Главная // Актуальные документы // Актуальные документы (обновление с 29.09.2025 по 01.11.2025) // ГОСТ (Государственный стандарт)СПРАВКА
Источник публикации
М.: Стандартинформ, 2020
Примечание к документу
Документ
введен в действие с 01.01.2007.
Название документа
"ГОСТ ИСО 11843-4-2005. Межгосударственный стандарт. Статистические методы. Способность обнаружения. Метод сравнения минимального обнаруживаемого значения с заданным значением"
(введен в действие Приказом Ростехрегулирования от 18.08.2006 N 168-ст)
"ГОСТ ИСО 11843-4-2005. Межгосударственный стандарт. Статистические методы. Способность обнаружения. Метод сравнения минимального обнаруживаемого значения с заданным значением"
(введен в действие Приказом Ростехрегулирования от 18.08.2006 N 168-ст)
агентства по техническому
регулированию и метрологии
от 18 августа 2006 г. N 168-ст
МЕЖГОСУДАРСТВЕННЫЙ СТАНДАРТ
СТАТИСТИЧЕСКИЕ МЕТОДЫ
СПОСОБНОСТЬ ОБНАРУЖЕНИЯ
МЕТОД СРАВНЕНИЯ МИНИМАЛЬНОГО ОБНАРУЖИВАЕМОГО ЗНАЧЕНИЯ
С ЗАДАННЫМ ЗНАЧЕНИЕМ
Statistical methods. Capability of detection.
Methodology for comparing the minimum detectable value
with a given value
(ISO 11843-4:2003, Capability of detection - Part 4:
Methodology for comparing the minimum detectable value
with a given value, IDT)
ГОСТ ИСО 11843-4-2005
Дата введения
1 января 2007 года
Цели, основные принципы и общие правила проведения работ по межгосударственной стандартизации установлены
ГОСТ 1.0 "Межгосударственная система стандартизации. Основные положения" и
ГОСТ 1.2 "Межгосударственная система стандартизации. Стандарты межгосударственные, правила и рекомендации по межгосударственной стандартизации. Правила разработки, принятия, обновления и отмены"
1 ПОДГОТОВЛЕН Открытым акционерным обществом "Научно-исследовательский центр контроля и диагностики технических систем" (ОАО "НИЦ КД"), Межгосударственным техническим комитетом по стандартизации МТК 125 "Статистические методы в управлении качеством продукции" на основе собственного перевода на русский язык англоязычной версии стандарта, указанного в
пункте 5
2 ВНЕСЕН Федеральным агентством по техническому регулированию и метрологии
3 ПРИНЯТ Межгосударственным советом по стандартизации, метрологии и сертификации (протокол от 9 декабря 2005 г. N 28)
За принятие проголосовали:
Краткое наименование страны по МК (ИСО 3166) 004-97 | Код страны по МК (ИСО 3166) 004-97 | Сокращенное наименование национального органа по стандартизации |
Азербайджан | AZ | Азстандарт |
Армения | AM | Минэкономики Республики Армения |
Казахстан | KZ | Госстандарт Республики Казахстан |
Киргизия | KG | Кыргызстандарт |
Молдова | MD | Молдова-Стандарт |
Россия | RU | Росстандарт |
Таджикистан | TJ | Таджикстандарт |
Узбекистан | UZ | Узстандарт |
(Поправка)
4
Приказом Федерального агентства по техническому регулированию и метрологии от 18 августа 2006 г. N 168-ст межгосударственный стандарт ГОСТ ИСО 11843-4-2005 введен в действие в качестве национального стандарта Российской Федерации с 1 января 2007 г.
5 Настоящий стандарт идентичен международному стандарту ИСО 11843-4:2003 "Способность обнаружения. Часть 4. Метод сравнения заданного значения с минимальным обнаруживаемым значением" (ISO 11843-4:2003 "Capability of detection - Part 4: Methodology for comparing the minimum detectable value with a given value", IDT).
Наименование настоящего стандарта изменено относительно наименования указанного международного стандарта для приведения в соответствие с ГОСТ 1.5
(подраздел 3.6).
При применении настоящего стандарта рекомендуется использовать вместо ссылочных стандартов соответствующие им межгосударственные стандарты, сведения о которых приведены в дополнительном
приложении ДА
