Скачать ГОСТ 34468-2018 Пятники грузовых вагонов железных дорог колеи 1520 мм. Общие технические условия

Дата актуализации: 01.01.2021

ГОСТ 34468-2018

Пятники грузовых вагонов железных дорог колеи 1520 мм. Общие технические условия

Обозначение: ГОСТ 34468-2018
Обозначение англ: GOST 34468-2018
Статус:принят
Название рус.:Пятники грузовых вагонов железных дорог колеи 1520 мм. Общие технические условия
Название англ.:Center plates of the freight wagons for 1520 mm gauge railways. General specification
Дата добавления в базу:01.02.2020
Дата актуализации:01.01.2021
Дата введения:01.07.2021
Область применения:Стандарт распространяется на пятники и пятниковые места грузовых вагонов железных дорог колеи 1520 мм и устанавливает общие технические требования, правила приемки и методы контроля. Стандарт не распространяется на специализированные вагоны-транспортеры.
Оглавление:1 Область применения
2 Нормативные ссылки
3 Термины и определения
4 Классификация, основные параметры и размеры
5 Технические требования
   5.1 Общие требования
   5.2 Требования к конструкции
   5.3 Требования к материалам
   5.4 Требования к отливкам и поковкам
   5.5 Требования надежности
   5.6 Требования к покрытиям
   5.7 Требования к маркировке
   5.8 Требования к комплектности
6 Правила приемки
7 Методы контроля
8 Упаковка, транспортирование и хранение
9 Указания по эксплуатации
10 Гарантии изготовителя
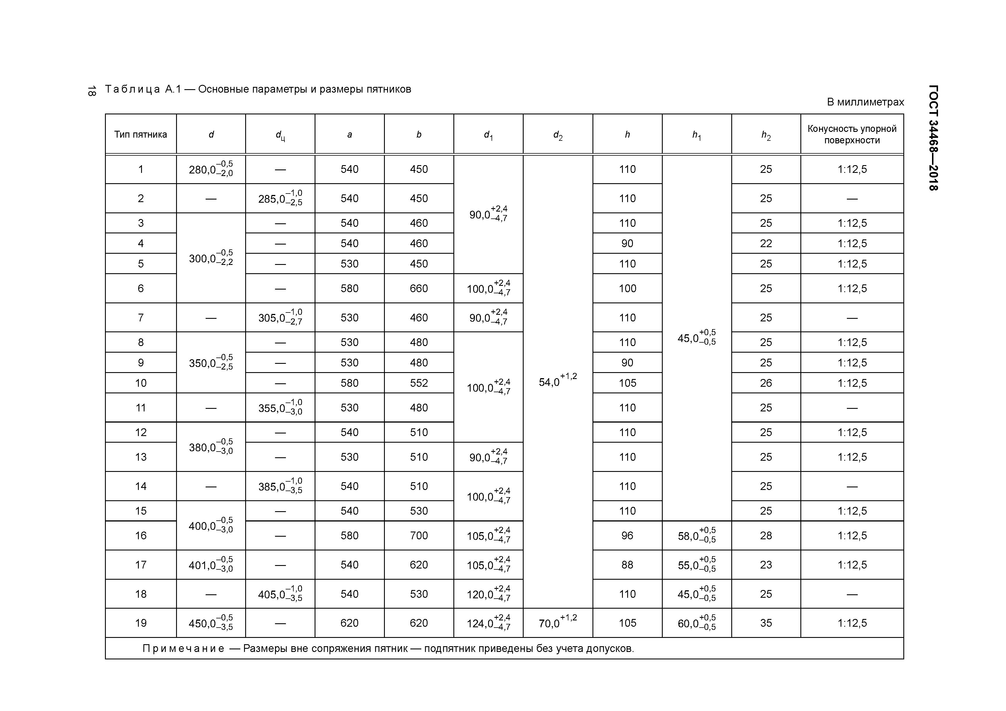
Приложение А (обязательное) Основные и присоединительные размеры типов пятников
Приложение Б (обязательное) Основные и присоединительные размеры пятниковых мест
Приложение В (справочное) Примеры применяемости пятников и пятниковых мест
Библиография
Разработан: ООО ВНИЦТТ
Утверждён:28.09.2018 Межгосударственный Совет по стандартизации, метрологии и сертификации (Inter-Governmental Council on Standardization, Metrology, and Certification 112-П)
06.11.2018 Федеральное агентство по техническому регулированию и метрологии (932-ст)
Издан: Стандартинформ (2018 г. )
Нормативные ссылки:
ГОСТ 34468-2018ГОСТ 34468-2018ГОСТ 34468-2018ГОСТ 34468-2018ГОСТ 34468-2018ГОСТ 34468-2018ГОСТ 34468-2018ГОСТ 34468-2018ГОСТ 34468-2018ГОСТ 34468-2018ГОСТ 34468-2018ГОСТ 34468-2018ГОСТ 34468-2018ГОСТ 34468-2018ГОСТ 34468-2018ГОСТ 34468-2018ГОСТ 34468-2018ГОСТ 34468-2018ГОСТ 34468-2018ГОСТ 34468-2018ГОСТ 34468-2018ГОСТ 34468-2018ГОСТ 34468-2018ГОСТ 34468-2018ГОСТ 34468-2018ГОСТ 34468-2018ГОСТ 34468-2018