Главная // Актуальные документы // Актуальные документы (обновление 2025.09.01-2025.09.27) // РуководствоСПРАВКА
Источник публикации
М.: Стройиздат, 1978
Примечание к документу
Название документа
"Руководство по проектированию бетонных и железобетонных конструкций, предназначенных для работы в условиях воздействия повышенных и высоких температур"
"Руководство по проектированию бетонных и железобетонных конструкций, предназначенных для работы в условиях воздействия повышенных и высоких температур"
ПО ПРОЕКТИРОВАНИЮ БЕТОННЫХ И ЖЕЛЕЗОБЕТОННЫХ КОНСТРУКЦИЙ,
ПРЕДНАЗНАЧЕННЫХ ДЛЯ РАБОТЫ В УСЛОВИЯХ ВОЗДЕЙСТВИЯ
ПОВЫШЕННЫХ И ВЫСОКИХ ТЕМПЕРАТУР
Рекомендовано к изданию решением секции теории железобетона НТС НИИЖБ Госстроя СССР.
Руководство содержит основные положения по расчету и проектированию бетонных и железобетонных конструкций, предназначенных для работы в условиях систематического воздействия повышенных (выше 50 до 200 °C) и высоких (выше 200 °C) технологических температур.
В Руководстве приведены примеры расчета прочности, деформаций, образования и раскрытия трещин от воздействия температуры и нагрузки.
Руководство предназначено для инженерно-технических работников проектных организаций, научных работников, преподавателей строительных вузов, аспирантов и студентов.
Настоящее Руководство распространяется на проектирование бетонных и железобетонных конструкций, предназначенных для работы в условиях систематического воздействия повышенных (выше 50 до 200 °C) и высоких (выше 200 °C) технологических температур.
В Руководстве приведены основные положения по расчету и проектированию бетонных и железобетонных конструкций с ненапрягаемой и предварительно-напряженной арматурой, характеристики бетона и арматуры, практические методы расчета прочности (проверка прочности и подбор арматуры), деформаций, образования и раскрытия трещин в железобетонных элементах при систематическом воздействии повышенной и высокой технологической температуры и нагрузки, рекомендации по расчету некоторых наиболее массовых конструкций (своды, купола, фундаменты и т.д.) печей и других тепловых агрегатов, а также приведены требования главы
СНиП II-21-75 "Бетонные и железобетонные конструкции" и "Инструкции по проектированию бетонных и железобетонных конструкций, предназначенных для работы в условиях воздействия повышенных и высоких температур"
(СН 482-76), необходимые для проектирования бетонных и железобетонных конструкций при нагреве.
В Руководстве даны примеры расчета на наиболее типичные случаи, встречающиеся в практике проектирования.
Опыт проектирования, строительства и эксплуатации различных сооружений из обычного и жаростойкого железобетона подтверждает, что можно достигнуть длительного срока службы сооружения, если правильно будут учтены неблагоприятные влияния температуры.
Применение сборного жаростойкого бетона и железобетона в виде крупных блоков и панелей дает возможность индустриализации строительства, уменьшение трудозатрат. Кроме того, в ряде случаев значительно сокращаются сроки строительства.
При составлении Руководства использованы результаты отечественных и зарубежных работ по изучению физико-механических и реологических свойств бетона и арматуры в условиях воздействия повышенных и высоких температур, а также исследования изгибаемых, сжатых и внецентренно-растянутых элементов, круглых и прямоугольных плит, элементов труб, боровов, сводов, рам и куполов из жаростойкого железобетона при воздействии температур.
На основе этих исследований разработаны основы расчета и конструирования бетонных и железобетонных конструкций, работающих в условиях воздействия повышенных и высоких температур.
Руководство разработано Научно-исследовательским институтом бетона и железобетона Госстроя СССР (д-ром техн. наук, проф. А.Ф. Миловановым, кандидатами техн. наук Б.А. Альтшулером, В.М. Милоновым, В.Н. Самойленко и инж. Т.Н. Малкиной). При составлении Руководства использованы материалы институтов Теплопроекта Минмонтажспецстроя СССР, Харьковского Промстройниипроекта Госстроя СССР, КИСИ им. А.И. Микояна Минвуза РСФСР, ДИСИ Минвуза Украины, МИСИ Минвуза Украины, АзИСИ Минвуза Азербайджана и ЭКБ по железобетону Миннефтегазстроя СССР.
Замечания и предложения по Руководству просьба направлять по адресу: 109389, Москва, Ж-389, 2-я Институтская ул., д. 6, НИИ бетона и железобетона.
Дирекция НИИЖБ
1.1. Настоящее Руководство распространяется на проектирование бетонных и железобетонных конструкций, предназначенных для работы в условиях систематического воздействия повышенных (выше 50 до 200 °C) и высоких (выше 200 °C) технологических температур
<1>.
--------------------------------
<1> В дальнейшем в тексте настоящего Руководства для краткости под термином "воздействие температуры" принято понимать систематическое воздействие технологических температур.
Проектирование железобетонных дымовых труб, резервуаров и фундаментов доменных печей, работающих при воздействии температуры выше 50 °C, должно производиться с учетом дополнительных требований, предъявляемых к этим сооружениям соответствующими нормативными документами.
1.2. Выбор конструктивных решений должен производиться исходя из технико-экономической целесообразности их применения в конкретных условиях строительства с учетом максимального снижения материалоемкости, трудоемкости и стоимости строительства, достигаемого путем:
применения эффективных строительных материалов и конструкций;
снижения веса конструкций;
наиболее полного использования физико-механических свойств материалов;
использования местных строительных материалов;
соблюдения требований по экономному расходованию основных строительных материалов.
1.3. При проектировании зданий, сооружений и тепловых агрегатов должны приниматься четкие конструктивные схемы, обеспечивающие необходимую прочность, устойчивость и пространственную неизменяемость конструкции на всех стадиях возведения и эксплуатации.
1.4. Элементы сборных конструкций должны отвечать условиям механизированного изготовления на специализированных предприятиях.
При выборе элементов сборных конструкций должны предусматриваться преимущественно предварительно-напряженные конструкции из высокопрочных бетонов и арматуры, а также конструкции из легких бетонов, где их применение не ограничивается требованиями других нормативных документов.
Целесообразно укрупнять элементы сборных конструкций насколько это позволяют грузоподъемность монтажных механизмов, условия изготовления и транспортирования.
1.5. Для монолитных конструкций следует предусматривать унифицированные размеры, позволяющие применять инвентарную опалубку, а также укрупненные унифицированные пространственные арматурные каркасы.
1.6. В сборных конструкциях особое внимание должно быть обращено на прочность и долговечность соединений.
Конструкции узлов и соединений элементов должны обеспечивать надежную передачу усилий, прочность самих элементов в зоне стыка, а также связь дополнительно уложенного бетона в стыке с бетоном конструкции с помощью различных конструктивных и технологических мероприятий.
1.7. Конструкции рассматриваются как бетонные, если их прочность в стадии эксплуатации обеспечивается одним бетоном.
1.8. Численные значения, приведенные в настоящем Руководстве, расчетных характеристик бетона и арматуры, предельных величин ширины раскрытия трещин и прогибов, применяются только при проектировании; для оценки качества конструкции следует руководствоваться требованиями соответствующих стандартов и нормативных документов.
1.9. Бетонные и железобетонные конструкции, предназначенные для работы в условиях воздействия повышенных температур, следует предусматривать, как правило, из обычного бетона.
Фундаменты, находящиеся в грунте, которые при эксплуатации постоянно подвергаются воздействию температур до 300 °C, допускается принимать из обычного бетона.
Бетонные и железобетонные конструкции, предназначенные для работы в условиях воздействия высоких температур, должны предусматриваться из жаростойкого бетона.
Несущие элементы конструкций тепловых агрегатов, выполняемые из жаростойкого бетона, все сечение которых может быть нагрето выше 1000 °C, допускается принимать только после опытной проверки.
Жаростойкие бетоны в элементах конструкций тепловых агрегатов рекомендуется применять по
прил. 1.
Предельно допустимые температуры применения жаростойкого бетона в зависимости от вида вяжущего, заполнителей, тонкомолотых добавок и отвердителя, а также напряженного состояния конструкции приведены в
табл. 11 настоящего Руководства.
Примечание. В настоящем Руководстве приняты следующие наименования бетонов:
обычный - тяжелый бетон согласно
п. 2.1 главы СНиП II-21-75;
| | ИС МЕГАНОРМ: примечание. Постановлением Госстроя СССР от 12.10.1990 N 86 с 01.07.1991 введен в действие ГОСТ 20910-90. | |
жаростойкий - бетон в соответствии с ГОСТ 20910-75 "Классификация".
1.10. Для конструкций, работающих при воздействии температуры выше 50 °C, необходимо предусматривать защиту поверхности бетона от периодического замачивания.
Окрашенная поверхность бетона или гидроизоляционные покрытия этих конструкций должны быть светлых тонов.
1.11. Циклический нагрев - температурный режим, при котором в процессе эксплуатации конструкция периодически подвергается повторяющемуся нагреву с колебаниями температуры более 30% расчетной величины при частоте циклов от 3 ч до 15 дней.
Постоянный нагрев - температурный режим, при котором в процессе эксплуатации конструкция подвергается нагреву с колебаниями температуры до 30% расчетной величины.
1.12. При проектировании конструкций из жаростойких бетонов необходимо дополнительно учитывать требования к материалам для жаростойких бетонов, технологии приготовления, а также особенности производства работ.
ОСНОВНЫЕ РАСЧЕТНЫЕ ТРЕБОВАНИЯ
1.13. Бетонные и железобетонные конструкции, работающие в условиях воздействия повышенных и высоких температур, должны удовлетворять требованиям расчета по несущей способности (предельные состояния первой группы) и по пригодности к нормальной эксплуатации (предельные состояния второй группы).
а) Расчет по предельным состояниям первой группы должен обеспечивать конструкции от:
хрупкого, вязкого или иного характера разрушения (расчет по прочности с учетом, в необходимых случаях, прогиба конструкции перед разрушением);
потери устойчивости формы конструкции (расчет на устойчивость тонкостенных конструкций и т.п.) или ее положения (расчет на опрокидывание и скольжение подпорных стен, внецентренно-нагруженных высоких фундаментов, расчет на всплывание заглубленных или подземных резервуаров, насосных станций и т.п.);
усталостного разрушения (расчет на выносливость) конструкций, находящихся под воздействием многократно повторяющейся нагрузки подвижной или пульсирующей; рамных фундаментов и перекрытий под некоторые неуравновешенные машины и т.п.;
разрушения под совместным воздействием силовых факторов и неблагоприятных влияний внешней среды, периодического или постоянного воздействия агрессивной среды, действия попеременного замораживания и оттаивания и т.п.
б) Расчет по предельным состояниям второй группы должен обеспечивать конструкции от:
образования трещин, а также их чрезмерного или длительного раскрытия (если по условиям эксплуатации образование или длительное раскрытие трещин недопустимо);
чрезмерных перемещений (прогибов, углов поворота, углов перекоса и колебаний).
1.14. Расчет по предельным состояниям конструкции в целом, а также отдельных ее элементов должен, как правило, производиться для всех стадий: изготовления, транспортирования, возведения и эксплуатации, при этом расчетные схемы должны отвечать принятым конструктивным решениям.
1.15. При расчете бетонных и железобетонных конструкций необходимо учитывать изменения физико-механических и упругопластических свойств бетона и арматуры в зависимости от температуры воздействия. При этом усилия, деформации, образование, раскрытие и закрытие трещин определяются от воздействия как нагрузки (включая собственный вес), так и температуры.
Расчетные схемы и основные предпосылки расчета бетонных и железобетонных конструкций должны устанавливаться в соответствии с условиями их действительной работы в предельном состоянии с учетом в необходимых случаях пластических свойств бетона и арматуры, наличия трещин в растянутом бетоне, а также влияния усадки и ползучести бетона как при нормальной температуре, так и при воздействии повышенных и высоких температур.
1.16. Расчет конструкций, работающих в условиях воздействия повышенных и высоких температур, должен производиться на всевозможные неблагоприятные сочетания нагрузок: собственного веса, внешней нагрузки и воздействия температуры с учетом длительности их действия.
Расчет конструкций с учетом воздействия повышенных и высоких температур должен производиться для следующих двух основных расчетных стадий работы:
кратковременный нагрев - первый разогрев конструкции до расчетной температуры;
длительный нагрев - воздействие расчетной температуры в период эксплуатации.
Расчет статически определимых конструкций по предельным состояниям первой и второй группы (за исключением расчета по образованию трещин) следует производить только на длительный нагрев. Расчет по образованию трещин необходимо производить на кратковременный и длительный нагрев, с учетом усилий, возникающих от нелинейного распределения температуры бетона по высоте сечения элемента.
Расчет статически неопределимых конструкций и их элементов по предельным состояниям первой и второй группы должен производиться:
а) на кратковременный нагрев конструкции, когда возникают наибольшие усилия от воздействия температуры (см.
п. 1.23 настоящего Руководства). При этом жесткость элемента определяется, согласно указаниям
пп. 4.28 -
4.30 настоящего Руководства, как для кратковременного действия всех нагрузок;
б) на длительный нагрев, когда происходит значительное снижение прочности и жесткости элементов в результате воздействия длительной нагрузки и длительного нагрева.
При этом жесткость элементов определяется по указаниям
пп. 4.28 -
4.30 настоящего Руководства с учетом кратковременного и длительного действия всех нагрузок.
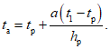
Расчетная технологическая температура принимается равной температуре среды цеха или рабочего пространства теплового агрегата, указанной в задании на проектирование.
Расчетные усилия и деформации от кратковременного и длительного нагревов определяются с учетом коэффициента перегрева согласно
п. 1.40 настоящего Руководства.
1.17. Величины нагрузок и воздействий, значения коэффициентов перегрузок, коэффициентов сочетаний, а также подразделение нагрузок на постоянные и временно-длительные, кратковременные, особые следует принимать в соответствии с требованиями главы СНиП по нагрузкам и воздействиям с учетом дополнительных указаний: нагрузки, учитываемые при расчете по предельным состояниям второй группы, должны приниматься согласно указаниям
пп. 1.19 и
1.29 настоящего Руководства. При этом к длительным нагрузкам следует относить часть полной величины кратковременных нагрузок, оговоренных в главе
СНиП II-6-74, а вводимая в расчет кратковременная нагрузка принимается уменьшенной на величину, учтенную в длительной нагрузке. Коэффициенты сочетаний и другие коэффициенты снижения нагрузок относятся к полной величине кратковременных нагрузок. Нагрузки и воздействия температуры, учитываемые при расчете конструкции по предельным состояниям первой и второй группы, следует принимать согласно указаниям
табл. 1 и
2 настоящего Руководства.
Статическая схема конструкции и расчетная стадия работы | Нагрузки и коэффициенты перегрузки n, температурные воздействия и коэффициенты перегрева nt, принимаемые при расчете |
по прочности | на выносливость | по деформациям |
Статически определимые конструкции при длительном нагреве | Постоянные, длительные и кратковременные нагрузки при n > 1 | Постоянные, длительные и кратковременные нагрузки при n = 1 | Постоянные, длительные и кратковременные нагрузки при n = 1 и усадочно-температурные деформации от воздействия температуры при nt = 1 |
Статически неопределимые конструкции при кратковременном нагреве | Постоянные, длительные и кратковременные нагрузки при n > 1 и наибольшие усилия от воздействия температуры при nt > 1 | Постоянные, длительные и кратковременные нагрузки при n = 1 и наибольшие усилия от воздействия температуры при nt = 1 | Постоянные, длительные и кратковременные нагрузки при n = 1 и усадочно-температурные деформации от воздействия температуры, вызывающей наибольшие усилия при nt = 1 |
Статически неопределимые конструкции при длительном нагреве | Постоянные, длительные и кратковременные нагрузки при n > 1 и усилия от воздействия температуры при nt > 1 | Постоянные, длительные и кратковременные нагрузки при n = 1 и усилия от воздействия температуры при при nt = 1 | Постоянные, длительные и кратковременные нагрузки при n = 1 и усадочно-температурные деформации от воздействия температуры, вызывающей наибольшие усилия при nt = 1 |
Примечания: 1. Бетонные конструкции рассчитываются только по прочности. 2. При расчете статически неопределимых конструкций, кроме сочетаний воздействий температуры и нагрузок, указанных в настоящей таблице, в необходимых случаях следует проверить другие возможные неблагоприятные сочетания воздействий, в том числе и при остывании. 3. В статически неопределимых конструкциях допускается производить расчет: а) при кратковременном нагреве только на наибольшие усилия от воздействия температуры, если усилия от постоянных, длительных и кратковременных нагрузок вызывают напряжения сжатия в бетоне  ; б) при длительном нагреве выше 700 °C - на совместное воздействие постоянных, длительных и кратковременных нагрузок без учета усилий от длительного нагрева. 4. При расчете на кратковременный нагрев длительная нагрузка учитывается как кратковременная. 5. Коэффициент перегрева nt должен приниматься по п. 1.40 настоящего Руководства. 6. При расчете прогибов следует учитывать указания п. 1.29 настоящего Руководства. |
Категория требований к трещиностойкости железобетонных конструкций | Нагрузки и коэффициент перегрузки n, воздействия температуры и коэффициент перегрева nt, принимаемые при расчете |
по образованию трещин | по раскрытию трещин | по закрытию трещин |
кратковременному | длительному |
1-я категория | Постоянные, длительные и кратковременные нагрузки при n > 1 <*> и температурные воздействия от кратковременного и длительного нагрева при nt > 1 <*> | - | - | - |
2-я категория | Постоянные, длительные и кратковременные нагрузки при n > 1 <*> и температурные воздействия от кратковременного и длительного нагрева при nt > 1 <*> (расчет производится для выяснения необходимости проверки по раскрытию трещин и их закрытию) | Постоянные, длительные и кратковременные нагрузки при n = l и температурные воздействия от кратковременного и длительного нагрева при nt = 1 | - | Постоянные и длительные нагрузки при n = 1 и температурные воздействия от длительного нагрева при nt = 1 |
3-я категория | Постоянные, длительные и кратковременные нагрузки при n = 1 и температурные воздействия от кратковременного и длительного нагрева при nt = 1 (расчет производится для выяснения необходимости проверки по раскрытию трещин) | Постоянные, длительные и кратковременные нагрузки при n = 1 и температурные воздействия от кратковременного и длительного нагрева при nt = 1 | Постоянные и длительные нагрузки при n = 1 и температурные воздействия от длительного нагрева при nt = 1 | - |
<*> Коэффициент перегрузки n и коэффициент перегрева nt принимаются как при расчете по прочности. Примечания: 1. Длительные и кратковременные нагрузки принимаются с учетом указаний п. 1.17 настоящего Руководства. 2. При расчете по образованию трещин на температурные воздействия необходимо учитывать требования п. 4.3 настоящего Руководства. 3. При расчете по раскрытию трещин на температурные воздействия необходимо учитывать различие температурных деформаций бетона и арматуры согласно требованиям п. 4.10 настоящего Руководства. 4. Коэффициент перегрева nt должен приниматься согласно указаниям п. 1.40 настоящего Руководства. 5. Особые нагрузки учитываются в расчете по образованию трещин в тех случаях, когда наличие трещин приводит к катастрофическому положению (взрыв, пожар и т.п.). |
При расчете по прочности в необходимых случаях должны учитываться особые нагрузки с коэффициентами перегрузки n, принимаемыми по соответствующим нормативным документам. При этом усилия, вызванные воздействием температуры, не учитываются.
1.18. При расчете элементов сборных конструкций на воздействие усилий, возникающих при их подъеме, транспортировании и монтаже, нагрузку от собственного веса элемента следует вводить в расчет с коэффициентом динамичности, равным 1,8 - при транспортировании и 1,5 - при подъеме и монтаже.
В этом случае коэффициент перегрузки к нагрузке от собственного веса элемента не вводится.
Для указанных выше коэффициентов динамичности допускается принимать более низкие значения, если это подтверждено опытом применения конструкций, но не ниже 1,25.
1.19. К трещиностойкости конструкций (или их частей) предъявляются требования соответствующих категорий в зависимости от условий, в которых работает конструкция, и от вида применяемой арматуры:
а) 1-я категория - не допускается образование трещин;
б) 2-я категория - допускается ограниченное по ширине кратковременное раскрытие трещин при условии обеспечения их последующего надежного закрытия (зажатия);
в) 3-я категория - допускается ограниченное по ширине кратковременное и длительное раскрытие трещин.
Категории требований к трещиностойкости железобетонных конструкций в зависимости от условий их работы, вида арматуры, а также величины предельно допустимой ширины раскрытия трещин для элементов, эксплуатируемых в условиях неагрессивной среды, приведены в
табл. 3. Нагрузки, учитываемые при расчете железобетонных конструкций по образованию трещин, их раскрытию или закрытию, должны приниматься согласно
табл. 2 настоящего Руководства. Если в конструкции или ее частях, к которым предъявляются требования 2-й и 3-й категорий трещиностойкости, трещины не образуются при соответствующих нагрузках и температурах, указанных в
табл. 2, их расчет по кратковременному раскрытию и закрытию трещин (для 2-й категории) или по кратковременному и длительному раскрытию трещин (для 3-й категории) не производится.
Условия работы конструкции | Температура нагрева арматуры, °C | Категории требований к трещиностойкости железобетонных конструкций и предельно допустимая ширина кратковременного и длительного раскрытия трещин aт.кр и aт.дл при арматуре |
стержневой классов А-I, А-II и А-III | стержневой классов А-IV, Ат-IV, А-V и Ат-V, проволочной классов В-I и Вр-I | стержневой класса Ат-VI, проволочной классов В-II, Вр-II и К-7 при диаметре проволоки 4 мм и более | проволочной классов В-II и Вр-II при диаметре проволоки 3 мм, класса К-7 при диаметре проволоки 3 мм и менее |
1. Элементы с полностью растянутым сечением, воспринимающие давление жидкостей или газов, а также эксплуатируемых в грунте ниже уровня грунтовых вод | До 130 | 3-я категория, aт.кр = 0,2 мм, aт.дл = 0,1 " | 1-я категория | 1-я категория | 1-я категория |
Свыше 130 | 3-я категория, aт.кр = 0,25 мм, aт.дл = 0,15 " |
2. То же, при частично сжатом сечении | До 130 | 3-я категория, aт.кр = 0,3 мм, aт.дл = 0,2 " | 3-я категория, aт.кр = 0,3 мм, aт.дл = 0,2 " | 2-я категория, aт.кр = 0,1 мм | 1-я категория |
Свыше 130 | 3-я категория, aт.кр = 0,4 мм, aт.дл = 0,3 " | 3-я категория, aт.кр = 0,4 мм, aт.дл = 0,3 " | 2-я категория, aт.кр = 0,2 мм |
3. Элементы хранилищ сыпучих тел, непосредственно воспринимающие их давление | До 130 | 3-я категория, aт.кр = 0,3 мм, aт.дл = 0,2 " | 3-я категория, aт.кр = 0,3 мм, aт.дл = 0,2 " | 2-я категория, aт.кр = 0,1 мм | 2-я категория, aт.кр = 0,05 мм |
Свыше 130 | 3-я категория, aт.кр = 0,4 мм, aт.дл = 0,3 " | 3-я категория, aт.кр = 0,4 мм, aт.дл = 0,3 " | 2-я категория, aт.кр = 0,2 мм | 2-я категория, aт.кр = 0,1 мм |
4. Прочие элементы, эксплуатируемые на открытом воздухе, а также в грунте выше уровня грунтовых вод | До 130 | 3-я категория, aт.кр = 0,4 мм, aт.дл = 0,3 " | 3-я категория, aт.кр = 0,4 мм, aт.дл = 0,3 " | 2-я категория, aт.кр = 0,15 мм | 2-я категория, aт.кр = 0,05 мм |
Свыше 130 | 3-я категория, aт.кр = 0,6 мм, aт.дл = 0,5 " | 3-я категория, aт.кр = 0,6 мм, aт.дл = 0,5 " | 2-я категория, aт.кр = 0,25 мм | 2-я категория, aт.кр = 0,1 мм |
5. То же, в закрытом помещении | До 130 | 3-я категория, aт.кр = 0,4 мм, aт.дл = 0,3 " | 3-я категория, aт.кр = 0,4 мм, aт.дл = 0,3 " | 3-я категория, aт.кр = 0,15 мм, aт.дл = 0,1 " | 2-я категория, aт.кр = 0,15 мм |
Свыше 130 | 3-я категория, aт.кр = 0,6 мм, aт.дл = 0,5 " | 3-я категория, aт.кр = 0,6 мм, aт.дл = 0,5 " | 3-я категория, aт.кр = 0,25 мм, aт.дл = 0,2 " | 2-я категория, aт.кр = 0,25 мм |
Указанные выше категории требований к трещиностойкости железобетонных конструкций относятся к нормальным и наклонным к продольной оси элемента трещинам.
Во избежание развития продольных трещин должны приниматься конструктивные меры (установка соответствующей поперечной арматуры).
Для конструкций в производствах с агрессивными средами ширина раскрытия трещин устанавливается, согласно указаниям главы
СНиП II-28-73, с учетом рекомендаций по защите арматуры от коррозии, плотности бетона и толщины защитного слоя.
Примечание. Под кратковременным раскрытием трещин понимается их раскрытие при действии постоянных длительных и кратковременных нагрузок, кратковременного нагрева, а под длительным раскрытием - при действии постоянных и длительных нагрузок и длительного нагрева.
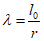
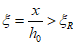
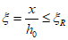
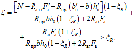
1.20. Для железобетонных слабоармированных элементов, характеризуемых тем, что их несущая способность исчерпывается одновременно с образованием трещин в бетоне растянутой зоны (см.
п. 4.4 настоящего Руководства), площадь сечения продольной растянутой арматуры должна быть увеличена по сравнению с требуемой из расчета по прочности не менее, чем на 15%.
1.21. Усилия в статически неопределимых железобетонных конструкциях от нагрузок и вынужденных перемещений (вследствие изменения температуры, влажности бетона, смещения опор и т.п.) при расчете по предельным состояниям первой и второй группы следует, как правило, определять с учетом неупругих деформаций бетона и арматуры и наличия трещин, а также с учетом в необходимых случаях деформированного состояния как отдельных элементов, так и конструкции.
1.22. Определение усилий в статически неопределимых конструкциях от внешней нагрузки, собственного веса и от воздействия повышенных и высоких температур производят по правилам строительной механики методом последовательных приближений. При этом жесткость элемента определяется с учетом неупругих деформаций и наличия трещин в бетоне от совместного действия внешней нагрузки, собственного веса и температуры.
1.23. При кратковременном нагреве усилия от воздействия температуры в элементах статически неопределимых конструкций должны определяться в зависимости от температуры бетона, вызывающей наибольшие усилия:
а) при нагреве выше 50 до 500 °C - по расчетной температуре;
б) при нагреве выше 500 °C для бетона составов (см.
табл. 11 настоящего Руководства):
Для конструкций, находящихся на открытом воздухе, расчет наибольших усилий от воздействия температур производят, принимая расчетные температуры воздуха по
п. 1.53 настоящего Руководства.
При длительном нагреве усилия от воздействия температуры следует определять в зависимости от расчетной температуры.
1.24. При расчете по прочности, перемещениям (деформациям), а также раскрытию и закрытию трещин распределение температуры в сечениях конструкций определяется из теплотехнического расчета для установившегося режима теплового потока. При расчете по образованию трещин от нагрева распределение температур в сечениях конструкций определяется для неустановившегося потока тепла согласно требованиям
пп. 1.47 -
1.53 настоящего Руководства.
1.25. При расчете усилий, вызванных воздействием температуры, в сборных элементах конструкций жесткость сечений следует уменьшить на 20%, когда марка раствора в стыке на 100 кгс/см2 меньше марки бетона сборного элемента.
1.26. Расчет элементов бетонных и железобетонных конструкций по прочности, схемы предельных состояний которых при расчете на воздействие температуры еще не установлены или, для которых условия наступления предельного состояния пока не могут быть выражены через усилия, может производиться через напряжения с учетом наличия трещин и развития неупругих деформаций бетона. При этом напряжения в бетоне и арматуре не должны превышать соответствующих расчетных сопротивлений.
1.27. При расчете несущих конструкций, бетон которых неравномерно нагрет по высоте сечения элемента, часть сечения, нагретую выше 1000 °C, допускается не учитывать.
1.28. При расчете элементов, подвергающихся нагреву, положение центра тяжести всего сечения бетона или его сжатой зоны, а также статический момент и момент инерции всего сечения следует определять, приводя все сечение к ненагретому, более прочному бетону. Для этой цели при расчете с использованием ЭВМ сечение по высоте разбивается не менее, чем на 4 части.
При расчете по прочности, деформациям и раскрытию или закрытию трещин без использования ЭВМ при прямолинейном распределении температуры бетона по высоте сечения элемента допускается разбивать сечения согласно следующим указаниям:
для элемента, выполненного из одного вида бетона и если температура бетона наиболее нагретой грани не превышает 400 °C, сечение не разбивается на части и момент инерции приведенного сечения Iп относительно центра тяжести сечения принимается равным

(1)
где

- коэффициент, принимаемый в зависимости от температуры бетона в центре тяжести сечения по
табл. 16 настоящего Руководства;

- коэффициент, принимаемый в зависимости от температуры бетона в центре тяжести сечения по
табл. 18 настоящего Руководства для кратковременного нагрева;
kп - коэффициент, учитывающий влияние кратковременной ползучести бетона и принимаемый для бетона составов (см.
табл. 11 настоящего Руководства):
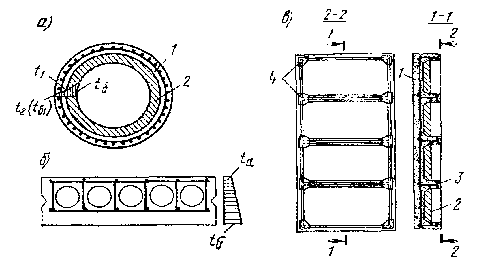
для элемента, сечение которого по высоте состоит из двух видов бетона, а также прямоугольного и таврового сечений, выполненных из одного вида бетона, если температура бетона наиболее нагретой грани превышает 400 °C, сечение разбивается по высоте на две части (
рис. 1,
а);
для элемента, сечение которого по высоте состоит из трех видов бетона, а также двутаврового сечения, выполненного из одного вида бетона, если температура бетона наиболее нагретой грани превышает 400 °C, сечение разбивается на три части (
рис. 1,
б).
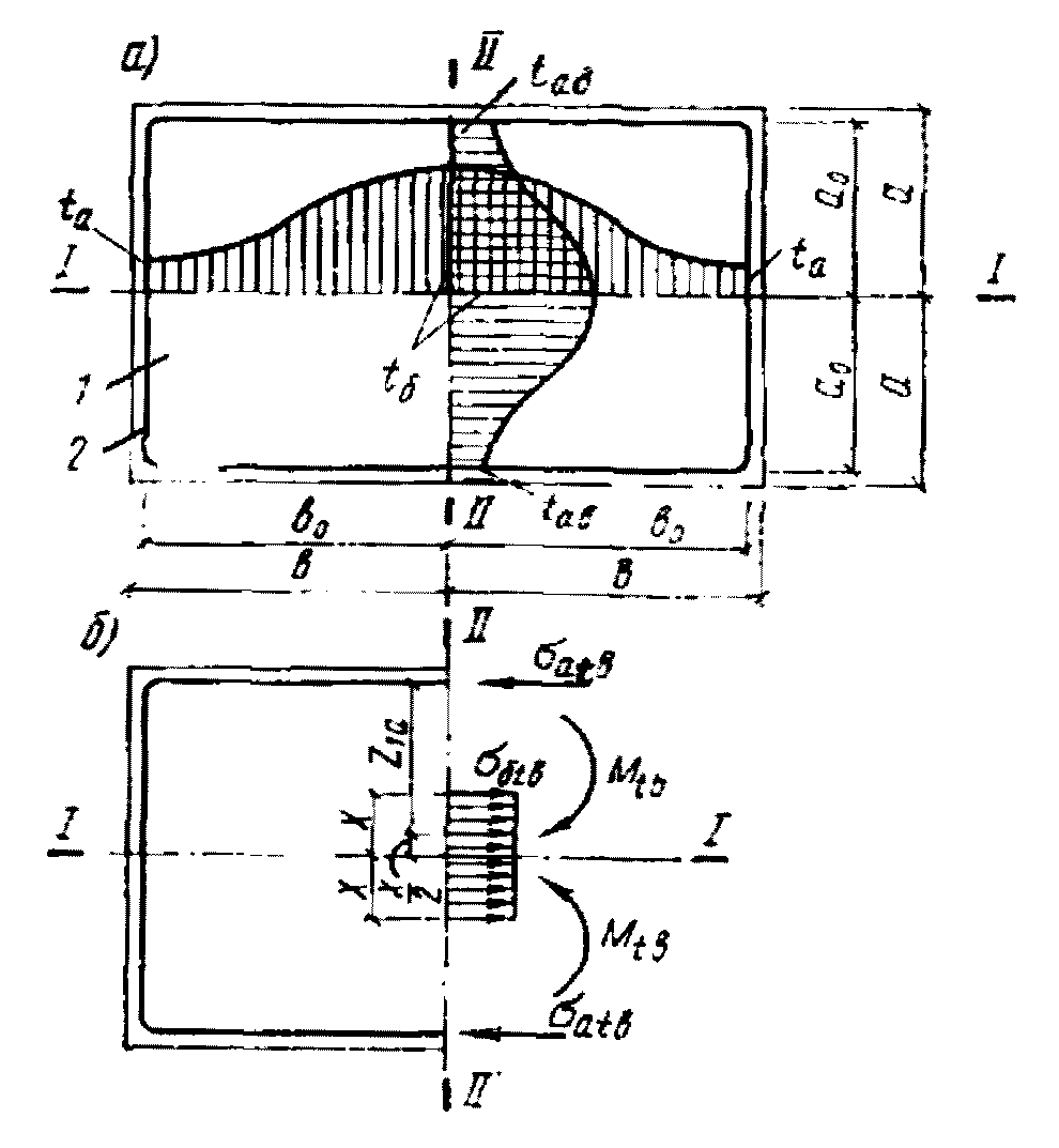
Рис. 1. Схемы разбивки на части по высоте прямоугольного,
таврового и двутаврового сечения элементов
а - на две части; б - на три части; в - на четыре части
При расчете по образованию трещин определение напряжений от воздействия температуры производится, разбивая сечение не менее, чем на 4 части, независимо от температуры бетона (
рис. 1,
в).
В прямоугольном сечении элемента, выполненном из одного вида бетона, когда сечение по высоте разбивается на две части, линия раздела должна проходить по бетону, имеющему температуру, равную 400 °C. В двутавровых и тавровых сечениях элементов, выполненных из одного вида бетона, линия раздела должна проходить по границе между ребром и полкой. В элементе, сечение которого по высоте состоит из различных видов бетонов, линия раздела должна проходить по границе бетонов.
Во всех случаях расчета арматура рассматривается как самостоятельная часть сечения.
Для каждой части сечения определяют приведенную площадь Fп, статический момент площади приведенного сечения Sп и момент инерции приведенного сечения Iп с учетом температуры бетона в центре тяжести сечения.
Приведенная площадь Fпi i-той части сечения, на которые разбивается все сечение элемента, определяется по формуле

(2)
где Fi - площадь i-той части сечения;

,

- коэффициенты, принимаемые в зависимости от температуры бетона в центре тяжести площади
i-той части сечения, как в
формуле (1);
При расчете без использования ЭВМ величины коэффициентов

и

допускается определять в зависимости от средней температуры бетона
i-той части сечения.
Площадь ненапрягаемой нагретой растянутой
Fа и сжатой

арматуры приводится к ненагретому, более прочному бетону:

(3)

(4)
где
Eа - модуль упругости арматуры принимается по
табл. 37 настоящего Руководства;

- коэффициент, принимаемый в зависимости от температуры арматуры по
табл. 35 настоящего Руководства.
Расстояние от центра тяжести приведенного сечения до наименее нагретой грани определяется по формуле

(5)
Площадь приведенного сечения элемента определяется по формуле

(6)
Статический момент площадей приведенного сечения элемента относительно грани, растянутой внешней нагрузкой и воздействием температуры, определяется по формуле

(7)
где yi - расстояние от центра тяжести i-той части сечения бетона до наименее нагретой грани элемента, принимаемое равным

(8)
здесь

(9)
При расчете без использования ЭВМ допускается принимать
pi = 0,5hi. (10)
Момент инерции приведенного сечения определяется по формуле

(11)
где Iпi - момент инерции i-той части сечения бетона, определяемый по формуле

(12)
yбi - расстояние от центра тяжести i-той части сечения бетона до центра тяжести всего приведенного сечения,
Расстояния от центра тяжести сжатой

и растянутой
yа арматуры до центра тяжести сечения элемента равны:

(15)
1.29. Прогибы элементов железобетонных конструкций не должны превышать их предельно допустимых величин, устанавливаемых с учетом следующих требований:
а) технологических (условия нормальной работы кранов, технологических установок, машин и т.п.);
б) конструктивных (влияние соседних элементов, ограничивающих деформации; необходимость выдерживания заданных уклонов и т.п.);
в) эстетических (впечатление людей о пригодности конструкций).
Величины предельно допустимых прогибов приведены в
табл. 4.
Элементы конструкций | Предельно допустимые прогибы |
1. Подкрановые балки при кранах: | |
а) ручных | l/500 |
б) электрических | l/600 |
2. Перекрытия с плоским потолком и элементы покрытия при пролетах: | |
а) l < 6 м | l/200 |
б) 6 м <= l <= 7,5 м | 3 см |
в) l > 7,5 м | l/250 |
3. Перекрытия с ребристым потолком и элементы лестниц при пролетах: | |
а) l < 5 м | l/200 |
б) 5 м <= l <= 10 м | 2,5 см |
в) l > 10 м | l/400 |
4. Навесные стеновые панели (при расчете из плоскости) при пролетах: | |
а) l < 6 м | l/200 |
б) 6 м <= l <= 7,5 м | 3 см |
в) l > 7,5 м | l/250 |
l - пролет балок или плит: для консолей принимают l = 2l1, где l1 - вылет консоли. |
Расчет прогибов должен производиться:
при ограничении технологическими или конструктивными требованиями - на действие постоянных, длительных и кратковременных нагрузок с учетом прогиба от кратковременного и длительного нагрева согласно указаниям
пп. 4.23 -
4.27 настоящего Руководства;
при ограничении эстетическими требованиями - на действие постоянных и длительных нагрузок с учетом прогиба от длительного нагрева согласно указаниям
пп. 4.23 -
4.27 настоящего Руководства.
При этом коэффициент перегрузки n и коэффициент перегрева nt принимаются равными единице.
Для железобетонных элементов, выполненных со строительным подъемом, значения предельно допустимых прогибов могут быть увеличены на высоту строительного подъема, если это не ограничивается технологическими или конструктивными требованиями. Величины предельно допустимых прогибов для других конструкций, не предусмотренных
табл. 4, устанавливаются по специальным требованиям, но при этом они не должны превышать
1/
150 пролета и
1/
75 вылета консоли.
Предельно допустимые деформации от воздействия температуры в элементах конструкций, в которых требуется их ограничение при нагревании и охлаждении, должны устанавливаться нормативными документами по проектированию соответствующих конструкций, а при их отсутствии должны указываться в задании на проектирование.
Для несвязанных с соседними элементами железобетонных плит перекрытий, площадок и т.п. должна производиться дополнительная проверка по зыбкости: добавочный прогиб от кратковременно действующей сосредоточенной нагрузки 100 кгс при наиболее невыгодной схеме ее приложения должен быть не более 0,7 мм.
1.30. При расчете по прочности бетонных и железобетонных элементов на воздействие сжимающей продольной силы
N должен приниматься во внимание случайный эксцентриситет

, обусловленный неучтенными в расчете факторами. Эксцентриситет

в любом случае принимается не менее одного из следующих значений:
1/
600 всей длины элемента или длины его части (между точками защемления элемента), учитываемой в расчете,
1/
30 высоты сечения элемента или 1 см.
Для элементов статически неопределимых конструкций величина эксцентриситета продольной силы относительно центра тяжести приведенного сечения
e0 принимается равной эксцентриситету, полученному из статического расчета конструкции, но не менее

. В элементах статически определимых конструкций эксцентриситет
e0 находится как сумма эксцентриситетов - определяемого из статического расчета конструкции и случайного.
При расчете по трещиностойкости и по деформациям эксцентриситет

не учитывается.
В случае, если величина эксцентриситета
e0 принята в соответствии с указаниями настоящего пункта, равной

, а расчетная длина элемента прямоугольного сечения
l0 <= 20
h, допускается производить его расчет согласно
п. 3.37 настоящего Руководства.
1.31. Расстояния между температурно-усадочными швами должны устанавливаться расчетом.
Расчет допускается не производить при расчетных зимних температурах наружного воздуха выше минус 40 °C для конструкций с ненапрягаемой арматурой, а также для предварительно-напряженных конструкций, к трещиностойкости которых предъявляются требования 3-й категории (см.
табл. 3 настоящего Руководства), если принятое расстояние между температурно-усадочными швами не превышает величины, приведенной в
табл. 5 настоящего Руководства, умноженной на коэффициенты
kt,
kн и
kв, принимаемые по
табл. 6 настоящего Руководства.
Расстояние между температурными швами в фундаментах принимается в соответствии с расположением швов в вышележащих конструкциях.
Конструкции | Наибольшие расстояния, м, между температурно-усадочными швами, допускаемые без расчета для конструкций, находящихся |
внутри отапливаемых зданий или в грунте | на открытом воздухе или в неотапливаемых зданиях |
1. Бетонные конструкции: | | |
а) сборные | 40 | 30 |
б) монолитные при конструктивном армировании | 30 | 20 |
в) монолитные без конструктивного армирования | 20 | 10 |
2. Железобетонные конструкции с ненапрягаемой арматурой или предварительно-напряженные, удовлетворяющие требованиям 3-й категории к их трещиностойкости: | | |
а) сборно-каркасные, в том числе смешанные с металлическими покрытиями | 60 | 40 |
б) сборные сплошные | 50 | 30 |
в) монолитные и сборно-монолитные каркасные | 50 | 30 |
г) монолитные и сборно-монолитные сплошные | 40 | 25 |
Примечания: 1. Для железобетонных конструкций одноэтажных зданий соответствующие расстояния между температурно-усадочными швами, указанные в настоящей таблице, увеличиваются на 20%. 2. Величины, приведенные в настоящей таблице, относятся к каркасным зданиям при отсутствии связей либо при расположении связей в середине деформационного блока. 3. Величины, приведенные в настоящей таблице, в соответствующих случаях следует умножать на коэффициенты kt, kн и kв, указанные в табл. 6 настоящего Руководства. |
Факторы, обусловливающие введение коэффициентов | Коэффициент |
условное обозначение | величина |
1. Расчетная температура в °C: | kt | |
50 | | 1 |
70 | | 0,9 |
120 | | 0,8 |
200 | | 0,6 |
500 | | 0,3 |
800 | | 0,2 |
1000 и выше | | 0,1 |
2. Расчетная температура воздуха (наиболее холодная пятидневка): | kн | |
ниже минус 30 °C до минус 39 °C включительно | | 1 |
ниже минус 20 °C до минус 30 °C включительно | | 1,1 |
ниже минус 10 °C до минус 20 °C включительно при относительной влажности воздуха: | | |
40% и ниже | | 1 |
выше 40% | | 1,2 |
минус 10 °C и выше при относительной влажности воздуха: | | |
40% и ниже | | 1,1 |
выше 40% | | 1,2 |
3. Расстояние от верха фундамента до низа подкрановых балок, а при их отсутствии - до низа ферм или балок покрытия в одноэтажных зданиях; оси балок перекрытия в многоэтажных зданиях: | kв | |
3 м и менее | | 1 |
5 м | | 1,3 |
7 м | | 1,7 |
9 м и более | | 2,2 |
Примечание. Величины коэффициентов kt и kв для промежуточных значений соответственно температур и высот принимаются по интерполяции. |
ДОПОЛНИТЕЛЬНЫЕ УКАЗАНИЯ ПО ПРОЕКТИРОВАНИЮ
ПРЕДВАРИТЕЛЬНО-НАПРЯЖЕННЫХ КОНСТРУКЦИЙ
1.32. Расчет предварительно-напряженных железобетонных конструкций, работающих в условиях воздействия повышенных и высоких температур, должен производиться в соответствии с требованиями главы
СНиП II-21-75, Руководства по проектированию предварительно-напряженных железобетонных конструкций из тяжелого бетона и с учетом дополнительных указаний
пп. 1.33 -
1.38 настоящего Руководства.
1.33. Температура нагрева предварительно-напряженной арматуры не должна превышать предельно допустимой температуры ее применения, указанной в
табл. 24 настоящего Руководства.
1.34. Сжимающие напряжения в бетоне в стадии предварительного обжатия

не должны превышать:
а) для конструкций из обычного бетона, подвергающихся воздействию повышенных температур при относительной влажности воздуха:
40% и ниже - 0,5R0;
выше 40% и ниже 70% - 0,4R0;
70% и выше - 0,3R0;
б) для конструкций из жаростойкого бетона при воздействии температур:
до 400 °C - 0,3R0;
выше 400 °C - 0,2R0.
1.35. Полная величина потерь предварительного напряжения арматуры, учитываемая при расчете конструкций, работающих в условиях воздействия температуры выше 50 °C, определяется как сумма потерь:
основных - без учета воздействия температуры;
дополнительных - от воздействия температуры.
Основные потери предварительного напряжения арматуры для конструкций из обычного бетона
состава N 1 и жаростойкого бетона
составов N 10 и
11 по табл. 11 настоящего Руководства следует определять как для тяжелого бетона по данным
табл. 4 главы СНиП II-21-75. Величину потерь от усадки жаростойкого бетона следует принимать на 100 кгс/см
2 больше указанных в
п. 8 "а" табл. 4 главы СНиП II-21-75.
При вычислении коэффициента

по
формуле (6) главы СНиП II-21-75 время (в сутках) следует принимать: при определении потерь от ползучести - со дня обжатия бетона и от усадки - со дня окончания бетонирования до нагрева конструкции.
Дополнительные потери предварительного напряжения арматуры должны приниматься согласно
табл. 7 настоящего Руководства.
Факторы, вызывающие потери предварительного напряжения арматуры | Величина дополнительных потерь предварительного напряжения, кгс/см2 |
| |
а) постоянном | 600 |
б) циклическом (см. п. 1.11 настоящего Руководства) | 400 |
| |
высыхающего бетона при нагреве: | |
а) постоянном | |
б) циклическом | |
бетона естественной влажности при нагреве: | |
в) постоянном | |
г) циклическом | |
3. Релаксация напряжений арматуры при нагреве: | |
а) проволочной классов В-II, Вр-II и К-7 | |
б) стержневой классов А-IV, Ат-IV, А-V, Ат-V и Ат-VI | |
4. Разность деформаций бетона и арматуры от воздействия температуры | |
 - разность между температурой арматуры при эксплуатации, определяемой теплотехническим расчетом, согласно пп. 1.47 - 1.53 настоящего Руководства, и температурой арматуры при натяжении, которую допускается принимать равной 20 °C;  - коэффициент, принимаемый по табл. 20 настоящего Руководства в зависимости от температуры бетона на уровне напрягаемой арматуры;  - коэффициент, принимаемый по табл. 35 настоящего Руководства; Eа - модуль упругости арматуры, принимаемый по табл. 37 настоящего Руководства;  - коэффициент, принимаемый по табл. 35 настоящего Руководства в зависимости от температуры арматуры. Примечания: 1. Потери предварительного напряжения от релаксации напряжений арматуры учитываются при температуре арматуры выше 40 °C. 2. Потери предварительного напряжения арматуры от разности деформаций бетона и арматуры учитываются в элементах, выполненных из обычного бетона, при кратковременном нагреве арматуры выше 100 °C и в элементах из жаростойкого бетона при кратковременном нагреве арматуры выше 70 °C. 3. Если от усилий, вызванных совместным действием нагрузки, температуры и предварительного обжатия, в бетоне на уровне арматуры в стадии эксплуатации возникают растягивающие напряжения, то дополнительные потери от ползучести бетона не учитываются. |
1.36. Величины установившихся напряжений в бетоне

после проявления всех основных потерь должны определяться по формуле

(16)
Геометрические характеристики приведенного сечения предварительно-напряженного железобетонного элемента (
Fп,
Sп,
Iп) определяются, согласно
п. 1.28 настоящего Руководства, с учетом продольной предварительно-напряженной арматуры
A и
A' и влияния температуры на снижение модулей упругости арматуры и бетона.
1.37. Усилия от воздействия температуры в статически неопределимых предварительно-напряженных железобетонных конструкциях определяют согласно
пп. 1.45 и
1.46 настоящего Руководства.
При определении усилий от воздействия температуры жесткость элемента вычисляют согласно указаниям
пп. 4.28 -
4.30 настоящего Руководства.
1.38. При определении общего прогиба предварительно-напряженного железобетонного элемента необходимо учитывать прогиб, вызванный неравномерным нагревом бетона по высоте сечения элемента, согласно требованиям
п. 4.26 настоящего Руководства.
ДЕФОРМАЦИИ И УСИЛИЯ ОТ ВОЗДЕЙСТВИЯ ТЕМПЕРАТУРЫ
1.39. Расчет деформаций, вызванных нагреванием и охлаждением бетонных и железобетонных элементов, должен производиться в зависимости от наличия трещин в растянутой зоне бетона и распределения температуры бетона по высоте сечения элемента.
1.40. Для участков бетонного и железобетонного элементов, где в растянутой зоне не образуются трещины, нормальные к продольной оси элемента, деформации от нагрева следует рассчитывать согласно следующим указаниям:
а) сечение элемента приводится к более прочному бетону согласно
п. 1.28 настоящего Руководства; удлинение

оси элемента и ее кривизна

определяются по формулам:

(17)

(18)
Удлинение

оси
i-той части бетонного сечения и ее кривизна
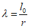
(рис. 2) определяются по формулам:

(19)

(20)
Рис. 2. Схемы распределения при нелинейном изменении
температур по высоте бетонного сечения элементов
а - температуры бетона; б - деформации удлинения от нагрева;
в - напряжения в бетоне от нагрева; г - деформации
укорочения от остывания; д - напряжения в бетоне
от остывания
Удлинения

и

соответственно арматуры
A и
A' определяются по формулам:

(21)

(22)
Fп,
Fпi,
Fп.а,

,
yб.i,
yа,

,
Iп,
Iп.i,
pi - принимаются как в
п. 1.28 настоящего Руководства;

и

- коэффициенты, принимаемые по
табл. 20 настоящего Руководства в зависимости от температуры бетона более и менее нагретой грани
i-той части сечения;

- коэффициент, принимаемый по
табл. 35 настоящего Руководства в зависимости от температуры арматуры
A и
A';
nt - коэффициент перегрева, принимаемый при расчете по предельным состояниям:
первой группы - 1,1;
второй группы - 1.
При расчете бетонного сечения в
формулах (17) и
(18) настоящего Руководства удлинение арматуры

и

не учитывается;
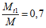
б) при неравномерном нагреве бетона с прямолинейным распределением температуры по высоте сечения элемента (
рис. 3,
а) удлинение

оси элемента и ее кривизну

допускается определять по формулам:

(23)

(24)
где
tб и
tб1 - температура бетона менее и более нагретой грани сечения, определяемая теплотехническим расчетом согласно указаниям
пп. 1.47 -
1.53 настоящего Руководства;

и

- коэффициенты, принимаемые в зависимости от температуры бетона менее и более нагретой грани сечения по
табл. 20 настоящего Руководства.
Рис. 3. Схемы распределения температур и деформаций
от неравномерного нагрева при прямолинейном изменении
температур по высоте сечения элементов
а - бетонного и железобетонного без трещин;
б - железобетонного с трещинами в растянутой зоне,
расположенной у менее нагретой грани; в - то же, у более
нагретой грани; 1 - температуры бетона; 2 - деформации
удлинения от нагрева; 3 - деформации укорочения
от остывания
1.41. Для участков бетонного или железобетонного элемента, где в растянутой зоне бетона не образуются трещины, нормальные к продольной оси элемента, деформации от остывания следует рассчитывать согласно следующим указаниям:
а) сечение элемента приводится к более прочному бетону согласно
п. 1.28 настоящего Руководства, укорочение

оси элемента и ее кривизна

определяются по формулам:

(25)

(26)
Укорочение

оси
i-той части бетонного сечения и ее кривизна

определяются по формулам:

(27)

(28)
Fпi,
Fп,
yбi,
Iпi,
Iп,
hi,
pi принимаются согласно
п. 1.28 настоящего Руководства;
nt - согласно
п. 1.40 настоящего Руководства;

и

- коэффициенты, принимаемые по
табл. 21 настоящего Руководства в зависимости от температуры более и менее нагретой грани
i-той части сечения;
б) при остывании с неравномерным нагревом бетона и прямолинейным распределением температуры по высоте сечения элемента укорочение

оси элемента и ее кривизну

допускается определять по формулам:

(29)

(30)
где

и

- коэффициенты, принимаемые по
табл. 21 настоящего Руководства в зависимости от температуры бетона менее и более нагретой грани сечения;
nt,
tб,
tб1 - принимаются согласно
п. 1.40 настоящего Руководства.
1.42. Для участков бетонного и железобетонного элемента, где в растянутой зоне бетона не образуются трещины, нормальные к продольной оси элемента, напряжения в бетоне грани i-той части сечения следует определять по формулам:
при нагревании

(31)
при остывании

(32)

,
tбi - принимаются согласно указаниям
пп. 1.40 и
1.41 настоящего Руководства;
Eб - принимается по
табл. 17 настоящего Руководства;

и

- коэффициенты, принимаемые по
табл. 16 и
18 настоящего Руководства в зависимости от температуры бетона грани
i-той части сечения;
1.43. Для участков железобетонного элемента, где в растянутой зоне образуются трещины, нормальные к продольной оси элемента, деформации от нагрева следует рассчитывать согласно следующим указаниям:
а) для железобетонного элемента с трещинами в растянутой зоне, расположенной у менее нагретой грани сечения (
рис. 3,
б), удлинение

оси элемента и ее кривизна

определяются по формулам:

(33)

(34)
б) для участков железобетонного элемента с трещинами в растянутой зоне бетона, расположенной у более нагретой грани сечения (
рис. 3,
в), удлинение

оси элемента определяется по
формуле (33) настоящего Руководства и ее кривизна

- по формуле

(35)
tа - температура арматуры A;
tб - температура бетона сжатой грани сечения;

- коэффициент, определяемый по
формуле (68) настоящего Руководства;

- коэффициент, принимаемый по
табл. 20 настоящего Руководства в зависимости от температуры бетона сжатой грани сечения;
nt - принимается согласно указаниям
п. 1.40 настоящего Руководства.
При равномерном нагреве железобетонного элемента кривизну

оси элемента допускается принимать равной нулю. В железобетонных элементах из обычного бетона при температуре арматуры до 100 °C и из жаростойкого бетона при температуре арматуры до 70 °C для участков с трещинами в растянутой зоне бетона допускается определять удлинение оси элемента

и ее кривизну

по
формулам (23) и
(24) настоящего Руководства как для бетонных элементов без трещин.
1.44. Для участков железобетонных элементов, где в растянутой зоне образуются трещины, нормальные к продольной оси элемента, при остывании укорочение

оси элемента и ее кривизну

допускается определять по
формулам (29) и
(30) настоящего Руководства.
1.45. Определение усилий в статически неопределимых конструкциях от воздействия температуры должно производиться по формулам строительной механики с принятием действительной жесткости сечений.
Методика определения неизвестных, составление канонических уравнений перемещений, получение окончательных эпюр такие же, как и при расчете статически неопределимых конструкций на воздействие внешней нагрузки.
Если определение усилий от воздействия температуры плоской статически неопределимой системы производится методом сил, то канонические уравнения имеют вид

(36)
где X1, X2, ..., Xn - соответственно лишние неизвестные усилия основной системы;

,

,

- перемещение в основной системе в направлении 1, вызываемое единичной силой, действующей в направлении 1, 2 и
n;

,

,

- перемещения в основной системе в
n-м направлении, вызываемые единичной силой, действующей в направлении 1, 2 и
n;

и

- перемещение в основной системе в направлении 1 и
n, вызываемое воздействием температуры.
Перемещение

в основной системе в
i-том направлении, вызванное воздействием температуры, равно

(37)
где

,

- изгибающий момент и продольная сила в сечении
x элемента основной системы от действия в
i-том направлении соответствующей единичной силы;

,

- кривизна и удлинение элемента в сечении
x, вызванные воздействием температуры, определяемые согласно
пп. 1.40 и
1.43 настоящего Руководства.
Единичное перемещение

по направлению
i, вызванное силой, равной единице, действующей по направлению
k, определяется по формуле

(38)
где
Fп(
x),
B(
x) - приведенная площадь и жесткость элемента в сечении
x, определяемые согласно
пп. 1.28,
4.28 и
4.29 настоящего Руководства.
При определении жесткости сечений элемента следует учитывать усилия от нагрузки и воздействия температуры, согласно требованиям
табл. 1 и
2 настоящего Руководства.
Удлинение

оси элемента и ее кривизна

от воздействия температуры должны вычисляться согласно
пп. 1.39 -
1.43 настоящего Руководства.
При расчете железобетонных элементов, работающих на изгиб, а также на сжатие и растяжение, когда

, с достаточной для расчета точностью в
формулах (37) и
(38) второй интеграл можно принимать равным нулю. Для вычисления величин

и

по
формулам (37) и
(38) настоящего Руководства рекомендуется следующая упрощенная методика. Элемент по длине разбивается на
n участков и на каждом участке

определяются жесткость
B и кривизна

в зависимости от наличия в сечении трещин и действующих усилий:

(39)

(40)
где
B - жесткость посередине длины каждого участка, определяемая с учетом наличия трещин и усилий от нагрузки и температуры согласно
пп. 4.28 и
4.29 настоящего Руководства;
Mi и Mk - изгибающие моменты посередине длины каждого участка от действия единичной силы;

- кривизна на каждом участке, определяемая согласно
пп. 1.40 и
1.43 настоящего Руководства.
Величины жесткости и кривизны зависят от усилий, вызванных температурой, поэтому расчет статически неопределимых железобетонных конструкций на воздействие температуры необходимо выполнять методом последовательных приближений до тех пор, пока величина усилия, полученная в последнем приближении, будет отличаться от усилий предыдущего приближения не более чем на 5%.
Расчет усилий в статически неопределимых конструкциях, как правило, следует выполнять с применением ЭВМ. При использовании малых вычислительных машин и при ручном счете жесткость сечений
Bп, удлинение оси

и ее кривизну

допускается принимать постоянными по длине элемента.
Приведенная жесткость сечения определяется по формуле
Bп =
B + (
B1 -
B)
kм. (41)
Приведенное удлинение

оси элемента и ее кривизну

от нагрева определяют по формулам:

(42)

(43)
B - жесткость сечения элемента с трещинами в растянутой зоне в месте действия наибольшего изгибающего момента
M, определяемая согласно
п. 4.29 настоящего Руководства;
B1 - жесткость сечения элемента без трещин, определяемая согласно
п. 4.28 настоящего Руководства;

(44)
при
M >= 2,5
Mт принимается
kм = 0;
Bп =
B;

и

;
M и
Mт - наибольший изгибающий момент и момент, воспринимаемый сечением, нормальным к продольной оси элемента, при образовании трещин, определяемый согласно
п. 4.4 настоящего Руководства;

,

- удлинение оси и ее кривизна элемента без трещин от воздействия температуры, определяемые согласно
п. 1.40 настоящего Руководства;

,

- удлинение оси и ее кривизна элемента с трещинами в растянутой зоне, определяемые согласно
п. 1.43 настоящего Руководства.
Расчет статически неопределимых железобетонных конструкций при температурном воздействии рекомендуется выполнять в следующем порядке:
а) составляется расчетная схема конструкции с указанием всех геометрических размеров элементов, действующих нагрузок и температур. Назначаются проектная марка и вид бетона, класс арматуры;
б) задается минимальное армирование сечений элементов конструкций по формуле

(45)
в) вычисляют моменты, которые могут воспринять различные сечения элементов конструкции при заданных размерах сечений, проценте армирования, прочности бетона и температуре;
г) определяется удлинение

оси, кривизна

элементов, вызванные воздействием температуры.
Если по условию эксплуатации допускается образование трещин в элементах, величины

и

определяют как для сечений без трещин, так и для сечений с трещинами согласно
пп. 1.40 и
1.43 настоящего Руководства;
д) вычисляется жесткость сечений элементов, при эксплуатации которых образование трещин маловероятно, согласно
п. 4.28 настоящего Руководства;
ж) для элементов, при эксплуатации которых возможно образование трещин, по
формуле (282) или
(283) настоящего Руководства вычисляется жесткость сечения с трещинами. При вычислении жесткости предполагается, что в сечении действует момент
M, вычисленный согласно указаниям настоящего пункта;
з) для элементов, работающих с трещинами, при ручном расчете вычисляются приведенные жесткость сечения, удлинение оси и кривизна элемента по
формулам (41),
(42) и
(43) настоящего Руководства;
и) по формулам строительной механики вычисляют коэффициенты и составляют канонические уравнения;
к) решают уравнения и находят неизвестные;
л) при различном сочетании температуры и нагрузки определяют моменты, продольные и поперечные силы в сечениях элементов конструкции;
м) полученный момент в рассматриваемом сечении элемента от действия температуры и нагрузки должен равняться или быть несколько меньше момента, который может воспринять сечение. Если полученный момент будет больше, то необходимо увеличить количество арматуры или размеры сечения и провести повторный расчет.
1.46. Изгибающий момент от неравномерного нагрева бетона по высоте сечения и при равномерном нагреве бетона по длине элемента, заделанного на опорах от поворота, а также в замкнутых рамах кольцевого, квадратного и прямоугольного очертания, имеющих одинаковые сечения, определяется по формуле

(46)
где

- кривизна оси элемента от нагрева, определяемая согласно
пп. 1.40 и
1.43 настоящего Руководства;
B - жесткость сечения, определяемая согласно
пп. 4.28 -
4.30 настоящего Руководства.
ОПРЕДЕЛЕНИЕ ТЕМПЕРАТУР В СЕЧЕНИЯХ ЭЛЕМЕНТОВ КОНСТРУКЦИЙ
1.47. Расчет распределения температур в бетонных и железобетонных конструкциях для установившегося потока тепла следует производить, пользуясь методами расчета температур ограждающих конструкций, согласно главе
СНиП II-А.7-71 "Строительная теплотехника. Нормы проектирования".
Расчет распределения температур в ограждающих конструкциях сложной конфигурации сечений элементов, в массивных конструкциях, в конструкциях, находящихся ниже уровня земли, а также при неустановившемся потоке тепла с учетом переменной влажности бетона по сечению должен производиться методами расчета температурных полей или теории теплопроводности, либо по соответствующим нормативным документам.
Расчет распределения температур в стенках боровов и каналов, расположенных под землей, допускается производить:
для кратковременного нагрева - принимая сечение по высоте стен неравномерно нагретым с прямолинейным распределением температур бетона и величину коэффициента теплоотдачи наружной поверхности стенки

по
табл. 8 настоящего Руководства;
для длительного нагрева - принимая сечение по высоте стен равномерно нагретым.
Коэффициенты | Коэффициенты теплоотдачи  и  , ккал/(м 2·ч·°C), при температуре наружной поверхности и воздуха, °C |
0 | 50 | 100 | 200 | 300 | 400 | 500 | 700 | 900 | 1100 | 1200 |
| 7 | 10 | 12 | 17 | 22 | - | - | - | - | - | - |
| - | 10 | 10 | 10 | 12 | 15 | 20 | 40 | 70 | 120 | 150 |
Примечание. Коэффициенты  и  для промежуточных значений температур определяются по интерполяции. |
Температуру арматуры в сечениях железобетонных элементов допускается принимать равной температуре бетона в месте ее расположения.
1.48. Для конструкций, находящихся на воздухе, коэффициент теплоотдачи наружной поверхности

, ккал/(м
2·ч·°C), в зависимости от преобладающей скорости ветра зимой и летом, указанной в
табл. 6 главы СНиП II-А.6-72 "Строительная климатология и геофизика", следует принимать равным:
при скорости ветра от 1 до 5 м/с - 10;
при скорости ветра от 8 м/с и более - 20.
При скоростях ветра более 5 и менее 8 м/с величина

определяется по интерполяции.
Для конструкций, находящихся в помещении или на воздухе, но защищенных от воздействия ветра, коэффициент теплоотдачи наружной поверхности

принимается по
табл. 8 настоящего Руководства.
Коэффициент теплоотдачи внутренней поверхности конструкции

следует определять, как правило, методом расчета теплопередачи, как для случая сложного теплообмена. При определении распределения температуры бетона по сечению элемента допускается величину коэффициента

принимать по
табл. 8 настоящего Руководства в зависимости от температуры воздуха производственного помещения или рабочего пространства теплового агрегата.
1.49. Коэффициент теплопроводности

бетона в сухом состоянии должен приниматься по
табл. 9 настоящего Руководства в зависимости от средней температуры бетона в сечении элемента. Коэффициент теплопроводности

огнеупорных и теплоизоляционных материалов должен приниматься по
табл. 10 настоящего Руководства.
Номера составов бетона по табл. 11 настоящего Руководства | Коэффициент теплопроводности  , ккал/(м·ч·°C), обычного и жаростойкого бетонов в сухом состоянии при средней температуре бетона в сечении элемента, °C |
50 | 100 | 300 | 500 | 700 | 900 |
| 1,3 | 1,18 | 0,94 | - | - | - |
| 2,3 | 2,09 | 1,67 | 1,2 | 1,05 | 1,02 |
| 1,28 | 1,16 | 1,18 | 1,27 | 1,35 | 1,4 |
| 1,3 | 1,18 | 1,2 | 1,3 | 1,39 | - |
| 0,8 | 0,77 | 0,72 | 0,75 | 0,80 | 0,90 |
| 0,85 | 0,82 | 0,8 | 0,87 | 0,98 | 1,1 |
| 0,75 | 0,72 | 0,67 | 0,70 | 0,75 | 0,85 |
| 0,7 | 0,65 | 0,54 | 0,58 | 0,6 | - |
| 0,8 | 0,76 | 0,7 | 0,77 | - | - |
| 0,37 | 0,39 | 0,45 | 0,5 | 0,55 | - |
| 0,43 | 0,45 | 0,5 | 0,55 | 0,6 | 0,65 |
| 0,33 | 0,35 | 0,39 | 0,43 | 0,47 | 0,51 |
| 0,38 | 0,4 | 0,44 | 0,48 | 0,52 | - |
| 0,18 | 0,2 | 0,24 | 0,28 | 0,32 | 0,36 |
| 0,23 | 0,25 | 0,29 | 0,33 | 0,37 | 0,41 |
| 0,18 | 0,19 | 0,22 | 0,25 | 0,28 | 0,32 |
Примечания: 1. Коэффициент теплопроводности  обычного и жаростойкого бетонов с влажностью после естественного твердения и тепловой обработки при атмосферном давлении при средней температуре бетона в сечении элемента до 100 °C следует принимать по данным таблицы, увеличенным на 30%. 2. Для промежуточных значений температур величина коэффициента теплопроводности  определяется по интерполяции. |
N п/п | Материалы | Объемный вес в сухом состоянии, кг/м3 | Предельно допустимая температура применения, °C | Коэффициент теплопроводности  , ккал/(м·ч·°C), огнеупорных и теплоизоляционных материалов в сухом состоянии при средней температуре материала в сечении элемента, °C |
50 | 100 | 300 | 500 | 700 | 900 |
1 | 2 | 3 | 4 | 5 | 6 | 7 | 8 | 9 | 10 |
1 | Шамотный, ГОСТ 390-69 | 1900 | - | 0,63 | 0,66 | 0,76 | 0,87 | 0,98 | 1,09 |
2 | Шамотный легковес, ГОСТ 5040-68 | 400 | 1150 | 0,11 | 0,12 | 0,15 | 0,17 | 0,2 | 0,23 |
3 | То же | 800 | 1270 | 0,2 | 0,21 | 0,25 | 0,29 | 0,33 | 0,37 |
4 | " | 1000 | 1300 | 0,29 | 0,3 | 0,36 | 0,42 | 0,48 | 0,54 |
5 | " | 1300 | 1400 | 0,42 | 0,43 | 0,5 | 0,56 | 0,63 | 0,7 |
6 | Динасовый, ГОСТ 4157-69 | 1900 | - | 1,38 | 1,39 | 1,46 | 1,53 | 1,59 | 1,66 |
7 | Динасовый легковес, ГОСТ 5040-68 | 1200 - 1400 | 1550 | 0,49 | 0,5 | 0,55 | 0,6 | 0,65 | 0,7 |
8 | Каолиновый | 2000 | - | 1,54 | 1,55 | 1,6 | 1,64 | 1,68 | 1,73 |
9 | Высокоглиноземистый | 2600 | - | 1,53 | 1,54 | 1,58 | 1,62 | 1,66 | 1,7 |
10 | Магнезитовый, ГОСТ 4689-74 | 2700 | - | 5,18 | 5,07 | 4,61 | 4,15 | 3,69 | 3,23 |
11 | Магнезитохромитовый, ГОСТ 10888-64 | 2800 | - | 3,46 | 3,39 | 3,1 | 2,82 | 2,53 | 2,24 |
12 | Хромомагнезитовый, ГОСТ 5381-72 | 2950 | - | 2,36 | 2,33 | 2,18 | 2,03 | 1,88 | 1,73 |
13 | Глиняный обыкновенный кирпич ГОСТ 530-71 | 1700 | - | 0,48 | 0,51 | 0,6 | 0,7 | - | - |
14 | Кирпич пенодиатомитовый, ГОСТ 2694-67 | 350 | 900 | 0,075 | 0,08 | 0,11 | 0,133 | 0,156 | - |
15 | То же | 400 | 900 | 0,085 | 0,09 | 0,12 | 0,143 | 0,166 | - |
16 | Кирпич диатомитовый, ГОСТ 2694-67 | 500 | 900 | 0,1 | 0,11 | 0,16 | 0,2 | 0,24 | - |
17 | То же | 600 | 900 | 0,12 | 0,13 | 0,18 | 0,22 | 0,26 | - |
18 | Маты минераловатные прошивные, ГОСТ 21880-76 | 75 - 100 | 600 | 0,043 | 0,053 | 0,093 | 0,133 | - | - |
19 | Маты минераловатные прошивные, ГОСТ 21880-76 | 125 | 600 | 0,045 | 0,055 | 0,095 | 0,135 | - | - |
20 | То же | 150 | 600 | 0,047 | 0,057 | 0,097 | 0,137 | - | - |
21 | Плиты и маты теплоизоляционные из минераловатной ваты на синтетическом связующем, ГОСТ 9573-72 | 50 - 75 | 400 | 0,046 | 0,06 | 0,112 | - | - | - |
22 | То же | 100 - 125 | 400 | 0,047 | 0,057 | 0,097 | - | - | - |
23 | " | 150 | 400 | 0,048 | 0,056 | 0,088 | - | - | - |
24 | Маты теплоизоляционные из ваты каолинового состава, ТУ 14-8-78-73 | 150 | 1100 | 0,043 | 0,055 | 0,105 | 0,155 | 0,205 | 0,27 |
25 | То же | 300 | 1100 | 0,048 | 0,06 | 0,11 | 0,16 | 0,22 | 0,3 |
26 | Маты и полосы из стеклянного волокна, ГОСТ 2245-43 | 170 | 450 | 0,049 | 0,064 | 0,124 | - | - | - |
27 | Перлитофосфогелевые без гидроизоляционно-упрочняющего покрытия, ГОСТ 21500-76 | 200 | 600 | 0,06 | 0,07 | 0,09 | 0,11 | - | - |
28 | То же | 250 | 600 | 0,068 | 0,074 | 0,098 | 0,122 | - | - |
29 | " | 300 | 600 | 0,072 | 0,078 | 0,118 | 0,138 | - | - |
30 | Перлитоцементные изделия, ГОСТ 18109-72 | 250 | 600 | 0,064 | 0,079 | 0,109 | 0,139 | - | - |
31 | То же | 300 | 600 | 0,069 | 0,084 | 0,114 | 0,144 | - | - |
32 | " | 350 | 600 | 0,074 | 0,089 | 0,119 | 0,149 | - | - |
33 | Перлитокерамические изделия, ГОСТ 21521-76 | 250 | 875 | 0,068 | 0,076 | 0,105 | 0,135 | 0,165 | - |
34 | То же | 300 | 875 | 0,073 | 0,181 | 0,11 | 0,14 | 0,17 | - |
35 | " | 350 | 875 | 0,08 | 0,088 | 0,12 | 0,15 | 0,18 | - |
36 | " | 400 | 875 | 0,09 | 0,098 | 0,13 | 0,16 | 0,19 | - |
37 | Известково-кремнеземистые изделия, МРТУ 34-4601-68 | 200 | 600 | 0,059 | 0,064 | 0,084 | 0,104 | - | - |
38 | Известково-кремнеземистые изделия, ТУ 207-67 | 120 | 1200 | 0,055 | 0,06 | 0,09 | 0,12 | 0,15 | 0,18 |
39 | Совелитовые изделия, ГОСТ 6788-74 | 350 | 500 | 0,071 | 0,076 | 0,096 | - | - | - |
40 | То же | 400 | 500 | 0,075 | 0,08 | 0,10 | - | - | - |
41 | Вулканитовые изделия, ГОСТ 10179-74 | 300 | 600 | 0,069 | 0,074 | 0,094 | 0,114 | - | - |
42 | То же | 350 | 600 | 0,073 | 0,078 | 0,098 | 0,118 | - | - |
43 | " | 400 | 600 | 0,078 | 0,083 | 0,103 | 0,123 | - | - |
44 | Пеностекло, СТУ 85-497-64 | 200 | 500 | 0,075 | 0,081 | 0,113 | - | - | - |
45 | Асбестовермикулитовые плиты, ГОСТ 13450-68 | 250 | 600 | 0,08 | 0,091 | 0,135 | 0,179 | - | - |
46 | То же | 300 | 600 | 0,085 | 0,096 | 0,14 | 0,184 | - | - |
47 | " | 350 | 600 | 0,09 | 0,101 | 0,145 | 0,189 | - | - |
48 | | 100 | 1100 | 0,061 | 0,074 | 0,124 | 0,174 | 0,224 | 0,274 |
49 | То же | 150 | 1100 | 0,066 | 0,079 | 0,129 | 0,179 | 0,229 | 0,279 |
50 | " | 200 | 1100 | 0,071 | 0,084 | 0,134 | 0,184 | 0,234 | 0,284 |
51 | Асбозурит | 600 | 900 | 0,15 | 0,16 | 0,18 | 0,21 | - | - |
52 | Картон асбестовый, ГОСТ 2850-75 | 1000 - 1300 | 600 | 0,14 | 0,15 | 0,17 | 0,19 | - | - |
53 | Воздушная прослойка (вертикальная) толщиной 50 мм | - | - | 0,34 | 0,5 | 1,6 | 3,8 | - | - |
Примечания: 1. Коэффициент теплопроводности  огнеупорных и теплоизоляционных материалов с естественной влажностью при средней температуре нагрева материала в сечении элемента до 100 °C следует принимать по данным таблицы, увеличенным на 30% и 10%. 2. Коэффициент теплопроводности  для промежуточных значений температур определяется по интерполяции. |
При стационарном нагреве конструкции, состоящей из n слоев, температуру материала tn между слоями n - 1 и n определяют по формуле

