Скачать ГОСТ Р 57484-2017 Комплексная система унифицированной бортовой аппаратуры ГЛОНАСС. Технические средства контроля обстоятельств причинения вреда транспортному средству в результате дорожно-транспортного происшествия. Общие технические требования и методы испытаний

Дата актуализации: 01.01.2021

ГОСТ Р 57484-2017

Комплексная система унифицированной бортовой аппаратуры ГЛОНАСС. Технические средства контроля обстоятельств причинения вреда транспортному средству в результате дорожно-транспортного происшествия. Общие технические требования и методы испытаний

Обозначение: ГОСТ Р 57484-2017
Обозначение англ: GOST R 57484-2017
Статус:введен впервые
Название рус.:Комплексная система унифицированной бортовой аппаратуры ГЛОНАСС. Технические средства контроля обстоятельств причинения вреда транспортному средству в результате дорожно-транспортного происшествия. Общие технические требования и методы испытаний
Название англ.:Complex system of GLONASS unified on-board equipment. Technical means controlling circumstances of any harm inflicted to vehicle as a result of road traffic accident. General technical requirements and test methods
Дата добавления в базу:01.01.2018
Дата актуализации:01.01.2021
Дата введения:01.01.2018
Область применения:Стандарт распространяется на технические средства контроля обстоятельств причинения вреда транспортному средству в результате дорожно-транспортного происшествия (далее - технические средства контроля), функционирующие с использованием технологий ГНСС ГЛОНАСС или ГЛОНАСС совместно с иными глобальным навигационными спутниковыми системами и предназначенные для установки в качестве дополнительного оборудования на транспортные средства категорий М и N, выпущенные в обращение с неустановленными устройствами или системами вызова экстренных оперативных служб. Стандарт устанавливает общие технические требования к техническим средствам контроля и определяет методы испытаний по оценке соответствия этим требованиям. В случае, если устройство или система вызова экстренных служб, предназначенные для установки на транспортные средства категорий М и N, одновременно выполняют и функции технические средства контроля, производители транспортных средств и/или производители указанных устройств и систем могут применять настоящий стандарт в части реализации требований к функции «Европротокол».
Оглавление:1 Область применения
2 Нормативные ссылки
3 Термины и определения
4 Сокращения
5 Общие положения
6 Состав технического средства контроля
7 Функции технического средства контроля
8 Требования к функциональным модулям и компонентам технического средства контроля
9 Основные режимы работы технического средства контроля
10 Требования по обеспечению некорректируемости информации
11 Требования к электропитанию и энергопотреблению
12 Требования электробезопасности
13 Требования по электромагнитной совместимости
14 Требования по стойкости к внешним воздействиям
15 Конструктивные требования
16 Требования по надежности
17 Требования к установке
18 Требования по эргономике и технической эстетике
19 Требования по безопасности и экологической чистоте
20 Требования к маркировке
21 Требования к упаковке, транспортированию и хранению
22 Требования к комплекту поставки
23 Требования к эксплуатационной документации
24 Логотипы
25 Методы испытаний технических средств контроля
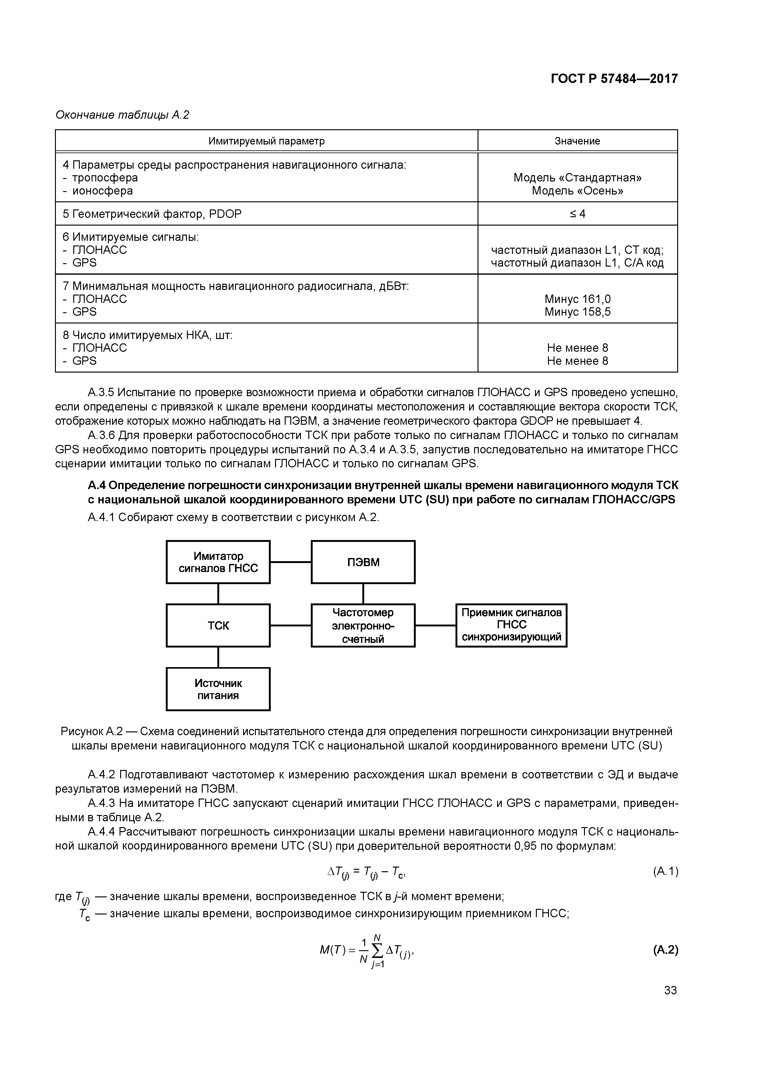
Приложение А (обязательное) Методика оценки погрешности синхронизации внутренней шкалы времени навигационного модуля технического средства контроля с национальной шкалой координированного времени UTS (SU) при работе по сигналам ГЛОНАСС/GPS
Библиография
Разработан: АО ГЛОНАСС
Утверждён:29.06.2017 Федеральное агентство по техническому регулированию и метрологии (595-ст)
Издан: Стандартинформ (2017 г. )
Стандартинформ (2018 г. )
Нормативные ссылки:
ГОСТ Р 57484-2017ГОСТ Р 57484-2017ГОСТ Р 57484-2017ГОСТ Р 57484-2017ГОСТ Р 57484-2017ГОСТ Р 57484-2017ГОСТ Р 57484-2017ГОСТ Р 57484-2017ГОСТ Р 57484-2017ГОСТ Р 57484-2017ГОСТ Р 57484-2017ГОСТ Р 57484-2017ГОСТ Р 57484-2017ГОСТ Р 57484-2017ГОСТ Р 57484-2017ГОСТ Р 57484-2017ГОСТ Р 57484-2017ГОСТ Р 57484-2017ГОСТ Р 57484-2017ГОСТ Р 57484-2017ГОСТ Р 57484-2017ГОСТ Р 57484-2017ГОСТ Р 57484-2017ГОСТ Р 57484-2017ГОСТ Р 57484-2017ГОСТ Р 57484-2017ГОСТ Р 57484-2017ГОСТ Р 57484-2017ГОСТ Р 57484-2017ГОСТ Р 57484-2017ГОСТ Р 57484-2017ГОСТ Р 57484-2017ГОСТ Р 57484-2017ГОСТ Р 57484-2017ГОСТ Р 57484-2017ГОСТ Р 57484-2017ГОСТ Р 57484-2017ГОСТ Р 57484-2017ГОСТ Р 57484-2017ГОСТ Р 57484-2017