Скачать Книга 10: Изделия прокатно-тянутые из цветных металлов и цветные металлы. Федеральные сметные цены на материалы изделия, конструкции и оборудование, применяемые в строительстве. Федеральный сборник сметных цен на материалы, изделия и конструкции, применяемые в строительствеДата актуализации: 01.01.2021
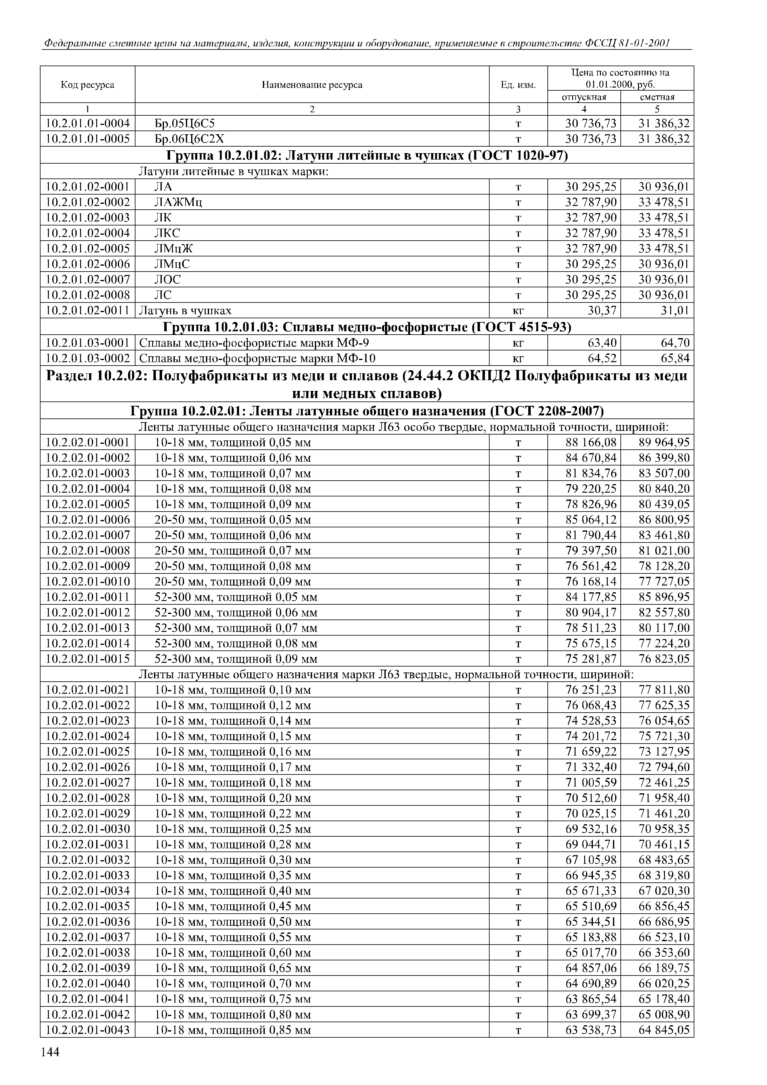
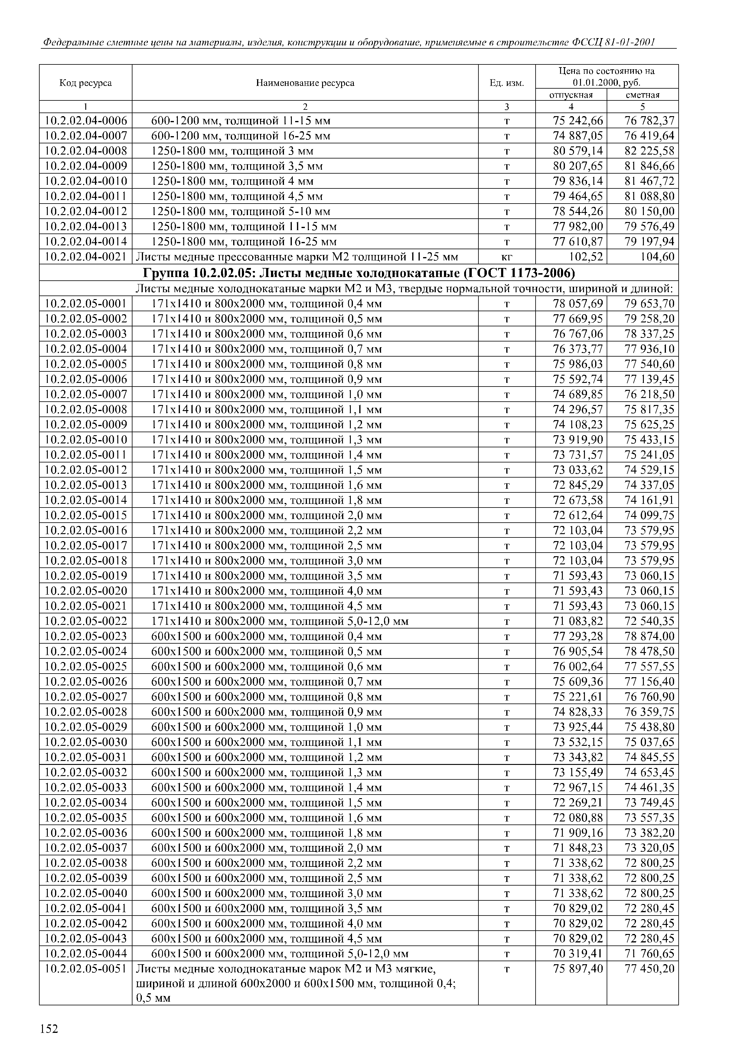
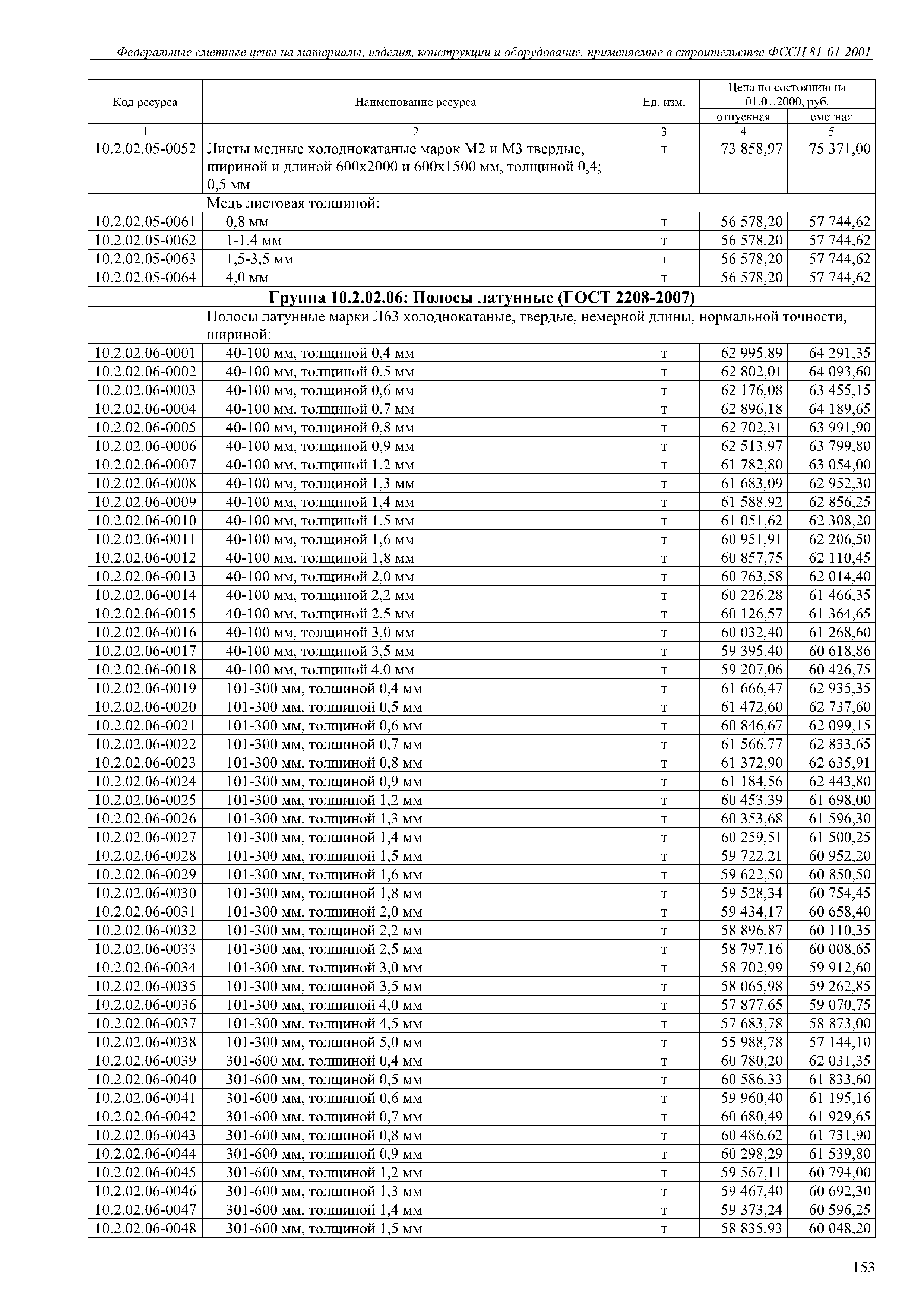
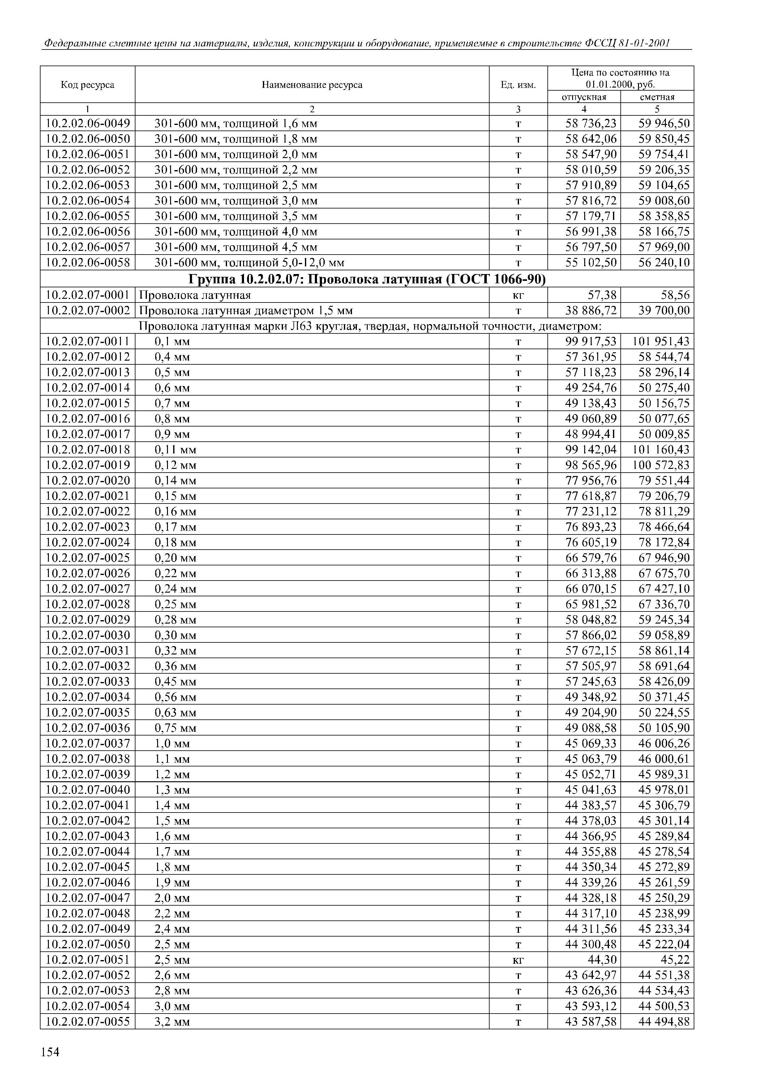
Книга 10: Изделия прокатно-тянутые из цветных металлов и цветные металлы. Федеральные сметные цены на материалы изделия, конструкции и оборудование, применяемые в строительстве. Федеральный сборник сметных цен на материалы, изделия и конструкции, применяемые в