Скачать ГОСТ 34535-2019 Продукты пищевые, корма, продовольственное сырье. Метод определения содержания кокцидиостатиков с помощью высокоэффективной жидкостной хроматографии с масс-спектрометрическим детекторомДата актуализации: 01.01.2021 ГОСТ 34535-2019
Продукты пищевые, корма, продовольственное сырье. Метод определения содержания кокцидиостатиков с помощью высокоэффективной жидкостной хроматографии с масс-спектрометрическим детектором| Обозначение: | ГОСТ 34535-2019 | | Обозначение англ: | GOST 34535-2019 | | Статус: | введен впервые | | Название рус.: | Продукты пищевые, корма, продовольственное сырье. Метод определения содержания кокцидиостатиков с помощью высокоэффективной жидкостной хроматографии с масс-спектрометрическим детектором | | Название англ.: | Food products, feeds, food raw materials. Method for determination of coccidiostats by high performance liquid chromatography - mass spectrometry | | Дата добавления в базу: | 01.02.2020 | | Дата актуализации: | 01.01.2021 | | Дата введения: | 01.04.2020 | | Область применения: | Стандарт распространяется на пищевые продукты и продовольственное сырье - молоко, сухие молочные продукты, яйца, яичный порошок, яичный меланж, мясо и мясные продукты (все виды животных), мясо и субпродукты птицы, рыбу, а также комбикорма и устанавливает метод высокоэффективной жидкостной хроматографии с масс-спектрометрическим детектором (ВЭЖХ-МС/МС) для определения содержания кокцидиостатиков.
Диапазон измерений - от 1,0 до 1000,0 мкг/кг. | | Оглавление: | 1 Область применения 2 Нормативные ссылки 3 Сущность метода 4 Условия выполнения измерений и требования безопасности 5 Средства измерений, вспомогательное оборудование, материалы, посуда и реактивы 6 Подготовка к проведению измерений 6.1 Подготовка лабораторной посуды и реактивов 6.2 Приготовление растворов 6.3 Приготовление градуировочных растворов 7 Отбор и подготовка проб 7.1 Отбор проб 7.2 Подготовка проб 8 Порядок выполнения анализа 8.1 Условия хроматографического разделения 8.2 Установление градуировочной характеристики 8.3 ВЭЖХ-МС/МС измерение 9 Обработка результатов измерений 10 Метрологические характеристики 11 Оформление результатов измерений 12 Контроль качества результатов измерений 13 Контроль стабильности результатов измерений | | Разработан: | ФГБУ ВГНКИ
| | Утверждён: | 30.07.2019 Межгосударственный Совет по стандартизации, метрологии и сертификации (Inter-Governmental Council on Standardization, Metrology, and Certification 120-П) 27.08.2019 Федеральное агентство по техническому регулированию и метрологии (528-ст)
| | Издан: | Стандартинформ (2019 г. )
