Скачать ГОСТ Р ИСО/ТС 10303-1738-2015 Системы автоматизации производства и их интеграция. Представление данных об изделии и обмен этими данными. Часть 1738. Прикладной модуль. Обозначение дополнительных данных об изделииДата актуализации: 01.01.2021
|
| Обозначение: | ГОСТ Р ИСО/ТС 10303-1738-2015 |
| Обозначение англ: | GOST R ISO/TS 10303-1738-2015 |
| Статус: | введен впервые |
| Название рус.: | Системы автоматизации производства и их интеграция. Представление данных об изделии и обмен этими данными. Часть 1738. Прикладной модуль. Обозначение дополнительных данных об изделии |
| Название англ.: | Industrial automation systems and integration. Product data representation and exchange. Part 1738. Application module. Product identification extension |
| Дата добавления в базу: | 01.02.2017 |
| Дата актуализации: | 01.01.2021 |
| Дата введения: | 01.10.2016 |
| Область применения: | Стандарт определяет прикладной модуль «Обозначение дополнительных данных об изделии». В область применения стандарта входят: - обозначение изделия для библиотечных составных частей; - положения, входящие в область применения прикладного модуля ISO/TS 10303-1128 External iten integration assignment; - положения, входящие в область применения прикладного модуля ISO/TS 10303-1019 Product view definition. |
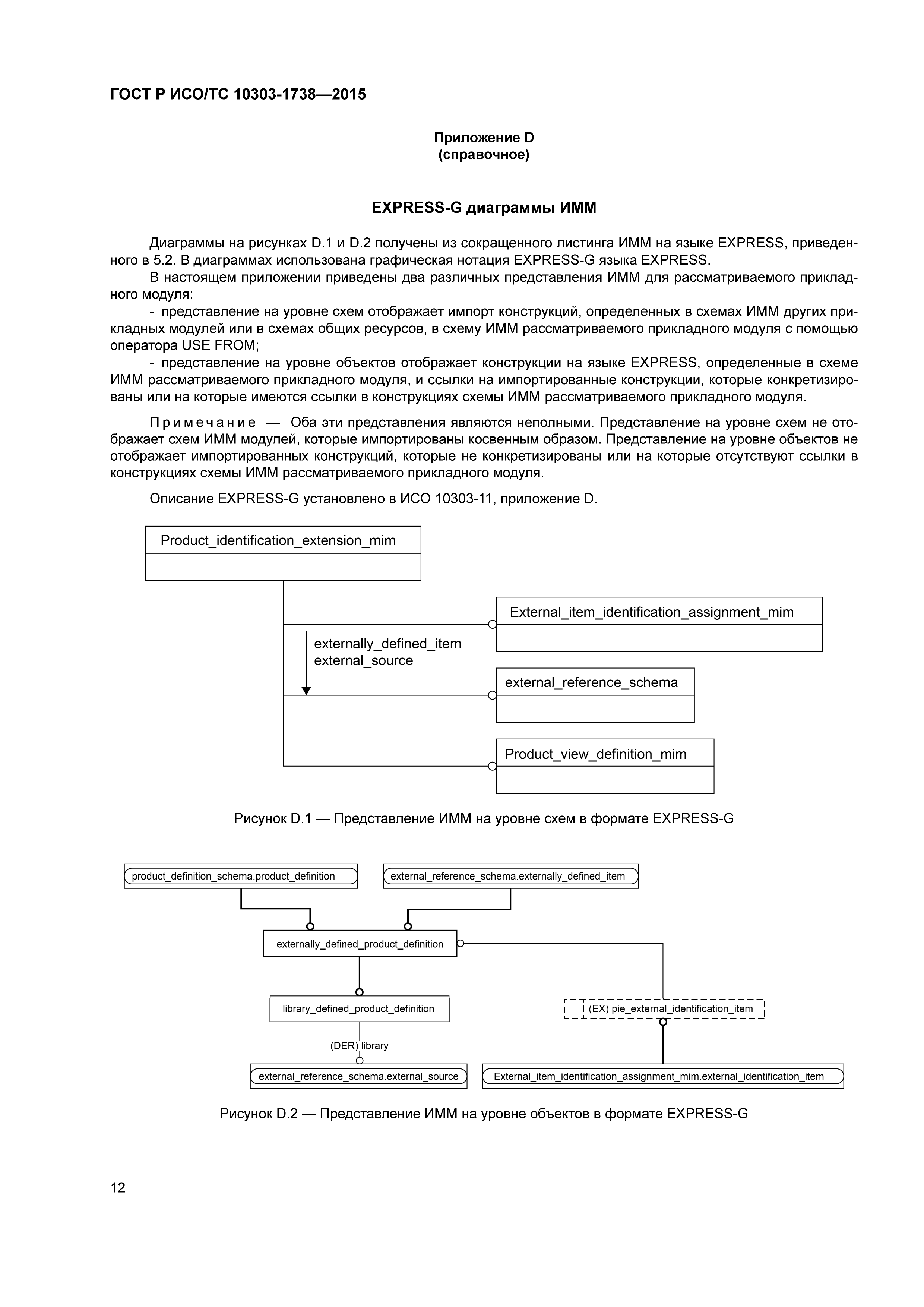
| Оглавление: | 1 Область применения 2 Нормативные ссылки 3 Термины и сокращения 3.1 Термины, определенные в ИСО 10303-1 3.2 Термин, определенный в ИСО 10303-202 3.3 Термины, определенные в ISO/TS 10303-1001 3.4 Термин, определенный в ISO/TS 10303-1017 3.5 Сокращения 4 Информационные требования 4.1 ПЭМ, необходимые для прикладного модуля 4.2 Определение типа данных ПЭМ 4.3 Определение объектов ПЭМ 5 Интерпретированная модель модуля 5.1 Спецификация отображения 5.2 Сокращенный листинг ИММ на языке EXPRESS Приложение A (обязательное) Сокращенные наименования объектов ИММ Приложение B (обязательное) Регистрация информационных объектов Приложение C (справочное) EXPRESS-G диаграммы ПЭМ Приложение D (справочное) EXPRESS-G диаграммы ИММ Приложение E (справочное) Машинно-интерпретируемые листинги Приложение ДА (справочное) Сведения о соответствии ссылочных международных стандартов и документов национальным стандартам Библиография |
| Разработан: | ООО Корпоративные электронные системы |
| Утверждён: | 21.07.2015 Федеральное агентство по техническому регулированию и метрологии (934-ст) |
| Издан: | Стандартинформ (2016 г. ) Стандартинформ (2019 г. ) |
| Нормативные ссылки: |
|



