6 ВВЕДЕН ВПЕРВЫЕ
7 ИЗДАНИЕ (июнь 2020 г.) с Поправкой (ИУС 8-2007)
Информация о введении в действие (прекращении действия) настоящего стандарта и изменений к нему на территории указанных выше государств публикуется в указателях национальных стандартов, издаваемых в этих государствах, а также в сети Интернет на сайтах соответствующих национальных органов по стандартизации.
В случае пересмотра, изменения или отмены настоящего стандарта соответствующая информация будет опубликована на официальном интернет-сайте Межгосударственного совета по стандартизации, метрологии и сертификации в каталоге "Межгосударственные стандарты"
Требованием к идеальной способности обнаружения относительно выбранной переменной состояния является то, что действительное состояние исследуемой системы (далее - система) должно быть четко классифицировано как равное базовому состоянию или как отличное от базового состояния системы. Однако из-за наличия систематических и случайных отклонений это требование не может быть удовлетворено по следующим причинам:
a) в действительности все стандартные состояния, включая базовое, никогда не могут быть выражены в абсолютных показателях переменной состояния. Следовательно, любое состояние может быть правильно охарактеризовано лишь в показателях отличия от базового состояния, т.е. с помощью приведенной переменной состояния;
b) во избежание ошибочных решений обычно рекомендуется вносить в отчет только отличия от базового состояния в показателях приведенной переменной состояния;
c) кроме того, процессы калибровки, отбора и подготовки проб добавляют случайные отклонения к результатам измерений.
Примечание - В Руководстве ИСО 30 и в стандарте ИСО 11095 не делается различия между переменной состояния и приведенной переменной состояния. Как следствие, в этих двух документах допускается, что стандартные состояния известны (без предоставления доказательств) по отношению к переменной состояния.
Настоящий стандарт устанавливает методику оценки способности обнаружения метода измерений без предположений, принятых в ИСО 11843-2, о функции калибровки
<1> и некоторых связях между стандартным отклонением остатка и значением приведенной переменной состояния.
Примечание - Часто для значений приведенной переменной состояния, близких к нулю, эти предположения трудно проверить.
--------------------------------
<1> Аналогом функции калибровки в национальных стандартах Российской Федерации является градуировочная кривая.
Методика оценки минимального обнаруживаемого значения, приведенная в настоящем стандарте, содержит описание:
- критерия оценки, является ли минимальное обнаруживаемое значение меньше заданного значения приведенной переменной состояния;
- планирования эксперимента для проверки соответствия этому критерию.
Для оценки способности обнаружения, например при валидации метода измерений, зачастую достаточно подтвердить, что минимальное обнаруживаемое значение этого метода меньше заданного.
В настоящем стандарте использованы нормативные ссылки на следующие стандарты. Для датированных ссылок применяют только указанное издание ссылочного стандарта, для недатированных - последнее издание (включая все изменения).
ISO 3534-1:1993, Statistics; vocabulary and symbols - Part 1: Probability and general statistical terms (Статистика. Словарь и условные обозначения. Часть 1. Вероятность и основные статистические термины)
<2>
--------------------------------
<2> Заменен на ISO 3534-1:2006.
ISO 3534-2:1993, Statistics; vocabulary and symbols - Part 2: Statistical quality control (Статистика. Словарь и условные обозначения. Часть 2. Статистическое управление качеством)
<3>
--------------------------------