(47)
Температура материала более нагретой поверхности tб вычисляется по формуле

(48)
температура материала менее нагретой поверхности tб1 - по формуле

(49)
В трехслойной конструкции определение температуры материала между первым и вторым слоями, считая слои от более нагретой поверхности, производится по формуле

(50)
Температура материала между вторым и третьим слоями определяется по формуле

(51)
Температура менее нагретой поверхности равна

(52)
Тепловой поток Q, ккал/(м2·ч), определяется по формуле

(53)
Сопротивление теплопередаче R0, м2·ч·°C/ккал, многослойной конструкции следует определять по формуле

(54)
R1, R2, Rn-1, Rn - термические сопротивления материала в отдельных слоях конструкции, пронумерованные со стороны нагреваемой поверхности, м2·ч·°C/ккал;

,

, ...,

,

- толщины отдельных слоев, м;

,

, ...,

,

- коэффициенты теплопроводности материалов в слоях конструкции при их средней температуре, ккал/(м·ч·°C).
1.50. При расчете распределения температуры по толщине конструкции необходимо учитывать различие площадей теплоотдающих внутренней и наружной поверхностей:
при круговом очертании, если толщина стенки более 0,1 наружного диаметра;
при квадратном или прямоугольном очертании, если толщина стенки более 0,1 длины большей стороны;
при произвольном очертании, если разница в площадях теплоотдающих внутренней и наружной поверхностей более 10%.
Для трехслойной конструкции ограждения с учетом различия в площадях теплоотдающих внутренней Fв и наружной Fн поверхностей:
температура материала более нагретой поверхности

(55)
температура материала между первым и вторым слоями

(56)
температура материала между вторым и третьим слоями

(57)
температура материала менее нагретой поверхности

(58)
Определение сопротивления теплопередачи конструкции производится по формуле

(59)
где Fв и Fн - расчетные площади теплоотдающих внутренней и наружной поверхностей;
F1 и F2 - расчетные площади конструкции на границе между первым и вторым слоями и между вторым и третьим слоями.
1.51. В ребристых конструкциях, когда наружная поверхность бетонных ребер и тепловой изоляции совпадает, расчет температуры в бетоне должен производиться по сечению ребра.
Если бетонные ребра выступают за наружную поверхность тепловой изоляции, расчет температуры в бетоне ребра должен производиться методами расчета температурных полей или по соответствующим нормативным документам.
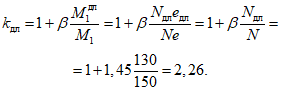
При выступающей за тепловую изоляцию бетона части ребра
hр (рис. 4) допускается температуру бетона менее нагретой наружной поверхности ребра
tр определять по формуле

(60)
где

(61)

(62)

- коэффициент теплопроводности бетона при средней температуре

.
Рис. 4. Схема элемента с выступающим ребром
1 - жаростойкий бетон; 2 - стержневая арматура;
3 - теплоизоляция
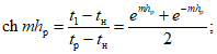
Величина гиперболического косинуса ch
mhр определяется по
рис. 5 в зависимости от параметра
mhр. Коэффициент
m вычисляется по
формуле (61) настоящего Руководства.
Рис. 5. Значения отношения
в зависимости
от параметра mhр
Температура бетона в ребре на уровне наружной поверхности тепловой изоляции определяется по формуле

(63)
Температура бетона более нагретой поверхности
tб вычисляется по
формуле (48) настоящего Руководства для сечения конструкции между ребрами.
Из совместного решения
уравнений (60) и
(63) настоящего Руководства находят температуру
tр.
Температура арматуры, расположенной в ребре, определяется по формуле

(64)
Расчет ребристой конструкции с выступающими за плоскость изоляции ребрами производится в следующей последовательности:
А. При неизвестной высоте ребра
1. Задаются высотой полки

.
2. Теплотехническим расчетом определяют толщину эффективной теплоизоляции, укладываемой между ребрами, из условия получения на ее наружной поверхности заданной температуры.
3. Определяют высоту ребра сечения из условия получения на его наружной поверхности заданной температуры tр.
Для этого поступают следующим образом:
а) задаются отношением

и при известных
tб и
tр по
формуле (63) находят температуру ребра
t1;
б) значение коэффициента
m вычисляют по
формуле (61), в которой

определяют согласно
п. 1.48 настоящего Руководства в зависимости от температуры наружной поверхности ограждения
tр; коэффициент теплопроводности бетона

принимают по
табл. 9 настоящего Руководства в зависимости от средней температуры бетона;
в) определяют значение отношения температур

;
г) по
рис. 5 в зависимости от отношения

находят произведение
mhр, из которого определяют высоту ребра
hр и отношение

.
Если при определении температуры
t1 заданное отношение

отличается от вычисленного, производят перерасчет. При этом отношение

должно удовлетворять данным
рис. 14.
Б. При заданных размерах высоты ребра и высоты полки
1. Теплотехническим расчетом определяют толщину эффективной теплоизоляции, укладываемой между ребрами, из условия получения на ее наружной поверхности заданной температуры.
2. Задаются температурой наружной поверхности ребра tр.
3. При известных температурах
tб и
tр по
формуле (63) настоящего Руководства находят температуру бетона ребра
t1.
4. Вычисляют коэффициент
m по
формуле (61) настоящего Руководства, в которой принимают

согласно
п. 1.48 настоящего Руководства в зависимости от температуры наружной поверхности ребра
tр; коэффициент теплопроводности бетона

принимают по
табл. 9 настоящего Руководства в зависимости от средней температуры бетона.
5. Вычисляют величину произведения
mhр и по
рис. 5 определяют гиперболический косинус ch
mhр.
6. Из совместного решения
уравнений (60) и
(63) находят наружную температуру бетона ребра
tр.
В случае, если вычисленная температура
tр отличается от ранее принятой более чем на 10%, необходимо сделать перерасчет. Теплотехническим расчетом должны быть также определены температура арматуры по
формуле (64) настоящего Руководства и температура на границе полки и теплоизоляции.
1.52. Температура бетона в сечениях конструкций от нагрева при эксплуатации должна определяться теплотехническим расчетом установившегося потока тепла при заданной по проекту расчетной температуре рабочего пространства или воздуха производственного помещения.
Для конструкций, находящихся на открытом воздухе, наибольшие температуры бетона и арматуры определяются при абсолютной максимальной летней температуре наружного воздуха района строительства, принимаемой по
графе 16 табл. 1 главы СНиП II-А.6-72. Вычисленные температуры не должны превышать предельно допустимой температуры применения бетона по
табл. 11 и арматуры по
табл. 24 настоящего Руководства.
N состава бетона | Виды исходных материалов | Предельно допустимая температура применения бетона, °C, в конструкциях при неравномерном нагреве по высоте сечения, имеющих напряжения сжатия в бетоне от собственного веса и нагрузки | Максимальная проектная марка бетона по прочности на сжатие | Объемный вес бетона естественной влажности, кг/м3 | Дополнительные указания |
вяжущего | отвердителя | тонкомолотой добавки | заполнителей |
до 1 кгс/см2 | более 1 кгс/см2 |
1 | 2 | 3 | 4 | 5 | | | 8 | 9 | 10 |
Обычный бетон |
| Портланд(шлакопортланд)цемент | Не применяется | Гранитовые, доломитовые, плотные известняковые сиенитовые, плотные пески | 200 | 200 | М600 | 2500 | В фундаментах, находящихся в условиях постоянного нагрева, обычный бетон допускается применять при воздействии температур до 300 °C |
Жаростойкий бетон |
| То же | Не применяется | Андезитовые, базальтовые, диабазовые, диоритовые | 350 | 350 | М500 | 2500 | Рекомендуется применять при воздействии температур выше 200 °C |
| " | То же | Из доменных отвальных шлаков | 350 | 350 | М400 | 2400 | - |
| " | " | Туфовые, из боя глиняного обыкновенного кирпича | 350 | 350 | М200 | 1800 | - |
| Портландцемент | То же | Из золы-уноса, из боя обыкновенного глиняного кирпича, из гранулированного доменного шлака, из вулканического пепла | Туфовые | 700 | 700 | М200 | 1800 | - |
| Портландцемент | Не применяется | Из золы-уноса, из боя обыкновенного глиняного кирпича, из гранулированного доменного шлака, из вулканического пепла | Андезитовые, базальтовые, диабазовые, диоритовые | 700 | 700 | М500 | 2400 | - |
| Портландцемент | Не применяется | Из золы-уноса, из боя обыкновенного глиняного кирпича, из гранулированного доменного шлака, из вулканического пепла | Из доменных отвальных шлаков | 700 | 700 | М400 | 2400 | - |
| То же | То же | Из топливного (котельного) шлака | Из шлаков топливных (котельных) | 800 | 700 | М200 | 1800 | - |
| " | " | Из боя обыкновенного глиняного кирпича | Из боя обыкновенного глиняного кирпича | 900 | 800 | М200 | 1900 | - |
| " | " | Из золы-уноса | Шамотные кусковые и из боя изделий | 1000 - 1100 | 900 | М450 | 2000 | - |
| " | " | Шамотные | То же | 1100 - 1200 | 1000 | М450 | 2000 | - |
| Жидкое стекло | Кремнефтористый натрий | " | Из боя глиняного обыкновенного кирпича | 600 | 600 | М250 | 1900 | Воздействие кислой агрессивной среды, пара и воды не допускается |
| То же | То же | " | Андезитовые, базальтовые, диабазовые | 600 | 600 | М250 | 2500 | Кислотостоек (кроме фтористого водорода); не допускается воздействие пара и воды |
| Жидкое стекло | Кремнефтористый натрий | Шамотные, полукислые огнеупорные | Полукислые кусковые и из боя изделий | 900 | 800 | М250 | 2100 | Кислотостоек (кроме фтористого водорода). При применении для сооружений, в которых наряду с воздействием температур возможно периодическое воздействие пара и воды, элементы необходимо предварительно нагревать до 800 °C |
| Жидкое стекло | Кремнефтористый натрий | Шамотные | Шамотные кусковые и из боя изделий | 1000 | 900 | М250 | 2100 |
| То же | То же | Магнезитовые (периклазовые) | То же | 1300 | 1100 | М200 | 2100 | Стоек к расплавам солей натрия и плаву содорегенерационных агрегатов. Не допускается воздействие пара и воды |
| " | Нефелиновый шлам или феррохромовый шлак | Шамотные | " | 1100 | 1000 | М200 | 2100 | Стоек в условиях воздействия сернистого газа. Не кислотостоек |
| " | Нефелиновый шлам или марганцовистый шлак | Магнезитовые (периклазовые) | " | 1300 | 1100 | М200 | 2200 | Не кислотостоек |
| Глиноземистый цемент | Не применяется | Не применяется | " | 1300 | 1100 | М400 | 2100 | В элементах толщиной более 400 мм при твердении бетона необходимо отводить тепло, чтобы температура в первые сутки не превышала 40 °C |
| То же | То же | То же | Хромитовые | 1400 | 1200 | М400 | 3000 |
| " | " | " | Муллитокремнеземистые кусковые и из боя изделий | 1400 | 1200 | М450 | 2800 |
| Портландцемент | Не применяется | Шамотные | Вспученный перлит с насыпным объемным весом 200 - 400 кг/м3 | 500, при Мухор-Талинском перлите 800 °C | - | М50 | 950 | - |
| Портландцемент | Не применяется | Шамотные, из боя обыкновенного глиняного кирпича, керамзитовые | Керамзитовые с насыпным объемным весом 550 - 650 кг/м3 | 1000 | 800 | М200 | 1650 | - |
| То же | То же | То же | Керамзитовые с насыпным объемным весом 450 - 550 кг/м3 | 1000 | 800 | М150 | 1400 | - |
| " | " | Шамотные, из боя обыкновенного глиняного кирпича, из золы-уноса, керамзитовые | Керамзитовые с насыпным объемным весом 350 - 450 кг/м3 | 1000 | - | М50 | 900 | - |
| " | " | То же | Мелкий - вспученный вермикулит с насыпным объемным весом не более 150 кг/м3; крупный - керамзитовые с насыпным объемным весом 350 - 450 кг/м3 | 1000 | - | М35 | 1000 | - |
| Жидкое стекло | Кремнефтористый натрий | Шамотные | Керамзитовые с насыпным объемным весом 400 - 550 кг/м3 | 800 | 700 | М150 | 1350 | - |
| То же | То же | " | Керамзитовые с насыпным объемным весом 350 - 450 кг/м3 | 800 | - | М50 | 900 | - |
| Жидкое стекло | Кремнефтористый натрий | Шамотные | Керамзитовые с насыпным объемным весом 500 - 650 кг/м3 | 900 | 700 | М200 | 1650 | - |
| То же | Нефелиновый шлам или феррохромовый шлак | Шамотные | Керамзитовые с насыпным объемным весом 350 - 450 кг/м3 | 1100 | - | М50 | 900 | - |
| Глиноземистый цемент | Не применяется | Не применяется | Вспученный перлит с насыпным объемным весом 400 кг/м3 | 1000 | - | М35 | 950 | - |
Примечания: 1. Для конструкций, в которых усилия возникают только от воздействия температуры, предельно допустимая температура применения бетона должна приниматься по графе 6. 2. Для составов бетона N 5, 6, 7, 8 и 9 портландцемент может быть заменен шлакопортландцементом согласно требованиям Инструкции по технологии приготовления жаростойких бетонов. |
1.53. При расчете статически неопределимых конструкций, работающих в условиях воздействия температур выше 500 °C, теплотехнический расчет должен производиться на расчетную температуру рабочего пространства и на температуру, вызывающую наибольшие усилия, определяемые согласно
п. 1.23 настоящего Руководства.
При расчете наибольших усилий от воздействия температуры в конструкциях, находящихся на открытом воздухе, температура нагрева бетона вычисляется по расчетной зимней температуре наружного воздуха, которая принимается как средняя температура наружного воздуха наиболее холодных суток района строительства, принимаемой по графе 19 табл. 1 главы СНиП II-А.6-72.
1.54. Расчет температур в конструкциях с включениями из различных теплоизоляционных материалов, а также более точный расчет ребристых конструкций из жаростойкого бетона следует производить согласно "Указаниям по тепловому расчету конструкций тепловых агрегатов" (ВСН 314-73/ММСС СССР).
2. МАТЕРИАЛЫ ДЛЯ БЕТОННЫХ И ЖЕЛЕЗОБЕТОННЫХ КОНСТРУКЦИЙ
2.1. Для бетонных и железобетонных конструкций, проектируемых в соответствии с требованиями настоящего Руководства, должны предусматриваться обычный и жаростойкий бетоны, составы которых приведены в
табл. 11 настоящего Руководства.
Легкий жаростойкий бетон с объемным весом до 1400 кг/м3 следует предусматривать преимущественно для ненесущих ограждающих конструкций и в качестве теплоизоляционных материалов.
Легкий жаростойкий бетон с объемным весом более 1400 кг/м3 надлежит предусматривать для несущих конструкций.
2.2. Для конструкций, работающих в условиях воздействия повышенных и высоких температур, должна назначаться проектная марка бетона по прочности на осевое сжатие (кубиковая прочность).
| | ИС МЕГАНОРМ: примечание. Взамен ГОСТ 10180-74 Постановлением Госстроя СССР от 22.11.1978 N 220 с 01.01.1980 введен в действие ГОСТ 10180-78. Взамен ГОСТ 10180-78 с 01.01.1991 в части определения прочности бетона по контрольным образцам Постановлением Госстроя СССР от 29.12.1989 N 168 введен в действие ГОСТ 10180-90; в части определения прочности по образцам, отобранным из конструкций, Постановлением Госстроя СССР от 24.05.1990 N 50 введен в действие ГОСТ 28570-90. | |
За проектную марку бетона по прочности на сжатие "М" принимается сопротивление осевому сжатию

, кгс/см
2, эталонного образца-куба из обычного бетона, испытанного согласно ГОСТ 10180-74, и из жаростойкого бетона, испытанного согласно требованиям ГОСТа на методику испытания жаростойкого бетона. Проектная марка по прочности на сжатие (сокращенно "проектная марка") является основной характеристикой бетона и должна указываться в проекте во всех случаях.
При наличии агрессивной среды должна устанавливаться проектная марка бетона по водонепроницаемости в соответствии с указаниями главы СНиП по защите строительных конструкций от коррозии.
В случае необходимости следует назначать проектные марки бетона по прочности на осевое растяжение, по морозостойкости и по водонепроницаемости согласно указаниям главы
СНиП II-21-75.
2.3. Бетон для конструкций, работающих в условиях систематического воздействия повышенных и высоких температур, следует принимать следующих проектных марок по прочности на сжатие:
обычный бетон - (
состав N 1 по табл. 11 настоящего Руководства) М50, М75, М100, М150, М200, М250, М300, М350, М400, М450, М500 и М600, при этом проектные марки М250, М350 и М450 должны предусматриваться при условии, что это приводит к экономии цемента по сравнению с применением бетона проектных марок соответственно М300, М400, М500 и не снижает другие технико-экономические показатели конструкций;
жаростойкий бетон составов (см.
табл. 11 настоящего Руководства):
N 2,
3,
6,
7,
13,
20 и
21 - особо тяжелый и тяжелый М50, М75, М100, М150, М200, М250, М300, М350, М400, М450 и М500;
N 9 -
12,
14 -
19 - облегченный М25, М35, М50, М100, М150, М200, М250, М300, М350 и М400;
N 4,
5,
8,
22 -
31 - легкий М10, М15, М25, М35, М50, М75, М100, М150 и М200.
| | ИС МЕГАНОРМ: примечание. Постановлением Госстроя СССР от 12.10.1990 N 86 с 01.07.1991 введен в действие ГОСТ 20910-90. | |
Проектная марка жаростойкого бетона по прочности на сжатие устанавливается согласно ГОСТ 20910-75 на классификацию бетонов.
2.4. Срок твердения (возраст) бетона, отвечающий его проектной марке по прочности на сжатие, принимается, как правило, 28 дней. В тех случаях, когда известны сроки фактического загружения и нагрева конструкции, способы их возведения, условия твердения бетона, сорт и вид применяемого цемента, допускается устанавливать проектную марку бетона в ином возрасте (большем или меньшем); при этом для монолитных массивных бетонных и железобетонных конструкций всегда должен учитываться реальный срок их загружения проектными нагрузками и нагревания до расчетной температуры.
Величина отпускной прочности бетона в элементах сборных конструкций устанавливается Государственными стандартами на сборные изделия.
2.5. Для железобетонных конструкций из обычного бетона, работающих в условиях воздействия повышенных температур, проектную марку бетона по прочности на сжатие рекомендуется принимать:
для железобетонных элементов из тяжелого бетона, рассчитываемых на воздействие многократно-повторяющейся нагрузки - не ниже М200;
для железобетонных сжатых стержневых элементов из тяжелого бетона - не ниже М200;
то же, для сильнонагруженных сжатых стержневых элементов (например, для колонн, воспринимающих значительные крановые нагрузки, и для колонн нижних этажей многоэтажных зданий) - не ниже М300.
Для железобетонных конструкций не допускается применение тяжелого бетона проектной марки ниже М100.
Для железобетонных конструкций из тяжелого и облегченного жаростойкого бетона, работающих в условиях воздействия высоких температур, рекомендуется принимать проектную марку бетона:
для сборных несущих элементов - не ниже М200;
для монолитных конструкций при постоянном нагреве (см.
п. 1.11 настоящего Руководства):
до 500 °C - не ниже М150;
выше 500 °C - не ниже М200;
при ударных и истирающих воздействиях, а также при циклическом нагреве:
до 500 °C - не ниже М200;
выше 500 °C - не ниже М250.
Для предварительно-напряженных железобетонных конструкций из обычного и жаростойкого бетонов, работающих в условиях воздействия повышенных и высоких температур, проектная марка бетона по прочности на сжатие должна приниматься в зависимости от вида и класса напрягаемой арматуры, ее диаметра и наличия анкерных устройств согласно
п. 2.6 и
табл. 7 главы СНиП II-21-75.
2.6. При неравномерном нагреве бетона по высоте сечения элементов конструкций, в которых напряжения сжатия в бетоне от собственного веса и нагрузки составляют до 1 кгс/см
2, а также элементов конструкций, в которых усилия возникают только от воздействия температуры, предельно допустимая температура применения бетона устанавливается по
графе 6 табл. 11 настоящего Руководства.
При неравномерном нагреве по высоте сечения элементов конструкций, в которых напряжения сжатия в бетоне от собственного веса и нагрузки составляют более 1 кгс/см
2, предельно допустимая температура применения бетона устанавливается по
графе 7 табл. 11 настоящего Руководства.
При воздействии температур, превышающих указанные в
графе 7 табл. 11 настоящего Руководства, надлежит предусматривать устройство защитных слоев (футеровок).
2.7. Для замоноличивания стыков элементов сборных железобетонных конструкций проектную марку бетона следует устанавливать в зависимости от условий работы соединяемых элементов, но принимать не ниже М100.
2.8. Для замоноличивания стыков элементов сборных конструкций, которые в процессе эксплуатации или монтажа могут подвергаться воздействию отрицательных температур наружного воздуха, следует применять бетон проектных марок по морозостойкости и водонепроницаемости не ниже принятых для стыкуемых элементов.
НОРМАТИВНЫЕ И РАСЧЕТНЫЕ ХАРАКТЕРИСТИКИ БЕТОНА
2.9. Нормативными сопротивлениями бетона являются:
сопротивление осевому сжатию кубов (кубиковая прочность) Rн;
сопротивление осевому сжатию призм (призменная прочность)

; сопротивление осевому растяжению

.
Нормативная кубиковая прочность бетона принимается равной

(65)
где

- кубиковая прочность, отвечающая проектной марке бетона по прочности на осевое сжатие
M;

- коэффициент вариации прочности бетона, принимаемый согласно
табл. 12 настоящего Руководства.
Бетон | Коэффициент вариации прочности бетона  | Коэффициенты безопасности по бетону при сжатии и растяжении kб.с и kб.р |
Расчет конструкции по предельным состояниям первой группы | Расчет конструкций по предельным состояниям второй группы kб.с и kб.р |
kб.с | kб.р |
при назначении проектной марки бетона по прочности на сжатие | при назначении проектной марки бетона по прочности на осевое растяжение |
Обычный тяжелый и жаростойкий тяжелый, облегченный и легкий | 0,135 | 1,3 | 1,5 | 1,3 | 1 |
Нормативная призменная прочность бетона для тяжелого обычного бетона, тяжелого, облегченного и легкого жаростойкого бетона принята равной

(66)
но не менее 0,72Rн.
Нормативные сопротивления бетона

(с округлением) в зависимости от проектной марки бетона по прочности на сжатие даны в
табл. 13 настоящего Руководства.
Вид сопротивления | Номера составов бетона по табл. 11 настоящего Руководства | Нормативные сопротивления  и  , расчетные сопротивления бетона для предельных состояний второй группы RпрII и RрII, кгс/см 3, при проектной марке бетона по прочности на сжатие |
М10 | М15 | М25 | М35 | М50 | М75 | М100 | М150 | М200 | М250 | М300 | М350 | М400 | М450 | М500 |
Сжатие осевое (призменная прочность)  и RпрII | | - | - | - | - | 30 | 45 | 60 | 85 | 115 | 145 | 170 | 200 | 225 | 255 | 280 |
| 7 | 10 | 15 | 21 | 30 | 45 | 60 | 85 | 115 | 145 | 170 | 200 | 225 | - | - |
Растяжение осевое  и RрII | | - | - | - | - | 4,2 | 5,8 | 7,2 | 9,5 | 11,5 | 13 | 15 | 16,5 | 18 | 19 | 20 |
| 1 | 1,4 | 2,3 | 3,1 | 4,2 | 5,8 | 7,2 | 9,5 | 11 | 12 | 13 | 14 | 14,5 | - | - |
Примечания: 1. Нормативные и расчетные сопротивления растяжению для всех видов бетона на глиноземистом цементе снижаются на 30% против значений, приведенных в настоящей таблице. 2. При температуре нагрева выше 50 °C величины RпрII и RрII, приведенные в настоящей таблице, вводятся в расчет с коэффициентами условий работы mб2, mб2t, mбt и mрt согласно табл. 15 настоящего Руководства. |
2.10. Расчетные сопротивления бетона для предельных состояний первой и второй группы определяются делением нормативных сопротивлений на соответствующие коэффициенты безопасности по бетону при сжатии
kб.с или при растяжении
kб.р, принимаемые для основных видов бетона по
табл. 12 настоящего Руководства.
Расчетные сопротивления бетона для предельных состояний первой группы Rпр и Rр снижаются (или повышаются) умножением на коэффициенты условий работы бетона mб, учитывающие особенности свойств бетонов, длительность действия нагрузки и ее многократную повторяемость, условия и стадию работы конструкции, способ ее изготовления, размеры сечений и т.п.
Расчетные сопротивления бетона для предельных состояний второй группы
RпрII и
RрII вводят в расчет с коэффициентом условий работы бетона
mб = 1, за исключением случаев, указанных в
пп. 4.7 и
4.9 настоящего Руководства.
При расчете элементов конструкций на воздействие температуры расчетные сопротивления бетона Rпр и RпрII необходимо дополнительно умножить на коэффициент условий работы бетона при сжатии mбt, а расчетные сопротивления бетона Rр и RрII - на коэффициент условий работы бетона при растяжении mрt, учитывающие величину температуры и длительность ее действия.
Величины расчетных сопротивлений основных видов бетонов (с округлением) в зависимости от их проектных марок по прочности на сжатие и на растяжение приведены: для предельных состояний первой группы - соответственно в
табл. 14 и для предельных состояний второй группы - в
табл. 13 настоящего Руководства.
Вид сопротивления | Номера составов бетона по табл. 11 настоящего Руководства | Расчетные сопротивления бетона для предельных состояний первой группы Rпр и Rр, кгс/см2, при проектной марке бетона по прочности на сжатие |
М10 | М15 | М25 | М35 | М50 | М75 | М100 | М150 | М200 | М250 | М300 | М350 | М400 | М450 | М500 |
Сжатие осевое (призменная прочность) Rпр | | - | - | - | - | 23 | 35 | 45 | 70 | 90 | 110 | 135 | 155 | 175 | 195 | 215 |
| 5 | 8 | 12 | 16 | 23 | 35 | 45 | 70 | 90 | 110 | 135 | 155 | 175 | - | - |
Растяжение осевое Rр | | - | - | - | - | 2,8 | 3,8 | 4,8 | 6,3 | 7,5 | 8,8 | 10 | 11 | 12 | 12,8 | 13,5 |
| 0,8 | 1,1 | 1,5 | 2,1 | 2,8 | 3,8 | 4,8 | 6,3 | 7,3 | 8 | 8,7 | 9,3 | 9,8 | - | - |
Примечания: 1. Величины Rпр и Rр, приведенные в настоящей таблице, в необходимых случаях должны умножаться на коэффициенты условий работы бетона mб согласно табл. 15 настоящего Руководства. 2. Расчетные сопротивления растяжению для всех видов бетона на глиноземистом цементе снижаются на 30% против значений, приведенных в табл. 14. |
Факторы, обусловливающие введение коэффициентов условий работы | Коэффициенты условий работы бетона |
условное обозначение | значение коэффициента |
1. Длительность действия нагрузки: | | |
а) при учете постоянных, длительных и кратковременных нагрузок, кроме нагрузок, суммарная длительность действия которых мала (например, крановые нагрузки; нагрузки от транспортных средств; ветровые нагрузки; нагрузки, возникающие при изготовлении, транспортировании, возведении и т.п.), а также при учете особых нагрузок, вызванных деформациями просадочных, набухающих и вечномерзлых и т.п. грунтов: | | |
для обычного тяжелого бетона и жаростойкого тяжелого, облегченного и легкого бетона, естественного твердения и подвергнутых тепловой обработке, если конструкция эксплуатируется в условиях воздействия повышенных и высоких температур при расчете на длительный нагрев; | mб1 | 0,85 |
б) при учете постоянных длительных и кратковременных нагрузок при расчете на кратковременный нагрев | | 1 |
в) при учете кратковременных нагрузок, суммарная длительность действия которых мала, или особых нагрузок <*>, не указанных в поз. 1 "а", для всех видов бетонов | | 1,1 |
2. Многократно повторяющаяся нагрузка: | | |
при нормальной температуре | mб2 | |
при нагреве выше 40 °C | mб2t | |
| mб5 | 0,9 |
4. Бетонирование обычных тяжелых и жаростойких тяжелых, облегченных и легких бетонов в вертикальном положении при высоте слоя бетонирования более 1,5 м | mб7 | 0,85 |
5. Бетонирование монолитных бетонных столбов и железобетонных колонн с наибольшим размером сечения менее 30 см | mб8 | 0,85 |
6. Стыки сборных элементов при толщине шва менее 1/5 наименьшего размера сечения элемента и менее 10 см | mб9 | 1,15 |
7. Воздействие температуры: | | |
при сжатии | mбt | |
при растяжении | mрt | |
<*> Если при учете особых нагрузок вводится дополнительный коэффициент условий работы, согласно соответствующим нормативным документам (например, при учете сейсмических нагрузок), коэффициент mб1 принимается равным единице. Примечания: 1. Коэффициенты условий работы бетона по поз. 1, 2, 3 и 7 должны учитываться при определении расчетных сопротивлений бетона Rпр и Rр, а по остальным позициям - только при определении Rпр. 2. Для конструкций, находящихся под действием многократно повторяющейся нагрузки, коэффициент mб1 учитывается при расчете по прочности, а mб2 - при расчете на выносливость и по образованию трещин. |
Расчетные сопротивления бетона для предельных состояний первой группы, приведенные в
табл. 13 и
14 настоящего Руководства, в соответствующих случаях следует умножать на коэффициенты условий работы бетона согласно
табл. 15 настоящего Руководства.
2.11. Начальный модуль упругости бетона при сжатии и растяжении
Eб принимается по
табл. 17 настоящего Руководства.
Коэффициент

, учитывающий снижение модуля упругости обычного и жаростойкого бетона при нагреве, следует принимать по
табл. 16 настоящего Руководства в зависимости от температуры бетона.
Номера составов бетона по табл. 11 настоящего Руководства | Обозначение коэффициента | Расчет на нагрев | Коэффициенты условий работы бетона при сжатии mбt и при растяжении mрt, коэффициент  при температуре бетона, °C |
50 | 70 | 100 | 200 | 300 | 500 | 700 | 900 | 1000 | 1100 |
| mбt | Кратковременный | 1 | 0,85 | 0,9 | 0,8 | 0,65 | - | - | - | - | - |
Длительный | 1 | 0,85 | 0,9 | 0,8 | 0,5 | - | - | - | - | - |
mрt | Кратковременный | 1 | 0,7 | 0,7 | 0,6 | 0,4 | - | - | - | - | - |
Длительный | 1 | 0,7 | 0,7 | 0,5 | 0,2 | - | - | - | - | - |
| Кратковременный и длительный | 1 | 0,9 | 0,8 | 0,6 | 0,4 | - | - | - | - | - |
| mбt | Кратковременный | 1 | 1 | 1 | 0,9 | 0,8 | - | - | - | - | - |
Длительный | 1 | 1 | 1 | 0,9 | 0,65 | - | - | - | - | - |
mрt | Кратковременный | 1 | 0,8 | 0,75 | 0,65 | 0,5 | - | - | - | - | - |
Длительный | 1 | 0,8 | 0,75 | 0,6 | 0,35 | - | - | - | - | - |
| Кратковременный и длительный | 1 | 1 | 0,9 | 0,8 | 0,6 | - | - | - | - | - |
| mбt | Кратковременный | 1 | 1 | 1 | 1,1 | 1 | 0,9 | 0,6 | 0,3 | 0,2 | 0,1 |
Длительный | 1 | 1 | 1 | 1 | 0,7 | 0,4 | 0,2 | 0,06 | 0,01 | - |
mрt | Кратковременный | 1 | 0,85 | 0,8 | 0,65 | 0,6 | 0,5 | 0,4 | 0,2 | - | - |
Длительный | 1 | 0,85 | 0,8 | 0,65 | 0,4 | 0,2 | 0,06 | - | - | - |
| Кратковременный и длительный | 1 | 1 | 1 | 0,9 | 0,75 | 0,5 | 0,32 | 0,22 | 0,18 | 0,15 |
| mбt | Кратковременный | 1 | 1 | 1,1 | 1,2 | 1,2 | 1 | 0,75 | 0,4 | 0,2 | - |
Длительный | 1 | 0,8 | 0,8 | 0,55 | 0,35 | 0,15 | 0,05 | 0,01 | - | - |
mрt | Кратковременный | 1 | 0,95 | 0,95 | 0,8 | 0,7 | 0,55 | 0,45 | 0,15 | - | - |
Длительный | 1 | 0,7 | 0,7 | 0,45 | 0,25 | 0,06 | - | - | - | - |
| Кратковременный и длительный | 1 | 1,1 | 1,1 | 1,1 | 1 | 0,7 | 0,3 | 0,1 | 0,05 | - |
| mбt | Кратковременный | 1 | 1 | 1 | 1 | 1 | 0,95 | 0,85 | 0,65 | 0,5 | 0,35 |
Длительный | 1 | 0,9 | 0,9 | 0,8 | 0,5 | 0,25 | 0,07 | 0,02 | 0,01 | - |
mрt | Кратковременный | 1 | 0,95 | 0,95 | 0,8 | 0,7 | 0,55 | 0,45 | 0,35 | - | - |
Длительный | 1 | 0,8 | 0,8 | 0,7 | 0,4 | 0,12 | 0,02 | - | - | - |
| Кратковременный и длительный | 1 | 1,1 | 1,1 | 1,1 | 1,1 | 1 | 0,7 | 0,35 | 0,27 | 0,2 |
| mбt | Кратковременный | 1 | 0,9 | 0,8 | 0,7 | 0,55 | 0,45 | 0,35 | 0,3 | 0,25 | 0,2 |
Длительный | 1 | 0,9 | 0,8 | 0,7 | 0,5 | 0,25 | 0,1 | 0,05 | 0,02 | - |
mрt | Кратковременный | 1 | 0,65 | 0,55 | 0,5 | 0,45 | 0,35 | 0,25 | 0,1 | - | - |
Длительный | 1 | 0,65 | 0,55 | 0,5 | 0,3 | 0,12 | 0,02 | - | - | - |
| Кратковременный и длительный | 1 | 0,9 | 0,85 | 0,7 | 0,55 | 0,4 | 0,33 | 0,3 | 0,27 | 0,2 |
Примечания: 1. Значения коэффициента mбt принимаются при расчете по формулам: (69), (94), (98) - (100), (102), (104), (107) - (111), (129) - (133), (135) - (137), (139), (140), (154) - (156), (165), (166), (172), (173), (267) - по средней температуре бетона сжатой зоны; (76), (134) - по средней температуре бетона участков сжатой зоны; (90) - по температуре бетона в центре тяжести приведенного сечения; (202), (206) - по температуре бетона в месте расположения сеток; (218) - по температуре бетона в месте расположения закладной детали; (226) - по температуре бетона в месте расположения анкерных пластинок; (288) - по температуре бетона в месте расположения арматуры. 2. Значения коэффициента mрt принимаются при расчете по формулам: (180), (195) - по температуре бетона в центре тяжести сечения; (248) - по температуре бетона в центре тяжести приведенного сечения; (337) - по температуре бетона у нижней полки металлической балки; (82), (83), (91) - по средней температуре бетона растянутой зоны при нагреве сжатой зоны или по температуре бетона растянутой грани при нагреве растянутой зоны; (208), (209) - по средней температуре бетона на проверяемом участке; (222) - (224) - по температуре бетона в середине длины анкера, ограниченного поверхностью выкалывания; (275) - по наибольшей температуре бетона в месте расположения анкеров или края элемента. 3. При расчете на длительный нагрев несущих конструкций, срок службы которых не превышает 5 лет, коэффициент mбt следует увеличить на 15%, но он не должен превышать величины mбt при расчете на кратковременный нагрев. 4. Для конструкций, которые во время эксплуатации подвергаются циклическому нагреву, коэффициенты mбt и  следует снизить на 15%, а коэффициент mрt - на 20%. 5. Коэффициенты mбt, mрt и  для промежуточных значений температур определяются по интерполяции. 6. Коэффициенты mбt, mрt и  для бетонов составов N 1 - 4 при их нагреве выше 300 °C определяются экстраполяцией. 7. Среднюю температуру бетона сжатой зоны прямоугольных сечений при  допускается принимать по температуре бетона, расположенного на расстоянии 0,2 h0 от сжатой грани сечения; при  , x = 0,55 h0 и x = h - на расстоянии 0,5 x от сжатой грани сечения. |
Номера составов бетона по табл. 11 настоящего Руководства | Начальные модули упругости бетона при сжатии и растяжении Eб·10-3, кгс/см2, при проектной марке бетона по прочности на сжатие |
М25 | М35 | М50 | М75 | М100 | М150 | М200 | М250 | М300 | М350 | М400 | М450 | М500 | М600 |
| - | - | - | - | 170 | 210 | 240 | 265 | 290 | 310 | 330 | 345 | 360 | 380 |
Подвергнутого тепловой обработке при атмосферном давлении | - | - | - | - | 155 | 190 | 215 | 240 | 260 | 280 | 300 | 310 | 325 | 340 |
| 30 | 35 | 40 | 50 | - | - | - | - | - | - | - | - | - | - |
| 40 | 45 | 50 | 60 | 65 | - | - | - | - | - | - | - | - | - |
| - | - | 75 | 85 | 95 | 105 | 115 | 125 | 135 | - | - | - | - | - |
| - | - | - | 110 | 120 | 135 | 150 | 165 | 175 | 185 | 190 | - | - | - |
| - | - | - | - | - | 170 | 185 | 200 | 215 | 225 | 235 | - | - | - |
2.12. Начальный коэффициент поперечной деформации бетона (коэффициент Пуассона)

принимается равным 0,2, а модуль сдвига
G - равным 0,4 соответствующего значения модуля упругости бетона для всех видов бетона и температур нагрева.
2.13. Коэффициент упругости

, характеризующий упругопластическое состояние сжатого бетона, при определении приведенного сечения бетона, а также при расчете сводов и куполов из жаростойкого бетона принимается по
табл. 18 настоящего Руководства в зависимости от величины температуры и длительности ее действия.
Номера составов бетона по табл. 11 настоящего Руководства | Расчет на нагрев | Коэффициент упругости  обычного и жаростойкого бетонов при температуре бетона, °C |
50 | 70 | 100 | 200 | 300 | 500 | 700 | 900 | 1000 |
| Кратковременный | 0,85 | 0,65 | 0,7 | 0,7 | 0,65 | - | - | - | - |
Длительный | 0,25 | 0,25 | 0,25 | 0,25 | 0,2 | - | - | - | - |
| Кратковременный | 0,85 | 0,8 | 0,8 | 0,75 | 0,7 | 0,53 | 0,32 | 0,15 | 0,05 |
Длительный | 0,24 | 0,24 | 0,24 | 0,22 | 0,21 | 0,07 | 0,03 | 0,01 | - |
| Кратковременный | 0,8 | 0,8 | 0,7 | 0,65 | 0,5 | 0,35 | 0,3 | 0,1 | - |
Длительный | 0,2 | 0,2 | 0,2 | 0,2 | 0,06 | 0,015 | - | - | - |
| Кратковременный | 0,85 | 0,8 | 0,75 | 0,6 | 0,55 | 0,45 | 0,35 | 0,2 | 0,15 |
Длительный | 0,3 | 0,3 | 0,27 | 0,25 | 0,23 | 0,03 | 0,02 | 0,01 | - |
Примечания: 1. При расчете на длительный нагрев при температуре бетона выше 50 до 200 °C и средней относительной влажности воздуха до 40% коэффициент  принимается 0,2. 2. Коэффициент  для промежуточных значений температур определяется по интерполяции, а для бетонов составов N 1 - 4 при температурах выше 300 °C - по экстраполяции. |
Коэффициент упругости

, характеризующий упругопластическое состояние бетона сжатой зоны, при расчете деформаций и закладных деталей принимается по
табл. 19 настоящего Руководства в зависимости от величины температуры и длительности ее действия.
Номера составов бетона по табл. 11 настоящего Руководства | Расчет на нагрев | Коэффициент  при температуре бетона, °C |
50 | 70 | 100 | 200 | 300 | 500 | 700 | 900 |
| Кратковременный | 0,45 | 0,4 | 0,45 | 0,45 | 0,35 | - | - | - |
Длительный | 0,15 | 0,15 | 0,15 | 0,15 | 0,1 | - | - | - |
| Кратковременный | 0,45 | 0,43 | 0,43 | 0,4 | 0,37 | 0,28 | 0,2 | 0,1 |
Длительный | 0,15 | 0,15 | 0,15 | 0,1 | 0,09 | 0,07 | 0,05 | 0,02 |
| Кратковременный | 0,45 | 0,43 | 0,38 | 0,35 | 0,28 | 0,2 | 0,17 | 0,07 |
Длительный | 0,13 | 0,13 | 0,13 | 0,1 | 0,03 | 0,02 | - | - |
| Кратковременный | 0,45 | 0,43 | 0,4 | 0,33 | 0,3 | 0,25 | 0,2 | 0,15 |
Длительный | 0,15 | 0,15 | 0,13 | 0,13 | 0,1 | 0,03 | 0,03 | 0,02 |
Примечания: 1. При расчете на длительный нагрев при температуре бетона выше 50 до 200 °C и средней относительной влажности воздуха до 40% коэффициент  принимается 0,1. 2. Коэффициент  для промежуточных значений температур определяется по интерполяции, а для бетона составов N 1 - 4 при температуре выше 300 °C - по экстраполяции. |
2.14. Коэффициент линейной температурной деформации бетона

в зависимости от температуры бетона должен приниматься по
табл. 20 настоящего Руководства. Величина коэффициента

определена с учетом температурной усадки бетона при кратковременном и длительном нагревах бетона. При необходимости определения температурного расширения бетона при повторном воздействии температуры после кратковременного или длительного нагрева к коэффициенту линейной температурной деформации

следует прибавить коэффициент температурной усадки бетона

соответственно для кратковременного или длительного нагрева.
Номера составов бетона по табл. 11 настоящего Руководства | Расчет на нагрев | Коэффициент линейной температурной деформации бетона  , град -1, при температуре бетона, °C |
50 | 100 | 200 | 300 | 500 | 700 | 900 | 1100 |
влажность воздуха до 40% | влажность воздуха более 40% |
| Кратковременный | 10 | 10 | 10 | 9,5 | 9 | - | - | - | - |
Длительный | 2 | 6 | 7,5 | 8 | 7,8 | - | - | - | - |
| Кратковременный | 9 | 9 | 9 | 8 | 7 | 6 | 6 | - | - |
Длительный | 1 | 5 | 6 | 6,5 | 5,8 | - | - | - | - |
| Кратковременный | 8,5 | 8,5 | 8,5 | 7,5 | 7 | 5,5 | 4,5 | 4 | 3 |
Длительный | 0,5 | 4,5 | 5,5 | 6 | 5,8 | - | - | - | - |
| Кратковременный | 9 | 9 | 9 | 8 | 7 | 6 | 6 | - | - |
Длительный | 7 | 7 | 7 | 6,5 | 5,5 | 4,5 | 4,6 | - | - |
| Кратковременный | 8,5 | 8,5 | 8,5 | 7,5 | 7 | 5,5 | 4,5 | 4 | 3 |
Длительный | 6,5 | 6,5 | 6,5 | 6 | 5,5 | 4 | 3,1 | 1,7 | -0,2 |
| Кратковременный | 5 | 5 | 5 | 5,5 | 6 | 7 | 6,5 | 6 | 5 |
Длительный | -7,5 | -4,5 | 0 | 3 | 4,3 | 6 | 5,8 | 5,4 | 4,4 |
| Кратковременный | 8 | 8 | 8 | 7 | 6,5 | 5,5 | 4,5 | 4 | 3,5 |
Длительный | -1 | 3 | 4,5 | 5,2 | 5,2 | 4,7 | 3,6 | 3,1 | 2,6 |
Примечания: 1. Коэффициент  для промежуточных значений температур определяется по интерполяции, а для бетона составов N 1 - 4 при температуре выше 300 °C - по экстраполяции. 2. Для бетонов состава N 1 с карбонатным щебнем (доломит, известняк) коэффициент  увеличивается на 1·10 -6, град -1. 3. Влажность воздуха принимается согласно п. 2.14 настоящего Руководства. |
Коэффициент температурной усадки бетона

принимается по
табл. 21 настоящего Руководства.
Номера составов бетона по табл. 11 настоящего Руководства | Расчет на нагрев | Коэффициент температурной усадки бетона  , град -1, при температуре бетона, °C |
50 | 100 | 200 | 300 | 500 | 700 | 900 | 1100 |
влажность воздуха до 40% | влажность воздуха более 40% |
| Кратковременный | 1 | 0,5 | 1,5 | 1,1 | 1,3 | - | - | - | - |
Длительный | 9 | 4,5 | 4,5 | 2,6 | 2,5 | - | - | - | - |
| Кратковременный | 2 | 1 | 2 | 1,5 | 1,5 | 1,5 | 1,4 | 2,3 | 3,2 |
Длительный | 12 | 6 | 6 | 3,5 | 2,8 | 2,5 | 2,4 | 3,2 | 4,1 |
| Кратковременный | 4 | 2 | 3 | 2,5 | 2 | 1,3 | 1 | 0,8 | 0,7 |
Длительный | 16 | 11 | 8 | 5 | 3,7 | 2,3 | 1,7 | 1,4 | 1,2 |
| Кратковременный | 1 | 0,5 | 2 | 1,5 | 1,3 | 1,4 | 1,6 | 2,1 | 2,3 |
Длительный | 10 | 5,5 | 5,5 | 3,25 | 2,6 | 2,2 | 2,5 | 3 | 3,2 |
Примечания: 1. Значения коэффициента  принимаются в таблице со знаком минус. 2. Коэффициент  для промежуточных значений температур определяется по интерполяции и для бетона составов N 1 - 4 при температуре выше 300 °C - по экстраполяции. 3. Влажность воздуха принимается согласно п. 2.14 настоящего Руководства. |
Коэффициент температурной усадки бетона принят:
при кратковременном нагреве - для подъема температуры более 10 °C в 1 ч;
при длительном нагреве - для подъема температуры менее 0,5 °C в 1 ч;
при первом нагреве и подъеме температуры от 0,5 до 10 °C в 1 ч - значения коэффициента

принимаются по интерполяции.
В
табл. 20 и
21 настоящего Руководства влажность воздуха окружающей среды определяется как средняя относительная влажность наружного воздуха наиболее жаркого месяца в зависимости от района строительства, согласно главы
СНиП II-А.6-72, или как относительная влажность внутреннего воздуха помещений отапливаемых и нагреваемых зданий и сооружений.
2.15. Объемный вес бетона естественной влажности принимается по
табл. 11 настоящего Руководства. Объемный вес бетона в сухом состоянии при его нагреве выше 100 °C уменьшают на 150 кг/м
3.
Объемный вес железобетона (при

) принимается на 100 кг/м
3 больше объемного веса соответствующего состояния бетона.
2.16. При расчете железобетонных конструкций на выносливость, а также по образованию трещин при многократно повторяющейся нагрузке в условиях воздействия температур выше 50 °C расчетные сопротивления обычного бетона должны умножаться на коэффициенты условий работы бетона
mб2 и
mб2t, принимаемые соответственно по
табл. 22 и
23 настоящего Руководства.
При применении жаростойкого бетона в железобетонных конструкциях, подвергающихся воздействию высоких температур и многократно повторяющейся нагрузки, расчетные сопротивления бетона должны быть специально обоснованы.
Бетоны | Состояние бетона по влажности | Коэффициент условий работы бетона mб2 при многократно повторяющейся нагрузке и коэффициенте асимметрии цикла  , равном |
0 - 0,1 | 0,2 | 0,3 | 0,4 | 0,5 | 0,6 | >= 0,7 |
| Естественной влажности | 0,75 | 0,8 | 0,85 | 0,9 | 0,95 | 1 | 1 |
Водонасыщенный | 0,5 | 0,6 | 0,7 | 0,8 | 0,9 | 0,95 | 1 |
 , где  и  - соответственно наименьшее и наибольшее напряжения в бетоне в пределах цикла изменения нагрузки, определяемые согласно п. 3.71 настоящего Руководства. |
Температура бетона, °C | Коэффициент условий работы обычного бетона mб2t при многократно повторяющихся нагрузках | Температура бетона, °C | Коэффициент условий работы обычного бетона mб2t при многократно повторяющихся нагрузках |
50 | 0,8 | 90 | 0,4 |
70 | 0,6 | 110 | 0,2 |
Примечание. Величины mб2t для промежуточных значений температур определяются по интерполяции. |
2.17. Для армирования железобетонных конструкций, работающих при воздействии повышенной и высокой температуры, должна применяться арматура, отвечающая требованиям соответствующих государственных стандартов, или утвержденных в установленном порядке технических условий следующих видов.
Стержневая арматура:
а) горячекатаная - гладкая класса А-I; периодического профиля классов А-II, А-III, А-IV, А-V;
б) термически упрочненная - периодического профиля классов Ат-IV, Ат-V, Ат-VI.
Проволочная арматура:
в) арматурная холоднотянутая проволока:
обыкновенная - гладкая класса В-I, периодического профиля класса Вр-I;
высокопрочная - гладкая класса В-II, периодического профиля класса Вр-II;
г) арматурные канаты - спиральные семипроволочные класса К-7.
Для закладных деталей и соединительных накладок применяется, как правило, прокатная углеродистая сталь класса С38/23 согласно главе СНиП II-В.3-72 "Стальные конструкции. Нормы проектирования".
В железобетонных конструкциях допускается применять другие виды сталей, в том числе упрочненную вытяжкой классов А-IIв и А-IIIв, а также новые виды арматуры, осваиваемые промышленностью (например, стержневую повышенной коррозионной стойкости класса Атп-V), арматурные канаты - 19-проволочные класса К-19, многопрядные - класса К-n, применение которых должно быть согласовано в установленном порядке.
Примечание. В дальнейшем в настоящем Руководстве для краткости используются следующие термины: "стержень" - для обозначения арматуры любого диаметра, вида и профиля, независимо от того, поставляется ли она в прутках или мотках (бухтах), "диаметр" (d) - если не оговорено особо, означает номинальный диаметр стержня.
2.18. Выбор арматурных сталей следует производить в зависимости от типа конструкции, наличия предварительного напряжения, величины температуры нагрева, а также от условий возведения и эксплуатации здания или сооружения в соответствии с
пп. 2.19 -
2.25 настоящего Руководства.
2.19. В качестве ненапрягаемой арматуры железобетонных конструкций (кроме указанных в
п. 2.20 настоящего Руководства) следует преимущественно применять:
а) горячекатаную арматурную сталь класса А-III;
б) обыкновенную арматурную проволоку диаметром 3 - 5 мм классов Вр-I и В-I (в сварных сетках и каркасах);
допускается также применять:
в) горячекатаную арматурную сталь классов А-II и А-I в основном для поперечной арматуры линейных элементов, для конструктивной и монтажной арматуры, а также в качестве продольной рабочей арматуры в случаях, когда использование других видов ненапрягаемой арматуры нецелесообразно или не допускается;
г) обыкновенную арматурную проволоку класса В-I диаметром 3 - 5 мм - для вязаных хомутов балок высотой до 400 мм и колонн;
д) горячекатаную арматурную сталь классов А-IV, А-V и термически упрочненную сталь классов Ат-IV и Ат-V - только для продольной рабочей арматуры вязаных каркасов и сеток. Арматура этих классов может использоваться в качестве растянутой или сжатой в составе преднапряженных конструкций; в обычных конструкциях - для сжатой арматуры, а классов А-IV, Ат-IV - и для растянутой арматуры.
Ненапрягаемую арматуру классов А-III, А-II и А-I рекомендуется применять в виде сварных каркасов и сварных сеток.
2.20. В конструкциях с ненапрягаемой арматурой, находящихся под давлением газов или жидкостей, следует преимущественно применять:
а) горячекатаную арматурную сталь классов А-II и А-I;
допускается также применять:
б) горячекатаную арматурную сталь класса А-III;
в) обыкновенную арматурную проволоку классов Вр-I и В-I.
2.21. В качестве напрягаемой арматуры предварительно-напряженных железобетонных элементов:
при длине до 12 м включительно следует преимущественно применять:
а) термически упрочненную арматурную сталь классов Ат-VI и Ат-V;
допускается также применять:
б) высокопрочную арматурную проволоку классов В-II, Вр-II и арматурные канаты класса К-7;
в) горячекатаную арматурную сталь классов А-V, А-IV и термически упрочненную сталь класса Ат-IV;
при длине элементов свыше 12 м следует преимущественно применять:
г) высокопрочную арматурную проволоку классов В-II, Вр-II и арматурные канаты класса К-7;
д) горячекатаную арматурную сталь класса А-V;
допускается также применять:
е) горячекатаную арматурную сталь класса А-IV.
2.22. В качестве напрягаемой арматуры предварительно-напряженных элементов, находящихся под давлением газов, жидкостей или сыпучих тел, следует преимущественно применять:
а) высокопрочную арматурную проволоку классов В-II, Вр-II и арматурные канаты класса К-7;
б) термически упрочненную арматурную сталь классов Ат-VI и Ат-V;
в) горячекатаную арматурную сталь класса А-V;
допускается также применять:
г) горячекатаную арматурную сталь класса А-IV;
д) термически упрочненную арматурную сталь класса Ат-IV;
под воздействием агрессивной среды рекомендуется преимущественно применять горячекатаную арматурную сталь класса А-IV.
2.23. Для железобетонных конструкций из жаростойкого бетона в качестве ненапрягаемой арматуры, анкеров и закладных деталей при их нагреве выше 400 °C следует предусматривать стержневую арматуру и прокат из:
легированной стали марки 30ХМ;
коррозионно-стойких, жаростойких и жаропрочных сталей марок 12Х13, 20Х13, 12Х18Н9Т, 20Х23Н18 и 45Х14Н14В2М по
ГОСТ 5632-72 и
ГОСТ 5949-75.
Предельно допустимую температуру применения арматуры и проката в железобетонных конструкциях следует принимать по
табл. 24 настоящего Руководства.
Вид и класс арматуры, и марки стали, проката | Предельно допустимая температура, °C, применения арматуры и проката, установленных в железобетонных конструкциях |
по расчету | по конструктивным соображениям |
Стержневая арматура классов: | | |
А-I и А-II | 400 | 450 |
А-III | 450 | 500 |
А-IV, А-V, Ат-IV, Ат-V и Ат-VI в качестве арматуры: | | |
ненапрягаемой | 450 | - |
напрягаемой | 250 | - |
Проволочная арматура классов: | | |
В-I и Вр-I | 400 | 450 |
В-II, Вр-II и К-7 | 150 | - |
Прокат из стали марок ВСт3пс2 и ВСт3сп5 | 400 | 450 |
Стержневая арматура и прокат из стали марок: | | |
30ХМ, 12Х13, 20Х13 | 500 | 800 |
20Х23Н18 | 550 | 1000 |
12Х18Н9Т и 45Х14Н14В2М | 600 | 800 |
Примечания: 1. При циклическом нагреве предельно допустимая температура применения напрягаемой арматуры должна приниматься на 50 °C ниже указанной в табл. 24. 2. При многократно повторяющейся нагрузке предельно допустимая температура применения напрягаемой арматуры не должна превышать 100 °C и ненапрягаемой - 200 °C. 3. При нагреве проволоки классов В-I и Вр-I выше 250 °C расчетные сопротивления следует принимать как для арматуры класса А-I по табл. 26 и 30 настоящего Руководства. 4. Для конструктивной арматуры при температурах ее нагрева до 800 °C разрешается применять жаростойкую сталь марки 08Х17Т по ГОСТ 5632-72 и ГОСТ 5949-75. 5. Стали марок 30ХМ, 12Х13, 20Х13 после сварки требуют высокотемпературного отпуска. |
Разрешается применять другие марки жаростойких сталей при соответствующем обосновании и наличии данных о их работе при высоких температурах.
2.24. При выборе вида и марок стали для арматуры, устанавливаемой по расчету, а также прокатных сталей для закладных деталей должны учитываться температурные условия эксплуатации конструкций и характер их нагружения согласно
прил. 2 и
3.
При возведении в условиях расчетной зимней температуры наружного воздуха ниже минус 40 °C конструкций с арматурой, допускаемой для использования только в отапливаемых зданиях, должна быть обеспечена несущая способность конструкций на стадии ее возведения, принимая расчетное сопротивление арматуры с коэффициентом 0,7 и расчетную нагрузку с коэффициентом перегрузки n = 1.
2.25. Для монтажных (подъемных) петель элементов сборных железобетонных и бетонных конструкций должна применяться горячекатаная арматурная сталь класса А-II марки 10ГТ и класса А-I марок ВСт3сп2 и ВСт3пс2.
В случае, если возможен монтаж конструкций при расчетной зимней температуре ниже минус 40 °C, для монтажных петель не допускается применять сталь марки ВСт3пс2.
НОРМАТИВНЫЕ И РАСЧЕТНЫЕ ХАРАКТЕРИСТИКИ АРМАТУРЫ
2.26. За нормативные сопротивления арматуры

принимаются наименьшие контролируемые значения:
для стержневой арматуры - предела текучести, физического или условного (равного величине напряжений, соответствующих остаточному относительному удлинению 0,2%);
для проволочной арматуры - временного сопротивления разрыву (для арматурных канатов это значение определяется по величине разрывного усилия каната в целом).
Указанные контролируемые характеристики арматуры принимаются в соответствии с государственными стандартами или техническими условиями на арматурные стали и гарантируются с вероятностью не менее 0,95.
Нормативные сопротивления

для основных видов стержневой, проволочной и жаростойкой арматуры приведены соответственно в
табл. 25,
26 и
27 настоящего Руководства.
Стержневая арматура класса | Нормативные сопротивления растяжению  и расчетные сопротивления растяжению для предельных состояний второй группы RаII, кгс/см 2 | Стержневая арматура класса | Нормативные сопротивления растяжению  и расчетные сопротивления растяжению для предельных состояний второй группы RаII, кгс/см 2 |
А-I | 2400 | А-V | 8 000 |
А-II | 3000 | Ат-IV | 6 000 |
А-III | 4000 | Ат-V | 8 000 |
А-IV | 6000 | Ат-VI | 10 000 |
Проволочная арматура класса | Диаметр, мм | Нормативные сопротивления растяжению  и расчетные сопротивления растяжению RаII для предельных состояний второй группы, кгс/см 2 |
В-I | 3 - 5 | 5 500 |
Вр-I | 3 - 4 | 5 500 |
5 | 5 250 |
В-II | 3 | 19 000 |
4 | 18 000 |
5 | 17 000 |
6 | 16 000 |
7 | 15 000 |
8 | 14 000 |
Вр-II | 3 | 18 000 |
4 | 17 000 |
5 | 16 000 |
6 | 15 000 |
7 | 14 000 |
8 | 13 000 |
К-7 | 4,5 | 19 000 |
6 | 18 550 |
7,5 | 18 000 |
9 | 17 500 |
12 | 17 000 |
15 | 16 500 |
Арматура и прокат из стали марки | Нормативные сопротивления растяжению  и расчетные сопротивления растяжению для предельных состояний второй группы RаII, кгс/см 2 | Арматура и прокат из стали марки | Нормативные сопротивления растяжению  и расчетные сопротивления растяжению для предельных состояний второй группы RаII, кгс/см 2 |
30ХМ | 6000 | 20Х23Н18 | 2000 |
12Х13 | 4200 | 12Х18Н9Т | 2000 |
20Х13 | 4500 | 45Х14Н14В2М | 3200 |
2.27. Расчетные сопротивления арматуры растяжению Rа для предельных состояний первой и второй группы определяются по формуле

