Скачать ГОСТ Р 57773-2017 Пространственные данные. Качество данныхДата актуализации: 01.01.2021
|
| Обозначение: | ГОСТ Р 57773-2017 |
| Обозначение англ: | GOST R 57773-2017 |
| Статус: | введен впервые |
| Название рус.: | Пространственные данные. Качество данных |
| Название англ.: | Spatial data. Data quality |
| Дата добавления в базу: | 01.01.2019 |
| Дата актуализации: | 01.01.2021 |
| Дата введения: | 01.06.2018 |
| Область применения: | Стандарт устанавливает принципы описания качества пространственных данных, в том числе: - определяет компоненты для описания качества данных; - устанавливает компоненты и структуру содержания реестра для мер качества данных; - описывает общие процедуры оценки качества пространственных данных; - устанавливает принципы составления отчетности о качестве данных. Стандарт также определяет меры качества данных для использования при оценке и составлении отчетности об их качестве. Он предназначен для разработчиков данных, обеспечивающих информацию о качестве, для описания и оценки того, насколько набор данных соответствует спецификации продукта, а также для пользователей данных, пытающихся определить, обладают ли конкретные пространственные данные достаточным качеством, необходимым для их частного применения. Стандарт не преследует цель определения минимально приемлемых уровней качества пространственных данных. |
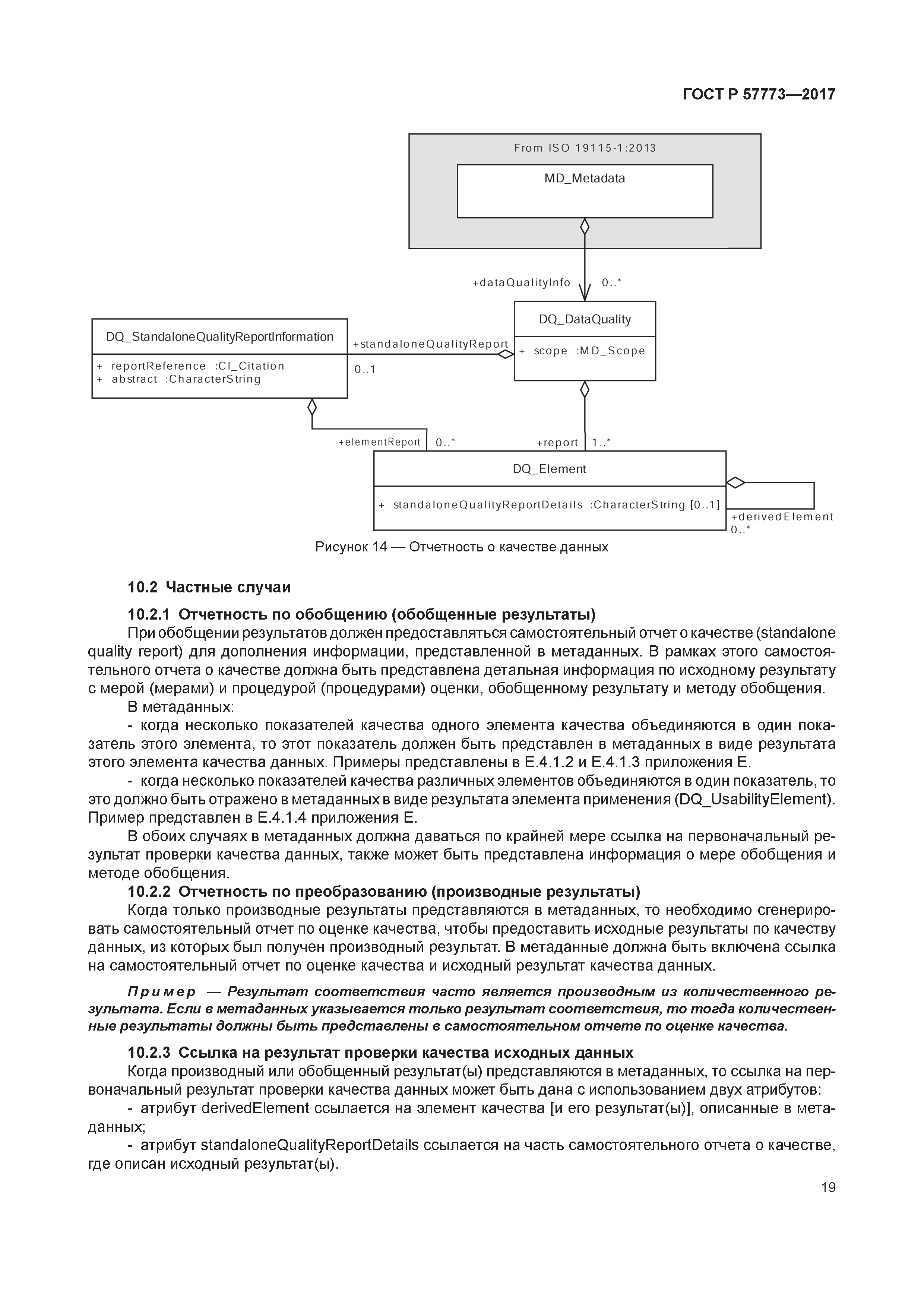
| Оглавление: | 1 Область применения 2 Соответствие 3 Нормативные ссылки 4 Термины и определения 5 Сокращенные термины 6 Обзор качества данных 7 Компоненты качества данных 7.1 Обзор компонентов 7.2 Единица качества данных (data quality unit) 7.3 Элементы качества данных (data quality elements) 7.4 Дескрипторы элементов качества (descriptors of data quality elements) 7.5 Элементы метакачества (metaquality elements) 7.6 Дескрипторы элемента метакачества (descriptors of a metaquality element) 8 Меры качества данных (data quality measures) 8.1 Общие положения 8.2 Стандартизированные меры качества данных 8.3 Создание определяемых пользователем мер качества данных 8.4 Каталог мер качества данных 8.5 Список компонентов 8.6 Подробное описание компонентов 9 Оценка качества данных (data quality evaluation) 9.1 Процесс оценки качества данных 9.2 Методы оценки качества данных (data quality evaluation methods) 9.3 Обобщение и преобразование (aggregation and derivation) 10 Отчетность о качестве данных (data quality reporting) 10.1 Общие положения 10.2 Частные случаи Приложение А (обязательное) Комплекс проверок Приложение В (справочное) Концепции оценки качества данных и их применение Приложение С (обязательное) Словарь данных для оценки качества Приложение D (обязательное) Перечень стандартизированных мер качества данных Приложение Е (справочное) Оценка и выдача информации о качестве данных Приложение F (справочное) Методы выборочной оценки Приложение G (обязательное) Базовые меры качества данных Приложение Н (справочное) Управление мерами качества данных Приложение I (справочное) Руководство по использованию элементов качества Приложение J (справочное) Обобщение результатов оценки качества Приложение ДА (справочное) Сопоставление структуры настоящего стандарта со структурой примененного в нем международного стандарта Приложение ДБ (справочное) Сведения о соответствии ссылочных национальных стандартов международным стандартам, использованным в качестве ссылочных в примененном международном стандарте Библиография |
| Разработан: | ФГБУ Центр геодезии, картографии и ИПД |
| Утверждён: | 06.10.2017 Федеральное агентство по техническому регулированию и метрологии (1367-ст) |
| Издан: | Стандартинформ (2017 г. ) |
| Нормативные ссылки: |
|









































































































































