Главная // Актуальные документы // Актуальные документы (обновление 2025.03.03-2025.03.29) // ПриказСПРАВКА
Источник публикации
М., 2024
Примечание к документу
Текст документа приведен в соответствии с публикацией на сайте https://www.minstroyrf.ru/ по состоянию на 11.02.2025.
Документ
введен в действие с 10.01.2025.
Название документа
"Изменение N 6 к СП 16.13330.2017 "СНиП II-23-81* Стальные конструкции"
(утв. и введено в действие Приказом Минстроя России от 09.12.2024 N 844/пр)
"Изменение N 6 к СП 16.13330.2017 "СНиП II-23-81* Стальные конструкции"
(утв. и введено в действие Приказом Минстроя России от 09.12.2024 N 844/пр)
Утверждено и введено в действие
и жилищно-коммунального хозяйства
Российской Федерации (Минстрой России)
от 9 декабря 2024 г. N 844/пр
ИЗМЕНЕНИЕ N 6 К СП 16.13330.2017
"СНиП II-23-81* СТАЛЬНЫЕ КОНСТРУКЦИИ"
Дата введения
10 января 2025 года
Введение
Дополнить седьмым абзацем в следующей редакции:
"Изменение N 6 к СП 16.13330.2017 разработано авторским коллективом АО "НИЦ "Строительство" - ЦНИИСК им. В.А. Кучеренко (руководитель - д-р техн. наук И.И. Ведяков; исполнители - канд. техн. наук Д.В. Конин, канд. техн. наук М.И. Фарфель, канд. техн. наук М.И. Гукова, А.Р. Олуромби; инж. П.В. Нахвальнов).".
2 Нормативные ссылки
Заменить наименования ссылочных документов:
"
ГОСТ 27772-2015 Прокат для строительных стальных конструкций. Общие технические условия" на "
ГОСТ 27772-2021 Прокат для строительных стальных конструкций. Общие технические условия";
"
СП 14.13330.2018 "СНиП II-7-81* Строительство в сейсмических районах" (с изменениями N 2, N 3)" на "
СП 14.13330.2018 "СНиП II-7-81* Строительство в сейсмических районах" (с изменениями N 2, N 3, N 4)";
"
СП 20.13330.2016 "СНиП 2.01.07-85* Нагрузки и воздействия" (с изменениями N 1, N 2, N 3, N 4)" на "
СП 20.13330.2016 "СНиП 2.01.07-85* Нагрузки и воздействия" (с изменениями N 1, N 2, N 3, N 4, N 5, N 6)";
"
СП 22.13330.2016 "СНиП 2.02.01-83* Основания зданий и сооружений" (с изменениями N 1, N 2, N 3, N 4)" на "
СП 22.13330.2016 "СНиП 2.02.01-83* Основания зданий и сооружений" (с изменениями N 1, N 2, N 3, N 4, N 5)";
"
СП 28.13330.2017 "СНиП 2.03.11-85 Защита строительных конструкций от коррозии" (с изменениями N 1, N 2, N 3)" на "
СП 28.13330.2017 "СНиП 2.03.11-85 Защита строительных конструкций от коррозии" (с изменениями N 1, N 2, N 3, N 4)";
"
СП 35.13330.2011 "СНиП 2.05.03-84* Мосты и трубы" (с изменениями N 1, N 2, N 3)" на "
СП 35.13330.2011 "СНиП 2.05.03-84* Мосты и трубы" (с изменениями N 1, N 2, N 3, N 4, N 5)";
"
СП 43.13330.2012 "СНиП 2.09.03-85 Сооружения промышленных предприятий" (с изменениями N 1, N 2, N 3)" на "
СП 43.13330.2012 "СНиП 2.09.03-85 Сооружения промышленных предприятий" (с изменениями N 1, N 2, N 3, N 4)";
"
СП 70.13330.2012 "СНиП 3.03.01-87 Несущие и ограждающие конструкции" (с изменениями N 1, N 3, N 4)" на "
СП 70.13330.2012 "СНиП 3.03.01-87 Несущие и ограждающие конструкции" (с изменениями N 1, N 3, N 4, N 5, N 6)";
"
СП 131.13330.2020 "СНиП 23-01-99* Строительная климатология" (с изменением N 1)" на "
СП 131.13330.2020 "СНиП 23-01-99* Строительная климатология" (с изменениями N 1, N 2)";
"
СП 260.1325800.2016 Конструкции стальные тонкостенные из холодногнутых оцинкованных профилей и гофрированных листов. Правила проектирования (с изменениями N 1, N 2)" на "
СП 260.1325800.2023 Конструкции стальные тонкостенные из холодногнутых оцинкованных профилей и гофрированных листов. Правила проектирования";
"
СП 266.1325800.2016 Конструкции сталежелезобетонные. Правила проектирования (с изменениями N 1, N 2)" на "
СП 266.1325800.2016 Конструкции сталежелезобетонные. Правила проектирования (с изменениями N 1, N 2, N 3)".
3 Термины и определения
"3 Термины и определения
3.1 лямбда-профиль: Уголковый профиль с развитым обушком цилиндрической формы, выпуклой стороной направленным наружу, с центром кривизны внутри профиля.".
4 Общие положения
4.2 Основные расчетные требования
"При моделировании нелинейной работы стали для расчетов по первой группе предельных состояний следует использовать расчетную диаграмму работы сталей в обобщенных параметрах

