Скачать ГОСТ Р 8.928-2016 Государственная система обеспечения единства измерений. Теплота сгорания твердого минерального топлива. Экспертная оценка результатов измерений, полученных в разных лабораторияхДата актуализации: 01.01.2021
|
| Обозначение: | ГОСТ Р 8.928-2016 |
| Обозначение англ: | GOST R 8.928-2016 |
| Статус: | введен впервые |
| Название рус.: | Государственная система обеспечения единства измерений. Теплота сгорания твердого минерального топлива. Экспертная оценка результатов измерений, полученных в разных лабораториях |
| Название англ.: | State system for ensuring the uniformity of measurements. Calorific value of solid mineral fuels. Expert evaluation of test results obtained from different laboratories |
| Дата добавления в базу: | 01.02.2017 |
| Дата актуализации: | 01.01.2021 |
| Дата введения: | 01.07.2017 |
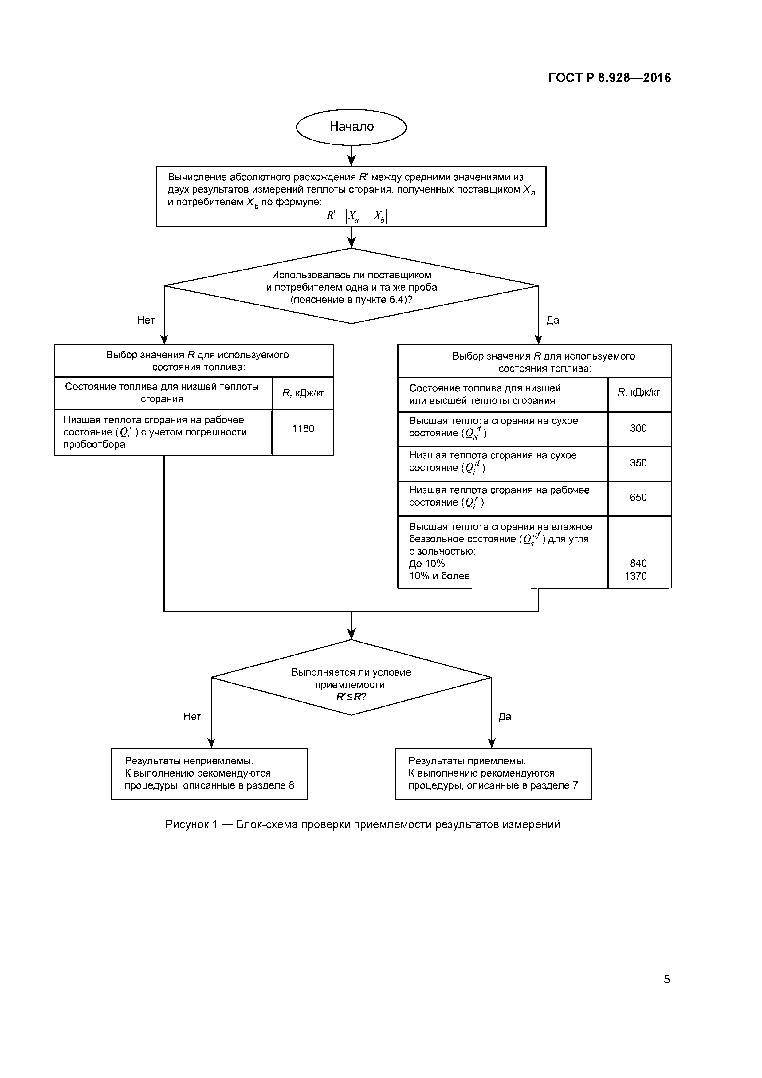
| Область применения: | Стандарт распространяется на бурые и каменные угли, лигниты, антрациты, горючие сланцы, торф, продукты их обогащения и термической обработки, брикеты, кокс, биотопливо, и устанавливает процедуру экспертной оценки результатов измерений теплоты сгорания (высшей или низшей) на различные состояния топлива, полученных в разных лабораториях. |
| Оглавление: | 1 Область применения 2 Нормативные ссылки 3 Термины и определения 4 Сокращения и обозначения 5 Общие положения 6 Проверка приемлемости результатов измерений 7 Процедуры, рекомендуемые в случае приемлемости результатов измерений 8 Процедуры, рекомендуемые в случае неприемлемости результатов измерений 9 Привлечение экспертной организации Приложение А (обязательное) Рекомендации по принятию и отклонению результатов в спорных ситуациях Библиография |
| Разработан: | ФГУП ВНИИМ им. Д. И. Менделеева |
| Утверждён: | 08.09.2016 Федеральное агентство по техническому регулированию и метрологии (1077-ст) |
| Издан: | Стандартинформ (2016 г. ) Стандартинформ (2019 г. ) |
| Нормативные ссылки: |
|