(67)
где
kа - коэффициент безопасности по арматуре, принимаемый по
табл. 28 настоящего Руководства.
Вид и класс арматуры и марки стали проката | Коэффициент безопасности по арматуре kа при расчете конструкций по предельным состояниям |
первой группы | второй группы |
Стержневая арматура классов: | | |
А-I | 1,15 | 1 |
А-II и А-III | 1,1 | 1 |
А-IV и Ат-IV | 1,2 | 1 |
А-V, Ат-V и Ат-VI | 1,25 | 1 |
Проволочная арматура классов: | | |
Вр-I, В-II, Вр-II и К-7 | 1,55 | 1 |
В-I | 1,75 | 1 |
Жаростойкая арматура марок 30ХМ, 12Х13, 20Х13, 12Х18Н9Т, 20Х23Н18, 45Х14Н14В2М | 1,5 | 1 |
Расчетные сопротивления арматуры растяжению для основных видов стержневой, проволочной и жаростойкой арматуры при расчете конструкций по предельным состояниям первой группы приведены соответственно в
табл. 29,
30 и
31, а при расчете по предельным состояниям второй группы - в
табл. 25,
26 и
27 настоящего Руководства.
Стержневая арматура класса | Расчетные сопротивления арматуры для предельных состояний первой группы, кгс/см2 |
растяжению | сжатию Rа.с |
продольной, а также поперечной (хомутов и отогнутых стержней) при расчете наклонных сечений на действие изгибающего момента Rа | поперечной (хомутов и отогнутых стержней) при расчете наклонных сечений на действие поперечной силы Rа.х |
А-I | 2100 | 1700 | 2100 |
А-II | 2700 | 2150 | 2700 |
А-III | 3600 | | 3400 |
А-IV | 5000 | 4000 | 4000 |
А-V | 6400 | 5100 | 4000 |
Ат-IV | 5000 | 4000 | 4000 |
Ат-V | 6400 | 5100 | 4000 |
Ат-VI | 8000 | 6400 | 4000 |
-------------------------------- <*> В сварных каркасах для хомутов из арматуры класса А-III, диаметр которых меньше 1/ 3 диаметра продольных стержней, значение Rа.х принимается 2400 кгс/см 2. |
Проволочная арматура класса | Диаметр, мм | Расчетные сопротивления арматуры для предельных состояний первой группы, кгс/см2 |
растяжению | сжатию Rа.с |
продольной, а также поперечной (хомутов и отогнутых стержней) при расчете наклонных сечений на действие изгибающего момента Rа | поперечной (хомутов и отогнутых стержней) при расчете наклонных сечений на действие поперечной силы Rа.х |
В-I | 3 - 5 | 3 150 | 2200 (1900) | 3150 |
Вр-I | 3 - 4 | 3 500 | 2600 (2800) | 3500 |
5 | 3 400 | 2500 (2700) | 3400 |
В-II | 3 | 12 300 | 9800 | 4000 |
4 | 11 600 | 9300 | 4000 |
5 | 11 000 | 8800 | 4000 |
6 | 10 300 | 8300 | 4000 |
7 | 9 700 | 7700 | 4000 |
8 | 9 000 | 7200 | 4000 |
Вр-II | 3 | 11 600 | 9300 | 4000 |
4 | 11 000 | 8800 | 4000 |
5 | 10 300 | 8300 | 4000 |
6 | 9 700 | 7700 | 4000 |
7 | 9 000 | 7200 | 4000 |
8 | 8 400 | 6700 | 4000 |
К-7 | 4,5 | 12 300 | 9800 | 4000 |
6 | 11 900 | 9500 | 4000 |
7,5 | 11 600 | 9300 | 4000 |
9 | 11 300 | 9000 | 4000 |
12 | 11 000 | 8800 | 4000 |
15 | 10 600 | 8500 | 4000 |
Примечание. Величины Rа.х в скобках даны для случая применения проволочной арматуры классов В-I и Вр-I в вязаных каркасах. |
Арматура и прокат из стали марки | Расчетные сопротивления арматуры для предельных состояний первой группы, кгс/см2 |
растяжению | сжатию Rа.с |
продольной, а также поперечной (хомутов и отогнутых стержней) при расчете наклонных сечений на действие изгибающего момента Rа | поперечной (хомутов и отогнутых стержней) при расчете наклонных сечений на действие поперечной силы Rа.х |
30ХМ | 4000 | - | - |
12Х13 | 2800 | 2250 | 2880 |
20Х13 | 3000 | 2400 | 3000 |
20Х23Н18 | 1350 | 1100 | 1350 |
12Х18Н9Т | 1350 | 1100 | 1350 |
45Х14Н14В2М | 2100 | 1700 | 2100 |
2.28. Расчетные сопротивления арматуры сжатию, используемые при расчете конструкций по предельным состояниям первой группы, Rа.с при наличии сцепления арматуры с бетоном принимаются равными соответствующим расчетным сопротивлениям арматуры растяжению Rа, но не более:
для конструкций из тяжелого обычного бетона и тяжелого, облегченного и легкого жаростойкого бетона - 4000 кгс/см2.
Значения расчетных сопротивлений арматуры сжатию для основных видов стержневой, проволочной и жаростойкой арматуры приведены соответственно в
табл. 29,
30 и
31 настоящего Руководства.
При расчете конструкций из обычного и жаростойкого бетонов, для которых расчетное сопротивление бетона принято с учетом коэффициента условий работы
mб1 = 0,85 (см.
поз. 1 табл. 15 настоящего Руководства), допускается при соблюдении соответствующих конструктивных требований
п. 5.22 настоящего Руководства, принимать значения
Rа.с равными для арматуры классов:
А-IV и Ат-IV - 4500 кгс/см2;
А-V, Ат-V, Ат-VI, В-II, Вр-II и К-7 - 5000 кгс/см2.
При отсутствии сцепления арматуры с бетоном значение Rа.с принимается равным нулю.
2.29. Расчетные сопротивления арматуры для предельных состояний первой группы снижаются (или повышаются) умножением на соответствующие коэффициенты условий работы mа, учитывающие возможность неполного использования прочностных характеристик арматуры в связи с неравномерным распределением напряжений в сечении, низкой прочностью бетона, условиями анкеровки, наличием загибов, характером диаграммы растяжения стали, влиянием температуры нагрева, изменением ее свойств в зависимости от условий работы конструкций и т.п.
Расчетные сопротивления арматуры для предельных состояний второй группы RаII вводят в расчет с коэффициентом условий работы mа = 1.
Расчетное сопротивление поперечной арматуры (хомутов и отогнутых стержней) на действие поперечных сил Rа.х снижается путем умножения на коэффициенты условий работы mа.х, учитывающие особенности работы такой арматуры:
а) независимо от вида и класса арматуры - коэффициент mа.х = 0,8, учитывающий неравномерность распределения напряжений в арматуре по длине наклонного сечения;
б) стержневой арматуры класса А-III диаметром менее 1/3 диаметра продольных стержней и проволочной арматуры классов В-I и Вр-I в сварных каркасах - коэффициент mа.х = 0,9, учитывающий возможность хрупкого разрушения сварного соединения;
в) проволочной арматуры класса В-I в вязаных каркасах - коэффициент mа.х = 0,75, учитывающий ее пониженное сцепление с бетоном.
Расчетные сопротивления растяжению поперечной арматуры (хомутов и отогнутых стержней)
Rа.х, с учетом указанных выше коэффициентов условий работы арматуры, приведены в
табл. 29,
30 и
31 настоящего Руководства.
Кроме того, расчетные сопротивления
Rа,
Rа.с и
Rа.х в соответствующих случаях следует умножать на коэффициенты условий работы согласно
табл. 32 -
35 настоящего Руководства.
Факторы, обусловливающие введение коэффициентов условий работы арматуры | Характеристика арматуры | Класс арматуры и марка стали проката | Коэффициенты условий работы арматуры |
условное обозначение | значение коэффициентов |
1. Многократное повторение нагрузки при нормальной температуре. | Продольная и поперечная | А-I, А-II, А-III и А-IV, В-I и Вр-I; В-II, Вр-II и К-7 | mа1 | |
Влияние температуры нагрева | mа1t | |
2. Наличие сварных соединений при многократном повторении нагрузки | Продольная и поперечная при наличии сварных соединений арматуры | А-I, А-II и А-III | mа2 | |
3. Зона передачи напряжений для арматуры без анкеров и зона анкеровки ненапрягаемой арматуры | Продольная ненапрягаемая | Независимо от класса | mа3 | lx/lан, где lx - расстояние от начала зоны передачи напряжений до рассматриваемого сечения; lан - длина зоны анкеровки арматуры (см. п. 5.14 настоящего Руководства) |
4. Работа высокопрочной арматуры при напряжениях выше условного предела текучести | Продольная растянутая | А-IV и А-V; Ат-IV, Ат-V и Ат-VI; В-II, Вр-II и К-7 | mа4 | Согласно указаниям п. 3.14 настоящего Руководства |
5. Элементы из жаростойкого облегченного и легкого бетона проектной марки М100 и ниже | а) Продольная растянутая | А-II и А-III диаметром 10 - 12 мм | mа5 | |
б) То же | А-II и А-III диаметром 14 - 16 мм | |
в) Продольная сжатая | Независимо от класса | |
г) Поперечная | А-I, | |
В-I и Вр-I | |
6. Воздействие температуры выше 50 °C | Продольная и поперечная | Независимо от класса и марки | mаt | |
Примечания: 1. Коэффициенты mа1 и mа2 по поз. 1 и 2 настоящей таблицы учитываются только при расчете на выносливость; для арматуры, имеющей сварные соединения, эти коэффициенты учитываются одновременно, при нагреве арматуры выше 100 °C дополнительно учитывается еще коэффициент mа1t. 2. В формулах для определения коэффициентов условий работы арматуры по поз. 5 настоящей таблицы величины  (см. п. 2.2), Rа и Rа.с имеют размерность в кгс/см 2. |
Класс арматуры | Коэффициенты условий работы арматуры mа1 при многократном повторении нагрузки и коэффициенте асимметрии цикла  , равном |
-1 | -0,2 | 0 | 0,2 | 0,4 | 0,7 | 0,8 | 0,9 | 1 |
А-I | 0,45 | 0,7 | 0,8 | 0,85 | 1 | 1 | 1 | 1 | 1 |
А-II | 0,45 | 0,55 | 0,6 | 0,65 | 0,75 | 1 | 1 | 1 | 1 |
А-II марки 10ГТ с улучшенным профилем | - | - | 0,8 | 0,85 | 0,95 | 1 | 1 | 1 | 1 |
А-III | 0,35 | 0,4 | 0,45 | 0,5 | 0,6 | 0,9 | 1 | 1 | 1 |
А-IV | - | - | - | - | 0,4 | 0,75 | 0,95 | 1 | 1 |
А-V | - | - | - | - | 0,3 | 0,6 | 0,75 | 0,95 | 1 |
Вр-II | - | - | - | - | - | 0,7 | 0,85 | 0,95 | 1 |
В-II | - | - | - | - | - | 0,8 | 1 | 1 | 1 |
К-7, диаметр 4,5 - 9 мм | - | - | - | - | - | 0,8 | 0,95 | 1 | 1 |
К-7, диаметр 12 - 15 мм | - | - | - | - | - | 0,65 | 0,8 | 1 | 1 |
В-I и Вр-I | - | - | 0,6 | 0,75 | 0,9 | 1 | 1 | 1 | 1 |
 , где  и  - соответственно наименьшее и наибольшее напряжения в растянутой арматуре в пределах цикла изменения нагрузки, определяемые согласно п. 3.71 настоящего Руководства. Примечание. Характеристики улучшенного профиля арматуры класса А-II, марки 10ГТ (Ас-II) приведены в ГОСТ 5781-75. |
Класс арматуры | Группа сварных соединений | Коэффициенты условий работы арматуры mа2 при многократном повторении нагрузки и коэффициенте асимметрии цикла  , равном |
0 | 0,2 | 0,4 | 0,7 | 0,8 | 0,9 | 1 |
А-I, А-II, диаметр не более 20 мм | I | 0,9 | 0,95 | 1 | 1 | 1 | 1 | 1 |
II | 0,65 | 0,7 | 0,75 | 0,9 | 1 | 1 | 1 |
III | 0,25 | 0,3 | 0,35 | 0,5 | 0,65 | 0,85 | 1 |
А-III, диаметр не более 20 мм | I | 0,9 | 0,95 | 1 | 1 | 1 | 1 | 1 |
II | 0,6 | 0,65 | 0,65 | 0,7 | 0,75 | 0,85 | 1 |
III | 0,2 | 0,25 | 0,3 | 0,45 | 0,6 | 0,8 | 1 |
Примечания: 1. Разделение сварных соединений (см. прил. 4) на группы при расчете на выносливость принято следующим: I - соединения типа КС-М механически обработанными местами сварки до полного снятия неровностей, создаваемых сваркой; контактные стыковые сварные соединения с предварительной механической зачисткой стыкуемых концов до цилиндрической поверхности стержней; II - соединения типа КТ-2 (с минимально допустимой относительной осадкой h/d) КС-О, ВО-Б, ВП-В; III - соединения типа КС-Р, ВП-Г, ВМ-1, а также по поз. 4, 5, 7, 8 прил. 4. 2. Значения коэффициента mа2 должны быть снижены: на 5% - при диаметре стержней 22 - 32 мм и на 10% - при диаметре более 32 мм. |
Вид и класс арматуры, жаростойкая арматура, прокат из стали марки | Обозначение коэффициента | Расчет на нагрев | Коэффициенты условий работы арматуры mаt, линейного температурного расширения арматуры  и  при температуре арматуры, °C |
50 | 100 | 200 | 300 | 400 | 500 | 600 |
А-I, А-II, В-I, Вр-I, В-II, Вр-II, К-7, ВСт3-2 | mаt | Кратковременный | 1 | 0,95 | 0,9 | 0,76 | 0,6 | - | - |
Длительный | 1 | 0,95 | 0,85 | 0,65 | 0,35 | - | - |
| Кратковременный и длительный | 11,5 | 11,7 | 12,5 | 13 | 13,5 | - | - |
А-III, А-IV, А-V, Ат-IV, Ат-V, Ат-VI | mаt | Кратковременный | 1 | 1 | 0,95 | 0,85 | 0,75 | 0,6 | - |
Длительный | 1 | 1 | 0,9 | 0,75 | 0,5 | 0,45 | - |
| Кратковременный и длительный | 11,5 | 12 | 13 | 13,5 | 14 | 14,5 | - |
30ХМ | mаt | Кратковременный | 1 | 0,95 | 0,9 | 0,85 | 0,77 | 0,73 | - |
Длительный | 1 | 0,95 | 0,9 | 0,8 | 0,25 | 0,08 | - |
| Кратковременный и длительный | 9,2 | 9,5 | 10,2 | 10,7 | 11,2 | 11,7 | - |
12Х13, 20Х13 | mаt | Кратковременный | 1 | 0,97 | 0,93 | 0,86 | 0,8 | 0,65 | - |
Длительный | 1 | 0,97 | 0,93 | 0,84 | 0,7 | 0,13 | - |
| Кратковременный и длительный | 11,5 | 12 | 12,6 | 13,3 | 14 | 14,7 | - |
20Х23Н18 | mаt | Кратковременный | 1 | 1 | 0,97 | 0,95 | 0,92 | 0,85 | 0,75 |
Длительный | 1 | 1 | 0,97 | 0,93 | 0,77 | 0,3 | 0,1 |
| Кратковременный и длительный | 9,3 | 10,3 | 11,3 | 12,4 | 13,6 | 14,7 | 15,8 |
12Х18Н9Т | mаt | Кратковременный | 1 | 0,83 | 0,72 | 0,65 | 0,62 | 0,58 | 0,56 |
Длительный | 1 | 0,83 | 0,72 | 0,65 | 0,6 | 0,55 | 0,4 |
| Кратковременный и длительный | 10,5 | 10,8 | 11,1 | 11,4 | 11,7 | 12 | 12,3 |
45Х14Н14В2М | mаt | Кратковременный | 1 | 0,93 | 0,86 | 0,78 | 0,72 | 0,64 | 0,56 |
Длительный | 1 | 0,93 | 0,86 | 0,78 | 0,7 | 0,55 | 0,3 |
| Кратковременный и длительный | 10,5 | 10,8 | 11,1 | 11,4 | 11,7 | 12 | 12,3 |
Все классы арматуры и марки сталей, указанные в этой таблице | | Кратковременный и длительный | 1 | 1 | 0,96 | 0,92 | 0,88 | 0,84 | 0,73 |
Примечания: 1. Значения коэффициента mаt принимаются при расчете по формулам: (98) - (101), (103), (107) - (120), (129) - (132), (134) - (138), (141), (143), (146) - (156), (159), (161) - (168), (172) - (178), (255), (288) - по температуре растянутой и сжатой арматуры; (211) - по температуре дополнительной арматуры; (221) - по температуре пластины; 2. Коэффициент линейного температурного расширения арматуры равен числовому значению, умноженному на 10-6 град-1. 3. При расчете на длительный нагрев несущих конструкций, срок службы которых не превышает 5 лет, коэффициент mаt следует увеличить на 20%, при этом величина mаt должна быть не более, чем при кратковременном нагреве. 4. Коэффициенты mаt,  и  для промежуточных значений температур определяются по интерполяции. |
При расчете элементов конструкций, предназначенных для работы в условиях воздействия повышенных и высоких температур, расчетные сопротивления арматуры необходимо, кроме того, дополнительно умножать на коэффициент условий работы
mаt, учитывающий изменение механических свойств арматуры в зависимости от нагрева, который принимается по
табл. 35 настоящего Руководства.
2.30. Коэффициент линейного температурного расширения арматуры

следует принимать по
табл. 35 настоящего Руководства.
В железобетонных элементах, имеющих трещины в растянутой зоне сечения, коэффициент температурного расширения арматуры в бетоне

определяется по формуле

(68)
где

,

- коэффициенты, принимаемые соответственно по
табл. 20 и
35 настоящего Руководства в зависимости от температуры нагрева бетона на уровне арматуры;
k - коэффициент, принимаемый по
табл. 36 настоящего Руководства в зависимости от процента армирования сечения продольной растянутой арматурой.
Отношение момента M1 при расчете по предельному состоянию второй группы к моменту M при расчете по предельному состоянию первой группы  | Коэффициент k при проценте армирования сечения продольной арматурой |
0,2 | 0,4 | 0,7 | 1 | 2 и более |
1 | 0,9 | 0,95 | 1 | 1 | 1 |
0,7 | 0,75 | 0,9 | 0,95 | 1 | 1 |
0,5 | 0,55 | 0,8 | 0,9 | 0,95 | 1 |
0,2 | 0,2 | 0,55 | 0,7 | 0,8 | 0,95 |
2. Момент M1 принимается равным при расчете: появления трещин Mт [см. формулу (228)]; деформаций Mз (см. п. 4.19 настоящего Руководства); раскрытия трещин M [см. формулу (252)]; статически неопределимых конструкций по первой группе предельных состояний - M (см. п. 1 настоящего примечания). 3. При расчете статически определимых элементов коэффициент k принимается при отношении  , если наибольший изгибающий момент от всех действующих нагрузок меньше момента появления трещин, определенного по формуле (237) при  , а трещины в растянутой зоне появляются от воздействия температуры (см. п. 4.3 настоящего Руководства). 4. Коэффициент k для промежуточных значений отношений моментов  определяется по интерполяции. |
2.31. Модуль упругости арматуры для основных видов стержневой, проволочной и жаростойкой арматуры принимается по
табл. 37 настоящего Руководства.
Класс арматуры и марка стали | Модуль упругости арматуры Eа, кгс/см2 | Класс арматуры и марка стали | Модуль упругости арматуры Eа, кгс/см2 |
А-I, А-II | 2 100 000 | К-7 | 1 800 000 |
А-III, А-IV | 2 000 000 | Вр-I | 1 700 000 |
А-V, Ат-IV, Ат-V, Ат-VI | 1 900 000 | 30ХМ | 2 100 000 |
В-I, В-II, Вр-II | 2 000 000 | 12Х13, 20Х13 | 2 200 000 |
| | 20Х23Н18, 12Х18Н9Т, 45Х14Н14В2М | 2 000 000 |
Коэффициент

, учитывающий снижение модуля упругости арматуры при нагреве, должен приниматься по
табл. 35 настоящего Руководства в зависимости от температуры арматуры.
2.32. При расчете на выносливость железобетонных конструкций, работающих в условиях воздействия температур выше 50 °C, следует дополнительно вводить коэффициент условий работы арматуры
mа1t, принимаемый при температуре арматуры до 100 °C - 1; 150 °C - 0,8; 200 °C - 0,65.
Для промежуточных значений температур коэффициент mа1t определяется по интерполяции.
2.33. При расчете кривизн железобетонных элементов на участках с трещинами в растянутой зоне бетона, работающих в условиях воздействия высоких температур, необходимо учитывать упругопластические свойства арматуры. Коэффициент

, характеризующий упругопластические свойства растянутой арматуры, следует принимать по
табл. 38 настоящего Руководства в зависимости от величины температуры арматуры и длительности нагрева.
Температура арматуры, °C | Коэффициент  при расчете на нагрев |
кратковременный | длительный |
20 - 200 | 1 | 1 |
300 | 0,9 | 0,6 |
400 | 0,7 | 0,3 |
Примечание. Коэффициент  для промежуточных значений температур принимается по интерполяции. |
3. РАСЧЕТ ЭЛЕМЕНТОВ БЕТОННЫХ И ЖЕЛЕЗОБЕТОННЫХ КОНСТРУКЦИЙ
ПО ПРЕДЕЛЬНЫМ СОСТОЯНИЯМ ПЕРВОЙ ГРУППЫ
РАСЧЕТ БЕТОННЫХ ЭЛЕМЕНТОВ ПО ПРОЧНОСТИ
3.1. Расчет по прочности элементов бетонных конструкций, подвергающихся воздействию повышенных и высоких температур, должен производиться для сечений, нормальных к их продольной оси. В зависимости от условий работы элементов они рассчитываются как без учета, так и с учетом сопротивления бетона растянутой зоны.
Без учета сопротивления бетона растянутой зоны производится расчет внецентренно-сжатых элементов, принимая, что достижение предельного состояния характеризуется разрушением сжатого бетона. Сопротивление бетона сжатию условно представляется напряжениями, равными
Rпрt, равномерно распределенными по части сжатой зоны сечения - условной сжатой зоне
(рис. 6), сокращенно именуемой в дальнейшем тексте настоящей главы "сжатой зоной бетона".
Рис. 6. Схема усилий и эпюра напряжений в сечении,
нормальном к продольной оси внецентренно-сжатого бетонного
элемента, рассчитываемого без учета сопротивления бетона
растянутой зоны
С учетом сопротивления бетона растянутой зоны производится расчет изгибаемых элементов, а также внецентренно-сжатых элементов, в которых не допускаются трещины из условий эксплуатации конструкций (элементы, подвергающиеся давлению воды, карнизы, парапеты и др.). При этом принимается, что достижение предельного состояния характеризуется разрушением бетона растянутой зоны (появлением трещин). Предельные усилия определяются исходя из следующих предпосылок
(рис. 7):
сечения после деформаций остаются плоскими;
наибольшее относительное удлинение крайнего растянутого волокна бетона равно

;
напряжения в бетоне сжатой зоны определяются с учетом упругих (а в некоторых случаях и неупругих) деформаций бетона;
напряжения в бетоне растянутой зоны распределены равномерно и равны по величине Rрt.
Рис. 7. Схема усилий и эпюра напряжений в сечении,
нормальном к продольной оси изгибаемого
(внецентренно-сжатого) бетонного элемента,
рассчитываемого с учетом сопротивления бетона
растянутой зоны
В случаях, когда вероятно образование наклонных трещин (например, элементы двутаврового и таврового сечений при наличии поперечных сил), должен производиться расчет бетонных элементов из
условий (135) и
(136) главы СНиП II-21-75, заменяя расчетные сопротивления бетона для предельных состояний второй группы
RпрII и
RрII соответствующими значениями расчетных сопротивлений бетона для предельных состояний первой группы
Rпрt и
Rрt.
Кроме того, должен производиться расчет элементов на местное действие нагрузки (смятие) согласно
п. 3.63 настоящего Руководства.
ВНЕЦЕНТРЕННО-СЖАТЫЕ ЭЛЕМЕНТЫ
3.2. При расчете внецентренно-сжатых бетонных элементов должен приниматься во внимание случайный эксцентриситет продольного усилия

, определяемый согласно
п. 1.30 настоящего Руководства.
Эксцентриситет продольного усилия
e0 относительно центра тяжести однородного или приведенного сечения определяется как сумма эксцентриситетов предельного усилия: определяемого из статического расчета конструкции -

и случайного

(см.
п. 1.30 настоящего Руководства). Следует учитывать также деформации от неравномерного нагрева бетона по высоте сечения, определяемые согласно
пп. 1.39 -
1.44 и
4.26 настоящего Руководства, суммируя их с эксцентриситетом продольной силы. Если деформации от нагрева уменьшают эксцентриситет продольной силы, то учет их не производится.
3.3. При гибкости элементов

необходимо учитывать влияние на их несущую способность прогибов как в плоскости эксцентриситета продольного усилия, так и в нормальной к ней плоскости путем умножения значений
e0 на коэффициент

(см.
п. 3.7 настоящего Руководства); в случае расчета из плоскости эксцентриситета продольного усилия значение
e0 принимается равным величине случайного эксцентриситета.
Применение внецентренно-сжатых бетонных элементов не допускается при эксцентриситетах приложения продольной силы с учетом прогибов

, превышающих:
а) в зависимости от сочетания нагрузок:
при основном - 0,9y,
при особом - 0,95y;
б) в зависимости от вида и марки бетона:
для тяжелого обычного бетона и тяжелого, облегченного и легкого жаростойкого бетона марок выше М100 - (y - 1) см;
для других марок бетона - (y - 2) см.
Здесь
y - расстояние от центра тяжести сечения до наиболее сжатого волокна бетона
(рис. 6).
3.4. Расчет бетонных элементов прямоугольного сечения на действие сжимающей продольной силы
N при их расчетной длине
l0 <= 20
h и величине эксцентриситета
e0, определенной в соответствии с
п. 3.2 настоящего Руководства, не более

, допускается производить из
условия (141) при

.
3.5. Расчет внецентренно-сжатых бетонных элементов, подвергающихся равномерному нагреву и неравномерному нагреву по высоте сечения с температурой бетона наиболее нагретой грани до 400 °C, производится из условия
где Fб - площадь сечения сжатой зоны бетона, определяемая из условия, что ее центр тяжести совпадает с точкой приложения равнодействующей внешних сил.
Для элементов прямоугольного сечения (см.
рис. 6)
Fб определяется по формуле

(70)
Рис. 8. Расчетные схемы сечений, принятые при расчете
внецентренно-сжатых бетонных элементов таврового сечения
а - при

;
б - при

;
в - распределение
температур; Ц.Т - центр тяжести сечения
Расстояние от точки приложения силы N до наиболее напряженной грани сечения e' определяется по формуле

(71)
здесь
y - расстояние от центра тяжести приведенного сечения до наиболее напряженной грани, определяемое согласно
п. 1.28 настоящего Руководства.
При

(
рис. 8,
б)
Fб определяется по формуле

(72)
где

(73)
3.6. Расчет внецентренно-сжатых бетонных элементов, подвергающихся неравномерному нагреву по высоте сечения с температурой бетона наиболее нагретой грани более 400 °C и силе
N, расположенной со стороны этой грани при 2
e' <=
h1 для прямоугольного сечения (
рис. 9,
а) и

для таврового сечения (
рис. 8,
а) или силе
N, расположенной со стороны менее нагретой грани при 2
e' <=
h1 (
рис. 9,
б), выполняется из
условия (69) настоящего Руководства. При этом
Fб для элементов прямоугольного сечения и таврового сечения при расположении силы
N со стороны ребра (менее нагретой грани) определяется по формуле
для элементов таврового сечения при расположении силы со стороны полки (наиболее нагретой грани) - по формуле

(75)
Рис. 9. Расчетные схемы сечений, принятые при расчете
внецентренно-сжатых бетонных элементов прямоугольного
сечения при его неравномерном нагреве с температурой
наиболее нагретой грани сечения tб > 400 °C
а - при продольной силе N, приложенной со стороны более
нагретой грани сечения; б - при продольной силе N,
приложенной со стороны менее нагретой грани сечения
Расчет прямоугольного сечения при 2
e' >
h1 (рис. 9) выполняется из условия
N <=
Rпрt1Fбl +
Rпрt2Fб2. (76)
При силе
N, расположенной со стороны более нагретой грани (
рис. 9,
а):

(78)

(79)

,

,

и

- коэффициенты, принимаемые по
табл. 16 и
18 настоящего Руководства в зависимости от средней температуры бетона участков сжатой зоны высотой соответственно
h1 и
.
При силе
N, расположенной со стороны менее нагретой грани, и обозначениях, принятых на
рис. 9,
б, значения
Fб1,
Fб2 и

определяются по
формулам (77) -
(79).
Расчет таврового сечения при силе
N, расположенной со стороны полки (наиболее нагретой грани)
(рис. 8), выполняется из
условия (76). При

(
рис. 8,
а)

(80)

(81)
Здесь

и

- коэффициенты, принимаемые по
табл. 16 и
18 настоящего Руководства в зависимости от средней температуры полки;
При силе N, расположенной со стороны ребра, полка тавра не принимается в расчет и сечение рассчитывается как прямоугольное.
Внецентренно-сжатые бетонные элементы, в которых не допускается появления трещин
(рис. 7), независимо от расчета из
условий (69) или
(76) должны быть проверены с учетом сопротивления бетона растянутой зоны (см.
п. 3.1 настоящего Руководства), из условия

(82)
Для элементов прямоугольного сечения, подвергающихся равномерному нагреву и неравномерному нагреву по высоте сечения с температурой бетона наиболее нагретой грани до 400 °C,
условие (82) имеет вид

(83)
ry - расстояние от центра тяжести сечения до ядровой точки, наиболее удаленной от растянутой зоны, определяемое по формуле

(84)
Wт - момент сопротивления сечения для крайнего растянутого волокна с учетом неупругих деформаций растянутого бетона, определяемый в предположении отсутствия продольной силы по формуле

(85)
где Iб.0 - момент инерции сжатой зоны сечения относительно нулевой линии;
W0 - момент сопротивления для растянутой грани сечения, определяемый по правилам сопротивления упругих материалов по
формуле (238).
Положение нулевой линии определяется из условия
Sб.0 = 0,5(h - x)Fб.р, (86)
где Sб.р и Sб.0 - статический момент площади соответственно растянутой и сжатой зон сечения относительно нулевой линии;
Fб.р - площадь растянутой зоны сечения.
При неравномерном нагреве по высоте сечения с температурой наиболее нагретой грани выше 400 °C положение центра тяжести сечения, а также величины Fб.р, Sб.0, Sб.р и Iб.0 - определяются для приведенного сечения.
При проверке прочности необходимо учитывать напряжения растяжения в бетоне, вызванные нелинейным распределением температурных деформаций бетона по высоте сечения элемента и определяемые по
формуле (31).
Наибольшая температура бетона сжатой зоны сечения элементов не должна превышать предельно допустимую температуру применения бетона, указанную в
графе 7 табл. 11 и
п. 1.27 настоящего Руководства.
Если наибольшая температура бетона сжатой зоны превышает указанную величину, допускается рассчитывать сечения с неполной высотой, при которой наибольшая температура бетона сжатой зоны должна быть не выше этой величины.
3.7. Значение коэффициента

, учитывающего влияние прогиба на величину эксцентриситета продольного усилия
e0, следует определять по формуле

(87)
где Nкр - условная критическая сила, определяемая по формуле

(88)
kдл - коэффициент, учитывающий влияние длительного действия нагрузки на прогиб элемента в предельном состоянии, равный

(89)
Здесь

- коэффициент, принимаемый в зависимости от вида бетона и его температуры в центре тяжести сечения по
табл. 39 настоящего Руководства;
M1 - момент относительно растянутой или наименее сжатой грани сечения от действия постоянных, длительных и кратковременных нагрузок;

- то же, от действия постоянных и длительных нагрузок;
l0 - определяется по
табл. 40 настоящего Руководства;
t - коэффициент, принимаемый равным e0/h, но не менее величины

(90)
где Rпрt - в кгс/см2;
Iп - момент инерции приведенного сечения относительно его центра тяжести, определяемый согласно указаниям
п. 1.28 настоящего Руководства. При расчете сечений с неполной высотой, согласно
п. 3.6, величина
Iп принимается по полному сечению.
Номера составов бетона по табл. 11 настоящего Руководства | Коэффициент  при температуре бетона, °C, в центре тяжести сечения |
50 | 100 | 200 | 300 | 500 | 700 | 900 |
| 1,2 | 1,4 | 1,5 | 2 | - | - | - |
| 1,6 | 1,6 | 1,8 | 1,9 | 6,7 | 16 | - |
| 1,5 | 1,5 | 2 | 8 | 33 | - | - |
| 1,2 | 1,4 | 1,5 | 2 | 16 | 25 | 50 |
Примечания: 1. Коэффициент  для промежуточных значений температур определяется по интерполяции. 2. Если температура бетона в центре тяжести внецентренно-сжатого сечения превышает наибольшую температуру, для которой даны числовые значения  , то допускается расчетное сечение принимать с неполной высотой, в центре тяжести которого температура бетона не превышает наибольшую величину, указанную в табл. 39. |
Характер опирания элементов | Расчетная длина l0 внецентренно-сжатых бетонных элементов |
1. Для стен и столбов с опорами вверху и внизу: | |
а) при шарнирах на двух концах независимо от величины смещения опор | H |
б) при защемлении одного из концов и возможном смещении опор для зданий: | |
многопролетных | 1,25H |
однопролетных | 1,5H |
2. Для свободно стоящих стен и столбов | 2H |
Обозначения, принятые в табл. 40: H - высота столба или стены в пределах этажа за вычетом толщины плиты перекрытия либо высота свободно стоящей конструкции. |
3.8. Расчет элементов бетонных конструкций на местное сжатие (смятие) должен производиться согласно указаниям
пп. 3.63 и
3.64 настоящего Руководства.
3.9. Изгибаемые бетонные элементы, подвергающиеся воздействию температуры, допускается применять только в случае, если они лежат на грунте или специальной подготовке, в других случаях, как исключение, при условии, что они рассчитываются на нагрузку от собственного веса и под ними исключается возможность нахождения людей и оборудования.
Расчет изгибаемых бетонных элементов
(рис. 7) должен производиться из условия
Для элементов прямоугольного сечения, подвергающихся равномерному нагреву и неравномерному нагреву по высоте сечения с температурой бетона наиболее нагретой грани до 400 °C, значение Wт принимается равным

(92)
РАСЧЕТ ЖЕЛЕЗОБЕТОННЫХ ЭЛЕМЕНТОВ ПО ПРОЧНОСТИ
3.10. Расчет по прочности элементов железобетонных конструкций должен производиться для сечений, нормальных к их продольной оси, а также для наклонных к ней сечений наиболее опасного направления; при наличии крутящих моментов следует проверить прочность пространственных сечений, ограниченных в растянутой зоне спиральной трещиной, наиболее опасного из возможных направлений. Кроме того, должен производиться расчет элементов на местное действие нагрузки (смятие, продавливание, отрыв).
РАСЧЕТ ПО ПРОЧНОСТИ СЕЧЕНИЙ,
НОРМАЛЬНЫХ К ПРОДОЛЬНОЙ ОСИ ЭЛЕМЕНТА
3.11. Определение предельных усилий в сечении, нормальном к продольной оси элемента, должно производиться исходя из следующих предпосылок:
сопротивление бетона растяжению принимается равным нулю;
сопротивление бетона сжатию представляется напряжениями, равными Rпрt, равномерно распределенными по сжатой зоне бетона.
При расчете на нагрузку наибольшая температура бетона сжатой зоны сечения элемента не должна превышать предельно допустимой температуры применения бетона, указанной в
графе 7 табл. 11 и
п. 1.27 настоящего Руководства. Если наибольшая температура бетона свесов сжатой полки таврового сечения превышает предельно допустимую температуру применения бетона, то сечение рассчитывается как прямоугольное шириной
b без учета свесов полки. Тавровое и прямоугольное сечения допускается рассчитывать с неполной высотой (см.
примеры расчета 8 и
11). При этом наибольшая температура бетона наиболее сжатой грани прямоугольного сечения и свесов полки таврового сечения не должна превышать предельно допустимой температуры применения бетона, причем высота оставшейся части полки не должна быть меньше
1/
20 высоты сечения элемента без учета отброшенной части сечения. Полка, расположенная в растянутой зоне, в расчете не учитывается.
Растягивающие напряжения в арматуре принимаются не более расчетного сопротивления растяжению Rаt, а сжимающие напряжения - не более расчетного сопротивления сжатию Rасt.
При этом температура арматуры не должна превышать предельно допустимой температуры применения арматуры, устанавливаемой по расчету, согласно
табл. 24 настоящего Руководства.
3.12. Расчет сечений, нормальных к продольной оси элемента, когда внешняя сила действует в плоскости оси симметрии сечения и арматура сосредоточена у перпендикулярных к указанной плоскости граней элемента, должен производиться в зависимости от соотношения между величиной относительной высоты сжатой зоны бетона

, определяемой из соответствующих условий равновесия, и граничным значением относительной высоты сжатой зоны бетона

(см.
п. 3.13 настоящего Руководства), при котором предельное состояние элемента наступает одновременно с достижением в растянутой арматуре напряжения, равного расчетному сопротивлению
Rаt.
3.13. Величина

определяется по формуле

(93)
где

- характеристика сжатой зоны бетона для тяжелого обычного бетона и тяжелого, облегченного и легкого жаростойкого бетона определяется по формуле

(94)
a - коэффициент, принимаемый равным для бетона составов (см.
табл. 11 настоящего Руководства):
Rпрt - в кгс/см2;

- напряжение в арматуре, кгс/см
2, принимаемое равным для арматуры классов:
А-I, А-II, А-II, В-I и Вр-I -

;
А-IV, Ат-IV, А-V, Ат-V, Ат-VI, В-II, Вр-II и К-7 -

;
для жаростойкой арматуры марок 30ХМ, 12Х13, 20Х13, 20Х23Н18, 12Х18Н9Т и 45Х14Н14В2М -

.
Здесь
Rаt - расчетное сопротивление арматуры растяжению с учетом соответствующих коэффициентов условий работы арматуры, за исключением коэффициента
mа4 (см.
поз. 4 табл. 32 настоящего Руководства);

- коэффициент, принимаемый по
табл. 35 настоящего Руководства в зависимости от температуры арматуры;

- определяется при коэффициенте
mт, меньшем единицы.
В случае, если в расчете элементов из тяжелого обычного бетона и тяжелого, облегченного и легкого жаростойкого бетона учитывается коэффициент условий работы бетона
mб1 = 0,85 (см.
поз. 1 табл. 15 настоящего Руководства), то в
формулу (93) вместо величины 4000 подставляется величина 5000.
Значения

в зависимости от

при различных значениях величины

или

могут быть определены по
рис. 10.
Рис. 10. Значения
в зависимости от
для различных
значений величины
или 
Если в сечении имеется растянутая арматура из сталей разных классов или с разной температурой нагрева, в
формулу (93) вводится большее из значений

.
Статический момент площади бетона граничной сжатой зоны прямоугольной формы относительно оси, перпендикулярной к плоскости действия изгибающего момента и проходящей через центр тяжести площади сечения арматуры растянутой зоны, равен

(95)
где

(96)
Значения
AR в зависимости от

приведены на
рис. 11.
Рис. 11. Значения AR в зависимости от 
Для элементов, подвергающихся нагреву, независимо от величины температуры

и
AR не должны превышать значений, соответственно 0,7 и 0,46.
3.14. При расчете по прочности железобетонных элементов с высокопрочной арматурой классов А-IV, Ат-IV, А-V, Ат-V, Ат-VI, В-II, Вр-II, К-7 при соблюдении условий

расчетное сопротивление арматуры
Rаt должно быть умножено на коэффициент условий работы
mа4 (см.
поз. 4 табл. 32 настоящего Руководства), определяемый по
формуле (97). При наличии сварных стыков в зоне элемента с изгибающими моментами, превышающими 0,9
Mмакс (где
Mмакс - максимальный расчетный момент), значение коэффициента
mа4 для арматуры классов А-IV и А-V принимается не более 1,1:

(97)
где

- максимальное значение коэффициента
mа4, принимаемое равным для арматуры:
классов А-IV и Ат-IV - 1,2;
классов А-V, Ат-V, В-II, Вр-II и К-7 - 1,15;
класса Ат-VI - 1,1;

, где
x подсчитывается при значениях
Rаt без учета коэффициента
mа4; для случая центрального растяжения, а также внецентренного растяжения продольной силой, расположенной между равнодействующими усилий в арматуре, значение

принимается равным нулю.
Коэффициент условий работы mа4 не следует учитывать для арматуры элементов:
сжатых при гибкости l0/r > 35;
рассчитываемых на действие многократно повторяющейся нагрузки;
армированных высокопрочной проволокой, расположенной вплотную (без зазоров);
эксплуатируемых в агрессивной среде.
3.15. Для напрягаемой арматуры, расположенной в сжатой от действия внешних сил зоне и имеющей сцепление с бетоном, расчетное сопротивление сжатию
Rа.с (
пп. 3.17,
3.22,
3.33,
3.46 настоящего Руководства) должно быть заменено напряжением

, равным

, где

определяется при коэффициенте
mт, большем единицы. Если в расчете элементов из обычного бетона и облегченного жаростойкого бетона учитывается коэффициент условий работы
mб1 = 0,85 (см.
поз. 1 табл. 15 настоящего Руководства), то значение

принимается равным

, но не более
Rа.с. При расчете элементов в стадии обжатия для напрягаемой арматуры, расположенной в зоне предполагаемого разрушения бетона от сжатия, напряжение

принимается равным

.
Изгибаемые элементы прямоугольного, таврового, двутаврового,
кольцевого сечений
3.16. При расчете по прочности изгибаемых элементов рекомендуется соблюдать условие

. В случае когда площадь сечения растянутой арматуры по конструктивным соображениям или из расчета по предельным состояниям второй группы принята большей, чем это требуется для соблюдения условия

, расчет следует производить по формулам для общего случая (
п. 3.28 главы СНиП II-21-75) с учетом влияния температуры на расчетные сопротивления бетона и арматуры.
Допускается также в случае, если полученная из расчета по
формуле (99) или
(115) величина

, производить расчет соответственно из
условий (98) и
(114), подставляя в них значение

.
Расчет прямоугольных сечений
3.17. Расчет прямоугольных сечений, указанных в
п. 3.12 настоящего Руководства
(рис. 12), должен производиться:
а) при

из условия:

(98)
при этом высота сжатой зоны x определяется из формулы

(99)
б) при

прочность сечения с двойной арматурой можно проверять из условия

(100)
или согласно указаниям
п. 3.16 настоящего Руководства;
в) при x < 2a' прочность сечения проверяется из условия
M <=
RаtFа(
h0 -
a'). (101)
Рис. 12. Схема усилий и эпюра напряжений в сечении,
нормальном к продольной оси изгибаемого железобетонного
элемента при расчете его по прочности
3.18. При проверке прочности прямоугольных сечений с одиночной арматурой в
формулах (98),
(99) и
(100) принимают

.
3.19. Подбор продольной арматуры вычисляется следующим образом:

(102)
Если A0 <= AR, то сжатой арматуры по расчету не требуется.
При отсутствии сжатой арматуры площадь сечения растянутой арматуры определяется по формуле

(103)
где
v - определяется по
табл. 41 настоящего Руководства в зависимости от значения
A0.
Таблица 41
Значения коэффициентов для расчета по прочности
железобетонных элементов
| v | A0 | | v | A0 |
0,01 | 0,995 | 0,01 | 0,36 | 0,82 | 0,295 |
0,02 | 0,99 | 0,02 | 0,37 | 0,815 | 0,302 |
0,03 | 0,985 | 0,03 | 0,38 | 0,81 | 0,308 |
0,04 | 0,98 | 0,039 | 0,39 | 0,805 | 0,314 |
0,05 | 0,975 | 0,049 | 0,4 | 0,8 | 0,32 |
0,06 | 0,97 | 0,058 | 0,41 | 0,795 | 0,326 |
0,07 | 0,965 | 0,068 | 0,42 | 0,79 | 0,332 |
0,08 | 0,96 | 0,077 | 0,43 | 0,785 | 0,338 |
0,09 | 0,955 | 0,086 | 0,44 | 0,78 | 0,343 |
0,1 | 0,95 | 0,095 | 0,45 | 0,775 | 0,349 |
0,11 | 0,945 | 0,104 | 0,46 | 0,77 | 0,354 |
0,12 | 0,94 | 0,113 | 0,47 | 0,765 | 0,359 |
0,13 | 0,935 | 0,122 | 0,48 | 0,76 | 0,365 |
0,14 | 0,93 | 0,13 | 0,49 | 0,755 | 0,37 |
0,15 | 0,925 | 0,139 | 0,5 | 0,75 | 0,375 |
0,16 | 0,92 | 0,147 | 0,51 | 0,745 | 0,38 |
0,17 | 0,915 | 0,156 | 0,52 | 0,74 | 0,385 |
0,18 | 0,91 | 0,164 | 0,53 | 0,735 | 0,39 |
0,19 | 0,905 | 0,172 | 0,54 | 0,73 | 0,394 |
0,2 | 0,9 | 0,18 | 0,55 | 0,725 | 0,399 |
0,21 | 0,895 | 0,188 | 0,56 | 0,72 | 0,403 |
0,22 | 0,89 | 0,196 | 0,57 | 0,715 | 0,408 |
0,23 | 0,885 | 0,203 | 0,58 | 0,71 | 0,412 |
0,24 | 0,88 | 0,211 | 0,59 | 0,705 | 0,416 |
0,25 | 0,875 | 0,219 | 0,6 | 0,7 | 0,42 |
0,26 | 0,87 | 0,226 | 0,61 | 0,695 | 0,424 |
0,27 | 0,865 | 0,234 | 0,62 | 0,69 | 0,428 |
0,28 | 0,86 | 0,241 | 0,63 | 0,685 | 0,432 |
0,29 | 0,855 | 0,248 | 0,64 | 0,68 | 0,435 |
0,3 | 0,85 | 0,255 | 0,66 | 0,675 | 0,439 |
0,31 | 0,845 | 0,262 | 0,65 | 0,672 | 0,442 |
0,32 | 0,84 | 0,269 | 0,67 | 0,665 | 0,446 |
0,33 | 0,835 | 0,276 | 0,68 | 0,66 | 0,449 |
0,34 | 0,83 | 0,282 | 0,69 | 0,655 | 0,452 |
0,35 | 0,825 | 0,289 | 0,7 | 0,65 | 0,455 |
Примечание. Для изгибаемых элементов прямоугольного сечения |
Если A0 > AR, то требуется увеличить сечение, повысить марку бетона или установить сжатую арматуру.
При воздействии температуры, выше предельно допускаемой температуры применения бетона (см.
табл. 11 и
п. 1.27 настоящего Руководства), сечение рассчитывается с неполной высотой.
Расчет производят следующим образом. Определяют расстояние x1 от наиболее нагретой грани до бетона, имеющего предельно допустимую температуру применения. Затем вычисляют значение A01:

(104)
Относительную высоту сжатой зоны определяют по формуле

(105)
Для расчета принимают укороченную полезную высоту сечения:
Площадь сечения растянутой арматуры определяется по формуле

(107)
3.20. Когда требуется по расчету сжатая арматура, площадь сечения сжатой и растянутой арматуры рекомендуется определять по формулам:

(108)

(109)
Если принятая площадь сечения сжатой арматуры

значительно превышает ее величину по расчету, то площадь сечения растянутой арматуры может быть уменьшена.
Площадь сечения растянутой арматуры определяется с учетом фактической площади сечения сжатой арматуры по
п. 3.21 настоящего Руководства.
3.21. При наличии сжатой арматуры площадь сечения растянутой арматуры рекомендуется определять следующим образом.
Вычисляется значение

(110)
Если
A0 <=
AR, то в зависимости от значения
A0 по
табл. 41 настоящего Руководства находится относительная высота сжатой зоны

:
при


(111)
при


(112)
Площадь растянутой арматуры может быть снижена, если величина

, найденная без учета сжатой арматуры, в зависимости от значения
A0 по
формуле (102), оказывается менее

. Тогда количество растянутой арматуры определяется без учета сжатой арматуры по
формуле (103).
Если
A0 >
AR, то требуется увеличить сжатую арматуру. В этом случае количество сжатой и растянутой арматуры определяется по
п. 3.20 настоящего Руководства.
Расчет тавровых и двутавровых сечений
3.22. Расчет сечений, имеющих полку в сжатой зоне, должен производиться в зависимости от положения границы сжатой зоны:
а) если граница сжатой зоны проходит в полке (
рис. 13,
а), т.е. соблюдается условие

(113)
расчет производится как для прямоугольного сечения шириной

в соответствии с
пп. 3.17 и
3.18 настоящего Руководства;
при

расчет производится из условия

(114)
при этом высота сжатой зоны x определяется из формулы

(115)
Рис. 13. Форма сжатой зоны в сечении изгибаемого
железобетонного элемента с полкой в сжатой зоне
а - при расположении границы сжатой зоны в полке;
б - то же, в ребре
При

можно принять

, а прочность сечения проверить из условия

(116)
или согласно указаниям
п. 3.16 настоящего Руководства.
Когда в расчете учитывается арматура, расположенная в сжатой зоне, и при этом не соблюдается условие
x >= 2
a', то следует в
формулах (113) -
(115) принять
Rа.сt = 0, если это приводит к повышению прочности.
Примечание. При переменной высоте свесов полки допускается принимать значение

равным средней высоте свесов.
3.23. Площадь сечения сжатой арматуры определяется по формуле

(117)
где
AR - определяется по
п. 3.13 настоящего Руководства.
3.24. Площадь сечения растянутой арматуры определяется следующим образом:
а) если граница сжатой зоны проходит в полке, т.е. соблюдается условие

(118)
площадь сечения растянутой арматуры определяется как для прямоугольного сечения шириной

согласно
пп. 3.19 и
3.21 настоящего Руководства;
б) если граница сжатой зоны проходит в ребре, т.е.
условие (118) не соблюдается, площадь сечения растянутой арматуры определяется по формуле

(119)
где

определяется по
табл. 41 настоящего Руководства в зависимости от значения

(120)
При этом должно удовлетворяться условие A0 <= AR.
Устанавливаемая в сжатой зоне конструктивная и монтажная арматура при определении прочности сечений в условиях воздействия повышенных и высоких температур не должна учитываться в расчете.
3.26. Величина

, вводимая в расчет по
формулам (113) -
(120), принимается из условия, что ширина свеса полки в каждую сторону от ребра должна быть не более
1/
6 пролета элемента и не более:
а) при наличии поперечных ребер - 1/2 расстояния в свету между ребрами;
б) при отсутствии поперечных ребер или при расстояниях между ними

, чем расстояния между продольными ребрами, и

;
в) при консольных свесах полки:
при

;
при

;
при

свесы не учитываются, а сечение элемента рассчитывается как прямоугольное шириной
b.
В ребристых конструкциях панелей, ограничивающих рабочее пространство теплового агрегата, когда невозможна установка хомутов и конструктивной арматуры в сжатой зоне бетона из-за температуры, превышающей предельно допустимую температуру применения конструктивной арматуры (см.
табл. 24 настоящего Руководства), рекомендуется толщину полки

назначать такую, чтобы отношение

таврового сечения было равно или больше, чем это указано на
рис. 14.
Рис. 14. Значения отношения
в зависимости
от характеристики таврового сечения 
3.27. Расчет изгибаемых элементов кольцевого сечения при соотношении внутреннего и наружного радиусов
r1/
r2 >= 0,5 с арматурой, равномерно распределенной по окружности (при числе продольных стержней не менее 6), должен производиться как для внецентренно-сжатых элементов по
п. 3.44 настоящего Руководства, принимая в
формулах (154) -
(156) величину продольной силы
N = 0 и подставляя в
формулу (154) вместо
Ne0 значение изгибающего момента
M.
Внецентренно-сжатые элементы прямоугольного, таврового,
двутаврового, кольцевого сечений
3.28. При расчете внецентренно-сжатых железобетонных элементов необходимо учитывать случайный начальный эксцентриситет

согласно указаниям
пп. 1.30 и
3.2 настоящего Руководства, а также влияние прогиба на их несущую способность в соответствии с
пп. 3.7 и
3.29 настоящего Руководства. Дополнительно должен учитываться эксцентриситет от температурного выгиба
ft, вызванного неравномерным нагревом по высоте сечения элемента

(121)
где

.
Если температурный выгиб уменьшает расчетный эксцентриситет продольной силы

, то он не учитывается.
3.29. При расчете внецентренно-сжатых элементов следует учитывать влияние прогиба на их несущую способность, как правило, путем расчета конструкций по деформированной схеме.
Допускается производить расчет конструкций по недеформированной схеме, учитывая при гибкости
l0/
r > 14 влияние прогиба элемента на его прочность путем умножения
e0 на коэффициент

. При этом условная критическая сила в
формуле (87) для вычисления

принимается равной

(122)
Для элементов прямоугольного сечения при равномерном нагреве и неравномерном нагреве с температурой наиболее нагретой грани до 400 °C и расположении продольной силы в плоскости симметрии

(123)
l0 - принимается по
п. 3.30 настоящего Руководства;
t - коэффициент, принимаемый по
п. 3.7 настоящего Руководства;
kдл - коэффициент, определяемый по
формуле (89); при этом моменты
M1 и

определяются относительно оси, параллельной линии, ограничивающей сжатую зону и проходящей через центр наиболее растянутого или наименее сжатого (при целиком сжатом сечении) стержня арматуры, соответственно от действия полной нагрузки и кратковременного воздействия температуры и от действия постоянных и длительных нагрузок и длительного нагрева (с учетом указаний
п. 1.17 настоящего Руководства);
Iп - момент инерции приведенного бетонного сечения элемента относительно оси, проходящей через центр тяжести сечения и параллельной линии, ограничивающей сжатую зону, определяется согласно указаниям
п. 1.28 настоящего Руководства;
Iа - момент инерции сечения всей арматуры относительно той же оси;

- принимается по
табл. 35 настоящего Руководства в зависимости от температуры арматуры;

и

- принимаются по
табл. 16 и
18 настоящего Руководства для кратковременного нагрева в зависимости от температуры бетона в центре тяжести приведенного сечения;
kп - принимается согласно
п. 1.28 настоящего Руководства;
kн - коэффициент, учитывающий влияние предварительного напряжения арматуры на жесткость элемента; при равномерном обжатии сечения напрягаемой арматурой kн определяется по формуле

(124)
здесь

- определяется при коэффициенте
mт меньшем единицы.
Для элементов без предварительного напряжения арматуры kн = 1.

- гибкость элемента,
где r - радиус инерции сечения в плоскости изгиба.
При неравномерном нагреве по высоте сечения r определяется:
в направлении перепада температур - как для приведенного сечения (см.
п. 1.28 настоящего Руководства), по формуле

(125)
в направлении, перпендикулярном к перепаду температур, по формуле

(126)
Гибкость элемента прямоугольного сечения при равномерном и неравномерном нагреве по высоте сечения с температурой наиболее нагретой грани до 400 °C определяется по формуле

(127)
Когда по условиям нагрева арматура устанавливается только у одной из граней сечения элемента, т.е. применяется одиночное армирование, в
формулах (122) и
(123) Iа = 0 и

.
При расчете из плоскости эксцентриситета продольной силы значение принимается равным величине случайного эксцентриситета

(см.
п. 1.30 настоящего Руководства).
При гибкости

допускается принимать

.
При N > Nкр следует увеличить размеры сечения или уменьшить расчетную длину элемента.
3.30. Расчетные длины
l0 внецентренно-сжатых железобетонных элементов рекомендуется определять как для элементов рамной конструкции с учетом ее деформированного состояния при наиболее невыгодном для данного элемента расположении нагрузки, принимая во внимание неупругие деформации материалов и наличие трещин.
Для элементов наиболее часто встречающихся конструкций допускается принимать расчетные длины l0 равными:
а) для колонн многоэтажных зданий при числе пролетов не менее двух и соединениях ригелей и колонн, рассчитываемых как жесткие, при конструкциях перекрытий:
сборных - H;
монолитных - 0,7H,
где H - высота этажа (расстояние между центрами узлов);
б) для колонн одноэтажных зданий с шарнирным опиранием несущих конструкций покрытий, жестких в своей плоскости (способных передавать горизонтальные усилия), а также для эстакад - по
табл. 42 настоящего Руководства;
в) для элементов ферм и арок - по
табл. 43 настоящего Руководства.
Характеристика зданий и колонн | Расчетная длина l0 колонн одноэтажных зданий при расчете их в плоскости |
поперечной рамы или перпендикулярной к оси эстакады | перпендикулярной к поперечной раме или параллельной к оси эстакады |
при наличии | при отсутствии |
связей в плоскости продольного ряда колонн или анкерных опор |
1. Здания с мостовыми кранами | а) при учете нагрузки от кранов | подкрановая (нижняя) часть колонн при подкрановых балках | разрезных | 1,5Hн | 0,8Hн | 1,2Hн |
неразрезных | 1,2Hн | 0,8Hн | 0,8Hн |
надкрановая (верхняя) часть колонн при подкрановых балках | разрезных | 2Hв | 1,5Hв | 2Hв |
неразрезных | 2Hв | 1,5Hв | 1,5Hв |
б) без учета нагрузки от кранов | подкрановая (нижняя) часть колонн зданий | однопролетных | 1,5H | 0,8Hн | 1,2H |
многопролетных | 1,2H | 0,8Hн | 1,2H |
надкрановая (верхняя) часть колонн при подкрановых балках | разрезных | 2,5Hв | 1,5Hв | 2Hв |
неразрезных | 2Hв | 1,5Hв | 1,5Hв |
2. Здания без мостовых кранов | а) колонны ступенчатые | нижняя часть колонн зданий | однопролетных | 1,5H | 0,8H | 1,2H |
многопролетных | 1,2H | 0,8H | 1,2H |
верхняя часть колонн | 2,5Hв | 2Hв | 2,5H |
б) колонны постоянного сечения зданий | однопролетных зданий | 1,5H | 0,8H | 1,2H |
многопролетных зданий | 1,2H | 0,8H | 1,2H |
3. Открытые крановые эстакады при подкрановых балках | разрезных | 2Hн | 0,8Hн | 1,5Hн |
неразрезных | 1,5Hн | 0,8Hн | Hн |
4. Открытые эстакады под трубопроводы при соединении колонн с пролетным строением | шарнирном | 2H | H | 2H |
жестком | 1,5H | 0,7H | 1,5H |
H - полная высота колонны от верха фундамента до горизонтальной конструкции (стропильной или подстропильной, распорки) в соответствующей плоскости; Hн - высота подкрановой части колонны от верха фундамента до низа подкрановой балки; Hв - высота надкрановой части колонны от ступени колонны до горизонтальной конструкции в соответствующей плоскости. Примечание. При наличии связей до верха колонн в зданиях с мостовыми кранами расчетная длина надкрановой части колонн в плоскости оси продольного ряда колонн принимается равной Hв. |
Элементы | Расчетная длина l0 элементов ферм и арок |
1. Элементы ферм | |
Верхний пояс при расчете: | |
а) в плоскости фермы: | |
при | e0 < 1/8hв.п | 0,9l |
" | e0 >= 1/8hв.п | 0,8l |
б) из плоскости фермы: | |
для участка под фонарем при ширине фонаря 12 м и более | 0,8l |
в остальных случаях | 0,9l |
Раскосы и стойки при расчете: | |
в) в плоскости фермы | 0,8l |
г) из плоскости фермы: | |
при | bв.п/bс < 1,5 | 0,9l |
" | bв.п/bс >= 1,5 | 0,8l |
2. Арки | |
а) При расчете в плоскости арки: | |
трехшарнирной | 0,58s |
двухшарнирной | 0,54s |
бесшарнирной | 0,365s |
б) При расчете из плоскости арки (любой) | s |
l - длина элемента между центрами примыкающих узлов, а для верхнего пояса фермы при расчете из плоскости фермы - расстояние между точками его закрепления; s - длина арки вдоль ее геометрической оси; при расчете из плоскости арки - длина арки между точками ее закрепления из плоскости арки; hв.п - высота сечения верхнего пояса; bв.п, bс - ширина сечения соответственно верхнего пояса и стойки (раскоса) фермы. |
3.31. При расчете по недеформированной схеме расстояние от сжимающей продольной силы до равнодействующей усилий в арматуре
A в рассматриваемом сечении с учетом продольного изгиба определяется по формуле

(128)
где
e0 - расстояние от продольной силы
N до центра тяжести бетонного сечения, определяемое по
формуле (121);

- коэффициент, учитывающий влияние продольного изгиба (см.
пп. 3.7 и
3.29 настоящего Руководства);
eц - расстояние от центра тяжести бетонного сечения до центра тяжести продольной арматуры A.
3.32. Расчет сечений внецентренно-сжатых элементов при неравномерном нагреве по высоте сечения с температурой наиболее нагретой грани выше 400 °C производится с учетом следующих особенностей.
При расположении силы со стороны менее нагретой грани сечения растянутая или слабосжатая арматура, а также свесы полки в тавровом сечении не учитываются и сечение рассчитывается как бетонное.
При расположении силы со стороны наиболее нагретой грани и наличия растянутой арматуры сжатая арматура не учитывается в расчете.
Расчет прямоугольных сечений
3.33. Расчет прямоугольных сечений внецентренно-сжатых элементов, указанных в
п. 3.12 настоящего Руководства, следует производить:

(129)
при этом высота сжатой зоны определяется из формулы

(130)
б) при

, равномерном и неравномерном нагревах и
x <=
h1 (см.
рис. 9,
а) - из
условия (129), при этом высота сжатой зоны определяется:
для элементов из бетона марки М400 и ниже с ненапрягаемой арматурой классов А-I, А-II, А-III и из жаростойкой стали марок 12Х13, 20Х13, 20Х23Н18, 12Х18Н9Т и 45Х14Н14В2М из формулы

(131)
откуда

(132)
для элементов из бетона марки выше М400, а также для элементов с арматурой классов выше А-III как ненапрягаемой, так и напрягаемой - из
формул (66) и
(67) или
(68) главы СНиП II-21-75, с учетом влияния температуры на расчетные сопротивления бетона и арматуры;
в) при

и неравномерном нагреве по высоте сечения с температурой наиболее нагретой грани выше 400 °C при
x >
h1 (см.
рис. 9,
а) из условия
Ne <=
Rпрtbh1(
h0 - 0,5
h1) +
+ Rпрtb(x - h1)(h0 - 0,5h1 - 0,5x), (133)
при этом относительная высота сжатой зоны определяется для элементов из бетона марки М400 и ниже с ненапрягаемой арматурой классов А-I, А-II, А-III и жаростойкой стали марок 12Х13, 20Х13, 20Х23Н18, 12Х18Н9Т и 45Х14Н14В2М из формулы

(134)
Рис. 15. Схема усилий и эпюра напряжений в сечении,
нормальном к продольной оси внецентренно-сжатого
железобетонного элемента при расчете его по прочности
При определении
Rпрt1 и
Rпрt2 коэффициенты
mбt принимаются по
табл. 16 в зависимости от средней температуры участков высотой соответственно
h1 и

(
рис. 9,
а).
3.35. Площади поперечного сечения сжатой и растянутой арматуры при оптимальных их соотношениях рекомендуется определять по формулам:

(135)

(136)
Здесь A0 принимается равным 0,4:
а) если принятая площадь поперечного сечения сжатой арматуры

значительно превышает ее оптимальное значение

, определенное по
формуле (135), то площадь поперечного сечения растянутой арматуры может быть уменьшена согласно формуле

(137)
где

- определяется по
табл. 41 настоящего Руководства в зависимости от значения
A0, которое определяется из
формулы (135), а если

, то площадь поперечного сечения растянутой арматуры определяется по формуле

(138)
б) при отрицательном значении
Fа, вычисленном по
формуле (136), площадь арматуры
A принимается согласно
п. 3.68 "Руководства по проектированию бетонных и железобетонных конструкций из тяжелого бетона (без предварительного напряжения)".
3.36. Площадь поперечного сечения слабосжатой или растянутой арматуры, устанавливаемой у наименее нагретой грани при одиночном армировании, неравномерно нагретого по высоте сечения до температуры наиболее нагретой грани выше 400 °C, определяется следующим образом:
а) если удовлетворяется условие

(139)
площадь поперечного сечения арматуры
Fа вычисляют по
формуле (137) при

. При этом величину

находят по
табл. 41 настоящего Руководства в зависимости от величины
A0, определяемой из
формулы (139), в которой
AR заменяется на
A0;
б) если удовлетворяется условие

(140)
то сечение армируют конструктивно. Принятое количество арматуры
Fа.ф должно удовлетворять условию
Fа.ф >=
Fа, где
Fа определяют согласно
п. 3.36 "а";
в) если
условие (140) не удовлетворяется, необходимо увеличить сечение элемента, так как сжатая арматура не может быть установлена по условиям нагрева сечения.
3.37. Приближенный расчет прямоугольных сечений сжатых элементов с учетом продольного изгиба, если величина эксцентриситета
e0, определенная в соответствии с
п. 3.28 настоящего Руководства, не превышает

, а расчетная длина элемента прямоугольного сечения
l0 <= 20
h 
, допускается производить из условия

(141)
где m - коэффициент, принимаемый равным:
при h > 20 см - 1;
" h <= 20 см - 0,9.
Здесь h - размер сечения в плоскости наибольшей гибкости элемента;

- коэффициент, определяемый по формуле

(142)
но принимаемый не более

.
Здесь

и

- коэффициенты, принимаемые по
табл. 44 и
45 настоящего Руководства.

(143)
| Коэффициент  при l0/ h |
<= 6 | 8 | 10 | 12 | 14 | 16 | 18 | 20 |
0 | 0,93 | 0,92 | 0,91 | 0,9 | 0,89 | 0,88 | 0,86 | 0,84 |
0,5 | 0,92 | 0,91 | 0,9 | 0,89 | 0,86 | 0,82 | 0,78 | 0,72 |
1 | 0,92 | 0,91 | 0,89 | 0,86 | 0,82 | 0,76 | 0,69 | 0,61 |
|
| Коэффициент  для железобетонных элементов при l0/ h | |
<= 6 | 8 | 10 | 12 | 14 | 16 | 18 | 20 |
А. При площади сечения промежуточных стержней, расположенных у граней, параллельных рассматриваемой плоскости, менее  |
0 | 0,93 | 0,92 | 0,91 | 0,9 | 0,89 | 0,88 | 0,86 | 0,84 | |
0,5 | 0,92 | 0,92 | 0,91 | 0,89 | 0,88 | 0,86 | 0,83 | 0,79 |
1 | 0,92 | 0,91 | 0,9 | 0,89 | 0,87 | 0,84 | 0,79 | 0,74 |
Б. При площади сечения промежуточных стержней, расположенных у граней, параллельных рассматриваемой плоскости, равной или более  |
0 | 0,92 | 0,92 | 0,91 | 0,89 | 0,87 | 0,85 | 0,82 | 0,79 | |
0,5 | 0,92 | 0,91 | 0,9 | 0,88 | 0,85 | 0,81 | 0,76 | 0,71 |
1 | 0,92 | 0,91 | 0,89 | 0,86 | 0,82 | 0,77 | 0,7 | 0,63 |
Nдл - продольная сила от действия постоянных, длительных нагрузок и длительного нагрева; N - продольная сила от действия постоянных, длительных и кратковременных нагрузок, кратковременного и длительного нагрева; 1-1 - рассматриваемая плоскость; 2 - промежуточные стержни. При промежуточных значениях  и  коэффициенты  и  определяются по интерполяции. |
При наличии промежуточных стержней, расположенных у граней, параллельных рассматриваемой плоскости, в
формуле (143) 
принимается равной половине площади сечения всей арматуры в поперечном сечении элемента.

- сумма произведений площади арматуры, устанавливаемой по каждой из сторон сечения, на расчетное сопротивление.
Примечания: 1. Если площадь сечения продольной арматуры составляет более 3% всей площади сечения
F, то в
формуле (141) величина
F заменяется величиной

.
2. В том случае, когда по условиям нагрева расчетная арматура устанавливается только у одной из граней сечения, т.е. принимается одиночное армирование, в
формуле (141) принимается

.
При неравномерном нагреве по высоте сечения с температурой наиболее нагретой грани выше 400 °C поперечное сечение элемента разбивают на две части, согласно
п. 1.28 настоящего Руководства, и площадь бетона каждой части сечения умножается на расчетное сопротивление бетона. В этом случае в
формуле (141) значение
RпрtF заменяется на

.
Коэффициент a учитывает влияние нагрева на продольный изгиб и определяется по формуле

(144)
где
aпр - принимается по
табл. 46 настоящего Руководства в зависимости от температуры бетона в центре тяжести сечения;

- принимается по
табл. 47 настоящего Руководства. При

значение коэффициента
a = 1.
Номера составов бетона по табл. 11 настоящего Руководства | Значения коэффициента aпр для кратковременного и длительного нагрева при температуре бетона в центре тяжести сечения, °C |
50 | 100 | 200 | 300 | 500 | 700 | 900 | 1000 |
| 1 | 0,7 | 0,6 | 0,45 | - | - | - | - |
| 1 | 0,75 | 0,7 | 0,55 | - | - | - | - |
| 1 | 0,9 | 0,7 | 0,6 | 0,3 | 0,2 | 0,12 | 0,05 |
| 1 | 0,8 | 0,7 | 0,5 | 0,25 | 0,1 | 0,03 | - |
| 1 | 0,9 | 0,8 | 0,6 | 0,3 | 0,2 | 0,06 | - |
| 1 | 0,85 | 0,7 | 0,6 | 0,4 | 0,2 | 0,15 | 0,1 |
Примечание. Коэффициент aпр для промежуточных значений температур определяется по интерполяции. |
Элементы | Предельная гибкость  сжатых бетонных и железобетонных элементов при температуре бетона в центре тяжести сечения, °C |
50 - 100 | 300 | 500 | 700 | 900 |
Бетонные | 85 | 60 | 50 | 45 | 35 |
Железобетонные | 125 | 90 | 55 | - | - |
Примечания: 1. Применение элементов конструкций, имеющих гибкость, превышающую табличные значения табл. 47, должно быть специально обосновано. 2. Для железобетонных элементов с односторонним армированием предельные гибкости принимаются как для бетонных элементов. 3. Для промежуточных значений температур предельные гибкости определяются по интерполяции. |
3.38. При расчете площади поперечного сечения арматуры в равномерно нагретых элементах величину
Nкр разрешается определять по
формулам (122) или
(123), принимая площадь всей арматуры

. Коэффициент армирования

, соответствующий определенным интервалам армирования, принимается по
табл. 48 настоящего Руководства.
Интервалы армирования  , % | Коэффициент армирования  для определения величины Nкр |
От 0,8 до 1,8 | 0,01 |
Свыше 1,8 до 2,8 | 0,02 |
Свыше 2,8 " 3,8 | 0,03 |
Расчет производится следующим образом.
Задается ориентировочно армирование элемента и по
табл. 48 настоящего Руководства, устанавливается коэффициент

, затем вычисляются значения
Nкр и

и определяется площадь поперечного сечения арматуры по
п. 3.35 настоящего Руководства. В этом случае разрешается принимать значения коэффициентов

и

по температуре бетона в центре тяжести сечения:
а) если полученная площадь поперечного сечения арматуры

соответствует принятой, расчет считается законченным;
б) если площадь арматуры

отличается от принятой и оказывается в другом интервале армирования (см.
табл. 48 настоящего Руководства), следует выполнить повторный расчет, принимая коэффициент

в соответствии с этим интервалом армирования. В отдельных случаях новая площадь сечения арматуры

может снова перейти в первоначальный интервал армирования, тогда площадь поперечного сечения арматуры принимается по граничным значениям. Следует по возможности добиваться сближения заданного и вычисленного значений

.

(145)
Расчет тавровых и двутавровых сечений
3.39. При расчете внецентренно-сжатых железобетонных элементов таврового и двутаврового сечений должны учитываться следующие особенности:
а) ширина сжатой полки, вводимая в расчет, не должна быть более величин, определяемых по
п. 3.26 настоящего Руководства;
б) высота сжатой полки, вводимая в расчет, при работе сечения с укороченной высотой должна соответствовать требованиям
п. 3.11 настоящего Руководства;
в) свесы полки, расположенные в растянутой зоне, в расчете не учитываются;
г) наиболее нагретая грань сечения совпадает со сжатой полкой.
3.40. Расчет сечений, имеющих полку в сжатой зоне, должен производиться в зависимости от положения границы сжатой зоны:
а) если граница сжатой зоны проходит в полке, т.е. соблюдается условие

(146)
расчет производится как для прямоугольного сечения шириной

в соответствии с
пп. 3.33 и
3.34 настоящего Руководства;
б) если

и граница сжатой зоны проходит в ребре, т.е.
условие (146) не соблюдается, расчет производится из условия

(147)
а высота сжатой зоны x определяется из формулы

(148)
в) если в расчете учитывается арматура, расположенная в сжатой зоне, и
x < 2
a', то в
формулах (146) -
(148) принимается
Rа.сt = 0, если это приводит к повышению прочности элемента;
г) если

, граница сжатой зоны проходит в ребре и
условие (146) не соблюдается, расчет сечений производится из
условия (147), а относительная высота сжатой зоны определяется:
для элементов из бетона марки М400 и ниже с ненапрягаемой арматурой классов А-I, А-II, А-III и из жаростойкой стали марок 12Х13, 20Х13, 20Х23Н18, 12Х18Н9Т и 45Х14Н14В2М - из формулы

(149)
для элементов из бетона марки выше М400, а также для элементов с арматурой классов выше А-III как ненапрягаемой, так и напрягаемой - из
формул (66) и
(67) или
(68) главы СНиП II-21-75 с учетом влияния температуры на расчетные сопротивления бетона и арматуры.
Значения

и
AR принимаются по
п. 3.13, а
e - по
п. 3.31 настоящего Руководства.
3.41. Площадь поперечного сечения сжатой арматуры определяется по формуле

(150)
3.42. Площадь поперечного сечения растянутой арматуры определяется следующим образом:
а) если граница сжатой зоны проходит в полке и соблюдается
условие (146), площадь поперечного сечения растянутой арматуры определяется как для прямоугольного сечения шириной

согласно
пп. 3.35,
3.36 и
3.38 настоящего Руководства;
б) если граница сжатой зоны проходит в ребре,
условие (146) не соблюдается и сжатая арматура вычислена по
формуле (150), площадь поперечного сечения растянутой арматуры определяется по формуле

(151)
в) если принятая площадь поперечного сечения сжатой арматуры

превышает площадь

, определенную по
формуле (150), то площадь поперечного сечения растянутой арматуры может быть принята уменьшенной согласно формуле

(152)
где

определяется по
табл. 41 настоящего Руководства в зависимости от значения

(153)
при этом должно удовлетворяться условие A0 < AR;
г) если при расчете по
формуле (150) величина

получается равной нулю или отрицательной, это означает, что сжатой арматуры по расчету не требуется, и площадь растянутой арматуры
Fа определяется по
формуле (152) при

.
Значения коэффициентов
AR и

принимаются по
п. 3.13 и
e - по
п. 3.31 настоящего Руководства.
Устанавливаемая в сжатой зоне конструктивная и монтажная арматура при определении прочности сечений в условиях воздействия повышенных и высоких температур не должна учитываться.
Расчет элементов кольцевого сечения
3.44. Расчет внецентренно-сжатых элементов кольцевого сечения при соотношении внутреннего и наружного радиусов

с арматурой, равномерно распределенной и равномерно нагретой по длине окружности (при числе продольных стержней не менее 6), должен производиться из условия

(154)
при этом величина относительной площади сжатой зоны бетона

определяется по формуле

(155)
При расчете элемента по недеформированной схеме в
формуле (154) величина эксцентриситета продольного усилия относительно центра тяжести сечения e
0 [см.
формулу (121)] умножается на коэффициент

(см.
пп. 3.7 и
3.29 настоящего Руководства).