строительстве| Статус: | действует | | Название рус.: | Книга 10: Изделия прокатно-тянутые из цветных металлов и цветные металлы. Федеральные сметные цены на материалы изделия, конструкции и оборудование, применяемые в строительстве. Федеральный сборник сметных цен на материалы, изделия и конструкции, применяемые в строительстве | | Дата добавления в базу: | 05.05.2017 | | Дата актуализации: | 01.01.2021 | | Дата введения: | 28.04.2017 | | Область применения: | Государственные сметные нормативы "Федеральные сметные цены на материалы, изделия, конструкции и оборудование, применяемые в строительстве" предназначены для определения сметной стоимости строительства, реконструкции и капитального ремонта объектов капитального строительства. | | Оглавление: | Часть 10.1: Алюминий и сплавы алюминиевые Раздел 10.1.01: Алюминий и сплавы алюминия необработанные Раздел 10.1.02: Полуфабрикаты из алюминия или сплавов алюминиевых Часть 10.2: Медь и ее сплавы Раздел 10.2.01: Медь и ее сплавы необработанные Раздел 10.2.02: Полуфабрикаты из меди и сплавов Часть 10.3: Свинец, цинк, олово и их сплавы Раздел 10.3.01: Полуфабрикаты из свинца, цинка и олова или их сплавов Раздел 10.3.02: Свинец, цинк, олово необработанные Часть 10.4: Металлы и сплавы прочие Раздел 10.4.01: Металлы и сплавы необработанные Раздел 10.4.02: Полуфабрикаты из прочих металлов и сплавов | | Утверждён: | 30.12.2016 Минстрой России (Russian Federation Minstroy 1039/пр)
| | Нормативные ссылки: | |
                           
|