Скачать ГОСТ 33936-2016 Система газоснабжения. Магистральная трубопроводная транспортировка газа. Охрана окружающей среды. Охрана водной среды. Водоподготовка. Контроль

Дата актуализации: 01.01.2021

ГОСТ 33936-2016

Система газоснабжения. Магистральная трубопроводная транспортировка газа. Охрана окружающей среды. Охрана водной среды. Водоподготовка. Контроль

Обозначение: ГОСТ 33936-2016
Обозначение англ: GOST 33936-2016
Статус:введен впервые
Название рус.:Система газоснабжения. Магистральная трубопроводная транспортировка газа. Охрана окружающей среды. Охрана водной среды. Водоподготовка. Контроль
Название англ.:Gas supply system. Main pipeline gas transportation. Environmental protection. Protection of the water environment. Water preparation. Control
Дата добавления в базу:01.02.2017
Дата актуализации:01.01.2021
Дата введения:01.07.2017
Область применения:Стандарт устанавливает методы контроля качества воды систем хозяйственно-питьевого и производственного водоснабжения и водоподготовки зданий и сооружений магистральной трубопроводной транспортировки газа системы газоснабжения. Стандарт применяется при проектировании (включая изыскания и результаты изысканий и проектную документацию), строительстве, монтаже, наладке, эксплуатации и утилизации (сносе) зданий и сооружений магистральной трубопроводной транспортировки газа системы газоснабжения.
Оглавление:1 Область применения
2 Нормативные ссылки
3 Термины и определения
4 Сокращения
5 Общие требования
6 Методы контроля
   6.1 Методы контроля качества питьевых вод
   6.2 Отбор проб питьевой воды
   6.3 Методы контроля качества производственных вод
   6.4 Отбор проб производственных вод
7 Требования к средствам измерения