(156)
rа - радиус окружности, проходящей через центры тяжести стержней рассматриваемой арматуры;
Fа.к - площадь сечения всей продольной арматуры, распределенной по длине окружности;
kа - коэффициент, определяемый по формуле

(157)
zа - расстояние от равнодействующей в арматуре растянутой зоны до центра тяжести сечения, определяемое по формуле

(158)
но принимаемое не более rа;

- определяется при коэффициенте
mт, большем единицы;

(159)
где mа.к - коэффициент, принимаемый равным для арматуры:
классов А-I, А-II, А-III и из жаростойких сталей марок 12Х13, 20Х13, 20Х23Н18, 12Х18Н9Т и 45Х14Н14В2М - 1,0, классов А-IV; Ат-IV, А-V, Ат-V, Ат-VI, В-II, Вр-II и К-7 - 1,1;

(160)
значение

принимается равным

(161)
Центрально-растянутые элементы
3.45. При расчете равномерно нагретых сечений центрально-растянутых железобетонных элементов должно соблюдаться условие
где Fа - площадь сечения продольной арматуры.
При неравномерном нагреве по высоте сечения правая часть
формулы (162) заменяется
- суммой произведений площади арматуры, расположенной по каждой из сторон сечения, на расчетное сопротивление арматуры
Rаt.
Для каждой из сторон сечения значение Rаtfа должно быть примерно одинаковым.
Внецентренно-растянутые элементы
Расчет прямоугольных сечений
3.46. Расчет прямоугольных сечений внецентренно-растянутых элементов, указанных в
п. 3.12 настоящего Руководства, должен производиться в зависимости от положения продольной силы
N:
а) если продольная сила
N приложена между равнодействующими усилий в арматуре
A и
A' (
рис. 16,
а) - из условий

(163)
и

(164)
б) если продольная сила
N приложена за пределами расстояния между равнодействующими усилий в арматуре
A и
A', т.е.
e' >
h0 - a' (
рис. 16,
б) - из условия

(165)
при этом высота сжатой зоны x определяется по формуле

(166)
Рис. 16. Схема усилий и эпюра напряжений в сечении,
нормальном к продольной оси внецентренно-растянутого
железобетонного элемента при расчете его по прочности
а - продольная сила N приложена между равнодействующими
усилий в арматуре A и A'; б - то же, за пределами
расстояния между равнодействующими усилий в арматуре
A и A'
если x < 2a', то прочность сечения проверяется из условия
N[e + (h0 - a')] <= RаtFа(h0 - a'). (167)
Если высота сжатой зоны, определенная по
формуле (166) без учета сжатой арматуры
A',
x < 2
a', то прочность сечения проверяется из условия
N(
e +
h0 - 0,5
x) <=
RаtFа(
h0 - 0,5
x). (168)
Если величина x, определенная без учета арматуры A', оказывается отрицательной, то это означает, что площадь сечения арматуры A недостаточна.
Значения
e и
e' принимаются по
п. 3.47 настоящего Руководства.
3.47. Расстояние от растягивающей продольной силы до равнодействующей усилий в арматуре
A в рассматриваемом сечении определяется по формулам:
а) если продольная сила
N приложена между равнодействующими усилий в арматуре
A и
A' (см.
рис. 16,
а):
e' =
h0 -
eц +
e0 -
a'; (170)
б) если продольная сила
N приложена за пределами расстояния между равнодействующими усилий в арматуре
A и
A', e' определяется по
формуле (170),
где
e0 - расстояние от продольной силы
N до центра тяжести бетонного сечения, определяемое по
формуле (121) при

;
eц - см.
п. 3.31 настоящего Руководства.
3.48. Расчет продольной арматуры производится следующим образом:
а) при e' > h0 - a' площадь поперечного сечения сжатой арматуры определяется по формуле

(172)
где
AR определяется по
п. 3.13 настоящего Руководства.
Площадь поперечного сечения растянутой арматуры определяется по формуле

(173)
где

- определяется по
табл. 41 настоящего Руководства в зависимости от величины
A0, полученной из
формулы (172), в которой
AR заменяется на
A0, при этом должно удовлетворяться условие
A0 <
AR.
Если

, то площадь поперечного сечения растянутой арматуры определяется по формуле

(174)
Если значение

, определенное так же, как и для
формулы (173), но без учета арматуры
A', т.е. при

, оказывается меньше

, то

(175)
Коэффициент
v определяется по
табл. 41 настоящего Руководства в зависимости от значения
A0, также вычисленного без учета арматуры
A';
б) при e' < h0 - a' площадь поперечного сечения растянутой и сжатой арматуры определяются по формулам:

(176)

(177)
Значения
e и
e' принимаются по
п. 3.47 настоящего Руководства.
При симметричном армировании равномерно нагретых сечений элемента подбор арматуры при
e' <
h0 -
a' производится по
формуле (176).
3.49. Расчет тавровых сечений внецентренно-растянутых элементов, указанных в
п. 3.12 настоящего Руководства, должен производиться в зависимости от положения продольной силы
N:
а) если продольная сила
N приложена между равнодействующими усилий в арматуре
A и
A' - из
условий (163) и
(164);
б) если продольная сила
N приложена за пределами расстояния между равнодействующими усилий в арматуре
A и
A', т.е.
e' >
h0 -
a', и наиболее нагретая грань сечения совпадает со сжатой полкой - из
условия (147), при этом высота сжатой зоны определяется из формулы

(178)
в) если продольная сила
N приложена за пределами расстояния между равнодействующими усилий в арматуре
A и
A', т.е.
e' >
h -
a', и наиболее нагретая грань сечения совпадает с растянутой полкой - из
условий (165),
(166) как для прямоугольного сечения.
РАСЧЕТ ПО ПРОЧНОСТИ СЕЧЕНИЙ, НАКЛОННЫХ
К ПРОДОЛЬНОЙ ОСИ ЭЛЕМЕНТА
3.50. Расчет по прочности сечений, наклонных к продольной оси элемента, должен производиться:
на действие поперечной силы (см.
пп. 3.51 -
3.60 настоящего Руководства);
на действие изгибающего момента (см.
пп. 3.61 -
3.62 настоящего Руководства).
Расчет сечений, наклонных к продольной оси элемента,
на действие поперечной силы
3.51. При расчете элементов на действие поперечной силы должно соблюдаться условие
при этом значение Rпрt для бетонов проектных марок выше М400 принимается как для бетона марки М400.
3.52. Расчет на действие поперечной силы, согласно
пп. 3.51 -
3.59 настоящего Руководства, не производится, если соблюдается условие
где
k1 - коэффициент, принимаемый равным для бетона составов (см.
табл. 11 настоящего Руководства):
Для сплошных плоских плит указанные значения k1 увеличиваются на 25%.
Для внецентренно-растянутых элементов правая часть
условия (180) дополнительно умножается на коэффициент
kN, определяемый по
формуле (183).
При соблюдении
условия (180) поперечная арматура должна устанавливаться в соответствии с конструктивными требованиями согласно
пп. 5.25 и
5.26 настоящего Руководства. Если
условие (180) не удовлетворяется, то производится расчет элементов:
с поперечной арматурой - по
пп. 3.54 -
3.58 настоящего Руководства;
без поперечной арматуры - по
п. 3.59 настоящего Руководства.
Кроме того, во всех случаях должно всегда удовлетворяться
условие (179).
3.53. При расчете сечений, наклонных к продольной оси элемента, на действие поперечной силы предельные усилия определяются из следующих предпосылок:
поперечное усилие, воспринимаемое бетоном над наклонной трещиной, определяется в зависимости от его расчетного сопротивления растяжению Rрt размеров элемента и наклона сечения;
усилия в поперечной арматуре направлены вдоль оси стержней;
в расчет вводится вся пересекающая рассматриваемое наклонное сечение поперечная арматура с растягивающими напряжениями, равными расчетным сопротивлениям Rа.хt;
сопротивление продольной арматуры действию поперечной силы не учитывается.
Примечание. В настоящем Руководстве под поперечной арматурой имеются в виду хомуты и отогнутые стержни. Термин "хомуты" включает поперечные стержни сварных каркасов и хомуты вязаных каркасов.
3.54. Расчет элементов с поперечной арматурой
(рис. 17) производится из условия

(181)
где Q - поперечная сила, действующая в наклонном сечении, т.е. равнодействующая всех поперечных сил от внешней нагрузки и воздействия температуры, расположенных по одну сторону от рассматриваемого наклонного сечения;

и

- сумма поперечных усилий, воспринимаемых соответственно хомутами и отогнутыми стержнями, пересекающими наклонное сечение;

- угол наклона отогнутых стержней к продольной оси элемента в наклонном сечении;
Qб - поперечное усилие, воспринимаемое бетоном сжатой зоны в наклонном сечении.
Рис. 17. Схема усилий в сечении, наклонном в продольной оси
железобетонного элемента при расчете его по прочности
на действие поперечной силы
Величина Qб для изгибаемых и сжатых элементов определяется по формуле

(182)
где
k2 - коэффициент, принимаемый равным для бетона составов (см.
табл. 11 настоящего Руководства):
N 1 -
3,
6,
7,
13,
20 и
21 при средней температуре бетона сжатой зоны сечения:
50 - 200 °C - 2;
800 °C и выше - 5;
N 4 -
5,
8 -
12,
14 -
19,
23,
24 и
29 при средней температуре бетона сжатой зоны сечения:
50 - 200 °C - 1,5;
800 °C и выше - 4,5.
Для температур между 200 и 800 °C коэффициент k2 принимается по интерполяции;
c - длина проекции наклонного сечения на продольную ось элемента;
b и h0 - принимаются в пределах наклонного сечения.
Величина
Qб для внецетренно-растянутых элементов определяется по
формуле (182) настоящего Руководства с умножением на коэффициент
kN, равный

(183)
но принимаемый не менее 0,2.
Для элементов с наклонной сжатой гранью значение
Qб определяется по
формуле (182), принимая рабочую высоту
h0 у конца наклонного сечения в сжатой зоне.
Для элементов с наклонной растянутой гранью в правую часть
условия (181) вводится дополнительное поперечное усилие
Qа, равное проекции усилий в продольной арматуре, расположенной у наклонной грани, на нормаль к сжатой грани

(184)
где M - изгибающий момент в сечении, нормальном к сжатой грани и проходящем через конец наклонного сечения в сжатой зоне;
z - расстояние от равнодействующей усилий в арматуре A до равнодействующей усилий в сжатой зоне в плоскости наклонного сечения, указанного выше;

- угол наклона арматуры
A к сжатой грани элемента.
В этом случае величина
Qб определяется по
формуле (182) настоящего Руководства при рабочей высоте
h0 у начала наклонного сечения в растянутой зоне.
3.55. Для изгибаемых и внецентренно-сжатых элементов постоянной высоты, армированных хомутами, длина проекции наклонного сечения на продольную ось элемента, отвечающая минимуму его несущей способности по поперечной силе (при отсутствии внешней нагрузки в пределах наклонного сечения),
c0 определяется по формуле

(185)
При воздействии температуры, не превышающей предельно допустимой температуры применения арматуры, устанавливаемой по расчету (см.
табл. 24 настоящего Руководства), величина поперечной силы
Qх.б, воспринимаемой хомутами и бетоном в наклонном сечении с длиной проекции
c0, - по формуле

(186)
где
k2 - коэффициент, принимаемый согласно
п. 3.54 настоящего Руководства;
qх - усилие в хомутах на единицу длины элемента, определяемое по формуле

(187)
В этом случае хомуты ставятся по всей высоте сечения, и наклонная трещина пересекает все хомуты, определенные расчетом по
формуле (187) (рис. 18).
Рис. 18. Схемы расположения поперечной арматуры
при воздействии температуры
а - не превышающей предельно допустимую температуру
применения арматуры; б - превышающей предельно допустимую
температуру применения арматуры; t - предельно допустимая
температура применения арматуры, устанавливается по
табл. 24
настоящего Руководства; Cу - проекция расчетного наклонного
сечения элемента с условной укороченной высотой hу = hх + a
При воздействии температуры, превышающей предельно допустимую температуру применения арматуры, установленной по расчету (см.
табл. 24 настоящего Руководства), допускается принимать поперечную арматуру, укороченную по высоте сечения элемента. Минимально допустимая длина хомутов устанавливается не менее
2/
3h0 (
рис. 18,
б).
Величина поперечной силы, воспринимаемая укороченными хомутами и бетоном в наклонном сечении, определяется по формуле

(188)
Сечение элемента с укороченной поперечной арматурой необходимо проверить по
формуле (186) настоящего Руководства, в которой вместо
h0 принимается условная рабочая высота сечения изгибаемого элемента
hу, равная длине хомутов и толщине защитного слоя бетона у менее нагретой грани:
hу =
hх +
a (рис. 18).
Rрt принимается в зависимости от средней температуры бетона условной сжатой зоны сечения элемента укороченной высоты, а температура бетона сжатой зоны определяется из теплотехнического расчета элемента действительной высоты. За расчетную поперечную силу принимается наименьшая величина, полученная из расчета по
формуле (186) или
(188) настоящего Руководства.
3.56. Для хомутов, устанавливаемых по расчету в соответствии с
пп. 3.54 и
3.55 настоящего Руководства, должно удовлетворяться условие

(189)
Расстояние между хомутами
u, между опорой и концом отгиба, ближайшего к опоре
u1 (рис. 19), а также между концом предыдущего и началом последующего отгиба
u2 должно быть не более величины

(190)
где
k2 - коэффициент, принимаемый согласно
п. 3.54 настоящего Руководства.
Рис. 19. Расстояния между хомутами и отогнутыми стержнями
Кроме того, поперечное армирование элемента независимо от результатов расчета должно удовлетворять конструктивным требованиям, приведенным в
п. 5.26 настоящего Руководства.
При воздействии температуры, не превышающей предельно допустимую температуру применения арматуры, устанавливаемой по расчету (см.
табл. 24 настоящего Руководства), определение усилий в хомутах на единицу длины элемента производится по формуле

(191)
где
Q - поперечная сила и коэффициент
k2 принимаются согласно
п. 3.54 настоящего Руководства.
3.57. Проверку прочности по поперечной силе наклонных сечений, начинающихся у опоры и у начала отгиба, допускается проводить из условия

(192)
где Q - поперечная сила у начала рассматриваемого наклонного сечения (у опоры или у начала отгиба);
Qх.б - поперечная сила, воспринимаемая хомутами и бетоном, определяемая по
формуле (186);
F0 - площадь сечения отогнутых стержней в ближайшей за началом рассматриваемого наклонного сечения плоскости отгиба, расположенных согласно
п. 3.58.
3.58. Необходимое сечение отогнутых стержней, расположенных в одной плоскости, определяется по формуле

(193)
При этом поперечная сила Q принимается:
а) при расчете отогнутых стержней первой (от опоры) плоскости - равной поперечной силе у опоры;
б) при расчете отогнутых стержней в каждой из последующих плоскостей - равной поперечной силе у начала предыдущей (по отношению к опоре) плоскости отгибов
(рис. 19).
Нижний конец наиболее удаленных от опоры отогнутых стержней должен располагаться не ближе, чем то сечение, в котором поперечная сила Q становится больше усилия, воспринимаемого бетоном и хомутами Qх.б.
Кроме того, расположение отгибов должно удовлетворять требованиям
п. 5.26 настоящего Руководства.
В элементах с поперечным армированием только из отогнутых стержней расчет по поперечной силе производится из
условия (181) при
Fх = 0. При этом рассчитываются наклонные сечения, начинающиеся в растянутой зоне у опоры и у начала отгибаемых стержней и заканчивающиеся в сжатой зоне в конце отгибаемых стержней каждой плоскости, а также в местах приложения сосредоточенных сил
(рис. 20).
Рис. 20. Расчетная схема опасных наклонных сечений
при расчете по прочности на действие поперечной силы
3.59. Расчет изгибаемых элементов без поперечной арматуры должен производиться из условия

(194)
в котором правая часть неравенства принимается:
не менее
k1Rрtbh0 (где
k1 определяется по
п. 3.52 настоящего Руководства);
и не более 2Rрtbh0 (для сплошных плоских плит - не более 2,5Rрtbh0).
Коэффициент
k3 принимается равным для бетона составов (см.
табл. 11 настоящего Руководства):
N 1 -
3,
6,
7,
13,
20 и
21 при средней температуре бетона сжатой зоны сечения:
50 - 200 °C - 1,2;
800 °C и выше - 3;
N 4,
5,
8 -
12,
14 -
19,
23,
24 и
29 при средней температуре бетона сжатой зоны сечения:
50 - 200 °C - 0,8;
800 °C и выше - 2.
Для температур между 200 и 800 °C коэффициент k3 принимается по интерполяции.
Для сплошных плоских плит указанные значения k3 увеличиваются на 25%.
В расчете рассматриваются наклонные сечения, проходящие через опору и направленные к точкам приложения сосредоточенных сил, а расчетные значения поперечных сил
Q принимаются в конце рассматриваемого наклонного сечения
(рис. 21).
Рис. 21. Расчетная схема опасных наклонных сечений
при расчете по прочности на действие поперечной силы
3.60. Короткие консоли (
lк <= 0,9
h0)
(рис. 22), поддерживающие балки и фермы и т.п., следует рассчитывать на действие поперечной силы из условия

(195)
в котором правая часть неравенства принимается не более 2,5Rрtbh0.
Рис. 22. Расчетная схема для короткой консоли при расчете
ее по прочности на действие поперечной силы
Q - поперечная сила, действующая на консоль в пределах ее вылета;
k3 - коэффициент, принимаемый согласно
п. 3.59 настоящего Руководства;
k4 - коэффициент, принимаемый равным: при кранах весьма тяжелого режима работы - 0,5; при кранах тяжелого режима работы - 0,75; при кранах среднего и легкого режимов работы - 1,0; при статической нагрузке - 1,0;
a - расстояние от точки приложения силы
Qк до опорного сечения консоли
(рис. 22);
b и h0 - принимаются в опорном сечении.
Для коротких консолей, входящих в жесткий узел рамной конструкции, в правую часть
условия (181) вводится коэффициент 1,25.
Расчет, согласно указаниям настоящего пункта, распространяется на консоли с углом наклона

сжатой грани консоли к горизонтали не более 45° и с высотой сечения
hк у свободного края не менее
1/
3 высоты опорного сечения
h.
Армирование консолей, поддерживающих балки, фермы и т.п., независимо от результатов расчета, должно удовлетворять требованиям
п. 5.29 настоящего Руководства.
Расчет сечений, наклонных к продольной оси элемента,
на действие изгибающего момента
3.61. Расчет сечений, наклонных к продольной оси элемента, на действие изгибающего момента
(рис. 23) должен производиться из условия

(196)
где M - момент всех внешних сил, расположенных по одну сторону от рассматриваемого наклонного сечения, относительно оси, проходящей через точку приложения равнодействующей усилий в сжатой зоне и перпендикулярной к плоскости действия момента;
RаtFаz,

,

- сумма моментов относительно той же оси соответственно от усилий в продольной арматуре, в отогнутых стержнях и хомутах, пересекающей растянутую зону наклонного сечения;
z, z0, zх - расстояния от плоскостей расположения соответственно продольной арматуры, отогнутых стержней и хомутов до указанной выше оси.
Рис. 23. Схема усилий в сечении, наклонном к продольной оси
железобетонного элемента, при расчете его по прочности
на действие изгибающего момента
Высота сжатой зоны наклонного сечения, измеренная по нормали к продольной оси элемента, определяется из условия равновесия проекции усилий в бетоне и арматуре наклонного сечения на продольную ось элемента согласно
пп. 3.17 и
3.22 настоящего Руководства.
Для опорной зоны элементов с продольной арматурой без анкеров расчетное сопротивление арматуры растяжению принимается сниженным согласно
поз. 3 табл. 32 настоящего Руководства.
Проверка на действие изгибающего момента не производится для наклонных сечений, пересекающих растянутую грань элемента на участках, обеспеченных от образования нормальных трещин, т.е. там, где момент
M от внешней нагрузки и воздействия температуры, на которую ведется расчет по прочности, меньше или равен моменту трещинообразования
Mт, определяемому по
формуле (237), принимая в ней значения
Rрt вместо
RрIIt.
3.62. Для обеспечения прочности наклонных сечений на действие изгибающего момента в элементах постоянной высоты продольные растянутые стержни, обрываемые в пролете, должны заводиться за точку теоретического обрыва (т.е. за нормальное сечение, в котором эти стержни перестают требоваться по расчету) на длину не менее 20
d и не менее величины
w, определяемой по формуле

(197)
где Q - поперечная сила в нормальном сечении, проходящем через точку теоретического обрыва стержня;

- то же, что в
п. 3.54 настоящего Руководства;
qхw - усилие в хомутах на единицу длины элемента на рассматриваемом участке длиной
w, определяемое по
формуле (198):

(198)
d - диаметр обрываемого стержня.
РАСЧЕТ ЖЕЛЕЗОБЕТОННЫХ ЭЛЕМЕНТОВ НА МЕСТНОЕ ДЕЙСТВИЕ НАГРУЗОК
3.63. При расчете на местное сжатие (смятие) элементов без косвенного армирования должно удовлетворяться условие

(199)
где N - продольная сжимающая сила от местной нагрузки;
Fсм - площадь смятия;

- коэффициент, принимаемый равным:
при равномерном распределении местной нагрузки на площади смятия - 1;
при неравномерном распределении местной нагрузки на площади смятия (под концами балок, прогонов, перемычек) для бетона
составов N 1 -
21,
23,
24 и
29 по табл. 11 настоящего Руководства принимается равным - 0,75;
Rсм - расчетное сопротивление бетона смятию определяется по формуле

(200)
здесь

, но не более следующих значений:
при схеме приложения нагрузки по
рис. 24,
а,
в,
г,
е,
и для бетона составов (см.
табл. 11 настоящего Руководства):
для бетона
составов N 4,
5,
8 -
12,
14 -
19,
23,
24 и
29 проектных марок М50, М75, М100 - 1,5; марок М35 и ниже - 1,2; при схеме приложения нагрузки по
рис. 24,
б,
д,
ж независимо от вида и марки бетона - 1;
Rпрt -
Rпрmбt - принимается как для бетонных конструкций (см.
табл. 14 настоящего Руководства);
Fр - расчетная площадь, определяемая по
п. 3.64 настоящего Руководства.
Рис. 24. Определение расчетной площади Fр
при расчете на местное сжатие
а - при местной нагрузке по всей ширине элемента;
б - при местной краевой нагрузке по всей ширине элемента;
в и г - при местной нагрузке в местах опирания концов
прогонов и балок; д - при местной краевой нагрузке на угол
элемента; е - при местной нагрузке, приложенной на части
длины и ширины элемента; ж и и - при местной нагрузке,
расположенной в пределах выступа стены; 1 - расчетная
площадь, учитываемая только при наличии косвенной арматуры
Коэффициент
mбt принимается по
табл. 16 настоящего Руководства в зависимости от средней температуры бетона площади смятия - при схеме приложения нагрузки по
рис. 24,
а,
б,
е,
и и в зависимости от температуры наиболее нагретой грани - при схеме приложения нагрузки по
рис. 24,
в,
г,
д,
ж.
3.64. В расчетную площадь
Fр включается участок, симметричный по отношению к площади смятия
(рис. 24). При этом должны выполняться следующие правила:
при местной нагрузке по всей ширине элемента
t в расчетную площадь включается участок длиной не более
t в каждую сторону от границы местной нагрузки (
рис. 24,
а);
при местной краевой нагрузке по всей ширине элемента расчетная площадь
Fр равна площади смятия
Fсм (см.
рис. 24,
б);
при местной нагрузке в местах опирания концов прогонов и балок в расчетную площадь включается участок шириной, равной глубине заделки прогона или балки, и длиной не более расстояния между серединами примыкающих к балке пролетов (
рис. 24,
в); если расстояние между балками превышает двойную ширину элемента, длина расчетной площади определяется как сумма ширины балки и удвоенной ширины элемента (
рис. 24,
г);
при местной краевой нагрузке на угол элемента (
рис. 24,
д) расчетная площадь
Fр равна площади смятия
Fсм;
при местной нагрузке, приложенной на части длины и ширины элемента, расчетная площадь принимается согласно
рис. 24,
е. При наличии нескольких нагрузок указанного типа расчетные площади ограничиваются линиями, проходящими через середину расстояний между точками приложения двух соседних нагрузок;
при местной краевой нагрузке, расположенной в пределах выступа стены (пилястры) или простенка таврового сечения, расчетная площадь равна площади смятия
Fсм (см.
рис. 24,
ж);
при определении расчетной площади для сечений сложной формы не должны учитываться участки, связь которых с загруженным участком не обеспечена с необходимой надежностью (
рис. 24,
и).
Примечание. При местной нагрузке от балок, прогонов, перемычек и других элементов, работающих на изгиб, учитываемая в расчете глубина опоры при определении Fсм и Fр принимается не более 20 см.
3.65. При расчете на местное сжатие равномерно нагретых железобетонных элементов с косвенным армированием в виде сварных поперечных сеток должно удовлетворяться условие

(201)
где Fсм - площадь смятия;

- приведенная призменная прочность бетона, определяемая по формуле

(202)

(203)
но не более 3,5;

(204)
Fр - расчетная площадь, определяемая в соответствии с
п. 3.64 настоящего Руководства (для схем приложения местной нагрузки по
рис. 24,
б,
д,
ж в нее дополнительно включается площадь, ограниченная пунктирной линией);
Fя - площадь бетона, заключенного внутри контура сеток косвенного армирования; для схем приложения местной нагрузки по
рис. 24,
а,
в,
г,
е,
и должно удовлетворяться условие
Fсм <
Fя <=
Fр, а для схем по
рис. 24,
б,
д,
ж Fя должно быть не менее
Fр, при этом в
формулу (204) подставляется
Fя =
Fр;

- расчетное сопротивление растяжению арматуры сеток;
k - коэффициент эффективности косвенного армирования, принимаемый равным

(205)
где

(206)

- коэффициент насыщения поперечной арматурой, определяемый для сварных поперечных сеток по формуле

(207)
Здесь n1, fс1 и l1 - соответственно число стержней, площадь поперечного сечения и длина стержня сетки в одном направлении (считая в осях крайних стержней);
n2, fс2 и l2 - то же, в другом направлении;
s - расстояние между сетками;
Fя - площадь бетона, заключенного внутри контура сеток (считая в осях крайних стержней).
Площади сечения стержней сетки на единицу длины в одном и другом направлениях не должны различаться более чем в 1,5 раза.
3.66. Расчет на продавливание плитных конструкций (без поперечной арматуры) от действия сил, равномерно распределенных на ограниченной площади, должен производиться из условия
где P - продавливающая сила;
k - коэффициент, принимаемый равным для бетона составов (см.
табл. 11 настоящего Руководства):
bср - среднее арифметическое величин периметров верхнего и нижнего оснований пирамиды, образующейся при продавливании в пределах рабочей высоты сечения h0.
При определении величин
bср и
P предполагается, что продавливание происходит по боковой поверхности пирамиды, меньшим основанием которой служит площадь действия продавливающей силы, а боковые грани наклонены под углом 45° к горизонтали (
рис. 25,
а).
Рис. 25. Схема пирамиды продавливания при угле наклона
ее боковых граней к горизонтали
а - равном 45°; б - большем 45°
Величина продавливающей силы P принимается равной величине продольной силы N, действующей на пирамиду продавливания, за вычетом нагрузок, приложенных к большему основанию пирамиды продавливания (считая до плоскости расположения растянутой арматуры) и сопротивляющихся продавливанию.
Если схема опирания такова, что продавливание может происходить только по поверхности пирамиды с углом наклона боковых граней больше 45° (например, в свайных ростверках,
рис. 25,
б), правая часть
условия (208) умножается на величину
h0/
c, но не более 2,5, где
c - длина горизонтальной проекции боковой грани пирамиды продавливания.
При установке в пределах пирамиды продавливания поперечной арматуры расчет должен производиться из условий:
где Fх.п - суммарная площадь сечения поперечной арматуры, пересекающей боковые грани пирамиды продавливания;
Кроме того, поперечное армирование и размеры плит независимо от результатов расчета должны удовлетворять конструктивным требованиям
пп. 5.3 и
5.27 настоящего Руководства.
В случае продавливания при дополнительном действии момента, наличии стальных воротников, действии продавливающей силы на краю плиты, несимметричных фундаментах, при внецентренном приложении нагрузки и т.п. должны учитываться специальные указания.
Кроме расчета на продавливание должен производиться расчет на действие поперечных сил.
3.67. Расчет на отрыв растянутой зоны элемента от действия нагрузки, подвешенной к элементу или приложенной в пределах высоты его сечения
(рис. 26), должен производиться из условия
где Pот - отрывающее усилие;
Fх.д - площадь дополнительной, сверх требуемой по расчету наклонного сечения поперечной арматуры (подвески, хомуты и т.п.), расположенной на длине зоны отрыва s.
Рис. 26. Схема для определения длины зоны отрыва
1 - центр тяжести сжатой зоны сечения
примыкающего элемента
Длина зоны отрыва s при нагрузке, распределенной по ширине b1, принимается равной
s = 2h1 + b1, (212)
где h1 - расстояние от уровня передачи нагрузки (при примыкающих друг к другу элементах - от центра тяжести сжатой зоны элемента, вызывающего отрыв) до центра тяжести сечения арматуры A.
3.68. Расчет анкеров, приваренных втавр к плоским элементам стальных закладных деталей, на действие изгибающих моментов, нормальных и сдвигающих сил (
рис. 27,
а), должен производиться по формуле

(213)
где Fан - суммарная площадь поперечного сечения анкеров наиболее напряженного ряда;
Nан - наибольшее растягивающее усилие в одном ряду анкеров, равное

(214)
Qан - сдвигающее усилие, приходящееся на один ряд анкеров, равное

(215)

- наибольшее сжимающее усилие в одном ряду анкеров, определяемое по формуле

(216)
а - схема усилий, действующих на закладную деталь;
б - схема выкалывания бетона анкерами закладной детали
с усилениями на концах при

;
в - схема выкалывания бетона анкерами закладной
детали без усилений на концах при

;
г - схема выкалывания бетона растянутыми анкерами
закладной детали при

;
д - схема, принимаемая при расчете на откалывание
бетона анкерами закладной детали; 1 - точка приложения
нормальной силы N; 2 - поверхность выкалывания; 3 - проекция
выкалывания на плоскость, нормальную анкерам;
4 - анкерная пластина
Рис. 27. Схемы расчета закладных деталей
M, N и Q - соответственно момент, нормальная и сдвигающая силы, действующие на закладную деталь; величина момента определяется относительно оси, расположенной в плоскости наружной грани пластины и проходящей через центр тяжести всех анкеров;
nан - число рядов анкеров (при определении сдвигающего усилия Qан учитывается не более четырех рядов);
z - расстояние между крайними рядами анкеров;
k1 - коэффициент, определяемый по формуле

(217)
но принимаемый не менее 0,15; коэффициент

в
формуле (217) принимается равным:
и
k - коэффициент, определяемый для анкерных стержней диаметром 8 - 25 мм и бетона марок М150 - М600 по формуле

(218)
но принимаемый не более 0,7.
Rпрt, Rаt в кгс/см2;
fан - площадь анкерного стержня наиболее напряженного ряда, см2.
Площадь сечения анкеров остальных рядов должна приниматься равной площади сечения анкеров наиболее напряженного ряда;

(219)
где
kб - коэффициент, принимаемый равным для бетона составов (см.
табл. 11 настоящего Руководства):

и

- коэффициенты, принимаемые соответственно по
табл. 16 и
18 настоящего Руководства в зависимости от температуры бетона (для кратковременного нагрева) в месте расположения закладной детали.
При нормальной температуре

.
В
формулах (214) и
(216) сила
N считается положительной, если она направлена от закладной детали, и отрицательной - если она направлена к ней. В случае когда вычисленные по
формулам (214) -
(216) усилия
Nан,

и
Qан имеют отрицательное значение, в
формулах (213),
(215) и
(217) они принимаются равными нулю. Кроме того, при отрицательном значении

в
формулу (215) вместо

подставляется величина
N.
При расположении закладной детали на верхней (при бетонировании) поверхности изделия коэффициент
k уменьшается на 20%, а значение

принимается равным нулю.
3.69. Расчет анкеров, приваренных к пластине внахлестку, на действие сдвигающей силы должен производиться по формуле

(220)
Сопротивление анкеров, приваренных внахлестку, действию сдвигающей силы учитывается при
Q >
N (где
N - растягивающая сила), и угле отгиба этих анкеров от 15 до 30°. При этом должны дополнительно устанавливаться анкеры, приваренные втавр и рассчитываемые по
формуле (213), принимая
k1 = 1, а значение
Qан равным 0,1 от сдвигающего усилия, определенного по
формуле (215).
3.70. Конструкция закладных деталей с приваренными к ним элементами, передающими нагрузку на закладные детали, должна обладать достаточной жесткостью для обеспечения равномерного распределения усилий между растянутыми анкерами и равномерной передачи сжимающих усилий на бетон. Стальные элементы закладных деталей и их сварные соединения рассчитываются согласно главе
СНиП II-В.3-72.
Толщина пластин закладных деталей

при анкерах, приваренных втавр, должна удовлетворять условию

(221)
где dан - диаметр анкеров;
Rсрt = Rср·mаt; Rср - расчетное сопротивление стали пластин на срез, принимаемое согласно главе СНиП II-В.3-72 (для стали класса С38/23 Rср = 1300 кгс/см2).
3.71. Если выполняется условие

, где

см.
п. 3.68, т.е. все анкеры закладной детали растянуты, следует производить расчет на выкалывание бетона следующим образом:
а) при анкерах с усилением на концах (см.
п. 5.43 настоящего Руководства) расчет производится из условия

(222)
где
П - площадь проекции на плоскость, нормальную к анкерам, поверхности выкалывания, идущей от граней анкерных пластин или высаженных головок всех анкеров под углом 45° к осям анкеров (
рис. 27,
б) за вычетом площади анкерных пластин и высаженных головок;
a1 и a2 - размеры площади П;
e1 - эксцентриситет силы N относительно центра площади П в направлении размера a1;
e2 - то же, в направлении размера a2;
б) при анкерах без усиления на концах расчет производится из условия

(223)
где
Пh - то же, что и
П при поверхности выкалывания, начинающейся от анкеров на расстоянии
h от поверхности элемента (
рис. 27,
в);
ah1 и ah2 - размеры площади Пh;
eh1 - эксцентриситет силы N относительно центра площади Пh в направлении размера ah1;
eh2 - то же, в направлении размера ah2;
lз и
lан - соответственно длина заделки и длина зоны анкеровки (см.
п. 5.14 настоящего Руководства);
nаFа - суммарная площадь сечения анкеров, приваренных втавр.
Если

, расчет на выкалывание производится при длине анкеров, меньшей
lан, и при наличии усиления на их концах из условия
где
Nан - см.
п. 3.68 настоящего Руководства;
П1 - то же, что и
П при поверхности выкалывания, начинающейся от граней анкерных пластин или высаженных головок анкеров наиболее растянутого ряда (
рис. 27,
г).
При этом для колонн расчет на выкалывание можно не производить, если концы анкеров заведены за продольную арматуру, расположенную у противоположной от закладной детали грани колонны, а усиление анкеров в виде пластин или поперечных коротышей зацепляются за стержни этой арматуры диаметром: не менее 20 мм при симметричном зацеплении и не менее 25 мм при несимметричном зацеплении. В этом случае участок колонны между крайними рядами анкеров проверяется на действие поперечной силы, равной

, где
Qк - поперечная сила на участке колонны, прилежащем к наиболее растянутому ряду анкеров закладной детали; значение
Qк определяется с учетом действующих на закладную деталь усилий.
3.72. Если сдвигающая сила
Q действует на закладную деталь в направлении к краю элемента (
рис. 27,
д), то при отсутствии анкеров, приваренных внахлестку, следует производить расчет на откалывание бетона из условия
где h1 - расстояние от центра тяжести анкеров закладной детали до края элемента в направлении сдвигающей силы Q;
b - ширина откалывающейся части элемента, принимаемая не более 2h1.
Если
условие (225) не выполняется, то к закладной детали приваривают внахлестку анкеры или по грани элемента с закладной деталью устанавливают дополнительные хомуты, воспринимающие сдвигающую силу
Q.
3.73. При наличии на концах анкеров закладной детали усилений в виде анкерных пластинок или высаженных головок бетон под этими усилениями должен быть проверен на смятие из условия
где Fсм - площадь анкерной пластины или сечения высаженной головки нормальной к оси анкера, за вычетом площади сечения анкера;
Nсм - сила смятия, определяемая следующим образом:
а) для анкеров, приваренных втавр, длиной lа не менее 15d, если вдоль анкера возможно образование трещин от растяжения бетона,

(227)
если образование таких трещин невозможно, величина
Nсм, вычисленная по
формуле (227), умножается на

;
б) для анкеров, приваренных втавр, длиной
lа менее 15
d, значение
Nсм, определенное по подпункту
а, увеличивается на

;
в) для анкеров, приваренных внахлестку, величина
Nсм определяется по
формуле (227), в которой
Nан заменяется на
Q.
В формулах настоящего пункта:
nа - число анкеров наиболее напряженного ряда;
lан - длина зоны анкеровки, определяемая по
п. 5.14 настоящего Руководства.
РАСЧЕТ ЖЕЛЕЗОБЕТОННЫХ ЭЛЕМЕНТОВ НА ВЫНОСЛИВОСТЬ
3.74. Расчет железобетонных элементов на выносливость производится сравнением напряжений в бетоне и арматуре с соответствующими расчетными сопротивлениями, умноженными на коэффициенты условий работы
mб2 и
mа1, принимаемые соответственно по
табл. 22 и
табл. 33 настоящего Руководства, а при наличии сварных соединений арматуры - также на коэффициент условий работы
mа2 (см.
табл. 34 настоящего Руководства). При нагреве бетона выше 50 °C должен учитываться коэффициент условий работы бетона
mб2t, принимаемый по
табл. 23 настоящего Руководства, и коэффициент условий работы арматуры
mа1t, принимаемый по
п. 2.32 настоящего Руководства при температурах нагрева арматуры выше 100 °C.
Напряжения в бетоне и арматуре вычисляются как для упругого тела (по приведенным сечениям) на действие внешних нагрузок, усилий от воздействия температуры и усилия предварительного обжатия N0. Неупругие деформации в сжатой зоне бетона учитываются снижением величины модуля упругости бетона, принимая коэффициенты приведения арматуры к бетону n', равными 25, 20, 15 и 10 соответственно для бетонов проектных марок М200, М300, М400, М500 и выше.
При воздействии температуры выше 50 °C величины коэффициентов
n' должны умножаться на отношение коэффициентов

. Значения коэффициентов

принимаются по
табл. 35 настоящего Руководства в зависимости от температуры арматуры,

- по
табл. 16 настоящего Руководства в зависимости от средней температуры бетона сжатой зоны сечения. В случае, если не соблюдаются условия
п. 4.7 настоящего Руководства при замене в нем значения
RрIIt на
Rрt, площадь приведенного сечения определяется без учета растянутой зоны бетона.
3.75. Расчет на выносливость сечений, нормальных к продольной оси элемента, должен производиться из условия:
для сжатого бетона

(228)
для растянутой арматуры

(229)
где

и

- максимальные нормальные напряжения соответственно в сжатом бетоне и в растянутой арматуре.
При этом расчетные сопротивления бетона сжатию
Rпрt и растяжению
Rаt арматуры умножаются на соответствующие коэффициенты условий работы
mбt,
mб2,
mб2t (см.
табл. 16,
22 и
23 настоящего Руководства) и
mа1,
mа1t,
mа2 и
mаt (см.
табл. 33 и
п. 2.32,
табл. 34 и
35 настоящего Руководства).
В зоне, проверяемой по сжатому бетону, при действии многократно повторяющейся нагрузки появление растягивающих напряжений не допускается.
Сжатая арматура на выносливость не рассчитывается.
3.76. Расчет на выносливость сечений, наклонных к продольной оси элемента, должен производиться из условия, что равнодействующая главных растягивающих напряжений, действующих на уровне центра тяжести приведенного сечения, должна быть полностью воспринята поперечной арматурой при напряжениях в ней, равных расчетным сопротивлениям
Rа, умноженным на коэффициенты условий работы
mа1,
mа2 и
mаt (см.
табл. 33,
34 и
п. 2.32 настоящего Руководства).
Для элементов, в которых поперечная арматура не предусматривается, должны быть выполнены условия
п. 4.8 настоящего Руководства с введением в
условия (246) и
(247) вместо расчетных сопротивлений бетона
RрII и
RрII - соответственно расчетных сопротивлений
Rпр и
Rр, которые умножаются на коэффициенты условий работы
mбt,
mрt,
mб2 и
mб2t (см.
табл. 16,
22 и
23 настоящего Руководства).
4. РАСЧЕТ ЭЛЕМЕНТОВ ЖЕЛЕЗОБЕТОННЫХ КОНСТРУКЦИЙ
ПО ПРЕДЕЛЬНЫМ СОСТОЯНИЯМ ВТОРОЙ ГРУППЫ
РАСЧЕТ ЖЕЛЕЗОБЕТОННЫХ ЭЛЕМЕНТОВ ПО ОБРАЗОВАНИЮ ТРЕЩИН
4.1. Железобетонные элементы, подвергаемые воздействию повышенных и высоких температур, рассчитываются по образованию трещин:
нормальных к продольной оси элемента;
наклонных к продольной оси элемента.
РАСЧЕТ ПО ОБРАЗОВАНИЮ ТРЕЩИН, НОРМАЛЬНЫХ К ПРОДОЛЬНОЙ
ОСИ ЭЛЕМЕНТА
4.2. Для изгибаемых, растянутых и внецентренно-сжатых железобетонных элементов, подвергаемых воздействию повышенных и высоких температур, усилия, воспринимаемые сечениями, нормальными к продольной оси, при образовании трещин определяются исходя из следующих положений:
сечения после деформаций остаются плоскими;
наибольшее относительное удлинение крайнего растянутого волокна бетона равно

;
напряжения в бетоне сжатой зоны (если они имеются) определяются с учетом упругих, а для внецентренно-сжатых элементов - также с учетом неупругих деформаций нагретого бетона;
напряжения в бетоне растянутой зоны распределены равномерно и равны по величине RрtII;
напряжения в арматуре равны алгебраической сумме напряжений, вызванных усадкой бетона, и напряжения, отвечающего приращению деформаций окружающего нагретого бетона.
Величина коэффициента

принимается по
табл. 16 настоящего Руководства в зависимости от температуры бетона на уровне растянутой арматуры.
Допускается расчет по образованию трещин, нормальных к продольной оси изгибаемых элементов, прямоугольного и таврового с полками в сжатой зоне сечений, не производить, если при расчете прочности требуется

.
4.3. Расчет железобетонных элементов по образованию трещин на усилия, вызванные только воздействием температуры, следует производить, когда:
температура бетона по высоте элемента между гранями сечения отличается более чем на 30 °C в элементах статически неопределимых конструкций и более чем на 50 °C в элементах статически определимых конструкций при криволинейном распределении температуры;
температура растянутой арматуры превышает 100 °C в конструкциях из обычного бетона и 70 °C - в конструкциях из жаростойкого бетона.
Расчет по образованию трещин при температуре нагрева арматуры выше 200 °C элементов с

допускается не производить.
Расчет по образованию трещин в элементах статически определимых конструкций производится из условия, что растягивающие напряжения бетона, вызванные воздействием только температуры, определяемые по
формуле (31) настоящего Руководства, равны или меньше величины расчетного сопротивления бетона
RрII, дополнительно умноженного на коэффициент условий работы бетона
mрt, принимаемый по
табл. 16 настоящего Руководства в зависимости от температуры волокна бетона, для которого определяются напряжения.
4.4. Расчет изгибаемых, внецентренно-сжатых, а также внецентренно-растянутых элементов по образованию трещин производится:
статически определимых конструкций из условия

(230)
статически неопределимых конструкций из условия

(231)
где

- момент внешних сил, расположенных по одну сторону от рассматриваемого сечения, относительно оси, параллельной нулевой линии и проходящей через ядровую точку, наиболее удаленную от растянутой зоны, трещинообразование которой проверяется;
Mt - момент, вызванный воздействием температуры, определяется согласно
п. 1.46 настоящего Руководства и принимается со знаком "плюс", когда направление момента совпадает с

и со знаком "минус" - когда не совпадают;
Mт - момент, воспринимаемый сечением, нормальным к продольной оси элемента, при образовании трещин.
Величина

принимается:
для изгибаемых элементов равной изгибающему моменту
M (
рис. 28,
а);
для внецентренно-сжатых элементов (
рис. 28,
б)

(232)
для внецентренно-растянутых элементов (
рис. 28,
в)

(233)
где rу - расстояние от центра тяжести приведенного сечения до ядровой точки, наиболее удаленной от растянутой зоны, трещинообразование которой проверяется.
Рис. 28. Схемы усилий и эпюры напряжений в поперечном
сечении элемента при расчете его по образованию трещин
в зоне сечения, растянутой от действия внешних нагрузок
а - при изгибе; б - при сжатии; в - при растяжении;
1 - ядровая точка; 2 - центр тяжести приведенного сечения
Величина rу определяется по формулам:
для изгибаемых элементов

(234)
для внецентренно-сжатых элементов

(235)
для центрально- и внецентренно-растянутых элементов

(236)
W0 и
Wт - см. соответственно
пп. 4.5 и
4.6 настоящего Руководства.
Величина Mт определяется по формуле

(237)
где

- напряжения в бетоне на уровне растянутой арматуры, вызванные воздействием температуры, определяемые по
формуле (31), напряжения

принимаются со знаком "плюс" при сжатии и со знаком "минус" при растяжении.
Допускается напряжения

, вызванные воздействием температуры, не учитывать, если их учет увеличивает трещиностойкость сечения.
При проверке возможности исчерпания несущей способности одновременно с образованием трещин (см.
п. 1.20 настоящего Руководства) усилие, воспринимаемое сечением при образовании трещин, определяется по
формуле (237) с заменой значения
RрtII на 1,2
RрtII.
4.5. Величина момента сопротивления приведенного сечения элемента для крайнего растянутого волокна определяется по правилам сопротивления упругих материалов в предположении отсутствия продольных сил по формуле

(238)
где
Iп - момент инерции приведенного сечения, определяемый по
формуле (11) настоящего Руководства как для упругого материала, принимая

. Расстояние от центра тяжести приведенного сечения до крайнего растянутого волокна определяется по
формуле (5) настоящего Руководства.
4.6. Величина момента сопротивления приведенного сечения для крайнего растянутого волокна с учетом неупругих деформаций растянутого бетона при воздействии температуры определяется по формуле

(239)
где

(240)

(241)

(242)

(243)

(244)
Здесь

- коэффициент, определяемый по
табл. 35 настоящего Руководства в зависимости от температуры на уровне центра тяжести растянутой и сжатой арматуры;

- коэффициент, определяемый по
табл. 16 настоящего Руководства в зависимости от температуры бетона на уровне соответствующей арматуры.
Допускается при определении
Wт по
формуле (239) принимать

, если

.
Разрешается величину Wт также определять по приближенной формуле

(245)
где
W0 - см.
п. 4.5 настоящего Руководства;

- коэффициент, принимаемый по
табл. 49 настоящего Руководства.
Сечение | Значение коэффициента  для определения момента сопротивления Wт |
1. Прямоугольное и тавровое с полкой, расположенной в сжатой зоне | 1,75 |
2. Тавровое с полкой, расположенной в растянутой зоне: | |
при  независимо от отношения  | 1,75 |
при  и  | 1,75 |
при  и  | 1,5 |
3. Двутавровое симметричное (коробчатое): | |
при  независимо от отношений  | 1,75 |
при  независимо от отношений  | 1,5 |
при  и  | 1,5 |
при  и  | 1,25 |
4. Кольцевое и круглое | |
Примечание. В таблице обозначения bп и hп соответствуют размерам полки, которая при расчете по образованию трещин является растянутой, а  и - размерам полки, которая для этого случая расчета является сжатой. |
При расчете элементов с повышенной толщиной защитного слоя бетона растянутой арматуры

коэффициент

в
формуле (239) умножается на величину

(246)
4.7. Расчет железобетонных элементов по образованию трещин при воздействии температуры и многократно повторяющейся нагрузки следует производить из условия

(247)
Максимальное нормальное растягивающее напряжение в бетоне, вызванное нагрузкой, должно суммироваться с растягивающим напряжением от воздействия температуры, определяемым по
формуле (31) настоящего Руководства.
РАСЧЕТ ПО ОБРАЗОВАНИЮ ТРЕЩИН, НАКЛОННЫХ
К ПРОДОЛЬНОЙ ОСИ ЭЛЕМЕНТА
4.8. Участки на длине элемента, на которых отсутствуют наклонные трещины, определяются из условия

(248)
Для сплошных плоских плит правая часть условия увеличивается на 25%.
4.9. При действии многократно повторяющейся нагрузки в условиях воздействия температуры расчет по образованию трещин, наклонных к продольной оси элемента, должен производиться согласно
п. 4.8 настоящего Руководства, при этом расчетные сопротивления бетона
RрtII и
RпрtII вводятся в расчет с коэффициентами условий работы
mб2 и
mб2t, принимаемые по
табл. 22 и
23 настоящего Руководства.
РАСЧЕТ ЖЕЛЕЗОБЕТОННЫХ ЭЛЕМЕНТОВ ПО РАСКРЫТИЮ ТРЕЩИН
РАСЧЕТ ПО РАСКРЫТИЮ ТРЕЩИН, НОРМАЛЬНЫХ
К ПРОДОЛЬНОЙ ОСИ ЭЛЕМЕНТА
4.10. Ширина раскрытия трещин, нормальных к продольной оси элемента при воздействии повышенных и высоких температур
aт, мм, должна определяться по формуле

(249)
где k - коэффициент, принимаемый равным: для изгибаемых и внецентренно-сжатых элементов - 1; для растянутых элементов - 1,2;
cд - коэффициент, принимаемый равным при учете:
кратковременных нагрузок, кратковременного действия постоянных и длительных нагрузок - 1;
многократно повторяющейся нагрузки, а также длительного действия постоянных и длительных нагрузок для конструкций из бетонов составов (по
табл. 11 настоящего Руководства):
N 1 -
3,
6,
7,
13,
20 и
21 естественной влажности - 1,5; то же, в водонасыщенном состоянии - 1,2;

- коэффициент, принимаемый равным:
при стержневой арматуре:
периодического профиля - 1;
гладкой - 1,3;
при проволочной арматуре:
периодического профиля - 1,2;
гладкой - 1,4;

- напряжение в стержнях крайнего ряда арматуры
A, определяемое согласно
п. 4.11 настоящего Руководства;

- коэффициент армирования сечения, принимаемый равным отношению площади сечения арматуры
A к площади сечения бетона (при рабочей высоте
h0 и без учета сжатых свесов полок), но не более 0,02;
d - диаметр стержней арматуры, мм;

- коэффициент, определяемый по
табл. 35 настоящего Руководства;

- определяется по
формуле (68) настоящего Руководства в зависимости от длительности нагрева;

- принимается по
табл. 20 настоящего Руководства в зависимости от температуры бетона на уровне арматуры в зависимости от длительности нагрева.
Дополнительное раскрытие трещин, вызванное разностью температурных деформаций бетона и арматуры [второй член в скобках
формулы (249)], допускается не учитывать:
для железобетонных элементов из обычного бетона при температуре арматуры до 100 °C и из жаростойкого бетона при температуре арматуры до 70 °C;
для элементов, к трещиностойкости которых предъявляются требования 2-й категории, ширина кратковременного раскрытия трещин определяется от кратковременного действия постоянных и длительных нагрузок и длительного нагрева, а также от действия кратковременных нагрузок и кратковременного нагрева;
для элементов, к трещиностойкости которых предъявляются требования 3-й категории, ширина кратковременного раскрытия трещин определяется как сумма ширины раскрытия от длительного действия постоянных и длительных нагрузок и длительного нагрева и приращения ширины раскрытия от действия кратковременной нагрузки и кратковременного нагрева. Ширина длительного раскрытия трещин определяется от длительного действия постоянных и длительных нагрузок и длительного нагрева.
Если центр тяжести площади сечения стержней крайнего ряда арматуры
A изгибаемых, внецентренно-сжатых, внецентренно-растянутых при
e0 >= 0,8
h0 элементов отстоит от наиболее растянутого волокна бетона на расстоянии
c, большем 0,2
h, величина
aт, определенная по
формуле (249), должна умножаться на коэффициент
kс, равный

(250)
и принимаемый не более 3.
Для элементов из бетона проектной марки М100 и ниже величина
aт, определенная по
формуле (249), должна быть увеличена на 30%.
4.11. Напряжения в растянутой арматуре

должны определяться по формулам:
для центрально-растянутых элементов

(251)
для изгибаемых элементов

(252)
для внецентренно-сжатых, а также внецентренно-растянутых при e0 >= 0,8h0 элементов

(253)
Для внецентренно-растянутых элементов при
e0 >= 0,8
h0 величина

определяется по
формуле (253), принимая
z1 равным
zа - расстоянию между центрами тяжести арматуры
A и
A'.
В
формуле (253) знак плюс принимается при внецентренном растяжении, а знак минус - при внецентренном сжатии. При расположении растягивающей продольной силы
N между центрами тяжести арматуры
A и
A' значение
eа принимается со знаком минус.
z1 - расстояние от центра тяжести площади сечения арматуры
A до точки приложения равнодействующей усилий в сжатой зоне сечения над трещиной, определяемое согласно указаниям
п. 4.20 настоящего Руководства, принимая

для кратковременного действия нагрузки и нагрева.
При расположении растянутой арматуры в несколько рядов по высоте сечения в изгибаемых, внецентренно-сжатых, а также внецентренно-растянутых при
e0 >= 0,8
h0 элементах напряжения

, подсчитанные по
формулам (252) и
(253), должны умножаться на коэффициент

, равный

(254)
a и c - расстояния от центра тяжести площади сечения арматуры A соответственно всей и крайнего ряда стержней до наиболее растянутого волокна бетона.
Величина

с учетом коэффициента

не должна превышать
RаtII для стержневой арматуры и 0,8
RаtII для проволочной арматуры.
Для изгибаемых элементов допускается определять

по формуле

(255)

(256)
где Mрасч - момент от действия полной нагрузки с коэффициентом перегрузки n > 1;
Fа.факт - фактическая площадь принятой арматуры;
Fа.теор - площадь арматуры, требуемая по расчету прочности.
РАСЧЕТ ПО РАСКРЫТИЮ ТРЕЩИН, НАКЛОННЫХ
К ПРОДОЛЬНОЙ ОСИ ЭЛЕМЕНТА
4.12. Ширина раскрытия трещин, наклонных к продольной оси элемента aт, мм, в изгибаемых элементах, армированных поперечной арматурой при воздействии повышенных и высоких температур, должна определяться по формуле

(257)

(258)
но не менее 8·103;
dмакс - наибольший из диаметров хомутов и отогнутых стержней;

- коэффициент, принимаемый по
табл. 35 настоящего Руководства в зависимости от наибольшей температуры нагрева поперечной арматуры;

- коэффициент насыщения балки поперечной арматурой, равной

(259)
Здесь

- коэффициент насыщения балки хомутами:

(260)

- коэффициент насыщения балки отогнутыми стержнями:

(261)

(262)
Здесь Q - наибольшая поперечная сила на рассматриваемом участке элемента с постоянным насыщением поперечной арматурой.
При расчете рассматриваются сечения, расположенные на расстояниях от опоры, не меньших h0.
Для элементов из бетонов марки М100 и ниже величина
aт, вычисленная по
формуле (257), увеличивается на 30%.
При определении ширины кратковременного и длительного раскрытия наклонных трещин должны учитываться указания
п. 4.10 настоящего Руководства об учете длительности действия нагрузок и нагрева.
4.13. Расчет железобетонных элементов по закрытию трещин при температурном воздействии производится, согласно
пп. 4.19 -
4.21 главы СНиП II-21-75, принимая расчетное сопротивление арматуры
RаtII.
Напряжения растяжения в напрягаемой арматуре A и сжатия в бетоне должны определяться от действия постоянных, длительных и кратковременных нагрузок и усилий от длительного и кратковременного нагрева.
РАСЧЕТ ЭЛЕМЕНТОВ ЖЕЛЕЗОБЕТОННЫХ КОНСТРУКЦИЙ ПО ДЕФОРМАЦИЯМ
4.14. Деформации (прогибы, углы поворота) элементов железобетонных конструкций, подверженных воздействию повышенных и высоких температур, должны вычисляться по формулам строительной механики, определяя входящие в них величины кривизны в соответствии с
пп. 4.15 -
4.22 настоящего Руководства.
4.15. Величина кривизны определяется:
а) для участков элемента, где в растянутой зоне не образуются трещины, нормальные к продольной оси элемента, либо они закрыты - как для сплошного тела;
б) для участков элемента, где в растянутой зоне имеются трещины, нормальные к продольной оси элемента, вызванные нагрузкой и воздействием температуры - как отношение разности средних деформаций крайнего волокна сжатой зоны бетона и продольной растянутой арматуры к рабочей высоте сечения элемента.
Элементы или участки элементов рассматриваются без трещин в растянутой зоне, если трещины не образуются при действии постоянных, длительных и кратковременных нагрузок, длительного и кратковременного нагрева или они закрыты при действии постоянных, длительных нагрузок и длительного нагрева; при этом нагрузки вводятся в расчет с коэффициентом перегрузки n = 1, усилия, вызванные воздействием температуры с коэффициентом перегрева nt = 1.
ОПРЕДЕЛЕНИЕ КРИВИЗНЫ ЖЕЛЕЗОБЕТОННЫХ ЭЛЕМЕНТОВ НА УЧАСТКАХ
БЕЗ ТРЕЩИН В РАСТЯНУТОЙ ЗОНЕ
4.16. На участках, где не образуются нормальные к продольной оси трещины, полная величина кривизны изгибаемых, внецентренно-сжатых и внецентренно-растянутых элементов должна определяться по формуле

(263)
где

и

- кривизны соответственно от кратковременных нагрузок и кратковременного нагрева (определяемых согласно
п. 1.16 настоящего Руководства) и от длительного действия постоянных и длительных нагрузок и длительного нагрева, определяемые по формуле

(264)
здесь

- момент от соответствующей внешней нагрузки и нагрева относительно оси, нормальной к плоскости действия изгибающего момента и проходящей через центр тяжести приведенного сечения;
c - коэффициент, учитывающий влияние длительной ползучести бетона при расчете на длительный нагрев, принимается по
табл. 50 настоящего Руководства в зависимости от средней температуры бетона сжатой зоны сечения (см.
п. 4.19 настоящего Руководства);
kп - коэффициент, принимаемый согласно
п. 1.28 настоящего Руководства;
Iп - момент инерции приведенного сечения, определяемый согласно
п. 1.28 настоящего Руководства.
Номера составов бетона по табл. 11 настоящего Руководства | Коэффициент c, учитывающий влияние длительной ползучести бетона на деформации элемента без трещин, при средней температуре бетона сжатой зоны сечения, °C |
50 | 70 | 100 | 200 | 300 | 400 | 500 | 600 | 700 | 800 |
| 3 | 4 | 3,5 | 4 | 4,5 | - | - | - | - | - |
| 3 | 4 | 3,5 | 3,5 | 3,5 | 5 | 7 | 8 | 10 | - |
| 3,5 | 4,5 | 4 | 4 | 8 | 11 | 15 | 20 | - | - |
| 3 | 3 | 3 | 3 | 3,5 | 7 | 10 | 13 | 16 | 20 |
Примечания: 1. Коэффициент c для кратковременного действия нагрузки или нагрева принимается равным 1. 2. Коэффициент c для промежуточных значений температур принимается по интерполяции. 3. При наличии в элементе сжатой арматуры  величина коэффициента c умножается на 0,8. |
4.17. При определении кривизны участков элементов с начальными трещинами в сжатой зоне, вызванных воздействием температуры, величины

и

, определяемые по
формуле (264), должны быть увеличены на 15%.
4.18. На участках, где образуются нормальные трещины, но при действии рассматриваемой нагрузки обеспечено их закрытие, величины кривизн

и

, входящие в
формулу (263), увеличиваются на 20%.
ОПРЕДЕЛЕНИЕ КРИВИЗНЫ ЖЕЛЕЗОБЕТОННЫХ ЭЛЕМЕНТОВ НА УЧАСТКАХ
С ТРЕЩИНАМИ В РАСТЯНУТОЙ ЗОНЕ
4.19. На участках, где образуются нормальные к продольной оси элемента трещины, кривизны изгибаемых, внецентренно-сжатых, а также внецентренно-растянутых при
e0 >= 0,8
h0 элементов прямоугольного, таврового и двутаврового (коробчатого) сечений должны определяться по формуле

(265)
Для изгибаемых элементов последнее слагаемое правой части
формулы (265) принимается равным нулю.
Mз - момент (заменяющий) относительно оси, нормальной к плоскости действия момента и проходящей через центр тяжести площади сечения арматуры A, от всех внешних сил и усилий, вызванных воздействием температуры, расположенных по одну сторону от рассматриваемого сечения:
для изгибаемых элементов - Mз = M1;
для внецентренно-сжатых и внецентренно-растянутых элементов - Mз = Neа;
z1 - расстояние от центра тяжести площади сечения арматуры
A до точки приложения равнодействующей усилий в сжатой зоне сечения над трещиной (плечо внутренней пары сил), определяемое по
п. 4.20 настоящего Руководства;

- коэффициент, учитывающий работу растянутого бетона на участке с трещинами и определяемый по
п. 4.21 настоящего Руководства;

- коэффициент, учитывающий неравномерность распределения деформаций крайнего сжатого волокна бетона по длине участка с трещинами и принимаемый равным:
для обычного и жаростойкого бетонов марок выше М100 - 0,9;
для жаростойкого бетона марок М100 и ниже - 0,7;
для конструкций, рассчитываемых на действие многократно повторяющейся нагрузки, независимо от вида и марки бетона - 1;

- определяется согласно
п. 4.20 настоящего Руководства;

- коэффициент, принимаемый по
табл. 35 настоящего Руководства в зависимости от температуры растянутой арматуры;

- коэффициент, принимаемый по
табл. 16 настоящего Руководства в зависимости от средней температуры бетона сжатой зоны;

- коэффициент, характеризующий упругопластическое состояние растянутой арматуры и принимаемый по
табл. 38 настоящего Руководства в зависимости от температуры арматуры;

- коэффициент, характеризующий упругопластическое состояние бетона сжатой зоны и принимаемый по
табл. 19 настоящего Руководства для средней температуры бетона сжатой зоны;
N - продольная сила (при внецентренном растяжении сила N принимается со знаком минус).
Среднюю температуру бетона сжатой зоны сечения допускается принимать:
для прямоугольных сечений - по температуре бетона на расстоянии 0,2h0 от края сжатой грани сечения;
для тавровых и двутавровых сечений - по средней температуре бетона сжатой полки.
4.20. Величина

вычисляется по формуле

(266)
но принимается не более 1; при этом

принимается не менее 0,5.
Для второго слагаемого правой части
формулы (266) верхние знаки принимаются при сжимающем, а нижние - при растягивающем усилии
N (см.
п. 4.19 настоящего Руководства). Для изгибаемых элементов последнее слагаемое правой части
формулы (266) принимается равным нулю.

(267)

(268)

(269)
eа - эксцентриситет силы
N относительно центра тяжести площади сечения арматуры
A соответствует заменяющему моменту
Mз (см.
п. 4.19 настоящего Руководства) и определяется по формуле

(270)
Величина z1 вычисляется по формуле

(271)
Для внецентренно-сжатых элементов величина z1 должна приниматься не более 0,97eа.
Для элементов прямоугольного сечения и таврового с полкой в растянутой зоне в
формулы (268),
(269) и
(271) вместо величины

подставляется величина 2
a' или

, соответственно при наличии или отсутствии арматуры
A'.
Расчет сечений, имеющих полку в сжатой зоне, при

производится как прямоугольных шириной

.
Расчетная ширина полки

определяется согласно
п. 3.26 настоящего Руководства.
Коэффициент

определяется по
табл. 16 настоящего Руководства в зависимости от средней температуры бетона сжатой зоны.
Коэффициент

в
формуле (266) принимается по
табл. 35 настоящего Руководства в зависимости от температуры растянутой арматуры.
Коэффициент упругости бетона

определяется по
табл. 18 настоящего Руководства в зависимости от температуры бетона на уровне сжатой арматуры.
4.21. Величина коэффициента

для конструкций из обычного и жаростойкого бетонов определяется по формуле

(272)
но принимается не более 1, при этом eа/h0 принимается не менее 1,2/s.
Для изгибаемых элементов последний член в правой части
формулы (272) принимается равным нулю.
s - коэффициент, учитывающий влияние длительности действия нагрузки и нагрева и принимаемый по
табл. 51 настоящего Руководства;

(273)
но не более 1.
Длительность действия нагрузки и нагрева и вид продольной арматуры | Коэффициент s, учитывающий влияние длительности действия нагрузки и нагрева, при проектной марке бетона |
выше М100 | М100 и ниже |
1. Кратковременное действие нагрузки и нагрева: | | |
а) при стержневой арматуре: | | |
гладкой | 1 | 0,7 |
периодического профиля | 1,1 | 0,8 |
б) при проволочной арматуре | 1 | 0,7 |
2. Длительное действие нагрузки и нагрева (независимо от вида арматуры) | 0,8 | 0,6 |

- см.
п. 4.4 настоящего Руководства.
Для конструкций, рассчитываемых на выносливость, значение коэффициента

принимается во всех случаях равным 1.
4.22. Полная величина кривизны

для участка с трещинами в растянутой зоне должна определяться по формуле

(274)
где

- кривизна от кратковременного действия всей нагрузки и кратковременного нагрева, на которую производится расчет по деформациям;

- кривизна от кратковременного действия постоянных и длительных нагрузок и длительного нагрева;

- кривизна от длительного действия постоянных и длительных нагрузок и длительного нагрева.
Кривизны

,

и

определяются по
формуле (265), при этом величины

и

вычисляются при величинах

и

, отвечающих кратковременному действию нагрева и нагрузки, а кривизна

при величинах

и

, отвечающих длительному действию нагрузки и нагрева. Если величины

и

оказываются отрицательными, то они принимаются равными нулю.
4.23. Полный прогиб изгибаемых элементов равен сумме прогибов, обусловленных: деформацией изгиба -
fм, который определяется согласно
п. 4.24, деформацией от воздействия температуры -
ft, который принимается в соответствии с
п. 4.26, деформацией сдвига -
fQ, который учитывается для изгибаемых элементов при

, согласно
п. 4.25 настоящего Руководства.
Прогиб ft допускается не учитывать, если он приводит к уменьшению полного прогиба элемента.
4.24. Прогиб
fм, обусловленный деформацией изгиба, определяется по формуле

(275)
где

- изгибающий момент в сечении
x от действия единичной силы, приложенной по направлению искомого перемещения элемента в сечении по длине пролета, для которого определяется прогиб;

- полная величина кривизны элемента в сечении
x от нагрузки и усилий, вызванных температурой, при которой определяется прогиб; величины

определяются по
формулам (263) и
(274) соответственно для участков без трещин и с трещинами; знак

принимается в соответствии с эпюрой кривизны.
Для изгибаемых элементов постоянного сечения, имеющих трещины, на каждом участке, в пределах которого изгибающий момент не меняет знака, кривизну допускается вычислять для наиболее напряженного сечения, принимая кривизну для остальных сечений такого участка изменяющейся пропорционально значениям изгибающего момента
(рис. 29).
Рис. 29. Эпюры изгибающих моментов и кривизн
в железобетонном элементе постоянного сечения
а - схема расположения нагрузки; б - эпюра
изгибающих моментов; в - эпюра кривизн
4.25. Для изгибаемых элементов при

необходимо учитывать влияние поперечных сил на их прогиб. В этом случае прогиб
fQ, обусловленный деформацией сдвига, определяется по формуле

(276)
где

- поперечная сила в сечении
x от действия по направлению искомого перемещения единичной силы, приложенной в сечении, где определяется прогиб;

- деформация сдвига, определяемая по формуле

(277)
здесь Q(x) - поперечная сила в сечении x от действия внешней нагрузки;
G - модуль сдвига бетона (см.
п. 2.12 настоящего Руководства);

- коэффициент, определяемый по
табл. 16 настоящего Руководства в зависимости от температуры бетона в центре тяжести сечения;

- коэффициент, учитывающий влияние трещин на деформации сдвига и принимаемый равным:
на участках по длине элемента, где отсутствуют нормальные и наклонные к продольной оси элемента трещины - 1;
на участках, где имеются только наклонные к продольной оси элемента трещины - 4,8;
на участках, где имеются только нормальные или нормальные и наклонные к продольной оси элемента трещины - по формуле

(278)
M(
x) и

- соответственно момент от внешней нагрузки и усилий, вызванных температурой, и полная кривизна в сечении
x от нагрузки и усилий, вызванных температурой, при которых определяется прогиб;
Iп - приведенный момент инерции сечения, определяемый согласно
п. 1.28 настоящего Руководства;
c - коэффициент, учитывающий влияние длительной ползучести бетона при нагреве, принимаемый по
табл. 50 настоящего Руководства.
4.26. Прогиб
ft, обусловленный деформациями от неравномерного нагрева бетона по высоте сечения элемента, определяется по формуле

(279)
где

- кривизна элемента в сечении
x от воздействия температуры с учетом наличия в данном сечении трещин, вызванных усилиями от действия нагрузки или температуры, определяется согласно
пп. 1.40 и
1.43 настоящего Руководства;

- см.
п. 4.24 настоящего Руководства.
При расчете свободно опертой или консольной балки постоянной высоты с одинаковым распределением температуры бетона по высоте сечения на всей длине балки прогиб, вызванный воздействием температуры, определяют по формуле

(280)
где

- кривизна от воздействия температуры определяется согласно
пп. 1.40 и
1.43 настоящего Руководства;
s2 - коэффициент, принимаемый равным для свободно опертых балок - 1/3 и для консольных - 1/2.
Прогибы элементов конструкций из жаростойкого бетона, имеющих одностороннее армирование и сварные стыки арматуры в растянутой зоне сечения, определяются с учетом повышенной деформативности стыков. При этом кривизна элемента в пределах стыка, определенная как для целого элемента, увеличивается в 5 раз при заполнении шва раствором после сварки стыковых накладок и в 50 раз при заполнении шва до сварки, осуществляемой с учетом заданной последовательности сварки, указанной в
п. 5.44 настоящего Руководства.
4.27. Для сплошных плит толщиной менее 25 см, армированных плоскими сетками, с трещинами в растянутой зоне значения прогибов, подсчитанные по
формуле (275), умножаются на коэффициент

, принимаемый не более 1,5, где
h0 в см.
ОПРЕДЕЛЕНИЕ ЖЕСТКОСТИ СЕЧЕНИЙ ЭЛЕМЕНТОВ
4.28. На участках, где не образуются нормальные к продольной оси элемента трещины, жесткость изгибаемых, внецентренно-сжатых и внецентренно-растянутых элементов определяется по формуле

(281)
Величины
Iп,
c и
kп принимаются согласно
п. 4.16 настоящего Руководства.
4.29. На участках, где образуются нормальные к продольной оси элемента трещины в растянутой зоне, жесткость определяется:
для изгибаемых элементов по формуле

(282)
для внецентренно-сжатых и внецентренно-растянутых при e0 >= 0,8h0 и приложении продольной силы в центре тяжести приведенного сечения элементов по формуле

(283)
где
В
формуле (283) знак минус перед
z1 принимается при внецентренном сжатии, плюс - при внецентренном растяжении.
ПРИБЛИЖЕННЫЙ МЕТОД РАСЧЕТА ДЕФОРМАЦИЙ И ЖЕСТКОСТИ ЭЛЕМЕНТОВ
4.30. Для изгибаемых элементов постоянного сечения на участках, где образуются нормальные к продольной оси элемента трещины в растянутой зоне, допускается кривизну определять по формуле

(284)
где
k1 и
k2 - коэффициенты, зависящие от формы сечения, величины

и длительности действия температуры и нагрузки, определяемые по
табл. 52 настоящего Руководства;