<3> Заменен на ISO 3534-2:2006.
ISO 3534-3:1999, Statistics; vocabulary and symbols - Part 3: Design of experiments (Статистика. Словарь и условные обозначения. Часть 3. Планирование экспериментов)
<4>
--------------------------------
<4> Заменен на ISO 3534-3:2013.
ISO 11095:1996, Linear calibration using reference materials (Калибровка линейная с использованием образцовых материалов)
ISO 11843-1:1997, Capability of detection - Part 1: Terms and definitions (Способность обнаружения. Часть 1. Термины и определения)
ISO 11843-2:2000, Capability of detection - Part 2: Methodology in the linear calibration case (Способность обнаружения. Часть 2. Методология в случае линейной калибровки)
ISO Guide 30:1992, Terms and definitions used in connection with reference materials (Термины и определения, касающиеся эталонных материалов)
<1>
--------------------------------
<1> Заменен на ISO Guide 30:2015.
В настоящем стандарте применены термины, приведенные в ИСО 3534-1, ИСО 3534-2, ИСО 3534-3, ИСО 11095, ИСО 11843-1 и Руководстве ИСО 30.
4 Планирование эксперимента
4.1 Общие положения
Предполагают, что метод измерений стандартизован. Метод применяют ко всем измерениям состояний (опытных образцов) как стандартных, так и действительных.
4.2 Выбор стандартных состояний и стандартных образцов
Стандартные состояния должны включать в себя состояния, соответствующие двум значениям приведенной переменной состояния:
- нулевое значение (в аналитической химии - холостая проба);
- заданное значение xg, которое предполагается проверять на превышение минимального обнаруживаемого значения.
Состав стандартных образцов, представляющих стандартные состояния, должен максимально близко воспроизводить состав исследуемого материала для удовлетворения требования схожести поведения стандартного и испытуемого материалов в системе измерений.
4.3 Количество повторений
Предполагают, что способность обнаружения оценивают в ходе отдельного эксперимента с одинаковым количеством повторений для обоих состояний, описанных в
4.2. Измерения проводят для стандартного образца (соответствующего нулевому значению приведенной переменной состояния) и для действительного состояния. Количество повторений при применении метода измерений (далее - метод) обычно меньше количества повторений при оценке способности обнаружения данного метода. Используют следующие условные обозначения:
J - количество повторений измерений каждого стандартного образца, представляющего нулевое значение приведенной переменной состояния (холостая проба) при применении метода;
K - количество повторений измерений в действительном состоянии (исследуемая проба) при применении метода;
N - количество повторений измерений каждого стандартного образца (см.
4.2) при оценке способности обнаружения.
Значение N должно быть не менее 5.
Примечание - При валидации метода способность обнаружения обычно определяют для J = K = 1.
5 Критерий достаточной способности обнаружения
5.1 Основные предположения
Основными предположениями в настоящем стандарте являются следующие:
- результаты измерений отклика для всех материалов являются независимыми и подчиняются нормальному распределению;
- стандартные образцы и исследуемые материалы ведут себя одинаково в системе измерений.
5.2 Критическое значение отклика
Проверка гипотезы о том, что приведенная переменная состояния исследуемого образца равняется нулю, основана на сравнении (в условиях рандомизированного эксперимента) откликов исследуемого образца и образца, соответствующего базовому состоянию (холостая проба, приведенная переменная состояния которой равняется нулю). Критическое значение отклика исследуемого образца (среднее K измерений) вычисляют по формуле