8 Порядок проведения постоянного и периодического контроля сооружений водоподготовки
   8.1 Контроль системы хозяйственно-питьевого водоснабжения и качества питьевой воды
   8.2 Контроль системы производственного водоснабжения и качества производственной воды
9 Обработка результатов измерений
10 Оценка состояния сооружений водоподготовки
Приложение А (рекомендуемое) Параметры качества и свойства питьевой воды и методы их контроля
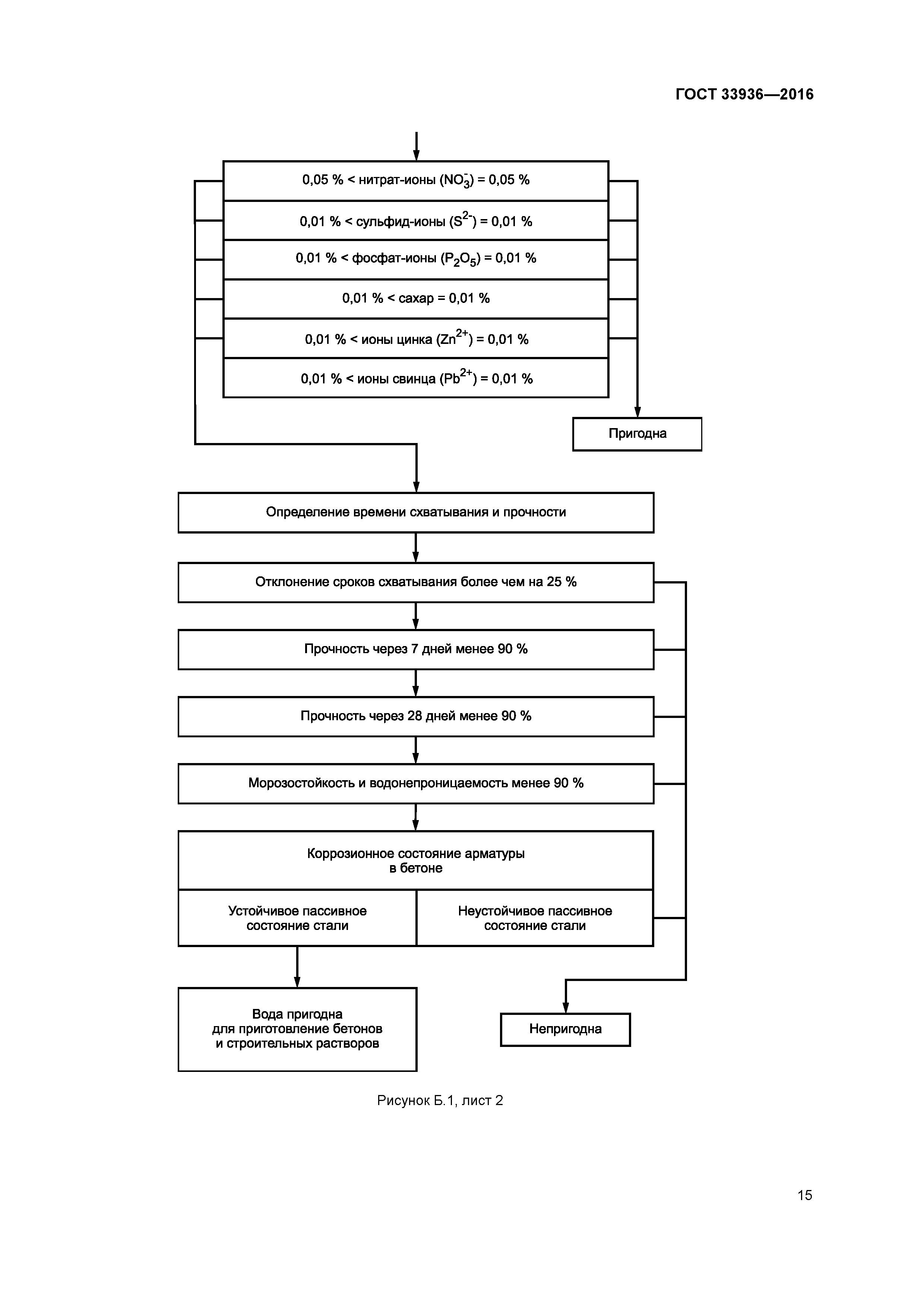
Приложение Б (справочное) Схема проведения испытаний производственной воды для приготовления бетонов и строительных растворов
Приложение В (справочное) Объем химического контроля и измерений показателей водного режима котлов всех групп, работающих в условиях нормальной эксплуатации
Приложение Г (рекомендуемое) Порядок составления рабочей программы контроля качества питьевой воды
Приложение Д (справочное) Программа санитарно-гигиеническиого обследования источников нецентрализованного водоснабжения
Библиография
Разработан: ООО Газпром ВНИИГАЗ
ПАО Газпром
Утверждён:22.11.2016 Межгосударственный Совет по стандартизации, метрологии и сертификации (Inter-Governmental Council on Standardization, Metrology, and Certification 93-П)
28.11.2016 Федеральное агентство по техническому регулированию и метрологии (1819-ст)
Издан: Стандартинформ (2016 г. )
Нормативные ссылки:
ГОСТ 33936-2016ГОСТ 33936-2016ГОСТ 33936-2016ГОСТ 33936-2016ГОСТ 33936-2016ГОСТ 33936-2016ГОСТ 33936-2016ГОСТ 33936-2016ГОСТ 33936-2016ГОСТ 33936-2016ГОСТ 33936-2016ГОСТ 33936-2016ГОСТ 33936-2016ГОСТ 33936-2016ГОСТ 33936-2016ГОСТ 33936-2016ГОСТ 33936-2016ГОСТ 33936-2016ГОСТ 33936-2016ГОСТ 33936-2016ГОСТ 33936-2016ГОСТ 33936-2016ГОСТ 33936-2016ГОСТ 33936-2016ГОСТ 33936-2016ГОСТ 33936-2016