Скачать ГОСТ Р 58395-2019 Теплоаккумулирующие источники тепла на твердом топливе. Общие требования и методы испытанийДата актуализации: 01.01.2021
|
| Обозначение: | ГОСТ Р 58395-2019 |
| Обозначение англ: | GOST R 58395-2019 |
| Статус: | введен впервые |
| Название рус.: | Теплоаккумулирующие источники тепла на твердом топливе. Общие требования и методы испытаний |
| Название англ.: | Slow heat release appliances fired by solid fuel. General requirements and test methods |
| Дата добавления в базу: | 01.02.2020 |
| Дата актуализации: | 01.01.2021 |
| Дата введения: | 01.06.2019 |
| Область применения: | Стандарт устанавливает требования к проектированию, изготовлению, конструкции, безопасности и производительности (КПД и эмиссии вредных веществ), инструкции по использованию и маркировке источников тепла на твердом топливе для отопления помещений, а также требования к соответствующим методам испытаний и типам топлива для проведения типовых испытаний. Стандарт распространяется на теплоаккумулирующие источники тепла с загрузкой топлива вручную, которые способны отдавать тепло в течение определенного времени после окончания процесса горения топлива. Стандарт устанавливает минимальное время, за которое температура внешней поверхности источника тепла достигает максимального значения, а также время, за которое температура внешней поверхности источника тепла снижается до 50 % от максимального значения. Данные источники тепла обогревают те помещения, в которых они установлены. |
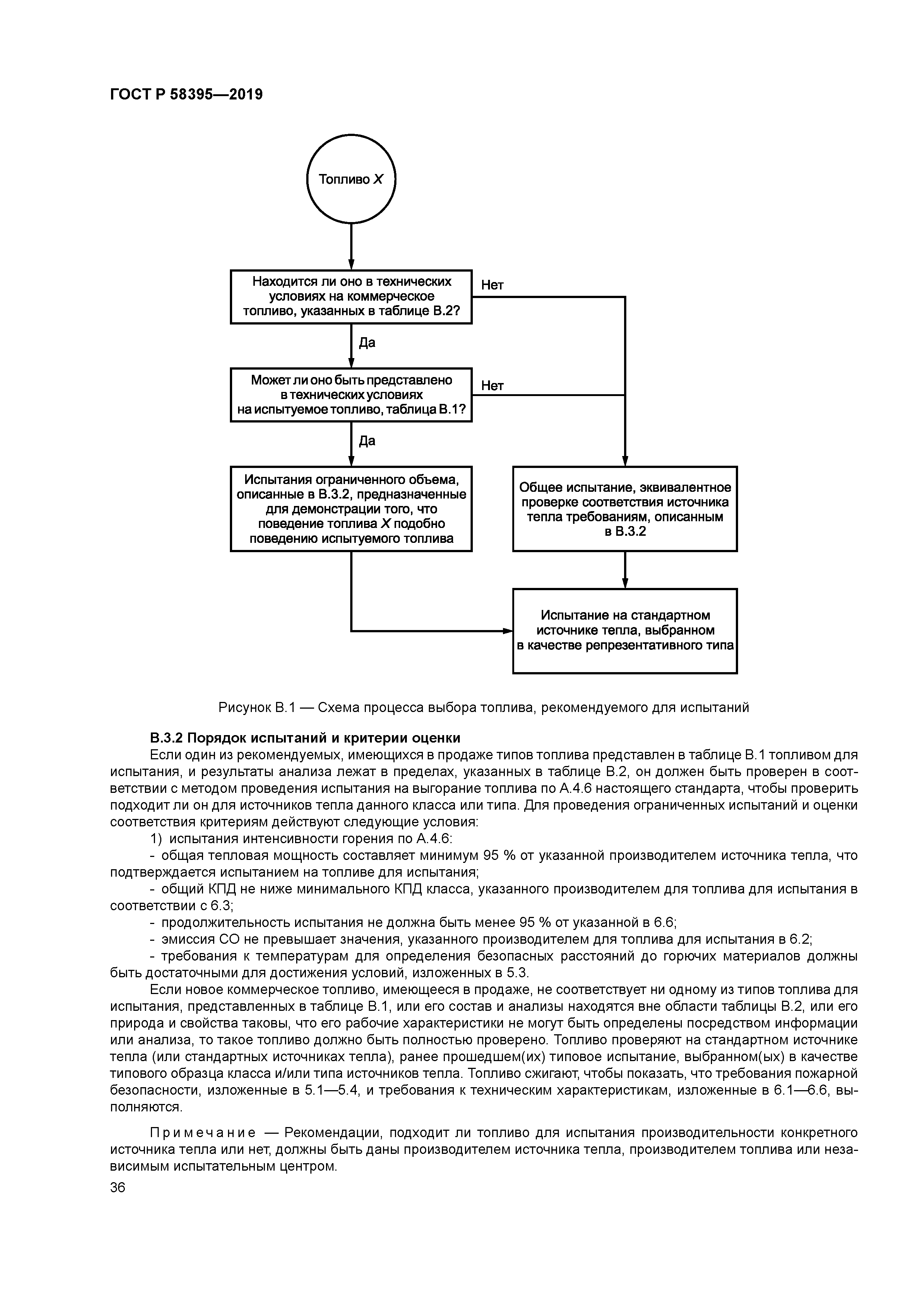
| Оглавление: | 1 Область применения 2 Нормативные ссылки 3 Термины и определения 4 Материалы, проектирование и конструирование 5 Требования безопасности 6 Технические характеристики 7 Инструкции для источника тепла 8 Обозначение 9 Испытание по подтверждению соответствия Приложение A (обязательное) Проведение испытаний Приложение B (обязательное) Топливо для испытания и рекомендуемое топливо Приложение C (справочное) Расчет кривой зависимости отдачи тепла от времени Приложение D (справочное) Информация на этикетке источника тепла Приложение ДА (справочное) Сведения о соответствии ссылочных международных и европейского стандартов национальным и межгосударственным стандартам Библиография |
| Разработан: | Некоммерческое партнерство Альянс. Печных дел мастера |
| Утверждён: | 27.03.2019 Федеральное агентство по техническому регулированию и метрологии (114-ст) |
| Издан: | Стандартинформ (2019 г. ) |
| Нормативные ссылки: |
|
















































