Скачать ГОСТ 34044-2016 Корма, комбикорма, комбикормовое сырье. Метод определения ксенобиотиков с помощью высокоэффективной жидкостной хроматографии с масс-спектрометрическим детекторомДата актуализации: 01.01.2021
|
| Обозначение: | ГОСТ 34044-2016 |
| Обозначение англ: | GOST 34044-2016 |
| Статус: | введен впервые |
| Название рус.: | Корма, комбикорма, комбикормовое сырье. Метод определения ксенобиотиков с помощью высокоэффективной жидкостной хроматографии с масс-спектрометрическим детектором |
| Название англ.: | Feeds, compound feeds, feed raw materials. Method for determination of xenobiotics by high performance liquid chromatography with mass spectrometry detector |
| Дата добавления в базу: | 05.05.2017 |
| Дата актуализации: | 01.01.2021 |
| Дата введения: | 01.07.2018 |
| Область применения: | Стандарт распространяется на корма, комбикорма, комбикормовое сырье и устанавливает метод высокоэффективной жидкостной хроматографии с масс-спектрометрическим детектированием для определения содержания ксенобиотиков в диапазоне измерений от 500 до 10000 мкг/кг. |
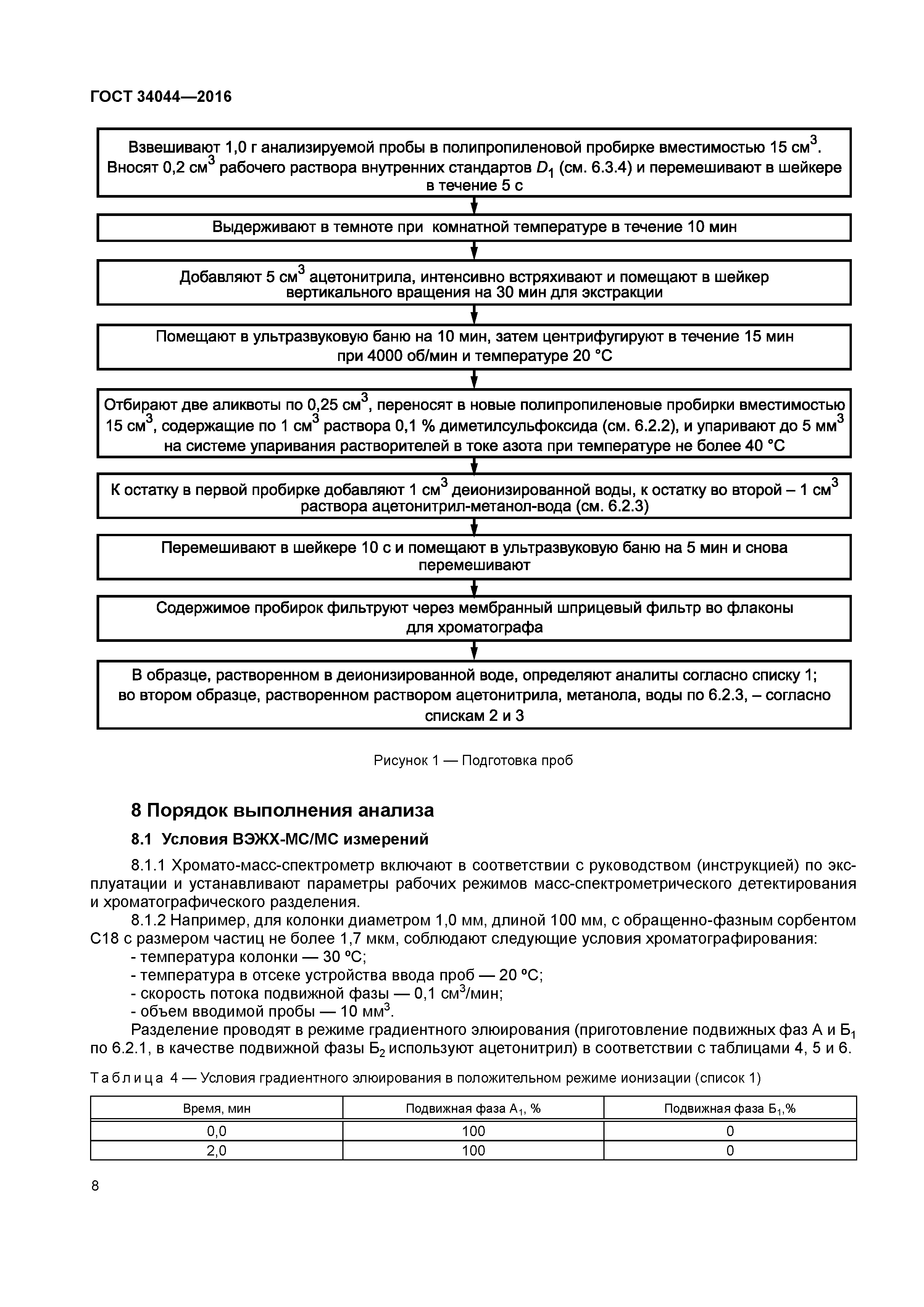
| Оглавление: | 1 Область применения 2 Нормативные ссылки 3 Сущность метода 4 Требования безопасности и условия выполнения измерений 5 Средства измерений, аппаратура, материалы, посуда и реактивы 6 Подготовка к проведению измерений 6.1 Подготовка лабораторной посуды и реактивов 6.2 Приготовление растворов 6.3 Приготовление градуировочных растворов 7 Отбор и подготовка проб 7.1 Отбор проб 7.2 Подготовка проб 8 Порядок выполнения анализа 8.1 Условия ВЭЖХ-МС/МС измерений 8.2 Построение градуировочной характеристики и проведение измерений 9 Метрологические характеристики 10 Обработка результатов измерений 11 Оформление результатов измерений 12 Контроль стабильности результатов измерений Приложение А (обязательное) |
| Разработан: | ФГБУ ВГНКИ |
| Утверждён: | 19.12.2016 Межгосударственный Совет по стандартизации, метрологии и сертификации (Inter-Governmental Council on Standardization, Metrology, and Certification 94-П) 21.02.2017 Федеральное агентство по техническому регулированию и метрологии (52-ст) |
| Издан: | Стандартинформ (2017 г. ) |
| Список изменений: |
|
| Нормативные ссылки: |
|
























Текстовое изменение Поправка от 11.12.2019