- по
формуле (240) настоящего Руководства, в которой величина
h заменяется значением
h0 сечения.
Нагрузка и нагрев | | | Коэффициент k1 при значениях  , равных | Коэффициент k2 при значениях  , равных |
0,02 | 0,03 | 0,04 | 0,05 | 0,06 | 0,07 | 0,08 | 0,1 | 0,13 | 0,15 | 0,17 | 0,2 | 0,25 | 0,30 | 0,35 | 0,4 | 0,45 | 0,5 | < 0,04 | 0,04 - 0,08 | 0,08 - < 0,15 | 0,15 - 0,3 | 0,3 - 0,5 |
Длительные | 0 | 0 | 0,43 | 0,39 | 0,36 | 0,34 | 0,32 | 0,3 | 0,28 | 0,26 | 0,23 | 0,22 | 0,21 | 0,19 | 0,16 | 0,14 | 0,13 | 0,12 | 0,11 | 0,1 | 0,1 | 0,07 | 0,04 | 0 | 0 |
0 | 0,2 | 0,49 | 0,46 | 0,44 | 0,42 | 0,41 | 0,39 | 0,37 | 0,35 | 0,31 | 0,29 | 0,27 | 0,25 | 0,21 | 0,19 | 0,17 | 0,16 | 0,14 | 0,13 | 0,12 | 0,09 | 0,05 | 0 | 0 |
0 | 0,4 | 0,52 | 0,49 | 0,47 | 0,46 | 0,45 | 0,44 | 0,42 | 0,4 | 0,38 | 0,35 | 0,33 | 0,31 | 0,26 | 0,24 | 0,22 | 0,2 | 0,18 | 0,17 | 0,13 | 0,1 | 0,06 | 0,02 | 0 |
0 | 0,6 | 0,54 | 0,51 | 0,49 | 0,48 | 0,47 | 0,46 | 0,44 | 0,43 | 0,42 | 0,39 | 0,37 | 0,35 | 0,31 | 0,28 | 0,25 | 0,23 | 0,22 | 0,2 | 0,13 | 0,11 | 0,08 | 0,02 | 0 |
0 | 0,8 | 0,56 | 0,53 | 0,51 | 0,49 | 0,48 | 0,47 | 0,46 | 0,45 | 0,44 | 0,42 | 0,4 | 0,38 | 0,35 | 0,32 | 0,29 | 0,27 | 0,25 | 0,23 | 0,14 | 0,12 | 0,09 | 0,04 | 0 |
0 | 0,1 | 0,57 | 0,54 | 0,52 | 0,51 | 0,5 | 0,49 | 0,48 | 0,47 | 0,46 | 0,44 | 0,42 | 0,41 | 0,38 | 0,35 | 0,32 | 0,3 | 0,28 | 0,26 | 0,15 | 0,13 | 0,1 | 0,06 | 0 |
0,2 | 0 | 0,47 | 0,40 | 0,36 | 0,33 | 0,31 | 0,3 | 0,28 | 0,26 | 0,23 | 0,22 | 0,21 | 0,19 | 0,16 | 0,14 | 0,13 | 0,11 | 0,11 | 0,1 | 0,15 | 0,12 | 0,08 | 0,03 | 0 |
0,4 | 0 | - | 0,42 | 0,36 | 0,33 | 0,31 | 0,3 | 0,28 | 0,26 | 0,22 | 0,21 | 0,2 | 0,19 | 0,16 | 0,14 | 0,13 | 0,11 | 0,1 | 0,1 | 0,18 | 0,16 | 0,13 | 0,06 | 0,02 |
0,6 | 0 | - | 0,43 | 0,37 | 0,33 | 0,31 | 0,3 | 0,27 | 0,25 | 0,22 | 0,21 | 0,2 | 0,18 | 0,15 | 0,14 | 0,12 | 0,11 | 0,1 | 0,1 | 0,2 | 0,19 | 0,17 | 0,09 | 0,03 |
0,8 | 0 | - | - | 0,38 | 0,33 | 0,3 | 0,29 | 0,27 | 0,24 | 0,22 | 0,21 | 0,2 | 0,17 | 0,15 | 0,14 | 0,12 | 0,11 | 0,1 | 0,1 | 0,23 | 0,22 | 0,2 | 0,12 | 0,05 |
1,0 | 0 | - | - | 0,4 | 0,33 | 0,3 | 0,29 | 0,27 | 0,24 | 0,22 | 0,2 | 0,19 | 0,17 | 0,15 | 0,14 | 0,12 | 0,11 | 0,1 | 0,1 | 0,25 | 0,24 | 0,23 | 0,14 | 0,06 |
0,2 | 0,2 | 0,51 | 0,45 | 0,43 | 0,40 | 0,38 | 0,37 | 0,36 | 0,34 | 0,3 | 0,28 | 0,26 | 0,24 | 0,21 | 0,19 | 0,17 | 0,16 | 0,14 | 0,13 | 0,16 | 0,13 | 0,08 | 0,04 | 0 |
0,4 | 0,4 | - | 0,53 | 0,49 | 0,47 | 0,45 | 0,43 | 0,42 | 0,39 | 0,37 | 0,35 | 0,33 | 0,3 | 0,26 | 0,23 | 0,21 | 0,2 | 0,18 | 0,17 | 0,2 | 0,19 | 0,14 | 0,07 | 0,03 |
0,6 | 0,6 | - | - | 0,53 | 0,50 | 0,48 | 0,46 | 0,44 | 0,41 | 0,39 | 0,38 | 0,36 | 0,34 | 0,31 | 0,28 | 0,25 | 0,23 | 0,21 | 0,2 | 0,24 | 0,22 | 0,2 | 0,12 | 0,04 |
0,8 | 0,8 | - | - | - | 0,53 | 0,5 | 0,48 | 0,46 | 0,44 | 0,41 | 0,39 | 0,38 | 0,37 | 0,34 | 0,31 | 0,29 | 0,26 | 0,25 | 0,23 | - | 0,25 | 0,24 | 0,19 | 0,08 |
1,0 | 1,0 | - | - | - | 0,61 | 0,53 | 0,5 | 0,48 | 0,45 | 0,43 | 0,4 | 0,39 | 0,38 | 0,36 | 0,34 | 0,32 | 0,29 | 0,27 | 0,26 | - | 0,26 | 0,25 | 0,2 | 0,12 |
Кратковременные | 0 | 0 | 0,64 | 0,59 | 0,56 | 0,53 | 0,51 | 0,5 | 0,49 | 0,46 | 0,43 | 0,41 | 0,4 | 0,37 | 0,34 | 0,32 | 0,3 | 0,28 | 0,26 | 0,25 | 0,17 | 0,14 | 0,09 | 0,02 | 0 |
0 | 0,2 | 0,72 | 0,66 | 0,63 | 0,61 | 0,59 | 0,58 | 0,57 | 0,56 | 0,53 | 0,51 | 0,49 | 0,46 | 0,43 | 0,4 | 0,37 | 0,35 | 0,33 | 0,31 | 0,21 | 0,18 | 0,11 | 0,03 | 0 |
0 | 0,4 | 0,76 | 0,69 | 0,66 | 0,65 | 0,63 | 0,62 | 0,61 | 0,6 | 0,59 | 0,57 | 0,56 | 0,53 | 0,49 | 0,46 | 0,44 | 0,41 | 0,39 | 0,37 | 0,23 | 0,2 | 0,14 | 0,04 | 0 |
0 | 0,6 | 0,79 | 0,71 | 0,69 | 0,67 | 0,65 | 0,64 | 0,63 | 0,63 | 0,62 | 0,61 | 0,6 | 0,58 | 0,55 | 0,52 | 0,49 | 0,56 | 0,44 | 0,42 | 0,25 | 0,21 | 0,16 | 0,05 | 0 |
0 | 0,8 | 0,82 | 0,73 | 0,7 | 0,68 | 0,67 | 0,66 | 0,65 | 0,65 | 0,64 | 0,63 | 0,63 | 0,61 | 0,58 | 0,56 | 0,53 | 0,5 | 0,48 | 0,46 | 0,26 | 0,23 | 0,17 | 0,06 | 0 |
0 | 1,0 | 0,84 | 0,74 | 0,71 | 0,69 | 0,68 | 0,67 | 0,66 | 0,66 | 0,66 | 0,65 | 0,65 | 0,63 | 0,61 | 0,59 | 0,56 | 0,54 | 0,52 | 0,5 | 0,27 | 0,24 | 0,18 | 0,07 | 0 |
0,2 | 0 | 0,74 | 0,6 | 0,56 | 0,53 | 0,51 | 0,49 | 0,47 | 0,44 | 0,42 | 0,4 | 0,39 | 0,37 | 0,34 | 0,32 | 0,3 | 0,28 | 0,26 | 0,25 | 0,28 | 0,23 | 0,16 | 0,07 | 0 |
0,4 | 0 | - | 0,63 | 0,57 | 0,54 | 0,51 | 0,49 | 0,47 | 0,44 | 0,42 | 0,4 | 0,39 | 0,37 | 0,34 | 0,32 | 0,3 | 0,28 | 0,26 | 0,25 | 0,35 | 0,31 | 0,25 | 0,14 | 0,03 |
0,6 | 0 | - | 0,81 | 0,59 | 0,54 | 0,51 | 0,49 | 0,47 | 0,44 | 0,42 | 0,4 | 0,39 | 0,37 | 0,34 | 0,32 | 0,3 | 0,28 | 0,26 | 0,25 | 0,36 | 0,39 | 0,32 | 0,2 | 0,08 |
0,8 | 0 | - | - | 0,63 | 0,55 | 0,51 | 0,49 | 0,47 | 0,44 | 0,42 | 0,4 | 0,39 | 0,37 | 0,34 | 0,32 | 0,3 | 0,28 | 0,26 | 0,25 | 0,45 | 0,4 | 0,38 | 0,25 | 0,12 |
1,0 | 0 | - | - | 0,84 | 0,57 | 0,52 | 0,49 | 0,47 | 0,44 | 0,42 | 0,4 | 0,39 | 0,37 | 0,34 | 0,32 | 0,3 | 0,28 | 0,27 | 0,25 | 0,5 | 0,46 | 0,44 | 0,29 | 0,15 |
0,2 | 0,2 | 0,79 | 0,67 | 0,63 | 0,61 | 0,59 | 0,58 | 0,56 | 0,55 | 0,52 | 0,5 | 0,48 | 0,46 | 0,42 | 0,39 | 0,37 | 0,35 | 0,33 | 0,31 | 0,27 | 0,24 | 0,17 | 0,08 | 0 |
0,4 | 0,4 | - | 0,77 | 0,69 | 0,66 | 0,64 | 0,62 | 0,61 | 0,58 | 0,56 | 0,55 | 0,54 | 0,52 | 0,48 | 0,45 | 0,43 | 0,4 | 0,38 | 0,37 | 0,39 | 0,37 | 0,3 | 0,16 | 0,04 |
0,6 | 0,6 | - | - | 0,76 | 0,7 | 0,67 | 0,65 | 0,64 | 0,61 | 0,58 | 0,57 | 0,56 | 0,55 | 0,53 | 0,5 | 0,47 | 0,45 | 0,43 | 0,41 | 0,5 | 0,46 | 0,44 | 0,28 | 0,11 |
0,8 | 0,8 | - | - | - | 0,76 | 0,71 | 0,68 | 0,66 | 0,64 | 0,61 | 0,59 | 0,58 | 0,57 | 0,56 | 0,53 | 0,51 | 0,49 | 0,47 | 0,45 | - | 0,6 | 0,57 | 0,41 | 0,21 |
1,0 | 1,0 | - | - | - | 0,92 | 0,76 | 0,71 | 0,69 | 0,66 | 0,63 | 0,61 | 0,6 | 0,58 | 0,57 | 0,56 | 0,54 | 0,52 | 0,5 | 0,48 | - | 0,72 | 0,7 | 1,55 | 0,31 |
Значения коэффициентов
, 
,

принимаются согласно
п. 4.19 настоящего Руководства.
Жесткость изгибаемых элементов с трещинами в растянутой зоне допускается определять приближенным методом по формуле

(285)
Жесткость внецентренно сжатых элементов с трещинами в растянутой зоне с процентом армирования

и
e0 >= 0,8
h0 допускается определять приближенным методом по формуле

(286)
где
k3 - коэффициент, принимаемый по
табл. 53 настоящего Руководства для кратковременного или длительного действия нагрева и нагрузки;
rу - см.
п. 4.4 настоящего Руководства.
Нагрузка и нагрев | | | Коэффициент k3 при значениях  , равных |
0,02 | 0,03 | 0,04 | 0,05 | 0,06 | 0,07 | 0,08 | 0,1 | 0,13 | 0,15 | 0,17 | 0,2 | 0,25 | 0,3 | 0,35 | 0,4 | 0,45 | 0,5 |
Длительные | 0 | 0 | 1,12 | 1,08 | 0,99 | 0,91 | 0,87 | 0,83 | 0,79 | 0,75 | 0,7 | 0,66 | 0,63 | 0,59 | 0,54 | 0,5 | 0,47 | 0,45 | 0,42 | 0,41 |
0 | 0,2 | 1,19 | 1,14 | 1,07 | 0,99 | 0,95 | 0,88 | 0,84 | 0,79 | 0,74 | 0,69 | 0,66 | 0,62 | 0,57 | 0,53 | 0,5 | 0,47 | 0,44 | 0,42 |
0 | 0,4 | 1,25 | 1,19 | 1,15 | 1,07 | 0,99 | 0,93 | 0,89 | 0,84 | 0,79 | 0,73 | 0,69 | 0,65 | 0,61 | 0,57 | 0,54 | 0,49 | 0,46 | 0,43 |
0 | 0,6 | 1,29 | 1,24 | 1,2 | 1,12 | 1,05 | 0,97 | 0,93 | 0,89 | 0,83 | 0,77 | 0,73 | 0,69 | 0,65 | 0,6 | 0,57 | 0,52 | 0,47 | 0,44 |
0 | 0,8 | 1,32 | 1,27 | 1,23 | 1,15 | 1,09 | 1,02 | 0,97 | 0,92 | 0,87 | 0,82 | 0,77 | 0,72 | 0,68 | 0,63 | 0,59 | 0,54 | 0,49 | 0,45 |
0 | 1 | 1,34 | 1,3 | 1,25 | 1,19 | 1,13 | 1,06 | 1 | 0,95 | 0,9 | 0,86 | 0,8 | 0,74 | 0,7 | 0,65 | 0,61 | 0,56 | 0,51 | 0,46 |
Кратковременные | 0 | 0 | 1,15 | 1,11 | 1,07 | 1,04 | 1,01 | 0,99 | 0,97 | 0,94 | 0,9 | 0,88 | 0,86 | 0,84 | 0,81 | 0,78 | 0,75 | 0,73 | 0,7 | 0,68 |
0 | 0,2 | 1,17 | 1,14 | 1,09 | 1,06 | 1,03 | 1,01 | 0,99 | 0,96 | 0,93 | 0,91 | 0,89 | 0,87 | 0,84 | 0,82 | 0,79 | 0,77 | 0,74 | 0,72 |
0 | 0,4 | 1,19 | 1,16 | 1,11 | 1,08 | 1,05 | 1,03 | 1,02 | 0,98 | 0,95 | 0,94 | 0,92 | 0,9 | 0,87 | 0,85 | 0,83 | 0,8 | 0,78 | 0,76 |
0 | 0,6 | 1,2 | 1,17 | 1,12 | 1,09 | 1,07 | 1,05 | 1,03 | 1 | 0,97 | 0,96 | 0,94 | 0,92 | 0,89 | 0,87 | 0,85 | 0,83 | 0,81 | 0,79 |
0 | 0,8 | 1,21 | 1,18 | 1,13 | 1,1 | 1,08 | 1,06 | 1,04 | 1,02 | 0,99 | 0,97 | 0,96 | 0,94 | 0,91 | 0,89 | 0,87 | 0,85 | 0,83 | 0,81 |
0 | 1 | 1,23 | 1,19 | 1,14 | 1,11 | 1,09 | 1,07 | 1,05 | 1,03 | 1 | 0,98 | 0,97 | 0,95 | 0,92 | 0,9 | 0,88 | 0,86 | 0,84 | 0,83 |
4.31. Для свободно опертых или консольных балок постоянного сечения при

прогиб от нагрузки определяется по формуле

(287)
где

- кривизна в сечении с наибольшим изгибающим моментом от нагрузки, при которой определяется прогиб;
s - коэффициент, равный:
при загружении консоли:
равномерно распределенной нагрузкой - 1/4;
сосредоточенной силой на конце консоли - 1/3;
сосредоточенной силой на расстоянии a от опоры -

;
при загружении свободно опертой балки:
равномерно распределенной нагрузкой -

;
сосредоточенной силой по середине пролета -

;
двумя сосредоточенными силами, приложенными на расстоянии a от каждой
опоры, -

.
5. КОНСТРУКТИВНЫЕ ТРЕБОВАНИЯ
5.1. При проектировании бетонных и железобетонных конструкций, работающих в условиях воздействия повышенных и высоких температур, для обеспечения условий их изготовления, требуемой долговечности и совместной работы арматуры и бетона надлежит выполнять конструктивные требования, изложенные в настоящем разделе Руководства.
МИНИМАЛЬНЫЕ РАЗМЕРЫ СЕЧЕНИЯ ЭЛЕМЕНТОВ
5.2. Минимальные размеры сечения бетонных и железобетонных элементов, определяемые из расчета по действующим усилиям и соответствующим группам предельных состояний, должны назначаться с учетом экономических требований, необходимости унификации опалубочных форм и армирования, а также условий принятой технологии изготовления конструкций.
Кроме того, размеры сечения элементов железобетонных конструкций должны приниматься такими, чтобы соблюдались требования в части расположения арматуры в сечении (толщины защитных слоев бетона, расстояния между стержнями и т.п.) и анкеровки арматуры.
5.3. Минимальные размеры сечений ограждающих элементов конструкций устанавливаются теплотехническим расчетом.
Толщина монолитных плит покрытий и перекрытий из тяжелого и облегченного жаростойкого бетона должна приниматься не менее 60 мм, сводов и куполов - не менее 40 мм, плит из легкого жаростойкого бетона - не менее 60 мм. Минимальная толщина сборных плит должна определяться из условий обеспечения толщин защитных слоев бетона и условий расположения арматуры по толщине плиты (см.
пп. 5.4 -
5.12 настоящего Руководства).
Размеры сечений внецентренно-сжатых бетонных и железобетонных элементов при воздействии повышенных и высоких температур должны приниматься такими, чтобы их гибкость

в любом направлении не превышала предельной величины, указанной в
табл. 54 настоящего Руководства.
Элементы | Предельная гибкость  внецентренно-сжатых элементов при температуре бетона в центре тяжести сечения, °C |
50 - 100 | 300 | 500 | 700 | 900 |
Бетонные | 85 | 60 | 50 | 45 | 35 |
Железобетонные | 125 | 90 | 55 | - | - |
Примечания: 1. Для железобетонных элементов с односторонним армированием предельные гибкости принимаются, как для бетонных элементов. 2. Для промежуточных значений температур предельные гибкости определяются по интерполяции. |
5.4. Защитный слой бетона для рабочей арматуры должен обеспечивать совместную работу арматуры с бетоном на всех стадиях работы конструкции, а также защиту арматуры от внешних атмосферных, температурных и т.п. воздействий.
5.5. В конструкциях из обычного бетона для продольной рабочей арматуры (ненапрягаемой и напрягаемой, натягиваемой на упоры) толщина защитного слоя должна составлять, как правило, не менее диаметра стержня или каната и не менее:
при температуре арматуры до 100 °C:
в плитах и стенках толщиной до 100 мм включительно - 10 мм;
в плитах и стенках толщиной более 100 мм, а также в балках и ребрах высотой менее 250 мм - 15 мм;
в балках и ребрах высотой 250 мм и более, а также в колоннах - 20 мм;
в фундаментных балках и в сборных фундаментах - 30 мм;
для нижней арматуры монолитных фундаментов: при наличии бетонной подготовки - 35 мм, при отсутствии бетонной подготовки - 70 мм;
при температуре арматуры выше 100 °C - увеличенной на 5 мм и быть не менее 1,5 диаметра арматуры.
В конструкциях из жаростойкого бетона толщину защитного слоя бетона для арматуры независимо от ее вида необходимо увеличивать при температуре арматуры до 200 °C - на 5 мм, выше 200 °C - на 10 мм, при этом минимальная толщина защитного слоя бетона должна быть при температуре арматуры:
до 100 °C - 1,5d;
выше 100 до 300 °C - 2d;
выше 300 °C - 2,5d.
5.6. В конструкциях из обычного бетона толщина защитного слоя бетона для поперечной, распределительной и конструктивной арматуры должна приниматься не менее диаметра указанной арматуры и не менее:
при температуре нагрева арматуры до 100 °C:
при h < 250 мм - 10 мм;
при h >= 250 мм - 15 мм;
при температуре нагрева арматуры выше 100 °C и в конструкциях из жаростойкого бетона - согласно
п. 5.5 настоящего Руководства.
5.7. Толщина защитного слоя бетона у концов предварительно напряженных элементов из обычного и жаростойкого бетонов на участке зоны передачи усилий от арматуры на бетон (см.
п. 2.30 главы СНиП II-21-75) должна составлять не менее:
при температуре арматуры до 100 °C:
для стержневой арматуры классов А-IV (Ат-IV) и ниже, а также для арматурных канатов - 2d;
для стержневой арматуры классов А-V (Ат-V) и Ат-VI - 3d;
при температуре нагрева арматуры выше 100 °C - увеличенной на 0,5d.
Кроме того, толщина защитного слоя бетона на указанном участке длины элемента должна быть не менее 40 мм для стержневой арматуры всех классов и не менее 20 мм для арматурных канатов.
5.8. При воздействии повышенных температур в элементах с напрягаемой продольной арматурой, натягиваемой на бетон и располагаемой в каналах, расстояние от поверхности элемента до поверхности канала должно приниматься не менее 50 мм и не менее ширины канала; указанное расстояние до боковых граней элемента должно быть, кроме того, не менее половины высоты канала.
При расположении напрягаемой арматуры в пазах или снаружи сечения элемента толщина защитного слоя бетона, образуемого последующим торкретированием или иным способом, должна приниматься не менее 30 мм.
5.9. При температуре арматуры до 100 °C концы продольных рабочих стержней ненапрягаемой арматуры, не привариваемых к анкерующим деталям, должны отстоять от торца элемента на расстоянии, не менее указанного в
табл. 55 настоящего Руководства. Концы напрягаемой арматуры, а также анкеры должны быть защищены слоем раствора не менее 10 мм или бетона не менее 15 мм.
Железобетонные элементы | Минимальное расстояние, мм, между торцом элемента и концами рабочих стержней продольной арматуры при ее температуре до 100 °C |
А. Сборные | |
1. Плиты перекрытий, стеновые панели пролетом до 12 м включительно | 10 |
2. Колонны длиной: | |
до 18 м включительно | 10 |
более 18 м | 15 |
3. Опоры, мачты любой длины | 15 |
4. Прочие элементы пролетом (длиной) до 9 м включительно | 10 |
Б. Монолитные | |
5. Длиной до 6 м включительно при диаметре стержней арматуры до 28 мм включительно | 15 |
6. Длиной более 6 м при диаметре стержней арматуры до 28 мм включительно | 20 |
Примечание. При температуре арматуры выше 100 °C минимальное расстояние между торцом элемента и концами рабочих стержней продольной арматуры увеличивается на 5 мм. |
5.10. В полых элементах кольцевого или коробчатого сечения расстояние от стержней продольной арматуры до внутренней поверхности бетона должно удовлетворять требованиям
пп. 5.5 и
5.6 настоящего Руководства.
МИНИМАЛЬНЫЕ РАССТОЯНИЯ МЕЖДУ СТЕРЖНЯМИ АРМАТУРЫ
5.11. Расстояния в свету между стержнями арматуры или оболочками каналов для арматуры по высоте и ширине сечения должны обеспечивать совместную работу арматуры с бетоном и назначаться с учетом удобства укладки и уплотнения бетонной смеси; для предварительно-напряженных конструкций должны также учитываться степень местного обжатия бетона и габариты натяжного оборудования (домкратов, зажимов и т.п.). В элементах, изготовляемых без применения виброплощадок или вибраторов, укрепляемых на опалубке, должно быть обеспечено свободное прохождение между арматурными стержнями наконечников штыковых вибраторов или виброштампующих элементов машин, уплотняющих бетонную смесь.
5.12. Расстояния в свету между отдельными стержнями продольной ненапрягаемой арматуры либо напрягаемой арматуры, натягиваемой на упоры, а также между продольными стержнями соседних плоских сварных каркасов должны приниматься не менее наибольшего диаметра стержней, а также:
а) если стержни при бетонировании занимают горизонтальное или наклонное положение - не менее: для нижней арматуры - 25 мм и для верхней арматуры - 30 мм; при расположении нижней арматуры более чем в два ряда по высоте расстояния между стержнями в горизонтальном направлении (кроме стержней двух нижних рядов) должны приниматься не менее 50 мм;
б) если стержни при бетонировании занимают вертикальное положение - не менее 50 мм; при систематическом контроле фракционирования заполнителей бетона это расстояние может быть уменьшено до 35 мм, но при этом должно быть не менее полуторакратного наибольшего размера крупного заполнителя.
При стесненных условиях допускается располагать стержни арматуры попарно (без зазора между ними).
В элементах с напрягаемой арматурой, натягиваемой на бетон (за исключением непрерывно-армированных конструкций), расстояние в свету между каналами для арматуры должно быть, как правило, не менее диаметра канала и во всяком случае не менее 50 мм.
Примечание. Расстояние в свету между стержнями периодического профиля принимается по номинальному диаметру без учета выступов и ребер.
АНКЕРОВКА НЕНАПРЯГАЕМОЙ АРМАТУРЫ
5.13. Стержни периодического профиля, а также гладкие арматурные стержни, применяемые в сварных каркасах и сетках, выполняются без крюков. Растянутые гладкие стержни вязаных каркасов и вязаных сеток должны заканчиваться полукруглыми крюками, лапками или петлями.
5.14. Продольные стержни растянутой и сжатой арматуры должны быть заведены за нормальное к продольной оси элемента сечение, в котором они учитываются с полным расчетным сопротивлением, на длину не менее
lан, определяемую по формуле

(288)
но не менее

, где значения
mан,

и

, а также допускаемые минимальные величины
lан определяются по
табл. 56 настоящего Руководства. При этом гладкие арматурные стержни должны оканчиваться крюками или иметь приваренную поперечную арматуру по длине заделки.
Условия работы ненапрягаемой арматуры | Параметры для определения анкеровки ненапрягаемой арматуры |
периодического профиля | гладкой |
mан | | | lан, мм | mан | | | lан, мм |
не менее | не менее |
1. Заделка растянутой арматуры в растянутом бетоне | 0,7 | 11 | 20 | 250 | 1,2 | 11 | 20 | 250 |
2. Заделка сжатой или растянутой арматуры в сжатом бетоне | 0,5 | 8 | 12 | 200 | 0,8 | 8 | 15 | 200 |
3. Стыки арматуры внахлестку в растянутом бетоне | 0,9 | 11 | 20 | 250 | 1,55 | 11 | 20 | 250 |
4. Стыки арматуры внахлестку в сжатом бетоне | 0,65 | 8 | 15 | 200 | 1 | 8 | 15 | 200 |
Если вдоль анкеруемых стержней образуются трещины от растяжения бетона, то стержни должны быть заделаны в сжатую зону бетона на длину
lан, определяемую по
формуле (288).
Если анкеруемые стержни поставлены с запасом по площади сечения против требуемой расчетом по прочности, то при определении
lан по
формуле (288) значение
Rаt должно умножаться на величину, равную отношению необходимой по расчету и фактической площади сечения арматуры.
При невозможности выполнения этих требований должны быть приняты меры по анкеровке продольных стержней для обеспечения их работы с полным расчетным сопротивлением в рассматриваемом сечении (постановка косвенной арматуры, приварка к концам стержней анкерующих пластин или закладных деталей, отгиб анкерующих стержней). При этом величина lан должна быть не менее 12d.
При температуре арматуры выше 200 °C величину
lан, определяемую по
формуле (288), следует увеличивать на 20%; к каждому растянутому продольному стержню необходимо предусматривать приварку не менее двух поперечных стержней.
5.15. Для обеспечения анкеровки всех продольных стержней арматуры, доходящих до опоры, на крайних свободных опорах изгибаемых элементов должны выполняться следующие требования:
а) если соблюдается
условие (180), длина запуска растянутых стержней за внутреннюю грань свободной опоры должна составлять не менее 6
d;
б) если
условие (180) не соблюдается, длина запуска стержней за внутреннюю грань свободной опоры должна быть не менее 12
d.
Длина зоны анкеровки
lан на крайней свободной опоре, на которой снижаются расчетные сопротивления арматуры (см.
табл. 32 настоящего Руководства), определяется согласно
п. 5.14 настоящего Руководства и
п. 2 табл. 56.
При наличии косвенной арматуры (сварных поперечных сеток или охватывающих продольную арматуру хомутов) длина зоны анкеровки
lан снижается путем деления коэффициента
mан на величину

и уменьшения коэффициента

на величину

.
Здесь

- объемный коэффициент армирования, определяемый по
п. 5.15 главы СНиП II-21-75.
Напряжение сжатия бетона на опоре определяется делением опорной реакции на площадь опирания элемента и принимается не более 0,5Rпрt.
Косвенное армирование распределяется по длине зоны анкеровки от торца элемента до ближайшей к опоре нормальной трещины.
Длина запуска стержней за внутреннюю грань опоры уменьшается против требуемой настоящим пунктом, если величина lан < 12d, и принимается равной lан, но не менее 6d. В этом случае, а также при приварке концов стержней к надежно заанкеренным стальным закладным деталям, снижение расчетного сопротивления продольной арматуры на опорном участке не производится.
ПРОДОЛЬНОЕ АРМИРОВАНИЕ ЭЛЕМЕНТОВ
5.16. Площадь сечения продольной арматуры в железобетонных элементах из обычного и жаростойкого бетона (в процентах от площади сечения бетона) должна приниматься не менее указанной в
табл. 57 настоящего Руководства.
Характеристика положения арматуры и характер работы элемента | Минимальная площадь сечения продольной арматуры в железобетонных элементах из обычного и жаростойкого бетонов (в % от площади сечения бетона) |
1. Арматура A во всех изгибаемых, а также во внецентренно-растянутых элементах при расположении продольной силы за пределами рабочей высоты сечения | 0,05 |
2. Арматура A и A' во внецентренно-растянутых элементах при расположении продольной силы между арматурой A и A' |
3. Арматура A и A' во внецентренно-сжатых элементах при: | |
а) l0/r < 17 | 0,05 |
б) 17 <= l0/r <= 35 | 0,1 |
в) 35 <= l0/r <= 83 | 0,2 |
г) l0/r > 83 | 0,25 |
Примечание. Минимальная площадь сечения арматуры, приведенная в табл. 57, относится к площади сечения бетона, равной произведению ширины прямоугольного сечения, либо ширины ребра таврового (двутаврового) сечения b на расчетную рабочую высоту сечения h0. В элементах с продольной арматурой, расположенной равномерно по контуру сечения, а также в центрально-растянутых элементах указанная величина минимального армирования относится к полной площади сечения бетона. |
В элементах с продольной арматурой, расположенной равномерно по контуру сечения, а также в центрально-растянутых элементах минимальная площадь сечения всей продольной арматуры должна приниматься вдвое больше величин, указанных в
табл. 57 настоящего Руководства.
Минимальный процент содержания арматуры A и A' во внецентренно-сжатых элементах, несущая способность которых при расчетном эксцентриситете используется менее чем на 50%, независимо от гибкости элементов принимается равным 0,05.
Требования
табл. 57 настоящего Руководства не распространяются на армирование, определяемое расчетом элемента для стадии транспортирования и возведения; в этом случае площадь сечения арматуры определяется только расчетом по прочности.
Если расчетом установлено, что несущая способность элемента исчерпывается одновременно с образованием трещин в бетоне растянутой зоны, то должны учитываться требования
п. 1.20 настоящего Руководства для слабоармированных элементов.
Требования настоящего пункта не учитываются при назначении площади сечения арматуры, устанавливаемой по контуру плит или панелей из расчета на изгиб в плоскости плиты (панели).
5.17. Диаметр продольной растянутой и сжатой рабочей арматуры не должен превышать при температуре арматуры:
до 100 °C - 28 мм;
выше 100 до 200 °C - 25 мм;
выше 200 до 300 °C - 20 мм;
выше 300 до 400 °C - 16 мм;
выше 400 °C - 12 мм.
Диаметр продольных стержней сжатых элементов монолитных конструкций должен быть не менее 12 мм.
5.18. В линейных внецентренно-сжатых элементах расстояние между осями стержней продольной арматуры должно приниматься не более 400 мм.
5.19. Во внецентренно-сжатых элементах, несущая способность которых при заданном эксцентриситете продольной силы используется менее чем на 50%, а также в элементах с гибкостью
l0/
r < 17 (например, подколонники), где по расчету сжатая арматура не требуется, а количество растянутой арматуры не превышает 0,3%, допускается не устанавливать продольную и поперечную арматуру, требуемую согласно
пп. 5.18,
5.22 и
5.23 настоящего Руководства по граням, параллельным плоскости изгиба. При этом армирование по граням, перпендикулярным к плоскости изгиба, производится сварными каркасами и сетками с толщиной защитного слоя бетона не менее двух диаметров продольной арматуры.
5.20. В балках шириной более 150 мм число продольных рабочих стержней, доводимых до опоры, должно быть не менее двух. В ребрах сборных панелей, настилов, часторебристых перекрытий и т.п. шириной 150 мм и менее допускается доведение до опоры одного продольного рабочего стержня.
В плитах расстояния между стержнями, доводимыми до опоры, не должны превышать 400 мм, причем площадь сечения этих стержней на 1 м ширины плиты должна составлять не менее 1/3 площади сечения стержней в пролете, определенной расчетом по наибольшему изгибающему моменту.
При армировании неразрезных плит сварными рулонными сетками допускается вблизи промежуточных опор все нижние стержни отгибать в верхнюю зону.
Расстояния между осями рабочих стержней в средней части пролета плиты и над опорой (вверху) должны быть не более 200 мм при толщине плиты до 150 мм и не более 1,5h - при толщине плиты более 150 мм (где h - толщина плиты).
5.21. В изгибаемых элементах при высоте сечения более 700 мм у боковых граней должны ставиться конструктивные продольные стержни с расстояниями между ними по высоте не более 400 мм и площадью сечения не менее 0,1% площади сечения бетона с размерами: по высоте элемента - равными расстоянию между этими стержнями, и по ширине элемента - равными половине ширины ребра элемента, но не более 200 мм.
ПОПЕРЕЧНОЕ АРМИРОВАНИЕ ЭЛЕМЕНТОВ
5.22. У всех поверхностей железобетонных элементов, вблизи которых ставится продольная арматура, должна предусматриваться также поперечная арматура, охватывающая крайние продольные стержни. При этом расстояния между поперечными стержнями у каждой поверхности элемента должны быть не более 500 мм и не более удвоенной ширины грани элемента.
Поперечную арматуру допускается не ставить у граней тонких ребер изгибаемых элементов (шириной 150 мм и менее), по ширине которых располагается лишь один продольный стержень или сварной каркас.
Во внецентренно-сжатых линейных элементах, а также в сжатой зоне изгибаемых элементов при наличии учитываемой в расчете сжатой продольной арматуры хомуты должны ставиться на расстояниях: при Rа.с <= 4000 кгс/см2 - не более 500 мм и при вязаных каркасах не более 15d, а при сварных - не более 20d; при Rа.с >= 4500 кгс/см2 - не более 400 мм и при вязаных каркасах не более 12d, а при сварных - не более 15d (где d - наименьший диаметр сжатых продольных стержней). При этом конструкция поперечной арматуры должна обеспечивать закрепление сжатых стержней от их бокового выпучивания в любом направлении.
Расстояния между хомутами внецентренно-сжатых элементов в местах стыкования рабочей арматуры внахлестку без сварки должны составлять не более 10d.
Если общее насыщение элемента продольной арматурой составляет более 3%, хомуты должны устанавливаться на расстояниях не более 10d и не более 300 мм.
При проверке соблюдения требований настоящего пункта продольные сжатые стержни, не учитываемые расчетом, не должны приниматься во внимание, если диаметр этих стержней не превышает 12 мм и не более половины толщины защитного слоя бетона.
5.23. Конструкция вязаных хомутов во внецентренно-сжатых элементах должна быть такова, чтобы продольные стержни (по крайней мере через один) располагались в местах перегиба хомутов, а эти перегибы - на расстоянии не более 400 мм по ширине грани элемента. При ширине грани не более 400 мм и числе продольных стержней у этой грани не более четырех допускается охват всех продольных стержней одним хомутом.
При армировании внецентренно-сжатых элементов плоскими сварными каркасами два крайних каркаса (расположенных у противоположных граней) должны быть соединены друг с другом для образования пространственного каркаса. Для этого у граней элемента, нормальных к плоскости каркасов, должны ставиться поперечные стержни, свариваемые контактной точечной сваркой с угловым продольным стержнем каркасов, или шпильки, связывающие эти стержни; расстояния между приваренными поперечными стержнями должны быть не более 20d, а между шпильками - 15d (где d - наименьший из диаметров сжатых продольных стержней).
Если крайние плоские каркасы имеют промежуточные продольные стержни, то последние по крайней мере через один и не реже, чем через 400 мм по ширине грани элемента должны связываться с продольными стержнями, расположенными у противоположной грани, при помощи шпилек, устанавливаемых по длине элемента на тех же расстояниях, что и поперечные стержни плоских каркасов. Шпильки допускается не ставить при ширине данной грани элемента не более 500 мм, если число продольных стержней у этой грани не превышает четырех.
5.24. Диаметр хомутов в вязаных каркасах внецентренно-сжатых линейных элементов должен приниматься не менее 0,25d и не менее 5 мм (где d - наибольший диаметр продольных стержней).
Диаметр хомутов в вязаных каркасах изгибаемых элементов должен приниматься не менее:
при h <= 300 мм - 6 мм;
при h > 300 мм - 8 мм.
Соотношение диаметров поперечных и продольных стержней в сварных каркасах и в сварных сетках устанавливается из условия сварки по соответствующим нормативным документам.
5.25. В балках и ребрах высотой более 150 мм, а также в многопустотных сборных плитах (или аналогичных часторебристых конструкциях) высотой более 300 мм должна всегда устанавливаться вертикальная поперечная арматура.
В сплошных плитах, а также в балках и ребрах высотой 150 мм и менее и в многопустотных сборных плитах (или аналогичных часторебристых конструкциях) высотой 300 мм и менее допускается поперечную арматуру не устанавливать, при этом должны быть обеспечены требования расчета согласно
п. 3.59 настоящего Руководства.
5.26. Расстояние между вертикальными поперечными стержнями в элементах, не имеющих отогнутой арматуры, в случаях, когда поперечная арматура требуется по расчету либо по конструктивным соображениям, указанным в
п. 5.25 настоящего Руководства, должно приниматься:
а) на приопорных участках (равных при равномерной нагрузке 1/4 пролета, а при сосредоточенных нагрузках - расстоянию от опоры до ближайшего груза, но не менее 1/4 пролета):
при высоте сечения h <= 450 мм - не более h/2 и не более 150 мм;
при высоте сечения h > 450 мм - не более h/3 и не более 500 мм;
б) на остальной части пролета при высоте сечения h > 300 мм более 1/4h и не более 500 мм.
5.27. Поперечная арматура, устанавливаемая в плитах в зоне продавливания, должна иметь анкеровку по концам, выполненную приваркой или охватом продольной арматуры.
Расстояние между поперечными стержнями принимается не более 1/3h и не более 200 мм (где h - толщина плиты). Ширина зоны постановки поперечной арматуры должна быть не менее 1,5h.
5.28. Отогнутые стержни ненапрягаемой арматуры должны предусматриваться в изгибаемых элементах при армировании их вязаными каркасами и в коротких консолях. Отгибы стержней должны осуществляться по дуге радиуса не менее 10
d. В изгибаемых элементах на концах отогнутых стержней должны устраиваться прямые участки длиной не менее 0,8
lан, принимаемой согласно
п. 5.14 настоящего Руководства, но не менее 25
d в растянутой и 12
d в сжатой зонах.
Начало отгиба в растянутой зоне должно отстоять от нормального сечения, в котором отгибаемый стержень используется по расчету, не менее чем на 0,5h0, а конец отгиба должен быть расположен не ближе того нормального сечения, в котором отгиб не требуется по расчету.
5.29. Поперечное армирование коротких консолей должно выполняться следующим образом:
при
h <= 2,5
a - консоль армируется наклонными хомутами по всей высоте (см.
рис. 22 и
30,
а);
при
h > 2,5
a - консоль армируется отогнутыми стержнями и горизонтальными хомутами по всей высоте (см.
рис. 30,
б);
при h > 3,5a и Q <= Rрtbh0 отогнутые стержни допускается не устанавливать (здесь h - принимается в опорном сечении консоли).
Рис. 30. Схема армирования коротких консолей
а - наклонными хомутами; б - отогнутыми стержнями
и горизонтальными хомутами
Во всех случаях шаг хомутов должен быть не более
h/4 и не более 150 мм; диаметр отогнутых стержней должен быть не более
1/
15 длины отгиба
lот и не более 25 мм (
рис. 30,
б).
Суммарная площадь сечения отогнутых стержней и наклонных хомутов, пересекающих верхнюю половину линии длиной
l, соединяющей точки приложения силы
Q и сопряжения нижней грани консоли и колонны (
рис. 30,
б), должна быть не менее 0,002
bh0.
СВАРНЫЕ СОЕДИНЕНИЯ АРМАТУРЫ
5.30. Арматура железобетонных конструкций из горячекатаной стали периодического профиля, горячекатаной гладкой стали и обыкновенной арматурной проволоки должна, как правило, изготовляться с применением для соединения стержней контактной сварки - точечной и стыковой, а также в указанных ниже случаях дуговой (ванной и протяженными швами) сварки.
Сварные соединения стержневой термически упрочненной арматуры, высокопрочной арматурной проволоки и арматурных канатов, как правило, не допускается.
Типы сварных соединений арматуры должны назначаться и выполняться в соответствии с указаниями государственных стандартов и нормативных документов на сварную арматуру и закладные детали для железобетонных конструкций (см.
прил. 4).
5.31. Контактная точечная сварка применяется при изготовлении сварных каркасов, сеток и закладных деталей с нахлесточными соединениями стержней.
5.32. Контактная стыковая сварка применяется для соединения по длине заготовок арматурных стержней. Диаметр соединяемых стержней при этом должен быть не менее 10 мм.
Контактную сварку стержней диаметром менее 10 мм допускается применять только в заводских условиях при наличии специального оборудования.
5.33. Дуговая сварка должна применяться:
а) для соединения стержней ненапрягаемой арматуры из горячекатаных сталей диаметром 8 мм и более между собой и с сортовым прокатом (закладными деталями) в условиях монтажа, а также с анкерными закрепляющими устройствами;
б) при изготовлении стальных закладных деталей и для соединения их на монтаже между собой в стыках сборных железобетонных конструкций;
в) для соединения стержней напрягаемой арматуры с анкерными коротышами или петлями, используемыми для натяжения, а после спуска натяжения - с анкерными шайбами или анкерными плитами.
5.34. При отсутствии оборудования для контактной сварки допускается применять дуговую сварку в следующих случаях:
а) для соединения по длине заготовок арматурных стержней из горячекатаных сталей диаметром 8 мм и более;
б) при выполнении сварных соединений, рассчитываемых по прочности, в сетках и каркасах с обязательными дополнительными конструктивными элементами в местах соединения стержней продольной и поперечной арматуры (косынки, лапки, крюки и т.п.).
СТЫКИ НЕНАПРЯГАЕМОЙ АРМАТУРЫ ВНАХЛЕСТКУ (БЕЗ СВАРКИ)
5.35. Стыки ненапрягаемой рабочей арматуры внахлестку применяются при стыковании как сварных, так и вязаных каркасов и сеток.
Стыки стержней рабочей арматуры внахлестку не рекомендуется располагать в растянутой зоне изгибаемых и внецентренно-растянутых элементов в местах полного использования арматуры. Такие стыки не допускаются в линейных элементах, сечение которых полностью растянуто (например, в затяжках арок), а также во всех случаях применения стержневой арматуры класса А-IV (Ат-IV) и выше.
5.36. Стыки растянутой или сжатой рабочей арматуры, а также сварных сеток и каркасов в рабочем направлении должны иметь длину перепуска (нахлестки)
lн не менее величины
lан, определяемой по
формуле (288) и
табл. 56 настоящего Руководства.
Диаметр стыкуемых стержней в зависимости от температуры арматуры следует применять согласно
п. 5.17 с учетом требований
п. 5.14 настоящего Руководства. Диаметр стыкуемых стержней из арматуры периодического профиля не должен превышать 28 мм, а из гладкой арматуры - 20 мм.
Стыки внахлестку без сварки не допускаются при циклическом нагреве и при постоянном нагреве растянутой арматуры выше 100 °C.
5.37. Стыки сварных сеток и каркасов, а также растянутых стержней вязаных каркасов и сеток внахлестку без сварки должны, как правило, располагаться вразбежку. При этом площадь сечения рабочих стержней, стыкуемых в одном месте или на расстоянии менее длины перепуска lн, должна составлять: не более 50% общей площади сечения растянутой арматуры при стержнях периодического профиля и не более 25% - при гладких стержнях.
Стыкование отдельных стержней, сварных сеток и каркасов без разбежки допускается при конструктивном армировании (без расчета), а также на тех участках, где арматура используется не более чем на 50%.
5.38. Стыки сварных сеток в направлении рабочей арматуры из гладкой горячекатаной стали класса А-I и обыкновенной арматурной проволоки класса В-I должны выполняться таким образом, чтобы в каждой из стыкуемых в растянутой зоне сеток на длине нахлестки располагалось не менее двух поперечных стержней, приваренных по всем продольным стержням сеток
(рис. 31). Такие же типы стыков применяются и для стыкования внахлестку сварных каркасов с односторонним расположением рабочих стержней из всех видов стали.
Рис. 31. Стыки сварных сеток внахлестку (без сварки)
в направлении рабочей арматуры при выполнении последней
из стержней гладкой арматуры
а - распределительные (поперечные) стержни расположены
в одной плоскости; б и в - распределительные стержни
расположены в разных плоскостях
Стыки сварных сеток в направлении рабочей арматуры из горячекатаной стали периодического профиля классов А-II и А-III выполняются без поперечных стержней в пределах стыка
(рис. 32).
Рис. 32. Стыки сварных сеток внахлестку (без сварки)
в направлении рабочей арматуры при выполнении последней
из стержней периодического профиля
а - поперечные стержни в пределах стыка отсутствуют в одной
из стыкуемых сеток; б - поперечные стержни в пределах стыка
отсутствуют в обеих стыкуемых сетках
5.39. Стыки сварных сеток в нерабочем направлении выполняются внахлестку с перепуском, считая между крайними рабочими стержнями сетки:
а) при диаметре распределительной арматуры до 4 мм включительно - на 50 мм (
рис. 33,
а и
б);
б) при диаметре распределительной арматуры более 4 мм - на 100 мм (
рис. 33,
а и
б).
Рис. 33. Стыки сварных сеток в направлении
распределительной арматуры
а - стык внахлестку с расположением рабочих стержней в одной
плоскости; б - стык внахлестку с расположением рабочих
стержней в разных плоскостях; в - стык впритык с наложением
дополнительной стыковой сетки
При диаметре рабочей арматуры 16 мм и более сварные сетки в нерабочем направлении допускается укладывать впритык друг к другу, перекрывая стык специальными стыковыми сетками, укладываемыми с перепуском в каждую сторону не менее 15 диаметров распределительной арматуры и не менее 100 мм (
рис. 33,
в).
Сварные сетки в нерабочем направлении допускается укладывать впритык без нахлестки и без дополнительных стыковых сеток в следующих случаях:
в) при укладке сварных полосовых сеток в двух взаимно перпендикулярных направлениях;
г) при наличии в местах стыков дополнительного конструктивного армирования в направлении распределительной арматуры.
СТЫКИ ЭЛЕМЕНТОВ СБОРНЫХ КОНСТРУКЦИЙ
5.40. При стыковании железобетонных элементов сборных конструкций усилия от одного элемента к другому передаются через стыкуемую рабочую арматуру, стальные закладные детали, заполняемые бетоном швы, бетонные шпонки или (для сжатых элементов) непосредственно через бетонные поверхности стыкуемых элементов.
5.41. Жесткие стыки сборных конструкций должны, как правило, замоноличиваться путем заполнения швов между элементами бетоном. Если при изготовлении элементов обеспечивается плотная подгонка поверхностей друг к другу (например, путем использования торца одного из стыкуемых элементов в качестве опалубки для торца другого), то допускается при передаче через стык только сжимающего усилия выполнение стыков "насухо".
5.42. Стыки элементов, воспринимающие растягивающие усилия, должны выполняться:
а) сваркой стальных закладных деталей;
б) сваркой выпусков арматуры;
в) пропуском через каналы или пазы стыкуемых элементов стержневой арматуры, канатов или болтов с последующим натяжением их и заполнением пазов и каналов цементным раствором или мелкозернистым бетоном.
При проектировании стыков элементов сборных конструкций должны предусматриваться такие соединения закладных деталей, при которых не происходило бы разгибания их частей, а также выколов бетона.
5.43. Закладные детали должны быть заанкерены в бетоне с помощью анкерных стержней или приварены к рабочей арматуре элементов.
Закладные детали с анкерами должны, как правило, состоять из отдельных пластин (уголков или фасонной стали) с приваренными к ним втавр или внахлестку анкерными стержнями, преимущественно из арматуры классов А-II или А-III. Длина анкерных стержней закладных деталей при действии на них растягивающих сил должна быть не менее величины
lан, определяемой по
п. 5.14 настоящего Руководства. Указанная длина анкерных стержней может быть уменьшена при условии приварки на концах стержней анкерных пластин или устройства высаженных горячим способом анкерных головок диаметром 2
d - для стержней из арматуры классов А-I и А-II и диаметром 3
d - для стержней из арматуры класса А-III. В этих случаях длина анкерного стержня определяется расчетом на выкалывание и смятие бетона и принимается не менее 10
d (где
d - диаметр анкера).
В элементах с трещинами при расположении анкеров нормально к продольной оси элемента (вдоль трещин) и возникновении в них растягивающих усилий в любом случае на концах анкеров должны устраиваться усиления в виде пластин или высаженных головок.
При действии на анкерные стержни только сдвигающих или сжимающих сил длина анкерных стержней может приниматься на 5
d меньше значений
lан, определенных по
формуле (288), но не менее минимальных величин
lан согласно
п. 5.14 настоящего Руководства.
Расстояния между осями требуемых по расчету анкеров, приваренных к пластине втавр, должно быть не менее: 6d - вдоль сдвигающей силы, 4d - в перпендикулярном направлении. Расстояния от оси анкера до граней элемента вдоль сдвигающей силы должно быть не менее 8d, а в перпендикулярном направлении - не менее 3d (здесь d - диаметр анкерного стержня, требуемый по расчету).
Толщина пластин закладных деталей определяется в соответствии с
п. 3.70 настоящего Руководства и требованиями сварки. В зависимости от технологии сварки отношение толщины пластины к диаметру анкерного стержня принимается:
при сварке втавр слоем флюса на оборудовании с ручным приводом или при дуговой сварке швами в раззенкованном отверстии - не менее 0,75;
при сварке внахлестку дуговой сваркой фланговыми швами - не менее 0,3;
при автоматической сварке под слоем флюса и контактной рельефной сварке - согласно требованиям соответствующих государственных стандартов.
В закладных деталях с тавровыми сварными соединениями анкерных стержней толщина пластин может быть уменьшена на 25% по сравнению с указанной выше в том случае, если с внешней стороны пластины предусматривается приварка ребер жесткости по линии, соединяющей центры анкерных стержней.
5.44. Стыки элементов сборных конструкций из жаростойкого бетона должны выполняться согласно
пп. 5.40 -
5.43 настоящего Руководства. Сварные соединения арматуры необходимо выполнять с соблюдением последовательности приварки стержней к накладкам. Сначала должны привариваться стержни с одной стороны, а после остывания накладки - с другой.
Стыки между стеновыми панелями из жаростойкого бетона следует предусматривать на растворе с установкой бетонного бруса размером 5 x 5 см (
рис. 34,
а). В стыках панелей, перекрывающих рабочее пространство теплового агрегата, бетонный брус должен устанавливаться на растворе с менее нагретой стороны ребер (
рис. 34,
б). Пространство между ребрами стыкуемых подвесных панелей с консольными выступами плиты следует заполнять теплоизоляционным материалом (
рис. 34,
в).
Рис. 34. Стыки элементов сборных конструкций
из жаростойкого бетона
а - стык ребристых панелей в стенах; б - стык ребристых
панелей в покрытиях; в - стык ребристых панелей
с консольными выступами; г - стык двухслойных панелей;
д - стык панелей с окаймляющим арматурным каркасом; е - стык
панелей с окаймляющими ребрами из тяжелого жаростойкого
бетона; ж - стык панелей из особолегкого жаростойкого
бетона; 1 - тяжелый или облегченный жаростойкий бетон;
2 - арматурный каркас; 3 - особолегкий жаростойкий бетон;
4 - брусок сечением 50 x 50 мм из тяжелого или облегченного
жаростойкого бетона; 5 - стержень диаметром 6 мм;
6 - жаростойкий раствор; 7 - уголок жесткости панели;
8 - жаростойкий легкий бетон; 9 - анкер;
10 - теплоизоляционная прослойка толщиной 10 - 20 мм;
11 - металлический лист; 12 - стыковая накладка
Стыки между панелями из легкого бетона должны заполняться раствором марки меньшей, чем бетон футеровки. Марка раствора должна быть не ниже М15. Продольные торцовые поверхности панелей должны иметь пазы или скосы, удерживающие раствор от выпадания (
рис. 34,
г -
ж).
5.45. Соединение арматуры в сборных элементах из жаростойкого бетона допускается выполнять через окаймляющие уголки, стыковые накладки или путем стыкования арматуры внахлестку
(рис. 35).
Рис. 35. Соединения арматуры в стыках элементов сборных
конструкций из жаростойкого бетона
а - нахлесточное соединение с металлической накладкой
из листовой стали; б - стыковое соединение по ГОСТ 19293-73;
в - стыковое соединение по ГОСТ 14098-68;
г - нахлесточное соединение
В стыках панелей, передающих усилия от арматуры через косынку на стыковую накладку с эксцентриситетом, обязательно должны предусматриваться анкеры из арматуры периодического профиля. Длина анкерных стержней, приваренных к пластине втавр или внахлестку, должна быть не менее
lан, определяемой согласно
п. 5.14 настоящего Руководства. Если необходимую расчетную длину анкеров трудно выдержать из-за температуры, превышающей предельно допустимую температуру применения арматуры, устанавливаемой по расчету (см.
табл. 24 настоящего Руководства), то допускается уменьшать длину анкеров с обязательной приваркой к их концам дополнительных пластин
(рис. 36).
Рис. 36. Деталь стыка арматуры четырех панелей
из жаростойкого железобетона
1 - арматура; 2 - косынка; 3 - стыковая накладка;
4 - сварка; 5 - анкер арматуры; 6 - анкер косынки;
7 - анкерующая пластинка
ОТДЕЛЬНЫЕ КОНСТРУКТИВНЫЕ ТРЕБОВАНИЯ
5.46. Осадочные швы должны предусматриваться в случаях возведения здания (сооружения) на неоднородных грунтах основания (просадочных и др.), в местах резкого изменения нагрузок и т.п.
Осадочные швы, а также температурно-усадочные швы в сплошных бетонных и железобетонных конструкциях должны осуществляться сквозными, разрезая конструкцию до подошвы фундамента. Температурно-усадочные швы в железобетонных каркасах осуществляются посредством двойных колонн с доведением шва до верха фундамента.
Расстояния между температурно-усадочными швами в бетонных фундаментах и стенках подвалов допускается принимать в соответствии с расстояниями между швами, принятыми для вышележащих конструкций.
5.47. Ширина температурно-усадочного шва

в зависимости от расстояния между швами
l должна определяться по формуле

(289)
Относительное удлинение оси элемента

следует вычислять в зависимости от вида конструкции и характера нагрева согласно
пп. 1.39 -
1.43 настоящего Руководства.
Ширину температурно-усадочного шва, вычисленную по
формуле (289) настоящего Руководства, следует увеличивать на 30%, если шов заполняется легкодеформируемым теплоизоляционным материалом, например: асбовермикулитовым раствором, каолиновой ватой или шнуровым асбестом, смоченным в глиняном растворе (
рис. 37,
а).
Рис. 37. Температурные швы в конструкциях
из жаростойкого бетона
а - шов, заполненный шнуровым асбестом; б - то же,
с бетонным бруском; в - то же, с металлическим
компенсатором; 1 - шнуровой асбест, смоченный в глиняном
растворе; 2 - компенсатор; 3 - бетонный брусок;
4 - стальной стержень диаметром 6 мм
Температурно-усадочные швы в бетонных и железобетонных конструкциях из жаростойкого бетона следует принимать шириной не менее 20 мм. Когда давление в рабочем пространстве не равно атмосферному, температурно-усадочный шов должен иметь уширение для установки бетонного бруса. Брус должен устанавливаться насухо без раствора. Между брусом и менее нагретой поверхностью шов следует заполнять легкодеформируемым теплоизоляционным материалом (
рис. 37,
б).
В печах, где образуется герметичность рабочего пространства, с наружной поверхности в температурно-усадочном шве должен предусматриваться компенсатор (
рис. 37,
в).
5.48. Для организованного развития усадочных трещин в бетоне со стороны рабочего пространства теплового агрегата должны предусматриваться усадочные швы. Швы шириной 2 - 3 мм и глубиной, равной 1/10 высоты сечения, но не менее 20 мм, следует располагать через 60 - 90 см в двух взаимно перпендикулярных направлениях (
рис. 38,
б).
5.49. В бетонных конструкциях должно предусматриваться конструктивное армирование:
а) в местах резкого изменения размеров сечения элементов;
б) в местах изменения высоты стен (на участке не менее 1 м);
в) в бетонных стенах под и над проемами;
г) в конструкциях, подвергающихся воздействию динамической нагрузки;
д) у растянутой или менее сжатой грани внецентренно сжатых элементов, если в сечении возникают растягивающие напряжения или сжимающие напряжения менее 10 кгс/см
2, при наибольших сжимающих напряжениях более 0,8
Rпрt (напряжения определяются как для упругого тела); при этом коэффициент армирования

принимается равным или более 0,025%.
Требования настоящего пункта не распространяются на элементы сборных конструкций, проверяемые в стадии транспортирования и монтажа; в этом случае необходимое армирование определяется расчетом по прочности.
Если расчетом установлено, что прочность элемента исчерпывается одновременно с образованием трещин в бетоне растянутой зоны, то следует учитывать требования
п. 1.20 настоящего Руководства для слабоармированных элементов (без учета работы растянутого бетона). Если, согласно расчету, с учетом сопротивления растянутой зоны бетона арматура не требуется и опытом доказана возможность транспортирования и монтажа таких элементов без арматуры, конструктивная арматура не предусматривается.
5.50. Соответствие расположения арматуры ее проектному положению должно обеспечиваться специальными мероприятиями (установкой пластмассовых фиксаторов, шайб из мелкозернистого бетона и т.п.).
5.51. Отверстия значительных размеров в железобетонных плитах, панелях и т.п. должны окаймляться дополнительной арматурой сечением не менее сечения рабочей арматуры (того же напряжения), которая требуется по расчету плиты как сплошной.
5.52. При проектировании элементов сборных перекрытий должно предусматриваться устройство швов между ними, заполняемых бетоном. Ширина швов должна назначаться из условия обеспечения качественного заполнения их и должна составлять не менее 20 мм для элементов высотой сечения до 250 мм и не менее 30 мм при элементах большей высоты.
5.53. Усилия от неравномерного нагрева бетона по высоте сечения элементов допускается уменьшать:
устройством компенсационных швов в более нагретой сжатой зоне бетона (
рис. 38,
а). Компенсационные швы шириной 2 - 5 мм следует располагать через 60 - 90 см на глубину не более 0,5 высоты сечения элемента в направлении, перпендикулярном к действию сжимающих усилий от воздействия температуры;
повышением температуры растянутой арматуры, расположенной у менее нагретой грани бетона, посредством увеличения толщины защитного слоя бетона или устройством наружной теплоизоляции.
Рис. 38. Швы со стороны нагреваемой поверхности
в конструкциях из жаростойкого бетона
а - компенсационные; б - усадочные; 1 - компенсационный шов
шириной 2 - 5 мм; 2 - усадочный шов глубиной 0,1h
и шириной 2 - 3 мм
5.54. В железобетонных конструкциях из жаростойкого бетона для восприятия растягивающих усилий, как правило, следует устанавливать арматуру у менее нагретой грани сечения элемента.
Если в конструкциях от нагрузки растягивающие усилия возникают со стороны более нагретой грани сечения элемента, то арматура может воспринимать растягивающие усилия при температуре, не превышающей предельно допустимую температуру применения арматуры, устанавливаемой по расчету (см.
табл. 24 настоящего Руководства).
Для снижения температуры арматуры допускается увеличивать толщину защитного слоя бетона у более нагретой грани сечения элемента до 6 диаметров продольной арматуры или предусматривать теплоизоляцию из легкого жаростойкого бетона.
На границе бетонов разных видов следует устанавливать конструктивную арматуру из жаростойкой стали диаметром не более 4 мм, которая должна быть приварена к хомутам
(рис. 39).
Рис. 39. Конструкция изгибаемого железобетонного элемента,
нагреваемого до температуры более 400 °C со стороны
растянутой зоны
1 - тяжелый или облегченный жаростойкий бетон;
2 - теплоизоляционный слой из особолегкого жаростойкого
бетона; 3 - продольная рабочая арматура; 4 - сетка
из жаростойкой стали диаметром 4 мм
Температура нагрева конструктивной арматуры не должна превышать предельно допустимую температуру применения конструктивной арматуры, указанную в
табл. 24 настоящего Руководства.
5.55. Несущие и ненесущие конструкции тепловых агрегатов следует выполнять из сборных однослойных или многослойных элементов. Сборные ограждающие конструкции, как правило, предусматриваются из блоков, плит и панелей.
В двухслойных панелях, проектируемых из разных видов жаростойкого бетона, теплоизоляционный легкий жаростойкий бетон может предусматриваться как со стороны рабочего пространства, так и с наружной стороны теплового агрегата.
Для улучшения совместной работы отдельных слоев бетона допускается предусматривать установку конструктивной арматуры или анкеров. Арматура должна заходить в каждый слой бетона на глубину не менее 50 мм. Если в зоне сопряжения отдельных слоев бетона температура превышает предельно допустимую температуру применения конструктивной арматуры, указанную в
табл. 24 настоящего Руководства, то для усиления связи между слоями допускается устраивать выступы или бетонные шпонки.
В ребристых панелях плиту и ребра следует выполнять из тяжелого или облегченного жаростойкого бетона (
рис. 38,
б). В местах сопряжения ребер с плитой необходимо устраивать вуты. Между ребрами с менее нагретой стороны следует располагать тепловую изоляцию из легкого жаростойкого бетона или из теплоизоляционных материалов. В ребрах панели следует предусматривать арматурные каркасы, которые должны быть заведены в бетон плиты не менее чем на 50 мм. При необходимости снижения температуры рабочей арматуры, устанавливаемой в ребрах, ребра могут выступать за наружную поверхность тепловой изоляции. Плиту панели следует армировать конструктивной сварной сеткой из арматуры диаметром не более 4 мм с расстояниями между стержнями не менее 100 мм.
Температура нагрева сварной сетки не должна превышать предельно допустимую температуру применения конструктивной арматуры, указанную в
табл. 24 настоящего Руководства. Если температура нагрева плиты панели превышает предельно допустимую температуру применения конструктивной арматуры, допускается плиту не армировать.
В панелях с окаймляющими ребрами прямоугольного или трапециевидного сечения ребра должны предусматриваться из тяжелого или облегченного жаростойкого бетона, а пространство между ребрами на всю толщину следует заполнять теплоизоляционным легким жаростойким бетоном. Ребра следует армировать плоскими каркасами, расположенными с менее нагретой стороны (
рис. 40,
б).
Рис. 40. Конструкции панелей из легкого жаростойкого бетона
а - двухслойная панель на металлическом листе; б - панель
с окаймляющим каркасом из тяжелого или облегченного
жаростойкого бетона; в - панель с окаймляющим арматурным
каркасом; 1 - уголок жесткости панели; 2 - металлический
лист; 3 - анкер; 4 - окаймляющий каркас из тяжелого
или облегченного жаростойкого бетона; 5 - особолегкий
жаростойкий бетон; 6 - легкий жаростойкий бетон;
7 - арматурный каркас
Для ненесущих облегченных ограждающих конструкций тепловых агрегатов следует предусматривать легкие жаростойкие бетоны и эффективные теплоизоляционные материалы.
В двухслойных панелях на металлическом листе легкий жаростойкий бетон следует крепить анкерами, приваренными к листу (
рис. 40,
а). Анкеры должны приниматься из стержней диаметром 6 - 10 мм или полосы 3 x 19 мм. Длина анкера должна быть не менее половины толщины футеровки и расстояния между ними не более 250 мм. Металлический лист толщиной не менее 3 мм должен иметь отогнутые края или приваренные по контуру уголки.
В панелях с окаймляющим арматурным каркасом сварной каркас следует располагать по периметру панели у менее нагретой стороны (
рис. 40,
в).
Крепление панелей к каркасу должно осуществляться на болтах или на сварке так, чтобы они могли свободно перемещаться при нагреве.
В конструкциях тепловых агрегатов из монолитного железобетона со стороны рабочего пространства в углах сопряжения стен с покрытием и перекрытием следует предусматривать вуты.
5.56. Конструкции, перекрывающие рабочее пространство теплового агрегата, могут быть свободно опертыми, подвесными и монолитно связанными со стенами. При пролетах более 4 м должны преимущественно предусматриваться подвесные балки, плиты и панели. Расчетную схему подвесной конструкции следует принимать как для двухконсольной балки, при этом не должно допускаться возникновения растягивающих напряжений в бетоне со стороны более нагретой поверхности. Подвесные конструкции не должны воспринимать никаких внешних нагрузок, кроме собственного веса и на них не должны устраиваться мостки или настилы для хождения обслуживающего персонала.
Купола и своды должны иметь стрелу подъема не менее
1/
12 пролета в свету. Нижняя криволинейная поверхность их при жесткой монолитной заделке на опорах должна сопрягаться со стенами по переходной кривой, радиус которой принимается не менее толщины стены. Купола и своды с плоской верхней поверхностью у пяты должны иметь компенсационный шов шириной 20 - 40 мм на глубину, равную высоте сечения в замке
(рис. 41). Следует предусматривать заполнение шва легкодеформируемым материалом. За осевую линию в таких куполах и сводах допускается принимать дугу окружности, проведенную через центр пяты и середину высоты сечения в центре пролета.
Рис. 41. Конструкция купола перекрытия с технологическими
отверстиями из жаростойкого бетона для круглого
теплового агрегата
1 - бетонный купол; 2 - компенсационный шов толщиной
20 - 40 мм, заполненный легкодеформируемым материалом;
3 - сетка из проволоки диаметром до 6 мм, приваренная
к кожуху; 4 - кожух; 5 - пята купола
В куполах и сводах при высоте сечения в замке более 250 мм кроме основной рабочей арматуры необходимо предусматривать конструктивную сетку из проволоки диаметром не более 6 мм с ячейкой не менее 100 x 100 мм, которую следует располагать в бетоне с температурой, не превышающей предельно допустимую температуру применения конструктивной арматуры (см.
табл. 24 настоящего Руководства). Сетка и хомуты должны соединяться с основной арматурой
(рис. 42).
Рис. 42. Конструкция железобетонного купола покрытия
с плоской верхней поверхностью из жаростойкого бетона
для круглого теплового агрегата
1 - купол; 2 - рабочая арматура купола; 3 - сетка
из проволоки диаметром до 6 мм; 4 - хомут из проволоки
диаметром 6 мм; 5 - пята купола; 6 - компенсационный шов
шириной 20 - 40 мм, заполненный легкодеформируемым
материалом; 7 - опорное кольцо; 8 - рабочая арматура
опорного кольца; 9 - теплоизоляционная прослойка толщиной
20 - 40 мм; 10 - шов бетонирования; 11 - кожух
5.57. Рабочую арматуру в железобетонных конструкциях, перерезываемую различными технологическими отверстиями, следует приваривать к рамкам из арматуры или проката, устанавливаемым вокруг отверстий. Размеры рамки должны приниматься такими, чтобы толщина бетона со стороны отверстия была достаточной для обеспечения температуры рамки, не превышающей предельно допустимую температуру применения арматуры, устанавливаемой по расчету, согласно
табл. 24 настоящего Руководства.
Площадь сечения рамки в каждом направлении должна быть достаточной для восприятия усилий в перерезанных стержнях.
Отверстия большого размера следует окаймлять армированными бортовыми замкнутыми рамами. Сечение стенок бортовых рам определяют из расчета на усилия от воздействия температуры и нагрузки.
5.58. Фундаменты, борова и другие сооружения, расположенные под землей и подвергающиеся нагреву, должны находиться выше наиболее возможного уровня грунтовых вод. При наличии воды следует предусматривать гидроизоляцию.
5.59. Кожуха тепловых агрегатов из листовой стали допускается предусматривать, когда необходимо обеспечить газонепроницаемость конструкции и когда имеется большое число отверстий или точек крепления оборудования.
Соединение кожуха с бетоном следует осуществлять арматурными сетками или анкерами, приваренными к кожуху
(рис. 41).
5.60. Если жаростойкий бетон подвержен сильному истирающему воздействию со стороны рабочего пространства, то его следует защищать металлической панцирной сеткой, по которой наносится слой торкрет-бетона, или блоками из наиболее стойкого в этих условиях жаростойкого бетона или огнеупора.
5.61. В элементах сборных конструкций должны предусматриваться мероприятия для захвата их при подъеме: инвентарные монтажные вывинчивающиеся петли, строповочные отверстия со стальными трубками, стационарные монтажные петли из арматурных стержней и т.п. Петли для подъема должны выполняться из горячекатаной стали согласно
п. 2.25 настоящего Руководства.
5.62. Указания по конструированию предварительно-напряженных железобетонных элементов принимаются, согласно
пп. 5.53 -
5.63 главы СНиП II-21-75.
ТРЕБОВАНИЯ, УКАЗЫВАЕМЫЕ В ПРОЕКТАХ
5.63. В рабочих чертежах конструкций или в пояснительной записке к проекту должны быть дополнительно указаны:
а) наибольшая температура нагрева конструкции при эксплуатации, принятая в расчете;
б) вид бетона;
в) проектная марка бетона и требуемая прочность бетона при температуре во время эксплуатации;
г) виды (классы) арматуры и марка жаростойкой стали;
д) прочность бетона при отпуске сборных элементов предприятием-изготовителем;
е) указания по обетонированию стыков и узлов, марка и состав раствора для заполнения швов в стыках элементов.
6. РАСЧЕТ И КОНСТРУИРОВАНИЕ
НЕКОТОРЫХ ЭЛЕМЕНТОВ КОНСТРУКЦИЙ
6.1. Фундаменты под колонны и стены теплотехнических сооружений конструируют:
а) из сборных бетонных блоков или из монолитного бетона, если температура нагрева превышает предельно допустимую температуру применения арматуры;
б) из сборного или монолитного железобетона, если температура нагрева не превышает предельно допустимую температуру применения арматуры.
Арматура, установленная на монтажную нагрузку, не учитывается при расчете фундамента во время эксплуатации, если ее температура нагрева превышает предельно допустимую температуру применения арматуры, устанавливаемой по расчету (см.
табл. 24 настоящего Руководства).
6.2. Прямоугольная фундаментная плита толщиной
h и размером в плане 2
b x 2
a, причем
b >=
a имеет арматуру по контуру. По толщине плита нагрета равномерно, а в горизонтальной плоскости - неравномерно от максимальной величины
tб в центре до
tа и
tаb - на арматуре у короткой и длинной сторон (
рис. 43,
а).
Рис. 43. Расчетные схемы распределения
а - температуры; б - напряжений в прямоугольной
железобетонной плите при неравномерном нагреве бетона
с криволинейным распределением температуры от центра плиты
до ее сторон
1 - бетон; 2 - арматура
Плита, имеющая трещины в растянутой зоне, условно разрезается на две полуплиты по более длинной осевой линии I-I. Каждая полуплита рассчитывается как защемленная статически неопределимая балка с высотой сечения a.
Изгибающий момент в сечении
II-II полуплиты от воздействия температуры определяется по
формуле (46) настоящего Руководства, в которой величина
Mt умножается на коэффициент
k, который принимается по
табл. 58 настоящего Руководства в зависимости от отношения сторон плиты

.
Отношение сторон  прямоугольной плиты | Значение коэффициентов |
k | k1 |
1 | 0,8 | 1 |
1,5 | 0,9 | 1,5 |
2 | 0,95 | 1,8 |
4 и более | 1 | 2 |
Кривизна

оси и жесткость
B полуплиты высотой
a от воздействия температуры определяются соответственно по
формулам (43) и
(41) при
h0 =
a0.
Расчет плиты производится методом последовательного приближения. В первом приближении для более длинной стороны 2
b плиты определяем минимальное количество арматуры по
формуле (45), в которой принимаем
b =
h.
Вычисленный момент
Mt,b должен удовлетворять условию прочности при изгибе согласно
выражению (98). Если
условие (98) не удовлетворяется, то необходим повторный расчет с увеличенным количеством арматуры.
Площадь растянутой арматуры, устанавливаемой по короткой стороне 2a плиты, определяют по формуле

(290)
Коэффициент
k1 принимается по
табл. 58 настоящего Руководства.
Ширину раскрытия трещин в растянутой зоне плиты проверяют по
формуле (249) настоящего Руководства при напряжении в арматуре, вычисленном по
формуле (252) при
M =
Mt,b,
Fа =
Fа.b,
N0 = 0 и
z1 =
z1а. Расстояние
z1а от центра тяжести площади сечения арматуры
Fа.b до точки приложения равнодействующей усилий в сжатой зоне бетона сечения
II-II полуплиты определяется по
формуле (271) при
h0 =
a0 (рис. 43). Порядок расчета прямоугольного железобетонного фундамента на воздействие температуры принимается согласно
п. 6.6 настоящего Руководства.
6.3. Круглая фундаментная плита армирована по периметру кольцевой арматурой. Круглая плита по толщине нагрета равномерно, а в горизонтальной плоскости - неравномерно. Максимальная температура бетона
tб в центре плиты уменьшается к ее краю до температуры в арматуре
tа (
рис. 44,
а).
Рис. 44. Расчетные схемы распределения
а - температуры и деформаций; б - напряжений в круглой
железобетонной плите при неравномерном нагреве бетона
с линейным распределением температуры от центра плиты
до ее края
Кривизна

от воздействия температуры (т.е. относительный угол поворота вертикального сечения плиты) определяется по
формуле (34) при
h0 =
rа, уменьшенной в два раза.
Изгибающий момент, действующий в вертикальном сечении полуплиты на длине радиуса
rа (
рис. 44,
б), определяют по
формуле (46), в которой жесткость
B вертикального сечения плиты высотой
h0 =
rа по растянутой зоне вычисляют по
формуле (282) настоящего Руководства.
Коэффициент армирования плиты принимается равным

(291)
где b - толщина плиты.
Расчетный изгибающий момент, вычисленный по
формуле (46), должен удовлетворять условию прочности плиты, согласно
выражению (98), при
M =
Mt.
Порядок расчета круглого железобетонного фундамента на воздействие температуры принимается согласно
п. 6.6 настоящего Руководства.
6.4. Снижение напряжений в металлическом кожухе теплового агрегата может быть достигнуто путем повышения его температуры при помощи устройства наружной теплоизоляции или устройством между кожухом и бетоном прослойки из легкодеформируемого материала.
В этом случае круглую фундаментную плиту следует рассчитывать согласно
п. 6.5 настоящего Руководства.
6.5. Круглая бетонная фундаментная плита имеет кожух, между кожухом и бетоном плиты положена прослойка из легкодеформируемого материала: асбеста, крошки из диатомового кирпича, углеродистой набойки и пр.
(рис. 45). Такую плиту рассчитывают согласно
п. 6.3 настоящего Руководства. При вычислении жесткости
B по
формуле (282) принимается коэффициент