и

, представленную на рисунке В.1 (приложение В). Значения соответствующих координат характерных точек диаграммы следует принимать по таблице В.9. Расчеты выполняют по одному из трех вариантов кривой: OBD, OACD, OACDE в зависимости от категории поставки проката и класса элементов конструкций (4.2.7).".
4.3 Учет назначения и условий работы конструкций
Пункт 7. Дополнить слова: "из одиночных уголков" словами: "или лямбда-профилей".
Пункт 8. Дополнить слова: "из одиночных уголков" словами: "или лямбда-профилей".
7 Расчет элементов стальных конструкций при центральном растяжении и сжатии
7.1 Расчет элементов сплошного сечения
Пункт 7.1.2. Первый абзац. Дополнить слова: "из одиночных уголков" словами: "или лямбда-профилей"; "одиночного уголка" словами: "или лямбда-профиля"; "ширина полки уголка" словами: ", для лямбда-профиля от наружного края обушка до края пера".
"для прокатных двутавров расчет допускается выполнять по формуле

, (7а)
где

- коэффициент учета распределения остаточных напряжений:
для сталей с
Ry = 245 МПа (С255)

при

,

при

;
для сталей с
Ry = 390 МПа (С390)

при

,

при

;
для сталей с другим расчетным сопротивлением (более 245 МПа и менее 390 МПа)

определяется линейной интерполяцией в зависимости от
Ry. Для сталей с расчетным сопротивлением более 390 МПа

определяется как для сталей с
Ry = 390 МПа, для сталей с расчетным сопротивлением менее 245 МПа

принимается как для сталей с
Ry = 245 МПа;

- коэффициент устойчивости при центральном сжатии, значение которого при

следует определять по формуле".
"Таблица 7
Тип сечения | Значение коэффициента |
обозначение | форма | | |
a | | 0,03 | 0,06 |
b | | 0,04 | 0,09 |
c | | 0,04 | 0,14 |
Примечания 1 Значения коэффициентов для прокатных двутавров высотой свыше 500 мм при расчете на устойчивость в плоскости стенки следует принимать по типу сечения a. 2 На рисунках настоящей таблицы оси "x-x" и "y-y" обозначены в сечениях, нормально к которым располагается расчетная плоскость для определения  по формуле (8); в остальных сечениях коэффициенты не зависят от расчетной плоскости. |
".
7.2 Расчет элементов сквозного сечения
"
".
"
".
7.3 Проверка устойчивости стенок и поясных листов центрально сжатых элементов сплошного сечения
"
Рисунок 5 - Расчетные размеры стенок, свесов полок,
поясных листов в прокатных, составных и гнутых профилях
".
"7.3.9 В центрально сжатых элементах коробчатого сечения предельную условную гибкость поясного листа

следует принимать по таблице 9 как для стенок коробчатого сечения.".
"
".
9 Расчет элементов стальных конструкций при действии продольной силы с изгибом
9.2 Расчет на устойчивость элементов сплошного сечения
"При значении c менее 0,3 следует принимать c = 0,3.".
Пункт 9.2.10. Первый абзац. Исключить слова: "в одной или"; заменить слова: "следует выполнять по формулам:" на "следует выполнять, соблюдая оба условия, по формулам:".
Формула (121). Перед экспликацией. Дополнить абзацем и формулой (121а) в следующей редакции:
"Для двухсимметричного коробчатого сечения проверку устойчивости по формулам (120) и (121) допускается сводить к одному условию:

