Скачать ГОСТ Р 57668-2017 Пространственные данные. Метаданные. Часть 1. Основные положенияДата актуализации: 01.01.2021
|
| Обозначение: | ГОСТ Р 57668-2017 |
| Обозначение англ: | GOST R 57668-2017 |
| Статус: | введен впервые |
| Название рус.: | Пространственные данные. Метаданные. Часть 1. Основные положения |
| Название англ.: | Spatial data. Metadata. Part 1. Fundamentals |
| Дата добавления в базу: | 01.01.2019 |
| Дата актуализации: | 01.01.2021 |
| Дата введения: | 01.06.2018 |
| Область применения: | Стандарт устанавливает схему, необходимую для описания пространственных данных и сервисов с помощью метаданных. Стандарт предназначен для распространения информации относительно идентификации, протяженности, качества, пространственных и временных аспектов, содержания, координатной основы, отображения, распространения и других свойств цифровых пространственных данных и сервисов. Стандарт применяется для описания пространственных наборов данных, пространственных сервисов, комплектов наборов данных, отдельных пространственных объектов и свойств объектов. Стандарт определяет: - обязательные и условные части метаданных, сущности метаданных и элементы метаданных; - минимальный набор метаданных, необходимый для большинства приложений метаданных (обнаружение данных, определение пригодности данных для использования, доступ к данным, передача данных и использование данных и сервисов); - необязательные элементы метаданных для обеспечения, при необходимости, более широкого стандартного описания ресурсов; - методы расширения метаданных в целях обеспечения решения конкретных задач. |
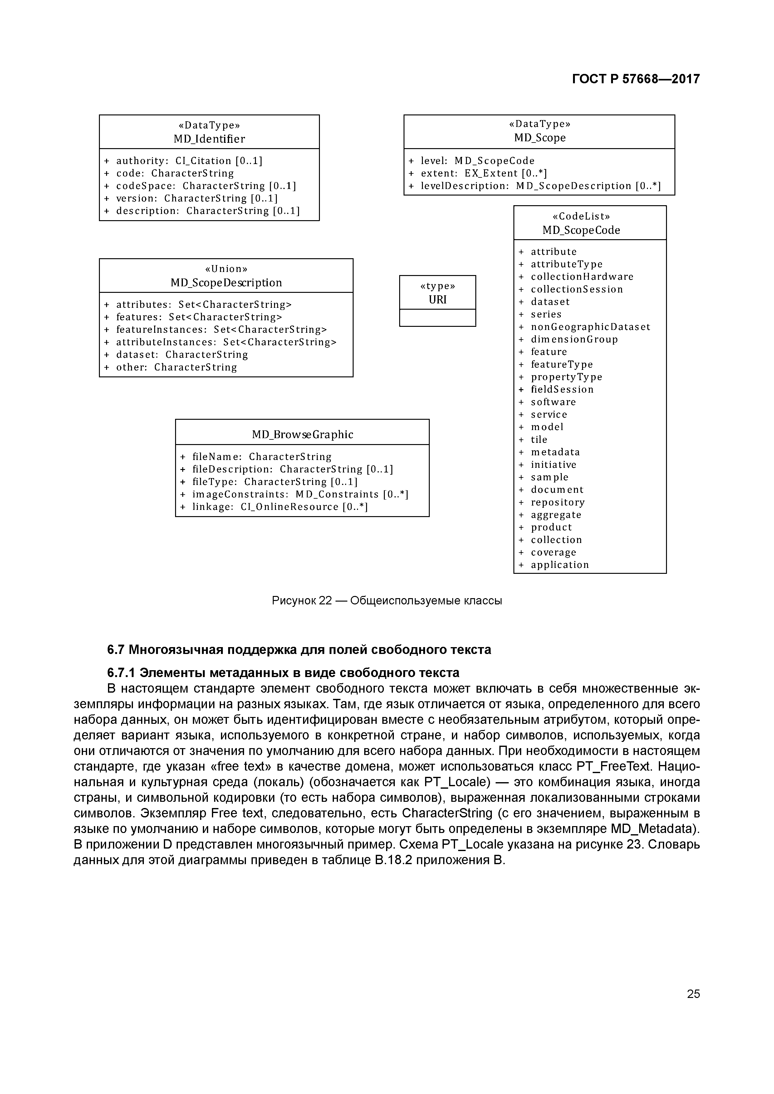
| Оглавление: | 1 Область применения 2 Соответствие 2.1 Требования соответствия 2.2 Комплекс проверок 3 Нормативные ссылки 4 Термины и определения 5 Сокращения и аббревиатуры 5.1 Сокращения 5.2 Аббревиатуры пакетов 6 Требования к метаданным 6.1 Метаданные для ресурсов 6.2 Информация по применению метаданных 6.3 Основные положения метаданных: пакеты и зависимости 6.4 Связь между пакетами Citation и Responsible party, Metadata application information, Language-characterset localisation information и Extent information 6.5 Диаграммы пакетов классов метаданных ресурса 6.6 Пакеты информации о пространственно-временной протяженности, ссылках и общей информации 6.7 Многоязычная поддержка для полей свободного текста 6.8 Примеры реализации 6.9 Реализация метаданных 6.10 Метаданные для обнаружения данных Приложение А (обязательное) Комплекс проверок Приложение В (обязательное) Словарь данных для пространственных метаданных Приложение С (обязательное) Расширения и профили метаданных Приложение D (справочное) Примеры реализации Приложение E (справочное) Реализация метаданных Приложение F (обязательное) Метаданные обнаружения географических ресурсов Приложение ДА (справочное) Термины из списков кодов и перечислений раздела В.3 приложения В (по алфавиту) Приложение ДБ (справочное) Сопоставление структуры настоящего стандарта со структурой примененного в нем международного стандарта Приложение ДВ (справочное) Сведения о соответствии ссылочных национальных стандартов международным стандартам, использованным в качестве ссылочных в примененном международном стандарте Библиография |
| Разработан: | ФГБУ Центр геодезии, картографии и ИПД |
| Утверждён: | 14.09.2017 Федеральное агентство по техническому регулированию и метрологии (1114-ст) |
| Издан: | Стандартинформ (2017 г. ) |
| Нормативные ссылки: |
|





































































































































