,

и вместо
Eа.t - условный модуль упругости стали
Eа.t.у, определяемый по формуле

(292)
где

- толщина кожуха, см;

- толщина прослойки, см;
rа - радиус кожуха, см;

- коэффициент упругости прослойки из легкодеформируемого материала, принимаемый равным 0,1;
Eп - модуль упругости прослойки, принимаемый равным: 1000 кг/см2 - для асбеста и засыпки из диатомового кирпича, 1200 кг/см2 - для углеродистой набойки и 1500 кг/см2 - для засыпки из шамотного песка или мертеля.
Рис. 45. Расчетные схемы распределения
а - температур и деформаций; б - напряжений в круглой
бетонной плите с наружным кожухом при неравномерном нагреве
бетона с линейным распределением температуры от центра плиты
до кожуха; 1 - кожух; 2 - эластичная прокладка; 3 - бетон
Величины коэффициента упругости и модуля упругости материалов прослойки могут быть уточнены на основании опытной проверки их деформаций под нагрузкой.
Расчетный изгибающий момент, вычисленный по
формуле (46), должен удовлетворять условию прочности плиты, согласно
выражению (98), при
M =
Mt. В плитах, армированных стальным кожухом, раскрытие трещин в бетоне не проверяется.
6.6. Расчет конструкций фундаментов, указанных в
пп. 6.1 -
6.5 настоящего Руководства, производят в следующем порядке:
1) при принятом составе бетона и его температуре в центре плиты определяют температуру арматуры по методике расчета температур ограждающих конструкций (см.
пп. 1.47 -
1.53 настоящего Руководства);
2) для принятой марки и состава бетона, а также класса арматуры по
главе 2 настоящего Руководства определяют необходимые для расчета характеристики бетона и арматуры.
3) по
формуле (43) вычисляют кривизну элемента от воздействия температуры;
5) жесткость плиты с трещинами в растянутой зоне бетона вычисляют по
формуле (282) или
(283). В случае прямоугольной плиты жесткость определяют по сечению
II-II (рис. 43);
6) имея величины

и
B, по
формуле (46) определяют первое значение
Mt. По найденному первому значению
Mt снова вычисляют

,

и
B. По новому значению жесткости
B определяют второе значение
Mt и т.д. до тех пор, пока расхождение между последним и предыдущим значениями
Mt не будет превышать +/- 5%. После определения изгибающего момента от воздействия температуры производят проверку прочности плит и раскрытие трещин.
6.7. Стены тепловых агрегатов из жаростойкого бетона и железобетона предназначаются для защиты от воздействия высокой температуры. В зависимости от схемы конструкции и условий работы теплового агрегата стены разделяются на несущие и ненесущие.
К несущим стенам относятся конструкции, в которых от собственного веса, нагрузки и неравномерного нагрева по высоте сечения возникают напряжения сжатия более 1 кгс/см2.
К ненесущим стенам относятся конструкции, в которых отсутствуют усилия от внешней нагрузки и неравномерного нагрева по высоте сечения, а напряжения от собственного веса - до 1 кгс/см2.
Толщина ненесущих стен определяется теплотехническим расчетом. Толщину несущих стен сначала определяют теплотехническим расчетом, а затем проверяют расчетом на прочность.
6.8. Стены ограждающих конструкций тепловых агрегатов проектируют:
а) однослойными из сборного или монолитного железобетона (
рис. 46,
а);
б) то же с теплоизоляционной наружной штукатуркой (
рис. 46,
б);
в) то же с теплоизоляцией и металлическим кожухом (
рис. 46,
в);
г) двухслойными и многослойными из сборного или монолитного железобетона с теплоизоляционной прослойкой (
рис. 47,
а);
д) из панелей с пустотами, которые могут быть заполнены теплоизоляцией из легкого жаростойкого бетона и другого материала (
рис. 47,
б);
е) из панелей ребристой конструкции с тепловой изоляцией, расположенной между ребрами (
рис. 47,
в).
Рис. 46. Железобетонные стены тепловых агрегатов
а - однослойная из сборного или монолитного железобетона;
б - то же, с теплоизоляционной штукатуркой; в - то же,
с теплоизоляцией и стальным кожухом; 1 - арматура;
2 - теплоизоляционная штукатурка; 3 - металлическая
сетка; 4 - стальной кожух; 5 - теплоизоляция
Рис. 47. Железобетонные стены тепловых агрегатов
а - двухслойные из сборного или монолитного бетона;
б - из панелей с пустотами; в - из ребристых панелей;
1 - бетон; 2 - легкий жаростойкий бетон; 3 - арматура;
4 - металлические косынки
В тепловом агрегате, имеющем в плане круглое, квадратное или прямоугольное очертание и стены одинаковой толщины, при нагреве с внутренней стороны возникает изгибающий момент, одинаковый в продольном и поперечном направлениях.
Количество горизонтальной арматуры, устанавливаемой у наружной поверхности стен, определяют по
формуле (103), в которой момент находят по
формуле (46). Этот момент должен удовлетворять условию прочности вертикального сечения стены при изгибе согласно
неравенству (98).
Прочность горизонтального сечения стены проверяют на совместное действие сжимающей силы от собственного веса и нагрузки и неравномерного нагрева, как это принято для сжатых элементов. Раскрытие трещин в стенах проверяют по
формуле (249).
6.9. В железобетонных стенах тепловых агрегатов кольцевого или коробчатого очертания в плане с компенсационными швами (см.
п. 5.53 настоящего Руководства) определение изгибающего момента от воздействия температуры производят по
формуле (46). При этом в формулы для определения кривизны и жесткости сечений вместо
h0 подставляют условную высоту сечения элемента
h0.y, вычисляемую по формуле

(293)
где lш - расстояние между компенсационными швами, которое должно удовлетворять условию
lш >= 6(h0 - h0.ш). (294)
6.10. Для покрытий цехов, имеющих повышенную температуру, рекомендуется применять типовые сборные железобетонные плиты, предварительно рассчитав их на совместное действие температуры и нагрузки.
При применении типовых сборных железобетонных предварительно-напряженных плит покрытий серий I.465-7 и I.465-3 допускается не проводить поверочного расчета. В этом случае заданную для расчета нагрузку делят на коэффициент
k. Коэффициент
k, учитывающий влияние нагрева на величину нагрузки, принимается по
рис. 48 в зависимости от температуры крайнего волокна бетона растянутой зоны. Марка типовой плиты принимается для вычисленной величины нагрузки. При этом гарантируются прочность, раскрытие трещин менее 0,3 мм и предельный прогиб не более

пролета плиты. Например, для цеха с температурой 150 °C и нормативной нагрузкой 300 кгс/см
2, с учетом собственного веса плиты, необходимо выбрать плиту покрытия размером 3 x 6 м.
Рис. 48. Коэффициент k, учитывающий влияние температуры
крайнего растянутого волокна бетона на величину нагрузки
для плит размером
а - 3 x 6 м; б - 3 x 12 м; 1 - ПА-IIIв - 5,6; ПА-IV - 6;
ПА-V - 6; ПАт-IV - 6; ПАт-V; 2 - ПА-IIIв - 2, 3, 4;
ПА-IV - 1, 2, 3, 4, 5; ПА-V - 2, 3, 4, 5; ПАт-IV - 1, 2, 3,
4, 5; ПАт-V - 2, 3, 4, 5; ПВр-II - 5; 3 - ПВр-II - 1, 2, 3,
4; ПА-IIIв - 1; ПА-V - 1; ПАт-V - 1; 4 - ПАт-VI - 1, 2, 3,
4, 5; ПП7 - 1, 2, 3, 4; 5 - ПА-IIIв - 1, 2, 3, 4, 5;
ПА-IV - 1, 2, 3, 4; ПА-V - 1, 2, 3, 4; ПАт-IV - 1, 2, 3, 4,
5; ПАт-V - 1, 2, 3, 4, 5; 6 - ПАт-VI - 1, 2, 3, 4, 5;
ПВр-II - 1, 2, 3, 4, 5; П12П7 - 1, 2, 3, 4, 5; П15П7 - 1, 4;
7 - П15П7 - 2, 3, 5
На
рис. 48 выбираем плиту второй группы, для которой коэффициент
k при 150 °C равен 0,6. Заданную нормативную нагрузку делим на коэффициент
k (300:0,6 = 500 кгс/м
2) и по этой нагрузке отыскиваем в типовом проекте плиту. Это могут быть плиты марок
6.11. Сферический купол из жаростойкого железобетона (см.
п. 5.56 настоящего Руководства и
рис. 49) монолитно сопряжен с опорным кольцом и подвергается воздействию равномерно распределенной вертикальной нагрузки и нагреву со стороны нижней поверхности. Купол и опорное кольцо неравномерно нагреты по высоте сечения.
1 - температур; 2 - деформаций; 3 - кольцевых усилий;
4 - моментов от неравномерного нагрева по высоте сечения
купола и опорного кольца из жаростойкого железобетона
От неравномерного нагрева по высоте сечения купола возникают равные по величине изгибающие моменты в кольцевом и радиальном направлениях, вызывающие в кольцевой и радиальной арматуре усилия растяжения, а в бетоне со стороны более нагретой поверхности - усилия сжатия. Эти моменты в любом сечении купола, нормальном к его срединной поверхности, определяют по
формуле (46).
Вследствие ограничения деформаций купола опорным кольцом при нагревании возникает распор, воспринимаемый арматурой опорного кольца. Кроме того, в бетоне краевой зоны купола возникают меридиональные
T1t и кольцевые
T2t усилия сжатия, которые достигают своего максимума в опорном сечении
I-
I (рис. 49) по плоскости сопряжения купола с опорным кольцом. В расчете учитывают только кольцевые усилия
T2t, так как меридиональные усилия
T1t по своей величине в несколько раз меньше кольцевых и они в данном случае могут не учитываться.
При высоте сечения опорного кольца
hо = (
rа - r1) >= 0,1
rа по
формуле (46) определяют также изгибающий момент
Mi1 от неравномерного нагрева по высоте сечения опорного кольца в радиальном направлении.
Распор от нагрузки и собственного веса, воспринимаемый арматурой опорного кольца, а также кольцевое и меридиональное усилия сжатия в куполе находят по правилам строительной механики, используя безмоментную теорию.
Усилия в опорном кольце и в куполе от воздействия температуры определяют из условия неразрывности деформаций наружной грани купола и опорного кольца. Распор от воздействия температуры на один сантиметр периметра опорного кольца определяют по формуле

(295)
где

- температура бетона на уровне срединной поверхности купола;

- температура менее нагретой поверхности купола;
tа - температура арматуры опорного кольца;

(296)

(297)
r - радиус срединной поверхности купола;
B - жесткость сечения шириной 1 см купола по растянутой зоне, вычисляемая по
формуле (282);
nt - коэффициент перегрева, принимаемый по
п. 1.39 настоящего Руководства;
Fа - площадь арматуры опорного кольца;

- коэффициент, учитывающий работу растянутого бетона в опорном кольце;
если высота сечения опорного кольца
rа -
r1 >= 0,1
rа,

определяется по
формуле (272), если
rа -
r1 < 0,1
rа,

.
Коэффициент армирования принимается по площади сечения опорного кольца Fб = h1(rа - r1).
При наличии в пяте купола шва опирание купола можно считать шарнирным и в знаменателе
формулы (295) коэффициент
k принимается равным 2. При монолитном сопряжении купола с опорным кольцом, где арматура купола анкеруется в опорном кольце, коэффициент
k принимается равным 4.
Усилие в арматуре опорного кольца от распора, вызванного воздействием температуры, вычисляют по формуле
Максимальное усилие T2t сжатия бетона от воздействия температуры в опорном сечении I-I, шириной b = 1 см, расположенном на границе сопряжения купола с опорным кольцом, определяют по формуле

(299)
где

,
Eб и

принимаются по
табл. 16,
17 и
18 настоящего Руководства при средней температуре бетона в сечении купола, а коэффициент
k - как в
формуле (295).
Длина участка купола, на котором возникают кольцевые усилия в бетоне T2t, равна

(300)
Распор в опорном кольце от равномерно распределенной нагрузки и собственного веса определяют по формуле

(301)
где q - равномерно распределенная нагрузка с учетом собственного веса купола, кг/см2.
Усилие в арматуре опорного кольца от нагрузки определяют по формуле
Nн = Hнr1. (302)
Кольцевое усилие сжатия в опорном сечении I-I купола шириной b = 1 см от нагрузки и собственного веса вычисляют по формуле

(303)
а максимальное меридиональное усилие сжатия - по формуле

(304)
Усилия в опорном кольце и в куполе от совместного воздействия температуры, собственного веса и нагрузки алгебраически суммируются. При высоте сечения опорного кольца (
rа -
r1) < 0,1
rа расчетное усилие растяжения
N в кольцевой арматуре должно удовлетворять условию прочности при центральном растяжении согласно
формуле (162). При высоте сечения опорного кольца (
rа -
r1) >= 0,1
rа или
hо.ш >= 0,1
rа при устройстве компенсационных швов усилие в кольцевой арматуре
N и момент
Mt1 вызывают в опорном кольце внецентренное растяжение.
Эксцентриситет продольной силы N относительно центра тяжести приведенного сечения опорного кольца вычисляют по формуле

(305)
где e1 - расстояние от центра тяжести площади сечения кольцевой арматуры до центра тяжести приведенного сечения опорного кольца.
Расчет прочности и раскрытия трещин в бетоне опорного кольца с односторонним армированием с учетом
Mt1 производят как для первого случая внецентренного растяжения элемента (с большим эксцентриситетом). При этом проверку прочности арматуры кольца производят согласно
неравенству (165) при

, а раскрытие трещин определяют по
формуле (249).
Расчет прочности и раскрытия трещин в бетоне опорного кольца с односторонним армированием без учета Mt1 производят как для центрально-растянутого элемента.
Расчет прочности купола производят по наиболее напряженному опорному сечению
I-I на расчетное кольцевое усилие
T2 =
T2н +
T2t и момент
Mt от неравномерного нагрева по высоте сечения купола. Прочность опорного сечения купола проверяют по
формуле (129) на сжатие силой
T2, приложенной с эксцентриситетом

относительно центра тяжести приведенного сечения купола.
Раскрытие кольцевых или меридиональных трещин в бетоне проверяют в сечении купола
II-II в центре пролета при действии кольцевого усилия

и момента
Mt от неравномерного нагрева по высоте сечения как при внецентренном сжатии.
При длительном нагреве проверяется только прочность наиболее напряженного опорного сечения купола
I-I на внецентренное сжатие силой
T2 в кольцевом направлении. При этом должно также удовлетворяться условие прочности опорного сечения купола при сжатии от действия только меридионального усилия
T1н, вычисленного по
формуле (304).
Прогиб сферического купола в центре пролета при его загружении равномерно распределенной нагрузкой допускается вычислять по формуле

(306)
где

;

;
kw - коэффициент, учитывающий геометрические параметры купола, принимается по
табл. 59 настоящего Руководства.
a | Коэффициент kw·10 3 в зависимости от  |
10 | 20 | 30 | 40 | 50 |
0,5 | 200 | 133,8 | 85,36 | 55,84 | 38,07 |
0,7 | 136,2 | 57,69 | 28,09 | 15,66 | 9,67 |
0,75 | 119,6 | 45,87 | 21,36 | 11,65 | 7,12 |
1 | 55,84 | 15,01 | 6,16 | 3,25 | 2,01 |
1,25 | 24,92 | 5,63 | 2,31 | 1,27 | 0,81 |
1,5 | 11,65 | 2,52 | 1,09 | 0,61 | 0,39 |
Примечание. При промежуточных значениях a и  коэффициент kw принимается по интерполяции. |
Значения

,
Eб и

принимаются по
табл. 16,
17 и
18 настоящего Руководства при средней температуре бетона в сечении купола.
6.12. Купол из жаростойкого бетона с опорным кольцом из жаростойкого железобетона (см.
п. 5.56 настоящего Руководства) подвергается одностороннему нагреву и равномерно распределенной нагрузке
(рис. 50).
1 - температур; 2 - деформаций; 3 - кольцевых усилий;
4 - моментов от неравномерного нагрева по высоте сечения
купола из жаростойкого бетона и опорного кольца
из жаростойкого железобетона
Распор от воздействия температуры на один сантиметр периметра опорного кольца определяют по
формуле (295) при
k = 2.
В
формуле (295) все величины принимаются такими же, как для железобетонного купола, кроме жесткости
B. В этом случае жесткость купола вычисляют по
формуле (281), принимая

,
Eб и

по
табл. 16,
17 и
18 настоящего Руководства в зависимости от средней температуры бетона сечения купола. Определение приведенного момента инерции сечения
Iп производится по
формуле (11). Если от нагрузки и собственного веса возникают усилия до 0,1 от несущей способности купола, то высота сечения в
формуле (11) принимается в зависимости от температуры наиболее нагретой грани бетона:
от 51 до 600 °C - равной h;
1000 °C и более - равной 2/3h.
Для температур бетона от 600 до 1000 °C изменение высоты сечения купола принимается по интерполяции. При усилиях в куполе более 0,1 от несущей способности независимо от температуры нагрева высота сечения принимается равной h.
Для бетонного купола момент в меридиональном и кольцевом направлениях от неравномерного нагрева по высоте сечения купола принимают равным нулю.
6.13. При монолитном сопряжении свода со стенами, когда арматура свода анкеруется в стене, своды являются элементами рамных конструкций и расчетные усилия в них определяются как для статически неопределимых конструкций (см.
пп. 1.45 -
1.46 настоящего Руководства).
В конструкциях тепловых агрегатов с металлическим или железобетонным каркасом передача распора от сводов на каркас осуществляется через опорные балки, имеющие наклонную пяту для опирания свода. Если температура нагрева не превышает предельно допустимую температуру применения арматуры (см.
табл. 24 настоящего Руководства), то применяют железобетонные своды.
6.14. Цилиндрический железобетонный свод покрытия теплового агрегата имеет одностороннее армирование, расположенное в менее нагретых слоях бетона, и неподвижные опоры
(рис. 51). В зоне сопряжения свода с опорной балкой предусматривается шов. Свод подвергается неравномерному нагреву по высоте сечения со стороны нижней поверхности и действию равномерно распределенной нагрузки.
Рис. 51. Расчетная схема цилиндрического свода
из жаростойкого железобетона при одностороннем нагреве
Распор от воздействия температуры определяют как для свода с тремя пластическими шарнирами, расположенными в опорных сечениях и в центре пролета, по формуле

(307)
При этом наибольший распор в своде вычисляют при кратковременном нагреве с учетом рекомендаций
п. 1.23 настоящего Руководства.
Продольная сила N1t в замке свода (сечение I-I) от воздействия температуры равна распору Ht, а в опорном сечении II-II она вычисляется по формуле

(308)
Момент в замке от воздействия температуры
M1t = -(Mt + Htlк), (309)
а в опорном сечении
M2t =
Ht(
f -
lк) -
Mt. (310)
При этом расчетный момент в опорном сечении должен удовлетворять условию

(311)
Если это условие не удовлетворяется, то момент принимается равным

.

- деформация оси свода в направлении пролета от нагрева, определяемая по
формуле (33);
B - жесткость сечения свода в замке по растянутой зоне, определяемая по
формуле (282);

- коэффициент, учитывающий влияние продольных сил на величину распора. При температуре бетона более нагретой поверхности свода:
до 400 °C -

(312)
более 400 °C -

(313)
где
Fп и
Iп - соответственно площадь и момент инерции приведенного сечения свода в замке, определяемые по
формулам (6) и
(11).
Для свода с высотой сечения
h <= 0,05
l, а также для свода с подъемом
f >=
1/
8l и высотой сечения
h <= 0,1
l величиной коэффициента

можно пренебречь;

- горизонтальное перемещение конца жесткой консоли в основной системе, вызванное поворотом сечений в пластических шарнирах:

(314)

(315)
где

(316)

- коэффициент армирования свода, %, принимаемый не более 2,5%; при
k = 50, а при
k = 0;

- кривизна железобетонного свода с трещинами в растянутой зоне, вычисляемая по
формуле (34).
При определении угла

коэффициенты

и

принимают соответственно по
табл. 16 и
18 настоящего Руководства в зависимости от средней температуры бетона в сечении свода. Коэффициент
k1 в
формуле (307) и
k2 в
формулах (312) и
(313) зависят от величины центрального угла свода

и принимаются по
табл. 60 настоящего Руководства.
Угол дуги свода, град  | Коэффициенты |
k1 | k2 | k3 | k4 | k5 | k6 | k7 |
35 | 0,000118 | 5019 | 1,09 | 0,0186 | 0,0463 | 0,000361 | 0,006330 |
40 | 0,000185 | 3700 | 1,06 | 0,0277 | 0,0603 | 0,000597 | 0,010688 |
45 | 0,00031 | 2500 | 1,03 | 0,0391 | 0,0766 | 0,000969 | 0,016932 |
50 | 0,00056 | 1295 | 1 | 0,0533 | 0,0937 | 0,00145 | 0,025515 |
60 | 0,00175 | 543 | 0,97 | 0,0906 | 0,134 | 0,00293 | 0,051461 |
70 | 0,00361 | 299 | 0,94 | 0,141 | 0,181 | 0,00531 | 0,092155 |
80 | 0,00679 | 175 | 0,91 | 0,206 | 0,234 | 0,00883 | 0,151455 |
90 | 0,0123 | 105 | 0,88 | 0,285 | 0,293 | 0,0137 | 0,232242 |
100 | 0,020 | 68 | 0,849 | 0,38 | 0,357 | 0,0202 | 0,337199 |
110 | 0,0319 | 45 | 0,812 | 0,49 | 0,426 | 0,0284 | 0,467923 |
120 | 0,0479 | 31 | 0,784 | 0,614 | 0,5 | 0,0385 | 0,625000 |
Длина жесткой консоли lк в основной системе определяется по формуле

(317)
Момент от воздействия температуры в сечениях свода при чистом изгибе определяют с учетом поворота сечений в пластических шарнирах по формуле

(318)
От действия равномерно распределенной нагрузки и собственного веса в замке и в опорном сечении свода определяют продольную силу и изгибающий момент. В замке свода продольная сила N1н равна распору Hн.
Распор от равномерно распределенной нагрузки и собственного веса определяют как для бесшарнирного свода по формуле

(319)
где q - равномерно распределенная нагрузка на 1 м пролета свода.
Изгибающий момент в замке свода
M1н = Mн - Hнlк. (320)
В опорном сечении свода продольная сила

(321)
и изгибающий момент

(322)
Изгибающий момент от равномерно распределенной нагрузки при чистом изгибе вычисляют по формуле

(323)
Коэффициенты
k3 и
k4 в
формулах (319) и
(323) принимаются по
табл. 60 настоящего Руководства в зависимости от величины центрального угла свода

.
От совместного действия нагрузки, собственного веса и температуры изгибающие моменты и продольные силы алгебраически суммируются. Эксцентриситет продольной силы относительно оси, проходящей через центр тяжести приведенного сечения, определяется по формуле

(324)
Наиболее напряженные сечения железобетонного свода в замке и на опоре рассчитывают на внецентренное сжатие при кратковременном и длительном нагреве. Сечение железобетонного свода в замке с одиночной верхней арматурой рассматривается как бетонное, если момент
M1t меньше момента от собственного веса свода и нагрузки
M1н. Прочность опорного сечения свода проверяется без учета арматуры по
формуле (69), принимая расчетное сопротивление бетона (см.
табл. 14,
15 и
16 настоящего Руководства) как для бетонных конструкций. Коэффициент
mбt принимается в зависимости от средней температуры бетона в сечении свода.
Раскрытие трещин в бетоне замка свода при внецентренном сжатии с большим эксцентриситетом и с продольной силой, расположенной со стороны более нагретой поверхности свода, определяют по
формуле (249).
Выгиб железобетонного или бетонного свода в замке от воздействия температуры определяют по формуле

(325)
От равномерно распределенной нагрузки и собственного веса прогиб свода при нагреве в замке вычисляют по формуле

(326)
k5,
k6,
k7 - коэффициенты принимаются по
табл. 60 настоящего Руководства;
Прогиб и выгиб свода от совместного воздействия температуры, собственного веса и нагрузки алгебраически суммируются. При наличии в своде сквозных отверстий площадь сечения бетона следует уменьшить на величину площади отверстий.
6.15. Цилиндрические бетонные своды применяются при температурах нагрева, превышающих предельно допустимую температуру применения арматуры (см.
табл. 24 настоящего Руководства). Толщину цилиндрических бетонных сводов принимают не менее
1/
20 пролета. Бетонные своды опираются на продольные балки по наклонному шву (пяте), идущему перпендикулярно к осевой линии свода.
Цилиндрический бетонный свод, очерченный по дуге круга, подвергается неравномерному нагреву по высоте сечения со стороны нижней поверхности и действию равномерно распределенной вертикальной нагрузки, включающей собственный вес свода. Свод имеет неподвижные опоры. Методика расчета бетонного свода в нагретом состоянии зависит от величины напряжений сжатия в бетоне, вызванных нагрузкой и собственным весом.
Предварительную оценку напряженного состояния производят по средним напряжениям сжатия бетона в замке, определяемых как для трехшарнирного свода
(рис. 52) по формуле

(327)
где b - ширина свода.
Рис. 52. Схема работы трехшарнирного свода при нагреве
с напряжениями сжатия в бетоне от нагрузки
и собственного веса до 0,5 кгс/см2
1 - свод до нагрева; 2 - свод нагретый;
3 - условный шарнир
Если вычисленные по
формуле (327) напряжения сжатия в бетоне замка свода

, то расчет прочности сечений свода можно не производить.
Распор от совместного действия собственного веса, равномерно распределенной нагрузки и температуры определяют как для условного трехшарнирного свода с расчетным пролетом lр и стрелой подъема fр по формуле

(328)
где

(329)

(330)
Выгиб свода в замке от воздействия температуры при

определяют по формуле

(331)
где

(332)

(333)

- деформация свода от воздействия температуры по оси в направлении пролета, вычисляемая по
формуле (23).
Если вычисленные по
формуле (327) напряжения сжатия в бетоне замка свода

, то распор в своде от воздействия температуры определяют по
формуле (307), в которой значения

и

вычисляются как для бетонного свода и жесткость
B - по
формуле (281). При определении жесткости
Eб и

принимают по
табл. 16,
17 и
18 настоящего Руководства в зависимости от средней температуры бетона свода.
Изгибающий момент от воздействия температуры в замке свода определяют по формуле
Изгибающий момент
M2t от воздействия температуры в опорном сечении свода
II-II вычисляют по
формуле (310). При этом расчетное значение
M2t должно удовлетворять
условию (311).
Распор, изгибающий момент в замке свода, продольную силу и изгибающий момент в опорном сечении от равномерно распределенной нагрузки и собственного веса определяют соответственно по
формулам (319) -
(322).
Расчетные изгибающие моменты и продольные силы в замке и в опорном сечении свода от совместного действия собственного веса, нагрузки и температуры определяют алгебраическим суммированием. После определения эксцентриситетов продольных сил в замке и в опорном сечении производят проверку прочности этих сечений на внецентренное сжатие по
формуле (69) для кратковременного и длительного нагревов.
Выгиб свода в замке от воздействия температуры определяют по
формуле (325), а прогиб от собственного веса и нагрузки - по
формуле (326).
6.16. Для уменьшения распора и раскрытия трещин в бетоне от воздействия температуры цилиндрические своды рекомендуется проектировать с податливыми опорами. Податливые опоры при нагревании свода могут перемещаться. Перемещение опор регулируется спиральными или тарельчатыми пружинами, установленными в узлах сопряжения стоек с затяжками каркаса, или соответствующей жесткостью каркаса.
В бетонных и железобетонных сводах с податливыми опорами при расчете распора от воздействия температуры по
формуле (307) необходимо учитывать перемещение опор.
При перемещении опор без их поворота определение распора от воздействия температуры в бетонном и железобетонном сводах производится по формуле

(335)
где

- величина перемещения одной опоры свода от распора
H = 1 кгс, приложенного на уровне пересечения осевой линии свода с пятой;
k1 - коэффициент, принимаемый по
табл. 60 настоящего Руководства;

,
l,

,

,
B - принимаются согласно
пп. 6.14 и
6.15 настоящего Руководства.

(336)
При расчете бетонных сводов с податливыми опорами, когда среднее напряжение сжатия бетона в замке от собственного веса и нагрузки, вычисленное по
формуле (327), более 6 кгс/см
2 угол

и величина

принимаются равными нулю.
Пружины или жесткость каркаса рекомендуется подбирать с таким расчетом, чтобы перемещение опоры свода от распора, равного 1 кгс, находилось в пределах (0,10 - 0,20)10-3 см.
Для обеспечения податливости опор свода при нагревании пружины предварительно должны быть поджаты с таким расчетом, чтобы уравновесить распор от собственного веса. При приложении нагрузки рекомендуется производить дальнейшее поджатие пружин для уравновешивания распора, создаваемого нагрузкой. При уравновешивании пружинами распора от собственного веса свода и нагрузки он определяется по
формуле (319) как для свода с неподвижными опорами.
Расчет прочности сечений свода с податливыми опорами производят на внецентренное сжатие по
п. 6.15 настоящего Руководства как для сводов с неподвижными опорами.
6.17. Плоские подвесные покрытия при температурах нагрева до 800 °C могут быть выполнены из однослойных бетонных плит, подвешенных к несущим металлическим двутавровым балкам, заделанным в бетон. Плиты армируются сварными сетками
(рис. 53).
Рис. 53. Расчетная схема определения прочности заделки
металлической балки в бетон плиты
1 - теплоизоляция; 2 - несущая металлическая балка;
3 - конструктивная арматурная сетка
Расстояние в осях между металлическими балками должно быть не более 1,5 м, а расстояние от оси крайней балки до края плиты - не более 0,5 м. Глубина заделки металлической балки в бетон принимается не менее 50 мм. Толщина бетона плиты определяется теплотехническим расчетом из условия, что температура заделанной в бетон металлической балки не должна превышать предельно допустимую температуру применения стали согласно
табл. 24 настоящего Руководства. Для большей надежности заделки металлической балки в бетон рекомендуется укладывать сетку из арматуры диаметром до 6 мм с размером ячеек не менее 100 x 100 мм и приваривать ее к нижней полке.
Для образования зазоров в бетоне, компенсирующих значительное температурное расширение металла, заделываемая часть балок должна покрываться слоем выгорающей обмазки.
Прочность заделки металлической балки в бетоне определяется на основании расчета на действие изгибающего момента от собственного веса плиты бетонного сечения, наклонного к продольной оси балки под углом 45° от нижней полки металлической балки до верхней поверхности бетона.
Нагрузка, передающаяся от плиты на единицу длины металлической балки, должна удовлетворять условию

(337)
где h1 - глубина заделки балки в бетон;
b - ширина полки балки, см.
6.18. Покрытия при температурах нагрева более 800 °C осуществляются из сборных подвесных железобетонных ребристых панелей
(рис. 54) с окаймляющими поперечными ребрами или без них.
Рис. 54. Расчетная схема определения усилий
в подвесной ребристой панели от собственного веса
Отношение высоты полки
hп к полной высоте панели
h рекомендуется принимать в соответствии с
рис. 14. Расстояния между осями ребер должны приниматься:
lп <= 150 см;
bп <= 150 см и ширина ребра
b >=
hп.ш высоты полки в сечении с усадочным швом (см.
рис. 54). Подвесная панель рассматривается как двухконсольная балка. Расстояния между подвесками
lп и длину консоли
lк следует принимать такими, чтобы в бетоне полки не возникали растягивающие напряжения. При равномерно распределенном весе
q по длине панели это условие выполняется, если
lк >= 0,5
lп.
Прочность подвесных панелей, имеющих окаймляющие ребра, проверяют в наиболее напряженных местах: в вертикальном сечении
I-I и в горизонтальных сечениях
II-II и
III-III (рис. 54). Расчет прочности вертикального сечения
I-I производится на действие изгибающего момента от собственного веса консоли при длительном нагреве. Этот момент определяют по формуле

(338)
где q - расчетная нагрузка от собственного веса подвесной панели, кгс/см.
При ширине ребра b > 1,2hп или b > 1,2hпш (если есть усадочные швы в полке) расчет панели производят без учета усилий, вызванных температурой.
Расчет прочности горизонтальных сечений II-II и III-III производят на действие собственного веса полки и тепловой изоляции, расположенной между ребрами, при длительном нагреве.
Собственный вес полки и тепловой изоляции вызывает в сечениях II-II и III-III внецентренное растяжение. Напряжения растяжения в точке 1 сечения II-II ребра равны

(339)
при расчете сечения
III-III в
формулу (339) вместо
b вводится величина
b +
c;
N - продольная растягивающая сила от собственного веса панели ниже рассматриваемого сечения;
M1 - изгибающий момент, определяемый как для защемленной на двух опорах бетонной балки единичной ширины:

(340)
где q1 - равномерно распределенная нагрузка от собственного веса панели ниже расчетного сечения II-II или III-III.
При расчете панели, в которой консоль не имеет окаймляющего поперечного ребра по торцу, необходимо определять также изгибающий момент в месте сопряжения полки с поперечным ребром от собственного веса консоли в сечении II-II по формуле

(341)
Растягивающие напряжения в бетоне, вычисленные по
формуле (339), должны удовлетворять условию прочности

(342)
В неравенстве коэффициент
mр.t принимают по
табл. 16 настоящего Руководства в зависимости от температуры бетона сечения
II-II и
III-III.
6.19. Купола перекрытий часто имеют многочисленные технологические отверстия диаметром 10 - 50 мм или несколько больших отверстий. Дырчатые купола выполняют из монолитного или сборного бетона. В цилиндрических печах кипящего слоя при диаметре перекрытия до 3 м монолитный дырчатый купол целесообразно разбивать радиальными и кольцевыми швами бетонирования на 3 - 8 сегментных элемента и один центральный круглый элемент диаметром до 1 м
(рис. 55). При диаметре купола перекрытия более 3 м разрешается увеличивать число как радиальных, так и кольцевых швов. Купола из сборных элементов должны иметь такое же расположение швов. Максимальный размер каждого элемента, расположенного между швами, не должен превышать 1,5 м. Радиальный шов в верхней части имеет уширение
(рис. 56), которое заполняется жаростойким раствором.
Рис. 55. Расчетные схемы бетонного купола перекрытия
от воздействия температуры
1 - компенсационный шов; 2 - пята купола; 3 - радиальный
шов; 4 - кольцевой шов
Рис. 56. Радиальный шов в бетонном куполе
1 - бетонный элемент; 2 - жаростойкий раствор; 3 - ширина
шва в сборных куполах не менее 20 мм,
а в монолитных - впритык
Кольцевые и радиальные стыки между сборными элементами заполняют жаростойким раствором на всю высоту сечения.
В монолитных бетонных куполах перекрытий без сквозных отверстий следует предусматривать радиальные и кольцевые усадочные швы со стороны нижней сферической поверхности согласно
п. 5.48 настоящего Руководства.
Расчет бетонного купола перекрытия с плоской верхней поверхностью на воздействие равномерно распределенной нагрузки, собственного веса и температуры производят согласно
п. 6.12 настоящего Руководства как сферическую бетонную оболочку, срединная поверхность которой проходит через середину высоты сечения купола в замке и в пяте
(рис. 55). В расчете принимается средняя толщина оболочки

с радиусом кривизны оболочки
r. Собственный вес оболочки принимается по средней высоте сечения и равномерно распределенным по длине пролета.
При наличии в куполе сквозных отверстий следует учитывать ослабление сечения бетона отверстиями.
6.20. Расчет бетонных сводов с плоской верхней поверхностью и нижней цилиндрической поверхностью на воздействие равномерно распределенной нагрузки, собственного веса и температуры производят по аналогии с расчетом цилиндрических сводов, изложенным в
п. 6.15 настоящего Руководства. При этом распор от воздействия температуры в сводах с неподвижными опорами вычисляют по
формуле (307), а в сводах с податливыми опорами - по
формуле (335). Жесткость таких сводов принимается по средней высоте свода в сечении, расположенном на расстоянии одной четверти пролета от опоры.
Для восприятия распора от бетонного свода устраивают добавочное армирование стенки, опорную раму или каркас.
6.21. Подземные и надземные борова из жаростойкого бетона и железобетона проектируют для отвода дымовых газов. Конструкцию подземных боровов обычно принимают из сборных элементов прямоугольного, круглого, эллиптического и других видов сечения. Выбор формы сечения борова производят в зависимости от температуры отводимых газов. При температурах отводимых газов, не превышающих предельно допустимую температуру применения арматуры (см.
табл. 24 настоящего Руководства), борова проектируются прямоугольного и круглого сечений с передачей на арматуру больших растягивающих усилий, возникающих от внешних нагрузок и температуры. При температуре отходящих газов более высоких, при которых нельзя использовать работу арматуры на растяжение, целесообразно применять подземные борова эллиптического сечения или из жаростойких бетонных элементов с вентилируемым пространством и несущими железобетонными конструкциями.
Подземный боров круглого сечения из жаростойкого железобетона
(рис. 57) рассчитывается по следующим рабочим состояниям:
а) пуск в эксплуатацию. Действуют нагрузки, собственный вес и неравномерный нагрев по высоте сечения стенки борова. Горизонтальные сечения стен борова рассчитывают на изгиб от совместного действия температуры, собственного веса и нагрузки, вертикальные - от нагрузки и собственного веса. Внутренняя арматура в сжатой зоне стенок борова в расчете не учитывается.
а - от воздействия температуры; б - от воздействия нагрузки;
1 - температура; 2 - деформация; 3 - напряжение; 4 - усилия
в подземном круглом железобетонном борове
Расчетные сопротивления бетона и арматуры принимаются для кратковременного нагрева;
б) боров находится в эксплуатации. Стенки борова равномерно прогрелись. Вертикальные сечения рассчитываются на действие нагрузки и собственного веса. Наружная арматура в сжатой зоне сечения в расчете не учитывается.
Усилия от нагрузки определяются по правилам строительной механики, а изгибающий момент от неравномерного нагрева по высоте стенки борова - по
формуле (46).
При расчете круглых боровов дополнительного учета нормальных сил можно не производить, так как нормальные силы оказывают небольшое влияние на несущую способность железобетонного борова. Неучет нормальных сил идет в запас прочности.
При расположении бетонного или железобетонного борова над землей или в специальном коробе, воспринимающем внешнюю нагрузку, расчет борова производят на изгибающий момент от неравномерного нагрева по высоте стенки и на собственный вес. В этом случае борова могут иметь любое очертание.
6.22. При температуре дымовых газов выше предельно допустимой температуры применения арматуры (см.
табл. 24 настоящего Руководства) подземный боров из жаростойкого бетона должен иметь поперечное сечение в виде эллипса
(рис. 58). Расчет борова производят по следующим рабочим состояниям:
а) боров находится в земле. Действуют нагрузки и собственный вес. Очертание борова подбирается таким, при котором получаются наименьшие изгибающие моменты от вертикальных и горизонтальных сил. Эллипс должен быть тем больше вытянут в вертикальном направлении, чем больше отношение между интенсивностью вертикального и бокового давления.
а - от воздействия температуры; б - от воздействия нагрузки;
1 - температура; 2 - деформация; 3 - напряжение;
4 - усилия в подземном эллиптическом бетонном борове
При равномерно распределенной нагрузке отношение между вертикальным и горизонтальным диаметрами эллипса должно составлять примерно корень квадратный из отношения вертикального и бокового давления.
Усилия в сечениях стенки борова от нагрузки и собственного веса находят по формулам строительной механики;
б) пуск в эксплуатацию. Стенки борова неравномерно нагреты. Боковые сечения борова рассчитываются на внецентренное сжатие от действия момента, вызванного неравномерным нагревом по высоте сечения и сжимающей силы от нагрузки. Если по расчету арматура у наружной стороны стенки не требуется, то ее устанавливают конструктивно;
в)
боров находится в эксплуатации. Стенки равномерно прогреты. Арматура в работе не учитывается из-за высокой ее температуры. Бетонные сечения борова рассчитываются на сжатие по
формуле (69).
Расчетные сопротивления бетона принимаются для длительного нагрева в зависимости от средней температуры бетона сжатой зоны.
Для эллиптических боровов нормальные силы необходимо учитывать, так как при сравнительно малых величинах моментов они значительно снижают эксцентриситет приложения равнодействующих сил в сжатом сечении.
Наружное армирование стенок должно быть проверено расчетом на монтажные нагрузки.
Примеры расчета элементов бетонных и железобетонных
конструкций, работающих в условиях воздействия
повышенных и высоких температур
Примеры расчета прочности элементов бетонных конструкций
Пример 1. Расчет прочности внецентренно-сжатого бетонного элемента прямоугольного сечения, односторонне нагретого до 600 °C, при приложении продольной силы со стороны менее нагретой грани сечения и 2e' < h1.
Дано: размеры сечения свободно опертого элемента
b = 50 см;
h = 50 см; расчетная длина
l0 = 4,5 м; элемент неравномерно нагрет по высоте сечения - температура наиболее нагретой грани 600 °C; бетон
состава N 11 (табл. 11), марки М250,
Rпр = 110 кгс/см
2 (табл. 14),
Eб = 165·10
3 кгс/см
2 (табл. 17); расчетные значения продольной силы: от всех нагрузок (нагрузки, суммарная длительность действия которых мала, отсутствуют)
N = 70 тс, в том числе от длительно действующих нагрузок
Nдл = 52,5 тс; все нагрузки приложены со стороны менее нагретой грани сечения с эксцентриситетом, равным 10 см.
Требуется проверить прочность сечения.
Расчет. Из теплотехнического расчета получено изменение температуры на 1 см высоты сечения, равное 11 °C.
Прежде всего необходимо определить эксцентриситет приложения продольной силы вследствие перемещения положения центра тяжести сечения, вызванного его неравномерным нагревом. Для этого, согласно
п. 1.28, сечение разбиваем на две части, средняя температура бетона которых оказывается равной 225 и 500 °C, и производим приведение площадей частей к площади ненагретого бетона по
формуле (2).
Линия раздела сечения проходит по бетону, имеющему температуру 400 °C, и высота каждой части сечения будет равна (см.
рис. 9,
б):
h1 = 50 - h2 = 50 - 18,18 = 31,82 см.
Значения коэффициентов

и

(для кратковременного нагрева) принимаем по
табл. 16 и
18 соответственно:
при температуре 225 °C -

,

;
при температуре 500 °C -

,

.
Расстояние от центра тяжести приведенного сечения до грани, наиболее сжатой внешней нагрузкой (в данном случае менее нагретой грани сечения), определяем по
формуле (5)
Суммарный эксцентриситет продольной силы
e0 относительно центра тяжести приведенного сечения определяется по
формуле (121).
Величина расчетного эксцентриситета продольной силы относительно центра тяжести приведенного сечения равна

. Определяем величину случайного эксцентриситета

, согласно
п. 1.30, так как свободно опертый элемент является статически определимой конструкцией:
Эксцентриситет от температурного выгиба
ft, вызванного неравномерным нагревом по высоте сечения элемента, определяется, согласно
п. 4.26, по
формуле (280). Для этого определяем величину кривизны оси элемента от нагрева, согласно
п. 1.40, по
формуле (24).
Коэффициенты

и

, входящие в
формулу (24), принимаются в зависимости от температуры бетона менее и более нагретой грани сечения по
табл. 20:
при
tб = 50 °C

при
tб1 = 600 °C

e0 = 5,71 + 1,67 + 1,01 = 8,39 см.
Для учета влияния прогиба элемента определяем его гибкость

, где
r вычисляем, согласно
п. 3.29, по
формуле (125).
Момент инерции приведенного сечения
Iп определяем по
формуле (11):
Поскольку

, учитываем при расчете влияние прогиба на прочность элемента согласно
п. 3.3.
Для вычисления коэффициента

, на который должна быть умножена величина
e0, определяем значение
Nкр по
формуле (88). Для этого предварительно вычисляем значение
tмин по
формуле (90),
mбt принимаем по
табл. 16 в зависимости от температуры бетона в центре тяжести приведенного сечения
tц.т = 600 - (50 - 20,71)11 = 278 °C; mбt = 0,766.
Согласно
п. 2.10 при длительном нагреве расчетное сопротивление бетона умножаем на коэффициенты
mб1 = 0,85 и
mб5 = 0,9, принимаемые по
табл. 15
Rпр = 110·0,85·0,9 = 84 кгс/см2.
Так как

, принимаем
t = 0,346.
Эксцентриситет
e', с учетом прогиба, вычисляем по
формуле (71):
e' = 20,71 - 8,39·1,44 = 8,63 см.
Так как 2
e' = 17,26 см <
h1 = 31,82 см, то расчет прочности элемента выполняется, согласно
п. 3.6, из
условия (69).
Fб = 2·50·8,63 = 863 см2
и определяем значение коэффициента
mбt = 1 по
табл. 16 в зависимости от средней температуры бетона сжатой зоны сечения:
tсж.з = 600 - 50·11 + 8,63·11 = 145 °C.
Nпред = 1·84·863 = 72 621,5 кгс = 72,6 тс > N = 70 тс,
т.е. прочность сечения обеспечена.
Пример 2. Расчет прочности внецентренно-сжатого бетонного элемента прямоугольного сечения, односторонне нагретого до 700 °C, при приложении продольной силы со стороны менее нагретой грани сечения и 2e' > h1.
Дано: размеры сечения свободно опертого элемента
b = 50 см;
h = 50 см; расчетная длина
l0 = 450 см; элемент неравномерно нагрет по высоте сечения - температура наиболее нагретой грани 700 °C, наименее нагретой грани 100 °C; бетон
состава N 11 (табл. 11), марки М250,
Rпр = 110 кгс/см
2 (табл. 14);
Eб = 165·10
3 кгс/см
2 (табл. 17); расчетные значения продольной силы: от всех нагрузок (нагрузки, суммарная длительность действия которых мала, отсутствуют)
N = 90 тс, в том числе от длительно действующих нагрузок
Nдл = 27 тс; все нагрузки приложены со стороны менее нагретой грани сечения с эксцентриситетом, равным 7 см.
Требуется проверить прочность сечения.
Расчет. Прежде всего необходимо определить эксцентриситет приложения продольной силы вследствие перемещения центра тяжести сечения, вызванного его неравномерным нагревом. Для этого, согласно
п. 1.28, сечение разбиваем на две части, средняя температура которых оказывается равной 250 и 550 °C, и производим приведение площадей частей к площади ненагретого бетона по
формуле (2).
Линия раздела сечения проходит по бетону, имеющему температуру 400 °C, и высота каждой части сечения будет равна: h1 = 25 см, h2 = 25 см.
Значения коэффициентов

и

(для кратковременного нагрева) принимаем по
табл. 16 и
18 соответственно:
при температуре 250 °C -

;

;
при температуре 550 °C -

;

.
Расстояние от центра тяжести приведенного сечения до грани, наиболее сжатой внешней нагрузкой (в данном случае менее нагретой грани сечения), определяется по
формуле (5)
Величина расчетного эксцентриситета продольной силы относительно центра тяжести приведенного сечения равна
Определяем величину случайного эксцентриситета

согласно
п. 1.30:
Эксцентриситет от температурного выгиба
ft, вызванного неравномерным нагревом по высоте сечения элемента, определяется, согласно
п. 4.26, по
формуле (280). Для этого определяем величину кривизны оси элемента от нагрева, согласно
п. 1.40, по
формуле (24).
Коэффициенты

и

, входящие в
формулу (24), принимаются в зависимости от температуры бетона менее и более нагретой грани сечения по
табл. 20:
при
tб = 100 °C

при
tб1 = 700 °C

e0 = 1,2 + 1,67 + 0,85 = 3,72 см.
Для учета влияния прогиба элемента определяем его гибкость

, где
r вычисляем, согласно
п. 3.29, по
формуле (125).
Момент инерции приведенного сечения
Iп определяем по
формуле (11):
Поскольку

, учитываем при расчете влияние прогиба на прочность элемента согласно
п. 3.3.
Для вычисления коэффициента

, на который должна быть умножена величина
e0, определяем значение
Nкр по
формуле (88). Для этого предварительно вычисляем значение
tмин по
формуле (90);
mбt = 0,65 принимаем по
табл. 16 для
состава N 11 в зависимости от температуры бетона в центре тяжести приведенного сечения:
Согласно
п. 2.10, при длительном нагреве расчетное сопротивление бетона умножаем на коэффициенты
mб1 = 0,85 и
mб5 = 0,9, принимаемые по
табл. 15:
Rпр = 110·0,85·0,9 = 84 кгс/см2.
Так как

, принимаем
t = 0,36.
Эксцентриситет
e', с учетом прогиба, вычисляем по
формуле (71):
e' = 19,2 - 3,72·1,56 = 13,4 см.
Так как 2
e' = 26,8 см >
h1 = 25 см, то расчет прочности элемента выполняется, согласно
п. 3.6, из
условия (76).
Для этого необходимо предварительно вычислить

по
формуле (79). Коэффициенты

и

,

и

(для кратковременного нагрева), входящие в эту
формулу, принимаем по
табл. 16 и
18 для
состава N 11 в зависимости от средней температуры бетона участков сжатой зоны высотой соответственно
h1 = 25 см и приближенно назначенной высоты

:
для
h1 = 25 см -
tср = 250 °C,

,

;
Полученное значение

близко по значению к заданному

, поэтому в расчете принимаем

.
Fб1 = 50·25 = 1250 см2;
Fб2 = 50·2,9 = 145 см2.
Коэффициенты
mбt определяем по
табл. 16 для
состава N 11 в зависимости от средней температуры бетона участков сжатой зоны высотой
h1 = 25 см и

соответственно:
для tср = 250 °C, mбt = 0,85;
для tср = 418 °C, mбt = 0,52.
Nпред = 84·0,85·1250 + 84·0,52·145 = 95 754 кгс =
= 95,75 тс > N = 90 тс,
т.е. прочность сечения обеспечена.
Пример 3. Расчет прочности внецентренно-сжатого бетонного элемента прямоугольного сечения, в котором недопустимо появление трещин, при его равномерном нагреве до 200 °C.
Дано: размеры сечения
b = 50 см;
h = 50 см; расчетная длина
l0 = 4 м; элемент равномерно нагрет до 200 °C; бетон
состава N 1 (табл. 11), марки М300,
Rпр = 135 кгс/см
2 (табл. 14), естественного твердения,
Eб = 290·10
3 кгс/см
2 (табл. 17); расчетные значения продольной силы и изгибающего момента: от всех нагрузок (нагрузки, суммарная длительность действия которых мала, отсутствуют)
N = 40 тс,
M = 3,6 тс·м, в том числе от длительно действующих нагрузок
Nдл = 30 тс,
Mдл = 2,7 тс·м.
Требуется проверить прочность сечения.
Расчет. Согласно
п. 2.10, при длительном нагреве расчетные сопротивления бетона умножаем на коэффициенты
mб1 = 0,85 и
mб5 = 0,9, принимаемые по
табл. 15:
Rпр = 135·0,85·0,9 = 103 кгс/см2;
Rр = 10·0,85·0,9 = 7,7 кгс/см2.
Значения коэффициентов
mбt и
mрt,

и

принимаем по
табл. соответственно 16 и
18 при
t = 200 °C:
mбt = 0,8,
mрt = 0,5,

;

(для кратковременного нагрева).
Расчетный элемент является элементом статически неопределимой конструкции, поэтому случайный эксцентриситет не учитываем, поскольку
Для решения вопроса об учете влияния прогиба на прочность элемента определяем его гибкость

. Для равномерно нагретого прямоугольного сечения

. В плоскости действия изгибающего момента

и

поэтому учитываем влияние прогиба на прочность элемента согласно
п. 3.7. Для этого предварительно вычисляем
Для вычисления коэффициента

, на который должна быть умножена величина
e0, определяем значение
Nкр по
формуле (88). Для этого предварительно вычисляем значение
tмин по
формуле (90):
Так как

, согласно
п. 3.7, принимаем
t = 0,34.
Проверку сечения производим согласно
п. 3.5.
Nпред = 0,8·103·1520 = 125 588 кгс = 126 тс > N = 40 тс.
Согласно
п. 3.6, в связи с тем, что по условию примера в элементе не допускается появление трещин, независимо от расчета из
условия (69) необходима проверка сечения с учетом сопротивления бетона растянутой зоны.
т.е. прочность сечения обеспечена.
Пример 4. Расчет прочности внецентренно-сжатого бетонного элемента таврового сечения, односторонне нагретого до 300 °C, при приложении продольной силы со стороны более нагретой грани сечения (полки) и

.
Дано: размеры сечения элемента

;

;
b = 12 см;
h = 50 см; расчетная длина
l0 = 4 м; элемент неравномерно нагрет по высоте сечения: наиболее нагретая грань сжатой полки имеет расчетную температуру 300 °C, наименее нагретая наружная поверхность ребра имеет расчетную температуру 50 °C; бетон
состава N 2 (табл. 11), марки М300, подвергнут тепловой обработке при атмосферном давлении;
Rпр = 135 кгс/см
2 (табл. 14),
Eб = 260·10
3 кгс/см
2 (табл. 17); расчетные значения продольной силы и изгибающего момента: от всех нагрузок (нагрузки, суммарная длительность действия которых мала, отсутствуют)
N = 100 тс,
M = 6 тс·м, в том числе от длительно действующих нагрузок
Nдл = 25 тс,
Mдл = 1,5 тс·м.
Требуется проверить прочность сечения.
Расчет. Определим расстояние от центра тяжести сечения до наиболее сжатой (в данном случае до более нагретой) грани сечения
Расчетный эксцентриситет продольной силы относительно центра тяжести сечения
Выгиб элемента, вызванный неравномерным нагревом сечения, уменьшает расчетный эксцентриситет продольной силы

, потому он не учитывается.
Поскольку расчетный элемент является элементом статически определимой конструкции, то, согласно
п. 1.30, учитываем величину случайного эксцентриситета:
e0 = 6 + 1,67 = 7,67 см.
Для учета влияния прогиба элемента определяем его гибкость

, где
r - радиус инерции сечения.
Определяем момент инерции I относительно центра тяжести сечения:
Тогда
Поскольку

, учитываем при расчете влияние прогиба на прочность элемента согласно
п. 3.3.
Для вычисления коэффициента

, на который должна быть умножена величина
e0, определяем значение
Nкр по
формуле (88). Величину
Iп, входящую в
формулу (88), определяем по
формуле (1). Значения коэффициентов

и

(для кратковременного нагрева) принимаем соответственно по
табл. 16 и
18 для состава N 2 в зависимости от температуры бетона в центре тяжести сечения:
при
и

Значение
tмин вычисляем по
формуле (90),
mбt = 0,726 принимаем по
табл. 16 для
состава N 2 в зависимости от температуры бетона в центре тяжести сечения, равной 228 °C.
Согласно
п. 2.10, при длительном нагреве расчетное сопротивление бетона умножаем на коэффициенты
mб1 = 0,85 и
mб5 = 0,9, принимаемые по
табл. 15:
Rпр = 135·0,85·0,9 = 103 кгс/см2.
Так как

, принимаем
t = 0,345.
Эксцентриситет
e', с учетом прогиба, вычисляем по
формуле (71):
e' = 14,32 - 7,67·1,536 = 2,54 см.
Коэффициент
mбt принимаем по
табл. 16 для
состава N 2 в зависимости от средней температуры сжатой зоны бетона
Fб
при
mбt = 0,539.
Nпред = 103·0,539·1983,75 = 110 431 кгс =
= 110,4 тс > N = 100 тс,
т.е. прочность сечения обеспечена.
Пример 5. Расчет прочности внецентренно-сжатого бетонного элемента таврового сечения, односторонне нагретого до 700 °C, при приложении продольной силы со стороны более нагретой грани сечения (полки) и

.
Дано: размеры сечения элемента

;

;
b = 12 см;
h = 50 см, расчетная длина
l0 = 4 м; элемент неравномерно нагрет по высоте сечения: наиболее нагретая грань сжатой полки имеет расчетную температуру 700 °C, наименее нагретая наружная поверхность ребра имеет расчетную температуру 100 °C; бетон
состава N 11 (табл. 11), марки М250,
Rпр = 110 кгс/см
2 (табл. 14),
Eб = 165·10
3 кгс/см
2 (табл. 17); расчетные значения продольной силы и изгибающего момента: от всех нагрузок (нагрузки, суммарная длительность действия которых мала, отсутствуют)
N = 20 тс;
M = 0,4 тс·м, в том числе от длительно действующих нагрузок
Nдл = 4 тс;
Mдл = 0,08 тс·м.
Требуется проверить прочность сечения.
Расчет. Из теплотехнического расчета получена средняя температура бетона свесов полки 670 °C, средняя температура бетона ребра 322 °C.
Определяем эксцентриситет приложения продольной силы вследствие перемещения положения центра тяжести сечения, вызванного его неравномерным нагревом. Для этого, согласно
п. 1.28, сечение разбиваем на две части по границе между ребром и полкой и производим приведение площадей полки и ребра к площади ненагретого бетона по
формуле (2).
Значения коэффициентов

и

(для кратковременного нагрева) принимаем соответственно по
табл. 16 и
18:
при температуре 670 °C -

,

;
при температуре 322 °C -

,

.
Расстояние от центра тяжести приведенного сечения до наиболее сжатой грани (в данном случае до более нагретой грани сечения) определяем по
формуле (5):
Расстояние от центра тяжести неприведенного сечения до той же грани
Расчетный эксцентриситет продольной силы относительно центра тяжести приведенного сечения
Выгиб элемента, вызванный неравномерным нагревом сечения, уменьшает расчетный эксцентриситет продольной силы

, поэтому он не учитывается.
Поскольку расчетный элемент является элементом статически определимой конструкции, то, согласно
п. 1.30, учитываем величину случайного эксцентриситета:
e0 = 10,37 + 1,67 = 12,04 см.
Для учета влияния прогиба элемента определяем его гибкость

, где
r вычисляем, согласно
п. 3.29, по
формуле (125).
Момент инерции приведенного сечения
Iп определяем по
формуле (11):
и
Поскольку

, учитываем при расчете влияние прогиба на прочность элемента согласно
п. 3.3. Для вычисления коэффициента

, на который должна быть умножена величина
e0, определяем значение
Nкр по
формуле (88). Для этого предварительно вычисляем значение
tмин по
формуле (90);
mбt = 0,508 принимаем по
табл. 16 в зависимости от температуры бетона в центре тяжести приведенного сечения, равной 428 °C.
Согласно
п. 2.10, при длительном нагреве расчетное сопротивление бетона умножаем на коэффициенты
mб1 = 0,85 и
mб5 = 0,9, принимаемые по
табл. 15:
Rпр = 110·0,85·0,9 = 84 кгс/см2.
Так как

, принимаем
t = 0,377.
Эксцентриситет
e', с учетом прогиба, вычисляем по
формуле (71):
e' = 22,69 - 12,04·1,206 = 8,17 см.
Для этого необходимо предварительно вычислить

по
формуле (81). Коэффициенты

и

,

и

(для кратковременного нагрева), входящие в эту формулу, принимаем по
табл. 16 и
18 для
состава N 11 в зависимости от средней температуры бетона участков сжатой зоны высотой

и приближенно назначенной высоты

:
Полученное значение

больше заданного значения

, поэтому вторично назначим высоту

и уточним среднюю температуру бетона и значения коэффициентов

и

для этого участка:
tср = 502 °C,

;

.
Полученное значение

близко по значению к повторно заданному

, поэтому для расчета принимаем

.
Fб1 = 75·13 = 975 см2;
Fб2 = 12·7,4 = 88,8 см2.
Коэффициенты
mбt определяем по
табл. 16 для
состава N 11 в зависимости от средней температуры бетона участков сжатой зоны высотой

и

соответственно:
для tср = 670 °C mбt = 0,230;
для tср = 502 °C mбt = 0,398.
Nпред = 84·0,230·975 + 84·0,398·88,8 = 21 844,5 кгс =
= 21,84 тс > N = 20 тс,
т.е. прочность сечения обеспечена.
Примеры расчета прочности элементов
железобетонных конструкций
Пример 6. Расчет прочности изгибаемого железобетонного элемента прямоугольного сечения при его равномерном нагреве до 100 °C.
Дано: размеры сечения
b = 30 см;
h = 80 см;
a = 7 см; элемент равномерно нагрет до 100 °C; бетон
состава N 1 (табл. 11), марки М300,
Rпр = 135 кгс/см
2 (табл. 14); растянутая арматура из стали класса А-III,
Rа = 3600 кгс/см
2 (табл. 29) с площадью поперечного сечения
Fа = 29,45 см
2 
. Расчетный изгибающий момент от длительно действующей нагрузки
M = 55 тс·м.
Требуется проверить прочность сечения.
Расчет. Согласно
п. 2.10, при длительном нагреве расчетное сопротивление бетона умножаем на коэффициент
mб1 = 0,85, принимаемый по
табл. 15:
Rпр = 135·0,85 = 115 кгс/см2.
Значения коэффициентов
mбt,
mаt и

принимаем соответственно по
табл. 16 и
35. При температуре 100 °C
mбt = 0,9,
mаt = 1,

h0 = 80 - 7 = 73 см.
По
формуле (93) определяем граничное значение относительной высоты сжатой зоны бетона

, вычислив предварительно значение

по
формуле (94):
В связи с учетом коэффициента
mб1 = 0,85, согласно
п. 3.13, в
формуле (93) вместо величины 4000 принята величина 5000:
Mпред. = 0,9·115·30·32,31(73 - 0,5·32,31) =
= 56,91 тс·м > M = 55 тс·м,
т.е. прочность сечения обеспечена.
Пример 7. Определение площади поперечного сечения растянутой арматуры изгибаемого железобетонного элемента прямоугольного сечения, односторонне нагретого до 200 °C, при заданной площади сечения сжатой арматуры.
Дано: размеры сечения
b = 30 см;
h = 70 см;
a = 5 см;
a' = 3 см; элемент неравномерно нагрет по высоте сечения; наиболее нагретая сжатая грань сечения имеет температуру 200 °C; бетон
состава N 1 (табл. 11), марки М400,
Rпр = 175 кгс/см
2 (табл. 14); вся арматура из стали класса А-III,
Rа = 3600 кгс/см
2 (табл. 29); площадь сечения сжатой арматуры

; расчетный изгибающий момент, вызванный длительно действующими нагрузками в условиях систематического воздействия температуры,
M = 45 тс·м.
Требуется определить площадь сечения растянутой арматуры.
Расчет. Из теплотехнического расчета получено изменение температуры на 1 см высоты сечения, равное 2,5 °C. В таком случае температура арматуры равна:
сжатой

;
растянутой tа = 200 - 65·2,5 = 38 °C.
Значения коэффициентов
mаt принимаем по
табл. 35 в зависимости от температуры арматуры:
для сжатой mаt = 0,91;
для растянутой mаt = 1.
Согласно
п. 2.10, при длительном нагреве расчетное сопротивление бетона умножаем на коэффициент
mб1 = 0,85, принимаемый по
табл. 15:
Rпр = 175·0,85 = 149 кгс/см2.
Согласно
примеч. 7 к табл. 16, среднюю температуру бетона сжатой зоны определяем по температуре бетона, расположенного на расстоянии 0,2
h0 от сжатой грани сечения:
h0 = 70 - 5 = 65 см,
температура бетона сжатой зоны
tсж.з = 200 - 0,2·65·2,5 = 168 °C.
Для этой температуры бетона по
табл. 16 определяем значение коэффициента
mбt = 0,83.
В связи с учетом коэффициента
mб1 = 0,85, согласно
п. 3.13, в
формуле (93) вместо величины 4000 принята величина 5000. Значение коэффициента

в зависимости от температуры растянутой арматуры принято по
табл. 35:
AR = 0,62(1 - 0,5·0,62) = 0,42.
Поскольку
A0 = 0,17 <
AR = 0,42, по
табл. 41 в зависимости от значения
A0 находим

.
Так как

, определяем необходимую площадь растянутой арматуры по
формуле (111):
Принимаем

(
Fа = 24,18 см
2).
Пример 8. Определение площади поперечного сечения растянутой арматуры изгибаемого железобетонного элемента прямоугольного сечения при одностороннем нагреве до 1100 °C.
Дано: размеры сечения
b = 15 см;
h = 55 см;
a = 3,5 см; элемент неравномерно нагрет по высоте сечения; наиболее нагретая сжатая грань имеет температуру 1100 °C; бетон
состава N 11 (табл. 11), марки М300,
Rпр = 135 кгс/см
2 (табл. 14); растянутая арматура из стали класса А-III,
Rа = 3600 кгс/см
2 (табл. 29). Расчетный изгибающий момент при длительном нагреве и нагрузке
M = 3,2 тс·м.
Требуется определить площадь сечения растянутой арматуры.
Расчет. Из теплотехнического расчета получено изменение температуры на 1 см высоты сечения, равное 17,5 °C. В таком случае температура арматуры равна
tа = 1100 - (55 - 3,5)17,5 = 199 °C.
Значение коэффициента
mаt = 0,9 принимаем по
табл. 35 в зависимости от температуры арматуры.
В связи с тем, что температура наиболее нагретой грани элемента превышает предельно допустимую температуру применения бетона, указанную в
графе 7 табл. 11, сечение, согласно
п. 3.19, рассчитывается с неполной высотой. Для этого определяем расстояние
x1 от наиболее нагретой грани до бетона, имеющего предельно допустимую температуру применения, равную для
состава N 11 1000 °C. Эта температура удовлетворяет требование
п. 1.15
h0 = h - a = 55 - 3,5 = 51,5 см равна
hy = 51,5 - 5,7 = 45,8 см.
Согласно
примеч. 7 к табл. 16, среднюю температуру бетона сжатой зоны в первом приближении определяем по температуре бетона, расположенного на расстоянии 0,2
hy от сжатой грани сечения.
Температура бетона сжатой зоны
tсж.з = 1000 - 0,2·45,8·17,5 = 841 °C.
Для этой температуры бетона по
табл. 16 определяем значение коэффициента
mбt = 0,1.
Согласно
п. 2.10, при длительном нагреве расчетное сопротивление бетона умножаем на коэффициент
mб1 = 0,85, принимаемый по
табл. 15:
Rпр = 135·0,85 = 115 кгс/см2.
В связи с тем, что
A01 >
AR, а следовательно

, уточняем среднюю температуру бетона сжатой зоны при граничном значении высоты сжатой зоны, равном 0,7
hy:
tсж.з = 1000 - 0,35·45,8·17,5 = 720 °C.
Для этой температуры бетона по
табл. 16 определяем значение коэффициента
mбt = 0,186.
В зависимости от значения
A01 по
табл. 41 находим

.
Полученное значение

близко к принятому граничному значению, поэтому пересчета можно не делать. Действительно, если принять среднее значение

, то для этой высоты сжатой зоны ее средняя температура будет равна:
tсж.з = 1000 - 0,34·45,8·17,5 = 728 °C.
mбt = 0,181;
A01 = 0,452;

Принимаем

(
Fа = 3,08 см
2).
Пример 9. Определение площади поперечного сечения арматуры изгибаемого железобетонного элемента таврового сечения при его равномерном нагреве до 100 °C.
Дано: размеры сечения

;

;
b = 20 см;
h = 60 см;
a = 6 см; элемент равномерно нагрет до 100 °C; бетон
состава N 1 (табл. 11), марки М200,
Rпр = 90 кгс/см
2 (табл. 14); арматура из стали класса А-III,
Rа = 3600 кгс/см
2 (табл. 29); расчетный изгибающий момент от длительного действия нагрева и нагрузки
M = 25 тс·м.
Требуется определить площадь сечения арматуры.
Расчет. Согласно
п. 2.10, при длительном нагреве расчетное сопротивление бетона умножаем на коэффициент
mб1 = 0,85, принимаемый по
табл. 15:
Rпр = 90·0,85 = 76,5 кгс/см2.
Значения коэффициентов
mбt,
mаt и

принимаем соответственно по
табл. 16 и
35. При температуре бетона 100 °C
mбt = 0,9;
mаt = 1;

h0 = 60 - 6 = 54 см.
В связи с учетом коэффициента
mб1 = 0,85, согласно
п. 3.13, в
формуле (93) вместо величины 4000 принята величина 5000:
AR = 0,68(1 - 0,5·0,68) = 0,44;
Следовательно, сжатой арматуры не требуется.
Mпред = 0,9·76,5·40·12(54 - 0,5·12) =
= 15,86 тс·м < M = 25 тс·м.
Значит, граница сжатой зоны проходит в ребре.
Поскольку
A0, определенное без учета сжатой арматуры, меньше
AR, сжатой арматуры не требуется. Как видно, проверка этого критерия проще, чем пробное определение значения
.
Принимаем

(
Fа = 19,64 см
2).
Пример 10. Определение площади поперечного сечения растянутой арматуры изгибаемого железобетонного элемента таврового сечения при одностороннем нагреве до 700 °C.
Дано: размеры сечения

;
b = 13 см;

;
h = 50 см;
a = 4 см; элемент неравномерно нагрет по высоте сечения; наиболее нагретая грань полки имеет температуру бетона 700 °C; бетон
состава N 11 (табл. 11), марки М300,
Rпр = 135 кгс/см
2 (табл. 14); арматура из стали класса А-III,
Rа = 3600 кгс/см
2 (табл. 29); расчетный изгибающий момент, вызванный длительно действующей нагрузкой в условиях длительного нагрева,
M = 12 тс·м.
Требуется определить площадь сечения растянутой арматуры.
Расчет. Из теплотехнического расчета получено изменение температуры на 1 см высоты ребра, равное 12 °C. Средняя температура бетона свесов полки при наличии изоляции равна 650 °C, температура арматуры 100 °C.
Значение коэффициента
mаt = 1 принимаем по
табл. 35 в зависимости от температуры арматуры.
Согласно
п. 2.10, при длительном нагреве расчетное сопротивление бетона умножаем на коэффициент
mб1 = 0,85, принимаемый по
табл. 15:
Rпр = 135·0,85 = 115 кгс/см2.
Значения коэффициента условий работы бетона
mбt определяем по
табл. 16: для свесов полки - в зависимости от средней температуры бетона полки 650 °C, для ребра - в зависимости от температуры бетона, находящегося на расстоянии 0,2
h0 от сжатой грани сечения:
h0 = 50 - 4 = 46 см.
Температура бетона сжатой зоны ребра
tсж.з = 700 - 0,2·46·12 = 590 °C.
Для свесов полки mбt = 0,25, для ребра mбt = 0,31.
Mпред = 0,25·115·70·12(46 - 0,5·12) = 964 000 кгс·см =
= 9,64 тс·м < M = 12 тс·м.
Поскольку
условие (118) не соблюдается, граница сжатой зоны проходит в пределах ребра и площадь сечения растянутой арматуры определяем по
формуле (119) при

. Для этого вычисляем значение
A0 по
формуле (120) при

:
Принимаем

(
Fа = 9,82 см
2).
Пример 11. Определение площади поперечного сечения растянутой арматуры изгибаемого железобетонного элемента таврового сечения при одностороннем нагреве до 1200 °C.
Дано: размеры сечения

;
b = 15 см;