, (121а)".
10 Расчетные длины и предельные гибкости элементов стальных конструкций
10.1 Расчетные длины элементов плоских ферм, ветвей колонн и связей
Пункт 3. Дополнить слова: "из одиночных уголков" словами: "или лямбда-профилей".
Пункт 10.1.4. Дополнить слова: "из одиночных уголков" словами: "или лямбда-профилей".
10.2 Расчетные длины элементов пространственных решетчатых конструкций, в том числе, структурных
Пункт 10.2.3. Дополнить слова: "из одиночных уголков" словами: "или лямбда-профилей".
10.4 Предельные гибкости элементов
"б) пространственных конструкций из одиночных уголков или лямбда-профилей, а также пространственных конструкций из труб, парных уголков или парных лямбда-профилей высотой св. 50 м".
"а) плоских ферм, сварных пространственных и структурных конструкций из одиночных уголков или лямбда-профилей, пространственных и структурных конструкций из труб, парных уголков или парных лямбда-профилей".
Перечисление б). Дополнить слова: "из одиночных уголков" словами: "или лямбда-профилей".
12 Расчет элементов стальных конструкций на усталость
12.1 Общие положения расчета
"12.1.1 При проектировании стальных конструкций и их элементов, непосредственно воспринимающих нагрузки с количеством циклов нагружений менее 105 (проверяемых расчетом на малоцикловую усталость), а также стальных конструкций и их элементов (балки крановых путей, балки рабочих площадок, элементы конструкций бункерных и разгрузочных эстакад, конструкции под двигатели и др.), непосредственно воспринимающих многократно действующие подвижные, вибрационные или другого вида нагрузки с количеством циклов нагружений 105 и более, приводящие к явлению усталости (проверяемых расчетом на усталость), следует применять такие конструктивные решения, которые не вызывают значительной концентрации напряжений.".
Третий абзац. Дополнить слова: "на усталость" словами: "или на малоцикловую усталость"
14 Проектирование соединений стальных конструкций
14.2 Болтовые соединения
14.3 Фрикционные соединения (на болтах с контролируемым натяжением)
"Таблица 42
Способ обработки (очистки) соединяемых поверхностей | Коэффициент трения  | Коэффициент  при контроле натяжения болтов по моменту закручивания при разности номинальных диаметров отверстий и болтов  , мм, при нагрузке |
динамической  ; статической  | динамической  ; статической  |
1 Абразивоструйная двух поверхностей по разработанному на основании испытаний регламенту, включающему выбор абразива, его тип, фракцию, расстояние до очищаемой поверхности, давление, угол наклона сопла и контроль шероховатости | 0,58 | 1,35 | 1,12 |
2 Абразивоструйная без консервации, газопламенный двух поверхностей горелками под высоким давлением с полным удалением прокатной окалины без консервации | 0,42 | 1,35 | 1,12 |
3 Стальными щетками двух поверхностей без эффекта шлифовки | 0,35 | 1,35 | 1,17 |
4 Без специальной обработки с удалением масла, краски, инея, льда | 0,25 | 1,70 | 1,30 |
Примечания 1 При контроле натяжения болтов по углу поворота гайки значения  следует умножать на 0,9. 2 Применение фрикционно-защитного покрытия должно обосновываться проведением испытаний. |
".
15 Требования по проектированию зданий, сооружений и конструкций
15.2 Фермы и структурные плиты покрытий
"15.2.3 Расстояние a между краями элементов решетки и пояса в узлах сварных ферм с фасонками следует принимать не менее a = (6t - 20) мм, но не более 80 мм (здесь t - толщина фасонки, мм).".
15.4 Связи
"15.4.5 В уровне нижних поясов стропильных ферм с восходящими раскосами, опирающимися на колонны нижними поясами, в зданиях с прогонами следует предусматривать:
поперечные горизонтальные связи: в каждом пролете здания у торцов, а также у температурных швов здания;
промежуточные поперечные горизонтальные связи с шагом не более 60 м: при длине температурного блока более 144 м и при кранах грузоподъемностью 50 т и более;
продольные горизонтальные связи по крайним панелям нижних поясов стропильных ферм, образующие совместно с поперечными связями жесткий контур в плоскости нижних поясов ферм:
в зданиях с подстропильными фермами;
в зданиях со стальным каркасом, оборудованных мостовыми кранами грузоподъемностью 10 т и более;
при отметке низа стропильных конструкций более 18 м - независимо от грузоподъемности кранов;
при опирании ферм на стойки фахверка, передающих на связи ветровую нагрузку, - независимо от наличия и грузоподъемности кранов.".
15.6 Балки крановых путей
Пункт 15.6.3. Второй абзац. Заменить слова: "из полосовой стали или одиночных уголков" на "из полосовой стали, одиночных уголков или лямбда-профилей".
15.9 Фланцевые соединения
Дополнить четвертым абзацем в следующей редакции:
"К жестким ФС относятся соединения, в которых поворот между соединяемыми элементами не допускается. К шарнирным ФС относятся соединения, в которых допускается поворот между элементами без передачи изгибающего момента. К ФС конечной жесткости относятся соединения, допускающие поворот между соединяемыми элементами с передачей изгибающего момента.".
"15.9.14 При проектировании рамных каркасов допускается применять ФС III, б + IV, б без поперечных ребер на колонне в зоне узла. Такие ФС следует считать узлами конечной жесткости. Жесткость соединения определяется расчетным путем или экспериментально. При этом определяется зависимость изгибающего момента от угла поворота в соединении "

