Скачать ГОСТ 34366-2017 Магистральный трубопроводный транспорт нефти и нефтепродуктов. Контроль качества строительно-монтажных работ. Основные положенияДата актуализации: 01.01.2021
|
| Обозначение: | ГОСТ 34366-2017 |
| Обозначение англ: | GOST 34366-2017 |
| Статус: | введен впервые |
| Название рус.: | Магистральный трубопроводный транспорт нефти и нефтепродуктов. Контроль качества строительно-монтажных работ. Основные положения |
| Название англ.: | Oil and oil products trunk pipeline transport. Quality control of construction and assembling operations. Basic principles provisions |
| Дата добавления в базу: | 01.01.2019 |
| Дата актуализации: | 01.01.2021 |
| Дата введения: | 01.09.2018 |
| Область применения: | Стандарт устанавливает основные положения по контролю качества строительно-монтажных работ при строительстве, реконструкции, техническом перевооружении и капитальном ремонте объектов магистральных нефтепроводов и нефтепродуктопроводов (далее - магистральных трубопроводов). Стандарт не распространяется на процедуру проведения строительного контроля при строительстве, реконструкции и капитальном ремонте морских трубопроводов. Стандарт предназначен для применения организациями, выполняющими проектирование, строительство, реконструкцию, техническое перевооружение и капитальный ремонт объектов магистральных трубопроводов, а также организациями, осуществляющими строительный контроль заказчика. |
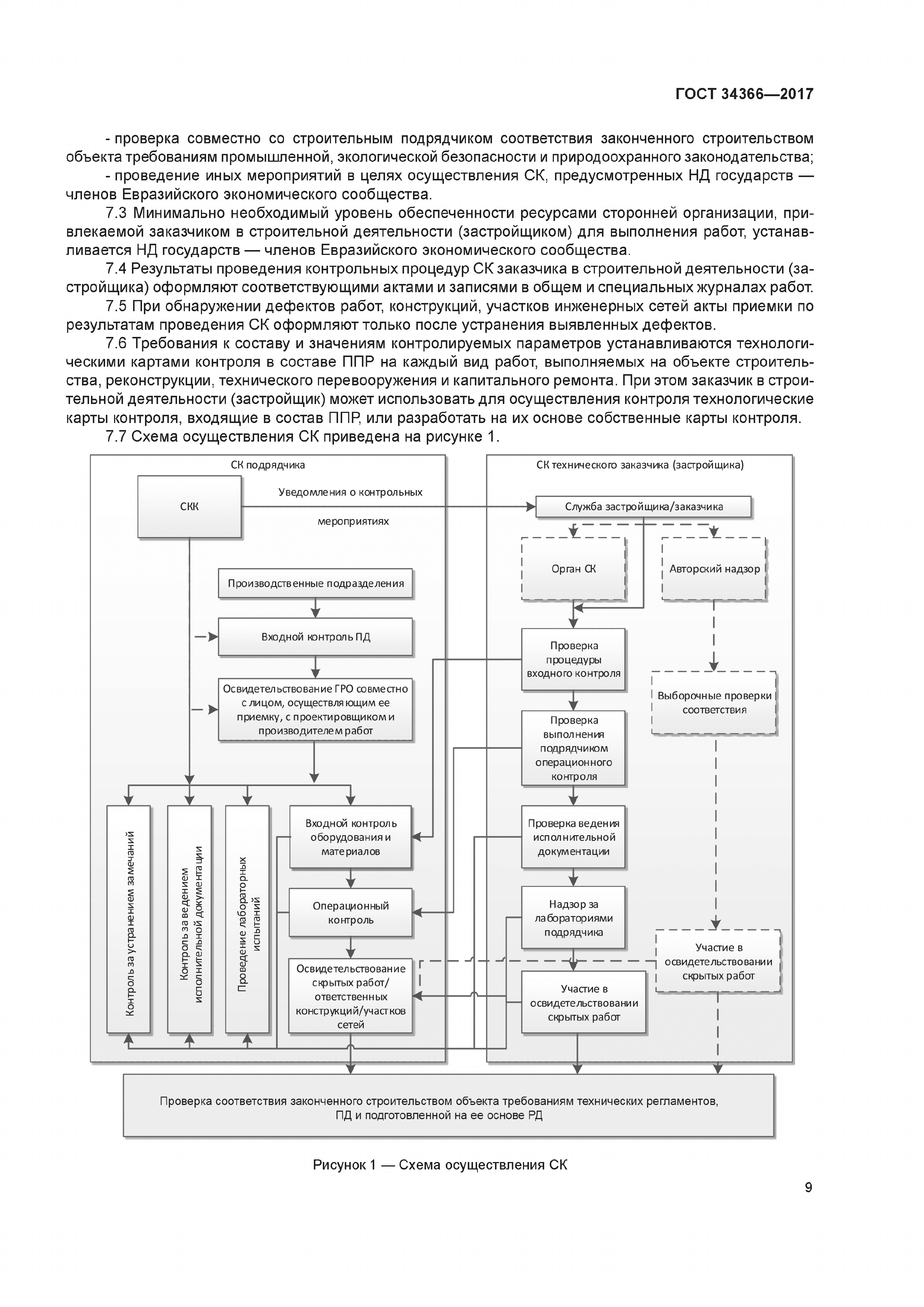
| Оглавление: | 1 Область применения 2 Нормативные ссылки 3 Термины и определения 4 Сокращения 5 Общие положения 6 Строительный контроль строительного подрядчика 7 Строительный контроль заказчика в строительной деятельности 8 Авторский надзор 9 Лабораторный контроль 10 Геодезический контроль Приложение А (рекомендуемое) Входной контроль (верификация) оборудования и материалов Приложение Б (рекомендуемое) Перечень контролируемых операций при проведении операционного контроля Приложение В (рекомендуемое) Перечень контролируемых операций при проведении приемочного контроля Библиография |
| Разработан: | ООО НИИ Транснефть |
| Утверждён: | 30.11.2017 Межгосударственный Совет по стандартизации, метрологии и сертификации (Inter-Governmental Council on Standardization, Metrology, and Certification 52) 21.12.2017 Федеральное агентство по техническому регулированию и метрологии (2041-ст) |
| Издан: | Стандартинформ (2018 г. ) |
| Нормативные ссылки: |
|
















































