Скачать ГОСТ Р 57657-2017 Пространственные данные. Спецификация информационного продуктаДата актуализации: 01.01.2021
|
| Обозначение: | ГОСТ Р 57657-2017 |
| Обозначение англ: | GOST R 57657-2017 |
| Статус: | введен впервые |
| Название рус.: | Пространственные данные. Спецификация информационного продукта |
| Название англ.: | Spatial data. Data product specifications |
| Дата добавления в базу: | 01.01.2018 |
| Дата актуализации: | 01.01.2021 |
| Дата введения: | 01.06.2018 |
| Область применения: | Стандарт устанавливает требования к спецификации информационного продукта в области пространственных данных, основанные на концепциях других нормативных документов [1] - [8]. Стандарт предназначен для создания спецификаций в целях их четкого и ясного изложения и дальнейшего использования по назначению. |
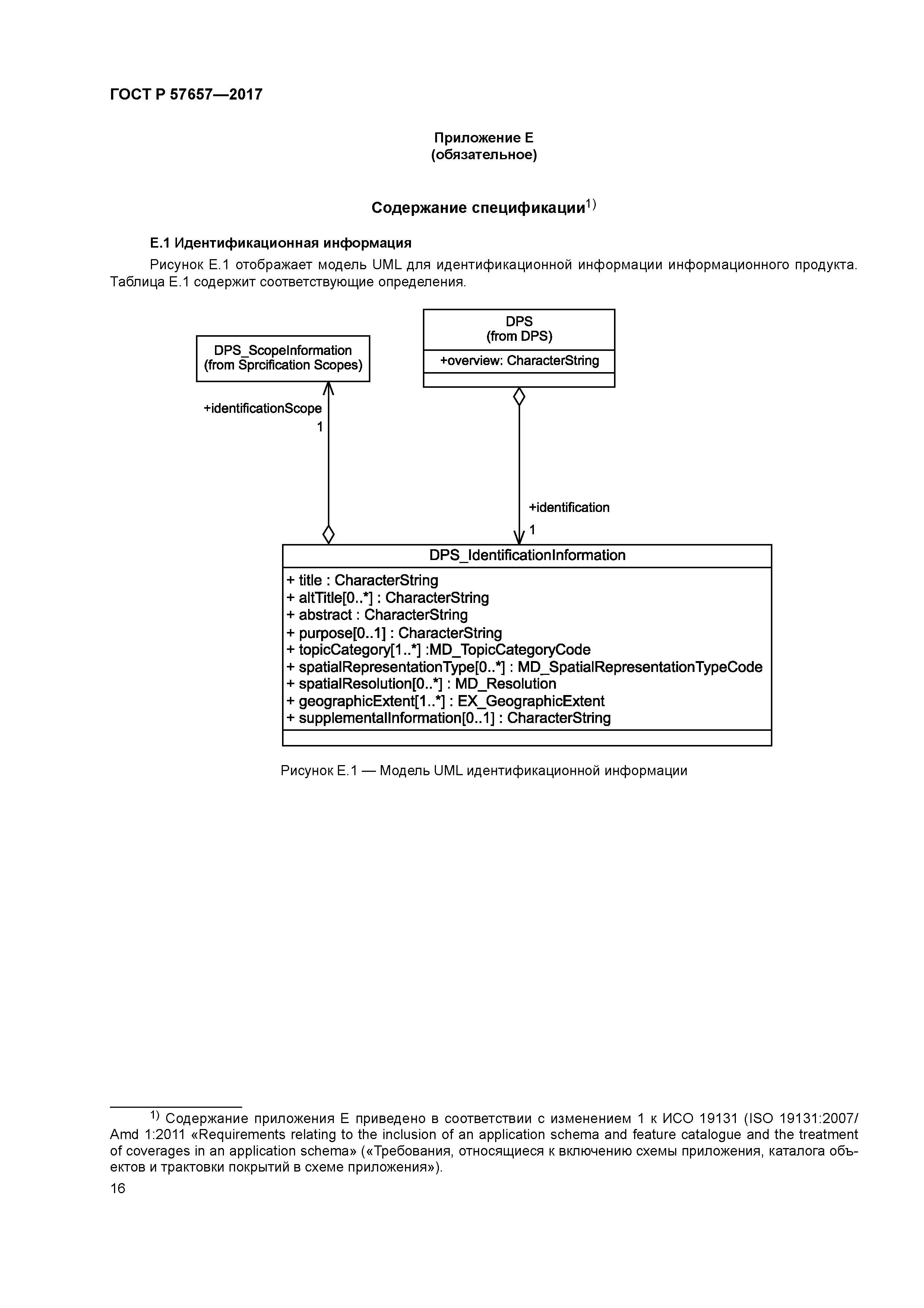
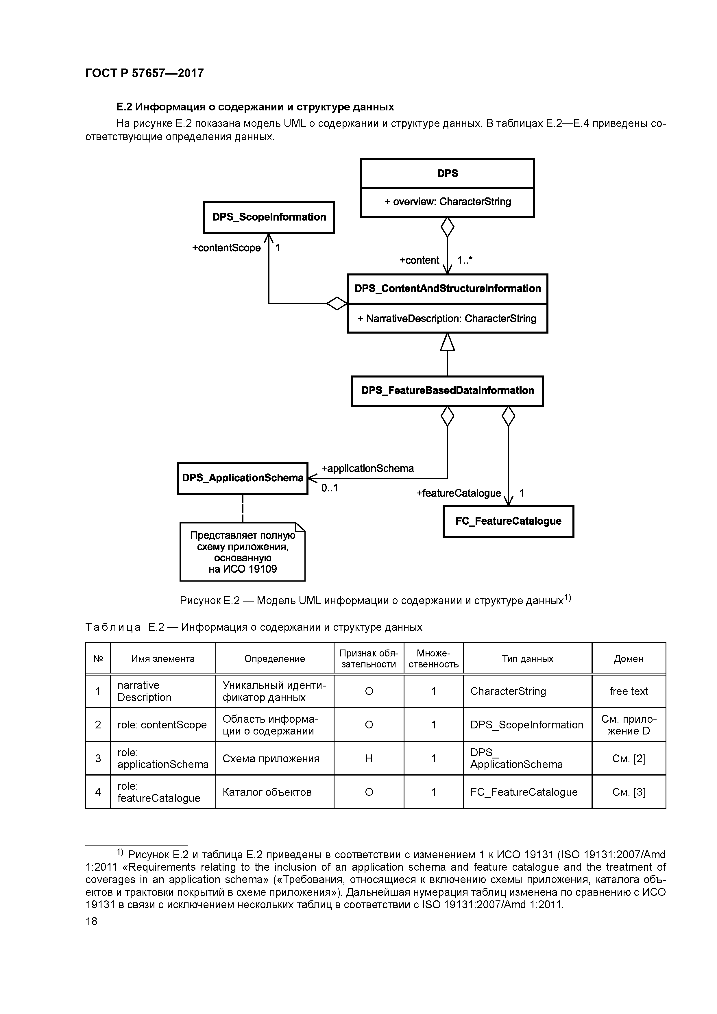