(1)
Обозначения, используемые в настоящем стандарте, - в соответствии с
приложением A.
При уменьшении отклика с одновременным увеличением уровня приведенной переменной состояния критическое значение отклика вычисляют по формуле

(2)
В такой ситуации yc - нижняя граница.
В этом случае выражения

и

в
5.3,
5.4 и
разделе 6 следует заменить соответственно на

и

.
5.3 Вероятность обнаружения заданного значения приведенной переменной состояния
Для оценки минимального обнаруживаемого значения приведенной переменной состояния [т.е. значения приведенной переменной состояния, для которого мощность критерия в
5.2 имеет заданное значение

] настоящий стандарт устанавливает критерий, мощность которого не менее

для заданного значения приведенной переменной состояния
xg. В случае удовлетворения данного критерия принимают решение, что минимальное обнаруживаемое значение не превышает
xg.
Если

- стандартное отклонение отклика для заданного значения приведенной переменной состояния
xg, то критерий, мощность которого не менее

, имеет вид

(3)
где

и

являются значениями математического ожидания откликов в базовом состоянии и образца, соответствующего приведенной переменной состояния, равной
xg, в реальных условиях работы.
Примечание -
Критерий (3) следует из определения приведенной переменной состояния и рисунка 1 ИСО 11843-1.
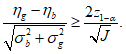
Если

,
K =
J и

(обычно при увеличении приведенной переменной состояния стандартное отклонение не уменьшается), то
критерий (3) принимает упрощенный вид

(4)
5.4 Подтверждение критерия для достаточной способности обнаружения
Значения стандартных отклонений и математических ожиданий откликов в
критерии (3) обычно неизвестны, а выполнение критерия должно быть подтверждено экспериментальными данными. Поэтому выражение в левой части
критерия (4) является неизвестной величиной, в то время как выражение в правой части представляет собой известную константу.
Из эксперимента при валидации метода с
N наблюдениями откликов для базового состояния и образца, соответствующего значению
xg приведенной переменной состояния, устанавливают, что выражение в левой части
критерия (4) имеет следующий вид

(5)
Нижнюю доверительную границу
CL, соответствующую уровню доверия

для

, вычисляют по формуле

(6)
где

- квантиль
t-распределения уровня

с

степенями свободы;
Если нижняя доверительная граница для

удовлетворяет
критерию (4), это подтверждает, что минимальное обнаруживаемое значение не превышает
xg.
Примечание - Для относительно больших значений
N (более 20) допускается для подтверждения гипотезы в
неравенство (3) или
(4) подставлять оценки

,

,
sb и
sg.
6 Представление результатов оценки способности обнаружения
В отчете об оценке способности обнаружения, обычно являющемся частью валидации метода, указывают следующие данные:
a) полную информацию о стандартных образцах, включая значение xg;
b) количество повторений N для каждого стандартного состояния;
c) средние значения

и

и стандартные отклонения

и

для откликов в базовом состоянии и для образца, соответствующего значению
xg приведенной переменной состояния;
d) выбранные значения

,

,
J и
K;
e) левую и правую части
критерия (3) с подставленными оценками, т.е.

и

или (при условии

,
K =
J и

) статистику

с соответствующим доверительным интервалом и его нижней доверительной границей

согласно
критерию (4);
f) выводы относительно способности обнаружения.
7 Представление результатов применения метода
Необходимо составить отчет о наблюдаемых значениях (отклики или полученные интерполяцией значения приведенной переменной состояния). То, что наблюдаемое значение было использовано для проверки гипотезы об истинном значении, не является основанием для отбрасывания оценки истинного значения (т.е. наблюдаемого значения) и замены его верхним пределом, равным критическому значению проверки гипотез или минимальному обнаруживаемому значению. Эта информация вводит в заблуждение, поскольку ни один из указанных пределов не может быть интерпретирован как верхняя доверительная граница. Также необходимо внести в отчет применяемое критическое значение и по возможности минимальное обнаруживаемое значение.
(обязательное)
J - количество повторений измерений каждого стандартного образца, представляющего нулевое значение приведенной переменной состояния (холостая проба) при применении данного метода;
K - количество повторений измерений в действительном состоянии (исследуемая проба) при применении данного метода;
N - количество повторений измерений каждого стандартного образца (см.
4.2) при оценке способности обнаружения;
yc - критическое значение отклика;
xg - заданное значение, которое подвергают проверке с целью определить, превышает ли оно минимальное обнаруживаемое значение;

- значение математического ожидания для откликов базового состояния в реальных условиях эксплуатации;

- значение математического ожидания в реальных условиях эксплуатации для откликов образца, приведенная переменная состояния которого равна
xg;

- стандартное отклонение в реальных условиях эксплуатации для откликов базового состояния;