;
h = 60 см;
a = 5 см; элемент неравномерно нагрет по высоте сечения; наиболее нагретая грань полки имеет температуру бетона 1200 °C; бетон состава N 19
(табл. 11), марки М300,
Rпр = 135 кгс/см
2 (табл. 14), арматура из стали класса А-II,
Rа = 2700 кгс/см
2 (табл. 29); расчетный изгибающий момент, вызванный длительной нагрузкой в условиях длительного нагрева,
M = 1 тс·м.
Требуется определить площадь сечения растянутой арматуры.
Расчет. Из теплотехнического расчета получено изменение температуры на 1 см высоты свесов полки 10 °C, ребра - 18 °C. Таким образом, средняя температура бетона полки равна 1200 - 10·6 = 1140 °C, температура арматуры 210 °C.
Значение коэффициента
mаt = 0,83 принимаем по
табл. 35 в зависимости от температуры арматуры.
Согласно
п. 3.11, поскольку средняя температура бетона полки превышает предельно допустимую температуру применения бетона, указанную в
графе 7 табл. 11 (для
состава N 19 - 1100 °C), сечение рассчитываем как прямоугольное без свесов полки, причем температура бетона наиболее нагретой грани этого сечения не должна превышать предельно допустимую температуру применения бетона и температуру 1000 °C согласно требованиям
п. 1.15. Поэтому сечение рассчитываем с неполной высотой. Для этого определяем расстояние
x1 от наиболее нагретой грани до бетона с температурой 1000 °C:
Укороченная полезная высота сечения по
формуле (106) при
h0 = 55 см равна
hy = 55 - 11,1 = 43,9 см.
Согласно
примеч. 7 к табл. 16, среднюю температуру бетона сжатой зоны в первом приближении определяем по температуре бетона, расположенного на расстоянии 0,2
hy от сжатой грани сечения.
Температура бетона сжатой зоны
tсж.з = 1000 - 0,2·43,9·18 = 842 °C.
Для этой температуры бетона по
табл. 16 определяем значение коэффициента
mбt = 0,065.
Согласно
п. 2.10, при длительном нагреве расчетное сопротивление бетона умножаем на коэффициент
mб1 = 0,85, принимаемый по
табл. 15:
Rпр = 135·0,85 = 115 кгс/см2.
По
табл. 41 находим

. Полученное значение относительной высоты сжатой зоны

значительно отличается от принятой при определении температуры бетона сжатой зоны,

.
Определим температуру бетона сжатой зоны для среднего значения относительной высоты сжатой зоны

. При

средняя температура бетона сжатой зоны составит
В соответствии с этой температурой уточняем значения
mбt,
A01 и

:
mбt = 0,08;

Последующее приближение при

нам дает:
mбt = 0,077;

Принимаем

(
Fа = 1,57 см
2).
Пример 12. Расчет прочности изгибаемого железобетонного элемента таврового сечения при одностороннем нагреве до 350 °C; случай переармированного сечения.
Дано: размеры сечения

;

;
b = 20 см;
h = 60 см;
a = 7 см; элемент неравномерно нагрет по высоте сечения; наиболее нагретая грань полки имеет температуру бетона 350 °C; бетон
состава N 2 (табл. 11), марки М300,
Rпр = 135 кгс/см
2 (табл. 14); арматура из стали класса А-III,
Rа = 3600 кгс/см
2 (табл. 29), площадь сечения
Fа = 19,64 см
2 
;

; расчетный изгибающий момент, вызванный длительно действующей нагрузкой в условиях длительного нагрева,
M = 18 тс·м.
Требуется проверить прочность сечения.
Расчет. Из теплотехнического расчета получено изменение температуры на 1 см высоты свесов полки 4 °C, ребра 6 °C. Таким образом, средняя температура бетона полки равна 334 °C, температура арматуры 32 °C.
Значение коэффициента
mаt = l и

принимаем по
табл. 35 в зависимости от температуры арматуры.
Согласно
п. 2.10, при длительном нагреве расчетное сопротивление бетона умножаем на коэффициент
mб1 = 0,85, принимаемый по
табл. 15:
Rпр = 135·0,85 = 115 кгс/см2.
Значения коэффициента условий работы бетона
mбt определяем по
табл. 16: для свесов полки - в зависимости от средней температуры бетона полки 344 °C, для ребра - в зависимости от температуры бетона, находящегося на расстоянии 0,2
h0 от сжатой грани сечения:
h0 = 60 - 7 = 53 см.
Температура бетона сжатой зоны ребра
tсж.з = 350 - 0,2·53·6 = 286 °C.
Для свесов полки mбt = 0,37; для ребра mбt = 0,54.
Проверку прочности сечения производим, согласно
п. 3.22, при

.
Поскольку
mаtRаFа = 1·3600·19,64 = 66 776 кгс больше, чем

, т.е.
условие (113) не соблюдается, граница сжатой зоны проходит в ребре. В этом случае высоту сжатой зоны определяем из
формулы (115) при

:
Значение граничной относительной высоты сжатой зоны бетона

определяем по
формуле (93), предварительно определив значение

по
формуле (94):
В связи с учетом коэффициента
mбt = 0,85, согласно
п. 3.13, в
формуле (93) вместо величины 4000 принята величина 5000:
Полученное значение
x = 48,4 см больше
xR = 35,78 см, следовательно, сечение переармировано. В этом случае принимаем
x =
xR и прочность сечения проверяем из
условия (116) при

. При этом:
AR = 0,675(1 - 0,5·0,675) = 0,447;
Mпред = 0,447·0,54·115·20·532 + 0,37·115(40 - 20) x
x 8(53 - 0,5·8) = 1 888 245 кгс·см =
= 18,88 тс·м > M = 18 тс·м.
Прочность сечения обеспечена.
Пример 13. Расчет прочности внецентренно-сжатого железобетонного элемента прямоугольного сечения при равномерном нагреве до 100 °C; случай больших эксцентриситетов

.
Дано: размеры сечения
b = 40 см;
h = 50 см;
a =
a' = 4 см; расчетная длина
l0 = 6 м; элемент равномерно нагрет до 100 °C; бетон
состава N 1 (табл. 11), марки М300,
Rпр = 135 кгс/см
2 (табл. 14), подвергнутый тепловой обработке,
Eб = 260·10
3 кгс/см
2 (табл. 17); арматура из стали класса А-III,
Rа =
Rа.с = 3600 кгс/см
2 (табл. 29);
Eа = 2·10
6 кгс/см
2 (табл. 37): площадь сечения арматуры

; расчетные значения продольной силы и изгибающего момента: от всех нагрузок (нагрузки, суммарная длительность действия которых мала, отсутствуют)
N = 70 тс;
M = 21,3 тс·м, в том числе от длительно действующих нагрузок
Nдл = 65 тс;
Mдл = 16,5 тс·м.
Требуется проверить прочность сечения.
Расчет. Согласно
п. 2.10, при длительном нагреве расчетное сопротивление бетона умножаем на коэффициент
mб1 = 0,85, принимаемый по
табл. 15:
Rпр = 135·0,85 = 115 кгс/см2.
Значения коэффициентов
mбt и

,

,
mаt и

принимаем соответственно по
табл. 16,
18 и
35. При температуре 100 °C:
mбt = 0,9;

;

(для кратковременного нагрева согласно
п. 1.28);
mаt = 1;

.
Поскольку расчетный элемент является элементом статически определимой конструкции, определяем величину случайного эксцентриситета

согласно
п. 1.30:
Для равномерно нагретого прямоугольного сечения

. В плоскости действия изгибающего момента

и
поэтому учитываем влияние прогиба на прочность элемента согласно
п. 3.29. Для этого предварительно вычисляем значение
e0 по
формуле (121):
Для вычисления коэффициента

, на который должна быть умножена величина
e0, определяем значение
Nкр по
формуле (123). Для этого предварительно вычисляем значение
tмин по
формуле (90):
Так как

, согласно
п. 3.7, принимаем
t = 0,642.
Значение
kдл вычисляем по
формуле (89), предварительно определив эксцентриситеты приложения
N и
Nдл относительно центра тяжести площади растянутой арматуры:
e = e0 + 0,5h - a = 32,1 + 0,5·50 - 4 = 53,1 см;
h0 = 50 - 4 = 46 см.
e = 32,1·1,154 + 0,5·50 - 4 = 58,04 см.
Проверку прочности сечения производим согласно
п. 3.33. Для этого определяем высоту сжатой зоны
x из
формулы (130).
При

Для сравнения полученного значения
x с граничным по
формуле (94) определяем

:
В связи с учетом коэффициента
mб1 = 0,85, согласно
п. 3.13, в
формуле (93) вместо величины 4000 принята величина 5000:
Поскольку
x = 16,94 <
xR = 29,26, прочность сечения проверяем из
условия (129):
Mпред = 0,9·115·40·16,94(46 - 0,5·16,94) + 1·3600·12,32 x
x (46 - 4) = 4 386 249 кгс·см = 43,86 тс·м > Ne =
= 70·0,58 = 40,6 тс·м,
т.е. прочность сечения в плоскости изгиба обеспечена.
Расчет из плоскости изгиба
Определяем радиус инерции из плоскости изгиба:
Так как гибкость из плоскости изгиба

превышает гибкость в плоскости изгиба

, согласно
п. 3.29, проверяем прочность сечения из плоскости изгиба, принимая эксцентриситет
e0 равным случайному эксцентриситету

.
Поскольку длина элемента
l0 = 6 м < 20
h = 20·0,4 = 8 м, расчет производим, согласно
п. 3.37, без учета арматуры:
при h > 20 см m = 1;
при

и

по
табл. 44 находим значение коэффициента

;
Nпред = 0,84·1·0,782(0,9·115·40·50 + 0) = 135 974 кгс =
= 136 тс > N = 70 тс,
т.е. прочность сечения из плоскости изгиба обеспечена.
Пример 14. Расчет прочности внецентренно-сжатого железобетонного элемента прямоугольного сечения при равномерном нагреве до 100 °C; случай малых эксцентриситетов

.
Дано: размеры сечения
b = 40 см;
h = 50 см;
a =
a' = 4 см; расчетная длина
l0 = 6 м; элемент равномерно нагрет до 100 °C; бетон
состава N 1 (табл. 11), марки М400,
Rпр = 175 кгс/см
2 (табл. 14), подвергнутый тепловой обработке,
Eб = 300·10
3 кгс/см
2 (табл. 17); арматура из стали класса А-III,
Rа =
Rа.с = 3600 кгс/см
2 (табл. 29),
Eа = 2·10
6 кгс/см
2 (табл. 37); площадь сечения арматуры

; расчетные значения продольной силы и изгибающего момента: от всех нагрузок (нагрузки, суммарная длительность действия которых мала, отсутствуют)
N = 200 тс,
M = 15,3 тс·м, в том числе от длительно действующих нагрузок
Nдл = 200 тс,
Mдл = 5 тс·м.
Требуется проверить прочность сечения.
Расчет. Согласно
п. 2.10, при длительном нагреве расчетное сопротивление бетона умножаем на коэффициент
mб1 = 0,85, принимаемый по
табл. 15:
Rпр = 175·0,85 = 149 кгс/см2.
Значения коэффициентов
mбt и

,

,
mаt и

принимаем соответственно по
табл. 16,
18 и
35. При температуре 100 °C:
mбt = 0,9;

;

(для кратковременного нагрева согласно
п. 1.28);
mаt = 1;

.
Поскольку расчетный элемент является элементом статически определимой конструкции, определяем величину случайного эксцентриситета

согласно
п. 1.30:
Для равномерно нагретого прямоугольного сечения

. В плоскости действия изгибающего момента

и

, поэтому учитываем влияние прогиба на прочность элемента согласно
п. 3.29. Для этого предварительно вычисляем значение
e0 по
формуле (121):
Для вычисления коэффициента

, на который должна быть умножена величина
e0, определяем значение
Nкр по
формуле (123). Для этого предварительно вычисляем значение
tмин по
формуле (90):
Так как

, принимаем
t = 0,246.
Значение
kдл вычисляем по
формуле (89), предварительно определив эксцентриситеты приложения
N и
Nдл относительно центра тяжести площади растянутой арматуры:
e = e0 + 0,5h - a = 9,35 + 0,5·50 - 4 = 30,35 см;
h0 = 50 - 4 = 46 см.
e = 9,35·1,39 + 0,5·50 - 4 = 34 см.
Проверку прочности сечения производим согласно
п. 3.33. Для этого определяем высоту сжатой зоны
x из
формулы (130). При
Для сравнения полученного значения
x с граничным по
формуле (94) определяем

:
В связи с учетом коэффициента
mб1 = 0,85, согласно
п. 3.13, в
формуле (93) вместо величины 4000 принята величина 5000:
Поскольку
x = 37,35 >
xR = 28,01, прочность сечения проверяем из
условия (129), определяя расчетную высоту сжатой зоны из
формулы (132):
Mпред = 0,9·149·40·32,57(46 - 0,5·32,57) +
+ 1·3600·14,73(46 - 4) = 7 286 008,4 кгс·см =
= 72,86 тс·м > Ne = 200·0,34 = 68 тс·м,
т.е. прочность сечения в плоскости изгиба обеспечена.
Расчет из плоскости изгиба
Определяем радиус инерции из плоскости изгиба
Так как гибкость из плоскости изгиба

превышает гибкость в плоскости изгиба

, согласно
п. 3.29, проверяем прочность сечения из плоскости изгиба, принимая эксцентриситет
e0 равным случайному эксцентриситету

.
Поскольку длина элемента
l0 = 6 м < 20
h = 20·0,4 = 8 м, расчет производим, согласно
п. 3.37, с учетом арматуры.
При h > 20 см m = 1;
при

и

по
табл. 44 находим значение коэффициента

и по
табл. 45 - значение коэффициента

.
Nпред = 0,84·1·0,814[0,9·149·40·50 + 1·3600·14,73] =
= 217 629 кгс = 218 тс > 200 тс,
т.е. прочность сечения из плоскости изгиба обеспечена.
Пример 15. Расчет прочности сжатого железобетонного элемента прямоугольного сечения

при равномерном нагреве до 150 °C.
Дано: размеры сечения
b = 40 см;
h = 40 см;
a =
a' = 4 см; расчетная длина
l0 = 6 м; элемент равномерно нагрет до 150 °C; бетон
состава N 1 (табл. 11), марки М300,
Rпр = 135 кгс/см
2 (табл. 14), подвергнутый тепловой обработке,
Eб = 260·10
3 кгс/см
2 (табл. 17); арматура из стали класса А-III,
Rа =
Rа.с = 3600 кгс/см
2 (табл. 29),
Eа = 2·10
6 кгс/см
2 (табл. 37); площадь сечения арматуры

; расчетное значение продольной силы от всех нагрузок (нагрузки, суммарная длительность действия которых мала, отсутствуют)
N = 150 тс, в том числе от длительно действующих нагрузок
Nдл = 130 тс.
Требуется проверить прочность сечения.
Расчет. Согласно
п. 2.10, при длительном нагреве расчетное сопротивление бетона умножаем на коэффициент
mб1 = 0,85, принимаемый по
табл. 15
Rпр = 135·0,85 = 115 кгс/см2.
Значения коэффициентов
mбt и

,

,
mаt и

принимаем соответственно по
табл. 16,
18 и
35. При температуре 150 °C:
mбt = 0,85;

;

(для кратковременного нагрева согласно
п. 1.28);
mаt = 0,95;

.
Поскольку расчетный элемент является элементом статически определимой конструкции, определяем величину случайного эксцентриситета

согласно
п. 1.30
Так как

и
l0 = 600 < 20
h = 20·40 = 800 см, производим приближенный расчет по
п. 3.37. Для этого определяем значения величин, входящих в
условие (141):
При h > 20 см m = 1;
Nпред = 0,87·1·0,84(0,85·115·40·40 + 0,95·3600·16,08) =
= 152 254 кгс = 152 тс > N = 150 тс,
т.е. прочность сечения обеспечена.
Проверим прочность сечения, согласно
п. 3.33, с учетом влияния прогиба элемента согласно
п. 3.29. Для этого определяем значение
Nкр по
формуле (123), предварительно вычислив значения входящих в формулу коэффициентов.
Так как

, принимаем
t = 0,253.
Значение
kдл вычисляем по
формуле (89), предварительно определив эксцентриситеты приложения
N и
Nдл относительно центра тяжести площади растянутой или слабосжатой арматуры:
e = e0 + 0,5h - a = 1,33 + 0,5·40 - 4 = 17,33 см;
eдл = e.
h0 = 40 - 4 = 36 см.
e = 1,33·2,55 + 0,5·40 - 4= 19,39 см.
Проверку прочности сечения производим согласно
п. 3.33. Для этого определяем высоту сжатой зоны
x из
формулы (130). При
Для сравнения полученного значения
x с граничным по
формуле (94) определяем

:
В связи с учетом коэффициента
mб1 = 0,85, согласно
п. 3.13, в
формуле (93) вместо величины 4000 принята величина 5000:
Поскольку
x = 38,45 >
xR = 23,29, прочность сечения проверяем из
условия (129), определяя расчетную высоту сжатой зоны из
формулы (132):
Mпред = 0,85·115·40·30,67(36 - 0,5·30,67) +
+ 0,95·3600·8,04(36 - 4) = 3 303 704 кгс·см =
= 33,04 тс·м > Ne = 150·0,194 = 29,1 тс·м,
т.е. прочность сечения обеспечена.
Пример 16. Определение площадей поперечного сечения растянутой и сжатой арматур внецентренно-сжатого железобетонного элемента прямоугольного сечения при одностороннем нагреве до 250 °C.
Дано: размеры сечения
b = 30 см;
h = 50 см;
a = 4 см;
a' = 6 см; расчетная длина
l0 = 6,3 м; элемент неравномерно нагрет по высоте сечения, температура наиболее нагретой (сжатой) грани 250 °C; бетон
состава N 2 (табл. 11), марки М300,
Rпр = 135 кгс/см
2 (табл. 14), подвергнутый тепловой обработке:
Eб = 260·10
3 кгс/см
2 (табл. 17); арматура из стали класса А-III,
Rа =
Rа.с = 3600 кгс/см
2 (табл. 29),
Eа = 2·10
6 кгс/см
2 (табл. 37); расчетные значения продольной силы и изгибающего момента: от всех нагрузок (нагрузки, суммарная длительность действия которых мала, отсутствуют)
N = 60 тс,
M = 16,2 тс·м, в том числе от длительно действующих нагрузок
Nдл = 40 тс и
Mдл = 10 тс·м.
Требуется определить площади сечений арматур
Fа и
.
Расчет. Из теплотехнического расчета получено изменение температуры на 1 см высоты сечения, равное 4 °C, тогда температура растянутой арматуры Fа равна
tа = 250 - 46·4 = 66 °C;
сжатой арматуры

Значения коэффициентов
mаt принимаем по
табл. 35 в зависимости от температуры:
для растянутой арматуры mаt = 1;
для сжатой арматуры mаt = 0,835.
Согласно
п. 2.10, при длительном нагреве расчетное сопротивление бетона умножаем на коэффициент
mб1 = 0,85, принимаемый по
табл. 15:
Rпр = 135·0,85 = 115 кгс/см2.
Значения коэффициентов
mбt и

,

и

принимаем соответственно по
табл. 16,
18 и
35.
Согласно
примеч. 7 табл. 16, среднюю температуру бетона сжатой зоны определяем по температуре бетона, расположенного на расстоянии 0,2
h0 от сжатой грани сечения:
h0 = 50 - 4 = 46 см,
температура бетона сжатой зоны
tсж.з = 250 - 0,2·46·4 = 213 °C.
Для этой температуры по
табл. 16 определяем значение коэффициента
mбt = 0,76; в зависимости от температуры бетона в центре тяжести сечения (см.
п. 3.38), равной 250 - 25·4 = 150 °C, по
табл. 16 определяем значение

, а по
табл. 18 - значение

(для кратковременного нагрева согласно
п. 1.28); для средней температуры арматуры, примерно равной 150 °C, из
табл. 35 
.
Определение требуемого количества продольной арматуры производим согласно
п. 3.35. Поскольку расчетный элемент является элементом статически определимой конструкции, определяем величину случайного эксцентриситета

согласно
п. 1.30:
Для неравномерно нагретого прямоугольного сечения с температурой наиболее нагретой грани до 400 °C, согласно
п. 3.29,
r может быть принят равным

. В плоскости действия изгибающего момента

и

, поэтому учитываем влияние прогиба на прочность элемента согласно
п. 3.29. Для этого предварительно вычисляем значение
e0 по
формуле (121) при
ft = 0, поскольку температурный выгиб уменьшает расчетный эксцентриситет продольной силы:
Для вычисления коэффициента

, на который должна быть умножена величина
e0, определяем значение
Nкр по
формуле (123). Для этого предварительно вычисляем значение
tмин по
формуле (90):
Так как

, принимаем
t = 0,576.
Значение
kдл вычисляем по
формуле (89), предварительно определив эксцентриситеты приложения
N и
Nдл относительно центра тяжести площади растянутой арматуры:
e = e0 + 0,5h - a = 28,8 + 0,5·50 - 4 = 49,8 см,
Значение коэффициента

по
табл. 39 для температуры центра тяжести сечения (см.
п. 3.7), равной 150 °C, для
состава N 2 равно 1,45:
Согласно
п. 3.38, задаемся ориентировочно, что требуемое количество арматуры

находится в первом интервале армирования (см.
табл. 48), которому соответствует

. Тогда по
формуле (123) имеем
e = 28,8·1,26 + 0,5·50 - 4 = 57,3 см.
Так как полученный коэффициент армирования соответствует принятому интервалу (от 0,8 до 1,8% по
табл. 48), то расчет считается законченным.
Принимаем

;
Fа = 12,56 см
2 
.
Пример 17. Расчет прочности внецентренно-сжатого железобетонного элемента прямоугольного сечения при одностороннем нагреве до 250 °C; случай больших эксцентриситетов

.
По данным примера 16, при

и
Fа = 12,56 см
2 проверить прочность сечения.
Расчет. Вычисляем значение коэффициента

согласно
пп. 3.7 и
3.29 настоящего Руководства. Для этого определяем
Nкр по
формуле (123) при
e = 28,8·1,19 + 0,5·50 - 4 = 55,27 см.
Проверку прочности сечения производим согласно
п. 3.33 настоящего Руководства. Для этого определяем высоту сжатой зоны
x из
формулы (130):
Сравним полученное значение x с граничным:
Так как
x = 28,65 <
xR = 29,9 см, прочность сечения проверяем из
условия (129) при
x = 28,65 см. В связи с небольшой разницей в значениях высоты сжатой зоны, принятой при определении ее средней температуры и полученной по расчету, пересчета значения
x не делаем:
Mпред = 0,81·115·30·28,65(46 - 0,5·28,65) +
+ 0,835·3600·8,04(46 - 6) = 3 443 479,6 кгс·см =
= 34,43 тс·м > Ne = 60·0,553 = 33,18 тс·м,
т.е. прочность сечения в плоскости изгиба обеспечена.
Расчет из плоскости изгиба
Определяем радиус инерции из плоскости изгиба:
Так как гибкость из плоскости изгиба

значительно превышает гибкость в плоскости изгиба

, согласно
п. 3.29, проверяем прочность сечения из плоскости изгиба, принимая, что сечение равномерно нагрето до средней температуры 150 °C и эксцентриситет
e0 равен случайному эксцентриситету

. Поскольку длина элемента
l0 = 6,3 м > 20
h = 20·0,3 = 6 м, расчет производим, согласно
п. 3.33, без учета арматуры.
Значение коэффициента
mбt = 0,85 принимаем по
табл. 16 для температуры бетона 150 °C.
Определяем величину случайного эксцентриситета

согласно
п. 1.30:
Для вычисления коэффициента

, на который должна быть умножена величина
e0, определяем значение
Nкр по
формуле (123). Для этого предварительно вычисляем значение
tмин по
формуле (90):
Так как

, принимаем
t = 0,192.
Ввиду близости значений
N = 60 тс и
Nкр = 66 тс необходимо предусмотреть конструктивное армирование длинных сторон сечения. Пусть

, тогда при
h0 = 30 - 4 = 26 см:
e = 1,05·2,475 + 0,5·30 - 4 = 13,6 см.
Для проверки прочности сечения, согласно
п. 3.33, определяем высоту сжатой зоны
x из
формулы (130), приняв

, или точнее 4,02 см
2 
из стали класса А-III:
Для сравнения полученного значения
x с граничным определяем

по
формуле (94):
В связи с учетом коэффициента
mб1 = 0,85, согласно
п. 3.13, в
формуле (93) вместо величины 4000 принята величина 5000:
Так как
x = 12,3 <
xR = 16,82 см, прочность сечения проверяем из
условия (129):
Mпред = 0,85·115·50·12,3(26 - 0,5·12,3) +
+ 0,95·3600·4,02(26 - 4) = 1 476 374,6 кгс·см =
= 14,76 тс·м > Ne = 60·0,136 = 8,16 тс·м,
т.е. прочность сечения из плоскости изгиба обеспечена.
Пример 18. Определение площади поперечного сечения растянутой арматуры внецентренно-сжатого железобетонного элемента прямоугольного сечения при одностороннем нагреве до 700 °C.
Дано: размеры сечения
b = 50 см;
h = 50 см;
a = 4 см; расчетная длина
l0 = 6 м; элемент неравномерно нагрет: со стороны нагрева температура 700 °C, с противоположной - 100 °C; бетон
состава N 11 (табл. 11), марки М300,
Rпр = 135 кгс/см
2 (табл. 14),
Eб = 175·10
3 кгс/см
2 (табл. 17); арматура из стали класса А-III;
Rа =
Rа.с = 3600 кгс/см
2 (табл. 29);
Eа = 2·10
6 кгс/см
2 (табл. 37); расчетные значения продольной силы от всех нагрузок (нагрузки, суммарная длительность действия которых мала, отсутствуют)
N = 45 тс, в том числе от длительно действующих нагрузок
Nдл = 38,5 тс.
Требуется определить площадь сечения продольной арматуры.
Расчет. Прежде всего необходимо определить эксцентриситет приложения продольной силы вследствие перемещения положения центра тяжести сечения, вызванного его неравномерным нагревом. Для этого, согласно
п. 1.28, сечение разбиваем на две части, средняя температура которых оказывается равной 250 и 550 °C, и производим приведение площадей частей к площади ненагретого бетона по
формуле (2).
Линия раздела сечения, имеющая температуру 400 °C, проходит по середине сечения, следовательно, высота каждой части равна 25 см.
Значения коэффициентов

и

(для кратковременного нагрева) принимаем по
табл. 16 и
18 соответственно:
при температуре 250 °C

,

;
при температуре 550 °C

,

.
Расстояние от центра тяжести приведенного сечения до грани, растянутой внешней нагрузкой (менее нагретой грани сечения), определяем по
формуле (5):
Расчетный эксцентриситет продольной силы
Выгиб элемента, вызванный неравномерным нагревом сечения, уменьшает расчетный эксцентриситет продольной силы

, поэтому он не учитывается.
Поскольку расчетный элемент является элементом статически определимой конструкции, определяем величину случайного эксцентриситета

согласно
п. 1.30
e0 = 5,8 + 1,7 = 7,5 см.
где

принято по
табл. 47 в зависимости от температуры центра тяжести сечения;
Поскольку

, учитываем при расчете влияние прогиба на прочность элемента согласно
п. 3.29.
Для вычисления коэффициента

, на который должна быть умножена величина
e0, определяем значение
Nкр по
формуле (122). Для этого предварительно вычисляем значение
tмин по
формуле (90);
mб1 = 0,65 принято по
табл. 16 в зависимости от
tц.т = 330 °C.
Согласно
п. 2.10, при длительном нагреве расчетное сопротивление бетона умножаем на коэффициент
mб1 = 0,85, принимаемый по
табл. 15:
Rпр = 135·0,85= 115 кгс/см2;
Так как

, принимаем
t = 0,305.
Значение
kдл вычисляем по
формуле (89), предварительно определив эксцентриситеты приложения
N и
Nдл относительно центра тяжести площади растянутой арматуры:
e = 7,5 + 0,5·50 - 4 = 28,5 см;
eдл = e.
В связи с тем, что по условиям нагрева арматура устанавливается только у одной из граней сечения элемента
Iа в
формуле (122), согласно
п. 3.29, принимается равным нулю.
Значения

и

определяем соответственно по
табл. 16 и
18 при температуре 330 °C:

,

(для кратковременного нагрева согласно
п. 1.28).
e = 7,5·2 + 0,5·50 - 4 = 36 см.
Согласно
п. 3.36, проверяем
условие (139). Для этого определяем граничное значение высоты сжатой зоны по
п. 3.13. Для определения средней температуры сжатой зоны принимаем

. Тогда при
h0 =
h -
a = 50 - 4 = 46 см.
По
табл. 16 для этой температуры
mбt = 0,393.
Температура арматуры
В связи с учетом коэффициента
mб1 = 0,85, согласно
п. 3.13, в
формуле (93) вместо величины 4000 принята величина 5000:
Уточняем температуру сжатой зоны при

:
mбt = 0,374;
Следовательно,

может быть принято равным 0,63.
AR = 0,63(1 - 0,5·0,63) = 0,43.
Определяем величины:
и
Ne = 45 000·36 = 1 620 000 кгс·см = 16,2 тс·м.
искомую площадь поперечного сечения продольной арматуры определяем следующим образом. Из
формулы (135), в которой
AR заменяется на
A0, находим эту величину при

:
По
табл. 41 в зависимости от
A0 определяем значение

. Так как коэффициент
mбt был определен при

, уточняем температуру бетона сжатой зоны при среднем значении

:
mбt = 0,346;
что достаточно близко к заданному.
Площадь поперечного сечения растянутой арматуры определяем по
формуле (137) при

:
Принимаем конструктивно

(
Fа = 4,52 см
2).
Пример 19. Расчет прочности внецентренно-сжатого железобетонного элемента таврового сечения при одностороннем нагреве до 500 °C; случай больших эксцентриситетов

.
Дано: размеры сечения элемента

;

;
b = 12 см;
h = 50 см;
a = 5 см, расчетная длина
l0 = 5 м; элемент неравномерно нагрет по высоте сечения, наиболее нагретая грань сжатой полки имеет расчетную температуру 500 °C; бетон
состава N 11 (табл. 11), марки М300,
Rпр = 135 кгс/см
2 (табл. 14),
Eб = 175·10
3 кгс/см
2 (табл. 17); растянутая арматура из стали класса А-III,
Rа = 3600 кгс/см
2 (табл. 29),
Eа = 2·10
6 кгс/см
2 (табл. 37); площадь сечения арматуры
Fа = 6,28 см
2 
;

.
Расчетные изгибающий момент и нормальная сила, вызванные кратковременным действием температуры, Mt = 7,9 тс·м, Nt = 25 тс. Требуется проверить прочность сечения.
Расчет. Из теплотехнического расчета получена температура арматуры 130 °C, наружной поверхности ребра - 90 °C, средняя температура бетона свесов полки - 480 °C, средняя температура бетона ребра - 270 °C.
Определяем эксцентриситет приложения продольной силы вследствие перемещения положения центра тяжести сечения, вызванного его неравномерным нагревом. Для этого, согласно
п. 1.28, сечение разбиваем на две части по границе между ребром и полкой и производим приведение площадей полки и ребра к площади ненагретого бетона по
формуле (2).
Значения коэффициентов

и

принимаем соответственно по
табл. 16 и
18:
при температуре 480 °C

,

;
при температуре 270 °C

,

.
Расстояние от центра тяжести приведенного сечения до грани, растянутой внешней нагрузкой (менее нагретой грани сечения), определяем по
формуле (5):
Расстояние от центра тяжести неприведенного сечения до той же грани
Расчетный эксцентриситет продольной силы
Выгиб элемента, вызванный неравномерным нагревом сечения, уменьшает расчетный эксцентриситет продольной силы

, поэтому он не учитывается.
Поскольку расчетный элемент является элементом статически неопределимой конструкции, величину случайного эксцентриситета

, согласно
п. 1.30, также не учитываем, так как
Поскольку

, учитываем при расчете влияние прогиба на прочность элемента согласно
п. 3.29.
Для вычисления коэффициента

, на который должна быть умножена величина
e0, определяем значение
Nкр по
формуле (122). Для этого предварительно вычисляем значение
tмин по
формуле (90);
mбt = 0,97 принимаем по
табл. 16 для кратковременного нагрева (см. условие примера) в зависимости от температуры центра тяжести приведенного сечения, равной:
Так как

, принимаем
t = 0,7.
kдл = 1, так как Mдл = 0.
В связи с тем, что по условиям нагрева арматура устанавливается только у одной из граней сечения элемента,
Iа в
формуле (122), согласно
п. 3.29, принимается равным нулю.
Значения

и

определяем соответственно по
табл. 16 и
18 при температуре 355 °C:

,

.
e = 35·1,18 + 32,37 - 5 = 68,67 см.
Проверку прочности сечения производим, согласно
п. 3.40, в зависимости от положения границы сжатой зоны.
Проверяем соблюдение
условия (146) при
h0 =
h -
a = 50 - 5 = 45 см и

.
Значение коэффициента
mбt = 0,91 для средней температуры бетона полки 480 °C определяем по
табл. 16 для кратковременного нагрева (см. условие примера):
Ne = 25 000·68,67 = 1 716 750 кгс·см = 17,17 тс·м;
Поскольку
условие (146) соблюдается, граница сжатой зоны проходит в полке и расчет сечения производится как для прямоугольного сечения шириной

в соответствии с указаниями
пп. 3.33 и
3.34 настоящего Руководства.
Определяем значение коэффициента
mаt = 0,935 по
табл. 35 для температуры 130 °C при кратковременном нагреве.
Mпред = 0,91·135·75·4,88(45 - 0,5·4,88) =
= 1 913 630 кгс·см = 19,14 тс·м > Ne = 17,17 тс·м,
т.е. прочность сечения обеспечена.
Пример 20. Расчет прочности внецентренно-сжатого железобетонного элемента таврового сечения при одностороннем нагреве до 800 °C; случай малых эксцентриситетов

.
Дано: размеры сечения элемента

;

;
b = 12 см;
h = 50 см;
a = 5 см; расчетная длина
l0 = 5 м; элемент неравномерно нагрет по высоте сечения, наиболее нагретая грань сжатой полки имеет расчетную температуру 800 °C; бетон
состава N 11 (табл. 11), марки М300,
Rпр = 135 кгс/см
2 (табл. 14),
Eб = 175·10
3 кгс/см
2 (табл. 17); растянутая арматура из стали класса А-III,
Rа = 3600 кгс/см
2 (табл. 29),
Eа = 2·10
6 кгс/см
2 (табл. 37); площадь сечения арматуры
Fа = 6,28 см
2 
,

; расчетное значение продольной силы от всех нагрузок (кроме нагрузок, суммарная длительность действия которых мала)
N = 20 тс, в том числе от длительно действующих нагрузок
Nдл = 4 тс.
Требуется проверить прочность сечения.
Расчет. Из теплотехнического расчета получено изменение температуры на 1 см высоты ребра, равное 15 °C. Средняя температура бетона свесов полки при наличии изоляции равна 750 °C, температура наружной поверхности бетона ребра 50 °C, арматуры 125 °C. Средняя температура бетона ребра 330 °C.
Определяем эксцентриситет приложения продольной силы вследствие перемещения положения центра тяжести сечения, вызванного неравномерным нагревом. Для этого, согласно
п. 1.28, сечение разбиваем на две части по границе между ребром и полкой и производим приведение площадей полки и ребра к площади ненагретого бетона по
формуле (2).
Значения коэффициентов

и

(для кратковременного нагрева) принимаем соответственно по
табл. 16 и
18:
при температуре 750 °C

,

;
при температуре 330 °C

,

.
Расстояние от центра тяжести приведенного сечения до грани, растянутой внешней нагрузкой (менее нагретой грани сечения), определяем по
формуле (5):
Расстояние от центра тяжести неприведенного сечения до той же грани:
Расчетный эксцентриситет продольной силы
Выгиб элемента, вызванный неравномерным нагревом сечения, уменьшает расчетный эксцентриситет продольной силы

, поэтому он не учитывается.
Поскольку расчетный элемент является элементом статически определимой конструкции, определяем величину случайного эксцентриситета

согласно
п. 1.30:
e0 = 10,38 + 1,7 = 12,1 см.
Поскольку

, учитываем при расчете влияние прогиба на прочность элемента согласно
п. 3.29.
Для вычисления коэффициента

, на который должна быть умножена величина
e0, определяем значение
Nкр по
формуле (122). Для этого предварительно вычисляем
tмин по
формуле (90);
mбt = 0,505 принимаем по
табл. 16 в зависимости от температуры центра тяжести приведенного сечения, равной
Согласно
п. 2.10, при длительном нагреве расчетное сопротивление бетона умножаем на коэффициент
mб1 = 0,85, принимаемый по
табл. 15:
Rпр = 135·0,85 = 115 кгс/см2;
Так как

, принимаем
t = 0,342.
Значение
kдл вычисляем по
формуле (89), предварительно определив эксцентриситеты приложения
N и
Nдл относительно центра тяжести площади растянутой арматуры:
e = 12,1 + 25,3 - 5 = 32,4 см;
eдл = e.
В связи с тем, что по условиям нагрева арматура устанавливается только у одной из граней сечения элемента,
Iа в
формуле (122), согласно
п. 3.29, принимается равным нулю.
Значения

и

определяем соответственно по
табл. 16 и
18 при температуре 430 °C;

,

(для кратковременного нагрева согласно
п. 1.28).
e = 12,1·1,53 + 25,3 - 5 = 38,8 см.
Проверку прочности сечения производим, согласно
п. 3.40, в зависимости от положения границы сжатой зоны.
h0 =
h - a = 50 - 5 = 45 см и

.
Значение коэффициента
mбt = 0,165 для средней температуры полки 750 °C определяем по
табл. 16:
Ne = 2400·38,8 = 931 200 кгс·см = 9,31 тс·м;
Поскольку
условие (146) не соблюдается, граница сжатой зоны проходит в ребре, поэтому расчет сечения производим как для таврового сечения в соответствии с
пп. 3.40 и
3.43 настоящего Руководства.
Согласно
примеч. 7 к табл. 16, значение коэффициента условий работы бетона
mбt для ребра определяем по
табл. 16 в зависимости от температуры бетона, находящегося на расстоянии 0,2
h0 от сжатой грани сечения:
mбt = 0,235.
Значение коэффициента
mаt = 0,975 принимаем по
табл. 35 в зависимости от температуры
tа = 125 °C.
Поскольку
x >
h, а следовательно и

, граница сжатой зоны проходит в ребре или все сечение сжато. В этом случае прочность сечения проверяем из
условия (147), а высоту сжатой зоны - из
формулы (149).
Для определения граничного значения высоты сжатой зоны

по
формуле (93) определяем величину

по
формуле (94), предварительно приняв значение коэффициента
mбt по
табл. 16 в зависимости от средней температуры сжатой зоны при ее высоте, равной 0,7
h0:
mбt = 0,336;
В связи с учетом коэффициента
mб1 = 0,85, согласно
п. 3.13, в
формуле (93) вместо величины 4000 принята величина 5000.
При средней температуре бетона сжатой зоны, отвечающей высоте 0,64h0:
mбt = 0,316;
Mпред = 0,316·115·12·34,2(45 - 0,5·34,2) +
+ 0,165·115(75 - 12)13(45 - 0,5·13) = 101 220 кгс·см =
10,12 тс·м > Ne = 9,31 тс·м.
Прочность сечения обеспечена.
Пример 21. Расчет прочности внецентренно-растянутого железобетонного элемента прямоугольного сечения при одностороннем нагреве до 200 °C; случай малых эксцентриситетов.
Дано: размеры сечения
b = 30 см;
h = 25 см;
a =
a' = 5 см; элемент неравномерно нагрет, при этом температура арматуры
A' - 200 °C, арматуры
A - 100 °C; бетон
состава N 2 (табл. 11), марки М300; арматура из стали класса А-III,
Rа = 3600 кгс/см
2 (табл. 29); площадь сечения арматуры

; расчетное значение продольной силы
N = 60 тс, изгибающего момента
M = 1,8 тс·м.
Требуется проверить прочность сечения.
Расчет. Определяем значения коэффициента
mаt по
табл. 35 в зависимости от температуры соответствующей арматуры:
для арматуры A' mаt = 0,9;
для арматуры A mаt = 1.
В соответствии с
п. 3.47 определяем расстояния от растягивающей силы
N до равнодействующих усилий в арматуре
A(
e) и
A'(
e'). Для этого предварительно определяем эксцентриситет продольной силы
N при
h0 = 25 - 5 = 20 см:
Следовательно, продольная сила приложена между равнодействующими усилий в арматуре A и A'.
e = eц - e0 = 0,5h - a - e0 = 0,5·25 - 5 - 3 = 4,5 см.
e' = h0 - eц + e0 - a' = 20 - 0,5·25 + 5 + 3 - 5 = 10,5 см.
Mпред = 0,9·3600·12,56(20 - 5) = 576 504 кгс·см > Ne =
= 60 000·4,5 = 270 000 кгс·см
Mпред = 1·3600·12,56(20 - 5) = 640 560 кгс·см > Ne' =
= 60 000·10,5 = 630 000 кгс·см.
Прочность сечения обеспечена.
Пример 22. Определение площади поперечного сечения растянутой арматуры внецентренно-растянутого железобетонного элемента прямоугольного сечения при одностороннем нагреве до 150 °C; случай малых эксцентриситетов.
Дано: размеры сечения
b = 100 см;
h = 50 см;
a =
a' = 4 см; элемент неравномерно нагрет, при этом температура арматуры
A' - 150 °C, арматуры
A - 50 °C; бетон
состава N 1 (табл. 11), марки М200; арматура из стали класса А-III,
Rа = 3600 кгс/см
2 (табл. 29); расчетное значение продольной силы
N = 70 тс, изгибающего момента
M = 6 тс·м.
Требуется определить площадь сечения продольной рабочей арматуры.
Расчет. Определяем значения коэффициента
mаt по
табл. 35 в зависимости от температуры соответствующей арматуры:
для арматуры A' mаt = 0,95;
для арматуры A mаt = 1.
В соответствии с
п. 3.47 определяем расстояния от растягивающей силы
N до равнодействующих усилий в арматуре
A(
e) и
A'(
e')
. Для этого предварительно определяем эксцентриситет продольной силы
N при
h0 =
h -
a = 50 - 4 = 46 см:
Следовательно, продольная сила приложена между равнодействующими усилий в арматуре A и A'.
e = eц - e0 = 0,5h - a - e0 = 0,5·50 - 4 - 8,57 = 12,43 см.
e' = h0 - eц + e0 - a' =
= 46 - 0,5·50 + 4 + 8,57 - 4 = 29,57 см.
Определение площади поперечного сечения арматуры производим согласно
п. 3.48. Так как
e' = 29,57 см <
h0 -
a' = 46 - 4 = 42 см, необходимые площади сечения арматуры
Fа и

определяем:
Принимаем
Пример 23. Определение площади поперечного сечения симметричной арматуры внецентренно-растянутого элемента прямоугольного сечения при его равномерном нагреве до 100 °C; случай больших эксцентриситетов.
Дано: размеры сечения
b = 40 см;
h = 20 см;
a =
a' = 4 см; элемент равномерно нагрет до 100 °C; бетон
состава N 1 (табл. 11), марки М200,
Rпр = 90 кгс/см
2 (табл. 14); арматура из стали класса А-III,
Rа = 3600 кгс/см
2 (табл. 29); расчетные значения от длительно действующей нагрузки: продольной силы
N = 17 тс, изгибающего момента
M = 2,75 тс·м.
Требуется определить площадь сечения продольной симметричной арматуры.
Расчет. Согласно
п. 2.10, при длительном нагреве расчетное сопротивление бетона умножаем на коэффициент
mб1 = 0,85, принимаемый по
табл. 15:
Rпр = 90·0,85 = 76,5 кгс/см2.
Определяем значения коэффициентов
mбt и
mаt соответственно по
табл. 16 и
35 для температуры 100 °C:
mбt = 0,9;
mаt = 1.
В соответствии с
п. 3.47 определяем расстояния от растягивающей силы
N до равнодействующей усилий в арматуре
A(
e) и
A'(
e'). Для этого предварительно определяем эксцентриситет продольной силы
N при
h0 =
h -
a = 20 - 4 = 16 см:
Следовательно, продольная сила приложена за пределами расстояния между равнодействующими усилий в арматуре A и A':
e = e0 - eц = e0 - 0,5h + a = 16,2 - 0,5·20 + 4 = 10,2 см;
e' = h0 - eц + e0 - a' = h0 - 0,5h + a + e0 - a' =
= 16 - 0,5·20 + 4 + 16,2 - 4 = 22,2 см.
Площадь сечения арматуры определяем согласно
п. 3.48.
Определяем значение коэффициента
A0 из
формулы (172), заменив
AR на
A0, без учета сжатой арматуры, т.е. при

:
По
табл. 41 в зависимости от полученного значения
A0 определяем значение

. Так как

, требуемую площадь продольной арматуры находим по
формуле (175), в которой коэффициент
v определяем по
табл. 41 при
A0 = 0,246;
v = 0,857:
Принимаем

.
Пример 24. Определение площадей поперечного сечения анкеров и пластины закладной детали колонны при ее нагреве до 300 °C со стороны, противоположной расположению закладной детали, и действии на закладную деталь сдвигающей силы и изгибающего момента.
Дано: к закладной детали колонны сечением 40 x 40 см приварен столик для опирания балки, создающей вертикальную нагрузку
Q = 4 тс, приложенную на расстоянии 10 см от наружной поверхности колонны (закладной детали); размеры закладной детали; ширина - 15 см, высота - 28 см; колонна со стороны, противоположной расположению закладной детали, подвергается длительному нагреву до 300 °C; анкеры из стали класса А-III,
Rа = 3600 кгс/см
2 (табл. 29), бетон колонны
состава N 2 (табл. 11), марки М300,
Rпр = 135 кгс/см
2,
Rр = 10 кгс/см
2 (табл. 14).
Требуется запроектировать анкеры закладной детали и определить толщину пластины.
Расчет. Из теплотехнического расчета получено изменение температуры на 1 см высоты сечения колонны, равное 5 °C.
Принимаем 4 анкера, приваренных втавр, расположенных в два ряда (nан = 2) при расстоянии между рядами анкеров z = 20 см.
Определяем наибольшие растягивающие и сжимающие усилия в одном ряду анкеров соответственно по
формулам (214) и
(216) при
N = 0, поскольку на закладную часть действуют только изгибающий момент
M и сдвигающая сила
Q:
Сдвигающую силу, приходящуюся на один ряд анкеров, определяем по
формуле (215):
Значение коэффициента
k1 определяем по
формуле (217), принимая

, поскольку

:

;
Для определения коэффициента
k по
формуле (218) вычисляем ряд расчетных характеристик.
Согласно
п. 2.10, при длительном нагреве расчетные сопротивления бетона умножаем на коэффициент
mб1 = 0,85, принимаемый по
табл. 15:
Rпр = 135·0,85 = 115 кгс/см2;
Rр = 10·0,85 = 8,5 кгс/см2.
Значения коэффициентов
mбt и

,

принимаем соответственно по
табл. 16 и
18 в зависимости от температуры бетона в месте расположения закладной детали:
tз.д = 300 - 5·40 = 100 °C;
mбt = 0,9;

;

(для кратковременного нагрева).
nб = 1·0,8·0,7 = 0,56.
Значение коэффициента
mаt принимаем по
табл. 35 в зависимости от температуры
tа конца анкера. При длине анкера, равной 300 мм:
tа = 300 - 5·10 = 250 °C; mаt = 0,825.
Суммарную площадь поперечного сечения анкеров определяем по
формуле (213):
Принимаем

(
Fа = 3,08 см
2) в каждом ряду.
Из условия размещения анкеров в колонне длина анкеров принята равной 30 см, что меньше минимально допустимой длины анкеров, равной 30d = 30·1,4 = 42 см, поэтому на концах анкеров привариваем круглые анкерные пластинки диаметром 50 мм и проверяем бетон на смятие под пластинками и на выкалывание. При этом длина анкера 30 см > 10d = 10·1,4 = 14 см, т.е. допустимо для анкеров с усилением на конце.
Расчет на смятие ведем согласно
п. 3.73. Площадь смятия
Fсм под анкерной пластинкой одного анкера равна
Поскольку
lа = 30 см > 15
d = 15·1,4 = 21 см, а в колонне в месте установки анкеров возможны растягивающие напряжения и образование трещин,
Nсм определяем по
формуле (227):
Проверяем
условие (226). Для этого предварительно определяем значение коэффициента
mбt по
табл. 16 в зависимости от температуры бетона в месте расположения анкерных пластинок, равной 250 °C,
mбt = 0,65:
2,5mбtRпрFсм = 2,5·0,65·115·18,1 =
= 3380 кгс > Nсм = 1000 кгс,
т.е. прочность на смятие обеспечена.
Расчет на выкалывание ведем согласно
п. 3.71.
Поскольку

и концы анкеров с усилением не заведены за продольную арматуру колонны, расположенную у противоположной от закладной детали грани, расчет ведем из
условия (224):
Значение коэффициента
mрt определяем по
табл. 16 в зависимости от температуры бетона в середине длины анкера, т.е. на расстоянии 25 см от наиболее нагретой грани колонны:
tа = 300 - 5·25 = 175 °C; mрt = 0,55;
0,5П1Rрt = 0,5·2560·0,55·8,5 = 5984 кгс > Nан = 2000 кгс,
т.е. прочность на выкалывание обеспечена.
Принятые расстояния между анкерами в направлении поперек и вдоль сдвигающей силы, соответственно равные 7 см > 4d = 4·1,4 = 5,6 см и 20 см > 6d = 6·1,4 = 8,4 см, удовлетворяют конструктивным требованиям.
Определяем необходимую толщину пластины закладной детали по
формуле (221), в которой значение коэффициента
mаt при
Rср определяем по
табл. 35 в зависимости от температуры пластины, равной 100 °C, как для арматуры класса А-I,
mаt = 0,95:
Из условия сварки анкеров под слоем флюса на автоматах толщина пластины должна быть не менее 0,65
d = 0,65·1,4 = 0,91 см. Принимаем толщину пластины

.
Пример 25. Определение площадей поперечного сечения анкеров и пластины закладной детали колонны при ее равномерном нагреве до 100 °C и действии на закладную деталь растягивающей и сдвигающей силы и изгибающего момента.
Дано: к закладной детали колонны сечением 60 x 40 см приварены элементы стальных конструкций, работающие на растяжение (узел примыкания элементов и усилия в них по
рис. 59); колонна и элементы конструкций подвергаются длительному равномерному нагреву до 100 °C; анкеры закладной детали из стали класса А-III,
Rа = 3600 кгс/см
2 (табл. 29), бетон колонны
состава N 1 (табл. 11), марки М400,
Rпр = 175 кгс/см
2,
Rр = 12 кгс/см
2 (табл. 14).
Рис. 59. Закладные детали колонны при действии растягивающих
и сдвигающих сил и изгибающего момента
Требуется запроектировать анкеры закладной детали, определить толщину пластины и проверить выкалывание бетона.
Расчет. Принимаем расположение анкеров, как показано на
рис. 59.
Усилие в раскосе раскладываем на нормальную силу, приложенную к закладной детали с эксцентриситетом e0 = 5 см, и сдвигающую силу Q:
N = 14 000 cos 43°45' + 8000 = 18 050 кгс;
Q = 14 000 sin 43°45' = 9700 кгс.
При
z = 42 см и
M =
Ne = 18 050·5 = 90 250 кгс·см определяем наибольшее растягивающее усилие в одном ряду анкеров по
формуле (214):
Наибольшее сжимающее усилие в одном ряду анкеров вычисляем по
формуле (216):
Сдвигающее усилие
Qан, приходящееся на один ряд анкеров, определяем по
формуле (215), принимая

:
Так как

,
Для определения коэффициента
k по
формуле (218) вычисляем ряд расчетных характеристик.
Согласно
п. 2.10, при длительном нагреве расчетное сопротивление бетона умножаем на коэффициент
mб1 = 0,85, принимаемый по
табл. 15:
Rпр = 175·0,85 = 149 кгс/см2;
Rр = 12·0,85 = 10 кгс/см2.
Значения коэффициентов
mбt,
mрt и

,

,
mаt принимаем соответственно по
табл. 16,
18 и
35:
mбt = 0,9;
mрt = 0,7;

;

(для кратковременного нагрева);
mаt = 1 (для стали А-III);
mаt = 0,95 (для стали пластины).
nб = 1·0,8·0,7 = 0,56.
Задаемся площадью анкерного стержня
fан = 1,13 см
2 
, тогда по
формуле (218)
Суммарную площадь поперечного сечения анкеров определяем по
формуле (213):
Принимаем три анкера диаметром 14 мм в каждом ряду (Fан = 4,61 см2).
Проверим необходимое значение Fан при коэффициенте k, соответствующем принятому диаметру 14 мм (fан = 1,54 см2):
Окончательно принимаем три анкера

.
Из условия сварки в отверстия с раззенковкой
Принимаем

.
Принятые расстояния между осями анкеров вдоль и поперек сдвигающей силы, соответственно равные 14 см > 6d = 6·1,4 = 8,4 см и 9 см > 4d = 4·1,4 = 5,6 см, удовлетворяют конструктивным требованиям.
Концы анкеров привариваем к аналогичной закладной детали, расположенной на противоположной грани колонны.
Проверяем бетон на выкалывание согласно
п. 3.71.
Поскольку
Nан < 0 и концы анкеров имеют усиления, проверяем
условие (222).
Определяем площадь проекции поверхности выкалывания (см.
рис. 59) за вычетом площади закладной детали, равной:
Fз.д = 50·26 = 1300 см2;
a1 = 50 + 2·38,8 = 127,6 см;
a2 = 60 см;
П = a1a2 - Fз.д = 127,6·60 - 1300 = 6356 см2;
e1 = e0 = 5 см; e2 = 0;
т.е. прочность бетона на выкалывание обеспечена.
Пример 26. Расчет прочности наклонных сечений изгибаемого элемента из жаростойкого бетона без поперечной арматуры от действия поперечной силы при неравномерном нагреве до 750 °C.
Дано: Ригель теплового агрегата имеет высоту
h = 45 см и ширину
b = 20 см. Ригель выполнен из жаростойкого бетона марки М300 на портландцементе с тонкомолотой шамотной добавкой и шамотными заполнителями (
состав N 11, табл. 11 настоящего Руководства).
На ригель действует расчетная поперечная сила, равная 700 кгс. Температура крайней грани сжатой зоны бетона ригеля равна 750 °C. Продольная рабочая арматура расположена с наружной стороны агрегата и ее температура равна 50 °C (
рис. 60,
а). Необходимо проверить прочность элемента по наклонным сечениям:
h0 = 45 - 3,5 = 41,5 см.
Рис. 60. Схема армирования поперечной арматурой
а - конструктивное армирование; б - с расчетной
арматурой из хомутов; в - с расчетной арматурой
из хомутов и отогнутых стержней
Для жаростойкого бетона марки М300
(состав N 11) при средней температуре по высоте сечения элемента 400 °C при длительном действии нагрева по
табл. 14,
15 и
16 настоящего Руководства находим:
Rр = 8,7 кгс/см
2;
mб1 = 0,85 и
mр.t = 0,3.
Предельную поперечную силу, которую может воспринять поперечное сечение элемента при длительном действии нагрева, вычисляем по
формуле (180) при
k1, равном 0,4:
Q = 0,4·8,7·0,85·0,30·20·41,5 = 740 кгс.
Поперечная сила, воспринимаемая бетоном, равна 740 кгс, что больше действующей поперечной силы, равной 700 кгс, т.е. вся действующая поперечная сила может быть воспринята бетонным сечением элемента.
Исходя из конструктивных соображений, ставим поперечную арматуру из стали класса А-I

через 200 мм в виде двух каркасов. При этом хомуты обрываются в сжатой зоне бетона там, где температура арматуры не будет превышать 450 °C согласно
табл. 24 настоящего Руководства.
Пример 27. Расчет прочности наклонных сечений и ширины раскрытия наклонных трещин изгибаемого элемента из жаростойкого бетона с хомутами от действия поперечной силы при неравномерном нагреве до 600 °C.
Дано: на ригель рамы действует расчетная поперечная сила 5,5 тс и поперечная сила от нормативной нагрузки, равная 5 тс. Ригель теплового агрегата имеет высоту
h = 45 см, ширину
b = 20 см и выполняется из жаростойкого бетона марки М400 на портландцементе с тонкомолотой шамотной добавкой и шамотными заполнителями (
состав N 11, табл. 11 настоящего Руководства). Ригель армируется двумя сварными каркасами. Поперечные стержни выполняются из стали класса А-III периодического профиля. Температура крайней грани сжатой зоны бетона 600 °C (
рис. 60,
б). Температура продольной арматуры 40 °C. Максимальная температура нагрева хомутов (согласно
табл. 24 настоящего Руководства) может быть допущена до 450 °C. Для жаростойкого бетона марки М400 для средней температуры бетона по высоте сечения ригеля, равной 320 °C, при длительном действии нагрева, согласно
табл. 14,
15 и
16 настоящего Руководства, находим:
Rпр = 175 кгс/см2;
Rр = 9,8 кгс/см2;
mб1 = 0,85; mб.t = 0,67 и mр.t = 0,38.
Рабочая высота ригеля
h0 = 45 - 3,5 = 41,5 см.
Величина максимально возможной поперечной силы, воспринимаемой заданным сечением бетона, определяется из
условия (179):
Q <= 0,35·175·0,85·0,67·20·41,5 = 28 952 кгс > 5500 кгс.
Следовательно,
условие (179) соблюдено и размеры поперечного сечения допустимы.
Предельная поперечная сила, воспринимаемая бетоном при средней температуре бетона по высоте сечения ригеля 320 °C и
k1 = 0,4, согласно
формуле (180), равна
Q = 0,4·9,8·0,85·0,38·20·41,5 = 1044 кгс < 5500 кгс.
Сечения бетона недостаточно. Требуется установка поперечной арматуры. Принимаем хомуты из арматуры класса А-III
Fх = 1,01 см
2. Хомуты устанавливаем через 100 мм. Усилие, воспринимаемое хомутами на единицу длины балки, определяют по
формуле (187), в которой принимают
Rа.х = 2900 кгс/см
2, и для максимальной температуры хомутов 450 °C
mа.х = 0,475 (см.
табл. 29 и
35 настоящего Руководства):
Длину проекции невыгоднейшего наклонного сечения на продольную ось элемента определяем по
формуле (185), в которой коэффициент условия работы
mрt - для средней температуры сжатой зоны сечения. При неравномерном нагреве по высоте сечения среднюю температуру бетона сжатой зоны допускается принимать равной температуре бетона на расстоянии 0,2
h0 от нагреваемой грани, которая равна 490 °C. Для этой температуры по
табл. 16 настоящего Руководства находим
mрt = 0,21. Длительное действие нагрева учитывается коэффициентом
mб1 = 0,85 (см.
табл. 15 настоящего Руководства).
Коэффициент k2 для температуры 490 °C принимается равным 3:
При воздействии температуры, превышающей предельно допустимую температуру применения арматуры, установленной по расчету (см.
табл. 24 настоящего Руководства), допускается принимать поперечную арматуру, укороченную по высоте сечения элемента. Минимально допустимая длина хомутов устанавливается не менее
2/
3h0 и она равна

. Величина поперечной силы, воспринимаемая укороченными хомутами и бетоном в наклонном сечении, определяется по
формуле (188):
Сечение элемента с укороченной поперечной арматурой необходимо проверить по
формуле (186), в которой вместо
h0 принимается условная рабочая высота сечения
hу, равная длине хомутов и толщине защитного слоя бетона у менее нагретой грани:
hу = 27,7 + 3,5 = 31,2 см.
Температура условной сжатой зоны бетона укороченной высоты равна 380 °C. Коэффициент условий работы бетона
mрt = 0,32 (см.
табл. 16 настоящего Руководства) и
k2 = 2,4:
За расчетную поперечную силу принимается наименьшая, полученная по
формуле (186), равная 7526 кгс, что больше действующей поперечной силы, равной 5500 кгс.
Наибольшее расстояние между поперечными стержнями должно быть не более величины, определенной по
формуле (190), в которой для средней температуры бетона сжатой зоны 490 °C
k2 = 3 и
mрt = 0,21:
Принятое расстояние между хомутами 10 см меньше umax = 25 см, что является вполне допустимым.
Для определения ширины раскрытия наклонных трещин от действия нормативной поперечной силы 5 тс предварительно вычислим по
формуле (259) величину
Коэффициент насыщения поперечными стержнями, нормальными к продольной оси элемента, определяется по
формуле (257):
Ширина раскрытия трещин, наклонных к продольной оси элемента
aт, в изгибаемых элементах, армированных поперечной арматурой, определяется по
формуле (254), в которой:
cд = 1,5; k = (20 - 1200·0,00505)·103 = 14·103;

и

Для температуры хомутов 450 °C

(см.
табл. 35 настоящего Руководства) и
Eа = 2 000 000 кгс/см
2:
что вполне допустимо.
Пример 28. Расчет прочности наклонных сечений и ширины раскрытия наклонных трещин изгибаемого элемента из жаростойкого железобетона с хомутами и отогнутой арматурой от действия поперечной силы при неравномерном нагреве до 650 °C.
Дано: на ригель теплового агрегата действует равномерно распределенная нагрузка с максимальной расчетной поперечной силой 15 тс. Поперечная сила от нормативной нагрузки 12 тс. Длина участка эпюры поперечных сил 200 см (
рис. 60,
в), размеры сечения ригеля:
h = 45 см и
b = 20 см.
Ригель выполнен из жаростойкого бетона марки М250 на портландцементе с тонкомолотой шамотной добавкой и шамотными заполнителями (
состав N 11, табл. 11 настоящего Руководства). Температура крайней грани сжатой зоны бетона 650 °C. Отогнутые стержни и хомуты из арматуры класса А-III. Максимальная температура применения отогнутых стержней и хомутов не должна превышать 450 °C (см.
табл. 24 настоящего Руководства). Температура продольной арматуры, расположенной у менее нагретой грани, 50 °C.
Необходимо проверить достаточность поперечного сечения изгибаемого элемента при действии поперечных сил, подобрать сечение поперечной арматуры и определить ширину раскрытия наклонных трещин в невыгоднейшем наклонном сечении от действия нормативной поперечной силы:
h0 = 45 - 3,5 = 41,5 см.
Средняя температура по высоте ригеля равна 350 °C.
Максимально возможную поперечную силу, воспринимаемую заданным сечением, определяем из
зависимости (179), в которой при длительном нагреве для средней температуры ригеля 350 °C по
табл. 14,
15 и
16 настоящего Руководства принимаем:
Rпр = 110 кгс/см2; mб1 = 0,85; mбt = 0,625;
Rр = 8 кгс/см2; mрt = 0,35
и Q <= 0,35·110·0,85·0,625·20·41,5 = 17 тс > 15 тс.
Следовательно,
условие (179) соблюдено и размеры поперечного сечения изгибаемого элемента допустимы.
Предельная поперечная сила, воспринимаемая бетоном, определяется по
формуле (180), в которой при средней температуре по высоте сечения ригеля 350 °C
k1 = 0,4,
Q <= 0,4·8·0,85·0,35·20·41,5 = 796 кгс < 15 000 кгс,
т.е. необходим расчет поперечной арматуры.
Принимаем двухветвевые хомуты диаметром 10 мм через 12 см, площадью Fх = 1,57 см2. Средняя температура сжатой зоны на расстоянии 0,2h0 равна 540 °C. Для этой температуры mрt = 0,158.
Принятое расстояние между хомутами должно быть не более максимально допустимого, определяемого по
формуле (190), в которой
k2 = 3,2 согласно
п. 3.54 настоящего Руководства:
Для класса стали А-III при температуре хомутов 450 °C и длительном нагреве по
табл. 29 и
35 настоящего Руководства находим
Rах = 2900 кгс/см
2 и
mаt = 0,475.
Предельное усилие в хомутах на единицу длины элемента определяем по
формуле (187):
Длину проекции невыгоднейшего наклонного сечения на продольную ось элемента вычисляем по
формуле (185):
Поперечную силу, воспринимаемую бетоном сжатой зоны и хомутами в невыгоднейшем наклонном сечении, находим по
формуле (186):
Проверяем прочность наклонного сечения при укороченной высоте, равной hх = 2/3h0 = 27,7 см:
hу.0 = hх + a = 27,7 + 3,5 = 31,2 см.
Средняя температура бетона высоты сжатой зоны на расстоянии 0,2hу.0 = 41,5 - 31,2 + 0,2·31,2 = 16,54 см от нагреваемой грани равна 415 °C.
mрt = 0,285 и k2 = 2,55.
Rрt = 8·0,285·0,85 = 1,94 кгс/см2.
За расчетную поперечную силу принимается наименьшая поперечная сила, равная 8,686 тс, полученная по
формуле (188). Она составляет величину, меньшую действующей поперечной силы, равной 15 тс, поэтому необходимо увеличить площадь сечения хомутов или поставить отогнутые стержни. Сечение отогнутых стержней арматуры определяется по
формуле (193):
Принимаем

(
F01 = 7,6 см
2). В конце первой плоскости отгибов находим поперечную силу
Q2, приняв расстояние от грани опоры до начала первого отгиба 5 см:
Принимаем

(
F02 = 4,02 см
2);
Принимаем

(
F03 = 1,57 см
2);
Эта величина поперечной силы меньше силы, воспринимаемой бетоном и хомутами.
Отогнутые стержни и хомуты должны располагаться там, где температура их нагрева не будет превышать предельно допустимую температуру применения данной марки стали.
Ширину раскрытия трещин, наклонных к продольной оси элемента
aт, в изгибаемых элементах, армированных поперечной арматурой, определяем по
формуле (254). Для определения ширины раскрытия наклонных трещин в сечении с наибольшей нормативной поперечной силой
Q = 12 тс предварительно вычислим величину
t, которая для первого отгиба равна
Коэффициент насыщения поперечными стержнями, нормальными к продольной оси элемента, определим по
формуле (257):
Коэффициент насыщения отогнутыми стержнями в первом отгибе, наклонными к продольной оси элемента, вычисляем по
формуле (258):
Для арматуры периодического профиля

. При длительно действующей нагрузке
cдл = 1,5 и k = (20 - 1200·0,0121)·103 = 5,48·103.
Принимаем k = 8·103;
Пример 29. Расчет прогиба предварительно-напряженной железобетонной плиты перекрытия, работающей при равномерном нагреве по сечению при температуре 100 °C.
Дано: предварительно-напряженная железобетонная ребристая плита перекрытия
(рис. 61). Помещение, перекрываемое плитой, имеет нормальный влажностный режим. Марка обычного бетона М300 (
состав N 1 согласно табл. 11 настоящего Руководства). По
табл. 13 и
14 настоящего Руководства определяем расчетные сопротивления бетона;
RпрII = 180 кгс/см
2;
RрII = 15 кгс/см
2;
Rпр = 135 кгс/см
2;
Rр = 10 кгс/см
2. По
табл. 17 модуль упругости бетона:
Eб = 2,6·10
3 кгс/см
2.
Рис. 61. Поперечное сечение предварительно-напряженной
железобетонной ребристой плиты перекрытия
Предварительно-напряженная арматура из стали класса А-IIIв с
RаII = 5500 кгс/см
2,
Rа = 4500 кгс/см
2 (см.
табл. 25 настоящего Руководства);
Eа = 2·10
6 кгс/см
2 (см.
табл. 37 настоящего Руководства); ненапрягаемая арматура из горячекатаной стали класса А-III с
RаII = 4000 кгс/см
2,
Rа = 3600 кгс/см
2;
Eа = 2·10
6 кгс/см
2; площадь сечения арматуры
A: предварительно-напряженной
Fп = 4,91 см
2 
; ненапрягаемая
Fа = 0,785 см
2 
; площадь сечения арматуры
A' -

; натяжение стержней осуществляется электротермическим способом; расчетный пролет плиты
l = 570 см; нормативная равномерно распределенная нагрузка длительно действующая
q = 2600 кгс/м.
Требуется определить прогиб плиты.
Определяем геометрические характеристики сечения без учета температуры.
Fп = 47,5·5 + 30·9,5 + (4,91 + 0,785 + 0,503)7,69 =
= 570,2 см2
Определяем статический момент относительно нижней грани ребра по
формуле (7):
Sп = 237,5·32,5 + 285·15 + 4,91·7,69·4 + 0,785·7,69·2 +
+ 0,503·7,69·32,5 = 12 283 см3.
Определяем расстояние от центра тяжести приведенного сечения до нижней грани по
формуле (5):
Определяем момент инерции приведенного сечения относительно его центра тяжести по
формуле (11):
Определяем эксцентриситет усилия предварительного обжатия относительно центра тяжести приведенного сечения:
e0н = y - a = 21,54 - 4 = 17,54 см.
Предельно допустимое отклонение предварительного напряжения равно
где l - длина напрягаемого стержня, м.
Величину напряжения принимаем равной
Коэффициент точности предварительного напряжения арматуры равен
где
здесь p - предельно допустимое отклонение, кгс/см2;

- величина напряжения, кгс/см
2;
n0 - число стержней в сечении;
mт = 1 + 0,15 = 1,15.
Определяем потери предварительного напряжения по
табл. 4 главы СНиП II-21-75.
Первые потери, происходящие до окончания обжатия бетона:
от релаксации напряжений в арматуре
от деформации бетона при быстронатекающей ползучести.
Для этого определяем напряжения в бетоне

на уровне центра тяжести напрягаемой арматуры от усилия предварительного обжатия, с учетом влияния собственного веса элемента.
Усилие предварительного обжатия N01 равно
Момент от собственного веса плиты в середине пролета
где

;
p - вес плиты;
Напряжение в бетоне равно
Потери от деформации бетона при быстронатекающей ползучести равны при

Первые потери равны
Определяем вторые потери, происходящие после окончания обжатия бетона:
потери от усадки бетона -

;
потери от ползучести бетона -

.
Коэффициент 0,85 в первых и вторых потерях учитывает наличие тепловлажностной обработки бетона.
Вторые потери

.
Полные потери при нормальной температуре равны

.
Геометрические характеристики с учетом температуры.
Fп = 156 + 188 + 44 + 4 = 392 см2.
Статический момент относительно нижней грани ребра по
формуле (7):
Sп = 156·32,5 + 188·15 + 44·4 + 4·32,5 = 8196 см3.
Расстояние от центра тяжести приведенного сечения до грани ребра по
формуле (5):
Эксцентриситет усилия обжатия: e0н = y - a = 20,9 - 4 = 16,9 см.
Дополнительные потери предварительного напряжения от воздействия температуры определяем по
табл. 7 настоящего Руководства:
потери от усадки - 600 кгс/см2;
потери от релаксации напряжений в арматуре -

.
Дополнительные температурные потери равны -

.
Полные потери равны

.
Усилие обжатия с учетом всех потерь - N02 = 4,91(4600 - 2719) - 0,785·2719 - 0,503·2719 = 5743 кгс.
Момент в середине пролета (для половины сечения плиты) равен
Wт = [0,292 + 0,75·2·0,017·9,615 +
+ 0,075(1,143 + 2·0,002·9,615)]9,5·352 = 7285 см3.
Далее определяем

по
формуле (124) главы СНиП II-21-75, для этого находим:
Mт = 0,7·15·7285 + 121 350 = 197 843 кгс·см =
= 1,98 тс·м < 5,28 тс·м,
т.е. трещины будут.
Следовательно, прогиб плиты определяем как для элемента с трещинами.
Определяем кривизну плиты в середине пролета от длительного действия нагрузки.
Заменяющий момент при действии внешнего момента M при eх = 0 равен Mз = M = 5,28 тс·м.
Определяем относительную высоту сжатой зоны бетона

по
формуле (266), для чего находим:
Относительная высота сжатой зоны равна
Кривизна от выгиба определяется по
формуле (156) главы СНиП II-21-75:
Прогиб плиты
т.е. прогиб плиты меньше предельно допустимого (см.
табл. 4 настоящего Руководства).
Пример 30. Расчет железобетонной плиты фундамента на неравномерный нагрев от центра к краям.
Дано: плита из жаростойкого бетона на портландцементе с шамотными заполнителями (
состав N 11 по табл. 11 настоящего Руководства), марки М250 с характеристиками (см.
табл. 13 и
14 настоящего Руководства),
RпрII = 145 кгс/см
2,
RрII = 13 кгс/см
2;
Rпр = 110 кгс/см
2,
Eб = 1,65·10
5 кгс/см
2. Плита армируется по контуру арматурой класса А-III с
Rа = 3600 кгс/см
2 (
табл. 29 настоящего Руководства). Геометрические размеры плиты указаны на
рис. 62, на нем же указано распределение температуры от центра плиты к периферии. Требуется определить необходимое количество арматуры от кратковременного воздействия на плиту неравномерного нагрева от центра к краям.
Рис. 62. Прямоугольная фундаментная железобетонная плита
а - план плиты; б - расчетное сечение I-I полуплиты
Наибольшие усилия от температурного перепада будут возникать по длинным сторонам плиты.
Для определения необходимого количества арматуры для восприятия этих усилий плиту мысленно разрезаем по оси
a-
a и ведем расчет статически неопределимой балки с сечением, указанным на
рис. 62,
б, загруженной по концам температурным моментом.
Определяем минимальный процент армирования продольных сторон полуплиты по
формуле (45):
Принимаем