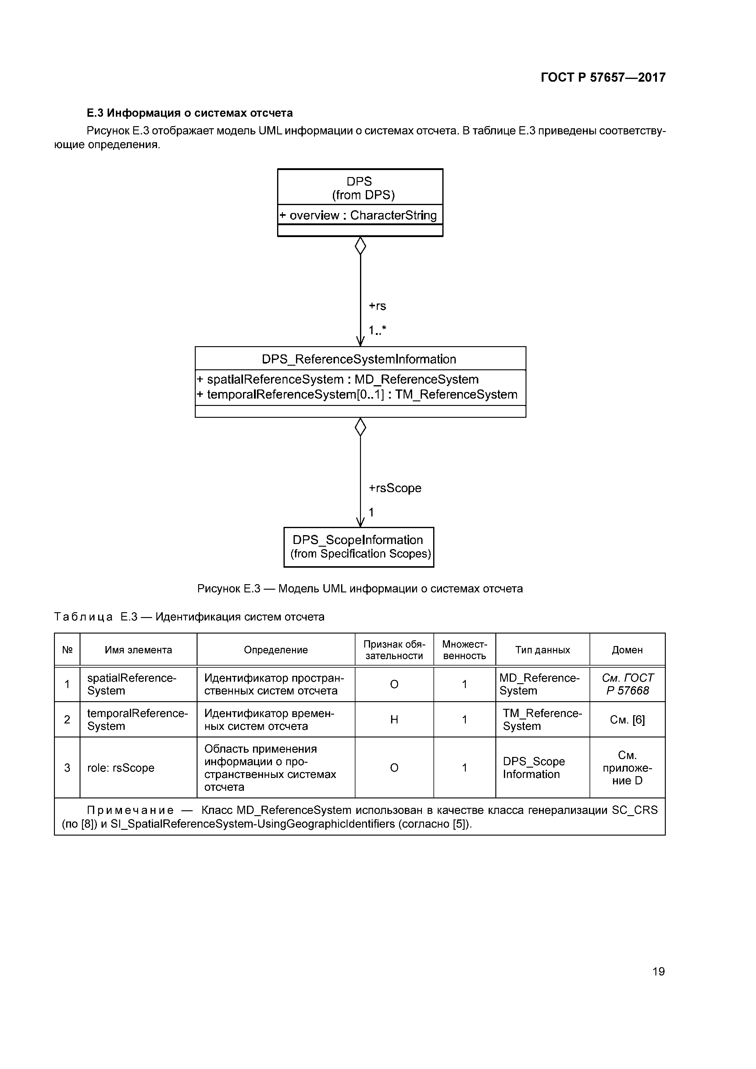
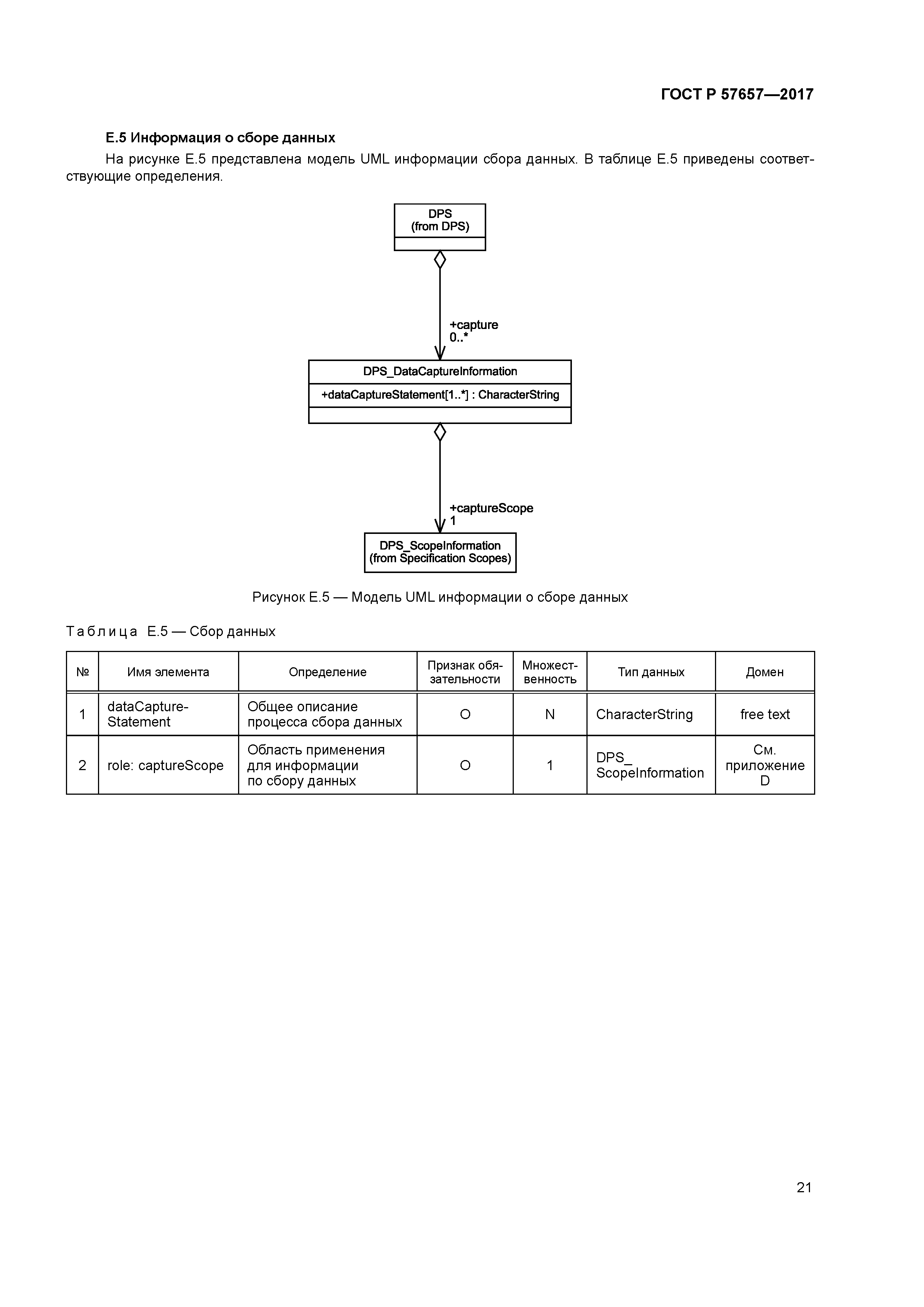
| Оглавление: | 1 Область применения 2 Соответствие 3 Нормативные ссылки 4 Термины и определения 5 Символы и сокращенные термины 6 Общая структура и содержание спецификации 7 Общая информация 8 Области применения спецификации (Specification scopes) 9 Идентификация информационного продукта (Data product identification) 10 Содержание и структура данных (Data content and structure) 10.1 Описание содержания и структуры для всех информационных продуктов 10.2 Дополнительные требования к данным покрытия 11 Системы отсчета (Reference systems) 12 Качество данных (Data quality) 13 Сбор данных (Data capture) 14 Ведение данных (Data maintenance) 15 Графическое отображение (Portrayal) 16 Поставка информационного продукта (Data product delivery) 17 Дополнительная информация (Additional information) 18 Метаданные (Metadata) Приложение А (обязательное) Комплекс проверок Приложение В (справочное) Взаимодействие спецификации и метаданных Приложение С (справочное) Пакеты UML Приложение D (обязательное) Области применения спецификации Приложение Е (обязательное) Содержание спецификации Приложение ДА (справочное) Сопоставление структуры настоящего стандарта со структурой примененного в нем международного стандарта Приложение ДБ (справочное) Сведения о соответствии ссылочных национальных и межгосударственных стандартов международным стандартам, использованным в качестве ссылочных в примененном международном стандарте Библиография |
| Разработан: | ФГБУ Центр геодезии, картографии и ИПД |
| Утверждён: | 12.09.2017 Федеральное агентство по техническому регулированию и метрологии (1075-ст) |
| Издан: | Стандартинформ (2017 г. ) Стандартинформ (2018 г. ) |
| Нормативные ссылки: |
|


