- стандартное отклонение в реальных условиях эксплуатации для образца, приведенная переменная состояния которого равна
xg;

- выборочное среднее откликов базового состояния;

- выборочное среднее откликов для образца, приведенная переменная состояния которого равна
xg;
sb - оценка стандартного отклонения откликов базового состояния;
sg - оценка стандартного отклонения откликов образца, приведенная переменная состояния которого равна xg;

- квантиль стандартного нормального распределения уровня

;

- квантиль стандартного нормального распределения уровня

;

- квантиль
t-распределения уровня

с

степенями свободы;

- вероятность ошибочного решения, что система вышла из базового состояния, когда в действительности она в нем находится (риск первого рода);

- вероятность ошибочного решения, что система, значение приведенной переменной состояния которой равно минимальному обнаруживаемому значению (
xd), не вышла из базового состояния (риск второго рода).
(справочное)
ПРИМЕР РАСЧЕТА
Низкие уровни "быстрореагирующего алюминия" в природной воде, выраженные как массовая концентрация в микрограммах на литр, были измерены путем присоединения системы непрерывного автоматического пополнения к атомно-абсорбционному спектрометру с графитовой кюветой (см.
[1]). Значения поглощения для пяти измерений двух проб, представляющих концентрацию холостой пробы
xb = 0 и приведенную концентрацию
xg = 0,5 мкг/л, указаны в
таблице B.1. Следовательно, для оценки метода использовано
N = 5. Способность обнаружения метода должна быть рассчитана для
J =
K = 1 и

.
Таблица B.1
Значения поглощения для концентрации холостой пробы
xb = 0
и приведенной концентрации xg = 0,5 мкг/л
Концентрация холостой пробы алюминия x | Значения поглощения y |
0 | 0,074 | 0,081 | 0,075 | 0,076 | 0,074 |
0,5 | 0,126 | 0,126 | 0,125 | 0,108 | 0,130 |
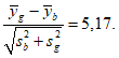
Статистическая обработка данных дает следующие оценки:

;

;
sb = 0,0029;
sg = 0,0086.
Гипотеза

не отклоняется в соответствии с F-критерием и уровнем значимости 5%.
Для

и числа степеней свободы

получают

, а для

получают

.
95%-ная нижняя доверительная граница

, рассчитанная по
формуле (6), равна 4,34, что превышает

.
Следовательно, минимальное обнаруживаемое значение менее xg = 0,5 мкг/л.
(справочное)
СВЕДЕНИЯ О СООТВЕТСТВИИ ССЫЛОЧНЫХ МЕЖДУНАРОДНЫХ СТАНДАРТОВ
МЕЖГОСУДАРСТВЕННЫМ СТАНДАРТАМ
Таблица ДА.1
Обозначение ссылочного международного стандарта | Степень соответствия | Обозначение и наименование соответствующего межгосударственного стандарта |
ISO 3534.1:1993 | - | |
ISO 3534.2:1993 | - | |
ISO 3534.3:1985 | - | |
ISO 11095:1996 | - | |
ISO 11843-1:1997 | - | |
ISO 11843-2:2000 | - | |
ISO Guide 30:1992 | - | |
<*> Соответствующий межгосударственный стандарт отсутствует. До его принятия рекомендуется использовать перевод на русский язык данного международного стандарта. |
--------------------------------
<4> В Российской Федерации действует
ГОСТ Р ИСО 11843-1-2007.
<5> В Российской Федерации действует
ГОСТ Р ИСО 11843-2-2007.
| Danielsson L.-G. and  A. A mechanized system for the determination of low levels of quicklyreacting aluminium in natural waters. Analytica Chimica Acta, 306, 1995, p. 173 - 181 |
УДК 658.562.012.7:65.012.122:006.354 | |
Ключевые слова: измерение, метод измерений, отклик, стандартное состояние, стандартный образец, планирование экспериментов, приведенная переменная состояния, критическое значение переменной состояния |