| | Список изменений: | | | Нормативные ссылки: |   ГОСТ 12.1.005-88 «Система стандартов безопасности труда. Общие санитарно-гигиенические требования к воздуху рабочей зоны»  ГОСТ 12.1.007-76 «Система стандартов безопасности труда. Вредные вещества. Классификация и общие требования безопасности»  ГОСТ 12.1.018-93 «Система стандартов безопасности труда. Пожаровзрывобезопасность статического электричества. Общие требования»  ГОСТ Р ИСО 5725-6-2002 «Точность (правильность и прецизионность) методов и результатов измерений. Часть 6. Использование значений точности на практике» ГОСТ 1770-74 «Посуда мерная лабораторная стеклянная. Цилиндры, мензурки, колбы, пробирки. Общие технические условия» ГОСТ 22300-76 «Реактивы. Эфиры этиловый и бутиловый уксусной кислоты. Технические условия» ГОСТ 25336-82 «Посуда и оборудование лабораторные стеклянные. Типы, основные параметры и размеры»  ГОСТ 2603-79 «Реактивы. Ацетон. Технические условия»  ГОСТ 29227-91 «Посуда лабораторная стеклянная. Пипетки градуированные. Часть 1. Общие требования» ГОСТ 29245-91 «Консервы молочные. Методы определения физических и органолептических показателей» ГОСТ 4288-76 «Изделия кулинарные и полуфабрикаты из рубленого мяса. Правила приемки и методы испытаний» ГОСТ 5848-73 «Реактивы. Кислота муравьиная. Технические условия» ГОСТ 6995-77 «Реактивы. Метанол-яд. Технические условия» ГОСТ 9792-73 «Колбасные изделия и продукты из свинины, баранины, говядины и мяса других видов убойных животных и птиц. Правила приемки и методы отбора проб» ГОСТ 31339-2006 «Рыба, нерыбные объекты и продукция из них. Правила приемки и методы отбора проб» ГОСТ 31467-2012 «Мясо птицы, субпродукты и полуфабрикаты из мяса птицы. Методы отбора проб и подготовка их к испытаниям» ГОСТ OIML R 76-1-2011 «Государственная система обеспечения единства измерений. Весы неавтоматического действия. Часть 1. Метрологические и технические требования. Испытания»  ГОСТ 26809.1-2014 «Молоко и молочная продукция. Правила приемки, методы отбора и подготовка проб к анализу. Часть 1. Молоко, молочные, молочные составные и молокосодержащие продукты» ГОСТ 7269-2015 «Мясо. Методы отбора образцов и органолептические методы определения свежести» ГОСТ 13496.0-2016 «Комбикорма, комбикормовое сырье. Методы отбора проб» ГОСТ 12.2.085-2017 «Арматура трубопроводная. Клапаны предохранительные. Выбор и расчет пропускной способности» ГОСТ 12.1.019-2017 «Система стандартов безопасности труда. Электробезопасность. Общие требования и номенклатура видов защиты»
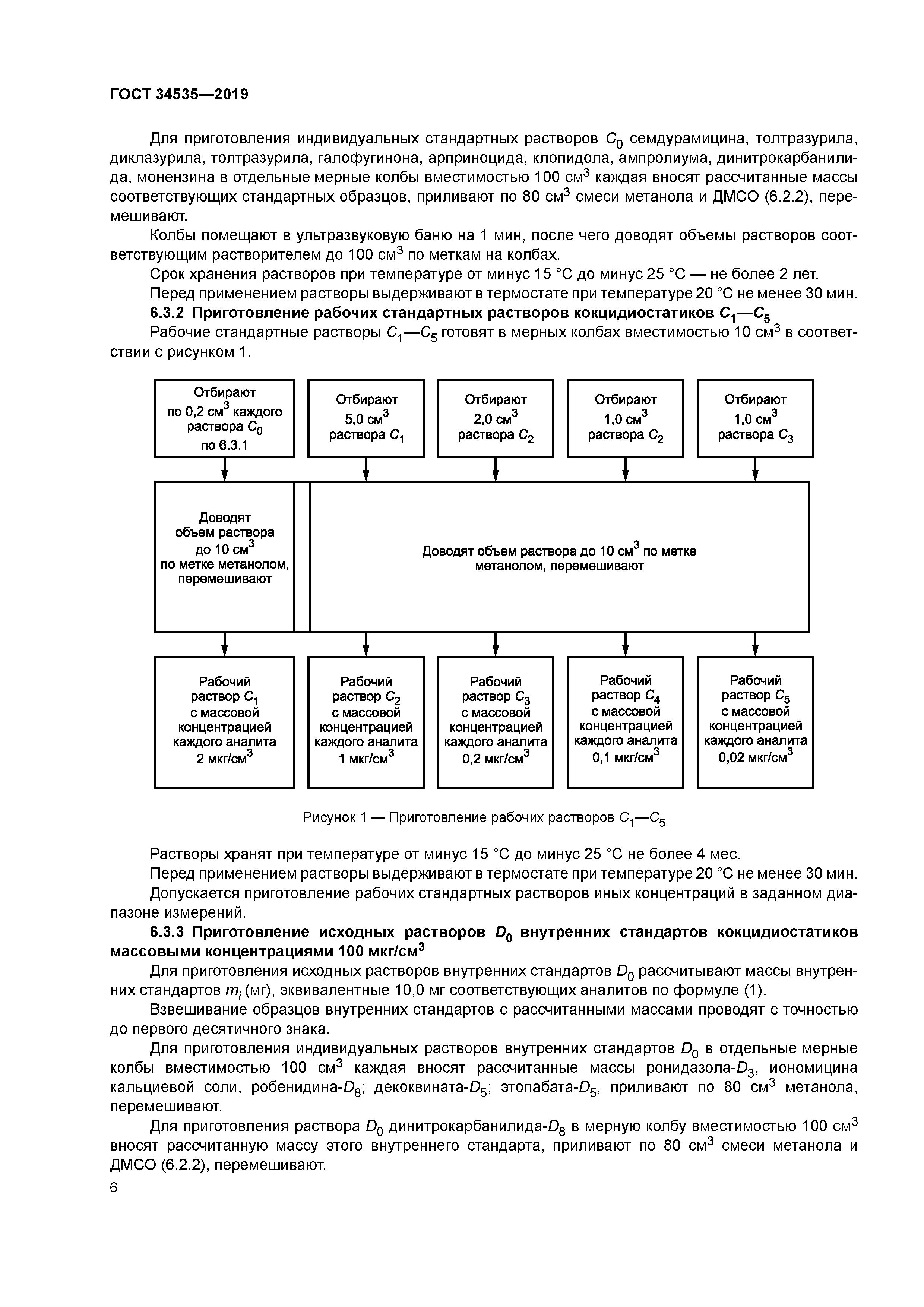
|
                   
Текстовое изменение Поправка от 15.04.2020

Текстовое изменение Поправка от 19.08.2020
|