(
Fа = 10,18 см
2).
Разбиваем сечение полуплиты на две части (
рис. 62,
б) и определяем площадь приведенного сечения по
формуле (6), в которой коэффициенты

,

и

находим по
табл. 16,
18 и
35 настоящего Руководства при температурах в центре тяжести частей сечения и арматуры. Для данного состава бетона значение
kп = 0,7:
Fп = 1192 + 3285 + 121 = 4598 см2.
y1 = 0,5·233 + 54,22 = 170,22 см;
y2 = 53,77 см.
Sп = 1192·170,22 + 3285·53,77 + 121·3 = 379 899 см3.
yб1 = 170,22 - 82,6 = 87,62 см;
yб2 = 53,77 - 82,6 = -28,83 см;
yа = 82,6 - 3 = 79,6 см.
Iп = 1 348 177 + 3 715 403 + 1192·87,622 +
+ 3285·28,832 + 121·79,62 = 17 711 943 см4.
Wт = [0,292 + 0,75·2·0,00134·26,1]33·2332 = 618 000 см3.
Mт = 13·0,725·618 000 = 58,2 тс·м < 75,38 тс·м.
Следовательно, сечение будет работать с трещинами в растянутой зоне.
Затем определяем удлинение оси и кривизну каждого элемента сечения полуплиты по
формулам (19),
(20) и
(21) настоящего Руководства:
Кривизну сечения полуплиты с трещинами находим по
формуле (34), для этого определяем по
формуле (68) коэффициент температурного расширения арматуры в бетоне, принимая по
табл. 36
k = 0,9 при

и

Кривизна сечения полуплиты равна
Приведенная кривизна сечения полуплиты по
формуле (43) будет равна
B1 = 0,85·17 711 943·1,65·105 = 248,41·1010 кгс·см2.
Жесткость сечения полуплиты с трещинами определяем по
формуле (286) при
k1 = 0,53 и
k2 = 0,23, принятых по
табл. 52:
Bп = [115,35 + (248,41 - 115,35)0,8]1010 =
= 220,3·1010 кгс·см2.
Mt = 9,7·220,3·104 = 213 тс·м > M = 75,7 тс·м,
полученный момент больше прочности сечения, следовательно, необходимо увеличение армирования.
Принимаем

с
Fа = 20,36 см
2 и делаем пересчет:
Fп = 1192 + 3285 + 242 = 4719 см2;
Sп = 1192·170,22 + 3285·53,77 + 242·3 = 380 225 см3;
yб1 = 170,22 - 80,5 = 89,72 см;
yб2 = 53,77 - 80,5 = -26,73 см;
yа = 80,5 - 3 = 77,5 см;
Iп = 1 348 177 + 3 715 403 + 1192·89,722 + 3285·26,732 +
+ 300·77,52 = 18 813 580 см4;
n = 26,1;

Wт = [0,292 + 0,75·2·0,07]33·2332 = 710 000 см3;
Mт = 13·0,725·710 000 = 67,1 тс·м;
B1 = 0,85·18 813 580·1,65·105 = 263,84·1010 кгс·см2;
Bп = [148 + (263,84 - 148)0,38]1010 = 192·1010 кгс/см2;
Mt = 7,4·10-6·192·1010 = 142 т·см < M = 147,5 тс·м,
т.е. условие прочности соблюдается.
Далее определяем ширину раскрытия трещины, для этого находим:
T = 0;

напряжения в арматуре будут равны
ширина раскрытия трещины будет равна
(249):
| | ИС МЕГАНОРМ: примечание. Формула дана в соответствии с официальным текстом документа. | |
т.е. ширина раскрытия трещин вполне допустима для данной конструкции и для этих условий ее работы (см.
табл. 3 настоящего Руководства).
Пример 31. Расчет прочности и ширины раскрытия трещин двухшарнирной портальной рамы из жаростойкого железобетона.
Дано: пролет рамы в свету 174 см, высота стоек в свету 260 см. Сечение рамы по стойкам и ригелю одинаково.
Максимальная температура в центре рамы достигает 1000 °C.
За расчетное сечение рамы принимаем тавровый участок ребристой панели с высотой ребра
h = 50 см при ширине
b = 12 см, ширина полки

,

.
Ребристые панели выполнены из жаростойкого бетона марки М300 на портландцементе с тонкомолотым шамотом и шамотным заполнителем (
состав N 11, табл. 11 настоящего Руководства), арматура периодического профиля класса А-III.
Требуется определить необходимое количество арматуры, располагаемой в ребрах рамы, для восприятия температурных усилий и собственного веса конструкции, а также проверить ширину раскрытия трещин.
Рис. 63. Эпюра в портальной раме
а - моментов; б - продольных сил; в - поперечных сил,
вызванных единичной силой; г - моментов от собственного
веса; д - моментов от воздействия температуры;
е - суммарных моментов
Расчет рамы на прочность от воздействия температуры
и собственного веса
Расчет производим при кратковременном нагреве до температуры 500 °C, вызывающей максимальные усилия в конструкциях из данного состава бетона (см.
п. 1.23 настоящего Руководства).
На основании теплотехнического расчета температура на арматуре при этих условиях будет 130 °C.
Для первого приближения армирование определяем по
формуле (45):
Принимаем

с
Fа = 1,57 см
2, при этом
Для определения усилий в П-образной раме воспользуемся методом сил. За расчетную схему принимаем двухшарнирную раму, являющуюся один раз статически неопределимой системой. Выбираем основную систему, отбрасывая лишнюю связь. Ее действие заменяем приложением к основной системе распора
X (рис. 62).
Для определения неизвестного усилия X составляем каноническое уравнение перемещения
откуда

Для определения коэффициента

, перемещений

и

к основной системе прикладываем силу
X = 1 и строим эпюры моментов и продольных сил (
рис. 63,
а,
б).
Предварительно определяем все величины, входящие в эту
формулу, для чего находим момент, который может воспринять сечение рамы при данных температурных условиях.
Проверим условие

.
Значение коэффициента
mаt определяется по
табл. 35 настоящего Руководства при
tа = 130 °C:
RаtFа = 0,985·3600·1,57 = 5258 кгс.
Значение коэффициента
mбt определяем по
табл. 16 при
tб = 400 °C (на расстоянии 0,2
h0 от сжатой грани сечения):
Rпрt = 0,95·135 = 128 кгс/см2;
Усилие, которое может воспринять арматура, меньше усилия, воспринимаемого полкой сечения рамы. Следовательно, нейтральная ось проходит в полке, расчет будет производиться как для прямоугольного сечения. Из
условия (99) находим высоту сжатой зоны бетона
Определяем площадь приведенного сечения по
формуле (6), для чего разбиваем на два элемента полку и ребро, и по
формуле (2) находим:
Fх = 535 + 370 + 18 = 923 см2.
y1 = 37 + 6,26 = 43,26 см;
y2 = 17,08 см.
Sп = 535·43,26 + 370·17,08 + 18·5 = 29 553 см3.
yа = 32 - 5 = 27 см.
Iп = 7535 + 42 211 + 535·11,262 + 370·14,922 + 18·272 =
= 213 064 см4.
Wт = [0,292 + 0,75·2·0,003·18,1 +
+ 0,075·2,73]·12·502 = 17 346 см3.
Затем определяем момент трещинообразования по
формуле (228) при

:
Mт = 13·0,73·17 346 = 164 614 кгс·см = 1,65 тс·м.
Теперь по
формуле (18) определяем кривизну сечений без трещин, для этого находим: коэффициент температурного расширения бетона, определяемый по
табл. 20, при температуре нагрева крайнего волокна бетона, т.е. при
tбц = 500 °C -

; при температуре
tб1 = 400 °C -

; при
tб2 = 100 °C -

.
Удлинение сечения без трещин будет равно
Кривизна сечения без трещин будет равна
Кривизну с трещинами определяем по
формуле (34), для этого находим по
формуле (68) коэффициент температурного расширения арматуры в бетоне
Здесь коэффициенты

и

определяем соответственно по
табл. 20 и
35 настоящего Руководства при температуре арматуры
tа = 130 °C. Коэффициент
k определяем по
табл. 36 настоящего Руководства при

.
Кривизна с трещинами равна
Приведенная кривизна будет равна
(43)
Удлинение оси для сечений с трещинами определяем по
формуле (33):
Жесткость сечения определяем по
формуле (41), для чего находим:
B1 = 0,85·213 064·1,75·105 = 3,17·1010 кгс/см2;
жесткость сечений с трещинами по
формуле (282), для этого определяем:
Затем определяем жесткость сечения с трещинами
Bп = [1 + (3,17 - 1)0,7]1010 = 2,52·1010 кгс·см2.
Для вычисления

,

воспользуемся способом Верещагина.
В этом случае
lр = 273 см
2;
перемещение

:
перемещение от равномерно распределенной нагрузки (собственный вес q = 4 кгс/пог. см) равно
Значение коэффициента

определяем по
формуле (38) без учета продольной силы:
Распор будет равен
Умножая единичную эпюру
M (
рис. 63,
а) на
X = 4930, получаем эпюру момента, действующего в раме при данных температурных условиях:
Mt = 273·4930 = 13,45 тс·м > 2,36 тс·м.
Следовательно, условие прочности не соблюдается и двух стержней

не достаточно для восприятия усилий, действующих в раме.
Принимаем

с
Fа = 7,6 см
2 и

и снова проводим расчет - определяем:
несущую способность:
площадь приведенного сечения:
Fп = 535 + 370 + 86 = 991 см2;
статический момент:
Sп = 535·43,26 + 370·17,08 + 86·5 = 29 900 см3,
yа = 30,1 - 5 = 25,1 см;
момент инерции:
Iп = 7535 + 42 211 + 535·13,162 + 370·13,022 + 86·25,12 =
= 259 546 см4,
момент сопротивления
Wт = [0,292 + 0,75·2·0,014·18,1 + 0,075·2,73]12·502 =
= 20 300 см3;
момент трещинообразования
Mт = 13·0,73·20 300 = 1,93 тс·м;
коэффициент приведения
удлинение сечения без трещин
кривизну сечения без трещин
кривизну с трещинами:
приведенную кривизну
удлинение оси сечений с трещинами
приведенное удлинение
жесткость сечений без трещин
B1 = 0,85·259 546·1,75·105 = 3,86·1010 кгс·см2;
жесткость сечений с трещинами:
T = 1,3,
приведенную жесткость
Bп = [2,08 + (3,86 - 2,08)·0,02]1010 = 2,12·1010 кгс·см2;
перемещение

перемещение

коэффициент

распор X
и момент от температурного воздействия
Mt = 273·3120 = 8,53 тс·м.
Моменты от собственного веса равны (
рис. 63,
г):
в пролете рамы
в углах
Суммарные моменты в раме равны (
рис. 63,
е):
в углах
в пролете
M = Mt - M' = 8,53 - 0,13 = 8,4 тс·м.
Суммарный действующий в раме момент
Mв = 8,6 тс·м меньше прочности сечения рамы
M = 11,1 тс·м, следовательно, условие прочности удовлетворяется и двух стержней

достаточно для восприятия усилий, действующих в раме.
Определяем ширину раскрытия трещин от действия момента, возникающего при нагреве внутренней поверхности рамы до 500 °C и собственного веса.
Напряжения в арматуре равны
т.е. ширина раскрытия трещин находится в допустимых пределах (см.
табл. 3 настоящего Руководства).
Пример 32. Расчет прочности, деформаций и ширины раскрытия трещин свободно опертой плиты покрытия из жаростойкого железобетона при длительном одностороннем нагреве до 520 °C.
Дано: плита покрытия длиной 320 см с расчетным пролетом
l = 290 см, шириной
b = 100 см и высотой
h = 35 см. Плита выполнена из жаростойкого бетона марки М300 на портландцементе с тонкомолотой шамотной добавкой и шамотными заполнителями
(состав N 11 по табл. 11). Для армирования плиты используется арматура периодического профиля диаметром 16 мм из горячекатаной стали класса А-III. Продольная рабочая арматура расположена с нижней более нагретой стороны плиты с защитным слоем 92 мм, равным примерно 6 диаметрам.
Согласно теплотехническому расчету, при температуре рабочего пространства теплового агрегата tв = 550 °C и температуре наружного воздуха tн = 25 °C температура арматуры равна 400 °C, температура верхнего крайнего волокна сжатой зоны бетона tб = 90 °C, средняя температура бетона сжатой зоны, принимаемая по температуре бетона на расстоянии 0,2h0 = 5 см от верхней менее нагретой грани, tбс = 162 °C, и температура более нагретой грани сечения плиты равна 520 °C.
Расчет прочности плиты производим по сечению с наибольшим изгибающим моментом в центре пролета. Нагрузка на 1 м от собственного веса плиты при объемном весе железобетона в сухом состоянии

и коэффициенте перегрузки
n = 1,1:
Изгибающий момент в центре пролета свободно опертой плиты
Принимаем арматуру в количестве

,
Fа = 10,05 см
2, расположенной с шагом 200 мм по ширине плиты. При длительном нагреве по
табл. 16 при
tбс = 162 °C,
mбt = 1, а по
табл. 35 при
tа = 400 °C,
mаt = 0,5. При марке М300 по
табл. 14 расчетное сопротивление бетона сжатию
Rпр = 135 кгс/см
2.
По
табл. 15 коэффициент условий работы бетона при длительном нагреве
mб1 = 0,85. Расчетное сопротивление арматуры класса А-III при температуре 20 °C, согласно
табл. 29,
Rа = 3600 кгс/см
2.
Условие прочности плиты с односторонним армированием проверяем по
формуле (98):
Следовательно, условие прочности плиты удовлетворяется с большим запасом.
Проверяем возможность образования трещин в бетоне от нагрузки, вызванной собственным весом плиты. Для этой цели вычисляем момент трещинообразования
Mт по
формуле (237) при

.
Для данной конструкции плиты при

; коэффициент армирования

в
формуле (239) при определении
Wт необходимо умножить на

:

при
tб =
tа = 400 °C;
При температуре бетона 400 °C на уровне арматуры по
табл. 16 
, при
tа = 400 °C по
табл. 35 
Wт = (0,292 + 0,75·2·0,0029·0,428·16)100·352 = 39 418 см3;
Изгибающий момент в центре пролета при нагрузке от собственного веса без коэффициента перегрузки:
Так как M = 71 000 кгс·см < Mт = 153 730 кгс·см, то от собственного веса плиты трещины в растянутой зоне бетона не образуются.
При коэффициенте армирования плиты

и температуре арматуры
tа = 400 °C, согласно
п. 4.3, плита будет работать с трещинами в бетоне растянутой зоны, вызванными разностью коэффициентов температурного расширения арматуры и бетона. В соответствии с этим при определении

коэффициент
k = 0,75 согласно данным
табл. 36 при

и

.
При
tа = 400 °C соответственно по
табл. 20 и
35 имеем

и

.
Кривизну от воздействия температуры определяем по
формуле (35) при
nt = 1. При
tб = 90 °C по
табл. 20 
:
Прогиб плиты в центре пролета от неравномерного нагрева определяем по
формуле (280):
Определяем прогиб плиты в центре пролета от собственного веса.
Относительную величину сжатой зоны бетона определяем по
формуле (266):
z1 = 25(1 - 0,5·0,24) = 22 см.
Так как m = 2,16 > 1, то за расчетную величину принимаем m = 1.
Определяем полный прогиб:
f = ft + fм = 17 + 1,8 = 18,8 мм.
Прогиб плиты

не превышает допустимого

согласно
п. 1.29.
Расчет ширины раскрытия трещин
Ширину раскрытия трещин, нормальных к продольной оси плиты, определяем по
формуле (249), в которой:
cд = 1,5;
k = 1;

;

;

;
d = 16 мм;

;

.
Ширина раскрытия трещин в железобетонной плите
aт = 0,48 мм не превышает допускаемую величину
aт = 0,5 мм согласно
табл. 3.
Пример 33. Расчет прочности и ширины раскрытия трещин сферического купола и опорного кольца из жаростойкого железобетона при одностороннем кратковременном нагреве.
Дано: Сферический купол пролетом 5 м перекрывает рабочее пространство теплового агрегата с температурой 700 °C. Температура окружающего воздуха в зимний период равна 15 °C, а в летний 25 °C.
Геометрические параметры купола согласно
рис. 49:
h = 240 мм;
rв = 5000 мм;
r = 5120 мм;
rн = 5240 мм;
rб = 2500 мм;
r1 = 2560 мм;
rа = 2900 мм;
r2 = 2950 мм;
r2 -
r1 = 390 мм;
rа -
r1 = 340 мм;
h1 =
b = 310 мм и

.
Стрела подъема срединной поверхности купола равна
f =
r. 
.
Расчетный пролет купола
l = 2
r1 = 2·2560 = 5120 мм. Для изготовления купола принят жаростойкий бетон
состава N 11 (по табл. 11) марки М300 на портландцементе с шамотным заполнителем. Для одностороннего армирования купола со стороны менее нагретой поверхности в кольцевом и радиальном направлениях и опорного кольца используется арматура диаметром соответственно 14 и 16 мм периодического профиля класса А-III.
С наружной стороны опорного кольца предусматривается тепловая изоляция в виде асбестоцементной штукатурки толщиной 20 мм для уменьшения перепада температуры по высоте сечения кольца и, следовательно, для уменьшения усилий от воздействия температуры.
Нагрузка на 1 см
2 купола от его собственного веса при объемном весе железобетона в сухом состоянии

и коэффициенте перегрузки
n = 1,1 равна
Требуется произвести:
1) теплотехнический расчет купола и опорного кольца;
2) расчет прочности купола и опорного кольца в момент пуска теплового агрегата в зимний период;
3) расчет ширины раскрытия трещин в бетоне купола и опорного кольца.
Теплотехнический расчет купола при температуре более нагретой поверхности 500 °C в зимний период.
При температуре 500 °C в статически неопределимых конструкциях из жаростойкого бетона на портландцементе, согласно
п. 1.23, возникают наибольшие усилия от воздействия температуры.
Принимаем температуру менее нагретой поверхности купола

. Средняя температура бетона

.
При
tср = 310 °C по
табл. 9 коэффициент теплопроводности бетона

. При

по
табл. 8 
.
При высоте сечения купола h = 24 см:
R0 = 0,33 + 0,08 = 0,41 м2·ч·°C/ккал;
tб1 = tб - QR1 = 500 - 1183·0,33 = 110 °C.
Полученная температура tб1 = 110 °C незначительно отличается от ранее принимавшейся для расчета tб1 = 120 °C.
Температура арматуры при защитном слое 30 мм и расстоянии от центра тяжести арматуры до наружной поверхности бетона a = 44 мм:
Теплотехнический расчет опорного кольца при температуре нижней поверхности купола 500 °C в зимний период.
Средняя температура бетона в куполе
Принимаем температуру внутренней, более нагретой поверхности опорного кольца, равной средней температуре бетона в куполе, т.е. tб = tср = 305 °C, температуру наружной поверхности тепловой изоляции tст = 50 °C и менее нагретой поверхности бетона tб1 = 90 °C.
Средняя температура бетона в сечении опорного кольца
При
tср1 = 197 °C по
табл. 9 коэффициент теплопроводности бетона

. При
tст = 50 °C по
табл. 8 
. Коэффициент теплопроводности асбестоцементной штукатурки

.
При высоте сечения опорного кольца в радиальном направлении: h = r2 - r1 = 39 см;
R0 = 0,52 + 0,11 + 0,10 = 0,73;
t1 = 305 - 397·0,52 = 99 °C;
tст = 305 - 397(0,52 + 0,11) = 55 °C.
Температура кольцевой арматуры в опорном кольце при

:

.
Расчет прочности купола и опорного кольца при воздействии собственного веса и наибольших усилий от кратковременного нагрева до 500 °C.
Кольцевую и радиальную арматуру в куполе располагаем со стороны верхней менее нагретой поверхности с шагом u = 190 мм.
Согласно
п. 6.11, при расчете прочности купола при воздействии температуры определяются распор
Ht, усилие сжатия
T2t и изгибающий момент
Mt в кольцевом направлении. Коэффициент армирования купола кольцевой арматурой при диаметре стержня 14 мм с площадью сечения
fа = 1,54 см
2, защитным слоем 30 мм,
a = 37 мм и
h0 =
h - a = 24 - 3,7 = 20,3 см равен
а коэффициент

.
Количество арматуры для расчетного сечения купола шириной b = 1 см равно
Определяем изгибающий момент Mt в сечении купола шириной b = 1 см в кольцевом направлении, вызванный перепадом температуры по высоте сечения.
Сначала определяем среднюю температуру бетона сжатой зоны на расстоянии 0,2
h0 = 0,2·20,3 = 4 см от более нагретой поверхности купола согласно
примечанию 7 к табл. 16, которая равна
tбс = 435 °C. Для бетона
состава N 11 и марки М300 (по
табл. 13)
RрII = 13 кгс/см
2,
RпрII = 170 кгс/см
2; по
табл. 17 Eб = 175 000 кгс/см
2 и по
табл. 14 Rпр = 135 кгс/см
2. По
табл. 16 для бетона
состава N 11 при
tб =
tа = 190 °C
mрt = 0,67,

, а при
tбс = 435 °C

,
mбt = 0,93 и

. По
табл. 20 при
tб = 190 °C

. Для арматуры класса А-III по
табл. 37 Eа = 2·10
6 кгс/см
2, а по
табл. 29 Rа = 3600 кгс/см
2. При температуре арматуры
tа = 190 °C по
табл. 35 mаt = 0,95,

и

.

и
b = 1 см, т.е.
В первом приближении принимаем
Mt равным правой части
неравенства (98) при

и
b = 1 см:
Mt = M = 0,93·135·2,1(20,3 - 0,5·2,1) = 5100 кгс·см.
Для определения жесткости сечения купола с трещиной
B и кривизны от воздействия температуры

вычисляем:

и
b = 1 см
Wт = (0,292 + 0,75·2·0,0034·0,7·12)242 = 193 см3;
по
формуле (272) при
s = 1,1 и нулевом значении последнего члена

;
z1 = 20,3(1 - 0,5·0,27) = 17,6 см;
Для определения

коэффициент
k принимаем в первом приближении:
Mt = 19,5·10-6·31,9·106 = 620 кгс·см.
Полученный момент
Mt = 620 кгс·см значительно отличается от момента
Mt = 5100 кгс·см, принимавшегося для первого приближения. Для второго приближения принимаем среднее значение

. Опуская промежуточные расчеты, для третьего приближения принимаем
Mt = 1800 кгс·см. В этом случае по
формуле (273)
z1 = 20,3(1 - 0,5·0,3) = 17,2 см;
Mt = 35,2·10-6·54·106 = 1900 кгс·см.
Разница между полученным моментом Mt = 1900 кгс·см и моментом Mt = 1800 кгс·см, принимавшимся для третьего приближения, равна 5,2%, т.е. находится в допускаемых пределах +/- 5%, поэтому дальнейшее уточнение момента можно не производить.
Переходим к определению распора Ht от воздействия температуры.
Кольцевую арматуру опорного кольца принимаем в количестве пяти стержней диаметром 16 мм. Площадь сечения арматуры Fа = 5·2,01 = 10,05 см2. При расстоянии от центра тяжести арматуры до наружной поверхности опорного кольца a = 50 мм, высоте сечения h0 = (r2 - r1) - a = 39 - 5 = 34 см и b = h1 = 31 см коэффициент армирования равен:
При
tб = 305 °C по
табл. 20 
. В данном случае при высоте сечения опорного кольца в радиальном направлении
h0 = 34 см > 0,1
rа = 0,1·290 = 29 см, согласно
п. 6.11, необходимо определить изгибающий момент
Mt1 в опорном кольце.
Принимаем в первом приближении

и

. При

и

по
табл. 36 k = 1 и

.
По
формуле (297) определяем значение
s при жесткости купола
B = 54·10
6 кгс/см
2:
Распор от воздействия температуры на 1 см периметра опорного кольца определяем по
формуле (295) при
nt = 1,1:
Усилие сжатия бетона в кольцевом направлении от воздействия температуры в опорном сечении
I-
I (рис. 49) шириной 1 см определяем по
формуле (299)
Кольцевое усилие сжатия в опорном сечении
I-
I шириной 1 см от собственного веса купола вычисляем по
формуле (303) при

и cos
2 30° = 0,75:
Расчетная сжимающая сила от воздействия температуры и собственного веса в опорном сечении I-I купола
T2 = T2t + T2н = 100 + 8,6 = 108,6 кгс.
Проверка прочности опорного сечения купола I-I при внецентренном сжатии.
При температуре более нагретой грани сечения
I-
I, равной в данном случае 500 °C, разбиваем сечение, согласно
п. 1.28, на две площади с линией раздела, проходящей по бетону с температурой 400 °C. Для первой площади высотой
h1 = 18 см при средней температуре бетона
tср1 = 255 °C

и

. Для второй площади высотой
h2 = 6 см при средней температуре бетона
tср2 = 450 °C

и

.
При ширине сечения b = 1 см F1 = bh1 = 18 см2, а F2 = bh2 = 6 см2.
Площадь сечения
I-
I, приведенная к ненагретому бетону, по
формуле (6):
Fп = 15,5 + 3 = 18,5 см2.
При расстояниях центров тяжести площадей до наименее нагретой грани сечения
y1 = 9 см и
y2 = 21 см, пренебрегая растянутой арматурой, по
формуле (7) определяем статический момент:
Sп = 15,5·9 + 3·21 = 139,5 + 63 = 202,5 см3.
Расстояние от центра тяжести приведенного сечения до наименее нагретой грани по
формуле (5):
Эксцентриситет сжимающей силы T2 в опорном сечении I-I относительно центра тяжести приведенного сечения:
Эксцентриситет силы
T2 в опорном сечении
I-
I относительно центра тяжести растянутой кольцевой арматуры купола по
формуле (128) при

и
eц =
y -
a = 11 - 4,4 = 6,6 см:
e = 17,4 + 6,6 = 24 см.
Высота сжатой зоны бетона по
формуле (130) при
N =
T2 = 108,6 кг,
Rа = 3600 кгс/см
2,
b = 1 см и

:
В данном случае при

прочность сечения
I-
I в куполе при внецентренном сжатии должна удовлетворять
условию (129) при

и
b = 1 см, т.е.
T2e = 108,6·24 = 2600 кгс·см < 0,93·135·3(20,3 - 0,5·3) =
= 7080 кгс·см.
Следовательно, условие прочности опорного сечения купола I-I при внецентренном сжатии удовлетворяется.
Расчет прочности опорного кольца
Усилие растяжения в арматуре опорного кольца от распора, вызванного воздействием температуры, вычисляем по
формуле (298):
Nt = 26,7·290 = 7743 кгс.
Распор в опорном кольце от собственного веса купола определяем по
формуле (301)
Усилие в арматуре опорного кольца от собственного веса купола определяем по формуле (302):
Nн = 12·256 = 3072 кгс.
Расчетное усилие растяжения в опорном кольце от воздействия температуры и собственного веса купола
N = Nt + Nн = 7743 + 3072 = 10 815 кгс.
Определяем изгибающий момент

в опорном кольце от воздействия температуры:
при
tа = 125 °C
mаt = 0,99;

;

;

,
mрt = 0,76 и

;
при
tб = 305 °C по
табл. 20 
, а при
tб =
tа = 125 °C

.
При средней температуре бетона сжатой зоны, принимаемой, согласно
примечанию 7 к табл. 16, на расстоянии 0,2
h0 = 0,2·34 = 6,8 см от внутренней поверхности опорного кольца и равной
tбс = 264 °C,
mбt = 1,04,

,

.
Определяем высоту сжатой зоны
x при внецентренном растяжении опорного кольца по
формуле (166) при

:
M = Ne = 1,04·135·31·5,3(34 - 0,5·5,3) = 723 000 кгс·см.
При расчете в первом приближении принимаем Mt1 = 0,7M = 0,7·723 000 = 506 000 кгс·см.
Wт = (0,292 + 0,75·2·0,0083·11,5)31·392 = 0,435·31·392 =
= 20 510 см3.
z1 = 34(1 - 0,5·0,28) = 29,2 см.
По
формуле (283) определяем жесткость опорного кольца по сечению с трещиной при

:
Mt1 = 19,7·10-6·10,94·109 = 215 500 кгс·см.
Полученное значение Mt1 = 215 500 кгс·см значительно отличается от ранее принимавшегося для расчета Mt1 = 506 000 кгс·см, поэтому делаем перерасчет.
Для второго приближения принимаем среднее значение момента
Опуская промежуточные расчеты, для третьего приближения принимаем Mt1 = 280 000 кгс·см:
При

принимаем:
z1 = 34(1 - 0,5·0,255) = 29,7 см;
Mt1 = 21,8·10-6·12,35·109 = 269 230 кгс·см.
Разница между полученным моментом Mt1 = 269 230 кгс·см и моментом Mt1 = 280 000 кгс·см, принимавшимся ранее для третьего приближения, составляет 3,8%, т.е. меньше 5%, поэтому дальнейшее уточнение Mt1 не требуется.
Прочность сечения опорного кольца при внецентренном растяжении должна удовлетворять
условию (165) при
x = 5,3 см и
mбt = 1,04.
Ne = Mt1 = 269 230 кгс·см < 1,04·135·31·5,3(34 - 0,5·5,3) =
= 723 000 кгс·см.
Следовательно, условие прочности опорного кольца при внецентренном растяжении удовлетворяется.
Расчет ширины раскрытия трещин.
Ширину раскрытия трещин в куполе aт определяем в сечении II-II в центре пролета только от действия Mt; усилиями от собственного веса пренебрегаем вследствие их малой величины.
Расчетные данные согласно
п. 4.10:
k = 1;

;
cд = 1;
d = 14 мм;

;

;

;

и
z1 = 17,2 см.
Напряжение в арматуре определяем по
формуле (252) с некоторым запасом при расчетном моменте
Mt = 1900 кгс·см:
Ширина раскрытия трещин в опорном кольце.
Расчетные данные согласно
п. 4.10:
k = 1,2;

,
d = 16 мм;

;
cд = 1;

;

;

;
N = 10 815 кгс;
eа = 26 см и
z1 = 29,7 см.
Ширина раскрытия трещин в куполе не превышает 0,6 мм, допускаемого, согласно
табл. 3, при кратковременном нагреве элементов конструкций третьей категории трещиностойкости, эксплуатирующихся в закрытом помещении при температуре нагрева арматуры выше 130 °C. Ширина раскрытия трещин в опорном кольце не превышает 0,4 мм допускаемого, согласно тем же данным, при температуре нагрева арматуры до 130 °C.
Пример 34. Расчет прочности и прогиба цилиндрического свода из жаростойкого бетона с податливыми опорами при одностороннем нагреве до 1080 °C.
Дано: Свод пролетом 6 м перекрывает рабочее пространство теплового агрегата с температурой 1100 °C. Температура окружающего воздуха в зимний период равна 15 °C, а в летний - 30 °C. Геометрические параметры свода в соответствии с
рис. 51:
l1 = 6000 мм,
f1 = 800 мм,
rв = 6000 мм,

;
l = 6175 мм, f = 830 мм, r = 6175 мм, h = 350 мм.
В расчете рассматривается участок свода шириной
b = 1000 мм. На свод сверху действует постоянная равномерно распределенная по поверхности свода расчетная внешняя нагрузка 0,5 тс/м
2. Для изготовления свода принят жаростойкий бетон
состава N 18 по табл. 11, марки М200 на жидком стекле с тонкомолотым магнезитом и заполнителем из шамота. Объемный вес бетона
состава N 18 по табл. 11 с естественной влажностью

, а в сухом состоянии с учетом удаленной влаги весом 150 кг, согласно
п. 2.15,

. Податливость каждой опоры в горизонтальном направлении при нагреве свода от распора 1 кгс равна

.
Требуется произвести теплотехнический расчет свода и определить:
1) прочность свода в момент пуска теплового агрегата в зимний период;
2) прочность свода при длительном воздействии рабочей температуры, собственного веса и внешней нагрузки в летний период;
3) перемещение свода в центре пролета при его длительной эксплуатации.
Теплотехнический расчет свода
а) При температуре более нагретой поверхности свода 600 °C в зимний период.
При температуре 600 °C в статически неопределимых конструкциях из жаростойкого бетона на жидком стекле, согласно
п. 1.23, возникают наибольшие усилия от кратковременного воздействия температуры при первом нагреве теплового агрегата.
Задаемся температурой менее нагретой поверхности tб1 = 110 °C.
Средняя температура бетона
При
tср = 355 °C коэффициент теплопроводности бетона по
табл. 9 
.
tб1 = tб - QR = 600 - 1146·0,43 = 107 °C.
б) При рабочей температуре среды в подсводовом пространстве tв = 1100 °C в летний период.
Задаемся tб1 = 180 °C, температура более нагретой поверхности свода tб = 1080 °C.
при
tср = 630 °C

;
при
tб1 = 180 °C

;
R0 = 0,008 + 0,37 + 0,062 = 0,44 м2·ч·°C/ккал;
t1 = 1100 - 2430·0,008 = 1080 °C;
tб1 = 1100 - 2430(0,008 + 0,37) = 180 °C.
Расчет прочности свода при кратковременном нагреве до 600 °C.
Определяем распор, продольные силы и изгибающие моменты от воздействия температуры. По
табл. 20:
при
tб = 600 °C

;
при
tб1 = 107 °C

.
При средней температуре бетона в сечении
tср = 353 °C по
табл. 16 
, а по
табл. 18 
.
По
табл. 60 при
k1 = 0,00175 и
k2 = 543.
При определении жесткости свода без трещин его неравномерно нагретое сечение высотой 35 см приводим к ненагретому бетону. Для этого сечение свода разбиваем на две площади с зоной раздела по температуре бетона 400 °C. Первая площадь имеет высоту
h1 = 14 см и среднюю температуру бетона

. Вторая площадь имеет высоту
h2 = 21 см и среднюю температуру

.
По
табл. 16 и
18 соответственно при
tср1 = 500 °C

и

; при t
ср2 = 253 °C

и

.
При ширине сечения b = 100 см:
F1 = bh1 = 100·14 = 1400 см2;
F2 = bh2 = 100·21 = 2100 см2.
Площади бетона, приведенные к ненагретому бетону, по
формуле (2):
Площадь сечения свода, приведенная к ненагретому бетону, по
формуле (6):
Fп = 700 + 1900 = 2600 см2.
При расстояниях центров тяжести площадей до менее нагретой грани сечения
y1 = 28 см и
y2 = 10,5 см по
формуле (7) определяем статический момент:
Sп = 700·28 + 1900·10,5 = 39 550 см3.
Расстояние от центра тяжести приведенного сечения до менее нагретой грани по
формуле (5):
Iп = 11 430 + 69 825 + 700·132 + 1900·4,52 = 238 000 см4.
Eб = 185 000 кгс/см2 и c = 1:
Bп = 0,7·185 000·238 000 = 3,08·1010 кгс·см2.
Продольная сила:
в замке свода (в сечении
I-
I,
рис. 51)
N1t = Ht = 5570 кгс;
N2t = 5570·0,866 = 4800 кгс.
M1t = -5570·30 = -167 000 кгс·см.
M1t = 5570(83 - 30) - 31,8·105 = 2,95·105 - 31,8·105 =
= -28,85·105 кгс·см.
Изгибающий момент
M2t должен удовлетворять
условию (311). В данном случае при
|M2t| = 28,85·105 кгс·см > 0,5·5570·35·0,866 =
= 0,85·105 кгс·см
это условие не удовлетворяется. Следовательно, согласно
п. 6.14, расчетное значение
M2t в этом случае следует принимать равным правой части
неравенства (311) только со знаком минус, т.е.
M2t = -0,85·105 кгс·см.
Распор, продольные силы и изгибающие моменты от собственного веса свода и внешней нагрузки.
Расчетная нагрузка от собственного веса свода на 1 м с коэффициентом перегрузки n = 1,1 при b = 1 м:
или, приводя нагрузку к горизонтальной проекции свода, получаем
Расчетная равномерно распределенная внешняя нагрузка
q2 = 0,5 тс/м.
Полная расчетная нагрузка
q = q1 + q2 = 0,8 + 0,5 = 1,3 тс/м = 13 кгс/см.
Распор в своде от нагрузки определяем по
формуле (319). По
табл. 60 при
k3 = 0,97. Радиус кривизны принимаем по средней оси действительного сечения свода, так как уточнение величины радиуса по приведенному сечению незначительно влияет на результат расчета:
Продольная сила:
в сечении I-I
N1н = Hн = 6,7 тс;
N2н = 6,7·0,866 + 0,5·1,3·6,175·0,5 = 7,8 тс.
Изгибающий момент в сечении I-I по формуле (320):
M1н = 2,16 - 6,7·0,3 = 0,15 тс·м.
M2н = 2,16 + 6,7(0,83 - 0,3) - 0,5·1,3·6,1752·0,25 =
= 2,16 + 3,55 - 6,19 = -0,48 тс·м.
Расчетные продольные силы и изгибающие моменты от совместного действия температуры, собственного веса и нагрузки:
в сечении I-I (в замке)
N = N1t + N1н = 5,57 + 6,7 = 12,27 тс,
M = M1t + M1н = -1,67 + 0,15 = -1,52 тс·м;
в опорном сечении II-II
N = 4,8 + 7,8 = 12,6 тс,
M = -0,85 - 0,48 = -1,33 тс·м.
Расчет прочности сечения
I-
I в замке (см.
рис. 51).
Прочность сечения проверяем на внецентренное сжатие силой
N = 12,27 тс по
формуле (69).
Эксцентриситет продольной силы относительно центра тяжести приведенного сечения
Знак минус означает, что продольная сила приложена ниже центра тяжести приведенного сечения со стороны более нагретой грани.
При кратковременном действии нагрузки по
формуле (89) коэффициент
kдл = 1.
Расчетную длину свода определяем как для бесшарнирной арки по
табл. 33 главы СНиП II-21-75:
При температуре бетона в центре тяжести приведенного сечения 318 °C по
табл. 16 mбt = 1. Для бетона марки М200 по
табл. 14 Rпр = 90 кгс/см
2.
Так как
t = 0,34 равно
tмин = 0,34, то, согласно
п. 3.7, принимаем
t =
tмин = 0,34.
(в данном случае 2e' = 16 см > h1 = 14 см).
При этом условии, согласно
п. 3.6, необходимо определить дополнительную высоту сжатой зоны бетона

по
формуле (79).
При средней температуре бетона сжатой зоны высотой
h1 = 14 см 500 °C по
табл. 16 
, а по
табл. 18 
. Задаваясь средней температурой бетона 390 °C сжатой зоны высотой
, определяем при этой температуре по тем же таблицам

и

:
Средняя температура бетона сжатой зоны высотой

(см.
рис. 9,
а) равна 391 °C, что незначительно отличается от принимавшейся ранее для расчета температуры 390 °C.
При температурах 500 и 391 °C по
табл. 16 соответственно имеем
mбt = 0,95 и
mбt = 0,97.
Fб1 = 100·14 = 1400 см2;
Fб2 = 100·1,6 = 160 см2.
Проверяем условие прочности сечения свода
I-
I в замке по
формуле (76) с учетом
mб5 = 0,9 согласно
табл. 15:
N = 12 270 кгс < 0,9(0,95·90·1400 + 0,97·90·160) =
= 0,9(119 700 + 13 968) = 120 300 кгс.
Таким образом, условие прочности сечения свода в замке удовлетворяется с большим запасом.
Продольная сила в опорном сечении II-II от совместного действия собственного веса свода, нагрузки и температуры по своей величине незначительно превышает продольную силу в замке и приложена с меньшим эксцентриситетом e0 = 10,5 см также со стороны более нагретой грани сечения. Учитывая большой запас прочности, полученный для сечения I-I в замке, прочность опорного сечения II-II при кратковременном действии нагрузки и температуры, с учетом собственного веса свода, можно не проверять.
Расчет прочности свода при длительном нагреве до 1080 °C.
Определяем распор от воздействия температуры: при
tб = 1080 °C

; при
tб1 = 180 °C

;
При средней температуре бетона в сечении
tср = 630 °C

и

:
При определении жесткости свода без трещин его неравномерно нагретое сечение приводим к ненагретому бетону. Для этого сечение свода разбиваем на две площади с зоной раздела по температуре бетона tб = 400 °C.
Первая площадь имеет высоту
h1 = 26,5 см и среднюю температуру бетона

. Вторая площадь имеет высоту
h2 = 8,5 см и среднюю температуру бетона
F1 = bh1 = 100·26,5 = 2650 см2;
F2 = bh2 = 100·8,5 = 850 см2.
Площади бетона, приведенные к ненагретому бетону:
Fп = Fп1 + Fп2 = 620 + 680 = 1300 см2.
При расстояниях центров тяжести площадей до менее нагретой грани сечения y1 = 21,75 см и y2 = 4,25 см определяем статический момент:
Sп = 620·21,75 + 680·4,25 = 16 390 см3.
Расстояние от центра тяжести приведенного сечения до менее нагретой грани:
yб1 = y1 - y = 21,75 - 12,6 = 9,15 см;
yб2 = y - 0,5h2 = 12,6 - 0,5·8,5 = 8,35 см;
Iп = 36 300 + 4100 + 620·9,152 + 680·8,352 = 139 800 см4.
При средней температуре бетона в сечении
tср = 630 °C по экстраполяции данных
табл. 50 коэффициент
c можно принять равным 21,5. Жесткость приведенного сечения по
формуле (281):
Распор от воздействия температуры:
N1t = Ht = 1,7 тс.
M1t = -1,7·0,3 = -0,51 тс·м.
Расчетные усилия в сечении I-I (в замке):
N = N1t + N1н = 1,7 + 6,7 = 8,4 тс;
M = M1t + M1н = -0,51 + 0,15 = -0,36 тс·м;
При температуре бетона в центре тяжести приведенного сечения 566 °C для жаростойкого бетона на жидком стекле
состава N 18 в
табл. 39 нет данных для определения коэффициента

, входящего в
формулу (89). В этом случае при расчете прочности свода, согласно
прим. 2 к табл. 39, необходимо отбросить часть сечения с температурой бетона выше 800 °C с таким расчетом, чтобы получить температуру бетона в центре тяжести оставшейся приведенной части сечения, не превышающую 500 °C. При этом расчетная высота сечения свода с температурой бетона от 800 до 180 °C
h' = 24 см. При делении расчетного сечения высотой 24 см на две площади с зоной раздела по температуре бетона 400 °C получаем для первой площади
h1 = 15,5 см и среднюю температуру бетона

и для второй площади
h2 = 8,5 см и

.
При
tср1 = 600 °C

и

;
F1 = bh1 = 100·15,5 = 1550 см2;
Согласно ранее сделанному приведению сечения с полной высотой Fп2 = 680 см2 при h2 = 8,5 см и tср2 = 290 °C
Fп = Fп1 + Fп2 = 610 + 680 = 1290 см2.
Для приведенного сечения с h' = 24 см, y1 = 16,25 см и y2 = 4,25 см
Sп = 690·16,25 + 680·4,25 = 11 200 + 2890 = 14 090 см2.
Расстояние от центра тяжести приведенного сечения с h' = 24 см до менее нагретой грани
При температуре бетона в центре тяжести приведенного сечения свода высотой
h' = 24 см
tц.т = 464 °C по
табл. 39 для бетона
состава N 18 коэффициент

.
kдл = 1 + 28,5 = 29,5;
При температуре бетона в центре тяжести приведенного сечения 464 °C mбt = 0,29.
В данном случае расстояние от центра тяжести приведенного сечения до его наиболее напряженной грани, согласно
рис. 9,
а, при рабочей высоте сечения
h' = 24 см
y = 24 - 11 = 13 см.
e' = 13 - 4,3·1,3 = 7 см.
В данном случае 2e' = 2·7 = 14 см < h1 = 15,5 см.
Fб = 2·100·7 = 1400 см2.
Температура бетона в центре тяжести сжатой зоны на расстоянии
e' = 7 см от более нагретой грани сечения высотой
h' = 24 см равна 619 °C. При
tб = 619 °C по
табл. 16 mбt = 0,14.
Проверяем условие прочности сечения свода
I-
I (в замке) высотой
h' = 24 см, согласно
выражению (69), с учетом
mб1 = 0,85 и
mб5 = 0,9:
N = 8400 кгс < 0,85·0,9·90·0,14·1400 = 13 494 кгс.
Таким образом, условие прочности сечения свода в замке при длительном воздействии собственного веса, нагрузки и высокой температуры удовлетворяется.
Условие прочности опорного сечения свода II-II при длительном воздействии собственного веса, нагрузки и температуры, как показали аналогичные расчеты, также удовлетворяется.
Определение прогиба свода в центре пролета при длительном действии собственного веса, нагрузки и температуры.
Выгиб свода в центре пролета от воздействия температуры по
формуле (325):
Прогиб свода от равномерно распределенной нагрузки
q = 13 кгс/с, с учетом собственного веса, по
формуле (326):
Суммарный прогиб свода от длительного воздействия собственного веса, нагрузки и температуры:
f = ft + fн = 1,69 - 0,64 = 1,05 см,
т.е. свод будет иметь выгиб вверх, равный 1,05 см.
УКАЗАНИЯ ПО ПРИМЕНЕНИЮ ЖАРОСТОЙКОГО БЕТОНА
В ЭЛЕМЕНТАХ КОНСТРУКЦИЙ
Наименование теплового агрегата | Элементы из жаростойкого бетона | Температура рабочего пространства печи, °C | Рекомендуемый состав бетона по табл. 11 настоящего Руководства |
I. В черной металлургии |
Доменная печь | Фурменные приборы | 1300 | |
Шахта, пень, лещади, борова | 1200 | |
Газоотводы и наклонный газопровод, пылеуловитель | 800 | |
Вагранки для плавки чугуна | Станы колосника и плавильного пояса | 1300 | |
Воздухонагреватели доменной печи | Стены (нижняя часть), днище | 1200 | |
Борова | 800 | |
Обжиговые машины агломерационного производства | Нижний и верхний коллекторы и газоотводы | 800 | |
Нагревательные колодцы | Стены рабочих ячеек, под, крышка | 1300 | |
Методические нагревательные печи | Изоляция глиссажных труб и стены на высоту 1 м | 1200 | |
Ямные печи для замедленного охлаждения | Стены | 800 | |
Коксовые батареи | Фундаменты и борова | 600 | |
II. В цветной металлургии |
Графитировочные печи | Стены | 1200 | |
Печи кипящего слоя | Своды и решетка | 1100 | |
Алюминиевые и магниевые электролизеры | Днища | 1000 | |
Электролизеры сверхчистого алюминия | " | 1000 | |
Термические нагревательные, отжигательные печи | Стены, свод и под | 1200 | |
Пылевые камеры | Стены и покрытие | 800 | |
Печи для оплавления лома алюминия | Стены и свод | 1000 | |
Надземные газоходы или подземные в галереях | Днище, стены и свод | 1100 | |
Фосфорные электропечи | Свод | 1100 | |
Ферросплавные печи | Днище и стены | 1000 | |
Камерные печи | Свод, стены, под | 1200 | |
Электролитические ванны цветной металлургии | Стены | 1000 | |
III. В нефтеперерабатывающей и нефтехимической промышленности |
Трубчатые печи | Стены и своды камеры радиации | 1000 | |
Стены и своды камеры конвекции | 1000 | |
Вертикально-секционные печи | Стены камеры радиации | 900 | |
Трубчатые печи беспламенного горения типа Б | Фундаменты, стены, свод, под, перевальные стенки | 800 | |
Трубчатые печи беспламенного горения типа 3Р | Стены, свод, под | 850 - 1100 | |
Трубчатые печи настильные типа 3Д | То же | 900 - 1100 | |
Трубчатые печи секционные типа В | " | 800 | |
Вертикально-факельные типа ГС | Стены камер конвекции и радиации, свод, подовая часть | 900 | |
Объемно-настильные печи с разделительной стенкой типа ГН | То же | 900 - 1100 | |
Цилиндрические, факельные типа ЦС | Стены камер конвекции и радиации, свод, подовая часть | 800 - 1100 | |
Цилиндрические печи типа ЦД настильные с дифференцированным подводом воздуха | То же | 800 - 1100 | |
Каталитического риформинга и гидроочистки типа Р многокамерные | Стены, свод, подовая часть | 1250 | |
Надземные газоходы трубчатых печей | Все элементы | 600 | |
Подземные газоходы трубчатых печей | То же | 800 | |
IV. В промышленности строительных материалов |
Туннельные печи для обжига обыкновенного глиняного кирпича | Стены и своды зон подогрева и охлаждения, подины вагонеток | 1000 | |
Стены и своды зоны обжига | 1300 | |
Вращающаяся печь для обжига цемента Туннельные печи для обжига эмалированных санитарно-технических изделий | Зона цепной завесы и откатная головка | 1000 | |
Стены и свод | 1200 | |
Кольцевые печи для обжига кирпича | Покрытие, стены, днище | 1100 | |
V. В разных отраслях промышленности |
Борова и газоходы для температур до 350 °C | Стены, свод | 350 | |
Борова и газоходы для температур выше 350, но не более 800 °C | То же | 800 | |
Паровые котлы, экономайзеры, котлы-утилизаторы | Футеровка стен | 800 | |
Фундаменты тепловых агрегатов | Элементы, нагревающиеся до температур выше 200 °C, но не более 800 °C | 800 | |
Полы горячих цехов | - | | |
Колпаковые печи для обжига металла | - | 800 | |
Обжиговые печи электродной промышленности | - | 1400 | |
Сушильные печи | Покрытие, стены, под | 1000 | |
Котлы различного назначения | Футеровка экранированных стен | 800 | |
Нагревательные прокатные, кузнечные и конвейерные печи | Стены, под, глиссажные и опорные трубы | 1200 | |
Печи для обжига сернистых материалов | Стены, свод, под | 1000 | |
Печи для обжига сантехоборудования | Свод, стены | 1100 | |
ДАННЫЕ ПО АРМАТУРНЫМ СТАЛЯМ
Основные виды арматурных сталей и области их применения
в железобетонных конструкциях в зависимости от характера
действующих нагрузок и расчетной температуры (знак плюс
означает "допускается", знак минус - "не допускается")
Вид арматуры и документы, регламентирующие качество | Класс арматуры | Марка стали | Диаметр, мм | Условия эксплуатации конструкций |
статические нагрузки | динамические и многократно повторяющиеся нагрузки |
в отапливаемых зданиях | на открытом воздухе и в неотапливаемых зданиях при расчетной температуре | в отапливаемых зданиях | на открытом воздухе и в неотапливаемых зданиях при расчетной температуре |
до -30 °C включительно | ниже -30 °C до -40 °C включительно | ниже -40 °C до -55 °C включительно | ниже -55 °C до -70 °C включительно | до -30 °C включительно | ниже -30 °C до -40 °C включительно | ниже -40 °C до -55 °C включительно | ниже -55 °C до -70 °C включительно |
Стержневая горячекатаная гладкая, ГОСТ 5781-75 | А-I | Ст3сп3 | 6 - 40 | + | + | + | + | | + | + | - | - | - |
Ст3пс3 | 6 - 40 | + | + | + | - | - | + | + | - | - | - |
Ст3сп3 | 6 - 40 | + | + | - | - | - | + | + | - | - | - |
ВСт3сп2 | 6 - 40 | + | + | + | + | + | + | + | + | + | + |
ВСт3пс2 | 6 - 40 | + | + | + | - | - | + | + | + | - | - |
ВСт3кп2 | 6 - 40 | + | + | - | - | - | + | + | - | - | - |
ВСт3Гпс2 | 6 - 18 | + | + | + | + | | + | + | + | + | |
Стержневая горячекатаная периодического профиля, ГОСТ 5781-75 | А-II | ВСт5сп2 | 10 - 40 | + | + | + | | | + | + | | - | - |
ВСт5пс2 | 10 - 16 | + | + | + | | - | + | + | | - | - |
ВСт5пс2 | 18 - 40 | + | + | - | - | - | + | | - | - | - |
18Г2С | 40 - 80 | + | + | + | + | | + | + | + | + | |
10ГТ | 10 - 32 | + | + | + | + | + | + | + | + | + | + |
А-III | 35ГС | 6 - 40 | + | + | + | | - | + | + | | - | - |
25Г2С | 6 - 40 | + | + | + | + | | + | + | + | | - |
А-IV | 80С | 10 - 18 | + | + | - | - | - | + | - | - | - | - |
20ХГ2Ц | 10 - 22 | + | + | + | | | + | + | + | | - |
А-V | 23Х2Г2Т | 10 - 22 | + | + | + | + | | + | + | + | + | |
Стержневая термически упрочненная периодического профиля, ГОСТ 10884-71 | Ат-IV | - | 10 - 25 | + | + | + | | - | | | | - | - |
Ат-V | - | 10 - 25 | + | + | + | | - | | | | | - |
Ат-VI | - | 10 - 25 | + | + | + | | - | | | | | - |
Обыкновенная арматурная проволока гладкая, ГОСТ 6727-53* | В-I | - | 3 - 5 | + | + | + | + | + | + | + | + | + | + |
Обыкновенная арматурная проволока периодического профиля, ТУ 14-4-659-75 | Вр-I | - | 3 - 5 | + | + | + | + | + | + | + | + | + | + |
Высокопрочная арматурная проволока гладкая, ГОСТ 7348-63 | В-II | - | 3 - 8 | + | + | + | + | + | + | + | + | + | + |
Высокопрочная арматурная проволока периодического профиля, ГОСТ 8480-63 | Вр-II | - | 3 - 8 | + | + | + | + | + | + | + | + | + | + |
| К-7 | - | 4,5 - 15 | + | + | + | + | + | + | + | + | + | + |
-------------------------------- <*> Допускается применять только в вязаных каркасах и сетках. <**> Следует применять только в виде целых стержней мерной длины. <***> Применение термически упрочненной допускается при гарантируемой величине равномерного удлинения  не менее 2%. Термически упрочненные стали не допускается применять в случаях, когда требуется расчет конструкций на выносливость. Примечания: 1. Расчетная температура принимается согласно указаниям п. 1.3 главы СНиП II-21-75. 2. В данной таблице к динамическим следует относить нагрузки, если доля этих нагрузок при расчете конструкций по прочности превышает 0,1 статической нагрузки; к многократно повторяющимся нагрузкам - нагрузки, при которых коэффициент условий работы арматуры mа1 по табл. 25 главы СНиП II-21-75 меньше единицы. |
ОБЛАСТИ ПРИМЕНЕНИЯ УГЛЕРОДИСТЫХ СТАЛЕЙ ДЛЯ ЗАКЛАДНЫХ ДЕТАЛЕЙ
ЖЕЛЕЗОБЕТОННЫХ И БЕТОННЫХ КОНСТРУКЦИЙ
Характеристика закладных деталей | Класс стали | Расчетная температура эксплуатации конструкций |
до -30 °C включительно | ниже -30 °C до -40 °C включительно |
марка стали по ГОСТ 380-71* | толщина проката, мм | марка стали по ГОСТ 380-71* | толщина проката, мм |
1. Закладные детали, рассчитываемые на усилия от статических нагрузок | С38/23 | ВСт3кп2 | 4 - 30 | ВСт3пс6 | 4 - 25 |
2. Закладные детали, рассчитываемые на усилия от динамических и многократно повторяющихся нагрузок | С38/23 | ВСт3пс6 | 4 - 10 | ВСт3пс6 | 4 - 10 |
ВСт3Гпс5 | 11 - 30 | ВСт3Гпс5 | 11 - 30 |
ВСт3сп5 | 11 - 25 | ВСт3сп5 | 11 - 25 |
3. Закладные детали конструктивные, не рассчитываемые на силовые воздействия | С38/23 | ВСт3кп2 | 4 - 10 | ВСт3кп2 | 4 - 10 |
ВСт3кп2 | 4 - 30 | ВСт3кп2 | 4 - 30 |
Примечания: 1. Класс стали устанавливается в соответствии с главой СНиП по проектированию стальных конструкций. 2. Расчетная температура принимается согласно п. 1.3 главы СНиП II-21-75. 3. При температуре ниже -40 °C выбор марки стали для закладных деталей следует производить как для стальных сварных конструкций в соответствии с требованиями главы СНиП по проектированию стальных конструкций. |
ОСНОВНЫЕ ТИПЫ СВАРНЫХ СОЕДИНЕНИЙ СТЕРЖНЕВОЙ АРМАТУРЫ
Тип соединения | Условное обозначение типов соединений по государственным стандартам | Схема конструкции соединения | Положение стержней при сварке | Способ сварки | Класс стали | Диаметр стержней, мм | Дополнительные указания |
1. Крестообразное, ГОСТ 14098-68 | КТ-2 | | Горизонтальное | Контактная точечная | А-I | 6 - 40 | В соединениях типа КТ-2 и КТ-3 отношение меньшего диаметра стержня к большему составляет 0,25 - 1. В соединениях типа КТ-3 отношение меньшего диаметра среднего стержня к одному из одинаковых крайних стержней большего диаметра должно быть не менее 0,5. Возможно вертикальное положение стержней, как правило, при сварке подвесными клещами |
А-II | 10 - 80 |
А-III | 6 - 40 |
В-I | 3 - 5 |
Вр-I | 3 - 5 |
КТ-3 | | То же | То же | А-I | 6 - 40 |
А-II | 10 - 80 |
А-III | 6 - 40 |
2. Стыковое ГОСТ 14098-68 и ГОСТ 19293-73* | КС-О | | Горизонтальное | Контактная стыковая | А-I | 10 - 40 | - |
А-II | 10 - 80 |
А-III | 10 - 40 |
КС-Р | | " | То же |
А-IV | 10 - 22 |
А-V | 10 - 22 |
КС-М | | " | " | А-II | 10 - 80 |
А-III | 10 - 40 |
А-IV | 10 - 22 |
А-V | 10 - 22 |
ВО-Б | | Горизонтальное | Ванная одноэлектродная | А-I А-II А-III | 20 - 40 | Сварка выполняется в инвентарных формах |
3. Стыковое, ГОСТ 14098-68 | ВП-Г | | То же | Ванная полуавтоматическая под флюсом | А-I А-II А-III | 20 - 40 | |
ВМ-1 | " | Ванная многоэлектродная | А-I | 20 - 40 | То же |
А-II | 20 - 80 |
А-III | 20 - 40 |
ВП-В | | Вертикальное | Ванная полуавтоматическая под флюсом | А-I А-II А-III | 20 - 40 |
ВМ-2 | | Горизонтальное | Ванная многоэлектродная | А-I | 20 - 40 | Рекомендуется также применение одноэлектродной ванной сварки. Сварка выполняется в инвентарных формах |
А-II | 20 - 80 |
А-III | 20 - 40 |
| - | | Горизонтальное | Ванная одноэлектродная с желобчатой подкладкой | А-I | 20 - 32 | - |
А-II | 20 - 32 |
А-III | 20 - 32 |
| - | | " | Ванно-шовная с желобчатой накладкой | А-I | 20 - 40 | Сварка открытой дугой голой проволокой допускается для стержней диаметром 25 - 70 мм |
Горизонтальное и вертикальное | Полуавтоматическая многослойными швами с желобчатой накладкой | А-II | 20 - 80 |
А-III | 20 - 40 |
6. Стыковое | - | | Горизонтальное | Многослойными швами с желобчатой подкладкой или без нее | А-I | 20 - 40 | - |
А-II | 20 - 80 |
А-III | 20 - 40 |
7. Стыковое, ГОСТ 19293-73 | - | | Горизонтальное и вертикальное | Дуговая фланговыми швами | А-I | 10 - 40 | - |
А-II | 10 - 80 |
А-III | 10 - 40 |
А-IV | 10 - 22 |
А-V | 10 - 22 |
- | | Горизонтальное | То же | А-I | 10 - 40 |
А-II | 10 - 80 |
А-III | 10 - 40 |
| - | | Горизонтальное и вертикальное | " | А-I | 10 - 40 | Допускаются двухсторонние фланговые швы длиной 4d для соединений стержней из стали классов А-I и А-II, марки 10ГТ |
А-II | 10 - 25 |
А-III | 10 - 25 |
| | | То же | " | А-I | 10 - 40 | - |
А-II | 10 - 40 |
А-III | 10 - 40 |
А-IV | 10 - 22 |
А-V | 10 - 22 |
10. Нахлесточное, ГОСТ 19292-73 | Н-1 | | Горизонтальное | Контактная рельефная | А-I | 6 - 14 | - |
А-II | 10 - 14 |
А-III | 6 - 14 |
Н-2 | | То же | То же | А-I | 6 - 16 |
А-II | 10 - 16 |
А-III | 6 - 16 |
11. Тавровое из плоскости пластины, ГОСТ 19292-73 | Т-1 | | Вертикальное | Под флюсом без присадочного электродного материала | А-I | 8 - 40 | - |
А-II | 10 - 40 |
А-III | 8 - 40 |
Примечание. На чертежах поз. 7, 8 и 9 в скобках указана соответствующая длина фланговых швов: 6d и 3d - для арматуры класса А-I; 10d и 5d - для арматуры классов А-IV и А-V. |
СОРТАМЕНТ АРМАТУРНОЙ СТАЛИ
Сортамент стержневой арматуры
Номинальный диаметр, мм | Расчетная площадь поперечного сечения, см2 | Теоретический вес 1 м, кг | Номинальный диаметр, мм | Расчетная площадь поперечного сечения, см2 | Теоретический вес 1 м, кг |
6 | 0,283 | 0,222 | 18 | 2,54 | 2 |
7 | 0,385 | 0,302 | 20 | 3,14 | 2,47 |
8 | 0,503 | 0,395 | 22 | 3,8 | 2,98 |
9 | 0,636 | 0,499 | 25 | 4,91 | 3,85 |
10 | 0,785 | 0,617 | 28 | 6,15 | 4,83 |
12 | 1,131 | 0,888 | - | - | - |
14 | 1,54 | 1,21 | - | - | - |
16 | 2,01 | 1,58 | - | - | - |
Сортамент арматурной проволоки
Номинальный диаметр, мм | Расчетная площадь поперечного сечения, см2 | Теоретический вес 1 м, кг | Номинальный диаметр, мм | Расчетная площадь поперечного сечения, см2 | Теоретический вес 1 м, кг |
классов В-I, В-II и Вр-II | класса Вр-I | классов В-I, В-II и Вр-II | класса Вр-I |
3 | 0,071 | 0,055 | 0,051 | 6 | 0,283 | 0,222 | - |
4 | 0,126 | 0,099 | 0,09 | 7 | 0,385 | 0,302 | - |
5 | 0,196 | 0,154 | 0,139 | 8 | 0,503 | 0,395 | - |
Сортамент арматурных канатов К7
Номинальный диаметр, мм | Расчетная площадь поперечного сечения, см2 | Теоретический вес 1 м, кг | Номинальный диаметр, мм | Расчетная площадь поперечного сечения, см2 | Теоретический вес 1 м, кг |
4,5 | 0,127 | 0,1 | 9 | 0,51 | 0,402 |
6 | 0,227 | 0,173 | 12 | 0,906 | 0,714 |
7,5 | 0,354 | 0,279 | 15 | 1,416 | 1,116 |
Примечание. Номинальный диаметр арматуры (номер сечения) соответствует для: горячекатаной и термически упрочненной арматурной стали периодического профиля - номинальному диаметру равновеликих по площади поперечного сечения гладких стержней; обыкновенной и высокопрочной арматурной проволоки периодического профиля - номинальному диаметру проволоки до придания ей периодического профиля; арматурных канатов - диаметру их описанных окружностей. |
ОСНОВНЫЕ БУКВЕННЫЕ ОБОЗНАЧЕНИЯ
Усилия от воздействия нагрузки и температуры
в поперечном сечении элемента
M и N - изгибающий момент и продольная сила от совместного действия усилий, вызванных температурой и нагрузкой;
Mн и Mt - изгибающий момент соответственно от воздействия внешней нагрузки и температуры;
Nн и Nt - продольная сила соответственно от воздействия нагрузки и температуры;
Qн и Qt - поперечная сила соответственно от воздействия нагрузки и температуры.
Характеристика предварительно-напряженного элемента
N0 - усилие предварительного обжатия определяется по
формуле (9) главы СНиП II-21-75 при

и

, с учетом первых и вторых основных потерь;

и

- предварительные напряжения соответственно в напрягаемой арматуре
A и
A', которые принимаются согласно
п. 1.29 главы СНиП II-21-75 с учетом первых и вторых основных потерь;
e0.н - эксцентриситет усилия предварительного обжатия
N0 относительно центра тяжести приведенного сечения, определяемого по
формуле (10) главы СНиП II-21-75, при величинах

и

, с учетом первых и вторых основных потерь;

- установившееся напряжение в бетоне на уровне центров тяжести продольной арматуры
A и
A' после проявления всех основных потерь, которое определяется по
формуле (16) настоящего Руководства.
Характеристики материалов при воздействии температуры
Rпрt = Rпрmбt и Rрt = Rрmрt - расчетное сопротивление бетона осевому сжатию и растяжению для предельных состояний первой группы;
RпрtII = RпрIImбt и RрtII = RрIImрt - расчетные сопротивления бетона осевому сжатию и растяжению для предельных состояний второй группы;
Rаt = Rаmаt и RаtII = RаIImаt - расчетные сопротивления арматуры растяжению для предельных состояний соответственно первой и второй групп;
а) продольной;
б) поперечной - при расчете сечений, наклонных к продольной оси элемента, на действие изгибающего момента;
Rа.хt = Rа.хmаt - расчетное сопротивление поперечной арматуры растяжению для предельных состояний первой группы при расчете сечений, наклонных к продольной оси элемента на действие поперечной силы;
Rасt = Rасmаt - расчетное сопротивление арматуры сжатию для предельных состояний первой группы;
RаtII = RаIImаt - расчетное сопротивление арматуры растяжению для предельных состояний второй группы;
Eб - начальный модуль упругости бетона при сжатии и растяжении;
Eбt - модуль упругости бетона при воздействии температуры;
Eа - модуль упругости арматуры при нормальной температуре;
Eаt - модуль упругости арматуры при воздействии температуры;

и

- коэффициенты, учитывающие снижение модуля упругости бетона и арматуры при воздействии температуры;

и

- напряжение в растянутой арматуре и в сжатой зоне бетона в сечении с трещиной;

и

- среднее напряжение в арматуре и в бетоне сжатой зоны на участках между трещинами;

и

- напряжение в растянутой арматуре и в сжатой зоне бетона в сечении с трещиной от воздействия температуры;

и

- напряжение в растянутой арматуре и в сжатой зоне бетона от нагрузки в сечении с трещиной;

,

,

- коэффициенты линейного температурного расширения, температурной усадки и температурной деформации бетона;

- коэффициент линейного температурного расширения арматуры
A и
A';

- коэффициент температурного расширения растянутой арматуры в бетоне, с учетом влияния работы бетона между трещинами, определяемый по
формуле (68).
Характеристики положения продольной арматуры
в поперечном сечении элемента
A - обозначение продольной арматуры:
а) при наличии сжатой и растянутой от действия внешней нагрузки зон сечения - расположенной в растянутой зоне;
б) при полностью сжатом от действия внешней нагрузки сечении - расположенной у менее сжатой грани сечения;
в) при полностью растянутом от действия внешней нагрузки сечении:
для внецентренно-растянутых элементов - расположенной у более растянутой грани сечения;
для центрально-растянутых элементов - всей в поперечном сечении элемента;
A' - обозначение продольной арматуры:
а) при наличии сжатой и растянутой от действия внешней нагрузки зон сечения - расположенной в сжатой зоне,
б) при полностью сжатом от действия внешней нагрузки сечении - расположенной у более сжатой грани сечения,
в) при полностью растянутом от действия внешней нагрузки сечении внецентренно-растянутых элементов - расположенной у менее растянутой грани сечения.
Геометрические характеристики

и

- кривизна оси элемента от воздействия температуры при нагреве и остывании;
b - ширина прямоугольного сечения, ширина ребра таврового и двутаврового сечений;
bп и

- ширина полки таврового или двутаврового сечения соответственно в растянутой и сжатой зонах;
h - высота прямоугольного, таврового или двутаврового сечения;
a и a' - расстояние от равнодействующей усилий соответственно в арматуре A и A' до ближайшей грани сечения;
h0 и

- рабочая высота сечения, равная соответственно
h -
a и
h -
a';
hош - рабочая высота сечения у шва, равная hш - a;
hп и

- высота полки таврового или двутаврового сечения соответственно в растянутой и сжатой зонах;
e0 - эксцентриситет продольной силы
N относительно центра тяжести приведенного сечения, определяемый в соответствии с
п. 1.30 настоящего Руководства;
eа - расстояние от точки приложения продольной силы N до центра тяжести площади сечения арматуры A;
l - пролет элемента;
l0 - расчетная длина элемента, подвергающегося действию сжимающей продольной силы; величина
l0 принимается по
табл. 42,
43 и
п. 3.30 настоящего Руководства;
r - радиус инерции поперечного сечения элемента относительно центра тяжести сечения;
d - номинальный диаметр арматурных стержней;
F - площадь всего бетона в поперечном сечении;
Fб - площадь сечения сжатой зоны бетона;
Fб.р - площадь сечения растянутой зоны бетона;
Fп - площадь приведенного сечения элемента, определяемая в соответствии с
п. 1.28 настоящего Руководства;
Fсм - площадь смятия бетона;
e и e' - расстояние от точки приложения продольной силы N до равнодействующей усилий соответственно в арматуре A и A';
Fа и

- площадь сечения ненапрягаемой и напрягаемой арматуры соответственно
A и
A';
Fх - площадь сечения хомутов, расположенных в одной нормальной к продольной оси элемента плоскости, пересекающих наклонное сечение;
x - высота сжатой зоны бетона;

- относительная высота сжатой зоны бетона, равная

;
f0 - площадь сечения одного стержня продольной арматуры;

- коэффициент армирования, определяемый как отношение площади сечения арматуры
A к площади поперечного сечения элемента
bh0 без учета сжатых и растянутых полок;
Sб.о и Sб.р - статические моменты площадей сечения соответственно сжатой и растянутой зон бетона относительно нулевой линии;
Sа.0 и

- статические моменты площадей сечения соответственно арматуры
A и
A' относительно нулевой линии;
I - момент инерции сечения бетона относительно центра тяжести сечения элемента, вычисляемый без учета температуры как для ненагретого бетона;
Iп - момент инерции приведенного сечения элемента относительно его центра тяжести, определяемый в соответствии с
п. 1.28 настоящего Руководства;
Iа - момент инерции площади сечения арматуры относительно центра тяжести сечения элемента;
Iб.0 - момент инерции площади сечения сжатой зоны бетона относительно нулевой линии;
Iа.0 и

- моменты инерции площадей сечения соответственно арматуры
A и
A' относительно нулевой линии;
yа и

- расстояния от центра тяжести приведенного сечения элемента до равнодействующей усилий в арматуре
A и
A';
ft,

и

- расчетные величины прогиба, удлинения и укорочения элемента от воздействия температуры;
aт - средняя расчетная величина раскрытия трещин;
F0 - площадь сечения отогнутых стержней, расположенных в одной наклонной к продольной оси элемента плоскости, пересекающей наклонное сечение;
u0 - расстояние между плоскостями отогнутых стержней, измеренное по нормали к ним;
fх - площадь сечения одного стержня хомута;
u - расстояние между хомутами, измеренное по длине элемента;
tб - температура бетона;
tа и

- температура арматуры
A и
A';
tв - температура среды со стороны источника тепла;
tн - температура воздуха с наружной стороны элемента.