Скачать ОДМ 218.3.115-2019 Конструирование и расчет водоотводных лотков закрытого типа для автомобильных дорог и аэродромовДата актуализации: 01.01.2021
|
| Обозначение: | ОДМ 218.3.115-2019 |
| Обозначение англ: | ODM 218.3.115-2019 |
| Статус: | введен впервые |
| Название рус.: | Конструирование и расчет водоотводных лотков закрытого типа для автомобильных дорог и аэродромов |
| Дата добавления в базу: | 01.02.2020 |
| Дата актуализации: | 01.01.2021 |
| Область применения: | Методический документ устанавливает рекомендации по конструированию и расчету водоотводных лотков закрытого типа для автомобильных дорог и аэродромов. Методический документ предназначен для органов управления дорожным хозяйством, подрядных организаций, выполняющих работы по строительству, реконструкции автомобильных дорог и аэродромов, и органов, контролирующих качество строительных работ. |
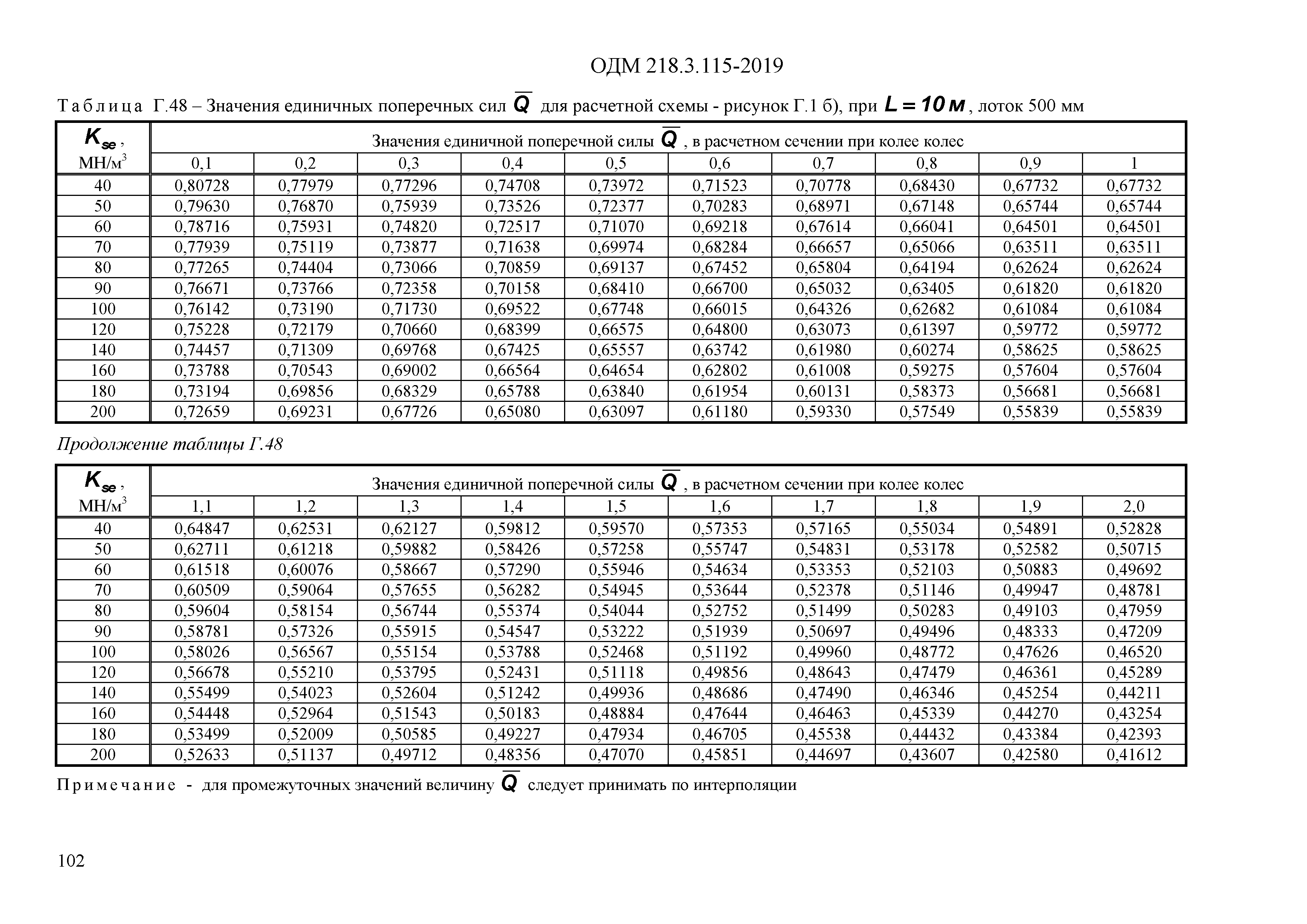
| Оглавление: | 1 Область применения 2 Нормативные ссылки 3 Термины и определения 4 Обозначения и сокращения 5 Общие положения 6 Конструирование водоотводных лотков закрытого типа 7 Гидравлический расчет лотков закрытого типа 8 Расчет на прочность лотков закрытого типа Приложение А. Нормативные нагрузки при расчете на прочность лотков закрытого типа Приложение Б. Нормативные и расчетные характеристики материалов устройства лотков закрытого типа Приложение В. Значения максимальных прогибов и внутренних усилий собственного веса обоймы омоноличивания лотка Приложение Г. Значения максимальных единичных прогибов и внутренних усилий обоймы омоноличивания лотка от внешней нагрузки Приложение Д. Примеры расчета Библиография |
| Разработан: | МАДИ (ГТУ) |
| Утверждён: | 29.07.2019 Федеральное дорожное агентство (1986-р) |
| Издан: | Росавтодор (2019 г. ) |
| Нормативные ссылки: |
|






























































































