". Начальная изгибная жесткость
Ce определяется как тангенс угла наклона касательной к кривой "

" при

или в случае кусочно-линейной функции "

":

, (198а)
где Me1 - значение изгибающего момента в первой точке функции;

- значение угла поворота соединения в первой точке функции.
Расчетная изгибная жесткость C0 определяется как C0 = 0,95Ce. Для расчета каркасов с применением узлов конечной жесткости следует учитывать расчетную изгибную жесткость.
В случае примыкания ФС III, б + IV, б к стенке и полкам двутавровой колонны по четырем сторонам местную устойчивость стенки колонны в зоне узла следует рассчитывать, принимая толщину стенки, увеличенную на половину толщины каждого примыкающего к ней фланца.".
16 Требования по проектированию конструкций опор воздушных линий электропередачи, открытых распределительных устройств и контактных сетей транспорта
Пункт 2. Дополнить слова: "равнополочного уголка" словами: "или лямбда-профиля".
Третий абзац. Дополнить слова: "равнополочных уголков" словами: "или лямбда-профилей".
Пятый абзац. Дополнить слова: "по полке уголка" словами: "или лямбда-профиля"; "к ширине полки уголка" словами: "или лямбда-профиля".
Шестой абзац. Дополнить слова: "равнополочных уголков" словами: "или лямбда-профилей".
обозначение b. Дополнить слова: "уголка пояса" словами: "или лямбда-профиля".
Пункт 16.13. Дополнить слова: "из одиночных уголков" словами: "или лямбда-профилей".
Пункт 16.14. Дополнить слова: "из одиночного уголка" словами: "или лямбда-профиля".
Пункт 16.16. Дополнить слова: "из одиночных уголков" словами: "или лямбда-профилей".
"16.19 В болтовых стыках поясных равнополочных уголков или лямбда-профилях число болтов в стыке следует назначать четным и распределять болты поровну между полками уголка или лямбда-профиля.".
Второй абзац. Дополнить слово: "уголка" словами: "или лямбда-профиля".
18 Требования по проектированию конструкций зданий и сооружений при реконструкции
18.1 Общие положения
18.3 Усиление конструкций
"Решение об использовании, усилении или замене таких конструкций, если эксплуатация их не будет соответствовать указанному условию, или эксплуатируемых при t < -45 °C, следует принимать на основании результатов заключения об обследовании конструкций перед началом реконструкции.".
Пункт 18.3.9. Дополнить вторым и третьим абзацами в следующей редакции:
"Напряжение

следует определять от нагрузок, действующих во время усиления, для неусиленного сечения с учетом фактического состояния конструкций (ослаблений сечения, искривлений элемента и др.).
При превышении указанных напряжений необходима разгрузка конструкций или подведение временных опор.".
"
Рисунок 23 - К определению эксцентриситета
продольной силы при положительном [а), в)]
и отрицательном [б), г)] значениях".
Приложение А Основные буквенные обозначения величин
Обозначение 
. Дополнить обозначением

в следующей редакции:
"

- коэффициент учета распределения остаточных напряжений;".
Приложение В Материалы для стальных конструкций и их расчетные сопротивления
Приложение Г Материалы для соединений стальных конструкций
"
Конструкции, кроме опор воздушных линий электропередачи, распределительных устройств и контактной сети | С245, С255, С355 | С245, С255, С355, С390 | С355 |
".
Примечание. Заменить слова: "по формулам пункта 6.6" на "по формулам (1) и (2)".
Приложение Д Коэффициенты для расчета на устойчивость центрально и внецентренно сжатых элементов
"
".
"
".
"
".
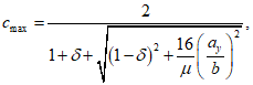
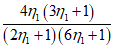
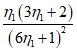
Раздел "Коэффициент cmax для расчета на устойчивость сжатых стержней открытого сечения"
Пункт 2. Дополнить пунктом 2а в следующей редакции:
"2а Коэффициент cmax при расчете на устойчивость стержня швеллерного сечения (тип 5 при обозначениях, принятых в таблице Д.6, и Ix > Iy) следует вычислять по формуле

(Д.2а)
где

;

;

- отношение расстояния
ay между центром тяжести и центром изгиба сечения к ширине сечения
b - см. таблицу Д.6;

;

;

;
bi и
ti - соответственно ширина и толщина листов, образующих сечение;

- см. таблицу Д.6.
При этом:

;

;

;

.
Формулы для определения

,

и

или их значения приведены в таблице Д.6.".
"
".