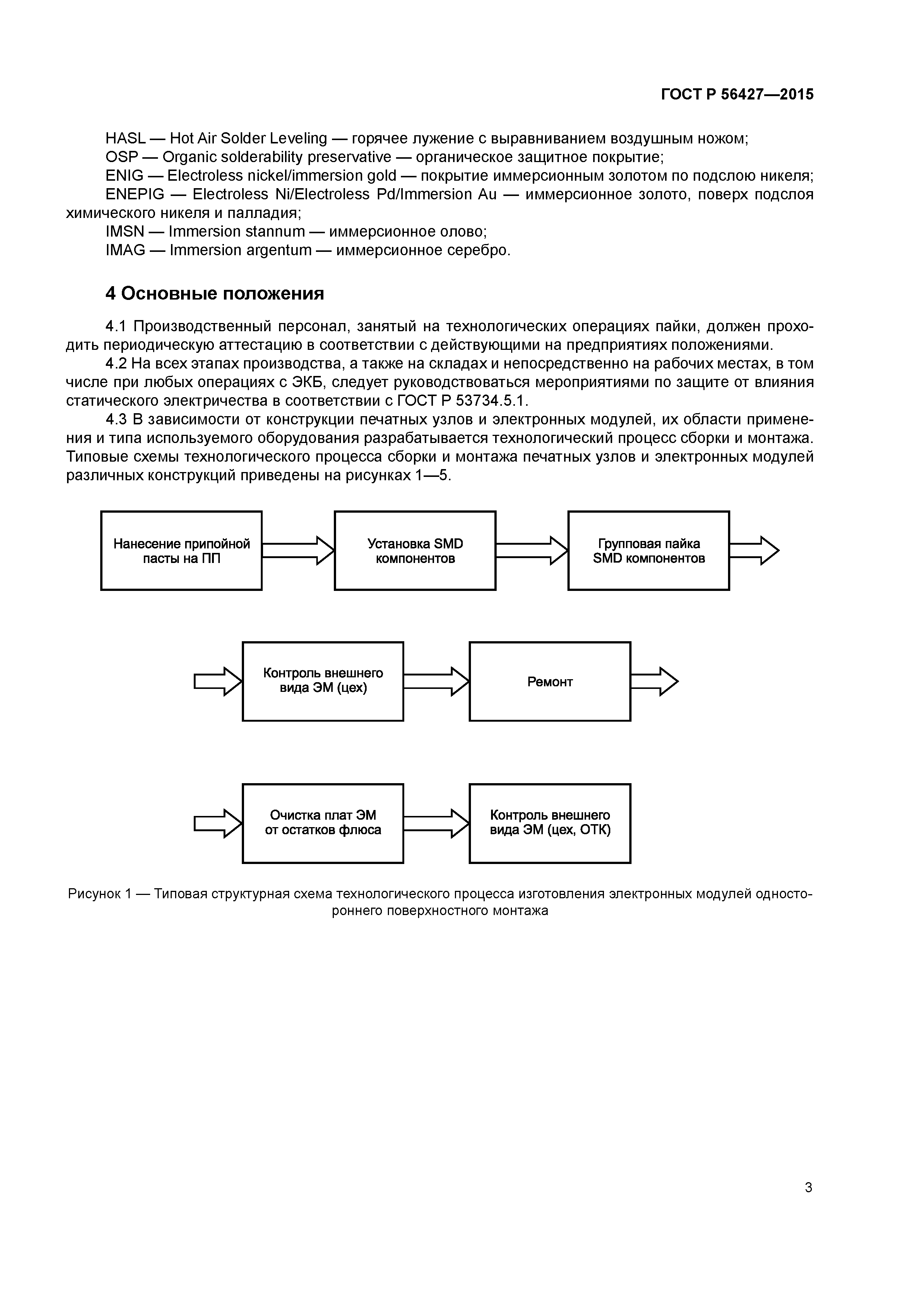
| Оглавление: | 1 Область применения 2 Нормативные ссылки 3 Термины, определения и сокращения 3.1 Термины и определения 3.2 Сокращения 4 Основные положения 5 Общие требования к технологии пайки электронных модулей радиоэлектронных средств 5.1 Общие требования 5.2 Общие требования к применяемым материалам 5.3 Общие требования к применяемой электронной компонентной базе 5.4 Общие требования к финишным покрытиям контактных площадок печатных плат 6 Требования к электронной компонентной базе 6.1 Требования к механической обработке выводов компонентов 6.2 Требования по предварительному лужению и финишным покрытиям выводов компонентов 6.3 Требования к визуальному осмотру компонентов 6.4 Требования к сушке электронных компонентов 6.5 Требования к реболлингу компонентов с матричными выводами 6.6 Требования к маркировке и упаковке поверхностно-монтируемых изделий электронной компонентной базы 7 Требования к печатным платам 7.1 Требования к финишным покрытиям контактных площадок печатных плат 7.2 Требования к реперным знакам на печатной плате 7.3 Общие требования к защитным паяльным маскам 7.4 Требования к материалам печатных плат 7.5 Требования к сушке печатных плат перед пайкой 7.6 Требования к хранению печатных плат 8 Требования к технологическим материалам 8.1 Требования к припойной пасте 8.2 Требования к флюсам 8.3 Требования к отмывочным жидкостям 9 Технические требования, предъявляемые к выполнению технологических операций поверхностного и смешанного монтажа электронной компонентной базы широкой номенклатуры на печатные платы 9.1 Требования к установке компонентов 9.2 Требования к монтажу компонентов в отверстие 9.3 Требования по дозированному нанесению припойной пасты 9.4 Требование к пайке оплавлением 9.5 Требования к качеству паяных соединений 9.6 Требования к анализу дефектов компонентов с матричными выводами после пайки 10 Требования безопасности 11 Охрана природы |
| Разработан: | ОАО Авангард ЗАО Авангард-ТехСт |
| Утверждён: | 10.06.2015 Федеральное агентство по техническому регулированию и метрологии (627-ст) |
| Издан: | Стандартинформ (2015 г. ) |
| Нормативные ссылки: |
|

































